|
Скрап с зашлакованностью < 5 %
крупностью, мм:
|
Выход, % магнитного
продукта
|
|
> 300
|
0,8
|
|
70 - 300
|
0,3
|
|
40-70
|
2,7
|
|
20-40
|
3.8
|
|
0-20
|
2,8
|
|
Посторонний металлолом
|
1,5
|
|
Скрап с зашлакованностью до 65 %
(средняя зашлакованность 36,2 %)
крупностью, мм:
|
Выход, % магнитного
продукта
|
|
> 300
|
1,2
|
|
70 - 300
|
9,2
|
|
20-40
|
17,2
|
|
10-20
|
20,1
|
|
0-10
|
40,5
|
Таким образом, при разработке отвала основную массу
извлеченного магнитного продукта будет составлять мелкий зашлакованный
материал. Содержание лома огнеупоров в отвальных сталеплавильных шлаках
составляет в среднем 0,5 %, но в отдельных слоях 8 — 10 %; количество мусора
существенно больше, чем в доменных шлаках, и на некоторых участках достигает 10
— 12 %.
Исследование гранулометрического состава отвальных
сталеплавильных шлаков показало, что по сравнению с доменными шлаками материал
содержит существенно большее количество крупных фракций (> 70 мм) в таблице 1.2.
Таблица 1.2 – Гранулометрический состав
сталеплавильного шлака
|
Крупность
класса, мм
|
Выход
класса, %
|
|
>
500
|
3
|
|
500-300
|
4
|
|
120
-300
|
10
|
|
70-120
|
18
|
|
40
– 70
|
17
|
|
40-20
|
14
|
|
20-10
|
10
|
|
5-10
|
12
|
|
0-5
|
14
|
Таким образом, для получения тех же классов продукции,
что и из доменных шлаков, необходимо усложнить схему дробления и сортировки,
либо планировать меньшую производительность дробительно-сортировочного
оборудования.
Химический состав отвальных сталеплавильных шлаков
(15,8 - 24,2 % Si02,
31.1 -40,2 СаО, 2,0-4,9 % Al2O3, 8,9- 10.1 % MgO; 4,01-10,1% МпО, 15,9 - 18,6 % FeO, 0,04 - 0,06 %S) колеблется в более широких
пределах, чем химический состав доменных шлаков по двум причинам:
во-первых, в отвале сталеплавильного шлака находятся
отходы производства двух цехов мартеновского и электросталеплавильного;
во-вторых, сама технология сталеплавильного обусловливает
большие колебания химического состава шлака.
Физико-механические свойства щебня полученного из
отвального сталеплавильных шлаков.
Абразивность щебня имеет следующие показатели по
методике ГОСТ 17375-70: И30= 333г/т; И60= 1040 г/т,
категория абразивности - 9. Щебень характеризуется устойчивостью структуры УС1
плотностью в кусках 3,04 г/см3, удельной плотностью 3,38 г/см3.
Как следует из полученных данных, сталеплавильные
шлаки характеризуются большими прочностью, плотностью и абразивностью по
сравнению с отвальными доменными шлаками. Прочие характеристики находятся
примерно на одном уровне. Особенно перспективными представляются высокие
абразивные характеристики сталеплавильных шлаков, что позволяет прогнозировать
целесообразность проведения дальнейших исследований с целью последующей
организации производства абразивных материалов для струйной обработки
поверхностей в судостроении (судоремонте), энергетике и других отраслях.
Интересным представлялось бы в этом плане сотрудничество с инофирмами: поставка
необходимого для подготовки производства абразивов оборудования с последующей
оплатой поставки оборудования готовой продукцией.
Из-за повышенных (по сравнению с доменными шлаками)
прочности, плотности, абразивности, содержания пылевидной фракции и металловключений
переработка сталеплавильных шлаков существенно затруднена. Для получения
аналогичного сортамента продукции требуются большее количество стадий
дробления, тщательная очистка шлака от металловключений и мощные системы
аспирации. Все это увеличивает число единиц задействованного оборудования и
персонала, а также в 1,5-2,0 раза энерго затраты.
В условиях резкого возрастания стоимости капитального
строительства и оборудования создание нового дробильно-сортировочного комплекса
является трудно выполнимой задачей. В ОАО "Уральская Сталь" решили
перепрофилировать на производство фракционированного щебня из отвальных шлаков
ранее законсервированную дробильно-сортировочную фабрику. В результате был
создан узел приемки шлака в составе железнодорожного подъезда, спланированной
площадки (склада приемки шлака с отвала), с оборудованием узла экскаватором, дизельным
электрическим краном с грузоподъемным магнитом, а также осуществлен ряд
мероприятий по реконструкции дробильно-сортировочного комплекса.
По предварительной оценке, из каждого 1 млн.т
переработанного на комплексе сталеплавильного шлака из отвала можно получить,
тыс. т: фракционированного щебня 800, в том числе фракций 0-10 мм - 450, 10-40
мм - 210, 40 - 120 мм - 140; лома огнеупоров 35; магнитного продукта 115;
скрапа цветных металлов и коррозионно-стойкой стали 15. Технологические потери
при переработке составят 35 тыс. т.
Переработка расположенного в черте города отвала
сталеплавильных шлаков позволит постепенно ликвидировать его, что улучшит
экологическую ситуацию. Расконсервация комплекса позволит, кроме того,
увеличить количество рабочих мест в городе и улучшить его обустройство, а также
увеличить в регионе производство дорожных и других строительных материалов.
Схема цепи аппаратов отделения дробления и сортировки
рудника для переработки сталеплавильных шлаков представлена на рисунке 1.1.
а — узел приемки шлака
(1-думпкар для отсепарирования шлака, 2 — экскаватор; 3 – грузоподъемный электромагнит,
4 - дизель-электрический кран, 5— закрома для скрапа; о — думпкар исходного
шлака); б - узел дробления и сортировки шлака (1 - думпкар для подачи шлака; 2
- грейфсрный кран; 3 - грузоподъемный электромагнит, 4 - грейфер; 5 - груз; 6-
думпкар для скрапа; 7 - колосниковая решетка с ячейкой 500 х 500 мм; 8 - бункер
для исходного шлака, 9- пластинчатый питатель; 10 - дробилка; 11 - конвейерные
весы; 12 -бункер для скрапа; 13 - навесной железоотделитель, 14 - инерционный
грохот; 15 - галерея, 16 - склад щебня фракции > 40 мм; 17 - склад щебня
фракции 10 - 40 мм; 18 - склад щебеночно - песчаной смеси фракций 0 - 10 мм; 19
- конвейер для просыпи).
Рисунок 1.1 - Схема цепи аппаратов отделения дробления
и сортировки рудника для переработки сталеплавильных шлаков
1.2 Комплексная
переработка мартеновских шлаков на ЦРШО
Шлако - перерабатывающая установка (ШПУ) мартеновского шлаков
входит в состав цеха разработки шлаковых отвалов. ШПУ в своем составе имеет:
- эстакаду с решетками и приемными бункерами;
- мостовой магнитный кран грузоподъемностью 10 т;
- систему подачи конвейеров с двумя грохотами
ГИТ-52;
- металлоотделители ПС-120м, установленные над
конвейерами № 2, 4А;
- площадку для отгрузки готовой продукции.
Отгрузку
щебня фракции 70-250 мм производят экскаватором ЭКГ-5А, фракции 0-20 мм, 20-40
мм, 40-70 мм - фронтальным погрузчиком или экскаватором ЭКГ-5 в железнодорожные
думпкары, агловозы, полувагоны или в автотранспорт.
Производство
фракционированного щебня и отделение металлического концентрата, управление
трактами ШПУ производится оператором с пульта управления, расположенного на
верху приемных бункеров. Автосамосвалы разгружают шлак в приемные бункера №1,2
над конвейером № 1. Шлак в приемные бункера поступает с объемной долей влаги до
8%, с размерами кусков шлака не более 300 мм. Куски шлака более 300 мм
поступают на склад для дальнейшей переработки. Увлажнение текущего шлака
производят на эстакаде кантовки шлаков с помощью форсунок, далее шлак грузят в
автосамосвалы.
Из приемных бункеров №1,2 шлак поступает на конвейер № 1, а
с конвейера № 1 на конвейер № 2. С конвейера № 2 шлак поступает на верхнюю
решетку грохота ГИТ-52 № 1, где происходит разделение фракций: 0-40 мм
просеивается на нижнюю решетку грохота, а фракции 40-300 мм по конвейеру № 3
поступает на грохот и далее на ГИТ-52 № 2. Из-под решетки грохота №2 фракция
40-70 мм по конвейеру №6 поступает на склад готовой продукции, а фракция 70-300
мм с решетки грохота № 1 на конвейер № 8, и далее на склад готовой продукции.
С нижней решетки грохота ГИТ-52 № 1 шлак фракции 20-40 мм по
конвейеру № 5 поступает на склад готовой продукции. Фракция 0-20 мм из-под
грохота ГИТ-52 № 1 но конвейеру № 4 на конвейер № 4А и далее на склад готовой
продукции. Негабаритные куски (в случае их попадания) с решеток бункеров
удаляют трактором, оборудованным обратным скребком, грузят в автосамосвалы и
вывозят на шлаковый склад для дальнейшей переработки.
С площадки готовой продукции фракционированный щебень с
помощью экскаватора ЭКГ-5 или фронтальных погрузчиков (К-701, К-702, МоАЗ)
отгружают в железнодорожные думпкары, агловозы, полувагоны или автотранспорт.
Подтягивание железнодорожных вагонов на железнодорожных путях № 1 производят с
помощью электротолкателя № 2.
Для отмагничивания металлического концентрата (МК) над
приемными решетками установлен мостовой магнитный кран, который грузит МК в
автотранспорт. Далее МК отправляют в ООО «УМК». Для вторичного отмагничивания
металлического концентрата (МК) над конвейером № 2 установлен
металлоотделитель, который отмагничивает МК фракция 20-300 мм. а
металлоотделитель, установленный над конвейером №4А отмагничивает МК фракции
0-20 мм (металлостружка).
Управление металлоотделителями производит оператор с пульта
управления. МК с металлоотделителей сбрасывается в бункера, а с бункеров грузят
фронтальным погрузчиком в автотранспорт и вывозят: фракцию 0-20 мм - в аглоцех;
20-150 мм - в доменный цех ОАО «Уральская Сталь». В случае неисправности какого
- либо агрегата или сортировки может быть выпущен рядовой щебень, т.е. без разделения
на фракции, который складируется на отдельный склад. Складирование и хранение
шлакового щебня производят строго по фракциям.
Зерновой состав щебня фракции 0-20 мм, 20-40 мм, 40-70мм,
70-250 мм определяет контроль в производстве черных металлов. Другие
качественные показатели, предусмотренные государственными стандартами или
техническими условиями определяют в специализированных лабораториях
строительных организации или в лабораториях потребителя по договоренности с
ним.
Отгрузку фракционированного щебня производят партиями.
Партией считается количество щебня, отгружаемого одному потребителю в течение
одних суток и сопровождаемого документом, в котором указывается:
- наименование предприятия - поставщика и его адрес;
- вид фракционированного щебня;
- количество фракционированного щебня;
- номер партии;
- номер вагона и номера накладных;
- насыпная плотность, зерновой состав;
- номер технических условий.
Количественно -
качественная схема шлако - перерабатывающей установки ЦРШО представлена на
рисунке 1.2.
Структура техногенных
образований зависит от вида и условий складирования отходов. На крупных
металлургических комбинатах, например Магнитогорском, Нижнетагильском, «Уральская
Сталь» (ОХМК), Челябинском («Мечел»), отвалы разделяют по видам производств:
доменные и сталеплавильные шлаки и производственный мусор складируются
отдельно. На малых заводах обычно устраивают общие отвалы, часто смешивая шлаки
с мусором. При хранении отходов происходят процессы, изменяющие свойства
исходной отвальной массы, химический, минеральный и гранулометрический составы,
прочность, плотность и др.
По
физико-технической оценке составляющие техногенных образований можно отнести к
искусственно измененным связанным породам, пригодным для выемочно-погрузочных и
транспортных работ. По степени связности они ближе к связно-сыпуче разрушенным
породам. Гранулометрический состав техногенных образований зависит от вида
шлака, способа уборки, первичной переработки, условий содержания и сроков
хранения отвальной массы. В отвалах, где складируют шлак, минуя первичную
переработку, преобладают крайние классы: >120 и < 10 мм. Здесь большое
количество включений металла и негабаритного шлака.
Рисунок 1.2 –
Количественно – качественная схема шлако - перерабатывающей установки
Процессы
разработки техногенных образований на всех стадиях связаны с обработкой и
перемещением больших объемов отвальной массы, поэтому их эффективность и
экономическая целесообразность оправданы при максимальной механизации всех
трудоемких работ. С точки зрения комплекса операций, входящих в
производственные процессы разработки техногенных месторождений, их принимают
аналогичными открытым горным работам. Поэтому при организации разработки отвалов
целесообразно применять современные технологии и технологические процессы
открытых горных работ.
Практически
все виды продукции при переработке отвальных шлаков находят применение в
различных отраслях производства и успешно конкурируют с природными материалами.
Массовыми видами являются щебень, песок и щебеночно-песчаные смеси для
дорожного строительства, оборотный и магнитный продукты и металлоконцентрат для
доменного, сталеплавильного и литейного производств, удобрения и мелиоранты для
сельского хозяйства. В меньших объемах из отвальных шлаков производятся
абразивные материалы для струйной обработки поверхностей, зернистые материалы
для фильтров и защитных покрытий для мягких кровельных материалов, наполнители
и пигменты для шпатлевок, красок, мастик и линолеума и т.д.
2 Расчет доменной шихты
В последнее время, в связи с повышением стоимости шихтовых
материалов, транспортных расходов, все более актуальными являются поиски
заменителей компонентов железорудной шихты.
Это особенно важно для ОАО «Уральская сталь» (ОХМК), так как он
удален на значительные расстояния от месторождений железных руд и ГОКов. А
между тем, в непосредственной близости от ОХМК находятся отвалы железистых
шлаков ООО «Южно - Уральской Горно-перерабатывающей компании» (ЮУГПК).
Особенно
перспективными представляются высокие абразивные характеристики сталеплавильных
шлаков, что позволяет прогнозировать целесообразность проведения дальнейших
исследований с целью последующей организации производства абразивных материалов
для струйной обработки поверхностей в судостроении (судоремонте), энергетике и
других отраслях. Интересным представлялось бы в этом плане сотрудничество с
инофирмами: поставка необходимого для подготовки производства абразивов
оборудования с последующей оплатой поставки оборудования готовой продукцией.
2.1 Расчёт шихты с использованием металлоконцетрата
Химический состав чугуна, принимаемый на основании опытных данных
представлен в таблице 2.1.
Таблица 2.1 - Состав чугуна
|
Содержание элементов, %
|
|
Si
|
Мп
|
Р
|
S
|
С
|
Fe
|
|
0,55
|
0,57
|
0,08
|
0,08
|
3,05
|
95,70
|
Расход сухого кокса без выноса составляет 434 кг.
Исходные данные для расчёта приведены в таблице 2.2.
Таблица 2.2 - Химический
состав шихтовых материалов доменной плавки с металлоконцентратом
|
Наименование
|
|
Химический состав, %
|
|
|
|
|
|
материала
|
Fe
|
FeO
|
SiO2
|
Al2O3
|
CaO
|
MgO
|
MnO
|
P
|
S
|
Cr2O3
|
TiO2
|
Fe2O3
|
W
|
|
металлоконцентрат
|
55,00
|
0,00
|
13,10
|
1,50
|
17,50
|
5,40
|
5,630
|
0,120
|
0,100
|
1,23
|
0,400
|
0,00
|
2,00
|
|
агломерат ОХМК
|
54,76
|
14,10
|
9,16
|
1,12
|
10,51
|
1,62
|
0,247
|
0,022
|
0,042
|
0,00
|
0,00
|
63,22
|
0,00
|
|
окатыши Лебединские
|
65,90
|
2,50
|
6,00
|
0,08
|
0,27
|
0,44
|
0,046
|
0,017
|
0,005
|
0,00
|
0,014
|
90,6
|
0,00
|
|
кокс (зола)
|
8,51
|
0,00
|
46,20
|
17,20
|
7,40
|
3,11
|
0,710
|
0,327
|
1,370
|
0,00
|
0,00
|
23,68
|
2,70
|
Определяется
масса элементов в чугуне:
Мi = Мчугуна
[ i ], (2.1)
где [ i ] – содержание
в чугуне элементов (здесь и далее в долях единицы).
МFe чугуна = 1000
∙
0,957 = 943,6 кг;
МMn чугуна = 1000
∙
0,0057 = 5,7 кг ;
МSi чугуна 1000
∙
0,0055 = 5,5 кг.
