Вибір оптимальних технологічних параметрів виробництва шамотних вогнетривів і їх взаємозв’язок з основними властивостями виробів

  • Вид работы:
    Курсовая работа (т)
  • Предмет:
    Технология машиностроения
  • Язык:
    Русский
    ,
    Формат файла:
    MS Word
    434,21 kb
  • Опубликовано:
    2010-02-03
Вы можете узнать стоимость помощи в написании студенческой работы.
Помощь в написании работы, которую точно примут!

Вибір оптимальних технологічних параметрів виробництва шамотних вогнетривів і їх взаємозв’язок з основними властивостями виробів

МІНІСТЕРСТВО ОСВІТИ І НАУКИ УКРАЇНИ

НАЦІОНАЛЬНА МЕТАЛУРГІЙНА АКАДЕМІЯ УКРАЇНИ

Кафедра хімічної технології кераміки та вогнетривів







КУРСОВА РОБОТА

з дисципліни:

”Основи технології тугоплавких неметалевих і силікатних матеріалів”

на тему:

“Вибір оптимальних технологічних параметрів виробництва шамотних вогнетривів і їх взаємозв’язок з основними властивостями виробів”

Виконав: cтудент групи ХС-05

Гавриленко К.О

Перевірив: доцент

Іващенко Л.В.




м. Дніпропетровськ, 2008 р.

Реферат

В даній курсовій работі були встановлені умови служби шамотних вогнетривів для футеровки вагранок марки ШБВ і перелічені вимоги, які пред’являються до якості виробів.

Встановлено, що визначальним показником для виробів марки ШБВ для футеровки вагранок є границя міцності при стиску.

У даній роботі встановлені вплив хіміко-мінералогічного та речовинного складу на властивості шамотних виробів, залежність щільності укладки при пресуванні від зернового складу, вплив параметрів пресування на ущільнення вогнетривких мас, описані особливості процесів структурно-фазових перетворень при термічній обробці шамотних вогнетривів, описані теоретичні аспекти границі міцності при стиску та інші властивості для шамотних вогнетривів. Зроблений вибір оптимальних технологічних параметрів виготовлення шамотних вогнетривів для футеровки вагранок марки ШБВ.

ВАГРАНКА, ШАМОТНИЙ ВОГНЕТРИВ, ГЛИНА, КАОЛІН, ШАМОТ, ПЕРЕРВНИЙ СКЛАД, БЕЗПЕРЕРВНИЙ СКЛАД, ПОРИСТІСТЬ, ЩІЛЬНІСТЬ, ГРАНИЦЯ МІЦНОСТІ ПРИ СТИСКУ, РІВНЯННЯ БЕРЕЖНОГО

Зміст

Вступ

1.       Аналіз умов служби шамотних вогнетривів для футеровки вагранок і вимоги, які пред’являються до якості виробів

2.       Взаємозв’язок основних властивостей вогнетривів з параметрами технології їх виготовлення

2.1     Вплив хіміко-мінералогічного та речовинного складу на властивості шамотних і багатошамотних виробів

2.2     Залежність щільності укладки при пресуванні від зернового складу вогнетривких порошків

2.3     Вплив параметрів пресування на ущільнення вогнетривких мас

2.4     Особливості процесів структурно-фазових перетворень при термічній обробці шамотних вогнетривів

2.5     Теоретичні аспекти границі міцності при стиску шамотних вогнетривів для футеровки вагранок та інші властивості

3.       Вибір оптимальних технологічних параметрів виготовлення шамотних вогнетривів для футеровки вагранок марки шбв

Висновки і рекомендації

Література

Вступ

Вогнетривами називаються неметалічні матеріали, призначені для використання в умовах високих температур у різних теплових агрегатах, що мають вогнетривкість не нижче 1580 0С.

Вогнетриви можуть застосовуватися при високих температурах і як провідники електричного струму, і як електроізолятори.

Різноманіття умов служби обумовило необхідність організації промисловості по виробництву вогнетривких матеріалів, створення великого і безупинного асортимента вогнетривів з різними властивостями.

Вогнетриви, матеріали й вироби, виготовлені переважно на основі мінеральної сировини, що володіють вогнетривкістю не нижче 1580 °С. Виникнення виробництва вогнетривів історично пов'язане з розвитком металургії, а в міру поширення теплових агрегатів різного призначення виробництво вогнетривів стало однієї з важливих галузей промисловості.

Вогнетриви застосовують при спорудженні теплових агрегатів, печей для одержання й плавки металів, нагрівання напівфабрикатів у металургійніх й машино-будівельних виробництвах, одержання коксу, випалу цементу, установок високотемпературних хімічних процесів, енергетичних і ін. установок. Основне призначення вогнетривів - захист невогнетривких елементів конструкції, а також зовнішнього середовища від впливу високих температур, розплавів, гарячих газів і т.п.

Більшу частину вогнетривів (близько 60%) споживає чорна й кольорова металургія. Загальне споживання вогнетривів, віднесене до 1 т виплавленої сталі, коливається в різних країнах від 25-30 до 65-100 кг.

Для розплавлювання чавуну використовують такий агрегат - як вагранки.

Вагранкою називають невелику шахтну піч звичайно призначену для розплавлювання чавуну. Продуктивність вагранок 0,5-30 т/год.

Мета даної роботи провести аналіз умов служби вогнетривів для футеровки вагранок, встановити взаємозв’язок основних властивостей вогнетривів з параметрами технології їх виготовлення, а також вибрати оптимальні технологічні параметри виготовлення вогнетривких виробів для футеровки вагранок.

1. Аналіз умов служби шамотних вогнетривів для футеровки вагранок і вимоги, які пред’являються до якості виробів

Вагранкою називають невелику шахтну піч (рис 1.1) звичайно призначену для розплавлення чавуну. Продуктивність вагранок 0,5-30 т/год. У вагранках плавлять також кольорові метали, шлаки й мінерали для виготовлення з них шлакової й мінеральної вати.

Умови служби вогнетривкої футеровки в різних зонах вагранки не однакові. Лещадь і горн вагранки випробовують вплив високої температури (до 1450-1500°С), механічного навантаження рідкого чавуну й шихти, а також різких температурних коливань при задувці й видувці. В особливо важких умовах служби перебуває вогнетривка кладка в зоні горіння й плавлення. Тут на неї впливають висока температура (1600-1650°С), шлаки, які утрорюються і різкі коливання температури. Отже, для футеровки вагранок необхідно застосовувати вогнетривкі вироби, що відрізняються високими термостійкістю, щільністю й міцністю, високою шлакостійкістю і невисокою вартістю. Підібрати вогнетриви, що задовольняють усім цим вимогам одночасно, досить важко. Звичайно футеровку вагранок виконують із шамотного або напівкислого, а також нормальної шамотної й доменної цегли, або ж із кварцеглинистої вогнетривкої набивної маси.

Тонку вогнетривку футеровку товщиною 115 мм застосовують лише у вагранках малої продуктивності. Доцільніше в цих випадках використовувати футеровку товщиною 175 мм. Найбільша товщина футеровки вагранок складає ~275 мм. Застосування для укладання футеровки вагранок великої кількості фасонів штучних вогнетривких виробів різних розмірів робить кладку дорогокоштуючою, але дозволяє підвищити термін служби футеровки. При високих температурах у вагранці відбувається розм'якшення вогнетривкої кладки, зниження її механічної міцності й підвищення шлакороз’їдання. Ваграночні шлаки утворюються в результаті взаємодії між складовими частинами шихти, що завантажується у вагранку. До них відносяться вапно, зола коксу, пісок, різні домішки, що перебувають у шихті, що завантажується, а також, поступово утворюючи оксиди заліза. Завдяки тому, що існує багато варіантів умов плавки у вагранках, і відмінностей в складі завантажувальних вихідних матеріалів, хімічний склад ваграночних шлаків змінюється в широких межах, %: кремнезему 40-50; оксиду кальцію 15-40; глинозему 10-18; окиси заліза 1 -10; оксиду магнію 0-15; оксиду марганцю 1-5.

Рисунок 3.1 - Вагранка з копильником

Отже, шлаки, що утворюються при експлуатації вагранок, можуть бути кислими або основними.

