Політичний PR

  • Вид работы:
    Курсовая работа (т)
  • Предмет:
    Политология
  • Язык:
    Русский
    ,
    Формат файла:
    MS Word
    87,57 kb
  • Опубликовано:
    2010-12-01
Вы можете узнать стоимость помощи в написании студенческой работы.
Помощь в написании работы, которую точно примут!

Політичний PR












Курсова робота

на тему:

«Політичний PR»










Київ – 2010

Вступ

Актуальність даної роботи полягає у необхідності вивчення політичного PR як невід’ємної складової сучасного розвинутого суспільства. З одного боку політика (інститут держави) виникла із розвитком суспільного ринкових відносин, початок цього процесу сягає у давнину. З іншого боку людство зіткнулось із проблемою донесення інформації. Вперше серйозно замислились над цим у ХХ столітті. В цей час виникло питання пропаганди та ідеологічної боротьби.

Об’єктом даної роботи є політичний PR.

Предметом даної роботи є розгляд питання політичного PR як сфери суспільної комунікації.

Мета даної роботи – вивчити явище політичного PR.

Задачі даної роботи:

Ø   Визначити PR як суспільне явище та його застосування у політичних процесах.

Ø   Дослідити сферу політичних комунікацій.

Ø   Визначити роль впливу політичного PR на електоральну поведінку.

Ø   Вивчити роль ЗМІ у політичному PR

Ø   Охарактеризувати специфіку діяльності окремих галузей ЗМІ.

Розробленість даної теми. Питання політичного PR розглядається багатьма західними (Грінберг Т, Дейвіс Ф., Блондель Ж., Ноель-Нойман Е., Катліп С., Картер Т. та іншими), а також східноєвропейськими дослідниками (Дмитрієв А.В., Ковлер А.І., Ольшанський Д.В, Почепцов Г.Г., Кочубей Л., Лебедєва Т.А. та інші). Дана тематика є досить розробленою враховуючи її актуальність. Однак політичний процес не стоїть на місці, тому завжди є необхідність у нових дослідженнях.

1. Теоретико-методологічні засади вивчення PR

1.1 PR як складова суспільних відносин

Будь-яка організація прагне зайняти на ринку певну нішу, повинна подбає про власну індивідуальність. Саме цьому сприяє комплекс комунікаційних елементів серед яких важливе значення має PR.

Зараз існує досить багато визначень сутності науки PR. Один з провідних дослідників американець Сем Блек визначає PR як «мистецтво і науку досягнення гармонії за допомогою взаєморозуміння, заснованого на правді і повній інформованості». Дуже жорстке і по-американськи прагматичне визначення PR приводиться в книзі «Комунікаційний менеджмент»: «PR – це діяльність з перекладу прагматичних цілей організації в прийнятну для суспільства політику». У більш розгорнених визначеннях PR – наука про комунікації, що має на меті створення атмосфери довіри між індивідуумом і групою, групою і суспільством в цілому та надає інформаційний вплив на громадську думку. PR – це плановані, тривалі зусилля, спрямовані на створення і підтримку доброзичливих відносин і взаєморозуміння між організацією та громадськістю.

Основні завдання PR лежать в області удосконалення зовнішніх і внутрішніх комунікацій. Зовнішні комунікації, що займають до 80% часу, лежать в області комунікацій із засобами масової інформації – ЗМІ.

Внутрішні комунікації мають на своїй меті створення атмосфери взаєморозуміння і співпраці усередині організації.

PR сьогодні включає в себе наступні структурні складові зовнішньої і внутрішньої середовища організації:

Ø   Акціонери;

Ø   Інвестори;

Ø   Кредитори;

Ø   Фінансові установи та організації;

Ø   Клієнти;

Ø   Партнери;

Ø   Конкуренти;

Ø   Власний персонал фірми;

Ø   Урядові і законодавчі органи;

Ø   Муніципальні органи;

Ø   ЗМІ;

Ø   Професійні асоціації;

Ø   Навчальні заклади;

Ø   Громадські організації і т.п.

PR складовий елемент стратегії компанії прагне забезпечити свої лідируючі позиції на ринку.

PR – це, перш за все, формування іміджу організації та потрібного їй громадської думки шляхом точкових методів, при яких певній групі пропонується саме та інформація, яка їй цікава.

Дуже важливий і злободенний круг питань PR зосереджений навколо забезпечення іміджу організації, персонально її керівників і співробітників, а також підвищення іміджу, його стабілізації і вживання термінових заходів у разі зниження.

PR складається з наступних областей:

Корпоративні та фінансові зв'язки з громадськістю – створюють імідж організації і сприяють посиленню її позицій на ринку.

Інформованість (пабліситі) про компанію та її положенні впливають на збут продукції.

Муніципальні відносини – питання охорони середовища, створення нових робочих місць, участь у житті міста і т. п. Ними впливають на ставлення суспільства до компанії та до її товарів.

Виробничі відносини – інформованість про виробничі відносинах впливає на відношення до якості виробів.

Відносини з лідерами, впливають на громадську думку – на ставлення широкої публіки до компанії та її товарах впливає думка лідерів – політиків, журналістів, керівників громадських об'єднань і т. п.

Отже, предметом PR є комунікації, як обмін інформацією. Метою діяльності PR організації є забезпечення сприятливого поведінки громадськості по відношенню до неї.

Громадськість – це група людей, по-перше, що виявляються в аналогічній ситуації невирішеною, по-друге, які усвідомлюють невизначеність і проблематичність цієї ситуації, в третіх, що реагують певним чином на ситуацію, що склалася.

Використовуючи стратегічний підхід в PR середу активності PR можна розділити на три частини:

Мезосреда, або операційне середовище організації – найближчий шар зовнішнього середовища, в якій організація веде свої повсякденні операції – покупці, постачальники, партнери, конкуренти.

Мікросередовище – внутрішнє середовище організації.

Макросередовище – віддалений шар зовнішнього середовища – державні та громадські організації і т. п.