Расход рудной смеси:
а) масса золы кокса:
Мз. к.
= Мкокса∙[А]кокса, (2.2)
где [А]кокса
– содержание в коксе золы, кг
Мз. к.
= 434∙0,104 = 45,10 кг;
б) вносится железа золой кокса:
МFe з.к. = Мз. к.∙[Fe]з.к.,
(2.3)
где [Fe]з.к. – содержание железа в
золе кокса, кг.
МFe з.к. = 45,1 ∙
0,0851 = 3,08 кг,
где 0,0851 - содержание железа в золе кокса,
доли ед.;
в) в соответствии с составом
шихтовых материалов и опытными данными выход шлака составляет 378 кг/т, с содержанием FeO 0,37 %;
г) переходит железа в шлак:
, (2.4)
МFe шлака = 378 ∙
0,0037 ∙ 56/72 = 1,09 кг,
где 56 - атомная масса железа; 72 -
молекулярная масса FeO;
д) должно быть внесено железа рудной смесью:
МFe р.с. = МFe чугуна + МFe шлака – МFe з.к., (2.5)
МFe р.с. = 957,0 + 1,09
– 3,8 = 957,3 кг;
е) расход
рудной смеси:
, (2.6)
кг;
ж) расход рудной смеси с учётом
выноса в колошник (принимаем вынос равным 2%, он определяется качеством
шихтовых материалов, технологией доменной плавки и изменяется от 1 до 10%)
составляет:
, (2.7)
кг.
Расчёт
количества шлакообразующих приведён в таблице 2.3.
Мi р.с. = Mр.с.∙[ i ]р.с.,
(2.8)
Мi з.к. = Mз.к.∙[ i ]з.к.;
(2.9)
Мi шлакообр. = Мi р.с. + Мi з.к.. (2.10)
Таблица 2.3 - Количество шлакообразующих
|
Материал
|
Количество, кг
|
SiO2
|
А12О3
|
СаО
|
MgO
|
%
|
кг
|
%
|
кг
|
%
|
кг
|
%
|
кг
|
|
Руд. смесь
|
1668,38
|
28,26
|
160,3
|
2,71
|
19,3
|
28,28
|
175,7
|
7,46
|
38,60
|
|
Зола кокса
|
45,1
|
46,20
|
20,83
|
17,20
|
7,75
|
7,40
|
3,33
|
3,11
|
1,40
|
|
Итого
|
—
|
—
|
180,0
|
|
27,1
|
|
179,1
|
|
40,0
|
Израсходовано кремнезема на Si переходящий в чугун (по реакции SiO2 +2C = Si +2CO ):
, (2.11)
В шлак переходит кремнезема:
, (2.12)
=
180,0 – 11,79 = 168,21 кг.
Основность
шлака:
, (2.13)
Количество серы в шлаке:
а) вносится
серы материалами шихты:
МS шихты = Мр.с.∙[S]шихте
+ Мкокса∙[S]кокса, (2.14)
МS шихты = 1635,0 ∙
0,0002+434,0 ∙ 0,0176 = 7,96 кг;
б) принимаем,
что в шлак переходит 85% серы, т.е.:
МS шлака = МS шихты∙0,85, (2.15)
МS шлака= 7,96 ∙
0,85 = 6,77 кг.
Количество МnО в шлаке:
а) поступает в печь марганца:
МMn = Мр.с.∙[Mn]р.с.
+ Мз.к.∙[Mn]з.к., (2.16)
МMn = 1154 ∙
0,00247+231 ∙ 0,00046+311 ∙ 0,0563+45,1 ∙ 0,0071=12,67 кг;
б) степень
восстановления марганца в зависимости от химического состава чугуна составляет
45–78%.
Степень
восстановления марганца составляет:
, (2.17)
;
в) в шлак (в
виде МnО) переходит марганца шихтовых материалов:
МMn в шлак = МMn – MMn чугуна – МMn в газ, (2.18)
МMn в шлак = 12,67 – 5,7
= 6,97 кг;
г) количество МnО в шлаке:
, (2.19)
Количество FeO в шлаке:
, (2.20)
Химический
состав шлака предоставлен в таблице 2.4.
Пересчитываем полученный состав шлака на три
компонента (СаО, SiO2 и
Аl2О3),
наносим этот состав шлака на соответствующие диаграммы (плавкости,
вязкости и температур плавления) и проверяем физические свойства
шлака.
Проверка содержания серы в чугуне:
МS в чугуне = МS шихты ∙ hS в чугун, (2.21)
МS в чугуне = 7,96 ∙ 0,09 = 0,720 кг или 0,045%.
Содержание серы не выходит за
допустимые пределы (в чугуне 0,05%).
Таблица 2.4 –
Характеристика шлака
|
Компоненты
шлака
|
Колличество
|
|
кг
|
%
|
|
SiO2
|
168,21
|
40,20
|
|
Al2O3
|
27,10
|
7,13
|
|
CaO
|
179,10
|
40,20
|
|
MgO
|
40,00
|
9,72
|
|
MnO
|
6,97
|
1,62
|
|
FeO
|
1,40
|
0,37
|
|
S
|
6,77
|
0,76
|
|
Итого
|
429,60
|
100,00
|
Проверка содержания фосфора в чугуне:
МР в чугуне = Мр.с.∙[P]р.с. + Мз.к.∙[P]з.к., (2.22)
МР в чуг= 1154 ∙ 0,00022 + 311 ∙ 0,0012 + 231 ∙ 0,00017 + 45,1 ∙ 0,00327 = 0,8 кг или 0,07%.
Содержание
фосфора не выходит за допустимые пределы (в чугуне 0,08%).
Окончательный состав чугуна (на
величину разницы в содержании фосфора в окончательном и заданном составах изменить
содержание углерода) приведен в таблице 2.5.
Таблица 2.5 – Химический состав
полученного чугуна
|
Содержание
элемента, %
|
|
Si
|
Mn
|
P
|
C
|
S
|
Fe
|
|
0,55
|
0,57
|
0,07
|
3,06
|
0,045
|
95,70
|
Расход влажного
(2% Н2О) кокса с учётом выноса составит:
, (2.23)
Расход шихтовых материалов приведен в
таблице 2.6.
Таблица 2.6 – Расход шихтовых
материалов
|
Материалы
|
Без
выноса и влаги
|
С
выносом влажных
|
|
Кокс
|
434,0
|
451,0
|
|
Рудная
смесь
|
1635,0
|
1668,38
|
|
Итого
|
2069,0
|
2119,38
|
Количество влаги шихтовых материалов
и пыли, выносимых из доменной печи, равно:
Мвыноса = 2119,38 – 2069,0
= 50,38 кг. (2.24)
Расчетный состав доменной
шихты чугуна и шлака с использованием металлоконцентрата на 1 тонну чугуна
предоставлен в таблице 2.7.
Таблица 2.7 - Расчетный состав доменной шихты чугуна и шлака с применением
металлоконцетрата на 1 тонну чугуна
|
Наименование
|
|
Вносит шихта, т
|
|
|
|
|
|
материала
|
|
Fe
|
SiO2
|
Al2O3
|
CaO
|
MgO
|
MnO
|
TiO2
|
P
|
Cr2O3
|
S
|
|
агломерат ОХМК
|
|
0,631
|
0,11
|
0,013
|
0,12
|
0,019
|
0,003
|
0,00
|
0,0003
|
0,00
|
0,000
|
|
окатыши Лебединские
|
|
0,15
|
0,014
|
0,001
|
0,00
|
0,001
|
0,000
|
0,000
|
0,0000
|
0,00
|
0,000
|
|
металлоконцентрат
|
|
0,17
|
0,041
|
0,005
|
0,054
|
0,02
|
0,009
|
0,0003
|
0,0004
|
0,020
|
0,000
|
|
кокс (зола)
|
|
0,004
|
0,02
|
0,008
|
0,003
|
0,00
|
0,00
|
0,00
|
0,0001
|
0,00
|
0,008
|
|
СУММА
|
|
0,957
|
0,18
|
0,027
|
0,177
|
0,04
|
0,012
|
0,0003
|
0,0008
|
0,020
|
0,008
|
|
Состав чугуна, %:
|
Si
|
|
|
0,55
|
Расход
|
|
|
кг/т
|
т
|
|
Mn
|
|
|
0,57
|
материалов
|
|
|
чугуна
|
всего
|
|
S
|
|
|
0,05
|
агломерат ОХМК
|
|
|
1154
|
1,154
|
|
P
Cr
|
|
|
0,08
0,23
|
окатыши
Лебединские
|
|
|
231
|
0,231
|
|
Выход чугуна с подачи, т
|
|
|
|
1,0
|
металлоконцентрат
|
|
311
|
0,311
|
|
Расход SiO2 в чугун, т
|
|
|
|
0,01
|
известняк
|
|
0
|
0,0
|
|
Переходит SiO2 в шлак,
т
|
|
|
|
0,15
|
кокс (зола)
|
|
451
|
0,451
|
|
Сумма окислов шлака, т
|
|
|
|
0,37
|
|
|
|
|
|
|
Выход шлака с подачи, т
|
|
|
|
0,38
|
Показатели работы доменной печи
|
|
|
|
Выход шлака, кг/т чугуна
|
|
|
|
378
|
Содержание железа в металлошихте,
% 56,32
|
|
Состав шлака, %:
|
SiO2
|
|
|
40,2
|
Вынос колошниковой пыли , кг/т
чугуна 31
|
|
Al2O3
|
|
7,13
|
Дутье: расход, м³/мин 1950
|
|
CaO
|
|
|
40,2
|
давление, ати
|
1,9
|
|
MgO
|
|
|
9,72
|
температура,ºС 1050
|
|
FeO
|
|
|
0.37
|
Содержание кислорода в дутье, % 22,5
|
|
MnO
S
|
|
|
1,62
0,76
|
Колошниковый газ: давление, ати 1,05
температура, ºС 180
|
|
Основность шихты,
|
CaO/SiO2
|
|
0,93
|
КИПО 0,575
|
|
Основность шлака:
|
CaO/SiO2
|
|
1,00
|
Производительность, т/сут 1751
|
|
Температура плавления шлака, оС
|
|
1340
|
Рудная нагрузка, т/т
|
|
|
|
3,38
|
|
|
Fe
|
SiO2
|
Al2O3
|
CaO
|
MgO
|
MnO
|
TiO2
|
P
|
Cr2O3
|
S
|
|
агломерат ОХМК
|
|
8,21
|
1,43
|
0,169
|
1,56
|
0,247
|
0,039
|
0,00
|
0,0039
|
0,00
|
0,002
|
|
окатыши Лебединские
|
|
1,98
|
0,182
|
0,013
|
0,01
|
0,013
|
0,001
|
0,001
|
0,0002
|
0,013
|
0,00
|
|
металлоконцентрат
|
|
2,20
|
0,533
|
0,065
|
0,702
|
0,26
|
0,116
|
0,00
|
0,0052
|
0,,25
|
0,002
|
|
кокс (зола)
|
|
0,06
|
0,26
|
0,104
|
0,039
|
0,02
|
0,00
|
0,00
|
0,0013
|
0,00
|
0,100
|
|
СУММА
|
|
12,45
|
2,34
|
0,351
|
2,301
|
0,52
|
0,156
|
0,01
|
0,01
|
0,26
|
0,104
|
|
Состав чугуна, %:
|
Si
|
|
|
0,55
|
Расход
|
|
|
кг/т
|
т
|
|
Mn
|
|
|
0,57
|
материалов
|
|
|
чугуна
|
всего
|
|
S
|
|
|
0,05
|
агломерат ОХМК
|
|
|
1154
|
15,0
|
|
P
Cr
|
|
|
0,08
0,23
|
окатыши Лебединские
|
|
|
231
|
3,0
|
|
Выход чугуна с подачи, т
|
|
|
|
13,0
|
металлоконцентрат
|
|
311
|
4,0
|
|
Расход SiO2 в чугун, т
|
|
|
|
0,15
|
кокс (зола)
|
|
5,9
|
|
Переходит SiO2 в шлак,
т
|
|
|
|
1,94
|
|
|
|
|
|
|
|
|
Сумма окислов шлака, т
|
|
|
|
4,81
|
|
|
Выход шлака с подачи, т
|
|
|
|
4,91
|
Показатели работы доменной печи:
|
|
Выход шлака, кг/т чугуна
|
|
|
|
378
|
Содержание железа в металлошихте,
% 56,32
|
|
Состав шлака, %:
|
SiO2
|
|
|
40,2
|
Вынос колошниковой пыли , кг/т
чугуна 31
|
|
Al2O3
|
|
7,13
|
Дутье: расход, м³/мин 1950
|
|
CaO
|
|
|
40,2
|
давление, ати 1,9
|
|
MgO
|
|
|
9,72
|
температура,ºС 1050
|
|
FeO
|
|
|
0,37
|
Содержание кислорода в дутье, % 22,5
|
|
MnO
S
|
|
|
1,62
0,76
|
Колошниковый газ: давление, ати 1,05
температура, ºС 180
|
|
Основность шихты,
|
CaO/SiO2
|
|
0,93
|
КИПО 0,575
|
|
Основность шлака:
|
CaO/SiO2
|
|
1,00
|
Производительность, т/сут 1751
|
|
Температура плавления шлака, оС
|
|
1340
|
Рудная нагрузка, т/т
|
|
|
|
3,38
|
|
|
|
|
|
|
|
|
|
|
|
|
|
Таблица 2.8 - Расчетный
состав доменной шихты чугуна и шлака с применением металлоконцетрата в подачу
2.2 Расчёт шихты без использования
металлоконцетрата
Химический состав чугуна, принимаемый на
основании опытных данных представлен в таблице 2.1.
Таблица 2.9 – Состав чугуна
|
Содержание элементов, %
|
|
Si
|
Мп
|
Р
|
S
|
С
|
Fe
|
|
0,55
|
0,14
|
0,04
|
0,03
|
2,89
|
96,40
|
Расход сухого кокса без выноса составляет 450
кг.
Исходные данные для расчёта приведены в
таблице 2.10.
Определяется
масса элементов в чугуне:
Мi = Мчугуна
[ I ], (2.25)
где [ I ] – содержание
в чугуне элементов (здесь и далее в долях единицы);
МFe чугуна = 1000
∙
0,964 = 964,0 кг;
МMn чугуна = 1000
∙
0,0014 = 1,4 кг;
МSi чугуна 1000
∙
0,0055 = 5,5 кг.
Расход рудной смеси:
а) масса золы кокса:
Мз. к.
= Мкокса∙[А]кокса, (2.26)
где [А]кокса
– содержание в коксе золы;
Мз. к.
= 450 ∙ 0,104 = 46,80 кг;
б) вносится железа золой кокса:
МFe з.к. = Мз. к.∙[Fe]з.к.,
(2.27)
где [Fe]з.к. – содержание железа в
золе кокса;
МFe з.к. = 46,8 ∙
0,0851 = 3,98 кг,
где 0,0851 – содержание железа в золе кокса,
доли ед.;
в) в соответствии с составом
шихтовых материалов и опытными
данными
выход шлака составляет 346 кг/т, с содержанием FeO 0,41 %;
г) переходит железа в шлак:
, (2.28)
МFe шлака = 346 ∙
0,0041 ∙ 56/72 = 1,42 кг,
где 56 – атомная масса железа; 72 –
молекулярная масса FeO;
д) должно быть внесено железа рудной смесью:
МFe р.с. = МFe чугуна + МFe шлака – МFe з.к., (2.29)
МFe р.с. = 964,0 + 1,42
– 3,98 = 961,44 кг;
е) расход
рудной смеси:
, (2.30)
ж) расход рудной смеси с учётом
выноса в колошник (принимаем вынос равным 2%, он определяется качеством
шихтовых материалов, технологией доменной плавки и изменяется от 1 до 10%)
составляет:
, (2.31)
Химический
состав шихтовых материалов доменной плавки без использования металлоконцентрата
предоставлен в таблице 2.10
.
Таблица 2.10 Химический
состав шихтовых материалов доменной плавки без металлоконцентрата
|
Наименование
|
|
Химический состав, %
|
|
|
|
|
|
материала
|
Fe
|
FeO
|
SiO2
|
Al2O3
|
CaO
|
MgO
|
MnO
|
P
|
S
|
Cr2O3
|
TiO2
|
Fe2O3
|
W
|
|
агломерат ОХМК
|
53,42
|
13,20
|
8,97
|
1,10
|
12,56
|
1,60
|
0,241
|
0,022
|
0,041
|
0,00
|
0,00
|
62,2
|
0,00
|
|
окатыши Лебединские
|
65,90
|
2,50
|
6,00
|
0,08
|
0,27
|
0,44
|
0,046
|
0,017
|
0,005
|
0,00
|
0,014
|
90,6
|
0,00
|
|
кокс (зола)
|
8,51
|
0,00
|
46,20
|
17,20
|
7,40
|
3,11
|
0,710
|
0,327
|
1,370
|
0,00
|
0,00
|
23,68
|
2,70
|
Расчёт количества шлакообразующих приведён в таблице
2.11.