При основних шлаках можна застосовувати набивну футеровку з намертво обпаленого спеченого доломіту оптимального гранулометричного складу на зв'язці зі смоли, а в якості флюсів слід застосовувати доломіт або вапняк. Крім вапна й доломіту, до складу флюсів іноді вводять плавиковий шпат і т.д. При цьому сильно знижується температура плавлення шлаків, і їх в'язкість і різко збільшується їхня роз'їдаюча дія на вогнетривку кладку.

Шихта, що опускається, виявляє стираючу дію на вогнетривку футеровку вагранки, що перебуває в піропластичному стані й внаслідок температурних коливань може відбуватися її розтріскування.

Для футеровки зони плавлення звичайно застосовують високоякісну шамотну цеглу, а для ремонту футеровки рядову шамотну цеглу. Спеціально обпалена шамотна цегла відрізняється підвищеним опором стиранню й кращою шлакостійкістю, але через більш високу вартість його застосовують рідше. По цій же причині обмежена можливість застосування высокостійких мулітових виробів для кладки футеровки вагранок.

Підвищену стійкість при службі у вагранках мають шамотні вироби, отримані по способу напівсухого пресування, внаслідок їхньої більшої щільності, підвищеної стійкості до стирання, більшої точності розмірів і правильності форми, а також підвищеної термічної стійкості. Усі ці позитивні якості дозволяють рекомендувати шамотні вогнетриви, які одержані по способу напівсухого пресування, для кладки зони плавлення вагранок.

Особливу увагу слід звертати на стан швів вогнетривкої кладки, тому що по них починає відбуватися процес шлакороз'їдання. Тому необхідно для футеровки вагранок використовувати такі вогнетриви, які дають мінімальну додаткову усадку, і застосовувати при кладці розчин, який характеризується високою вогнетривкістю й іншими позитивними рабочими властивостями: гарною сталістю об’єму, шлакостійкістю й т.д. Для футеровки зони плавлення вагранок можливе застосування набивних вогнетривких мас, що складаються із суміші дробленого шамоту або кварцу з вогнетривкою глиною, що дає наступні переваги: відсутність швів; збільшення термінів служби, можливе зниження трудових витрат. Однак набивна футеровка вагранок має наступні недоліки: поганий опір стиранню, деяка нерівномірність щільності й необхідність повільного й поступового сушіння.

Після проведення плавок у футеровці вагранок, особливо в зоні плавлення, утворюється розпал, що надає футеровці (рис. 1.2) форму заплічок.

Рисунок 1.2 - Розріз відробленої футеровки вагранки

Ремонт футеровки вагранок можна здійснювати наступними методами:

а)застосовуючи кладку із шамотної цегли;

б)використовуючи монолітну футеровку із пластичних вогнетривких мас, виготовлених на основі шамоту, сухарних глин і вогнетривкої глини й води.

Терміни служби вогнетривкої футеровки вагранок можна збільшити, установивши водяні холодильники у плавильній зоні, а також забезпечивши більш інтенсивну десульфурацію металу, що досягається застосуванням основної футеровки, тому що при цьому зменшується загальна тривалість плавки.

Існує досвід застосування футеровки вагранок продуктивністю 2 т/год із доломітової цегли, що має внутрішній діаметр ~700, а зовнішній 900 мм. При цьому зовнішній шар футеровки, що прилягає до кожуха вагранки, викладають із доломітової цегли 230X113X25 мм, а в зоні фурм футеровку виконують із набивної маси, що складається з обпаленого доломіту, змішаного з 6% води й 1% силікату натрію. Футеровку сушать протягом 10 год, поступово піднімаючи температуру до 400° С.

Після кожної плавки в плавильній зоні виконують ремонт разгарів, зашпаровуючи їх масою, що складається з меленого стабілізованого (водостійкого) доломітового клінкера з 12%-ою добавкою води, у якого оксид кальцію зв'язаний переважно в ЗСаО-SiО2 а присутній 2СаО-SiО2 стабілізований фосфоритом. Отриману масу слід застосовувати для ремонту негайно, тому що вона може схоплюватися.

У порівнянні з доломітом і магнезитом, хромомагнезит має кращі робочі властивості: високу вогнетривкість (до~ 1900° С) і досить високу термічну стійкість.

Отже, при кладці футеровки вагранки необхідно дотримувати наступних умов:

а) виконувати кладку з мінімальним числом швів, що можна здійснити застосуванням фасонних штучних вогнетривів великих розмірів;

б) витрачати мінімальну кількість вогнетривкого мертеля для заповнення швів, що досягається старанністю кладки з товщиною швів, що не перевищує 1 мм;

в) створювати такі умови експлуатації вагранки, при яких шов швидко покривається захисним шаром глазурі, що охороняють його від агресивної дії розплавлених шлаків і металу.

Процес шлакоутворення у вагранці складний і, отже, процес шлакоро'їдання вогнетривів також складний.

Витрата вогнетривів сильно залежить від складу шлаку, що утворюється. Якщо витрата вогнетривів при плавці на одному вапняку прийняти за одиницю, то при плавці на мартенівському шлаку він складе 1.4, а при плавці на суміші мартенівського шлаку і плавикового шпату 1.64. Можна виконувати набивну футеровку вагранок, що полягає, наприклад, з 75-78% кварцового піску й 22-25% сухої глини. До цієї маси додають необхідну кількість розчину рідкого скла. На Челябінському тракторному заводі вагранки з набивною кварцеглинистою футеровкою працювали по дві зміни.

Водяне охолодження кожуха вагранки підвищує тривалість її кампанії. Футеровка стаціонарних копильников для вагранок перебуває у важких умовах служби, тому що в копильниках при 1350-1400° С зосереджена велика кількість рідкого металу. Створюється комбінація інтенсивного теплового впливу, що й розмиває, рідкого металу на вогнетривку кладку, зменшити яке важко, тому що копильник служить для нагромадження рідкого металу і рівень у ньому не може бути постійним.

Вимоги, які пред’являються до якості шамотних виробів для футеровки вагранок марки ШБВ - по ГОСТ 3272 - 71 представлені в таблиці 1.1



Таблиця 1.1 - Вимоги, які пред’являються до якості шамотних виробів марки ШБВ

Масова доля Al2O3,%, не нижче

28

Вогнетривкість, 0С, не нижче

1670

Відкрита пористість, %, не нижче

22

Границя міцності при стиску, Н/мм2, не нижче

15

Додаткова усадка при 1400 0С, %, не вище

0,5


З вище перерахованих вимог до якості вогнетриву та умов служби ми можемо стверджувати що визначальним показником є границя міцності при стиску.

2. Взаємозв'язок основних властивостей вогнетривів з параметрами технології їх виготовлення

2.1    Вплив хіміко-мінералогічного та речовинного складу на властивості шамотних і багатошамотних виробів

У виробництві шамотних вогнетривів шихту складають з пластичної глини і шамоту або іншого безусадочного матеріалу. Кількістю шамота і розміром його частинок регулюють не тільки усадку, а й такі властивості як міцність, пористість, розмір пор, текстуру, термічну стійкість та інше.

Шамот - це штучний матеріал, який одержаний в результаті випалу глин та каолінів в обертових або шамотних печах до втрати пластичності, усадки матеріалу та певного ступеня спікання.

Вогнетривкі глини - це землисті облом очні гірські породи осадженого походження, які в основному складаються з високодисперсних гідроалюмосилікатів, домішок та органічних речовин.

Глинисті породи володіють рядом властивостей та однак, вони можуть розмокати у воді, у вологому стані їде притаманна пластичність - здатність під впливом зовнішніх дій набувати різноманітну форму. Глини мають здатність поглинати воду і за рахунок цього збільшуватися в об’ємі, мають зв’язуючу здатність, а також адсорбційні властивості.

Розрізняють мономінеральні та полімінеральні глини.

Мономінеральні - це глини які переважно складаються з одного мінералу. Характерні представники:каолінові, монтморилонітові, гідрослюдисті глини.

До полімінеральних глин відносять породи, в яких найбільш суттєву роль відіграють такі мінерали як каолініт, галуазит, монотерміт.

У природних глинах окрім каолініту звичайно присутні інші глинисті мінерали: такі як галуазит(Al2O3•2SiO2•4H2O), пірофіліт(Al2O3•4SiO2•H2O), монтморилоніт(Al2O3•4SiO2•nH2O), алофан (nAl2O3•nSiO2•pH2O), монотерміт (0.2MeO•Al2O3•3SiO2•1.5H2O). каолінові глини мають міцну кристалічну решітку, яка не розширюється при зволоженні, тому вони слабо набухають. Властивість глин спікатись при певних температурах випалу з них вироби з необхідною пористістю і міцністю.