Основними складовими PR має сенс розглядати наступні структурні елементи:

Ø   Паблісіті;

Ø   Спонсорство;

Ø   Фірмовий стиль.

1. Паблісіті займає, мабуть, саме значне місце в системі PR. По суті – це неоплачувані стимулювання попиту на товари або послуги організації або саму організацію з допомогою розповсюдження про них важливих відомостей у всіх засобах поширення інформації доступних для читання, перегляду, прослуховування актуальними і потенційними клієнтами фірми. При цьому слід враховувати, що зміст і час появи такої інформації не можуть контролюватися організацією.

2. Спонсорство – діяльність з поданням фірмою фінансових коштів певним особам чи організаціям, зайнятим у сфері спорту, культури, охорони здоров'я, освіти тощо для досягнення нею поставлених цілей у галузі менеджменту та маркетингу.

3. Створення фірмового стилю – важливий компонент PR. Поняття фірмового стилю, як правило, включає:

Ø   Товарний знак, тобто позначення, що відрізняє товари фірми від виробів інших фірм;

Ø   Логотип – накреслення повного або скороченого найменування фірми або групи товарів фірми;

Ø   Фірмовий блок;

Ø   Фірмовий гасло – те, що визначає кредо фірми;

Ø   Фірмовий колір;

Ø   Фірмовий комплект шрифтів і т.д.

Слід зазначити, що іноді фірмовий стиль має складові, що впливають на різні органи чуття: радіопозивні, гімн, одяг, аромати і т. п.

Перераховані вище структурні компоненти додаються комплектом заходів щодо формування громадської думки, які будуть розглянуті нижче.

1.2 Політична комунікація

Початком вивчення явищ політичної комунікації у розвинутих країнах можна вважати дослідження пропаганди в період першої світової війни. Однак фундаментальні роботи в цій області, так само як і сам термін «політична комунікація», з'явилися лише в кінці 40-х – початку 50-х років. Виділення досліджень політичної комунікації в самостійний напрям, пов'язаний з використанням формалізованих методів системного аналізу, припадає на 50-і – 60-ті роки – період становлення загальної теорії систем як міждисциплінарної логіко-методологічної концепції дослідження складно структурованих об'єктів різної природи, а також стрімкого розвитку кібернетики – області знання, що вивчає найбільш загальні закономірності процесів інформаційного обміну та управління в технічних, біологічних, людино-машинних, економічних і соціальних системах.

Застосування системно-кібернетичної методології до дослідження процесів і явищ, що відбуваються в політичній сфері, дозволяє виявити у деяких з них певні ознаки, властиві як життя або поведінки окремого індивіда, так і функціонування створених людиною складних технічних пристроїв. Однак даний факт зовсім не означає прагнення до спрощеної інтерпретації соціальної дійсності, подібного неодноразовим і справедливо критикувалися в минулому спробам «наклеїти» енергетичний «або» біолого-соціологічний «ярлик на явища на зразок криз, революцій, боротьби класів і т.п.». Системний аналіз, на відміну від механістичних концепцій, не ставить завдання вичерпно пояснити або однозначно звести один до одного різнопланові явища лише на підставі проявляється схожості окремих їх сторін. Навпаки, як підкреслював основоположник кібернетики Н. Вінер, мова йде тільки про те, що «аналіз одного процесу може привести до висновків, що мають значення для дослідження іншого процесу».

В якості вихідного пункту будемо використовувати поняття чинного елемента, що позначає будь-який об'єкт навколишнього світу, що певним чином залежить від інших об'єктів і, одночасно, певним чином впливає на інші об'єкти. Безліч інших об'єктів навколишнього світу назвемо середовищем даного елемента. Стосовно до миру політичної реальності діючими елементами виступають суб'єкти політики: індивіди, соціально-політичні спільності та інститути, по відношенню до яких навколишнього соціального середовищем є суспільство в цілому.

Далі будемо виходити з таких трьох припущень:

(1) Середа впливає на діючий елемент W, викликаючи в ньому деякі стану строго певного роду, наприклад певну температуру, електричний заряд, відчуття, чуттєве сприйняття, політичну установку. Окремі види таких станів х1, х2., хm прийнято називати вхідними координатами, або входами елемента W.

(2) Чинний елемент W впливає на середу, приймаючи деякі стану строго певного роду, наприклад певну температуру, магнітне поле, рух, політична дія. Окремі види таких станів y1, y2., yn в системно-кібернетичної термінології позначаються як вихідні координати або виходи елемента W.

(3) Чинний елемент W має один вхід і принаймні один вихід.

Припущення (1) і (2) еквівалентні твердженням, що чинний елемент W є «щодо відокремленим», тобто, що контакт елемента із середовищем відбувається виключно за посередництвом його входів і виходів. Припущення (3) виключає з розгляду елементи без входів і виходів, подібні монада Лейбніца, а також елементи, що мають тільки входи або тільки виходи, або, як їх часто називають, «виключно пасивні» і «виключно активні» елементи: згідно запропонованої логічній схемі, кожен розглянутий елемент через свої входи «приймає» дії середовища, а через свої виходи посилає дії в середу. Таким чином, надалі будемо вважати, що суб'єкт політики представляє собою діючий елемент W, що має m входів і виходів n, де в загальному випадку число входів m не збігається з числом виходів n.

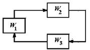
Рис. 1

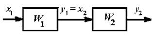
Очевидно, що діючі елементи можуть впливати один на одного, причому, відповідно до припущеннями (1) і (2), тільки через свої входи і виходи, тобто елемент W1 може впливати на елемент W2 тільки таким чином, що W2 через свої входи сприймає стану всіх або деяких виходів W1. Іншими словами, деякі вихідні сигнали елемента W1 стають вхідними координатами, що змінюють стан елемента W2, тобто містять важливу інформацію для W2. Таке перетворення вихідних сигналів елементу W1 під вхідні сигнали елемента W2 називається комунікацією, або зв'язком елемента W1 c елементом W2. При цьому W1 може бути пов'язаний з W2 допомогою як усіх своїх вихідних сигналів (рис. 2а), так і лише деяких з них (рис. 2б). Зазвичай при розгляді комунікації маються на увазі тільки векторні сукупності значущих для кожного елемента сигналів (рис. 3).