Мi р.с. = Mр.с.∙[ I ]р.с.;
(2.32)
Мi з.к. = Mз.к.∙[ I ]з.к.;
(2.33)
Мi шлакообр. = Мi р.с. + Мi з.к.. (2.34)
Таблица 2.11 – Количество шлакообразующих
|
Материал
|
Количество, кг
|
SiO2
|
А12О3
|
СаО
|
MgO
|
%
|
кг
|
%
|
кг
|
%
|
кг
|
%
|
кг
|
|
Руд. Смесь
|
1708,89
|
14,97
|
136,0
|
1,18
|
13,1
|
12,83
|
146,4
|
2,04
|
20,84
|
|
Зола кокса
|
46,8
|
46,20
|
20,83
|
17,20
|
7,75
|
7,40
|
3,33
|
3,11
|
1,40
|
|
Итого
|
—
|
—
|
156,8
|
|
20,8
|
|
149,94
|
|
22,24
|
Израсходовано кремнезема на Si переходящий в чугун (по реакции SiO2 +2C = Si +2CO ):
, (2.35)
В шлак переходит кремнезема:
, (2.36)
=
156,86 – 11,79 = 145,07 кг.
Основность
шлака:
, (2.37)
.
Количество серы в шлаке:
а) вносится
серы материалами шихты:
МS шихты = Мр.с.∙[S]шихте
+ Мкокса∙[S]кокса, (2.38)
МS шихты = 1708,89 ∙
0,00046+450,0 ∙ 0,0137 =6,95 кг;
б) принимаем,
что в шлак переходит 85% серы:
МS шлака = МS шихты∙0,85, (2.39)
МS шлака = 6,95∙0,85
= 5,91 кг.
Количество МnО в шлаке:
а) поступает в печь марганца:
МMn = Мр.с.∙[Mn]р.с.
+ Мз.к.∙[Mn]з.к., (2.40)
МMn = 1154 ∙
0,00241+542 ∙ 0,00046+46,8 ∙ 0,0071=3,06кг.
б) степень
восстановления марганца в зависимости от химического состава чугуна составляет
45–78%.
Степень
восстановления марганца составляет:
, (2.41)
в) в шлак (в
виде МnО) переходит марганца шихтовых материалов:
МMn в шлак = МMn – MMn чугуна – МMn в газ, (2.42)
МMn в шлак = 3,06 – 1,4 =
1,66 кг;
г) количество МnО в шлаке:
, (2.43)
Количество FeO в шлаке:
, (2.44)
Химический
состав шлака предоставлен в таблице 2.12.
Таблица 2.12 – Химический
состав шлака
|
Компоненты
шлака
|
Колличество
|
|
кг
|
%
|
|
SiO2
|
145,07
|
43,00
|
|
Al2O3
|
20,87
|
6,47
|
|
CaO
|
149,73
|
43,60
|
|
MgO
|
22,24
|
5,43
|
|
MnO
|
2,14
|
0,40
|
|
FeO
|
1,83
|
0,41
|
|
S
|
5,91
|
0,69
|
|
Итого
|
347,79
|
100,00
|
Пересчитываем полученный состав шлака на три
компонента (СаО, SiO2 и
Аl2О3),
наносим этот состав шлака на соответствующие диаграммы (плавкости,
вязкости и температур плавления) и проверяем физические свойства
шлака.
Проверка содержания серы в чугуне:
МS в чугуне = МS шихты∙hS в чугун, (2.45)
МS в чугуне = 6,95 ∙ 0,09 = 0,620 кг или
0,03%.
Содержание серы не выходит за
допустимые пределы (в чугуне 0,03%).
Проверка содержания фосфора в чугуне:
МР в чугуне = Мр.с.∙[P]р.с. + Мз.к.∙[P]з.к., (2.46) МР в
чугуне=1154 ∙ 0,00022+542 ∙ 0,00017+46,8 ∙ 0,00327=0,4кг
или 0,03%.
Содержание
фосфора не выходит за допустимые пределы (в чугуне 0,04%).
Окончательный состав чугуна приведен
в таблице 2.13.
Таблица 2.13 – Химический состав
полученного чугуна
|
Содержание
элемента, %
|
|
Si
|
Mn
|
P
|
C
|
S
|
Fe
|
|
0,55
|
0,14
|
0,03
|
2,85
|
0,03
|
96,40
|
Расход влажного
(2% Н2О) кокса с учётом выноса составит:
, (2.47)
Расход шихтовых
материалов предоставлен в таблице 2.14.
Таблица 2.14 – Расход шихтовых материалов
|
Материалы
|
Без
выноса и влаги
|
С
выносом
влажных
|
|
Кокс
|
450,0
|
468,0
|
|
Рудная
смесь
|
1674,69
|
1708,89
|
|
Итого
|
2124,69
|
2176,89
|
Количество влаги шихтовых материалов
и пыли, выносимых из доменной печи:
Мвыноса = 2176,89 –
2124,69 = 52,2 кг. (2.48)
Расчетный состав доменной шихты , чугуна
и шлака без использования металлоконцентрата предоставлен в таблице 2.15
.
Таблица 2.15 – Расчетный
состав доменной шихты, чугуна и шлака без металлоконцетрата на 1 тонну чугуна
|
Наименование
|
|
Вносит шихта, т
|
|
|
|
|
|
|
материала
|
|
Fe
|
SiO2
|
Al2O3
|
CaO
|
MgO
|
MnO
|
TiO2
|
P
|
Cr2O3
|
S
|
|
агломерат ОХМК
|
|
0,610
|
0,10
|
0,013
|
0,136
|
0,021
|
0,003
|
0,00
|
0,0003
|
0,00
|
0,00
|
|
окатыши Лебединские
|
|
0,330
|
0,036
|
0,00
|
0,01
|
0,00
|
0,000
|
0,001
|
0,000
|
0,0003
|
|
кокс (зола)
|
|
0,00
|
0,02
|
0,007
|
0,003
|
0,001
|
0,000
|
0,00
|
0,0001
|
0,00
|
0,006
|
|
СУММА
|
|
0,964
|
0,156
|
0,02
|
0,149
|
0,022
|
0,003
|
0,001
|
0,0004
|
0,0003
|
0,006
|
|
Состав чугуна, %:
|
Si
|
|
|
0,55
|
Расход
|
|
|
кг/т
|
т
|
|
Mn
|
|
|
0,14
|
материалов
|
|
|
чугуна
|
всего
|
|
S
|
|
|
0,03
|
агломерат ОХМК
|
|
|
1154
|
1,154
|
|
P
Cr
|
|
|
0,04
0,03
|
окатыши Лебединские
|
|
|
542
|
0,542
|
|
Выход чугуна с подачи, т
|
|
|
|
1,0
|
кокс (зола)
|
|
468
|
0,468
|
|
Расход SiO2 в чугун, т
|
|
|
|
0,01
|
|
|
|
|
|
Переходит SiO2 в шлак,
т
|
|
|
|
0,15
|
|
|
|
|
|
|
|
|
Сумма окислов шлака, т
|
|
|
|
0,34
|
|
|
Выход шлака с подачи, т
|
|
|
|
0,32
|
Показатели работы доменной печи:
|
|
Выход шлака, кг/т чугуна
|
|
|
|
318
|
Содержание железа в металлошихте,
% 57,40
|
|
Состав шлака, %:
|
SiO2
|
|
|
43,0
|
Вынос колошниковой пыли, кг/т 31
|
|
Al2O3
FeO
|
|
6,47
0,41
|
Дутье: расход, м³/мин 1950
давление, ати 1,9
|
|
CaO
|
|
|
43,6
|
температура, ºС 1050
|
|
MgO
|
|
|
5,43
|
Содержание кислорода в дутье, % 22,5
|
|
MnO
S
|
|
|
0,40
0,69
|
Колошниковый газ: давление, ати 1,05
температура, ºС 180
|
|
Основность шихты,
|
CaO/SiO2
|
|
0,94
|
КИПО 0,564
|
|
Основность шлака:
|
CaO/SiO2
|
|
1,01
|
Производительность, т/сут 1785
|
|
Температура плавления шлака, оС
|
|
1340
|
Рудная нагрузка, т/т
|
|
|
|
3,22
|
Таблица 2.16 - Расчетный состав доменной шихты, чугуна и
шлака без металлоконцетрата в подачу
|
Наименование
|
|
Вносит шихта, т
|
|
|
|
|
|
|
материала
|
|
Fe
|
SiO2
|
Al2O3
|
CaO
|
MgO
|
MnO
|
TiO2
|
P
|
Cr2O3
|
S
|
|
агломерат ОХМК
|
|
8,01
|
1,32
|
0,172
|
1,795
|
0,277
|
0,04
|
0,00
|
0,0004
|
0,00
|
0,00
|
|
окатыши Лебединские
|
|
4,61
|
0,475
|
0,01
|
0,132
|
0,03
|
0,003
|
0,013
|
0,000
|
0,004
|
0,001
|
|
кокс (зола)
|
|
0,06
|
0,264
|
0,092
|
0,04
|
0,013
|
0,00
|
0,00
|
0,0001
|
0,00
|
0,079
|
|
СУММА
|
|
12,69
|
2,059
|
0,264
|
1,967
|
0,293
|
0,043
|
0,013
|
0,005
|
0,004
|
0,079
|
|
Состав чугуна, %:
|
Si
|
|
|
0,55
|
Расход
|
|
|
|
кг/т
|
т
|
|
Mn
|
|
|
0,14
|
материалов
|
|
|
чугуна
|
всего
|
|
S
|
|
|
0,03
|
агломерат ОХМК
|
|
|
1154
|
13,0
|
|
P
Cr
|
|
|
0,04
0,03
|
окатыши Лебединские
|
|
|
542
|
7,0
|
|
Выход чугуна с подачи, т
|
|
|
|
13,2
|
кокс (зола)
|
|
468
|
6,2
|
|
Расход SiO2 в чугун, т
|
|
|
|
0,16
|
|
|
|
|
|
Переходит SiO2 в шлак,
т
|
|
|
|
1,93
|
|
|
|
|
|
|
|
|
Сумма окислов шлака, т
|
|
|
|
4,49
|
|
|
|
|
|
|
Выход шлака с подачи, т
|
|
|
|
4,58
|
Показатели работы доменной печи:
|
|
Выход шлака, кг/т чугуна
|
|
|
|
346
|
Содержание железа в металлошихте,
% 57,40
|
|
Состав шлака, %:
|
SiO2
|
|
|
43,0
|
Вынос колошниковой пыли, кг/т 31
|
|
Al2O3
|
|
6,47
|
Дутье: расход, м³/мин 1950
|
|
CaO
|
|
|
43,6
|
давление, ати 1,9
|
|
MgO
|
|
|
6,52
|
температура, ºС 1050
|
|
FeO
|
|
|
0,44
|
Содержание кислорода в дутье, % 22,5
|
|
MnO
S
|
|
|
0,40
0,61
|
Колошниковый газ: давление, ати 1,05
температура, ºС 180
|
|
Основность шихты,
|
CaO/SiO2
|
|
0,94
|
КИПО 0,564
|
|
Основность шлака:
|
CaO/SiO2
|
|
1,01
|
Производительность, т/сут 1785
|
|
Температура плавления шлака, оС
|
|
1340
|
Рудная нагрузка, т/т 3,22
|
3 Влияние содержания металлоконцетрата
в доменной шихте на показатели доменной плавки
Для улучшение
стабильности чугуна и повышения качества изложниц, снижение затрат возможно за
счет использования дешевого местного сырья - металлоконцентрата. Предлагаемый
способ использования металлоконцентрата в доменной шихте приводит к снижению
себестоимости чугуна, уменьшению расхода кокса, повышение содержания марганца и
хрома в чугуне. Влияние содержания металлоконцетрата в доменной шихте на
показатели доменной плавки представлены в таблице 3.1.
Таблица 3.1 – Влияние
содержания металлоконцетрата в доменной шихте на показатели доменной плавки
|
Показатели
доменной
плавки
|
Содержание металоконцетрата, кг/т
чугуна
|
|
0
|
50
|
100
|
150
|
200
|
250
|
300
|
311
|
|
Производитель-ность, т/сут
|
1785
|
1779
|
1774
|
1768
|
1763
|
1757
|
1752
|
1751
|
|
КИПО
|
0,564
|
0,566
|
0,568
|
0,570
|
0,571
|
0,573
|
0,575
|
0,575
|
|
Кокс, кг/т
|
468
|
466
|
464
|
461
|
458
|
455
|
452
|
451
|
|
Выход шлака, кг/т
|
318
|
328
|
337
|
347
|
357
|
367
|
377
|
378
|
|
Себестоимость,
руб
|
9351
|
9281
|
9211
|
9141
|
9070
|
9000
|
8930
|
8914
|
|
Основность
|
1,00
|
1,00
|
1,00
|
1,00
|
1,00
|
1,00
|
1,00
|
1,00
|
|
[Mn], %
|
0,09
|
0,17
|
0,24
|
0,32
|
0,40
|
0,48
|
0,56
|
0,57
|
|
[Cr], %
|
0,03
|
0,06
|
0,10
|
0,13
|
0,16
|
0,19
|
0,22
|
0,23
|
|
Feобщ, %
|
57,40
|
57,23
|
57,05
|
56,89
|
56,71
|
56,53
|
56,36
|
56,32
|
3.1 Качественные
характеристики металлоконцентрата
Металлоконцентрат,
предлагаемый для использования в доменном производстве для производства чугуна
имеет насыпной вес 3,0-3,2 т/м3, крупность фракции 5-20 мм, , Feобщ не менее 70,0% представен в таблице 3.2, крупность фракции
20-150 мм Feобщ не менее 50 % представлен в таблице
3.3.
Таблица 3.2 -
Качественная характеристика металлического концентрата фракции 5-20 мм
|
Физико-механические свойства
|
Требуется
ТУ-07-9000-07-2005
|
Данные анализа
|
70
|
71
|
|
2 Содержание Fe
мет., не менее, %
|
45
|
45,5
|
|
3 Содержание фракции 0-3мм, не
более, %
|
3
|
2,8
|
|
4 Содержание не магнитных
примесей, не более, %
|
8
|
7,5
|
|
5 Содержание стружки, кусков
металла, прутков диаметром более 20 мм. и длиной до 100 мм., не более в %
|
5
|
4,5
|
|
6 Влажность, не более %
|
3
|
2,8
|
Таблица 3.3 –
Качественная характеристика металлического концентрата фракции 20-150 мм
|
Физико-механические свойства
|
Требуется
ТУ-07-9000-07-2005
|
Данные анализа
|
|
1 Содержание Fe
общ. не менее, %
|
50
|
50,2
|
|
2 Доля фракции менее 10 мм, %
|
10
|
6,1
|
|
3 Доля фракции более 150мм, %
|
10
|
4,8
|
|
4 Влажность, не более %
|
4-5
|
4,8
|
3.2 Влияние содержания
металлоконцетрата в доменной шихте на содержание марганца и хрома в чугуне в
целях повышения качества изложниц
В соответствии с программой
работ по снижению расхода изложниц была отлита промышленная партия изложниц с
использованием в шихте доменной печи металлоконцентрата. Было установлено, что
при расходе металлоконцентрата 100 - 300 кг/т чугуна, обеспечивающей содержание
[Cr] в готовом чугуне более 0,17 % при
его средней массовой доле до 0,3 %, [Mn] – 0,5 – 1,0%, химический состав чугуна
соответствует 1 сорту. При этом стойкость листовых изложниц составила 27,9
налива, а на сравнительных (без металлоконцентрата ЦРШО) – 25,0 наливов, для сортовых
соответственно – 60,9 и 49,8 налива результаты представлены в таблице 3.4.
Таблица 3.4 – Влияние
использования металлоконцентрата в шихте доменных печей на стойкость изложниц
|
Средняя стойкость изложниц,
наливы
|
Базовый период
(без использования
металлоконцентрата)
|
Опытный период
(с использованием
металлоконцентрата)
|
|
Сортовые типа С-6
|
25,0
|
27,9
|
|
Листовые типа Л-8
|
49,8
|
60,9
|
В соответствии с
полученными положительными результатами рекомендуемая доза металлоконцентрата в
чугуне для отливки изложниц должна обеспечивать среднюю массовую долю [Cr] до 0,3 % и [Mn] – 0,5 – 1,0%, что
позволит снизить расход листовых изложниц на 4,0 кг/т стали, сортовых на 3,4
кг/т стали. Зависимость содержания марганца и хрома в чугуне от количества
содержания металлоконцетрата в доменной шихте предоставлена на рисунке 3.1.