Властивості шамотних виробів в значній мірі залежать від вибору глини призначеної на зв’язку, і глини позначеної на шамот. У якості зв’язки краще вибирати глини які володіють слідуючими властивостями: високою зв’язуючою здатністю, меншими коефіцієнтами чутливості до сушки і пружним розширенням при пресуванні, більш високим вмістом глинозему, але з меншим виходом муліту.

Муліт - це вогнетривка основа шамоту. Найчастіше муліт зустрічається в двох кристалічних формах: голчатий та призматичний. Голчатий муліт армірує скловидну фазу, тому вогнетривкість матеріалу, який містить голчатий муліт, вища вогнетривкості матеріалу який містить коротко призматичний муліт, при однаковому хімічному складі.

Велике значення має розміщення глинозему в готових виробах між круглими зернами і зв’язкою. Шлак, проникаючі у вогнетрив або розчинюючи його в першу чергу взаємодіє з матеріалом який прямує до поверхні пор, і з дрібними зернами. Якщо зерновий і речовинний склади шихти підбирати так, що мілкі зерна(зв’язка) будуть місити більше глинозему, то кількість утворившогося розплаву зміниться. Це означає, що має значення не тільки загальний вміст глинозему, скільки вміст його у зв’язці(тонкої частини шихти).

Окрім глиноютворюючих мінералів у глинах містяться домішки. До основних домішок відносять вільний кремнезем та глинозем, колоїдний кремнезем, лужні та лужноземельні оксиди, сполуки заліза, титану та інших металів, органічні домішки. Усі домішки можна розділити на корисні та шкідливі. Корисні вважають, в помірній кількості, польові шпати або світлі слюди, знижаючи температуру випалу глин; глиноземисті мінерали у вигляді гіпсу або діаспора, підвищуючи вогнетривкість, термічну стійкість та інші цінні властивості глин. До шкідливих домішок відносять залізисті мінерали - гідроксиди заліза, пірит, сидерит, карбонати і сульфати кальцію.

Вміст кварциту у вогнетривких глинах до 70% і більше. Кремнезем знижує пластичність і вогнетривкість, підвищує температуру спікання, обсусловлює в деяких випадках розпушування глин при випалі. Карбонати кальцію і магнію розподілені у глинах у вигляді дрібних і крупних зерен і в тонко дисперсному стані являються сильними плавнями. У процесі випалу виробів при температурах 1000°С на короткій ділянці температур швидко розвивається скловидна фаза, яка викликає деформацію виробів. Також шкідливими домішками в глинах являються розчинні солі та хлориди, які знижують вогнетривкість.

Дуже важливе значення для характеристики та технічної оцінки вогнетривких глин має гранулометричний склад.

Глини відносять до напівдисперсних матеріалів. Вони не однорідні за своїм складом, тому зерновий склад одного і того ж типу характеризується значними відхиленнями.

При виробництві багатошамотних виробів звичайно використовують шамот двох, рідше трьох фракцій; при виробництві нормальних шамотних виробів шамот не фракціонують. У двохфракційному шамоті розмір крупної фракції повинен бути по крайній мірі більше дрібної у 10-20 разів. Розмір крупних частинок береться в межах 2-3 мм, так як фракція >3 мм не забезпечує отримання чітких ребер і кутів виробів.

Формовочна здатність маси зменшується із збільшенням в ній вмісту шамота. Покращення формовочної здатності шамотних мас може бути досягнуто вилежуванням.

При виготовленні виробів з напівкислих глин, які мають не велику усадку, кількість опіснювача може бути зменшено або його зовсім виключають. Якщо напівкислі глини опріснювати не шамотним, а кварцовим піском, кварцовими відходами, отриманими при відходженні каоліну, кварцитами і іншими, то усадку напівкислих виробів при випалі можливо повністю усунути і навіть отримати ріст.

2.2    Залежність щільності укладки при пресуванні від зернового складу вогнетривких порошків

Щільність укладки залежить від розміру, форми, стану поверхні і структури частинок сипучого матеріалу.

Чим більше фракцій, тим більше щільність упаковки (але це не завжди технологічно). Встановлено, що для щільної упаковки необхідно брати:

- крупної фракції - 80%;

- середньої - 5%;

- тонкої - 15%.

Крупні фракції утворюють кістяк, пустоти якого заповнюють менші фракції. Такий склад називається безперервний зерновий склад, але він у ряді випадків являється не технологічним:

1. Звичайно фракція 3мм у кількості 80% не дозволяє при пресуванні одержати вироби з чіткими кутами і ребрами, тому крупної фракції беруть менше.

2.     Важко від дозувати і рівномірно змішати середню фракцію 5%, так як її мало. Збільшення середньої фракції викликає розсунення крупних зерен, а зменшення супроводжується переміщенням дрібних фракцій із однієї пори у другу, що також веде до розсунення упаковки.

Тому для одержання щільної упаковки зерновий склад вихідного порошку повинен бути перервним, з відношенням розмірів крупної фракції і тонкої приблизно 100:1.

Таким чином розрізняють два основні принципи підбора укладок, які ефективно знижують пустотність:

Безперервні укладки, тобто такі які основані на заповненні об’єму усіх розмірів, від деяких верхніх до мінімальних (близьких нулю).

Перервні укладки, такі при яких між зернами заданних фракцій, зерна проміжних (середніх) фракцій відсутні.

Щоб одержати щільну упаковку заповнювача у бетонах використовують формулу Фуллєра, згідно якої розраховують кількість відповідних фракцій заповнювача.

,

де dі - розмір будь-якої заданої проміжної фракції суміші, мм;

D - розмір самої крупної фракції, мм;

Уі - кількість фракцій яка проходить через сито з чарункою розміру.

Отже пористість зразків знижується зі збільшенням тонкомолотого компоненту. Вміст тонкомеленого компонента в шихті чинить більший вплив на пористість ніж зерновий склад зернистої частини.

При оптимальному місті тонкомеленої фракції пористість сирцю зумовлена пористістю самих крупних зерен. Укрупнення зернового складу підвищує термостійкість, але підвищує і пористість. Мінімальній пористості відповідає максимальна щільність.

2.3    Вплив параметрів пресування на ущільнення вогнетривких мас

Оптимальний зерновий склад сам по собі ще не забезпечує одержання щільних пресовок.

Тиск пресування і вологість маси - це параметри які в значній мірі впливають на ущільнення.

Щоб отримати гарну щільність потрібно правильно підібрати зв’язку. В’яжуче повинно:

- надавати високу міцність сирцю;

- легко розкладатися і видалятися при випалі при відносно низьких температурах;

- не прилипати до поверхні прес-форми і пуансонів;

- добре розчинятися у вогнетривкій масі та ін.

У процесі стиснення керамічного порошку беруть участь усі три складові частини системи, яка пресується:

1.       мінеральна частина (тверда фаза);

2.       технологічна зв’язка (рідка фаза);

3.       повітря (газоподібна фаза).

На початку стиснення відбувається переміщення твердих частинок, пресування проходить при невисокому тиску.

На початковій стадії стиснення іде зростання щільності, стійке положення структурних елементів, при відносно невеликому збільшенні поверхні контактів.

Подальше стиснення порошку стає неможливим без суттєвої деформації структурних елементів.

Вода або інша рідина яка виконує роль тимчасової технологічної зв’язки знаходиться у вихідному порошку:

- на поверхні частинок;

-        у прошарках між частинками;

-        у капілярах.

У процесі стиснення рідка фаза чинить пластифікуючи дію, яка заклечається у полегшенні ковзання частинок, що приводить до більш інтенсивного ущільнення. А в області більш високого тиску інтенсифікує ущільнення внаслідок зниження твердості і міцності частинок (ефект Ребіндера).

Таким чином рідка технологічна зв’язка зменшує тверді частинки, утворює вологі контакти між ними, підвищує пластичність і знижує сили тертя при пресуванні, чинить кращу і рівномірну пропресовку по законам капілярних сил стягування частинок порошку, збільшує сили Ван-дер-Ваальса які притягують частинки одну до одної. У цьому полягає позитивний ефект рідкої фази.

