Вторичная переработка отходов сульфидных руд для выделения молибдена

  • Вид работы:
    Курсовая работа (т)
  • Предмет:
    Технология машиностроения
  • Язык:
    Русский
    ,
    Формат файла:
    MS Word
    169,12 kb
  • Опубликовано:
    2010-10-19
Вы можете узнать стоимость помощи в написании студенческой работы.
Помощь в написании работы, которую точно примут!

Вторичная переработка отходов сульфидных руд для выделения молибдена

Введение


Необходимость создания рациональных технологий переработки труднообогатимых молибденовых руд связана, прежде всего, с сокращением сырьевой базы молибденовой промышленности нашей страны. И хотя в России разведано более десяти месторождений с промышленными запасами молибдена и семь из них представлены к промышленному освоению, однако в настоящее время только три месторождения разрабатываются. По некоторым оценкам разведанные запасы могут обеспечить производство молибдена (по современному уровню его потребления) на 50-60 лет. Однако, вполне реально, что предприятия, эксплуатирующие Жирекенское, Сорское и Тырныаузское месторождения и производящие 98% молибдена в концентрате, исчерпают запасы руды соответственно к 2015, 2020 и 2025 годам.

Глава 1. Молибден


1.1 Месторождения и использование


Молибден (Мо) - широко распространенный элемент земной коры, однако добывают его далеко не во всех странах мира, по причине редкой встречаемости пород с содержанием высококачественной молибденовой руды (молибденита, ). В некотором количестве молибден получают в качестве побочного продукта при обработке медных руд. В значительной мере в качестве источника молибдена могут служить угольные электростанции. Молибден - важный микроэлемент.

Молибден (в различных степенях окисления - 0, +2, +3, +4, +5 и +6) входит в состав широкого спектра применяемых в промышленности соединений. Он легко переходит из одной степени окисления в другую при малейших изменениях условий внешней среды. Для этого элемента характерна тенденция к образованию комплексов - за исключением сульфидов и галогенидов, большая часть его соединений представляют собой комплексы. Шестивалентный молибден образует изо - и гетерополярные кислоты.

Более 90% производимого в мире молибдена используется в качестве добавки к сплавам цветных металлов и железа, в том числе - сталям; остальные 10% применяются в производстве химических реактивов и смазочных материалов. В качестве составного элемента сталей молибден находит применение в электрике и электронике, военной и автомобильной промышленности, а также в самолетостроении. Еще одна область применения молибдена - производство неорганических молибденсодержащих красителей, морилок и лаков. В следовых количествах молибден все чаще используется в удобрениях.

Самое важное из используемых в промышленности соединений этого элемента - триоксид молибдена , получаемый путем термической обработки сульфидных руд. Чистый триоксид молибдена применяется в производстве химреактивов и катализаторов, технически чистый - в качестве катализатора в нефтехимии, а также как составная часть керамических глин, эмалей и красителей. Бисульфид молибдена применяется в качестве термостойкой смазки или добавки к смазкам. Гексакарбонил молибдена  - исходное вещество для синтеза органических молибденсодержащих дубильных веществ. Он все шире используется для покрытия поверхностей путем термического разложения.

Соединения молибдена широко используются как катализаторы или активаторы (промоторы) катализа, в особенности в нефтехимической промышленности - при крекинге и реформинге нефтепродуктов и алкилировании. Применяются они также в качестве лабораторных химреактивов (фосфомолибдаты). Кроме того, молибденсодержащие вещества используются в гальваностегии и при протравливании (дублении).

При выработке и промышленном применении молибдена и его соединений возможен контакт с пылью и аэрозолями, содержащими как сам молибден, так и его оксиды и сульфиды. Особенно велика вероятность этого контакта в ходе высокотемпературных технологических процессов, например, при использовании электропечей. Контакт с такими веществами, как смазочный аэрозоль бисульфида молибдена, гексакарбонила молибдена и продуктов его распада, пыли гидроксида молибдена при гальваностегии, а также испарений триоксида молибдена, образующихся при температуре выше , может представлять опасность для здоровья человека.