Рисунок 3.1 – Влияние
содержания металоконцетрата в доменной шихте на содержания марганца и хрома в
чугуне
3.3 Экономия кокса и
изменение выхода шлака от введения в доменную шихту металлоконцентрата
Рассчитаем Feобщ с
введением в доменную шихту металлоконцетрата и без него:
Feобщ.без мк =
, (3.1)
Feобщ.без мк =
= 57,40 %;
Feобщ.с мк =
, (3.2)
Feобщ.с мк =
= 56,32 %.
Из опытных данных
известно, что металлического железа в металлоконцетрате равно 30%, тогда
степень металлизации рассчитаем по формуле:
Ст.мет.=
∙ 100%, (3.3)
Ст.мет.=
∙ 100 = 9,7%.
Так как с 1%
металлического железа экономится кокса 2,3 кг/т чугуна, но происходит
перерасход кокса за счет уменьшения Feобщ, то экономия составит:
Эк = 9,7 ∙ 2,3 =
22,3 кг/т. (3.4)
Перерасход кокса за счет
уменьшения Feобщ рассчитаем по формуле:
Пер.кокса = (Feобщ.без мк
- Feобщ.с мк ) ∙ Ркокса / 100, (3.5)
Пер.кокса = (57,4 -
56,32) ∙ 451 /100 = 4,9 кг/т.
Общая экономия кокса на 1
тонну чугуна составит:
Э = 22,3 – 4,9 = 17,4
кг/т. (3.6)
Влияние содержания
металлоконцетрата в доменной шихте на расход кокса и выход шлака представлены
на рисунке 3.2.
В доменной печи шлак
образуется под действием высоких температур в результате плавления пустой
породы железосодержащих материалов и флюса, к которым в горне присоединяется
зола сгоревшего кокса.
При
использовании металлоконцетрата в доменной шихте выход шлака незначительно
увеличивается и на ровность хода доменной печи, качество и вид выплавляемого
чугуна практически не влияет.
Рисунок 3.2 – Влияние
содержания металлоконцетрата в доменной шихте на расход кокса и выход шлака
3.4 Основные
показатели доменной плавки
Важнейшими показателями
работы доменной печи являются:
1) коэффициент использования полезного
объема печи КИПО;
2) себестоимость чугуна;
3) обьем производства чугуна;
4) основность шлака и т.д.
Влияние содержания
металлоконцетрата в доменной шихте на производительность доменной печи и КИПО представлено
на рисунке 3.3.
Рисунок 3.3 – Влияние
содержания металлоконцетрата на объем производства чугуна и КИПО
Коэффициент использования
полезного объема (КИПО) представляет отношение полезного объема печи к ее
производительности:
КИПО =
(3.7)
где V – полезный объём доменной печи, м3;
QСУТ – суточное
производство чугуна, т.
Чем лучше работает
доменная печь, тем ниже абсолютное значение КИПО. Величина КИПО позволяет
судить о достигнутой среднесуточной производительности печи. В связи с тем что
значение суточной производительности печи колеблются, КИПО определяю делением,
например, месячной производительности на календарное число суток с учетом
внеплановых простоев.
За последние годы
благодаря совершенствованию техники и технологии производства чугуна
использование полезного объема значительно улучшилось.
Для оценки и анализа
экономических показателей работы печи составляют калькуляцию себестоимости
чугуна. Себестоимость чугуна складывается из:
1) стоимости железорудных материалов,
флюсов и топлива, за вычетом отходов производства (скрапа, колошниковой пыли);
2) расходов по переделу (энергетические
затраты, амортизация основных фондов, заработанная плата производственных
рабочих, стоимость сменного оборудования, стоимость текущих ремонтов,
содержания основных средств и т.д.);
3) общезаводских расходов
(управленческие расходы, обслуживание цеха).
Важным резервом снижения
себестоимости чугуна является увеличение производительности труда.
Производительность труда измеряется производством чугуна в тоннах,
приходящегося на одного работника списочного штата цеха. Чем выше
производительность печи и чем меньше рабочих ее обслуживает, тем выше
производительность труда.
Повышение
производительности печи и сокращение численности рабочих достигают увеличением
полезного объема доменных печей, совершенствованием техники и технологии
производства, внедрением комплексной автоматизации производства, повышением
квалификации рабочих, распространением передовых методов работы. Очень важное
значение для дальнейшего повышения производительности труда имеет его научная
организация, которая включает не только собственно организацию труда у доменной
печи, но и научную организацию производства.
Влияние содержания
металлоконцетрата в доменной шихте на себестоимость чугуна представлено на
рисунке 3.4.
Рисунок 3.4 - Влияние
содержания металлоконцетрата в доменной шихте на себестоимость чугуна
Важной технологической
характеристикой реальных доменных шлаков является основность шлака, выраженная
отношением суммы основных окислов к сумме кислотных окислов. При выплавке
передельных чугунов основность CaO/SiO2 реальных доменных шлаков находится, как
правило в пределах 0,9 - 1,2.
С введением в доменную
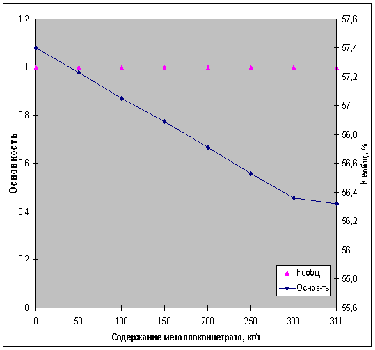
шихту металлоконцетрата основность шлака практически не изменяется. Влияние
содержания металлоконцетрата на основность шлака и содержание железа в металлошихте
предоставлен на рисунке 3.5.
Рисунок 3.5 – Влияние
содержания металлоконцетрата в доменной шихте на основность шлака и содержание
железа в металлошихте
Предлагаемый способ частичной
замены окатышей металлоконцентратом в доменной шихте приводит к снижению
себестоимости чугуна, уменьшению расхода кокса, увеличению выхода шлака и
коэффициента использования полезного объема, повышение содержания марганца и
хрома в чугуне. Так же улучшается стабильность химического состава чугуна и
повышается качество изложниц, отлитых из данного чугуна. За счет переработки
шлаковых отвалов улучшается экологическая обстановка целого региона.
4 Организация и
экономика производства
4.1 Организация
производства
4.1.1 Производственная
структура цеха
Под структурой управления
организацией понимается совокупность элементов, обеспечивающих их
функционирование и развитие. Таким образом, структуру управления можно
рассматривать как форму разделения и кооперации деятельности, в рамках которой
происходит процесс, направленный на достижение целей менеджмента.
Элементами структуры
являются, службы, другие звенья аппарата управления, отдельные работники, а
отношения между ними поддерживаются благодаря связям, которые принято
подразделять на горизонтальные и вертикальные.
Горизонтальные связи
носят характер согласования и являются, как правило, одноуровневыми.
Вертикальные связи - это связи подчинения, и необходимость в них возникает при
иерархичности управления, т. е., при наличии нескольких уровней подчиненности.
Кроме того, связи в такой структуре могут носить линейный и функциональный
характер.
Линейные связи отражают
движение управленческих решений и информации между так называемыми линейными
руководителями, т. е. лицами, полностью отвечающими за деятельность организации
или ее структурных подразделений, функциональные связи имеют место по линии
движения информации и управленческих решений по тем или иным функциям
управления.
Основу
линейно-функциональных структур составляет так называемый «шахтный» принцип
построения и специализация управленческого процесса по функциональным
подсистемам организации.
По каждой подсистеме формируется
иерархия служб, пронизывающая всю организацию сверху донизу. Результаты работы
каждой службы аппарата правления организацией оцениваются показателями,
характеризующими выполнение ими своих целей и задач.
Работой доменного цеха
управляет начальник доменного цеха, у которого в штате находится два
заместителя: один – по оборудованию, другой – по производству.
Кроме перечисленных в
состав инженерно – технических работников входят: механик и электрик цеха,
отвечающие за правильную эксплуатацию и ремонт оборудования и агрегатов,
старший мастер участка загрузки доменной печи, ведающий вопросами подготовки
шихты и её качества, загрузкой её в печь и другими вопросами, связанными с
шихтой и коксом для доменных печей, старший мастер участка доменных печей,
старший мастер участка разливочных машин, старший мастер шлакоперерабатывающего
участка, старший мастер участка прямого восстановления железа, мастер газового
хозяйства, мастер водопроводных работ, мастер рудного двора, начальники смен и
сменные мастера доменных печей, диспетчер цеха, мастера механики и электрики,
отвечающие за работу оборудования по участкам. В составе цеха имеется контора,
куда входят машинистка (секретарь), техническое бюро и другие.
Почти весь персонал,
обслуживающий доменные печи, является сменным.
Приёмкой и загрузкой
сырья и топлива в доменные печи заняты рабочие следующих профессий: бригадиры
рудных дворов, машинисты рудно – грейферных кранов, бригадиры бункеров, рабочие
бункеров и скиповых ям, машинисты вагон – весов. К рабочим, обслуживающим
доменные печи и их горны, литейные дворы, а также другие участки, связанные
непосредственно с работой печей, относятся: горновые, водопроводчики, машинисты
кранов литейных дворов, газовщики, бригадиры и рабочие глиномялки, бригадир
разливочных машин, желобщики, брызгальщики и другие. Организационная структура
доменного цеха представлена на рисунке 4.1.
|
БОТ табельщики
|
|
|
|
|
|
|
|
|
Плановый отдел
|
|
|
|
|
|
|
|
|
|
|
|
|
|
|
|
|
|
|
|
|
|
|
|
|
|
|
|
|
|
|
|
начальник доменного
цеха
|
|
|
инженер по охране труда
|
|
|
|
|
|
|
|
|
|
|
|
|
|
|
|
|
|
|
|
|
|
|
|
|
зам. начальника по
технологии
|
|
|
|
|
зам. начальника по
оборудованию
|
|
|
|
|
|
|
|
|
|
|
 
|
|
|
|
|
|

|
|
|
|
|
|
|
|
|
|
|
|
|
|
|
|
|
|
|
|
|
|
|
участок загрузки доменных печей
|
участок доменных печей
|
участок газового хозяйства
|
участок разливочных машин
|
участок шлако-переработки
|
|
механик цеха
|
техбюро архив
|
электрик цеха
|
|
|
|
|
|
|
|
|
|
|
|
|
|
|
|
|
|
|
|
|
|
|
|
|
|
|
|
|
|
|
|
|
|
|
|
|
|
|
|
|
|
|
|
|
|
ст.мастер
|
ст.мастер
|
мастер
|
ст.мастер
|
ст.мастер
|
мастер
|
мастер
|
мастера
|
ведущий
|
мастера
|
|
мастер
|
мастера
|
газовщики
|
мастера
|
мастер
|
покранам
|
энергетик
|
механики
|
инженер
|
электрики
|
|
бригадиры
|
горновые
|
|
бригадиры
|
шлаковщики
|
ст.крановщик
|
дежурный
|
дежурный
|
инженеры
|
дежурный
|
|
бункеровщики
|
брызгальщики
|
|
разливщики
|
|
крановщики
|
персонал
|
персонал
|
|
персонал
|
|
машинисты
|
приготовители
|
|
рабочие
|
|
|
водопроводчики
|
слесаря
|
|
электрики
|
|
вагон-весов
|
огнеупурной
|
|
склада х/ч
|
|
|
|
кладовщики
|
|
|
|
машинисты
|
массы
|
|
|
|
|
|
|
|
|
|
шихтоподачи
|
|
|
|
|
|
|
|
|
|
Рисунок 4.1 –
Организационная структура доменного цеха
4.1.2 Продукция и
сортамент цеха
В доменных печах
выплавляют чугун трёх видов: передельный, литейный, литейный – хромоникелевый.
Доменные печи №№ 3,4, в основном, выплавляют передельный чугун. Литейный чугун
выплавляют эпизодически, во время раздувок после капитальных ремонтов и
технологических расстройств. Доменные печи №№ 1,2 специализируются на выплавке
литейного и хромоникелевого чугунов. Выплавка каждого вида чугуна имеет свою
специфику и соответственно различные технологические условия плавки.
Передельный чугун
подразделяется по маркам: П – 1, П – 2, ПА – 1, ПА – 2 марки чугуна различаются
по химическому составу. Литейный чугун подразделяется по маркам: Л – 1, Л – 2,
Л – 3, Л – 4, Л – 5, Л – 6, различающихся по химическому составу.
Передельный чугун –
основная продукция доменных цехов, составляет 85 – 90% общего объёма
производства, поэтому основным потребителем в рамках завода является мартеновский
цех, куда чугун поступает в жидком состоянии. Так же чугун в чушках, после
разливки, поступает в ЭСПЦ.
Для отливки изложниц в
ФЛЦ, в доменной печи выплавляют чугун с повышенным содержанием марганца.
Хромо – никелевый чугун,
также подразделяется на марки: ПХНС1, ПХНС2, ПХНС3, ПХНС4, ПХНС5, которые
различаются по химическому составу. Так же чугун используют для выплавки
качественных сталей с повышенным содержанием хрома и никеля.
4.1.3 Технологический
процесс цеха
Доменная печь является
печью шахтного типа, то есть с вытянутым высоко рабочим пространством. В связи
с огромным количеством переработанных материалов доменной печи механизировано и
в современных условиях является совокупность ряда операций.
Материалы доменной плавки
поступают на завод в железнодорожных вагонах. Разгрузку вагонов производят с
помощью вагоноопрокидывателей от рудоподготовительной фабрики, расположенной
вблизи доменного цеха, руда подаётся трансфертами или транспортёрами.
Скиповые подъёмники
поднимают шихту по наклонному мосту в скипах, связанными канатами с лебёдкой.
Скипы автоматически опрокидываются и высыпают шихту в приёмную воронку
засыпного аппарата печи.
Технологический процесс в
доменной печи начинается с поступлением дутья в неё из фурм и опускания
очередной порции шихтовых материалов с большого конуса. Эти два фактора в
работе печи в значительной мере предопределяют ход процесса при данных условиях
и находятся в прямой зависимости между собой, чем больше вдувается в печь
воздуха, тем больше опускается в печь шихтовых материалов и тем больше её
производительность. В результате взаимодействия шихты со встречным потоком
горячих газов в верхней части доменной печи происходят процессы испарения
влаги, окончательной возгонки и разложения.
Доменный процесс –
процесс восстановления. Сущность доменного процесса заключается в том, чтобы
восстановить железо и другие металлы, содержащиеся в шихте.
Происходит выпуск чугуна
и шлака; шлак отправляют на шлакоперерабатывающий участок. Часть чугуна идёт
разливку, где его разливают в чушки. Основная часть чугуна идёт в миксер для
дальнейшей переработки. Чугун сливают в чугуновозные ковши.
4.1.4 Основные технико
– экономические показатели цеха
Годовая
производительность доменного цеха равна 2290601 тонн.
По печам это составило:
- доменная печь №1 (Vп = 1007 м3) = 621713 тонны чугуна;
- доменная печь №2 (Vп = 1033 м3) = 632835 тонны чугуна;
- доменная печь №3 (Vп = 1513 м3) = 1011516 тонны чугуна;
- доменная печь №4 (Vп = 2002 м3) = 1184516,7 тонны чугуна;
Простои составили 2677
часов 40 минут.
Численность рабочих
доменного цеха составляет 510 человек, из них 44 человека руководителей,
специалистов и служащих, а 466 человека составляют рабочие.
4.2 Экономика
производства
В дипломной работе
предусматривается мероприятие по замене Лебединских окатышей металлоконцетратом
из ЦРШО, для уменьшения себестоимости чугуна. В доменном цехе печь №1 полезный
объём которой составляет 1007 м3, с годовым производством 621713 т.
4.2.1 Расчёт годового
производства
Производственная мощность
доменного цеха рассчитывается по выпуску чугуна в пересчёте на передельный, то
есть в условных тоннах.
Удельная
производительность доменной печи определяется по формуле:
(4.1)
где V – полезный объём доменной печи, м3;
КИПО – коэффициент
использования полезного объёма, т/сут.
Объём доменной печи V = 1007 м3, КИПО = 0,575.
На печи выплавляют 100% передельного чугуна.
Определим объём
производства чугуна в физических и условных единицах за год, если простои печи
на ремонтах следующие:
- капитальные ремонты 3
разряда;
- текущие ремонты Т1
и Т2.
1) Количество текущих
простоев:
n1 = 36·2/30 = 24; (4.2)
n2 = 365·2/90 = 8; (4.3)
Восемь текущих ремонтов Т1
совпадает с ремонтами Т2, а один с капитальным ремонтом. Таким
образом:
Т1 = n1 – (n2
+ 1), (4.4)
Т1 = 24 – (8 +
1) = 15.