Але переміщення рідини у стискуючому порошку дає деякий негативний ефект.

Рідина яка знаходиться у прошарках між частинками може вижиматися у більш крупні пори системи. По мірі стиску і зменшенню загального об’єму пор частка рідини у цьому об’ємі пор зростає і якщо задана кількість рідини достатньо велика, то її об’єм може бути рівним начальному об’єму пор: система переходить з трьохфазної у двофазну. У цьому випадку спостерігається граничне ущільнення систем або критична щільність "тиск при якому наступає явище називається "критичним". При переході в критичний тиск подальше стиснення системи переходить цілком до оборотної пружної деформації, яка не бажана.

Надлишок рідкої фази шкідливий. Він збільшує пружне розширення, сприяє утворенню тріщин розшарування, а при наявності великої кількості тонкозернистої фракції викликає грудкування маси і перешкоджає рівномірному розподілу тонких фракцій в об’ємі, взагалі переміщенню частинок.

Тому кількість технологічної зв’язки повинно бути оптимальним. При напівсухому пресуванні вміст зв’язки складає звичайно від 2-3 до 9-12%, в окремих випадках підвищується до15%.

Повітря яке знаходиться при пресуванні у порошці у всіх випадках відіграє негативну роль:

- ускладнює засипку;

- знижує початкову щільність укладки частинок і перешкоджає рівномірності їх розпоідлу

- створює нерівномірну щільність пресовки

- підвищує залишкові і пружні деформації.

Існує прямо пропорційна залежність тиску пресування і щільності пре совки. Чим більший тиск пресування, тим вища його щільність.

Рівняння Бережного - це рівняння впливу тиску пресування на щільність пре совки в залежності від властивостей преспорошку

ε = a- b·lgP,%

де a, b - постійні для даної маси; a - характеризує пористість маси перед пресуванням; b - відображає здатність маси до ущільнення.

Р - зусилля пресування;

ε - істина пористість, %

З метою одержання сирцю з мінімальною пористістю при даному тиску знаходять дослідним шляхом такий склад маси і спосіб її переробки при якому значення відношення а:b буде мінімальним. Рівняння Бережного використовують для описання закономірностей пресування вогнетривів з мало пластичних мас,а також можна для більш пластичних глинистих мас, високодисперсних, гранульованих без глинистих порошків.

2.4    Особливості процесів структурно-фазових перетворень при термічній обробці шамотних вогнетривів

Випал - це завершальна стадія технологічного виробництва вогнетривів. У процесі випалу відбувається спікання.

З технологічної точки зору спікання - це процес одержання міцного мало пористого або без пористого камнеподібного тіла з вільно насипаної і спресованої порошкової маси під дією високих температур.

Основні ознаки спікання: зниження пустот, при цьому спостерігається усадка, зниження пористості.

При спіканні можливі слідуючи внутрішні процеси: зміна кількості, розмірів, і форми пор; ріст зерен; зниження і вирівнювання залишкових після пресування напруг; утворення рідкої фази; перерозподіл фаз, зміна концентрації дефектів у кристалічних фазах: хімічні реакції; поліморфічні перетворення; утворення нових сполук і твердих розчинів.

Розм’якшення шамотних вогнетривів протікає слідуючим чином: вогнетривка глина, з якої виготовляють шамотні вироби, при випалі притерпівають ряд перетворень в результаті яких утворюється близько 50% кристалічного муліту 3Al2O3 •2SiO2 (71/8% Al2O3 і 28.2% SiO2), а останнє представляє собою кремнеземисту (аморфну) скловидну речовину високої в’язкості:

При випалі в глинах і каолінах відбуваються складні і глибокі зміни: виявляється вогнева усадка, змінюється мінералогічний склад, при нагріванні до 400°С поступово видаляється слабо зв'язана вода з кристалічних ґрат каолініту.

В інтервалі 450 - 600°С видаляється хімічно зв'язана вода внаслідок розкладання каолініту по реакції:

А12О3 2 SiO2 2 Н2О→ [А12О3 + 2 SіО2] + 2 Н2О.

Реакція йде з поглинанням тепла (ендотермічний ефект). [А12О3 + 2 SiO2] -аморфний продукт, що представляє собою не механічну, а більш тісну суміш глинозему і кремнезему з взаємним проникненням компонентів і частковим збереженням структури каолінітової ґрати. Аморфний лтродукт складу [А12О3•2SіО2] називають метакаолінітом. Каолініт, позбавлений хімічно зв'язаної вологи, необоротно втрачає пластичність.

При 900°С відбувається кристалізація муліту.

При 1100 - 1250°С йде перехід у кристобаліт аморфного кремнезему, що лишився після розпаду каолініту.

При 400 - 1000°С карбонати дисоціюють з виділенням вуглекислоти, сульфіди окисляються з утворенням сірчистого газу, органічні домішки вигорають. Перераховані процеси супроводжуються значною втратою маси, деяким збільшенням пористості і зменшенням об'єму. Механічна міцність при цьому не зменшується, а збільшується. При температурі 1100°С з виділенням тепла метакаолініт перебудовується з утворенням у кінцевій стадії муліту, ЗА12О3- 2 SiO2:

3 [А12О32 SiO2] → ЗА12О32 SiO2 + 4SiO2.

З ростом температури кількість муліту безупинно збільшується і досягає максимуму при 1250 - 1350°С. Тривала витримка при температурах понад 1200°С не впливає на збільшення виходу муліту, але сприяє росту його кристалів. Одночасно з утворенням муліту йде процес спікання. Температура початку гання відповідає різкій зміні усадки. За температуру закінчення спікання 'иймають ту, при якій усадка практично припиняється, а водопоглинання іеченої глини буде близько 2%.

Температура початку і закінчення спікання залежить не від вогнетривкості глин, а від їхньої хімічної і мінералогічної сполук і дисперсності.

При випалі глин і каолінів у них одночасно з мулітом і кристобалітом утвориться аморфна частина і рідка фаза (після охолодження - склофаза). Луги сильно взаємодіють з кристобалітом і, переводять його в рідку фазу, кількість якої безпосередньо залежить від змісту лугів в алюмосилікатах.

Склоподібна частина утвориться в результаті плавлення домішок і частково розчинення кристобаліта в його метастабільної субмікроскопічної формі. Хімічний склад склоподібної частини залежить від загального складу глини чи каоліну до випалу і кількості утворившогося муліту.

2.5    Теоретичні аспекти границі міцності при стиску шамотних вогнетривів для футеровки вагранок та шляхи її поліпшення

Згідно з умовами служби шамотних виробів для футеровеи вагранок марки ШБВ вони повинні мати слідуючи властивості:

1.Границя міцності при стиску

Міцність твердих тіл характеризується силами взаємодії між атомами або іонами, які складають тіло. Міцність залежить не тільки від хімічного складу речовини, але і від виду напруженого стану (розтяг, стиск, вигин та ін.), від умов експлуатації (температура, швидкість навантаження, вплив навколишнього середовища та ін.), а також від структури.

Вогнетриви при кімнатній температурі характеризуються крихким

руйнуванням, яке звичайно наступає після незначної 0,01-0,02% оборотної (пружної) деформації і невеликої по величині пластичної (необоротної), яка зумовлюється мікроруйнуванням. Загальна деформація у вогнетривів доходить до 0,3-0,7%.

В межах пружної деформації до вогнетривів можна застосувати закон Гука, відповідно якому в невеликому інтервалі деформацій

σ /ε =Е; σ = ε · Е

де Е - модуль пружності, Н/мм2; ε - відносна деформація; σ - напруга, Н/мм2.

Модуль пружності Е (модуль Юнга) - це фізична величина, яка характеризує властивості матеріалу, а саме у кристалах характеризує силу хімічного зв'язку структурних елементів у ґратках.

Пружна деформація зв'язана із збільшенням відстані між атомами речовини при прикладенні навантаження і залежить від енергії кристалічних ґраток. Пружна деформація зв'язана із збільшенням відстані між атомами речовини при прикладенні навантаження і залежить від енергії кристалічних ґраток. Цей зв'язок виражається залежністю модуля пружності від температури плавлення. Підрахована теоретична міцність (σт) міжатомного зв'язку кристалів оксидів і оксидних стекол, яка визначається модулем пружності Е, поверхневою енергією твердого тіла σ1 і, параметром ґраток λ

σт=√2Е σ1/ λ

і складає 104 Н/мм2 (Е ≈105Н/мм2).