Эксперименты на животных показали высокую токсичность соединений молибдена. Острые отравления могут послужить причиной сильного раздражения желудочно-кишечного тракта, поноса, комы и даже летального исхода от разрыва сердца. Данные исследований на животных подтверждают и способность молибдена вызывать дисфункции легких, по симптоматике сходные с пневмокониозом. У рабочих, контактировавших с чистым молибденом или оксидом молибдена  (при концентрациях от 1 до 19 мг ) в течение 3-7 лет, также обнаруживался пневмокониоз. Вдыхание молибденовой пыли при работе со сплавами или карбидами этого металла может вызвать специфическую “легочную болезнь тяжелых металлов”.

Степень токсичности различных молибденсодержащих веществ неодинакова. Так, нерастворимые соединения этого элемента (например, бисульфид и многие оксиды и галогениды) характеризуются низкой токсичностью, а растворимые - в которых молибден присутствует в составе аниона (например, молибденат натрия - ) - намного более токсичны. С этими веществами необходимо обращаться с повышенной осторожностью. Меры предосторожности необходимо принимать и в случае риска чрезмерного контакта со свежими испарениями молибдена при разложении гексакарбонила этого металла.

Контакт с триоксидом молибдена вызывает раздражение глаз и слизистых оболочек носа и горла. Характерное проявление молибденовой интоксикации - анемия, пониженная концентрация гемоглобина и сокращение числа эритроцитов.

При повышенном уровне содержания молибдена в корме для скота у животных наблюдалась деформация суставов конечностей. У химиков, имевших дело с растворами соединений молибдена и вольфрама, нередко отмечалась подагра; была доказана также корреляция между содержанием молибдена в пище и заболеваемостью подагрой, уремией и ксантиноксидазной активностью.

Рекомендации по безопасности и охране здоровья На промышленных предприятиях, использующих молибден, должна быть установлена вытяжная вентиляция непосредственно у источника испарений. При инженерных и аварийных работах, связанных с устранением погрешностей систем контроля или установке таковых, нужно использовать респираторы, если эти работы сопряжены с необходимостью входа в цистерны или иные закрытые резервуары. В красильной промышленности, в типографиях и в гальванических цехах должны наличествовать местная и общая система вытяжной вентиляции, а также защитные стекла (очки), спецодежда и достаточно надежные респираторы, позволяющие снизить уровень контакта с сухими молибденсодержащими ингредиентами неорганических и органических красителей.

Глава 2. Производство молибдена из сульфидных руд


Основным сырьем для производства Молибдена, его сплавов и соединений служат стандартные молибденитовые концентраты, содержащие 47-50% Мо, 28-32% S, 1-9% SiO2 и примеси других элементов. Концентрат подвергают окислительному обжигу при 570-600 °С в многоподовых печах или печах кипящего слоя.

Перед химической переработкой молибденсодержащую руду нужно обогатить. Основным методом обогащения молибденитовых руд является флотация - способ разделения мелких частиц различных веществ, основанный на различной их смачиваемости и накоплении на поверхности раздела фаз. Сначала молибденитовая руда предварительно измельчается в дробилках, затем в шаровых мельницах, а потом поступает на коллективную сульфидную флотацию. С помощью этого процесса удается получить концентрат, содержащий до 10% молибдена. Полученный молибденовый концентрат поступает далее на селективную флотацию с применением специальных реагентов, в процессе которой (при заданном значении рН) происходит селективное отделение MoS2 от других сульфидов (халькопирита и пр). Повторяя этот процесс 5-6 раз (с промежуточным измельчением), получают, в зависимости от технологии и первоначального минералогического состава, качественный молибденовый концентрат с содержанием Mo 48-58,6%, Сu 0,01-2,2%. Следует отметить высокую степень извлечения молибденита в процессе флотации, составляющую 90-95% и выше.

Первой и важнейшей стадией в процессе химической переработки молибденитового концентрата является обжиг, который позволяет избавиться от нежелательных примесей: серы, воды и остатков флотореагентов. Если в концентрате содержится рений, при обжиге образуется летучий оксид Re2O7, к-рый удаляют вместе с печными газами. В результате обжига происходит целевая реакция окисления дисульфида молибдена до триоксида 2MoS2 + 7O2 = 2MoO3 + 4SO2 и множество других побочных процессов, заметно влияющих на последующее извлечение молибдена:

6CuFeS2 + 19O2 = 2Fe3O4 + 6CuO + 12SO2

MoO3 + CaCO3 = CaMoO4 + CO2

MoO3 + CuO = CuMoO4

MoO3 + PbO = PbMoO4.