Один текущий ремонт Т2
совпадает с капитальным ремонтом, то есть:
Т2 = n2 – 1, (4.5)
Т2 = 8 – 1 = 7.
2) Общие простои на
ремонтах:
(4.6)
За год простои по печи
составят 240 часов
(4.7)
Фактическое время работы
доменной печи составит:
Тф = Тф · (1-0,06…0,08), (4.8)
Тф =8520 ·0,93=7923,6 ч.
3) Производительность
труда измеряется производством чугуна в тоннах, приходящегося на одного работника
списочного штата цеха. Рассчитаем производство чугуна в физических тоннах:
т.
Годовое производство
чугуна составит:
(4.9)
т.
Так как на печи выплавляют
только один вид чугуна (передельный), то производство чугуна в физических и
условных тоннах составит 1751,3 т/сут, или 621713 т/год.
4.2.2 Расчёт
показателей по труду
Плановый фонд оплаты
труда доменного цеха образуется в соответствии с действующим на комбинате
“Положением о формировании планового фонда оплаты труда структурных
подразделений”.
Для рабочих доменного
цеха:
- за многосменный режим
работы;
- за работу в газозащитной
аппаратуре;
- за работу с меньшей
численностью (недоштат);
- за совмещение
профессий;
- за стаж работы на
комбинате;
- за работу в праздничные
дни;
- за ночные, вечерние.
В дипломной работе
списочная численность рабочих остается неизменной. Штатное расписание рабочих
цеха приведено в таблице 4.1.
Таблица 4.1 - Штатное
расписание доменного цеха
|
№
|
Должность
|
Численность
|
Разряд
|
Грейд
|
|
|
1
|
2
|
3
|
4
|
5
|
|
|
Руководители
|
|
|
1
|
Начальник цеха
|
1
|
|
10
|
|
|
2
|
Зам начальника цеха
|
4
|
|
9
|
|
|
3
|
Старший мастер
|
5
|
|
7
|
|
|
4
|
Начальник смены
|
4
|
|
8
|
|
|
5
|
Мастер
|
34
|
|
6
|
|
|
6
|
Механик цеха
|
1
|
|
8
|
|
|
7
|
Электрик цеха
|
1
|
|
8
|
|
|
Итого руководителей – 50 человек
|
|
|
Рабочие
|
|
|
8
|
Горновой
|
97
|
6-8
|
|
|
|
9
|
Машинист крана
|
70
|
3,4,6
|
|
|
|
10
|
Газовщик
|
21
|
5,7,8
|
|
|
|
11
|
Водопроводчик
|
16
|
5,6
|
|
|
|
12
|
Электромонтер
|
33
|
4-6
|
|
|
|
13
|
Бригадир разливочных машин
|
4
|
5
|
|
|
|
14
|
Слесарь ремонтник
|
5,6
|
|
|
|
15
|
Электрогазосварщик
|
14
|
5,6
|
|
|
|
16
|
Ковшевой
|
9
|
1,3
|
|
|
|
17
|
Бункеровщик
|
42
|
3,6
|
|
|
|
18
|
Огнеупорщик
|
36
|
3-6
|
|
|
|
19
|
Кладовщик
|
2
|
1,2
|
|
|
|
20
|
Обжигальщик извести
|
8
|
3,4
|
|
|
|
21
|
Бригадир на хоз. работах
|
1
|
3
|
|
|
|
22
|
Грузчик экспедитор
|
1
|
1
|
|
|
|
23
|
Приемщик по перемещению сырья
|
10
|
2,4
|
|
|
|
24
|
Машинист вагон весов,
шихтоподачи, разливки, экскаватора
|
54
|
4-6
|
|
|
|
25
|
Оператор по обслуживанию
пылегазоулавливающих установок
|
8
|
3
|
|
|
|
26
|
Грануляторщик шлака, дробильщик
|
26
|
2-4
|
|
|
|
27
|
Диспечер
|
4
|
4
|
|
|
|
Специалисты
|
|
28
|
Инженер
|
3
|
|
3,5
|
|
29
|
Специалист по ремонту
|
3
|
|
3
|
|
Служащие
|
|
30
|
Секретарь-машинист
|
1
|
|
1
|
|
Итого по цеху – 546 человек
|
|
|
|
|
|
|
|
|
|
|
|
Фонд оплаты труда
плановый остаётся без изменений, увеличение заработной платы не планируется:
ФОТ = Соб · Рб,
(4.10)
ФОТ = 23,06 · 621713 =
14336701,8 руб,
где Соб –
статья затрат на оплату труда промышленного производственного персонала (ППП),
руб;
Рб - годовой
объем производимой продукции.
4.2.3 Расходы по
переделу
Расходы по переделу на
одну тонну чугуна определяются на основе базовых калькуляций себестоимости. При
этом учитываются:
- изменение численности и
фонда оплаты труда;
-нкапитальные
дополнительные затраты, изменение амортизационных отчислений;
- изменение энергоёмкости
продукции;
- изменение норматива
образования ремонтного фонда;
- рост годового объёма
производства.
Увеличение объёма
производимой продукции уменьшает удельную величину условно – постоянных
расходов в РПП и ОЗР.
В основе расчета
калькуляции себестоимости без использования металлоконцетрата используется
базовая калькуляции себестоимости передельного чугуна и расчет калькуляции
себестоимости передельного чугуна в опытном периоде с использованием
металлоконцетрата представлен в таблице 4.2.
Таблица 4.2 – Калькуляция
себестоимости на 1 тонну чугуна
|
Статьи затрат
|
Единицы измерения
|
Цена
руб,коп
|
Базовый
|
Опытный
|
|
Кол - во
|
Сумма
руб/т
|
Кол - во
|
Сумма
руб/т
|
|
1
|
2
|
3
|
4
|
5
|
6
|
7
|
|
Сырьё и основные материалы
|
тонн
|
|
|
|
|
|
|
1 Металлошихта
|
тонн
|
|
|
|
|
|
|
Агломерат ОХМК
|
тонн
|
2300,02
|
1,154
|
2654,22
|
1,154
|
2654,22
|
|
Металлоконцентрат ЮУГПК
|
тонн
|
2282,03
|
-
|
-
|
0,311
|
709,71
|
|
Окатыши Лебединские
|
тонн
|
3210,35
|
0,542
|
1740,01
|
0,231
|
741,59
|
|
Окалина
|
тонн
|
339,75
|
0,005
|
1,70
|
0,005
|
1,70
|
|
Сварочный шлак ОХМК
|
тонн
|
339,75
|
0,005
|
1,70
|
0,005
|
1,70
|
|
Итого металлошихты
|
|
|
1,706
|
4397,63
|
1,706
|
4108,92
|
|
2 Топливо
|
|
|
|
|
|
|
|
Кокс сухой
|
тонн
|
8716,72
|
0,468
|
4079,42
|
0,451
|
3931.24
|
|
Коксовая мелочь
|
тонн
|
5168,07
|
0,032
|
75,14
|
0,032
|
75,14
|
|
Природный газ
|
тм3
|
1785,47
|
0,093
|
33,49
|
0,093
|
33,49
|
|
Итого задано
|
|
|
2,206
|
8585,68
|
2,189
|
8148,79
|
|
3 Отходы производства
|
|
|
|
|
|
|
|
Скрап
|
тонн
|
2433,90
|
0,009
|
27,99
|
0,009
|
27,99
|
|
Пыль колошниковая
|
тонн
|
36,00
|
0,014
|
0,50
|
0,014
|
0,50
|
|
Угар металлошихты
|
тонн
|
|
0,683
|
|
0,683
|
|
|
Итого отходов
|
тонн
|
|
0,706
|
28,49
|
0,706
|
28,49
|
|
Итого задано за (-) отходов
|
тонн
|
|
1,00
|
8557,19
|
1,00
|
8120,3
|
|
4 Расходы по переделу
|
|
|
|
|
|
|
|
4.1 Энергетические расходы
|
|
|
|
|
|
|
|
Электроэнергия
|
т.Квч
|
1192,06
|
6,6
|
7,91
|
6,6
|
7,91
|
|
Пар
|
Гкал
|
286,68
|
45,1
|
12,93
|
45,1
|
12,93
|
|
Вода оборотная
|
тм3
|
560,65
|
32,1
|
18,02
|
32,1
|
18,02
|
|
Вода техническая
|
тм3
|
737,96
|
1,4
|
1,02
|
1,4
|
1,02
|
|
Дутьё (1000 м3)
|
тм3
|
45,95
|
2200
|
101,09
|
2200
|
101,09
|
|
Кислород (1000 м3)
|
тм3
|
961,78
|
55,5
|
53,38
|
55,5
|
53,38
|
|
Очистка газа (1000 м3)
|
тм3
|
7,35
|
426,7
|
3,14
|
426,7
|
3,14
|
|
Природный газ (1000м3)
|
тм3
|
1785,47
|
13,4
|
23,95
|
13,4
|
23,95
|
|
Сжатый воздух (1000м3)
|
тм3
|
122,99
|
100,3
|
12,34
|
100,3
|
12,34
|
|
Итого энергозатрат
|
|
|
2881,1
|
233,78
|
2881,1
|
233,78
|
|
4.2 ФОТ с начислениями
|
|
|
|
23,06
|
|
23,06
|
|
4.3 Отчисления на социальное
страхование
|
|
|
|
6,43
|
|
6,43
|
|
4.4 Износ инструментов
|
|
|
|
25,83
|
|
25,83
|
|
4.5 Текущий ремонт
|
|
|
|
152,32
|
|
152,32
|
|
4.6 Содержание основных фондов
|
|
|
|
56,37
|
|
56,37
|
|
4.7 Транспортные перевозки
|
|
|
|
50,15
|
|
50,15
|
|
4.8 Амортизация основных фондов
|
|
|
|
2,23
|
|
2,23
|
|
4.9 Прочие расходы по цеху
|
|
|
|
10,29
|
|
10,29
|
|
Итого расходы по переделу
|
|
|
|
794,24
|
|
794,24
|
|
Итого затрат
|
|
|
|
9351,43
|
|
8914,54
|
|
|
|
|
|
|
|
|
На основании полученных
результатов рассчитаем процент снижения себестоимости:
, (4.11)
ΔЗ =
= 4,9%.
Применение
металлоконцетрата в доменной шихте привело к сокращению себестоимости на 4,9%.
4.2.4 Расчёт прибыли
от реализации чугуна
Валовая прибыль цеха
включает: прибыль от реализации продукции.
Прибыль определяется по
формуле:
, (4.12)
где Ц – оптовая цена
чугуна, руб;
Сi – себестоимость чугуна, руб/т;
Р – годовое производство
чугуна, т.
В чёрной металлургии
рентабельность на годовую продукцию составляет 15 – 20%. Тогда оптовая цена
чугуна рассчитывается по формуле:
Степень доходности предприятия можно оценить с
помощью показателя рентабельности (R). Рентабельность продаж показывает, сколько прибыли приходится
на единицу реализованной продукции.
Рентабельность
рассчитываем по формуле:
R =
· 100%, (4.13)
где, Пр – прибыль от
реализации чугуна, р/т;
С – себестоимость чугуна,
р/т.
R =
· 100% = 20,6 %.
Чистая прибыль
рассчитывается по формуле:
ЧП = П – Н,
(4.14)
где Н – сумма налогов,
руб.
Сумма налогов
представляет собой налог на имущество, налог на прибыль, налог на нужды образования.
Рассчитаем налог на
имущество. База налогообложения – это стоимость производственных фондов,
которую принимаем в размере 20 % от стоимости основных фондов.
Стоимость основных фондов
составит:
, (4.15)
где, СА –
затраты на амортизацию, руб;
НА – средняя
норма амортизации, %;
Р – годовое
производство, т.
руб.
Стоимость
производственных фондов составляет:
ПФ = 11553499,9 ∙ 1,2 = 13864199,9 руб.
Определяем налог на
имущество с учетом ставки налога на имущество 2 %:
НИ = 13864199,9 ∙ 0,02 = 277283,9 руб.
Рассчитаем налог на
прибыль. База налогообложения – прибыль. Налогооблагаемая прибыль определяется
по формуле:
НОП = (П – НИ),(4.16)
НОПоп = (1143706033 –
277283,9) = 1143428749 руб;
НОПбаз = (872085839,9 –
277283,9) = 871808556 руб.
Налог на прибыль с учетом
ставки налога 20 % составит:
Н = 0,20 НОП, (4.17)
Ноп = 0,20∙1143428749 = 228685749,7 руб;
Нбаз = 0,20∙871808556 = 174361711,2 руб.
Тогда чистая прибыль
составит:
ЧПоп = 1143706033 – 277283,9 +228685749,7
= 914742999,4 руб;
4.2.5 Расчёт предела
безубыточности
Предел безубыточности
отражает степень обеспеченности дипломного проекта. Этот показатель
характеризует неопределённость и риск в процессе реализации проектных решений.
Предел безубыточности представляет собой количество продаж или производство
продукции, при котором объём реализации равен издержкам производства. В этой
точке прибыль равна нулю (П = Ц – С = 0).
Точка безубыточности (ТБ
т/год) определяется по формуле:
Тб =
, (4.18)
где, Зпост –
постоянные затраты на производство не зависящие от объема выпуска;
Зпер –
переменные затраты на производство зависящие от объемов производства;
Цед – цена
единицы продукции;
Р – объемы производства.
Тб =
= 497385,65,
где, 0,6 – является долей
постоянных затрат при производстве;
0,4 – доля переменных
затрат;
1,15 – коэффициент,
учитывающий рентабельность предприятия.
Выручка от реализации
товарной продукции рассчитывается по формуле:
, (4.19)
Теперь определим
совокупные затраты на производство продукции:
Зсов. =
8914,54 · 621713 = 5542285407 руб. (4.20)
На основании полученных
расчетов, предел безубыточного объема производства для опытного периода изобразим
графически на рисунке 4.2.
4.2.6 Экономическая эффективность проектных решений
В качестве критерия эффективности используется коэффициент
экономической эффективности Эф1 на 1 тонну чугуна, который определяется по
формуле:
Эф = Рок
·Цок – Рмк · Цмк, (4.21)
где, Рок
– расход окатышей т;
Цок –
цена окатышей руб. за тонну;
Рмк –
расход металлоконцетрата т;
Цмк –
цена металлоконцетрата руб. за тонну.
Эф1 = 0,308 · 3210,35 –
0,308 · 2282,03 = 287,9 руб.
В доменной плавке при
использовании в шихте металлоконцетрата, экономия кокса составит 17 кг/т,
коэффициент экономической эффективности Эф2 рассчитывается по формуле:
Эф2 = Рк ·Цк, (4.22)
где, Рк – экономия кокса
при использовании мк т;
Цк – цена кокса руб за
тонну.
Эф2 = 0,017 · 8716,72 =
148,2 руб.
Годовой экономический
эффект:
Эг = 621713 · (148,2 +
287,9) = 269885613,3 руб. (4.23)
Определим сравнительные
технико – экономические показатели базового и расчётного вариантов и представим
их в таблице 4.3.
Таблица 4.3 –
Сравнительные технико – экономические показатели
|
Наименование показателей
|
Варианты
|
|
Базовый
|
Проектный
|
|
Объём печи, м3
|
1007
|
1007
|
|
КИПО
|
0,564
|
0,575
|
|
Расход кокса, кг/т
|
468
|
451
|
|
Годовая производительность, т/год
|
633675
|
621713
|
|
Выход шлака, кг/т
|
318
|
378
|
|
Численность трудящихся в том
числе основных рабочих, чел
|
510
|
510
|
|
Себестоимость продукции, руб/т
|
9351
|
8914
|
|
Прибыль от реализации, млн. руб
|
872,09
|
1143,71
|
|
Чистая прибыль, млн. руб
|
697,45
|
914,74
|
|
Рентабельность, %
|
15
|
20,6
|
Анализ экономической
эффективности показывает, что при введении металлоконцетрата в доменную шихту
себестоимость данной продукции снижается, что приводит к экономии
436,89 руб/т. Рентабельность производства возросла на 5,6% ,годовой
экономический эффект составляет 269,89 млн. руб.
5 Безопасность жизнедеятельности
5.1 Анализ опасных производственных факторов
доменного цеха ОАО «Уральская сталь» (ОХМК)
Доменное производство - это сложный комплекс основного и
вспомогательного оборудования, систем контроля и управления технологическим
процессом.
При производстве чугуна происходит плавление, при высоких
температурах, сыпучих материалов (руды, кокса, агломерата, окатышей, флюсов),
поэтому в производственных помещениях возможно проявление опасных и вредных
производственных факторов.
Потенциально опасные и вредные производственные факторы в доменном
цеху в соответствии с ГОСТ 12.0.003-74 сведены в таблицу 5.1.