У вогнетривів звичайно спостерігається відхилення від лінійної залежності σ=f(ε), не зв'язане з енергією ґраток, а зв'язане зі структурою матеріалу. У зв'язку з цим пружність вогнетривів характеризується двома модулями: дотичним модулем Юнга Е = tg λ і січним V = tgβ, або модулем деформації (рис.2.1).

Рис.2.1. Схематичне зображення деформації вогнетривів:

а - крива деформації; б - точка руйнування; σст - границя міцності при руйнуванні (стиску); εn, - деформація

Модуль деформації не має фізичного смислу і залежить від умов дослідження, але відношення Е/V є показником однорідності структури. Якщо lim (Е/V) -» 1, то структура прямує до однорідності. Чим нижчі значення модулей Е і V, тим більше виражена тенденція вогнетривів до деформації і остаточного руйнування і тим менша можливість руйнування в службі.

Механічна міцність вогнетривів при нормальній температурі характеризується границею міцності при стиску (σст.), вигину (σвиг), розтягу (σроз). Для рядових вогнетривів σст складає 20-50 Н/мм2, а для щільних 50-100 Н/мм. σст характеризує стійкість вогнетривів у стіновій кладці. Міцність вогнетривів при деформаціях вигину і розтягу орієнтовно визначається:

σвиг. = (0,3-0,2)σст.                                             

σроз= (016 ÷ 0,12) σст                                                                     

σвиг характеризує стійкість вогнетривів у кладці склепіння, кільцевій та інших криволінійних кладках.

Висока міцність вогнетривів характеризується зерновим складом вихідних матеріалів, якістю обробки маси, пресуванням, випалом (ступенем спікання маси) і в основному визначається однорідністю будови або структурою. Міцність залежить не тільки від пористості, а і від розміру пор: крупні пори більш низько знижують міцність при підвищенні пористості, ніж дрібні. Крім розміру пор і зерен суттєве значення на міцність чинить рівномірність розподілу пор та їх форма. Пори, які знаходяться в зернах, менше знижують міцність, ніж пори зв'язки і пори, що знаходяться між крупними зернами і зв'язкою. Щодо форми пор особливо небезпечними є відкриті тріщини з гострими кінцями. Зменшення розміру пор, регулювання їх розподілу і форми є перспективними способами міцності вогнетривів.

Суттєва різниця між теоретичною і практичною міцністю з'ясовується в теоріях Гриффітса, Вейбулла, Журкова та ін.

По теорії Гриффітса реальні тіла мають численні тріщини (тріщини Гриффітса). Цей дефект являється концентратором напруг, а тому в області, яка приля-

гає до кінчика тріщини, напруги можуть досягати критичних значень, близьких або перевищуючих значення теоретичної міцності. Напруга на кінці гострої тріщини дорівнює

σmax=2σср√l/r                                                       

де σср - середня напруга в матеріалі;

l - довжина тріщини (близько 10-4 см);

r-радіус кривизни кінчика тріщини (дорівнює приблизно міжатомній відстані 0,1-0,4 нм).

Виходячи з даних значень l і r (l/r)≈ 102, тобто σmax на два порядка більша σср Таким чином, при порівняно незначній величині середньої напруги (σср) в матеріалі на кінчику тріщини виникає значна локальна напруга, яка приводить до росту тріщини (рис.2.2). Розтягуюча напруга направлена перпендикулярно до тріщини. Цифри на кривих постійної напруги показують, у скільки разів місцева напруга більша середньої. Пори не тільки концентрують напруги, але і екранують частину матеріалу від напруг. Матеріал, який знаходиться над порою і під порою, сприймає значно меншу напругу, а матеріал між порами при цьому буде сприймати значно більшу напругу, ніж решта матеріалу. Екранування напруг в більшій мірі проявляється крупними порами. Оскільки міцність залежить від імовірності знаходження тріщини у зразку, то вона також носить імовірний (статистичний) характер.

Рис.2.2.Концентрація напруг поблизу кінчика еліптичної тріщини

Показник міцності при нормальній температурі зберігається при нагріванні виробів до 1000-1300°С. Для оцінки міцності вогнетривів при високих температурах служби користуються показниками температури деформації під навантаженням і повзучості.

Деформацію зразків вогнетривких виробів при високих температурах визначають стандартним методом під навантаженням 0,2 Н/мм2 (МПа). Це відповідає середньому тиску, який сприймає вогнетрив у нижній частині футеровки стіни від своєї маси, висотою 10 м при об'ємній масі виробу 2 г/см3.

При випробуванні реєструють температуру початку деформації (розм'якшування) зразка, при 0,6% стиску - t0.6 р; при 4% стиску -t4p; при 40% стиску -t40p або температуру руйнування - tр.

Деформація вогнетривів при високих температурах визначається, в основному, хіміко-мінералогічним складом, кількістю твердої і рідкої фаз, їх розподілом, в'язкістю розплаву. Певне значення має також текстура вогнетриву: характер його зернового складу, кількість і розподіл пор. Більш щільний вогнетрив при однаковому складі має більш високу температуру початку руйнування під навантаженням. Розрізняють три характерних види кривих деформації вогнетривів при високих температурах:

- крива деформації вогнетриву, у якого вогнетривка складова частина утворює достатню міцний кристалічний зросток, який незначно розчиняється у рідкій фазі. Звичайно динас містить 10-15% скла і 90-85% кристалічної речовини (тридиміту, кристобаліту, кварцу). Тридиміт утворює кристалічний зросток (каркас), який слабо розчиняється в рідкій фазі. Тому температура деформації динасу висока - 1660-1670°С. Руйнується динас тільки тоді, коли починає плавитися тридиміт. Інтервал деформації невеликий - 10-15°С і, як правило, супроводжується руйнуванням зразка. Високій температурі деформації динасу сприяє також досить повільне наростання рідкої фази і велика в'язкість розплаву;

-крива деформації вогнетриву, яка складається з кристалів, що не утворюють зростка, мають невогнетривку зв'язку, в якій кристали основної фази мало розчиняються (периклазовий вогнетрив). У периклазових вогнетривах кристали МgО не утворюють зростка, вони зцементовані невогнетривкого монти-челітовою зв'язкою (СаО • МgО • SіО2, tпл. = 1450-1550°С). Кристалів МgО розчиняється в ній дуже мало, тому вогнетривкість зв'язки з підвищенням температури не збільшується, а в'язкість значно знижується. Цим і пояснюється велика різниця між вогнетривкістю периклазових виробів і їх температурою деформації. Інтервал деформації також невеликий;

- крива деформації вогнетриву, який має зернисту основу і велику кількість (близько половини) скловидної фази, яка зв'язує зернисту основу (шамотні вироби). З підвищенням температури безперервно збільшується кількість рідкої фази і її в'язкість внаслідок розчинення в ній SiO2 і А12О3. Тому їх деформація при високих температурах (1400-1600°С) має плавний пластичний характер, зразок не руйнується, а лише приймає бочкоподібну форму. Температурний інтервал деформації складає 150-250°С.

Таким чином, деформація під навантаженням при високих температурах визначається не стільки кількістю рідкої фази, скільки її розподілом. Температура деформації підвищується, коли кристали мають прямий зв'язок (утворюють каркас) і знижується, коли між кристалами є прошарки рідкої фази.

По температурі деформації під навантаженням можна орієнтовно оцінити температуру застосування вогнетривів. Особливо велике значення має цей показник при службі виробів в розпірних склепіннях високотемпературних печей і топок, у нижній частині вертикальних стін та ін. Так, для підвищення стійкості сво-дових периклазошпінелідних вогнетривів необхідно одержати вироби з прямим зв'язком кристалів (периклаз-периклаз, периклаз-пшінелід-периклаз). Для цього: вихідні сировинні матеріали повинні мати високу ступінь чистоти (мінімальний вміст SіО2 і СаО), високу щільність спечених і плавлених матеріалів, стабільність по зерновому складу; вироби пресують при високому тиску -170 Н/мм2; температура випалу - 1900-2000°С.

Високоякісні основні вироби з прямим зв'язком можна одержати за допомогою клінкерної технології.