Температурный режим и эффективность обжига зависят от многих факторов, прежде всего от степени измельчения концентрата.

Огарок, содержащий молибденовый ангидрид, переводят либо в парамолибдат аммония или чистый MoO3, либо в молибдат кальция. Из двух первых можно в дальнейшем получить любые соединения молибдена, в том числе высокочистые. Наибольшее распространение при извлечении молибдена из огарков высококачественных концентратов получил аммиачный метод, так как в 8-10% водном аммиаке растворяется молибденовый ангидрид, и не растворяется большинство примесей, сопутствующих ему в огарке. В зависимости от состава концентрата и условий обжига удается извлечь 80-95% молибдена. Не извлеченный MoO3 перерабатывается по дополнительной схеме. Из аммиачного раствора молибдата аммония молибден можно извлекать в виде парамолибдата аммония (NH4) 6Mo7O24·4H2O, молибденовой кислоты H2MoO4 или молибдата кальция CaMoO4.

Помимо аммиачного извлечения молибденового ангидрида иногда практикуется его возгонка из огарков (если в них мало содержание нелетучих молибдатов) в интервале температур 900-1000° С, которая позволяет получать MoO3 чистотой 99,95%.

Иногда вместо обжига молибденитовый концентрат разлагают HNO3, при этом осаждают молибденовую кислоту МоО3Н2О, которую растворяют в аммиачной воде и получают, как описано выше, парамолибдат аммония. Часть молибдена остается в маточном растворе, из которого молибден извлекают ионным обменом или экстракцией. При переработке низкосортных концентратов (содержат 10-20% молибдена) огарки выщелачивают растворами Na2CO3, из полученных растворов Na2MoO4 осаждают СаМоО4, используемый в черной металлургии. По другому способу с помощью ионного обмена или жидкостной экстракции раствор Na2MoO4 переводят в раствор (NH4) 2MoO4, из к-рого затем выделяют парамолибдат аммония.

Металлический молибден получают (сначала в виде порошка) восстановлением МоО3 в токе сухого водорода. Процесс ведут в трубчатых печах в две стадии: первая - при 550-700 °С, вторая - при 900-1000 °С. Молибденовый порошок превращают в компактный металл методом порошковой металлургии или методом плавки. В первом случае получают сравнительно небольшие заготовки (сечением 2-9 см2 при длине 450-600 мм). Порошок Молибдена прессуют в стальных пресс-формах под давлением 200-300 Мн/м2 (2000-3000 кгс/см2). После предварительного спекания (при 1000-1200 °С) в атмосфере водорода заготовки (штабики) подвергают высокотемпературному спеканию при 2200-2400 °С. Спеченный штабик обрабатывают давлением (ковка, протяжка, прокатка). Более крупные спеченные заготовки (100-200 кг) получают при гидростатическом прессовании в эластичных оболочках. Заготовки в 500-2000 кг производят дуговой плавкой в печах с охлаждаемым медным тиглем и расходуемым электродом, которым служит пакет спеченных штабиков. Кроме того, используют электроннолучевую плавку Молибдена. Для производства ферромолибдена (сплав; 55-70% Мо, остальное Fe), служащего для введения присадок Молибдена в сталь, применяют восстановление обожженного молибденитового концентрата (огарка) ферросилицием в присутствии железной руды и стальной стружки.

Глава 3. Способы получения молибдена в различных процессах промышленных производств


3.1 Молибден из сульфидных медных руд


Молибден отделяется в виде побочного продукта на стадии флотации при измельчении сульфидных медных руд. Этот процесс описан А. Петриком мл., X.Дж. Беннеттом, К.Е. Старчем и Р.К. Вайснером (в Информационном циркуляре 8569, г. Вашингтон, Министерство горной промышленности США, 1973 г). В результате рассмотрения литературы и посещения предприятий указанные авторы разработали гипотетическую схему процесса, которая представлена на рис.1.