Таблица 5.1
– Потенциально опасные и вредные производственные факторы
в доменном цеху ОАО «Уральская сталь»
|
Операция технологического
процесса
|
Агрегат, оборудование, на которых
выполняется операция
|
Характеристика потенциально
опасных и вредных производственных факторов
|
Нормативное значение факторов
|
|
|
1
|
2
|
3
|
4
|
|
|
Загрузка шихтовых материалов в
печь
|
Бункерные помещения
|
Недостаточная освещенность
рабочей зоны
|
Нормируемое значение равно
75 лк
|
|
|
Повышенный уровень вибрации
|
Нормируемое значение равно
93 дБ, f
= 8,0 Гц
|
|
|
Повышенный уровень шума
|
Нормируемое значение равно
80 дБА
|
|
|
Выпуск чугуна и шлака; уборка
продуктов плавки;
передача чугуна в дальнейший
передел
|
Литейный двор доменной печи
|
Повышенная температура в рабочей
зоне
|
Нормируемое значение равно
18-22 ºС
|
|
Повышенный уровень шума
|
Нормируемое значение равно
80 дБА
|
|
Повышенная запыленность и
загазованность воздуха рабочее зоны
|
Для СО ПДК воздуха составляет 20
мг/м3 (состояние - газ) вещество с остронаправленным действием,
требующее автоматического контроля за его содержанием в воздухе
|
|
Центральный пульт управления
доменной печи
|
Повышенная температура воздуха
|
Зимний период
21-24ºС, летний период
22-24ºС
|
|
Повышенный уровень шума на
рабочем месте
|
Нормируемое значение равно
65 дБ
|
|
|
|
|
|
|
|
Мощные конвекционные потоки воздуха, возникающие при выпуске
чугуна и шлака, поднимают осевшую пыль. Поэтому при выпуске чугуна наблюдается
наибольшая запыленность воздуха, достигающая десятков и сотен мг/м3.
Пыль на литейных дворах имеет высокую дисперсность (частицы до 2 мкм в диаметре
составляют 70 %).
Химический состав колошниковой пыли зависит от состава шихты.
Колошниковая пыль содержит 8... 12% окислов кремния, 16...20% углерода и до
50... 60% окислов железа.
Выпуск
пыли из пылеуловителей обычно сопровождается засорением окружающего
пространства колошниковой пылью, которая хорошо распространяется в воздухе и
имеет состав, приведенный в таблице 5.2.
Таблица
5.2 – Фракционной состав колошниковой пыли из пылеуловителя, мкм
|
Фракционный состав колошниковой пылиРазмер частиц, мкм
|
+500
|
500... 200
|
200... 90
|
90... 40
|
40. ..10
|
-10
|
|
Содержание, %
|
1,2
|
21,0
|
40,5
|
30,2
|
3,9
|
3,2
|
Крупнодисперсная пыль (более 10 мкм) в легкие не попадает, частицы
менее 10 мкм проходят в легкие.
Наличие в
воздухе пыли, содержащей окислы кремния, железа и других минеральных
составляющих, может вызвать наиболее тяжелые заболевания, получившие название
пневмокониозов.
На литейных
дворах есть источники пылевыделения. Аэрозоль конденсации над поверхностью
расплавленного чугуна содержит оксид железа, марганца, графит. Аэрозоль
образуется при очистке и восстановлении канав, при перемещении сыпучих
материалов.
Составляющие доменного газа по-разному действуют на организм
человека и могут вызвать удушье или отравление. Доменный газ легко
распространяется в воздухе, а в сырую и холодную погоду может опуститься в
нижние слои воздуха, создавая загазованность на рабочих местах.
В воздухе литейного двора присутствует окись углерода. В
зависимости от качества выплавляемого чугуна доменный газ имеет следующий
состав: 11...17% СО2, 22...28% СО, 1,5...7,5% Н2,
0,1...0,3% СН4 и 50...57%N2.
При определенной концентрации газов в воздухе и наличии источника
с температурой выше температуры воспламенения газа может произойти взрыв.
Такими источниками могут быть: открытый огонь, искра, электрическая дуга,
нагретое тело.
5.2 Санитарно – технические требования
5.2.1 Объемно-планировочные решения зданий и сооружений
ОАО «Уральская сталь»
(ОХМК) относится к первому классу производства. Для таких предприятий ширина
санитарной зоны должна составлять не менее 2 км.
Расположение комбината
относительно жилого массива является благоприятным, т.к. роза ветров имеет
северо-западное господствующее положение, что способствует удалению вредных
веществ от города.
Доменный цех расположен с
подветренной стороны к административному зданию. Такая планировка позволяет
относить вредные выбросы и шум в сторону от него.
Все рабочие площадки
расположены на высоте не более 0,7 м, ограждены сварными конструкциями на
высоте не более 0,5 м.
Центральный пульт
управления доменной печью включает в себя комнату общей площадью 30 м2
и высотой 2,5 м. Объём комнаты 75 м3. Основных рабочих мест – 3.
Таким образом, фактическая площадь на одного рабочего составляет 10 м2
или 25 м3.
5.2.2 Требования к микроклимату
Нормами для тяжелой категории работ (доменное производство) на
постоянных рабочих местах установлены оптимальные параметры воздушной среды:
температура 17...20 °С, относительная влажность 40...60 % и скорость движения
воздуха не более 3 м/с. Тепловая нагрузка на рабочих местах не должна превышать
300 ккал/м2·ч.
На участках, где тепловая нагрузка превышает 0,35 Вт/см2,
необходимо установить вентиляторы, воздушное душирование, высокодисперсное
распыление воды, холодное экранирование, созданы помещения для отдыха,
температура в которых должна поддерживаться на уровне 22°С. Применять установки
для охлаждения и кондиционирования воздуха. Температура и скорость воздуха при
пользовании воздушными душами в доменных цехах в летнее время 18...22°С и 2...3
м/с, а в зимнее 16...18°С и 1...3 м/с.
За смену рабочий доменного цеха теряет в виде пота 6...10л воды.
Поддержание водного режима организма, как правило, осуществляется путем
использования газированной воды. Доменный цех имеет автоматические сатураторные
установки с централизованной подачей воды к рабочим местам. Водопровод
газированной воды теплоизолируется. Кроме газированной воды, на рабочих местах
устраиваются фонтанчики с обычной питьевой водой. Питьевые точки находятся от
рабочих мест на удалении не более 75м.
Необходимый воздухообмен
обеспечивается механической вентиляцией. Кратность воздухообмена более 5,
скорость движения воздуха не превышает допустимого значения 0,1 м/с.
Для снижения шума и
вибрации оборудования, аппараты, приборы установлены на амортизирующие
прокладки.
Параметры воздушной среды
удовлетворяют требованиям ГОСТ 12.1.005-88. Таким образом, микроклимат в
рассматриваемом помещении соответствует нормативам.
Объём приточного воздуха Lnp, необходимого для
ассимиляции приточных тепловыделений определяется по формуле:
, (5.1)
где Qизб - тепловые избытки, Дж/ч;
Ср - удельная теплоёмкость, Дж/кг·К;
рн - плотность воздуха, кг/м3;
tУХ, tH - температуры уходящего и наружного воздуха, К.
Объём удаляемого из цеха воздуха Lyд определяется по формуле:
, (5.2)
где рух - плотность уходящего воздуха, кг/м3.
Благодаря нагреву в помещении, объём воздуха увеличивается на 2,9
%. Величина теплового напора Нm определяется по формуле:
, (5.3)
где h - расстояние между осями верхних и нижних проемов, м;
рп - плотность воздуха при средней температуре (рп
= 1,177кг/м3);
рн - плотность воздуха при 21 °С (рн =
1,2006 кг/м3).
Средняя температура воздуха равна tср = (24+30) 2 = 27 °С. После подстановки значений, находится Нm:
.
Принимая разность давлений на нижних и верхних проёмах одинаковой,
находится H1:
(5.4)
Скорость воздуха в приточных проёмах Vnp, при полученной разности
давлений, определяется по формуле:
, (5.5)
где g - ускорение свободного падения, м/с;
Н - разность давлений воздуха в помещении и вне его, Па;
рн - плотность наружного воздуха, кг/м3.
Скорость в вытяжных проемах определяется по формуле:
, (5.6)
где Рух - плотность уходящего воздуха, кг/м3.
Площадь приточных проёмов Fnp (со створками, открытыми
на 90°) рассчитывается по формуле:
, (5.7)
где Lnp - объём приточного воздуха, м3/ч;
µ - коэффициент расхода;
Vnp - расчётная скорость воздуха в проеме, м/с.
Площадь вытяжных проёмов в фонаре Fyx (со створками, открытыми
на 90°) определяется по формуле:
, (5.8)
где Lух- объём уходящего воздуха, м3/ч;
µ - коэффициент расхода;
Vyx - скорость воздуха на выходе из проема, м/с.
Для аэрации в
цехе выполняют отверстия в продольной стене здания, нижний ряд (для притока
воздуха в теплый период года) на уроне 2м, верхний ряд (для притока воздуха в
холодный период года) на уровне 8 м. Отверстия имеют высоту 1,2 метра и
расположены справа и слева от литейного двора. На кровле здания устанавливается
аэрационный фонарь, оборудованный ветрозащитными панелями. Открывание створок
фонаря механизировано.
5.2.3
Требования к освещению
Требования
к искусственному освещению определяются «Строительными нормами и правилами» и
«Санитарными нормами проектирования промышленных предприятий».
При
искусственном освещении (по СНИП 23.05.95), при работе со светящимися
материалами и изделиями в горячих цехах освещенность составляет 200 лк. На
рабочей площадке литейного двора 50 лк; в здании машинного зала и помещении
управления печью 100 лк; в подбункерном и других помещениях 50 лк; в проездах
для транспорта 20 лк; в прочих ходах и на лестницах 15 лк.
В цехах необходимо предусматривать рабочее освещение и
аварийное. Аварийное освещение должно иметь независимый источник питания от
аккумуляторных батарей или независимого генератора. Отсутствие освещения
вызывает необходимость остановки доменной печи. При этом возникает опасность
травм, взрывов, аварий. Составляются графики очистки и ремонта осветительной
арматуры, фонарей и окон. Рациональная окраска оборудования улучшает условия
освещения.
В
соответствии со СНИП 23-05-95, выбирается освещённость
центрального пульта управления, и нормируются его параметры. Нормы
освещенности для ЦПУ доменной печи представлены в таблице 5.3.
На ЦПУ доменной печи необходимо искусственное освещение, т.к.
помещение будет находиться в центре доменного цеха в месте без достаточного
естественного освещения.
Таблица 5.3 -
Нормы освещения для ЦПУ
доменной печи
|
Показатели
|
Норма
|
|
Характеристика зрительных работ
|
Высокой точности
|
|
Разряд зрительной работы
|
3
|
|
Подразряд зрительной работы
|
В
|
|
Относительная продолжительность
зрительной
работы, %
|
Менее 70,0
|
|
Освещённость на рабочей
поверхности от системы общего искусственного освещения, лк
|
300,0
|
|
Коэффициент пульсации
освещённости, %
|
10
|
|
Коэффициент естественной
освещённости при верхнем освещении, %
|
3,5
|
|
Коэффициент естественной
освещённости при боковом освещении, %
|
1,2
|
5.2.4 Расчет искусственного освещения рабочего места горнового
доменной печи
Рабочим местом горнового доменной печи является литейный двор.
Наиболее распространенным в проектной практике является расчет освещения по
методу коэффициента светового потока. Этот метод дает возможность подсчитать
световой поток источников света, необходимый для создания нормальной
освещенности расчетной горизонтальной поверхности.
Ф = (Emin·Kз·S·Z)/ N·n·g, (5.9)
где Ф - световой поток каждой из ламп, лк;
Emin - минимальная нормируемая освещенность, лк;
Кз - коэффициент запаса;
S - площадь помещения, м2;
Z - отношение средней освещенности к минимальной, этот коэффициент необходимо
вводить в связи с тем, что нормируется не средняя, а Emin, обычно применяется
1,1... 1,5 (в среднем 1,2);
N - выбранное число светильников, шт;
g – коэффициент затемнения на рабочем месте можно приниматься
равным 0,8... 0,9;
n - коэффициент использования светового потока ламп, зависящий от
типа светильника, коэффициентов отражения потолка (Рп), стен (Рс), высоты
подвеса светильника (h) и показателя помещения (i).
i
= (A·B)/h· (A+B), (5.10)
где А и В - два характерных размера помещения, м;
h - расчетная высота подвески светильника, м.
Для условий литейного двора доменного цеха принимаем: Emin = 200 лк; Кз = 1,7; Z = 1,2; N = 4 шт; g = 0,9; n = 15,2. Высота помещения
25 метров, ширина пролета 25 метров, длина 34 метра.
i = (25·34)/25· (25+34) = 0,58 м.
Тогда,
Ф = (200·1,7·850·1,2)74·15,2·0,9 = 6338 лк.
В проекте применяются ртутные лампы, типа ДРЛ-125, у которых
высокая световая отдача и большой срок службы. Напряжение в лампе 220 В,
мощность 125 Вт.
5.2.5
Требования к безопасности при устройстве и эксплуатации коммуникаций
Помещение центрального пункта управления доменной печи относится к
классу помещения с повышенной опасностью, так как не исключается возможность
одновременного прикосновения человека к заземлённым металлическим конструкциям
и корпусам электрического оборудования.
Использование электрического тока придаёт вопросам безопасности
большое значение, так как воздействие электрического тока может вызвать
электрические ожоги, фибрилляцию, потерю сознания и даже смерть. И даже при
развитой системе защитных мероприятий не следует считать, что они создают
абсолютный уровень безопасности. Во всех случаях необходимо высококачественное
выполнение электрических установок и их периодический контроль, поддерживание
качественного состояния изоляции, высокая дисциплина персонала и соблюдение
правил безопасности.
Для
удовлетворения санитарных и бытовых нужд работающих в цехе, предусматривается
строительство специальных помещений. Состав санитарно-бытовых помещений
определяется на основании санитарной характеристики производственных процессов
в цехе. Для
удовлетворения санитарных и бытовых нужд работающих предусмотрены специальные
помещения. В доменном цехе они относятся к группе II б. Данные расчета площадей представлены в таблице 5.4.
Таблица 5.4 – Данные расчета специальных площадей для
центрального пульта управления доменной печью
|
Наименование расчетной площади
|
Наименование
и количество бытовых устройств
|
Нормы площади на одного человека,
м2
|
Количество человек
|
Всего площа
ди, м2
|
|
1
|
2
|
3
|
4
|
5
|
|
Гардеробные
|
Шкаф 0,5х0,4х1,65
|
1,2
|
3
|
3,6
|
|
Умывальные
|
Один кран
|
1,75
|
3
|
5,25
|
|
Уборные
|
Один унитаз
|
1,08
|
3
|
3,24
|
|
Устройство питьевого
водоснабжения
|
Одно устройство
|
2,0
|
3
|
6
|
|
Помещения для общественного
питания
|
Столы, стулья
|
1,47
|
3
|
4,41
|
|
Помещение для отдыха
|
|
2
|
3
|
6
|
Аналогичные условия
имеются и для горновых доменной печи № 3,4.
5.3 Разработка мер защиты от опасных вредных производственных
факторов
Технические меры защиты приведены в таблице
5.5.
Таблица 5.5 - Технические меры защиты
от вредных и опасных производственных факторов в доменном цехе
|
Операция
технологического процесса
|
Агрегат,
оборудование,
на которых выполняется операция
|
Характеристика потенциально
опасных и вредных производственных факторов
|
Защитное
устройство
|
|
Загрузка шихтовых материалов в
печь
|
Бункерные помещения
|
Недостаточная освещенность
рабочей зоны
|
Ламы накаливания и люминесцентные
лампы
|
|
Повышенный
уровень вибрации
|
Виброизолятор типа резиновых
прокладок
|
|
Повышенный
уровень шума
|
Звукопоглощающий экран
|
|
Выпуск чугуна и шлака.
Уборка продуктов плавки
Передача чугуна в дальнейший
передел
|
Литейный двор доменной печи
|
Повышенная температура в рабочей
зоне
|
Теплоотводящий экран
|
|
Повышенный уровень шума
|
Звукоизолирующий кожух
|
|
Повышенная запыленность и
загазованность воздуха рабочее зоны
|
Вытяжной зонт
|
|
Центральный пульт управления
доменной печи
|
Повышенная температура воздуха
|
Вентиляторы, воздушное
душирование
|
|
Повышенный уровень шума на
рабочем месте
|
Звукопоглощающий экран
|
5.4 Безопасность жизнедеятельности в чрезвычайных ситуациях
5.4.1 Пожаро и
взрывобезопасность
В соответствии с НПБ
105-95 по взрыво и пожароопасности помещение центрального пульта управления
относится к категории «В4».