Рис. 2

Рис. 3

Приймаючи точку зору, що взаємодія будь-яких діючих елементів, у тому числі і суб'єктів політики, як один з одним, так і з зовнішнім середовищем носить інформаційний характер, відзначимо, що в системно-кібернетичному контексті інформація, по суті, виступає як якась категорія ідеального порядку, як категорія розумова. За словами М. Вінера, «інформація – це позначення змісту, отриманого з зовнішнього світу в процесі нашого пристосування до нього і пристосування до нього наших почуттів». Таке визначення, звичайно, важко назвати вичерпним навіть з точки зору кібернетики, так як воно має виражений антропологічний відтінок і не охоплює, наприклад, область процесів інформаційного обміну між частинами обчислювальної машини. Проте дана дефініція за своєю суттю близька до спроб розкрити категорію «інформація» через взаємодію якогось довільно взятого чинного елемента з навколишнім середовищем, або через відображення. У цьому випадку під відображенням з позицій як кібернетики, так і загальної теорії систем можна розуміти взяті в діалектичній єдності один з одним процес і результат взаємодії елемента із зовнішнім світом, що призводить до зміни стану елемента відповідно з якими-небудь сторона відображає зовнішнього впливу, визначуваного мовою кібернетики як «повідомлення». Тоді процес отримання та відображення діючим елементом повідомлення із зовнішнього середовища і результат цього процесу, взяті в діалектичній єдності один з одним, визначають обсяг кібернетичної категорії «комунікація» («communication», нерідко перекладається українською мовою як «зв'язок»). Виходячи із запропонованого співвідношення між поняттями, інформацію можна було б охарактеризувати як кібернетичних категорію, що позначає зміст комунікації. При цьому надходить до діючого елементу «вхідна» інформація представляє собою зміст повідомлення, а значима інформація, що змінює стан елемента, – зміст відображення цього повідомлення.

Рис. 4

Рис. 5

Зворотній зв'язок, або двосторонній інформаційний обмін грає виключно важливу роль у процесах управління, в тому числі і в галузі політики. «Встановлюючи зв'язок з іншою особою, – зазначав з цього приводу Н. Вінер, – я повідомляю йому сигнал, а коли ця особа у свою чергу встановлює зв'язок зі мною, воно повертає подібний сигнал, що містить інформацію, спочатку доступну для нього, а не для мене. Керуючи діями іншої особи, я повідомляю йому сигнал, і, хоча цей сигнал даний в імперативній формі, техніка комунікації в даному випадку не відрізняється від техніки комунікації при повідомленні сигналу факту. Більш того, щоб управління було дієвим, я повинен стежити за будь-якими поступають від нього сигналами, які можуть вказувати, що наказ зрозумілий і виконується». Таким чином, з точки зору системно-кібернетичного підходу, управління представляє окремий випадок комунікації, результатом якого є цілеспрямована зміна стану елемента або сукупності елементів. Отже, і політичне управління можна визначити як окремий випадок політичної комунікації.

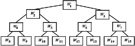
Нерідко будь-якої діє елемент, у тому числі і суб'єкт політики, виявляється пов'язаний з більше ніж одним діючим елементом. Точно так само більш ніж один елемент може бути пов'язаний з даним елементом. У таких випадках говорять, що має місце розгалуження зв'язків, причому в першому випадку відбувається розгалуження виходів (рис. 6а), а в іншому – розгалуження входів (рис. 6б). Одним з різновидів даного типу комунікації виступає ієрархічна зв'язок, або просто ієрархія, яка характеризується впорядкованістю, організованістю взаємодій між окремими рівнями елементів по вертикалі (рис. 7). Подібні багаторівневі зв'язку, що поєднують у якості елементів «малі організації», досить часто потрапляють у поле зору політології та інших соціальних наук: «Вільні федерації стародавньої Греції, Священна Римська імперія і сучасні їй аналогічні феодальні держави, Швейцарська Конфедерація, Сполучені Нідерланди, Сполучені Штати Америки та інші Сполучені Штати, розташовані південніше, Союз Радянських Соціалістичних Республік – все це приклади ієрархій організацій у політичній сфері. Левіафан Гоббса, Людина-Держава, складений з менших людей, є ілюстрація тієї ж ідеї щаблем масштабу нижче».

Рис. 6

Рис. 7

Безліч пов'язаних діючих елементів, взяте в єдності з сукупністю відносин, або зв'язків між ними, складає зміст поняття системи діючих елементів, або, більш коротко, просто системи. При цьому сукупність зв'язків, відносин між діючими елементами системи (і всі різні ізоморфні перетворення цих відносин) називається структурою системи. Слід підкреслити, що діючими елементами системи можуть виступати й системи більш низького порядку, «малі організації», зазвичай іменуються підсистемами, спосіб дії кожної з яких як єдиного і щодо відокремленого цілого визначається її власною структурою. Безумовно, структура як самої системи, так і входять до неї підсистем необов'язково залишається незмінною – з плином часу окремі зв'язку між елементами можуть слабшати і руйнуватися, однак можуть з'являтися і нові зв'язки, в тому числі і з елементами, раніше не входили в систему. У узагальнюючому плані підсистеми, що діють елементи і Дисертант зв'язку між ними нерідко згадуються як компоненти системи.

Використовуючи наведені визначення в політологічному контексті, встановимо, що політична система являє конкретно-історичну форму взаємодії суб'єктів політики та організації відносин між ними, владно впорядковується, оформляють і полягає у певному кордону політичну діяльність у суспільстві. Відповідно, під політичної комунікацією будемо розуміти процес передачі політичної інформації, її переміщення як всередині політичної системи між її елементами і підсистемами, так і між політичною системою і суспільством.

У широкому сенсі, як підкреслював відомий американський політолог Л. Пай, «політична комунікація має на увазі не односторонню спрямованість сигналів від еліт до маси, а весь діапазон неформальних комунікаційних процесів у суспільстві, які надають саме різне вплив на політику».