Производительность установки составляет 6 т молибдена в день. Количество медного концентрата, которое нужно переработать для получения 1 т молибденита, изменяется в широких пределах. Отношение количеств полученного сульфида меди и сульфида молибдена может измениться от 10 к 1 до нескольких тысяч к 1. Существует несколько возможностей для раздельного получения концентратов молибдена и меди. Одна из них состоит в проведении дифференциальной флотации. Сначала получают общий всплыв сульфидов меди и молибдена, а затем их разделяют путем селективной флотации. Этот способ применяется в тех случаях, когда содержание молибдена в руде настолько мало, что не имеет смысла сразу проводить селективную флотацию. Такое содержание молибдена характерно для большинства руд.

Рис. 1. Подсистема выделения молибдена как побочного продукта: 1 - серная кислота и ферроцианид натрия; 2 - концентратор; 3 - кондиционер; 4 - всплыв; 5 - стадии очистки; 6 - остаток; 7 - пенообразователь, ферроцианид натрия, нефть; 8 - фильтрация, сушка, упаковка; 9 - 5,8 т концентрата MoS2 (90-96% MoSj, <0,5% Си); 10 - фильтр; // - подготовленная руда (60 ООО т/День, 0,02% молибденита, 0,7% CuS); 12 - хвосты; 13 - первичная флотация; 14 - 90% CuS восстанавливается и 80% молибденита; 15 - 430 т в день концентрата, содержащего 9,6 т молибденита; 16 - мельница; 17 - серная кислота, пероксид водорода, депрессоры (ферроцианид калия, цианид и ферроцианид натрия), нефть (коллектор молибденита), пенообразователь, 18а, б - первый н второй аппараты для флотации молибденита; 19 - 420 т в день медного концентрата, направляемого на фильтрование и плавку; 20 - остаток (сульфида меди).

Совместное отделение сульфидов молибдена и меди путем флотации не представляет какой-либо проблемы. Подготовка медно-молибденовых руд для флотации проводится точно так же, как и подготовка медных руд. Руду измельчают до получения частиц таких размеров, которые пригодны для флотации. Затем материал обрабатывают промотором флотации. Гипотетическая схема предусматривает получение первичного общего концентрата в количестве 430 т в день. Общий концентрат сушат, измельчают и подготавливают для флотации сульфида молибдена.

Разделение сульфидов меди и молибдена в основном происходит в первом и втором флотационных аппаратах для грубого разделения. Материал, не всплывающий во втором флотационном аппарате, представляет собой медный концентрат. Всплывающий материал является сульфидом молибдена, который подвергают дальнейшей очистке. Все операции, за исключением первичной флотации, в схеме включены в подсистему побочных продуктов. В подсистему молибдена входят все стадии переработки сульфида молибдена после получения общего концентрата. Гипотетическая схема процесса включает также другие стадии, показанные на рис.1.

К таким стадиям относятся сушка, измельчение и подготовка к первой флотации, а также шестистадийная очистка молибденового концентрата. Предполагается, что степень выделения сульфида молибдена при первичной флотации составляет 80%, а выход молибденовой подсистемы составляет 60%. В результате переработки получается 5,8 т сульфида молибдена в день из 60 ООО т медной руды, содержащей в среднем 0,02% сульфида молибдена.

Подготавливают для выщелачивания молибденсодержащее сырье: забалансовую или балансовую руду, определяют содержание в сырье молибдена. Производят приготовление раствора для выщелачивания путем растворения в воде гипохлорита натрия (nacio), при этом содержание последнего в растворе устанавливают в соответствии с отношением гипохлорита натрия к содержанию молибдена в сырье (3-13):

1. Орошение осуществляют циклически, чередуя его с окислительными паузами. Периодически на протяжении всего процесса выщелачивания до полного извлечения производят определение остаточного содержания молибдена в руде. В соответствии со значением остаточного содержания молибдена корректируют содержание гипохлорита натрия, поддерживая его соотношение с остаточным содержанием молибдена (3-13):

Таким образом, концентрацию выщелачивающего раствора уменьшают по мере выщелачивания.