Согласно СНИП 2.01.02–85 помещение
пульта управления имеет третью степень огнестойкости. Для тушения имеется
огнетушитель типа ОУ–5.
Возможность эвакуации
людей из помещения в случае возникновения пожара обеспечивается коридором
шириной 2 м. Расстояние от наиболее удаленного рабочего места до выхода наружу
или на лестничное крыло не превышает 15 м.
С целью предупреждения
пожаров и ограничения распространения огня в помещении предусмотрено устранение
всех возможных источников воспламенения, составление правил эксплуатации
агрегатов, устройство пожарной сигнализации.
5.4.2 Токсическая безопасность
В доменном цехе могут быть различные виды аварии:
- остановка воздуходувной машины, которая подает воздух в доменную
печь;
-
разрыв
кожуха шахты печи;
-
прогар
фурмы или холодильника;
-
прекращение
подачи природного газа на газораспределительную станцию;
-
прорыв
чугуна в зонах горна и чугунной летки;
-
выброс
расплавленных и раскаленных материалов на литейный двор и железнодорожные пути;
-
выброс
газа или утечка газа и т.д.
Вид аварий и способ их ликвидации приведен в таблице 5.6.
Таблица 5.6 – Виды возможных
аварий в доменном цехе
|
Виды аварий и их
возникновение
|
Мероприятия
по спасению людей
и
ликвидации аварии
|
|
1 Остановка
воздуходувной машины
|
1) Сообщить об аварии диспетчерам доменного и газового
цехов, сообщить в ГСС.
2) Остановить печь:
а) выключить загрузку печь открыть дросселя дроссельной
группы;
б) прекратить подачу природного газа в печь;
в) прекратить нагрев воздухонагревателей;
г)
открыть полностью клапан "снорт ";
д) закрыть
клапан горячего дутья, смесительную задвижку и шибер холодного дутья;
3)
Вызвать необходимый персонал для ликвидации аварии.
4)
Приступить к ликвидации последствий аварии.
|
|
2
Разрыв кожуха шахты печи
|
1)
Взять печь на «снорт».
2)
Вызвать газоспасателей, выставить оцепление опасной зоны и удалить людей с
площадок шахты и колошника.
3)
Сообщить диспетчеру об аварии.
4) При
необходимости остановить печь.
5)
Сообщить начальнику цеха об аварии и при необходимости вызвать необходимый
персонал.
6) Приступить к ликвидации аварии и ее последствий.
|
|
3 Прекращение подачи природного
газа на газораспределительную станцию
|
1)
Поставить в известность начальника доменного цеха.
2)
Закрыть вентиля природного газа.
3) По
команде начальника цеха принять меры по сохранению теплового состояния печи.
4) С
целью обеспечения котлов ЦЭС и ПВЭС доменным газом количество
воздухонагревателей на нагреве держать по команде диспетчера газового цеха.
5)
Закрыть коксовый газ на воздухонагреватели.
|
5.4.3 Специальные
разработки по обеспечению безопасности (расчет теплопоглощающего экрана)
Теплоотводящий экран
представляют собой сварную плиту из стальных листов, с внутренней стороны
футерованную огнеупорным кирпичом. Между сварными листами циркулирует вода,
которая поглощает тепло и уносит его.
Количество теплоты,
переданной с 1 м2 горячей стенки воде определяется по формуле:
, (5.11)
где С0-коэффициент
излучения абсолютно чёрного тела;
Апр-
приведенная степень черноты;
Т1-температура
горячей стенки, Т1=1673 К;
Т2-
температура стенки экрана, Т2=323 К.
В свою очередь, приведенная
степень черноты определяется по формуле:
, (5.12)
где e1- степень черноты горячей стенки, e1=0,75;
e2- степень черноты стального листа экрана, e2=0,9.
Апр =
ЕИ =
Вт.
Необходимое количество
воды для охлаждения экрана определяется по формуле:
, (5.13)
где a - коэффициент
поглощения инфракрасных лучей материалом экрана и водой,
а = 0,9;
F - площадь стенки
экрана, F=4 м2;
с - теплоемкость воды,
c=4,19×103
;
tух-
температура уходящей воды, tух=33ºС;
tп-
температура поступающей воды, tп=18ºС.
G =
кг/ч.
Необходимое количество
воды при установке теплоотводящего экрана составляет 64027 кг/ч. Данное
количество очень сложно обеспечить, что и затрудняет их массовое применение.
Вопрос обеспечения БЖД работников
предприятий и по сей день является актуальным, что обусловлено прежде всего
тем, что на протяжении последних лет усугубляется неблагоприятная ситуация в
промышленности с охраной труда, а в окружающей среде - с качеством природной
среды. Растут число и масштабы техногенных чрезвычайных ситуаций. В
промышленности растет уровень производственного травматизма и профессиональной
заболеваемости. Растут и масштабы загрязнения атмосферы.
На предприятиях
необходимо принимать меры для полного обеспечения безопасности персонала в
случае с чрезвычайными ситуациями. Необходимо иметь средства сигнализации об
опасности вследствие аварии, а также необходимо иметь специально обученный
действиям персонал, чтобы не было необходимости в привлечении персонала министерства
чрезвычайных ситуаций (при небольшом масштабе аварии). На предприятии, согласно
утвержденного графика, необходимо проводить учения с имитацией приближенные к
реальным действиям. На промышленном предприятии должна быть четко отработана
схема эвакуации персонала объекта (а в случае необходимости и членов их семей)
в чистую зону. Ю Персонал должен четко знать,
что в случае аварии он эвакуируется из зоны заражения строго против ветра,
должен уметь пользоваться индивидуальными средствами защиты, имеющимися на
рабочих местах. Эти мероприятия должны снизить вероятность больших последствий
аварий с выбросом вредных веществ, а также количество погибших и получивших
ранения (и как следствие - инвалидность), что соответственно уменьшит процент
экономического ущерба предприятия в случае аварии на самом объекте или соседнем
с ним химическом объекте.
6
Охрана окружающей природной среды
6.1
Описание состояния окружающей среды в районе ОАО «Уральская сталь» (ОХМК)
Предприятие ОАО
«Уральская сталь» находится в восточной части города Новотроицк, который
расположен на Южном Урале. В городе роза ветров благополучная для местного
населения, отмечается большая повторяемость северо-восточных ветров.
Предприятие расположено за чертой города и на ровной площадке.
Нормативная санитарно-защитная
зона для действующего предприятия, согласно СН 245-71 составляет 2000 метров.
Металлургическая
промышленность, по степени ущерба, наносимого окружающей среде в нашей стране
занимает второе место среди отраслей промышленности после топливно-энергетического
комплекса, отличаясь высокой ресурсоемкостью и, как следствие большими
отходами.
Основными
источниками загрязнения на металлургическом предприятии с полным циклом, в том
числе и на ОАО «Уральская сталь» (ОХМК), являются выбросы коксохимического,
агломерационного, доменного и сталеплавильного производств.
Количество
выбросов загрязняющих веществ (тыс. тонн) в атмосферу в структурных
подразделениях ОАО «Уральская сталь» (ОХМК) представлено в таблице 6.1.
Таблица 6.1 – Норматив выбросов
загрязняющих веществ (тыс. тонн) в атмосферу в структурных подразделениях ОАО «Уральская
сталь» (ОХМК)
|
Наименование
цеха, производства
|
твердые
|
оксид углерода
|
окислы азота
|
диоксид серы
|
прочие
|
всего по цеху
|
|
ПДВ
|
ВСВ
|
ПДВ
|
ВСВ
|
ПДВ
|
ВСВ
|
ПДВ
|
ВСВ
|
ПДВ
|
ВСВ
|
ПДВ
|
ВСВ
|
|
КХП
|
1,068
|
1,516
|
2,284
|
8,868
|
0,438
|
0,438
|
0,367
|
2,651
|
0,224
|
0,230
|
4,381
|
13,698
|
|
Аглоцех
|
3,535
|
5,110
|
51,189
|
70,285
|
0,272
|
1,510
|
0,896
|
6,545
|
0,0012
|
0,0012
|
55,8932
|
83,1372
|
|
Доменный цех
|
4,339
|
4,339
|
5,812
|
5,812
|
0,434
|
0,491
|
0,362
|
0,371
|
0,0299
|
0,0919
|
10,9769
|
11,1049
|
|
Мартеновский цех
|
1,01
|
1,35
|
1,239
|
2,232
|
0,599
|
0,728
|
0,068
|
0,185
|
0,0646
|
0,0177
|
2,9806
|
4,5127
|
|
ЭСПЦ
|
0,618
|
0,618
|
1,21
|
1,21
|
1,088
|
1,088
|
0,127
|
0,127
|
0,0445
|
0,0445
|
3,0875
|
3,0875
|
|
Огнеупорный цех
|
0,516
|
0,486
|
0,949
|
0,894
|
0,092
|
0,13
|
0,065
|
0,108
|
0
|
0
|
1,622
|
1,618
|
|
Механический цех
|
0,0044
|
0,0044
|
0,000181
|
0,00181
|
0,0067
|
0,0067
|
0
|
0
|
0,003
|
0,003
|
0,01428
|
0,01428
|
|
Цех быта
|
0,0149
|
0,0149
|
0,0064
|
0,0064
|
0,0015
|
0,0015
|
0,0148
|
0,0148
|
0,0053
|
0,0053
|
0,042
|
0,0429
|
|
ФЛЦ
|
0,075
|
0,075
|
0,352
|
0,352
|
0,064
|
0,082
|
0,00072
|
0,00072
|
0,00267
|
0,00267
|
0,49439
|
0,51239
|
|
ОБЦ
|
0,0854
|
0,0854
|
0,0377
|
0,0377
|
0,219
|
0,219
|
0
|
0
|
0
|
0
|
0,3421
|
0,3421
|
|
ЛПЦ – 1
|
0,0248
|
0,0248
|
0,0233
|
0,0233
|
0,066
|
0,345
|
0
|
0
|
0
|
0
|
0,1141
|
0,3931
|
|
ЛПЦ – 2
|
0,032
|
0,032
|
0
|
0
|
0,267
|
0,267
|
0
|
0
|
0,00392
|
0,00392
|
0,30292
|
0,30292
|
|
СПЦ
|
0
|
0
|
0
|
0
|
0,064
|
0,469
|
0
|
0
|
0
|
0
|
0,064
|
0,459
|
|
ЦШИ
|
0
|
0
|
0
|
0
|
0,061
|
0,0723
|
0
|
0
|
0
|
0
|
0,061
|
0,0723
|
|
ТЭЦ
|
1,297
|
1,296
|
1,681
|
1,635
|
1,055
|
2,933
|
0,858
|
2,225
|
0
|
0
|
4,891
|
8,089
|
|
АТУ
|
0,0463
|
0,0463
|
4,831
|
4,831
|
0,553
|
0,553
|
0,1246
|
0,1246
|
0,769
|
0,796
|
6,3239
|
6,3239
|
|
УЖДТ
|
0,0102
|
0,0102
|
0,189
|
0,18
|
1,012
|
1,012
|
0
|
0
|
0
|
0
|
1,2112
|
1,2112
|
|
Всего
|
12,632
|
14,93
|
63,80358
|
96,376
|
6,2922
|
10,346
|
2,88312
|
12,352
|
1,14809
|
1,169
|
92,803
|
135,173
|
6.2
Объемы выбросов и сбросов доменного цеха
Из
доменных печей выходит большое количество грязного газа в атмосферу, который
влияет на дыхание и является причиной острых респираторных заболеваний. Выбросы
делятся на технологические и неорганизованные.
Технологические
- это колошниковый газ, в котором содержится оксид углерода СО, пыль, метан СН4
водород Н2 и незначительные количества сероводорода H2S и диоксида серы SO2.
Это газы, которые попадают в атмосферу, в основном, через загрузочное
устройство, при загрузке материалов в печь. Неорганизованные - в основном это
пыль от шихтовых материалов, часть которых удаляется системой аспирации.
На
литейном дворе пыль и газы выделяются от леток чугуна и шлака, желобов и
участков слива, от ковшей. Концентрация пыли при выпуске составляет 150... 1500
мг/м3, 5...250 мг/м3, средняя концентрация SO2 возле шлаковых леток и желобов до 30 мг/м3.
При
переработке шлаков основными загрязнениями являются сульфиды металлов. Валовые
выбросы вредных веществ при переработке шлака приведены в таблице 6.2.
Таблица 6.2 – Валовые выбросы вредных
веществ при переработке шлаков
|
Процесс
|
Производительность
установок, тыс. т/год
|
кг/сутки
|
|
Пыль
|
SO2
|
СО
|
H2S
|
|
Производство
шлаковой пемзы
|
500
|
200
|
12
|
4,0
|
120
|
|
Производство
литого щебня
|
1000
|
30
|
12
|
0,6
|
100
|
|
Очистка шлаковых
ковшей
|
800
|
30
|
60
|
300
|
350
|
При
сливе и переработке шлака эти вещества выделяются в атмосферный воздух. Вредные
вещества, выбрасываемые в атмосферу при грануляции шлака: сероводород H2S, оксид серы SO2, оксид серы SО3 и серная кислота. Величина удельных выбросов в
граммах на 1 тонну шлака в летний период составляет: 500 H2S, 50 SO2, 40 H2SO4; в зимний период - 600 H2S, 130 SO2,13 H2SO4.
Данные
неорганизованных выбросов представлены в таблице 6.3.
Таблица 6.3 – Сводные данные
неорганизованных выбросов в доменном цехе
|
Участки доменного цеха
|
Количество выбросов, г/т чугуна
|
|
пыль
|
СО
|
SO
|
H S
|
|
1
|
2
|
3
|
4
|
5
|
|
Бункерная эстакада
|
50
|
―
|
―
|
|
Подбункерное помещение
|
до 1200
|
―
|
―
|
―
|
|
Литейный двор
|
400…700
|
700…1150
|
110…170
|
―
|
|
Здание воздухонагревателей
|
―
|
11…14
|
―
|
―
|
|
Разливочные машины
|
40
|
60
|
―
|
―
|
|
Переработка шлака
|
20
|
8
|
20
|
50
|
|
Межконусное пространство
|
4000
|
2000
|
―
|
0,5…3,0
|
Наиболее
опасна пыль, содержащая кремнезем. Предельно допустимые концентрации ее в
воздухе зависят от наличия свободной кремнекислоты. Допускается содержание пыли
не более 1 мг/м3, при содержании в пыле более 70 % свободной SiО2; при содержании в пыли
10...70 % SiО2 предельная запыленность
воздуха не должна превышать 2 мг/м3, а если в пыли содержится менее
10 % SiO2, - 4 мг/м3. Предельно допустимые
концентрации в воздухе вредных веществ составляют: СО – 20 мг/м3; SO2 – 10 мг/м3; MnO – 0.05 мг/м3; FeO – 4 мг/м3; H2S – 5
мг/м3.
6.3
Расчет платы за выбросы доменного цеха
Плата за
выбросы загрязняющих веществ определяется по формуле:
S = Мвыбр · Цпдв ·
к1 · к2 · к3, (6.1)
где
Мвыбр – масса выбросов, т/год;
Цпдв –
норматив ПДВ, руб/т;
к1 –
региональный коеффициент;
к2 –
дополнительный коеффициент для предприятия, расположенных в черте города;
к3 –
коеффициент индексации цен.
Расчет
платы за выбросы доменного цеха приведены в таблице 6.4.
Таблица
6.4 – Расчет платы за выброс загрязняющих веществ а атмосферу
|
Наименование загрязняющего
вещества
|
ВСВ,
тонн
|
Фактический выброс,
тонн
|
Норматив платы в пределах ВСВ,
тонн
|
Норматив платы сверх ВСВ,
руб/тонн
|
Размер платы за выброс в пределах
ВСВ, руб/тонн
|
Сумма платежей, руб
|
|
Твердые
|
4339
|
2640,53
|
366
|
0
|
966435,44
|
966435,44
|
|
Оксид углерода
|
5812
|
4223,34
|
3
|
0
|
12700,01
|
12700,01
|
|
Оксид азота
|
491
|
368,58
|
260
|
0
|
95830,02
|
95830,02
|
|
Диоксид серы
|
371
|
201,92
|
200
|
0
|
40383,6
|
40383,6
|
|
Итого
|
-
|
7444,37
|
-
|
-
|
1115349,1
|
1115349,1
|
6.4
Очистка колошникового газа
Применение колошникового
газа невозможно без очистки его от выносимой из печи пыли.
Колошниковый
газ проходит последовательно 3 ступени очистки – грубую, полутонкую и тонкую. В
агрегатах каждой ступени улавливается пыль определенных размеров и свойств.