Повзучістю називають необоротну пластичну деформацію матеріалу (безперервну зміну розмірів тіла) під впливом постійно діючих напруг (нижче границі міцності) при постійних температурах (нижче температури плавлення). Повзучість є технічною властивістю і відноситься до непружної деформації. На рис.2.3 зображена крива деформації (текучості), знята в ізобарно-ізотермічних умовах в залежності від часу.

час

Рис.2.3.Крива деформації вогнетривів при нагріванні в залежності від часу

На кривій спостерігається три періоди:

ε01 - нестала або перша повзучість;

ε12 - період сталої, постійної швидкості повзучості або друга повзучість;

ε2р - період короткочасної, третьої повзучості (руйнування).

Розподіл на періоди умовний, так як повзучість є безперервним процесом під дією постійних напруг. Стала повзучість є рівноважним станом процесу. Повзучість вогнетривів виражають в одиницях швидкості деформації ε, мм/(мм.год) (відносна зміна розмірів зразка в мм за час в год)

ε = (⌂l/l)1/τ

де ⌂l - лінійна зміна зразка, мм;

l - початкова довжина зразка, мм;

τ - час, год.

При визначенні повзучості при стиску нестала повзучість (ε01) характеризується взаємодією зерен з порами. Зерна ніби входять в пори (і в склофазу), різко скорочується кількість крупних пор, потім середніх. В період сталої повзучості (ε12) розміри пор і пористість залишаються приблизно постійними.

Вогнетриви одночасно можуть мати аморфні і кристалічні конденсовані фази, тому повзучість в більшій мірі визначається співвідношенням між аморфною і кристалічною фазами, ступенем зв'язності кристалічного каркасу, складом і щільністю зв'язки.

Так як в'язкість аморфних тіл порівняно низька, то текучість (повзучість) аморфних тіл велика.

Повзучість чисто кристалічних тіл залежить від наявності двох видів дефектів у кристалічних ґратках; точкових дефектів - вакансій, які зумовлюють дифу-зійно-пластичну течію кристалу і лінійних дефектів - дислокацій, які визивають деформацію внаслідок дифузійного переміщення дислокацій.

Але з вогнетривами справа значно складніша. Великі швидкості повзучості вогнетривів зумовлюються не тільки дифузійними процесами на атомному рівні. По Вишневському повзучість вогнетривів здійснюється механізмом макроскопічного переміщення зерен і агрегатів відносно один одного. Пластична деформація вогнетривів зумовлена головним чином в'язкою течією міжкристалічної речовини. Міжкристалітне ковзання з часом приводить до створення деформаційно-стійкого каркасу за рахунок заклинювання зерен або значної рекристалізації. На такій стадії повзучості проковзування буде скрутним і подальша повзучість буде іти у режимі пластичної течії.

Механізм деформації заключається у взаємному зміщенні зерен і їх агрегатів під впливом напруги в результаті зниження в'язкості міжкристалітного прошарку. - На криптостійкість впливають слідуючі фактори.

Вплив домішок. Сама низька швидкість деформації у чистих зразків. Очевидно, це зв'язано із збільшенням швидкості дифузійних процесів при утворенні твердих розчинів з домішками. Так, при введенні в корунд декілька відсотків силікатів крип катастрофічно зростає в 104 разів.

Вплив розміру зерна. При збільшенні зерна в 3 рази повзучість зменшу

ється приблизно в 10 разів. Отже, процеси рекристалізації сприяють підвищенню опору повзучості.

Вплив пористості. Швидкість деформування полікристалічних матеріалів при інших однакових умовах підвищується із зростанням пористості. Із збільшенням середнього розміру пор руйнування зразка проходить при більш низькій пористості. Мікротріщинувата структура, яка зумовлює підвищення термостійкості, одночасно підвищує повзучість, тому високі значення криптостійкості і термостійкості не сумісні в одному виробі.

Вплив напруги В області низьких напруг σ<10 Н/мм повзучість прямопропорційна напрузі і при умові σ<σп (n<1) відповідає дифузійно-в'язкій течії.

При умовах, які відповідають дислокаційній повзучості σ<σп(n≈3-5), навіть незначне збільшення напруги сприяє різкому росту швидкості деформації.

Повзучість у деяких випадках зумовлює вибір відповідного вогнетриву. На повзучість впливають тиск, окисно-відновний характер газового середовища. Правильний вибір технологічних параметрів виробництва може значно зменшити швидкість крипу: підвищення чистоти матеріалу, розміру зерна, температури випалу виробів, утворення "прямого зв'язку" кристалів, зниження пористості.

По ГОСТу границя міцності при стиску для вогнетривів для футеровки вагранок марки ШБВ повинна складати не нижче 15 МПа.

2. Пористість

Пористість - це основна характеристика структури і визначає стійкість вогнетривів до різних кородієнтів, ступінь механічних напруг, схильність до деформації та ін.

Велика частина пор у вогнетривах сполучається між собою і виходить на поверхню виробів і може бути заповнено водою - це відкриті пори. Невелика кількість пор ізольована, недоступна для заповнення водою - це закриті пори.

У зв’язку з цим розрізняють істинну або загальну пористість, яку складають закриті пори і відкриті, і уявну пористість, яку складають тільки відкриті пори.

По ГОСТу відкрита пористість для вогнетривів для футеровки вагранок марки ШБВ повинна складати не менше 22%.

3. Постійність об’єму при високих температурах

Вогнетриви у службі піддаються дії високих температур ніж температури їх випалу. Тому що в них пордовжуються фізико-хімічні процеси, які розпочалисяпід час випалу. В результаті таких процесів виникає необоротна зміна об’єму виробів - це додаткова усадка або ріст.

Як усадка так і ріст вогнетривких виробів у службі знижують будівельну міцність кладки печі. Внаслідок цього може виникнути вспучування стін і сводів або їх повне руйнування.

По ГОСТу додаткова усадка для вогнетривів для футеровки вагранок марки ШБВ при температурі1400 0С повинна складати небільше 0,5%

4. Вогнетривкість

Вогнетривкість - це здатність матеріалу протистояти, не розплавляючись, дії високих температур.

Вогнетривкість характеризує чистоту сировини, яка використовується для виробництва вогнетривких виробів. Величина вогнетривкості може залежати від структури виробів і їх технодогічних параметрів(ступеню випалу, зернового складу шихти і.т.д). Вироби з тонкодисперсної шихти менш вогнетривкі ніж виготовлені з грубодисперстного матеріалу.

Вогнетривкість навіть для чистих речовин відрізняється від температури плавлення; звичайно значення вогнетривкості вище значень точок плавлення. Значення вогнетривкості не визначає температуру застосування

По ГОСТу вогнетривкість для футеровки вагранок марки ШБВ не нижче 16700С.

Згідно з викладеним вище матеріалом складаємо результуючу таблицю впливу технологічних факторів на властивості шамотних вогнетривів.

Таблиця 2.1- Вплив технологічних факторів на властивості шамотних вогнетривів

 Властивості Фактори

Пори- стість

Розмір  пор

Мех. міцність

Деформ. під навантаж.

Вог-нет- ривкість

Фазовий склад

Шлако- стійкість

Термості- йкість

Хімічний склад сировинров матеріалів









Водовбирання шамоту









Зерновий склад шихти









Вологість маси









Пресове зусилля









Температура випалу










3. Вибір оптимальних технологічних параметрів воготовлення шамотних вогнетривів для футеровки вагранок марки ШБВ

Згідно з аналізом умов служби шамотних вогнетривів для футеровки вагранок були встановлені взаємозв’язані визначальні показники властивостей цих виробів: границя міцності при стиску і відкрита пористість, які обумовлюють експлуатаційні властивості шамотних вогнетривів для футеровки вагранок.

Для вибору оптимальних технологічних параметрів виготовлення шамотних вогнетривів для футеровки вагранок з відкритою пористістю 21,7% було реалізовано експеримент з виготовлення шамотних вогнетривів за наступними параметрами:

Речовинний склад шихти:

- безперервний тип укладки зерен:

шамот фр. 3-0 мм - 85%,

глина фр. 2-0 мм - 15%;

- перервний тип укладки зерен:

шамот фр. 3-0,5 мм - 65%,

суміш сумісного помелу - ССП (шамот - 70%, глина - 30%)

фр.< 0,088 мм - 35%

- вологість маси - 5% і 7,5%;

- тиск пресування - 20 Н/мм2 і 100 Н/мм2;

- максимальна температура випалу виробів - 14500С.