Зазвичай виділяються три основні способи політичної комунікації: через неформальні контакти, через суспільно-політичні організації (інститути) і через засоби масової інформації. Проте до них слід також віднести і особливі комунікативні ситуації або дії. «У політичній комунікації, – відзначають автори англо-американського» Словника політичного аналізу», – звичайно мають справу з написаним або вимовного словом, але вона може відбуватися і за допомогою [c. 28] всякого знаку, символу і сигналу, за допомогою якого передається зміст. Отже, до комунікації треба віднести й символічні акти – найрізноманітніші, такі як спалення повістки про призов до армії, участь у виборах, політичне вбивство або відправлення каравану суден у плавання по всьому світу. У значній своїй частині політична комунікація складає сферу компетенції спеціалізованих установ та інститутів, таких, як засоби масової комунікації, урядові інформаційні агентства або політичні партії. Тим не менше вона виявляється у всякій обстановці соціального спілкування, від бесід віч-на-віч до обговорення в палатах національного законодавчого органу».

1.3 особливості політичного PR в Україні

Використання PR-технологій як важливої складової політичного процесу в Україні набуває дедалі більшого значення. При побудові образу політичного лідера технологічно важливо враховувати фактори, які можуть мати місце, зокрема:

1) псевдовідповідальність: від політичних лідерів вимагається прийняття відповідальних рішень в умовах невизначеності. Тому політик іноді несвідомо використовує прийом оберненого делегування відповідальності тим, хто призначив або обрав його на відповідну посаду. І до сьогодні однією з невирішених проблем політичного життя України лишається відповідальність депутатів перед виборцями;

2) некомпетентність: компетентність політичного лідера – це акумульований і усвідомлений досвід. Її необхідно доводити на раціональному рівні, на рівні свідомості як кандидата, так і виборців. Політичний лідер мусить відповідати «громадській думці» (державно-правовій фікції – за визначенням Ю. Хабермаса). Серед політиків і, значною мірою, в експертному середовищі популярною є думка, що головним чинником, який суттєво вплинув на вибір громадян декількох останній виборах, була наявність у партій і блоків яскравих лідерів. Та деякі соціологічні дослідження свідчать, що це не завжди так.

3) псевдохаризматичність: політичні лідери, що досягли певних успіхів завдяки особистісному впливу, легко йдуть на те, щоб оголосити свої досягнення результатом харизми. Тобто, харизматичний лідер впливає на своїх послідовників ірраціональним шляхом. Уміло організовані мітинги та зустрічі з виборцями включають механізм психічної індукції, коли громадськість у часових межах заданої програми сприймає і репродукує ті політичні істини, які виголошує лідер. На суб’єктивному рівні феномен цієї помилки виявляється так, що з мітингу політичний лідер іде з повною переконаністю, що він має нових послідовників, оскільки бачив це на власні очі. Натомість послідовники, позбавляючись гіпнозу штучно створеної ситуації, залишаються з приємними враженнями від зустрічі. Але із своїми переконаннями.


2. PR як складова політичного процесу

2.1 Політичний PR як засіб впливу на електоральну поведінку

Політичний вибір, волевиявлення виборця невільні навіть у суспільствах з найбільш розвиненими демократичними інститутами. Рішення людини голосувати тим або іншим чином залежить від прихованого впливу різних закономірних і випадкових чинників. Істотну, якщо не визначальну роль у передвиборній ситуації може зіграти політична реклама, здатна інтегрувати вплив цих факторів на електоральне поведінка, організувати його і підпорядкувати виборчої стратегії. Політична реклама виступає свого роду вектором: вона зводить воєдино можливі поведінкові реакції електорату, задає їм те єдино вірний напрям, яке може визначити успіх на виборах.

Щоб досягти цього, необхідно встановити міцний зв'язок між суб'єктом і об'єктом реклами. Прийнято вважати, що реклама – односпрямований процес, не має на увазі зворотного зв'язку. Це, безсумнівно, так, тим не менше для ефективного впливу на виборця реклама повинна враховувати весь спектр інтересів, запитів людей. Змістовне наповнення політичної реклами формується під впливом потреб електорату. У «пов'язування» запросив об'єкта і пропозицій суб'єкта і полягає її основна комунікативна завдання.

Рішення цього завдання не одномоментний і не строго послідовний процес. Система чинників, що формують політичний вибір, – складне, багаторівневе, але досить гнучке освіту. Причини, що визначають те чи інше прояв електоральної поведінки, – це свого роду важелі, керуючи якими окремо, комплексно або в різних комбінаціях, можна варіювати як нюанси виборних орієнтації, так і загальна їх напрямок.

Проте перш ніж розглядати механізми впливу політичної реклами на систему факторів, що формують політичний вибір, ми повинні проаналізувати специфіку електоральної поведінки людей. Фахівці з політичного маркетингу поділяють чинники, що формують установки політичного вибору, на суб'єктивні та об'єктивні. Цей поділ досить умовно: жоден з факторів не впливає на позицію виборця однозначно і строго визначено, не направляє його до вибору одним єдино можливим шляхом, кожен чинник «спрацьовує» в комплексі з масою інших. Крім того, жоден з так званих «суб'єктивних» чинників, що визначають вибір, не є похідна тільки внутрішніх установок виборця – всі вони формуються під впливом як свідомості, так і буття.

Психологічні закономірності включення людей в політику можна розкрити через загальні потреби людини. До них відносяться фізіологічні потреби (в їжі, одязі, житло), потреби в самозбереженні (в забезпеченні безпеки, підтримці здоров'я), у любові (у звичайній прихильності, включно із сексуальною, в духовній близькості, в ототожненні себе з іншими, у бажанні не просто любити, але при цьому відчувати приналежність до якої-небудь групи), потреби в повазі з боку інших (у володінні престижем, в схваленні з боку оточуючих), в самоповазі (у почутті власної гідності, самореалізації, самовираженні). Хоча всі ці потреби властиві переважній кількістю виборців, серед різних груп населення вони розвинені в різного ступеня і проявляються в різній формі. Наприклад, задоволення фізіологічних потреб в їжі, одязі, житло в однієї групи населення може служити лише підтримання простого фізичного існування, а в іншої – виражатися в прагненні раціонально і смачно харчуватися, красиво і модно одягатися, мати зручне, комфортне житло і т.д.