Проводят опыты по выщелачиванию молибденсодержащего сульфидного сырья методом перколяции из руды крупностью (-0,63-0) мм пробы 0,3кг. Окислительный период 2 сут., плотность орошения 200 л/т. В качестве объекта исследования используют руду с содержанием молибдена 0,1555%. При отношении гипохлорита к содержанию молибдена больше 13 и меньше 3 происходит уменьшение скорости выщелачивания металла в раствор. Скорости извлечения молибдена растворами гипохлорита натрия концентраций 54 и 80 г/л соответственно равны 5,7 и 5% в 1 сут. Понижение скорости выщелачивания в циклах зависит от наступающего истощения, благоприятного для выщелачивания содержания молибдена в сырье и уменьшения степени активности поверхности вследствие ее окисления.

Опыты по выщелачиванию молибдена из руды в перколяционном варианте были проведены с подачей раствора гипохлорита натрия как постоянной концентрации, так и с концентрациями, соответствующими соотношениюnac10: mo. Поддержание отношения на определенном уровне позволяет повысить извлечение молибдена из руды в раствор по сравнению с вариантом подачи орошающего раствора с постоянной концентрацией. Из условия обеспечения заданной основности конечного шлака находят расход сырого известняка.

Извлечение молибдена из сульфидно-окисленных и окисленных руд. Сульфидно - повеллитовые концентраты. Такие концентраты содержат пониженное количество Мо, повышенное - Са, Fe, F, Si02. Молибден находится в основном в составе молибденита, ферримолибдита, повеллита. Последние два в значительной части находятся в виде примазок на кварце и молибдените. Состав концентрата (%): Мообщ - 6-10, Моокисл - 4-7, So6nx - 5-7; 5сульф - 0,1-0,2; SiOa - 8-10; А1203 - 4-5; СаО - 30-50; Fe - 2-4; Си - 0,5 - 0,3; F - II-13, прочие примеси - 0,7-1,2.

Перерабатывать такие концентраты можно принципиально по той же схеме, что и бедные сульфидные. Для высокого извлечения молибдена необходимо многостадийное противоточное выщелачивание и большой расход соды. Целесообразно растворы объединять с теми, которые получаются в ходе обработки бедных сульфидных концентратов. Таким образом, оба типа концентратов рационально обрабатывать на одном предприятии.

Переработка ферримолибдитовых концентратов. Химический состав типичных ферримолибдитовых руд и концентрата:

М°общ Мосжисл Si0* Fe AI*°* Са° S

Окисленная руда... .0,08 0,07 67,2 2,78 16,48 0,99 0,28

Концентрат 0,29 0,21 51,4 7,53 14,67 - 0,96

Молибден в таких рудах и концентратах находится в составе ферримолибдита и повеллита - в различном их соотношении. Несмотря на бедность этих руд и концентратов, переработка их рациональна, так как залежи ферримолибдитсодержащих руд могут быть достаточно большими. Молибден в них связан с железными минералами; от железа Мо полно может быть отделен лишь химическими методами. Возможны выщелачивание серной кислотой и раствором соды в автоклавах, обжиг с известью споследующим выщелачиванием содой в автоклавах, обжиг с хлоридом натрия, хлорирование хлором и его газообразными соединениями - ССЦ и S2CI2.

Хлорирование молибденовых огарков, окисленных промежуточных продуктов и чистых соединений молибдена. Хлорирование - перспективный метод переработки низкосортных огарков, окисленных концентратов и промежуточных продуктов обогащения окисленных руд, содержащих молибден. Хлорирование может также применяться для получения чистых хлоридов с целью выработки из них металлического молибдена методами диссоциации или металлотермии. Хлорировать можно хлором, летучими хлоридами (например, S2C12, СС14), твердыми хлоридами. Хлорирование низкосортных концентратов, содержащих сульфиды, целесообразно применять к обожженным "огаркам" таких концентратов. Ректификацией продуктов хлорирования могут быть получены соединения высокой чистоты [42].

Извлечение молибдена из растворов. Степень извлечения молибдена из рудного сырья зависит не только от полноты химического вскрытия минерала и перевода молибдена в раствор, но и от полноты последующего извлечения его из растворов. В изложенных выше технологических схемах молибден извлекался из первичных растворов осаждением пара - и полимолибдата аммония, молибдата кальция, "ферримолибда-тов", а из бедных растворов и промывных вод - ионным обменом. Помимо этих способов, возможно осаждение малорастворимого трисуль-фида молибдена MoS3, экстракция молибдена органическими экстра-гентами, осаждение соединений молибдена низшей валентности, восстановлением молибдатных растворов молибденом или водородом. Осаждение MoSз применяется в промышленности для отделения молибдена от вольфрама при переработке комплексных вольфрамо-молибденовых промежуточных продуктов (см. гл. V). Осаждение соединений низшей валентности, в частности МоО2, не получило практического применения.