Для
грубой очистки колошниковый газ используются сухие пылеуловители инерционного
типа.
Полутонкая очистка осуществляется
в скрубберах и трубах-распылителях (типа Вентури). В них осаждаются более
мелкие частицы пыли. а Тонкой очистке колошниковый
газ подвергается в электрических и металлотканевых фильтрах. С переводом
доменных печей на работу с повышенным давлением газа под колошником в схеме
газоочисток используется новый агрегат – дроссельная группа. Выполняя свои основные
функции по повышению и поддержанию давления колошниковый газ, она оказалась очень
эффективным агрегатом для его тонкой очистки.
Работа агрегатов для
очистки газа характеризуется коэффициентом осаждения пыли (η), равным
отношению количества уловленной пыли к количеству ее в газе до очистки.
Величина его в сухих пылеуловителях составляет 0,5-0,8. В агрегатах мокрой
очистки коэффициент осаждения пыли достигает: 0,8-0,9 – в скрубберах, 0,88-0,9
– в трубах-распылителях, 0,95 – в дроссельных группах.
В доменном цехе ОАО
«Уральская сталь» (ОХМК) очистка колошникового газа осуществляется по следующей
схеме.
Газ из доменной печи по
вертикальным и нисходящим газоотводам направляется в сухой пылеуловитель для
грубой очистки. Скорость ввода его через центральную трубу достигает 10-15 м/с.
Из сухого пылеуловителя
газ по газопроводу грязного газа подается в скруббер. Во избежание осаждения
пыли скорость газа в газопроводе должна быть не менее 15 м/с.
Дальнейшая очистка газа
осуществляется в трубах-распылителях и дроссельной группе. Высокие до 150 м/с в
трубе-распылителе и до 300 м/с в дроссельной группе скорости газа, создаваемые
в этих агрегатах, способствуют разрушению газовых оболочек на частицах пыли,
смачиванию и коагуляции этих частиц.
Чистый газ после
водоотделителя (каплеуловителя), где улавливаются капли воды, поступает в
коллектор чистого газа.
6.5
Влияние загрязняющих веществ на здоровье человека
ПДК
вредных веществ в воздухе рабочей зоны и классы опасности ряда вредных веществ,
наиболее часто встречающихся в доменном цехе и атмосфере районов размещения
предприятий черной металлургии, а также влияние на человека загрязняющих
веществ приведены в таблице 6.5.
Таблица
6.5 – ПДК вредных веществ
|
Вещество
|
Класс
опасности
|
Состояние воздушного бассейна
При концентрации выше, мг/м³
|
Предельно допустимая
концентрация, мг/м³
|
|
Вызывает опасение
|
Опасное
|
Чрезвычайно опасное
|
В воздухе рабочей зоны
|
В атмосферном воздухе
|
|
ПДК м.р.
|
ПДК с.с.
|
|
Пыль нетоксич-ная
|
3
|
0,15
|
0,76
|
3,75
|
10
|
0,5
|
0,15
|
|
Действие на организм человека
|
Оказывает раздражающее действие,
вызывает конъюнктивит, дерматиты, фиброз легких
|
|
Диоксид серы
|
3
|
0,06
|
0,18
|
0,2
|
10
|
0,5
|
0,06
|
|
Действие на организм человека
|
Оказывает общетоксичное,
раздражающее, эмбриотоксическое действие
|
|
Диоксид азота
|
2
|
0,085
|
0,250
|
0,766
|
5
|
0,085
|
0,085
|
|
Действие на организм человека
|
Сильно токсичен, оказывает
общетоксичное, раздражающее аллергенное действие
|
|
Оксид углерода (угарный газ)
|
4
|
1,0
|
5,0
|
26,0
|
20
|
5,0
|
3,0
|
|
Действие на организм человека
|
Сильно токсичен, кровяной яд,
нарушет дыхание, уменьшает потребление тканями кислорода, вызывает судороги
|
|
Предель-ные углеводо-роды
|
4
|
1,5
|
7,6
|
37,5
|
300
|
-
|
-
|
|
Действие на организм человека
|
Оказывает наркотическое действие,
вызывает головокружение, кашель, влияет на кроветворную систему
|
|
Сажа
(копоть)
|
4
|
0,05
|
0,25
|
1,25
|
4
|
0,15
|
0,05
|
|
Действие на организм человека
|
Оказывает канцерогенное действие,
вызывает кожные заболевания
|
|
Сероводо-род
|
2
|
0,006
|
0,024
|
0,072
|
10
|
0,008
|
0,008
|
|
Действие на организм человека
|
Сильно токсичен, оказывает
общетоксическое действие, адсорбируется на неповрежденной коже, вызывает
головокружение, слезоточение, расстройство сердечно-сосудистой системы
|
|
Сероугле-род
|
2
|
0,005
|
0,015
|
0,045
|
1
|
0,03
|
0,005
|
|
Действие на организм человека
|
Оказывает общетоксичное и
эмбриотоксическое действие, а также способствует развитию сердечно-сосудистых
заболеваний, язвенной болезни желудка
|
|
Аммиак
|
4
|
0,2
|
1,0
|
5,0
|
20
|
0,2
|
0,2
|
|
Действие на организм человека
|
Оказывает раздражающее действие
|
|
|
|
|
|
|
|
|
|
|
|
|
Наиболее
эффективным способом борьбы с выбросами пыли и вредных газообразных компонентов
в воздушный бассейн предприятиями является установка газоочистных аппаратов.
Однако, как показала практика, пылегазовыделения можно значительно сократить
путем их подавления и локального отсоса, а также осуществления ряда мероприятий
технологического планировочного характера. В первую очередь следует внедрять
малоотходную технологию, позволяющую значительно уменьшить нагрузку на
газоочистные аппараты и тем самым повысить эффективность их работы, а иногда и
обойтись без их установки.
6.6
Отходы доменного производства
Основными отходами
доменного производства являются шлак, колошниковая пыль и газ. Кроме того, в
доменном цехе образуются следующие отходы производства и потребления: ртутные
лампы, люминесцентные ртутьсодержащие трубки отработанные и брак, лом меди
несортированный, масла индустриальные отработанные, масла гидравлические
отработанные, не содержащие галогены, масла компрессорные отработанные, бой
шамотного кирпича, остатки и огарки стальных сварочных электродов, лом черных
металлов несортированный, стружка бронзы незагрязненная.
Химический состав отходов
доменного производства представлен в таблице 6.6.
Таблица 6.6 – Химический состав отходов
доменного производства, %
|
Наименование
|
SiО2
|
Al2О3
|
CaO
|
MgO
|
MnO
|
FeO
|
Fe2О3
|
S
|
TiО2
|
ппп
|
|
Шлак доменный
|
40,70
|
8,00
|
44,30
|
5,20
|
0,20
|
0,50
|
―
|
0,65
|
0,45
|
―
|
|
Пыль колошниковая
|
8,94
|
1,96
|
8,69
|
2,52
|
0,35
|
12,88
|
39,89
|
0,29
|
0,2
|
24,2
|
|
Шлам подбункерных
помещений
|
8,11
|
1,94
|
7,25
|
0,95
|
0,70
|
19,60
|
61,14
|
0,16
|
0,07
|
―
|
|
Коксовая мелочь
|
5,8
|
3,01
|
0,74
|
0,18
|
―
|
1,37
|
―
|
0,52
|
0,18
|
―
|
|
Пыль от конвееров глиномялки
|
57,80
|
28,50
|
0,60
|
2,60
|
―
|
―
|
2,30
|
1,90
|
―
|
6,3
|
Пыль, содержащаяся в
колошниковом газе, на 99 % улавливается системой газоочистки доменной печи
(доменная печь → пылеуловитель → скруббер → трубы-распылители
→ дроссельная группа → каплеуловитель) и возвращается в передел:
применяется в качестве одного из компонентов агломерационной шихты.
Колошниковый газ, содержащий в своем составе большое количество горючих
компонентов, применяется в качестве топлива для обогрева воздухонагревателей, мартеновских
печей и других нужд. Шлак, в настоящее время гранулируется и в этом виде
используется в строительных целях. Грануляция шлака осуществляется при его
сливе в воду. При этом выделяются такие вредные вещества, как сероводород H2S, оксид серы SO2, оксид серы SО3 и серная кислота. Величина удельных выбросов в
граммах на 1 тонну шлака в летний период составляет: 500 H2S, 50 SO2, 40 H2SO4; в зимний период - 600 H2S, 130 SO2,13 H2SO4.
Внедрение безотходной
технологии и расширение использования «попутных» материалов при производстве,
одним из которых является доменный шлак, обусловили необходимость
совершенствования методов его переработки. В настоящее время наиболее
рентабельным способом грануляции является так называемая «припечная»
грануляция, дающая большой экономический и производственный эффект за счет
сокращения расходов на содержание парка шлаковых ковшей.
Грануляция состоит из
шлакового желоба, под которым размещен гидрогранулятор и бункер-отстойник с
камерой оборотной воды и колодцем, где установлен шлаковый эрлифт.
С целью снижения вредного
влияния, особенно на атмосферный воздух (выбросы сероводорода, сернистого
ангидрида и серной кислоты), установки грануляции необходимо снабжать системой
улавливания парогазовых выбросов (сооружение зонтов, оборудование местными
отсосами) и нейтрализовать их (например, известковым молоком Са(ОН)2)
не только в газоочистных установках, но и путем подачи известкового молока в
воду, идущую на грануляцию.
В настоящее время в
доменном цехе ОАО «Уральская сталь» (ОХМК) производят из отходов следующую
побочную продукцию: щебень, граншлак.
Гранулированный
шлак применяется в строительном производстве (изготовление цемента).
Щебень
из доменных шлаков по ГОСТ 3344 - 83 в зависимости от физико-механических
свойств предназначается для устройства всех видов покрытий, оснований и
подстилающих слоев дорожных одежд. Нулевую фракцию (0-5 мм) – шлаковую мелочь,
обладающую вяжущими свойствами, применяют для устройства монолитных
шлакобетонных оснований и покрытий.
Руководство
ОАО «Уральская Сталь» принимает требования системы экологического менеджмента,
поддерживает обязательства Общества в области охраны окружающей среды и
гарантирует реализацию целевых и плановых экологических показателей на благо
Общества, акционеров, партнеров и общественности.
В разделе охрана
природной окружающей среды были рассмотрены вопросы нормативы выбросов
загрязняющих веществ в атмосферу в структурных подразделениях ОАО «Уральская
Сталь» (ОХМК), расчет платы за выбросы доменного цеха, влияние загрязняющих веществ
на здоровье человека, а так же меры по снижению выбросов вредных веществ.
Заключение
В дипломной работе рассмотрен
вопрос о применении металлоконцентрата (ЦРШО) в доменной шихте с целью
улучшения стабильности чугуна для производства изложниц. Произведенный
сравнительный анализ расчета доменной шихты с использованием металлоконцентрата
и без него, убедительно доказывает что применение местного сырья выгодно, так
как:
- происходит лучшее
усвоение марганца и хрома в чугуне, по сравнению с производством синтетического
чугуна;
- улучшается экологическая
обстановка, за счет переработки шлаковых отвалов;
- уменьшился расход
изложниц, отлитых на ФЛЦ;
- уменьшается расход
кокса.
Анализ экономической
эффективности показывает, что при введении металлоконцетрата в доменную шихту
себестоимость данной продукции снижается, что приводит к экономии
436,89 руб/т чугуна. Рентабельность производства возросла на 5,6%, годовой
экономический эффект составляет 269,89 млн. руб.
Список используемых источников
1
Панишев
Н.В. Практикум по курсу «Теория и технология подготовки сырья к доменной
плавке»: Учеб. пособие. – Свердловск:УПИ, 1987. – 84с.
2
Доменное
производство. Справочник т.1 / под ред. акад. И.П. Бородина. - М.:Металлургия,
1963. - 645с.
3
Вегман Е.Ф.,
Чургель В.О. “Теоретические проблемы металлургии чугуна”, М.: Машиностроение,
2000. - 348 с.
4
Яковлев
П.Д. Промышленные типы рудных месторождений. М.: Недра, 1990. - 216с.
5
Богданов
О.С. Справочник по обогащению руд. Обогатительные фабрики. 2-е издание перераб.
и доп. – М.: «Недра», 1984. – 358с.
6
Братковский Е.В.,
Шаповалов А.Н., Свойкина С.Е. Производство специальных хромоникелевых чугунов
из природнолегированных руд / Материалы III Всероссийской науч.-техн. конф.
«Прочность и разрушение материалов и конструкций». – Орск: ОГТИ, 2002. - 97с.
7
Технологический
отчет ОАО "Уральская сталь" (ОХМК), 2008. -62с.
8
Вегман Е.Ф.,
Жеребин Б.Н., Похвиснев А.Н., и др. “Металлургия чугуна”, издание 3 – ое
переработанное и дополненное, М., ИКЦ “Академкнига”, 2004. - 775 с.
9
Полтавец
В.В. Доменное производство. М.: Металлургия, 1981. - 416 с.
10 Рамм А.Н. Современный
доменный процесс. М.: Металлургия, 1980. - 134 с.
11
Андреев Е.Е.,
Петров В.А., Биленко Л.Ф. Дробление, измельчение и грохочение полезных
ископаемых. М.: Недра, 1980. – 13с.
12 Сибагатуллин С.К. Анализ
причин изменения расхода кокса и производительности доменной печи по
производственным данным: Метод, указания. Магнитогорск: МГТУ, 2000. - 20 с.
13 Гиммельфарб А.А., Котов
К.И. Процессы восстановления и шлакообразования в доменных печах. М.:
Металлургия, 1982. - 328 с.
14
Павлов
М.А. Металлургия чугуна. Часть 3. – М.:Гостехиздат,1947. - 295c.
15
Волков
Ю.П., Шпарбер Л.Я., Гусаров А.К. Технолог - доменщик. М.: Металлургия, 1986. -
354 с.
16
Справочник
рабочего доменного цеха: Справочного издание/ В.В. Данынин, П.И. Черноусов.
Челябинск: Металлургия, 1989.- 320 с.
17
Эксплуатация
современной доменной печи./ Ю.П. Волков, Л.Я. Шпарбер, А.К. Гусаров, В.М.
Федченко. М.: Металлургия, 1991. 240 с.
18
Немцев
В.Н., Кобельков Г.В. Экономическая эффективность инвестиций: Учеб. пособие.
Магнитогорск: МГМА, 1997. 107 с.
19
Немцев
В.Н., Аглюков Х.И. Финансовая оценка инвестиций: Учеб. пособие. Магнитогорск:
МГМА, 1998. 55 с.
20
Расчет
фонда оплаты труда на промышленном предприятии: Метод, указания/ В.Н. Немцев,
Г.В. Купфер, Т.Д. Савинова, Л. Т. Чехмер. Магнитогорск: МГТУ, 2000. - 41 с.
21
Бочков
Д.А. Управление производством. Учеб. пособие. М.:МИСиС, 2001. – 63с.
22
Бринза
В.П., Зиньковский М.М. Охрана труда в черной металлургии. М.: Металлургия,
1982. - 336 с.
23
Управление
охраной труда на металлургическом предприятии. Ф.Д. Авраменко, Н.Н. Карнаух,
Т.Н. Хорошев. М.: Металлургия, 1984. - 192с.
24
Безопасность
жизнедеятельности. Учебник для вузов/ С.В. Белов, А.В. Ильницкая, А.Ф. Козьяков
и др./ Под общ. ред. С.В. Белова. М.: Высшая школа, 1999. - 448 с.
25
ГОСТ
12.0.003-74. Опасные и вредные производственные факторы. Классификация. - М.;
Стройиздат, 1975.
26
ГОСТ
12.1.005-88. Общие санитарно-гигиенические требования к воздуху рабочей зоны.
-М.: Издательство стандартов, 1991.
27
Исследование
освещения рабочих мест: Метод, указания. Магнитогорск: МГТУ, 1999. - 52 с.
28
Учебное пособие № 216. Безопасность жизнедеятельности.
Потоцкий Е.П., Гриценко Н.В., Мануев Н.В. - М.: МИСиС, 1993. – 5с.
29
Учебное
пособие № 224 Безопасность жизнедеятельности. Л.С., Курулев В.В., Муравьев В.А.
- М.: МИСиС, 1994. - 16с.
30
Учебное
пособие для дипломного проектирования № 438. Охрана труда и окружающей среды.
Муравьев В.А. - М.: МИСиС, 1987. – 20с.
31
Бринза В.Н.,
Манцев Н.В., Шарин А.Ф. Охрана окружающей среды: Учебное пособие для дипломного
проектирования. М.: МИСиС, 1985. – 24с.
32
СанПиН
2.2.1/2.1.1.1.1031-01.
33
Шульц А.А.
Элементы безотходной технологии. – М.: Металлургия, 1991. – 174с.