Мотиви формуються під впливом низки передумов – свідомих і несвідомих, раціональних і емоційних – і знаходяться в постійній взаємодії один з одним. На їх формування впливає набір установок індивіда, тобто його схильність до того, щоб певним чином сприймати обставини, якими б вони не були, і певним же чином реагувати на них. Ці установки не є вродженими, вони виникають в результаті різного роду відносин і взаємодій, в які людина вступає, починаючи з дитинства, – взаємовідносин у сім'ї, школі, з друзями, в рамках соціального класу, до якого він належить; його ставлення до референтній групі, з якою він себе ототожнює і яка грає роль моделі; нарешті, його відносини до осіб, що впливає на формування громадської думки, і до лідерів громадської думки.

Отже, політична реклама, як «діяльність, яка формує суспільні умонастрої, з психологічної точки зору, зводиться до процесів вироблення установок». Включення механізмів реклами на етапі усвідомлення потреб, поєднання їх з пропозицією кандидата і подальша кодифікація в рекламних матеріалах може стати одним з напрямків її впливу.

У ряду факторів, що впливають на політичний вибір, важливе місце займають ідеологічні установки і політична культура. Будь-якого політичного лідера виборець, перш за все, співставляє з тим набором ідеологічних цінностей, що властивий йому самому, він як би вибирає лідера з-поміж «собі подібних».

Поява конкуруючих ідеологій завжди пов'язане з тим, що в суспільстві відбуваються стратифікаційні зміни. Криза, в якій опиняються традиційні громадські структури та ідеології, сприймається масовою свідомістю як розпад звичних систем цінностей і моделей поведінки. Особистість, що втрачає орієнтацію і можливість суб'єктивного контролю над ситуацією, намагається знайти себе в самоідентифікації з будь-якою групою, щоб в цій спільності захиститися перед дійсністю, що стала раптом чужою і ворожою.

Один з можливих варіантів опису політичного розшарування суспільства пропонують прихильники так званого психологічного механізму наслідування. На їхню думку, для членів товариства, який переживає перехід від тоталітарного ладу до інших способів організації людського гуртожитку, характерна висока сугестивність і схильність до наслідування західним зразкам життєустрою. Маючи на увазі схильність до наслідування, можна припустити, що суспільство розділене на три групи: радикальних конформістів, що прагнуть повністю перенести західні традиції на український ґрунт; соціальних конформістів, які бажають, щоб в країні запанував західний спосіб життя, але при збереженні вітчизняних пріоритетів у виробництві та управлінні; консерваторів, що намагаються відшукати для України свій власний, особливий шлях у всіх сферах життя.

Другий, достатньо розроблений метод, полягає в спробі описати розшарування суспільства за приналежністю до того чи іншого політичного об'єднання, партії, організації. Однак при такому підході в поле зору не потрапляють люди, які не бажають приймати участь в якій би то не було політичної діяльності, а також ті, хто лише час від часу включаються в неї.

Теорія «соціальної стратифікації». поділяє електорат, виходячи з таких критеріїв: розмір доходів, обсяг влади, рівень емоційності, характер власності, переважні соціально-психологічні стереотипи. Але подібне поділ страждає еклектичністю.

2.2 ЗМІ як механізм реалізації PR у політиці

ЗМІ мають сьогодні більше, ніж будь-коли, впливу на формування свідомості і поведінку людей, стають потужним інструментом впливу на інститути влади. Поняття ЗМІ як четверта влада набуває нового сенсу.

Інформація завжди залежала від технічного прогресу засобів її розповсюдження. Сучасна інформація зробила перший якісний ривок з розвитком преси, потім – винахід телеграфу, радіо, телебачення. Сьогодні інформація зазнає настільки серйозні інновації в галузі електроніки, інформатики, супутникового зв'язку, що ЗМІ з працею встигають слідувати технічному розвитку.

Ці кількісні зміни ведуть до того, що виробництво і розповсюдження інформації змінює свою природу. Замість друкованого, раціонального і постійного тексту з'явився спочатку короткий і умовний радіо текст. З появою зображення, заснованого на зоровому сприйнятті, на мить, символі і домінанту ірраціонального, можна говорити про справжню революцію в ЗМІ, Гі Дебора, французький дослідник в області масових інформаційних процесів, пропонує охарактеризувати наше суспільство, як «суспільство спектаклю» – результат урочистості відеоряду в інформаційному потоці.

На думку Режі Дебре, французького засновника нової галузі знання – медіалогіі, ми живемо в епоху «відеосфери», де зображення не є ні річчю, ні істотою, а перцепцією; реальність проводиться за допомогою техніки. Так, реальне телевізійного товариства не співпадає з реальним графічним суспільством. З точки зору Дебре, реальність – це результат технічної діяльності людей, а не існуюча сама по собі субстанція, а телебачення створює нове глобальне простір – час: те, що локально, моментально стає загальносвітовою. Час стає як би непрямим: важливо не те, коли подія відбулася, а коли воно було показано і сприйнято. Інакше кажучи, сьогодні змінюється сама парадигма структурування суспільства, відбувся перехід від пірамідального світу організації влади до світу павутини, тобто від вертикального, централізованого світу до світу децентралізованого, розпорошеного. Однак і в цьому світі стоїть питання про владу і власності, тому що існує, наприклад, власність на засоби виробництва громадської думки. Саме тому феномен комунікації необхідно трактувати з політичної точки зору.