3.2 Молибден из молибденового лома


Некоторое количество вторичного молибдена извлекают при производстве легированных сталей, специальных сплавов и металлов. Большая часть выделяемого материала используется на тех же металлургических предприятиях, где он получается. Очень малое количество молибдена извлекают из молибденсодержащих изделий, вышедших из употребления.

Молибден из лома легированных сталей обычно не рассматривают как источник молибдена. Все больше молибдена извлекают из отработанных катализаторов и химических остатков [16].

3.3 Молибден из колошниковой пыли плавильных печей


Этот процесс, разработанный X. Кастанья, предназначен для выделения молибдена в виде молибденовой кислоты из отходов, в частности, из отработанных катализаторов, содержащих носитель - у-оксид алюминия и молибден в виде оксида или сульфида.

Процесс включает обработку отходов карбонатом натрия и нагревание для перевода молибдена в молибдат натрия. Последний превращают в молибденовую кислоту, обрабатывая концентрированной азотной кислотой. При этом получается очень чистая молибденовая кислота, которая может быть использована как для производства соединений молибдена, так и для выделения чистого металла. Схема этого процесса представлена на рис.119.

Отработанный катализатор предварительно обжигают в окислительной атмосфере при температуре ~500°С, в результате чего происходит удаление основных количеств летучих продуктов, углерода, а также части серы.

Катализатор находится в виде небольших цилиндрических нли круглых гранул. В его состав входит 8% Мо, 1,5% S и ~2% Со; носителем является у-оксид алюминия.

Далее катализатор обрабатывают во вращающемся смесителе водным раствором, содержащим 400 г/л Na2C03, при температуре 70 °С. Обработку проводят в периодическом режиме, загружая по 100 кг сырья, которые в течение 30 мин обрабатывают 37,5 л раствора. На обработку 1 кг сырья расходуется 150 г Na2C03.

Расчет показывает, что количество Na2C03, теоретически необходимое для перевода содержащихся 8% Мо в молибдат натрия составляет £~87 г/кг сырья. Для перевода 1,5% S в сульфат натрия требуется 44 г Na2C03 на 1 кг сырья. Таким образом, избыток NaaC03 составляет 19 г/кг сырья, т.е.1,9%.

Обработку проводят в двух смесителях, соединенных параллельно, таким образом, чтобы во время выгрузки сырья из одного смесителя в другом смесителе проводилась обработка следующей порции сырья.

Сырье из смесителя подается во вращающуюся печь длиной ~4,2 м и внутренним диаметром 630 мм, нагреваемую пропановой горелкой до температуры 650-750 "С.

Сырье поступает непрерывно со скоростью £~Ю0 кг/ч. Время пребывания сырья в горячей зоне печи составляет ~1 ч.

На выходе из печи продукт охлаждается до 70-80 С в холодильнике, стенки которого охлаждаются циркулирующей водой.

Около 95% молибдена, содержащегося в катализаторе, находится в виде молибдата натрия.

Молибдат натрия растворяют, промывая продукт (слой толщиной ~10 см) на непрерывном ленточном фильтре с фильтрующей поверхностью 1 м2. Промывка проводится в шесть стадий.

На последней стадии подают горячую воду (80 °С) со скоростью 120 л/ч.

С первой стадии выводится концентрированный раствор молибдата натрия, содержащий 45-50 г/л Мо, со скоростью =^104 л/ч. Твердый продукт после промывки на последней стадии чистой водой удаляют с фильтра. Он содержит ~0,27% Мо. Выход на стадии промывки составляет - 97%.

Раствор, содержащий молибден, подают с постоянной скоростью л/ч в первый реактор нейтрализации. Одновременно насосом через расходомер в реактор подается 53% -ный раствор HN03.