Результати визначення показників властивостей шамотних виробів для футеровки вагранок наведено в таблиці 3.1.

Таблиця 3.1 - Вихідні дані і показники властивостей виробів

Принцип укладки

№ шихти

Речовинний склад шихти,%

Вологість маси, %

Тиск пресування,Н/мм2 ррН

Відкрита пористість,%

Границя міцності при стиску,Н/мм2



шамот фр. 3-0мм

глина фр.2-0мм

шамот фр.3-0,5мм

ССП фр. <0,088мм





Безперервнийй

1

  85

  15

-

-

5

20

24,8

12


2



-

-

5

100

21,8

17


3



-

-

7,5

20

24,2

14


4



-

-

7,5

100

21,0

22

Перервний

5

-

-

  55

  45

5

20

22,5

20


6

-

-



5

20,4

28


7

-

-



7,5

20

21,6

25


8

-

-



7,5

100

19,2

35


Для оптимізації тиску пресування вогнетривів в інтервалі 10-200 Н/мм2 використовують рівняння А.С.Бережного, яке встановлює залежність між пористістю сирцю і тиском пресування

 

Е = а-blgР

де Е - істинна пористість, %;

а,b- константи процесу пресування для різних мас;

Р - тиск пресування, Н/мм2.

Фізичний смисл констант а і b не може бути виражено однозначно незважаючи на те, що з рівняння слідує формальне визначення константи а, пористість при ~ 0.1 Н/мм2. А.С.Бережний вважав, що значення константи а близьке до пористості вихідного порошку, коли маса знаходиться під дією тільки капілярних сил і тиску шарів, що лежать вище. Але великі відхилення рівняння від експериментальних даних в області низького тиску не дозволяють розділити цю точку зору. Крім того, за даними різних авторів, значення а звичайно знаходиться в межах 23 - 80, що набагато перевищує розкид реальної пористості вихідних порошків; іноді значення досягає 100 і більше.

Щодо константи b, то її основний смисл можна оцінити як міру ущільнення порошкової маси у всьому інтервалі можливого тиску. Однак під дією такого, наприклад, фактора, як підвищення вологості, здатність маси до ущільнення при низьких тисках збільшується, а при високих - знижується. Тому, не завжди можна одночасно відобразити пресувальну здатність маси за допомогою однієї величини b. Реальні значення константи b знаходяться найчастіше всього в межах 3-10.

Встановлено, що відносне ущільнення пресовок в даному інтервалі тиску зменшується з ростом відношення а:b, тобто величина а:b характеризує сукупність факторів, які утруднюють ущільнення пресовки.

Рівняння А.С.Бережного може бути застосовано без змінення загальної формули, а лише при інших значеннях констант а і b, Враховуючи це, для визначення залежності між тиском пресування і відкритою пористістю та щільністю випалених виробів його використовують для встановлення оптимальних параметрів пресування.

Для визначення коефіцієнтів рівняння а і b достатньо двох експериментів, які виконано при двох суттєво різних тисках Р1 і Р2 з визначенням істинної пористості пресовок або відкритої пористості випалених виробів П1 і П2.

Для вибору оптимального тиску пресування необхідно розрахувати константи а і b в рівнянні А.С.Бережного, виконати розрахунки пористості шамотних виробів при різних значеннях зусилля пресування та провести аналіз і відкритої пористості в залежності від технологічних параметрів виготовлення виробів: вологості маси і тиску пресування, зернового складу вогнетривкої шихти. Залежність відкритої пористості від тиску пресування і вологості мас з різким типом укладок зерен подати графічно.

При виборі оптимального тиску пресування при постійній вологості шамотної маси визначаємо константи а і b в рівнянні А.С.Бережного шляхом розв'язування системи рівнянь:

П1 =а-blg Р1

П2 = а-blg Р2

де П1 і П2 - відкрита пористість виробів, які сформовані при різних значеннях тиску пресування,%;

а,b - константи рівняння;

Р1 і Р2 - тиск пресування, Н/мм2.

Тоді значення констант рівняння А.С. Бережного можна розрахувати за формулами:

b = (П12):lgР21

a = П1 +blg Р1

Розрахуємо коефіцієнти а і b для мас з різним типом укладки зерен.

Для мас безперервного зернового складу:

- вологість вогнетривкої маси 5%, тиск пресування Р1=20 Н/мм2, Р2=100 Н/мм2

b = (24,8 - 21,8):lg100/20 = 3,00: 0,699 = 4,29

а = 24,8 + 4,29lg20 = 24,8 + 4,29*1,301 = 30,38

П = 30,38 - 4,29 lgР,%

- вологість вогнетривкої маси 7,5%, тиск пресування Р1=20 Н/мм2, Р2=100 Н/мм2

b = (24,2 - 21,0):lg100/20 = 3,20: 0,699 = 4,58

а = 24,2 + 4,58lg20 = 24,2 + 4,58*1,301 = 30,16

П = 30,16 - 4,58 lgР,%

 

Для мас перервного зернового складу:

- вологість вогнетривкої маси 5%, тиск пресування Р1=20 Н/мм2, Р2=100 Н/мм2

b = (22,5 - 20,4):lg100/20 = 2,10: 0,699 = 3,00

а = 22,5 + 3,00lg20 = 22,5 + 3,00*1,301 = 26,4

П = 26,4 - 3,00 lgР,%

- вологість вогнетривкої маси 7,5%, тиск пресування Р1=20 Н/мм2, Р2=100 Н/мм2

b = (21,6 - 19,2):lg100/20 = 2,40: 0,699 = 3,43

а = 21,6 + 3,43lg20 = 21,6 + 3,43*1,301 = 26,10

П = 26,10 - 3,43 lgР,%

Результати розрахунку констант рівняння А.С. Бережного і одержання рівнянь зведемо в табл.3.2, знайдемо відношення констант а:b і проведемо аналіз зміни пористості виробів в залежності від технологічних параметрів виготовлення виробів.

Таблиця 3.2 - Рівняння А.С. Бережного

Принцип укладки зерен

Вологість маси,%

 Значення констант

Відношення a:b

Рівняння



 а

 b



Безперервний

5

30,38

4,29

7,08

П=30,38-4,29lgP


7,5

30,16

4,58

6,59

П=30,16-4,58lgP

Перервний

5

26,4

3,00

8,80

П=26,4-3,00lgP


7,5

26,1

3,43

7,61

П=26,1-3,43lgP


Згідно з теоретичними даними для одержання виробів з мінімальною пористістю величина відношення констант рівняння а:b повинна зменшуватися. Як видно з одержаних даних для мас з перервним і безперервним зерновим складом, підвищення вологості маси до 7,5% сприяє зниженню величини а:b на 1,19 і 0,49 відповідно. Це зумовлено пластифікуючою дією води, яка знижує тертя мінеральних частинок в процесі пресуваня і забезпечує краще ущільнення маси.

Для підтвердження вищевказаного, використовуючи одержані рівняння (табл.3.2), виконаємо розрахунки величини відкритої пористості в інтервалі тиску пресування 20-100 Н/мм2, а також величину зміни пористості (∆П) при підвищенні тиску пресування на 20 Н/мм2 в заданому інтервалі за формулою

∆П = Пп - Пп-1,

де Пп, Пп-1, - пористість виробів, які сформовані при меншому і більшому тисках пресування відповідно,%

Результати розрахунку зведемо до табл.3.3.