З політичної точки зору важливо, насамперед, те що змінивши спосіб сприйняття світу електоральні ЗМІ перетворили політику, – в усякому разі публічну політику в медіапроцесі, зробивши його серцевиною публічної політики, одночасно стимулювавши і відповідні зміни в комунікативному процесі. Це призвело до зміни місця комунікації в політичному процесі. Суть цієї зміни полягала в тому, що «акт комунікації влади з масовим суб'єктом сам по собі почав визначати формат політичних відносин. Комунікація стала системоутворюючим елементом політики і придбала в ній новий онтологічний статус, втративши колишньої допоміжне – технічний характер».

Революція в електоральних ЗМІ, (поряд зі змінами, що відбуваються в суспільстві, у свідомості населення, який прагне «віддалитися» якомога далі від політики і зосередити всі свої зусилля на сфері приватного життя) не тільки висунула ЗМІ в епіцентр публічної політики, але і змінила і формат політичних відносин, гранично спростивши їх і перетворивши на свого роду розважальне шоу. Цей аспект зміни політичного процесу і, головне роль ЗМІ в цьому зміну представляє для даної теми особливий інтерес.

Більш опосередкований ефект впливу нових комунікацій на політичний процес пов'язаний з тим, що відбувається з переміщенням і поглинанням основних сфер людської діяльності в світ медіа. Стає скрутним визначити, де дійсний, а де надуманий процес переміщення, підтримуваний прозелітом нової утопії медіатизації суспільства.

Основний ефект нових технологій комунікації і ЗМІ полягає в перенесенні ролі та функції інструменту на кінцеву мету: не комунікація існує для людини, а людина для комунікації. Негативний ефект цієї інверсії полягає в тому, що засіб перетворюється в ціль, а інструмент перестає виконувати свої завдання і втрачає при цьому свої функції. Саме це й відбувається із засобами масової інформації, які формують нову суспільне середовище. Нове товариство є по суті суспільством аутизму, описане дослідником комунікаційних процесів Люсьєном Сфецом. На його думку, розвиток комунікації характеризується протиріччям між «дійсним фактом» і його медійному «поданням», що поміщають людини в лабіринт помилкових знань.

З точки зору іншого дослідника Жана Бодрійяра, сучасне суспільство – це суспільство «комунікації заради комунікації», бо мета не в інформації, а в самому факті її передачі. Постійне спотворення ЗМІ самої інформації, хоча завдання як раз полягає в збереженні її цілісності, тягне перманентну боротьбу з метою реінтерпретацію інформаційного контексту.

Відбувається зміщення таких понять, як «інформація» (у значенні інформації про будь-яке події) і «знання». Аудиторія може отримати величезне число повідомлень (інформації) про ту чи іншу подію і його суті не володіти при цьому знанням про нього.

У своїй книзі, що вийшла в 1981 році, французький дослідник Дені де Ружмон всупереч пануючому тоді думку розмежував поняття «інформація» і «знання». У той час вважали, що доступ до інформації є синонімом доступу до знання. Ще наприкінці 60-х років один з перших французьких фахівців у галузі інформатики Жак Арсак звернув увагу на наявність різниці між поняттями «інформація» і «сенс». Однак довгий час ці поняття були змішані у науці. Сучасна людина вважає, що він отримав доступ до подій тому, що він інформований про них. Але як би не був талановитий репортаж з місця події, інформація завжди досягає певного порогу, за яким вона не в силах передати зміст події. Так, наприклад, репортаж про життя в закордонному місті не може знайти зміст без особистого досвіду в даній конкретній ситуації, і інформація не може замінити цей досвід.

Новітні телекомунікаційні технології, Інтернет дозволяють отримувати інформацію в реальному часі. Наприклад, за часів Наполеона III, новини Кримської війни доходили до Парижа за 8 днів, а війну в Іраку одночасно бачили мільйони глядачів CNN. Швидкість комунікації дозволяє нам бути свідками подій у реальному часі, але за рахунок відмови від аналізу, чому раніше сприяв часовий проміжок; основний акцент робиться на емоції, але не на пояснення. Однак миттєвість передачі інформації ще не гарантує її правдивості.

Сьогодні склалася парадоксальна ситуація: можна сильніше переживати події, побачені в телевізійній мелодрамі чи фантастичному фільмі, ніж показаний по телевізору документальний фільм про катастрофу. ЗМІ за своєю природою мають зближувати людей або хоча б полегшувати їм розуміння подій в іншій країні. Комунікація повинна усувати дистанцію, між людьми, що, однак, в реальності часто не відбувається. І хоча частина політиків, особливо опозиційних, така практика шокує, вони не відмовляються від подальших контактів із ЗМІ, бо плутанина понять інформації та комунікації виникає також з сучасної тенденції нав'язувати медійний стиль у виразі знань. Відтепер знання і процес, перш за все політичний, має подаватись аудиторії в «доступному» вигляді, тобто будь-який політик, спеціаліст зобов'язані прибирати зі свого виступу або публікації, розрахованої на широку публіку, все те, що може бути розцінено як «нудне» і «незрозуміле». Якщо мова йде про телевиступі, то переважно залишити тільки зображення, підклавши текст, написаний і озвучений журналістом. Виступ вченого має розважати публіку і ніколи не вступати в протиріччя з її незнанням. Інформація повинна завжди відповідати потребам «порожнечі», максимального заповнення, тоді як поширення знань спирається на визначення та відповідність простору незнання.

Виходячи з цього, можливі будь-які форми маніпуляцій при перекладі, при поширенні знань та інформації. Найбільш часто практикується переробка інтерв'ю до стану повної невпізнанності. Проте згідно з чинною практиці виходить, що більш важливим є сам факт присутності, участь в ЗМІ, перебування в епіцентрі подій, а сама інформація вже вторинна.


3. Діяльність ЗМІ у висвітлені політичних процесів

3.1 Діяльність електронних ЗМІ

«Реклама повинна постійно боротися з відсутністю уваги до себе, саме тому вона може приймати самі витончені форми». Найбільш широкий простір для реалізації ідей політичної реклами надають, безперечно, засоби масової інформації. Фахівці виявили такі особливості сприйняття інформації, переданої різними каналами комунікації: людина запам'ятовує приблизно 10% того, що читав, 20% того, що чув, 30% того, що бачив, 50% того, що чув і бачив, 70% того, про ніж сам розповідав, і 90% того, що сам робив. П. Шампань пише: «Мас-медіа, і особливо аудіовізуальні засоби масової інформації, мають сьогодні значною символічною владою. Це проявляється в можливості формулювати ті чи інші проблеми, створювати явища силою слова, тобто нав'язувати масам певне бачення світу, що досягається їх широким розповсюдженням і ефективністю впливу зорових образів на широку публіку».