Реактор снабжен охлаждающей рубашкой, по которой циркулирует вода, в результате чего температура в нем не превышает 20 °С. Объем реактора составляете 150 л, а время пребывания раствора несколько более 1 ч. В реакторе непрерывно проводится контроль величины рН, которая должна составлять 5,2-5,5. Для достижения такой величины средняя производительность кислотного насоса должна составлять 8 л/ч.

Раствор, в котором начинается осаждение частиц оксида алюминия, далее поступает во второй реактор такого же объема как и предыдущий, в который таким же образом подается такое же количество того же самого раствора азотной кислоты, что и в первый реактор. Температура во втором реакторе в результате охлаждения водой не превышает 30 °С.

В этих условиях происходит растворение выпадающих частиц оксида алюминия и раствор становится прозрачным.

Затем раствор подают в третий реактор, такого же объема, который нагревают до 100 °С циркулирующим водяным паром.

В этом реакторе происходит осаждение молибденовой кислоты, в то время как большая часть алюминия остается в растворе. Осадок поддерживается в виде суспензии с помощью мешалки.

Суспензию направляют на вращающийся фильтр, на котором осадок отделяют и непрерывно промывают деминерализованной водой, содержащей 2% (объемн) концентрированной HN03.

Затем осадок сушат горячим воздухом при ~ 100 °С.

Осадок состоит в основном из молибденовой кислоты и среднее содержание Мо в нем составляет 61,2%, а содержание алюминия - только 0,004%; его средняя плотность равна 2.

Схема процесса выделения молибдена из отработанных катализаторов: 1 - раствор Na,COs; 2 - импрегнирование; 3 - спекание; 4 - горячая вода; 5 - растворение; 6 - концентрированная HNOa; 7 - нейтрализация; 8 - отстаивание; 9 - осаждение; 10 - 1% -ный раствор HNO,; 11 - фильтрация и промывание; 12 - сушка; 13 - сухая молибденовая кислота; 14 - отходы; 15 - удаленный твердый продукт; 16 - промывная.

Выход Мо в виде молибденовой кислоты, в расчете на Мо, содержащийся в отработанном катализаторе, составляет ~85%.

Сходный процесс описан Г. Гравии. Этот процесс включает смешивание катализатора с порошкообразным карбонатом натрия, добавление воды и повторное перемешивание для того, чтобы частицы катализатора абсорбировали воду. Затем смесь нагревают для превращения присутствующего молибдена в молибдат натрия, обрабатывают при комнатной температуре углекислым газом, добавляют горячую воду для растворения молибдата натрия, нейтрализуют азотной кислотой и осаждением выделяют молибденовую кислоту высокой чистоты, которая может быть использована для производства соединений молибдена и для выделения чистого металла.

3.4 Молибден из отходов процесса производства вольфрамовых ламп накаливания


При производстве вольфрамовых нитей накала, в особенности спиральных и биспиральных, для получения первой спирали очень тонкую вольфрамовую нить наматывают на маленький молибденовый сердечник. Вольфрамовую спираль и молибденовый сердечник затем наматывают на второй сердечник таким образом, что получается двойная вольфрамовая спираль. Ее снимают со второго сердечника, а первый молибденовый сердечник остается внутри витков маленькой вольфрамовой спирали. После срезания до требуемых размеров спираль погружают в смесь серной и азотной кислот, в которой происходит растворение молибденового сердечника, который таким образом удаляется из вольфрамовой спирали.

Получаемая спираль используется в лампах накаливания. При изготовлении односпиральных нитей накаливания также используются молибденовые сердечники.

Для растворения можно использовать смесь серной и азотной кислот различного состава. Хорошие результаты достигаются со смесью 13 н. серной кислоты и 7 н.

Схема процесса выделения молибдена из отработанных кислых растворов, образующихся при производстве вольфрамовых нитей накаливания: 1 - раствор 40-75 г/л молибдена в 15 н. кислоте; 2 - аммиак; 3 - установка рН = 2-i - 3 н перемешивание в течение 10 ч при температуре 70-80 °С; 4 - промывная вода; 5 - декантирование; 6 - промывка; 7 - маточный раствор; 8 - фильтр; 9 - высокочистый продукт азотной кислоты.