Таблиця 3.3 - Розрахункові значення відкритої пористості, %

Тиск пресування, Р, Н/мм2

 20

 40

 60

 80

 100

lgP

 1,301

1,602

1,778

1,903

 2,00

 Принцип укладки

 Безперервний

 Вологість маси

 5%

24,79

23,50

22,75

22,22

21,78





∆П,%

1,29

0,75

0,53

0,44





 ∆П =24,79-21,78=3,01%




 7,5%

24,20

22,82

22,02

21,44

21,00





∆П,%

1,38

0,80

0,58

0,44





 ∆П=24,20-21,00=3,00%


 Перервний


 5%

22,50

21,59

21,06

20,69

20,40





∆П,%

0,91

0,53

0,37

0,29





 ∆П=22,50-20,4=2,10%




 7,5%

21,64

20,61

20,00

19,57

19,24





∆П,%

1,03

0,61

0,43

0,33





 ∆П=21,64-19,24=2,40%


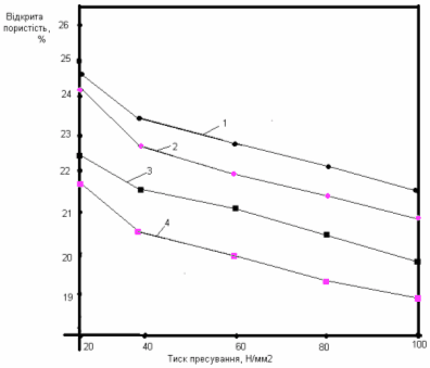
Графічна ілюстрація залежностей відкритої пористості шамотних вогнетривів від тиску пресування і вологості мас представлена на рис 3.1

Аналіз одержаних даних свідчить про те, що незалежно від принципу укладки зерен, підвищення тиску пресування сприяє ущільненню маси і зниженню відкритої пористості виробів. Причому, для мас як з безперервним, так і з перервним зерновим складом збільшення вологості маси від 5% до 7,5% в інтервалі тиску пресування 20-100 Н/мм2 забезпечує зниження відкритої пористості виробів на 0,01% і 0,3% відповідно.

Слід також відмітити, що в області більш високого тиску пресування(вище 60Н/мм2) інтенсивність зменшення величини відкритої пористості знижується, що викликано збільшенням тертя частинок і підвищенням вмісту у масі дрібних фракцій матеріалу, внаслідок руйнування зерен опіснювача під дією значних пресових навантажень.

Розрахуємо величину тиску пресування для виробів, які виготовлені за різними технологіями, що забезпечує виробництво вогнетривів з відкритою пористістю - 21,7%

Для розрахунку тиску пресування, який забезпечить задане значення відкритої пористості шамотних вогнетривів - 21,7%, скористаємося одержаними рівняннями.

1,2 - безперервний зерновий склад маси;

3,4 - перервний зерновий склад маси;

1,3 - вологість маси 5%;

2,4 - вологість маси 7,5%

Рисунок 3.1 - Вплив тиску пресування і вологості маси на зміну відкритої пористості шамотних вогнетривів

для мас з безперервним типом укладки зерен:

- вологість маси 5%:     П = 30,38-4,29lgP

                                      21,7 = 30,38-4,29 lgP

                                      lgP = (30,38-21,7)/4,29

                                      lgP = 2,023

                                      Р = 102,023 = 105,4 ≈ 105 Н/мм2

- вологість маси 7,5%:  П = 30,16-4,58lgP

                                      21,7 = 30,16-4,58 lgP

                                      lgP = (30,16-21,7)/4,58

                                      lgP = 1,847

                                      Р = 101,847 = 70,3 ≈ 70 Н/мм2

для мас з перервним типом укладки зерен:

- вологість маси 5%:     П = 26,4-3,00lgP

                                               21,7 = 26,4-3,00 lgP

                                               lgP = (26,4-21,7)/3,00

                                               lgP = 1,566

                                               Р = 101,566 = 36,8 ≈ 37 Н/мм2

- вологість маси 7,5%:  П = 26,1-3,43lgP

                                               21,7 = 26,1-3,43 lgP

                                               lgP = (26,1-21,7)/3,43

                                               lgP = 1,282

                                               Р = 101,282 = 19,14 ≈ 19 Н/мм2

Результати розрахункових значень тиску пресування, який забезпечує одержання виробів з відкритою пористістю 21,7%, наведено в табл.3.4.

Таблиця 3.4 - Розрахункові значення тиску пресування,Н/мм2

Принцип укладки  Тиск пресування,

 Вологість маси,%


 5

 7,5

 Безперервний

 105

 70

 Перервний

 37

 19


Порівнюючи результати розрахунку пресових зусиль видно, що вологість вогнетривкої маси суттєво впливає на величину тиску пресування, і досягнення заданої пористості може бути реалізовано при менших зусиллях пресування маси. Для мас безперервного зернового складу таким тиском пресування є тиск 70 Н/мм2 при вологості маси 7,5%, а для мас з перервним принципом укладки зерен оптимальний тиск пресування - 19 Н/мм2 при вологості маси 7,5%.

Для остаточного вибору технологічних параметрів необхідно враховувати той факт, що важливою експлуатаційною вимогою до шамотних виробів для футеровки вагранок є висока границя міцності при стиску.

Як видно з даних результатів визначення границі міцності при стиску шамотних виробів (див. табл. 3.1), сформованих із мас безперервного зернового складу, з підвищенням тиску пресування границя міцності виробів при вологості 5% збільшується в 1,42 рази, а при вологості 7,5% - у 1,57 рази. Це зумовлено структурою вогнетриву, розмірами пор і їх розташуванням.

Для виробів, сформованих із мас перервного зернового складу, границя міцності при стиску з підвищенням тиску пресування підвищується при вологості маси 5% в 1,40 раз і для вологості 7,5% в 1,40 рази що також пояснюється особливостями структури виробу і розподілом пор за розмірами.

Відмічено, що незалежно від вологості маси і тиску пресування границя міцності при стиску для шамотних виробів вище у випадку їх виготовлення із мас перервного зернового складу.

Таким чином, враховуючи характер зміни границі міцності вогнетривів, можна стверджувати, що при однаковій пористості - 21,7% границя міцності виробів із мас перервного зернового складу буде вище границі міцності вогнетривів безперервного зернового складу.

Тому, для виготовлення шамотних вогнетривів для футеровки вагранок пропонуються наступні оптимальні технологічні параметри:

Для вогнетривів у зоні плавки та горіння треба використовувати речовинний склад шихти, який передбачає використання перервного типу укладки зерен:

1   шамот фр. 3 - 0,5 мм - 55%, ССП фр. <0,088мм-45%;

2   вологість маси - 7,5%; тиск пресування - 19 Н/мм2.

А для інших зон вагранок можна використовувати безперервний тип укладки зерен:              - шамот фр. 3 - 0 мм - 85%,

     - глина фр. 2-0 мм - 15%, - вологість маси - 7,5%;

- тиск пресування - 70 Н/мм2.

Висновки і рекомендації

 

1       З проведеного аналізу умов служби шамотних вогнетривів, встановлено, що вони повинні володіти високою границею міцності при стиску, що є визначальною їхньою властивістю

2       Був встановлений вплив хіміко-мінералогічного та речовинного складу на властивості вогнетривів, залежність щільності укладки при пресуванні від зернового складу вогнетривких порошків, вплив параметрів пресування на ущільнення вогнетривких мас, особливості процесів структурно-фазових перетворень при термічній обробці шамотних вогнетривів та теоретичні аспекти границі міцності при стиску шамотних вогнетривів для футеровки вагранок та шляхи ії поліпшення.

3       За рівнянням А.С. Бережного для одержання виробів з мінімальною пористістю величина відношення а:b повинна зменшуватися. Аналіз рівнянь свідчить про те, що підвищення тиску пресування сприяє ущільненню маси і зниженню відкритої пористості. З цього можна зробити висновок, що ми повинні використовувати вироби, сформрвані із мас перервного зернового складу,речовинний склад яких: шамот фр. 3 - 0,5 мм - 55%, ССП фр. < 0,088мм-45%; вологість маси - 7,5%; тиск пресування - 20 Н/мм2.

4       Для поліпшення визначального показника - границі міцності при стиску необхідно регулювати розмір пор: крупні пори більш різко зменшують міцність ніж дрібні; їх рівномірне розподілення та форму: зменшення розміру пор та регулювання їх розподілення збільшують міцність вогнетривів; підібрати оптимальний тиск пресування.

Література

 

1      Стрелов К.К., Мамыкин П.С. Технология огнеупоров. - М.: Металлургия, 1978. - 376с.

2        Іващенко Л.В. Взаємозв’язок основних властивостей вогнетривів з параметрами технології: Конспект лекцій. - Дніпропетровськ: НМетАУ, 2002. - 61 с.

3        Плотников Л.А. Огнупоры в черной металлургии. - М.: Металлургия, 1973. - 272с.

4      Огнеупорное производство: Справочник под ред. Д.И. Гавриша. - М.: Металлургия, 1965. - Том 2. - 578 с.

Похожие работы на - Вибір оптимальних технологічних параметрів виробництва шамотних вогнетривів і їх взаємозв’язок з основними властивостями виробів

 

Не нашли материал для своей работы?
Поможем написать уникальную работу
Без плагиата!
Без нейросетей!