Виборці в своїх політичних уподобаннях рідко спираються на доскональне вивчення програм політичних партій і рухів. Так, на виборах до Держдуми 1995 тільки 5% населення реагували на платформи кандидатів. У значно більшою мірою оцінки людей складаються під безпосереднім враженням від того чи іншого політичного лідера – перш за все в результаті телевізійного знайомства з ним, доповненого «підсвічуванням» інших ЗМІ. В одному з останніх досліджень вітчизняних психологів відзначається, що сама поява на екрані лідера вже додає йому ваги і збільшує ступінь довіри до нього. Адже саме телебачення нав'язує нам певну, часом стереотипізовані, модель бачення політичної реальності, а для більшості людей включений телевізор означає безпосередню участь у політичному і громадському процесі. Телебачення володіє найбільш потужним впливом, даючи візуальну картинку, яку населення сприймає як більш достовірну, ніж вербальний канал, оскільки дійсність представляється як би не відфільтрованої. Крім того, зорові образи запам'ятовуються краще, ніж вербальні, і довше зберігаються в пам'яті.

Можливість спілкування практично з кожним потенційним учасником голосування, показ аудиторії «товару особою» дає екрану істотні, порівняно з іншими способами передачі інформації, переваги. Технічні засоби телебачення, що дозволяють коректувати вигляд лідера, з тим щоб зробити його якомога більш позитивним, висока ступінь достовірності телеінформації, що створює ілюзію причетності, атмосфера інтимності, навколишнє спілкування політиків із глядачами, – все це здатне додати телевізійному обігу набагато глибша, ніж на радіо або в пресі, емоційну забарвленість, настільки важливу для встановлення контакту з виборцями. Але те ж телебачення нещадно оголює будь-яке випадання героя з рамок заданого образу, будь-які помилки творців цього образу, будь-яке протиріччя в, здавалося б, ретельно продуманої стратегії. Надаючи політику максимально широку аудиторію, телебачення разом з тим ставить його перед необхідністю спілкуватися з дуже неоднорідною публікою. Не випадково однією з першорядних завдань, що стоять перед кандидатом, які з'являтимуться на екрані, соціопсихолог вважають подолання антипатії з боку глядачів (якщо вона існує) та посилення симпатії.

Основним засобом виразності телебачення можна вважати візуальний ряд. Велика частина виборців знайомиться з кандидатом саме завдяки телеекрану, тому, на наш погляд, доречно буде спочатку позначити деякі аспекти візуального втілення політичного образу.

Від 60 до 80% інформації ми передаємо один одному в процесі спілкування невербальними засобами. Першим словами кандидата передує його візуальне звернення – тип обличчя, огрядна або її відсутність, манера тримати себе, осанка, костюм.

Основу візуального іміджу політика становлять його природні дані. Однак створення образу представляє собою не стільки їх опис, скільки «приведення реальних фізичних рис у відповідність існуючій системі соціальної кодифікації, визначення можливо більш позитивних або негативних елементів, на яких переважно буде будуватися імідж». Під час президентських виборів у США в 1956 р., коли країна вперше змогла спостерігати за ходом боротьби по телевізору, одразу ж постало питання про візуальний вигляді претендентів. Форма і тип особи, так би мовити, окремо взяті, поза контекстом, який можуть йому створити рекламісти, ще нічого не означають. В одному з досліджень французьких фахівців в області телевізійної політичної комунікації проблема образу лідера на телебаченні розглянута дуже докладно. Наприклад, автори аналізують морфологічні особливості портретів основних суперників на президентських виборах 1981 р. у Франції В. Жискар д'Естена і Ф. Міттерана: «Імідж Жискар д'Естена в цілому позитивний. Він справляє враження людини чуйного. Тип його особи і форма голови говорять про тонку сприйнятливості, такті, вмінні розв'язувати делікатні питання». Проте «. очі, довгі, близько поставлені, мало відкриті, наводять на думку, що він, можливо, протеже» сального кишені». Складки на верхніх століттях надають особі атмосферу стриманості і таємничості. Негативний ефект його холодних і загадкових очей «ящірки» скрашує піднятими бровами, що додають жвавість погляду. З іншого боку, довгий і непропорційну ніс (більш широкий у підстави, ніж у перенісся) свідчить про деяку сухості та браком великодушності. Ці кілька елементів не погіршують, тим не менше, загального враження про В. Жискар д'Естену як людину інтелігентну, що володіє значним інтелектом». Ф. Міттеран, на відміну від свого суперника, характеризується психологічної «структурою могутньої і палкої», він володіє «важкої, прямокутної головою на ґрунтовної шиї». Радники Міттерана з реклами взяли на озброєння це враження могутності, виробленого їх кандидатом, поклали його в основу рекламної кампанії. «Не будучи здатним суперничати в елегантності і витонченості зі своїм супротивником, Міттеран повинен був запропонувати ідею, завдяки якій його земна тяжкість, неповороткість (його іноді порівнювали з Ж. Помпіду) могла стати козирем при виборі правителя для Франції, стурбованої кризою».

Інша характеристика – спрямованість погляду. При телекомунікації фахівці розрізняють, наприклад, «погляд на камеру», що сприяє встановленню контакту з реципієнтом і дозволяє підкреслити значення тієї чи іншої фрази. Це напрям погляду виробляє найбільш сприятливе враження. Погляд на тих, хто знаходиться в студії, встановлює зв'язок із зовнішньою аудиторією через внутрішню. Погляд, що перекладається виступаючим з паперів, що лежать перед ним, на камеру, з одного боку, створює враження «штучності» комунікації, з іншого – говорить про те, що виступаючий спеціально готувався до зустрічі. В ідеалі кандидат повинен складати враження людини, вільно володіє «артикуляцією» напрямків погляду.