При растворении в кислоте достаточно большого количества молибдена (~40-75 г/л) скорость растворения молибдена значительно снижается и раствор кислот рассматривается как отработанный. До последнего времени не существовало экономичного процесса выделения молибдена из этого раствора и поэтому он, после соответствующей обработки, направляется в сток.

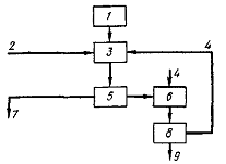
Процесс для выделения молибдена разработан А.Д. Кулькарни (Этот процесс, схема которого представлена на рис.2, предусматривает выделение молибдена из отработанных растворов серной и азотной кислоты путем добавления гидрооксида аммония до установления величины рН раствора 1,5-3, предпочтительно 2-3.

Затем раствор перемешивают, одновременно нагревая до температуры не превышающей 95 °С до тех пор, пока практически весь растворенный молибден не выпадает в виде осадка комплекса молибдата аммония. После этого осадок отделяют от раствора.

Список использованной литературы


1.   Ахметов Н.С. "Общая и неорганическая химия" М.: Высшая школа, 2001.

2.       Берт Р.О. "Технология гравитационного обогащения" М.: Недра, 1990.

3.       Бусев А.И. Аналитическая химия молибдена. М.: Издательство АН СССР, 1962, - 300с.

4.       Васильев В.П. Аналитическая химия. В 2 кн. Кн.2. Физико-химические методы анализа: Учеб. для студ. вузов, обучающихся по химико-технологическим специальностям - 2-е изд., перераб. и доп. - М.: Дрофа, 2002. - 384 с.

5.       Глинка Н.Л. Общая химия. - Л.: Химия, 1988. - 702 с.

6.       Гороновский И.Т., Назаренко Ю.П., Некряч Е.Ф. Краткий справочник по химии К.: Издательство АН СССР, 1962, 658 с.

7.       Жарский И.М., Новиков И.Г. Физические методы исследования в неорганической химии. М.: Высшая школа, 1988, 271 с.

8.       Зеликман А.Н., Коршунов Б.Г. Металлургия редких металлов М.: Металлургия, 1991.

9.       Карякин Ю.В., Ангелов И.И. "Чистые химические вещества" М. 1974.

10.     Крешков А.П., Ярославцев А.А. Курс аналитической химии. - М.: Химия, 1964. - 430 с.

11.     Меркин Э.Н. "Экстракция металлов некоторыми органическими катионообменными реагентами" М., 1968.

12.     Некрасов Б.В. "Основы общей химии" т.1 М.: Химия 1973.

13.     Ритчи Г.М., Эшбрук А.В. Экстракция: принципы и применение в металлургии. Пер. с англ. М.: Металлургия, 1983.

14.     Рысс М.А. "Производство ферросплавов" М.: Металлургия, 1985.

15.     Скуг Д., Уэст Д. Основы аналитической химии. В 2 т. Пер с англ. М.: Мир, 1979, - 438 с.

16.     Справочник химика. В 3-х т. М.: Химия, 1966, 1070 с.

17.     Степин Б.Д., Горштейн И.Г., Блюм Г.З., Курдюмов Г.М., Оглоблина И.П. "Методы получения особо чистых неорганических веществ" Л.: Химия, 1969.

18.     Фигуровский Н.А. "История химии" М.: Просвещение 1979.

19.     Физическая химия. Практическое и теоретическое руководство. Под ред. Б.П. Никольского, Л.: Химия, 1987. - 875 с.

20.     Химия и технология редких и рассеянных элементов. Под ред. Большакова К.А.Ч. ІІІ. М.: Высшая школа, 1976, 320 с.

21.     Химия: Справочное издание/ под ред.В. Шретер, К. - Х, Лаутеншлегер, Х. Бибрак и др.: Пер. с нем. - М.: Химия, 1989. - 648 с.

22.     Химическая энциклопедия в 5 т. / под ред. И.Л. Кнунянца. - М.: Советская энциклопедия, 1990.

23.     Ягодин Г.А., Синегрибова О.А., Чекмарев А.М. "Технология редких металлов в атомной технике" М.: Атомиздат, 197

Похожие работы на - Вторичная переработка отходов сульфидных руд для выделения молибдена

 

Не нашли материал для своей работы?
Поможем написать уникальную работу
Без плагиата!
Без нейросетей!