3.2 Діяльність ЗМІ

При виборі каналів поширення рекламних звернень теоретики і практики політичного менеджменту віддають перевагу аудіовізуальним комунікацій і друкованим формам реклами (дані досліджень показують, що найбільший вплив на виборців робить телебачення і безпосередні зустрічі з кандидатами). Це не применшує значної ролі, яку відіграє в реалізації рекламної стратегії періодична преса.

Преса має ряд переваг перед іншими ЗМІ. По-перше, інформація фіксується на паперовому аркуші та сприймається читачем «без посередників». По-друге, рекламна інформація в пресі не здається настільки настирливої, як, наприклад, телевізійна: читач володіє якоюсь «свободою» вибору – читання тексту і сприйняття образотворчого друкованого матеріалу проходить відповідно до бажання людини, вибірково, в тому порядку, темпі і ритмі, які він сам встановлює. По-третє, рекламна публікація може знову привернути увагу читача при його повторному ознайомленні з газетою. Рекламна ефективність газетної публікації (звичайно, якщо вона буде взагалі помічена) вище, оскільки статичність газетного аркуша дозволяє докладніше ознайомитися з пропонованими фактами, міцніше закріпитися цієї інформації у свідомості реципієнта (за умови достатньої привабливості повідомлення) і повернутися до неї у разі необхідності. Дискретність ж випуску періодичних видань, деяке відставання друку в тому, що стосується оперативності інформації, – все це не настільки істотно для рекламних матеріалів. Імідж лідера, зі сторінок періодичної преси, легше контролювати, утримувати в заданих рамках, ніж, наприклад, телевізійний імідж: друкований матеріал приховує за акуратними рядами рядків коливання душі, невдалу реакцію на несподіване запитання, нерівну мова, словом, все те, що так нещадно можуть оголити телебачення, радіо та виступи на мітингах. Перш ніж приступити до розгляду звернень політичної реклами, що зустрічаються на сторінках газет і журналів, необхідно домовитися про типологію друкованих видань в ракурсі можливості їх залучення в якості каналів комунікації в рамках політичної кампанії. На наш погляд, доцільно говорити про чотири типи видань: політично нейтральних; виданнях, так чи інакше підтримують ідеологію того чи іншого політичного табору; друкованих органах певних партій, об'єднань і виданнях, в тій чи іншій формі лідерами (входження до складу редколегій, в склад засновників), і, нарешті, про спеціалізовані випусках періодичних видань та спеціалізованих виданнях, що випускаються лише в період виборів.

У політичній рекламі, яка розміщується в періодичній пресі, доцільно, на наш погляд, розрізняти такі типи текстів:

Ø   Традиційні види друкованої рекламної продукції, призначені для поштової розсилки, роздачі, вуличної комунікації, розміщені на сторінках газет і журналів (оголошення, політичні листівки, плакати, адаптовані до розмірів газетної шпальти, рекламні політичні портрети);

Ø   Програмні документи і виступи політиків (мови, звернення, дискусійні матеріали);

Ø   Твори традиційних газетно-журнальних жанрів, адаптовані до рекламним цілям (рекламні публікації у формі інтерв'ю, політичних портретів, нарисів).

Тенденція до розміщення в пресі рекламних матеріалів, підготовлених поліграфічним способом (плакатів, листівок, портретів), активно проявилася у виборчих кампаніях з виборів до Держдуми 1995 і виборів президента 1996 р., а також при численних виборах до місцевих органів влади. На наш погляд, це пояснюється бажанням розробників політичних кампаній максимально використовувати можливості всіх каналів комунікації, зокрема, періодичних видань. Однак ефективність такого підходу представляється нам сумнівною: по-перше, при цьому нераціонально використовується газетне простір і губляться переваги впливу на виборців за допомогою газетного тексту (знижується ступінь довіри до матеріалу, збільшується ризик викликати в читача негативну реакцію), по-друге, підготовлені «не для друку» матеріали, – як правило, кольорові, розраховані на інші умови трансляції, – суттєво програють у газетному виконанні. Навіть за умови високоякісної поліграфії ефективність того ж плаката, розрахованого на певний формат, при розміщенні його в журналі буде значно нижче, ніж плаката щитового. Однак слід зауважити, що подібна практика може виявитися дієвою, якщо такого роду звернення включені в політичний рекламний блок на смузі, виконують функцію чергового нагадування про кандидата, підтримують своїх «близнюків», які розповсюджуються за допомогою інших каналів комунікації. Важливо, щоб вони не порушували загальної гармонії, не псували враження від інших матеріалів кампанії.

Докладний аналіз типів друкованої реклами ми проведемо в наступному розділі, поки ж наше завдання – оцінити можливості преси як каналу розповсюдження подібного роду матеріалів.

Політичне оголошення. Нами відзначено той факт, що на газетних сторінках нерідко розміщуються малоформатні рекламні матеріали, які можна віднести до розряду політичних оголошень. Як правило, ці рекламні звернення містять у собі портрет політика, гасло чи заклик кампанії, які іноді замінюються ключовою фразою з виступів лідера або невеликим фрагментом одного з положень програми.

Основне призначення оголошення – за допомогою преси та прямого поширення нагадати про кандидата з метою ідентифікації його імені, підготовки до сприйняття більш детальної інформації про нього. Треба враховувати, що в більшості випадків газетні політичні реклами не відповідають вимогам, що пред'являються до рекламних матеріалів. Досить сказати, що якість їх виконання, як правило, низьке. Мається на увазі, що їх ефективність повинна бути дуже висока, оскільки з ними знайомиться вельми широка аудиторія, проте маленьке фото, в більшості випадків чорно-біле, завдяки ретуші робить обличчя практично не відповідним оригіналу, мало що може сказати про кандидата.


Не нашли материал для своей работы?
Поможем написать уникальную работу
Без плагиата!
Без нейросетей!