Исследование особенностей домашнего задания по физкультуре

  • Вид работы:
    Курсовая работа (т)
  • Предмет:
    Педагогика
  • Язык:
    Русский
    ,
    Формат файла:
    MS Word
    61,80 kb
  • Опубликовано:
    2011-03-17
Вы можете узнать стоимость помощи в написании студенческой работы.
Помощь в написании работы, которую точно примут!

Исследование особенностей домашнего задания по физкультуре

Реферат

 

Цель работы – исследование особенностей домашнего задания по физкультуре.

Объект работы – домашнее задание на уроках физкультуры.

Задачи работы:

-   изучить особенности планирования уроков физкультуры

-   рассмотреть требования к домашнему заданию

-   проанализировать эффективность воздействия выполнения домашнего задания по физкультуре на развитие ребенка

Введение

Родители должны знать санитарные нормы: на выполнение домашнего задания во 2 — 3–м классе отводится максимум 2 часа, в 5–м классе — не больше 2,5 часа, в 6–м — 3, после 7–го — 3,5, но с учетом, что на каждый предмет потребуется не более 30 минут.

Правда, есть закономерность: время, которое тратят сильные и слабые ученики на подготовку домашних заданий, соотносится как 1:6, т.е. если сильный ученик справляется с уроками за 3 часа, то слабому потребуется 18! Поэтому домашнее задание должно быть дифференцированным. Учитывают ли это учителя? Не всегда. В начальных классах большинство учеников, даже хорошо успевающих, не справляются с домашним заданием без помощи взрослых.

А еще по гигиеническим требованиям нельзя, например, в понедельник и субботу проводить математику, химию, физику и контрольные работы, тем более — первым или последним уроками. Занятия математикой или русским языком следует чередовать с физкультурой или рисованием.

Изменения в учебных программах вызваны стремлением сохранить и укрепить здоровье учащихся, облегчить социальную адаптацию выпускников средней школы, более полно учесть специфику столичного рынка труда, отразить новые требования законодательства к общеобразовательной подготовке старшеклассников.

С этой целью усилено внимание к задаче индивидуализации учебного процесса, в вариантах рабочих учебных планов на конкретных примерах показаны возможности некоторого сокращения инвариантного (базового) компонента, которое компенсируется введением дополнительных модулей и курсов, учитывающих образовательные потребности различных категорий учащихся. Предлагается достаточно технологичный вариант построения индивидуальных учебных планов старшеклассников, основные принципы которого прошли экспериментальную проверку в практике работы ряда московских школ.

Подчеркивается значение активных форм обучения, прежде всего, проектной деятельности для развития творческой инициативы и самостоятельности учащихся, для наполнения учебного процесса содержанием, имеющим для ребенка реальное личностное значение, для усиления практической направленности образования.

Усилено внимание к необходимости развития физической культуры и занятий активно-двигательного характера в системе общего образования. При наличии условий (кадров, помещений, инвентаря, программно-методического обеспечения) для организации занятий физкультурой и спортом образовательным учреждениям рекомендуется организовывать дополнительные занятия для желающих во второй половине дня.

С целью нормализации учебной нагрузки школьников в таблицу плана введена особая строка "Максимальный объем обязательных домашних заданий" (измеряется в час/день). Указанные в ней временные ограничения относятся к обязательной части домашнего задания, которое должны выполнять все дети. Поэтому каждому учителю необходимо тщательно продумывать состав домашнего задания, разграничивать те задания, которые необходимо выполнить каждому ребенку (чтобы закрепить основные алгоритмы, или повторить основные определения, базовые сведения и т.п.), и задания, которые любознательный ребенок или ученик, занимающийся по индивидуальной программе, может выполнить дополнительно.

Необходимо также тщательно соотносить время, которое планируется учителем для выполнения обязательной части домашнего задания, с реальным временем его выполнения детьми; корректировать на этой основе объем домашнего задания, приучать детей к рациональной организации выполнения домашней работы.

1. Планирование и анализ уроков физической культуры

 

1.1 Планирование учебного процесса по физической культуре


Успех учебного процесса по физической культуре во многом зависит от того, насколько продуманно составлено и как выполняется перспективное планирование учебной работы в целом и на конкретных уроках в частности.

В основе перспективного планирования лежат документы, которые должны быть у каждого учителя. К ним относятся расчет часов по видам физической подготовки, график учебного процесса и рабочий поурочный план.

Типовой учебный план — расчет часов по разделам, который приводится в программе физического воспитания, требует обязательного уточнения применительно к климатическим условиям и состоянию материально-технической базы школы.

График учебного процесса раскрывает организацию и порядок проведения занятий по программе в течение учебного года. Он составляется на основе расчета часов учебного плана. Порядок составления и форма графика учебного процесса, так же как и рабочего плана, показаны в учебниках для институтов физической культуры «Теория и методика физического воспитания».

Рабочий план раскрывает методику последовательного изучения программного материала (обучение движениям и воспитание (развитие) физических качеств) по установленным графиком циклам. Циклом в графике принято называть периоды проведения занятий: на открытом воздухе с начала учебного года до перехода в спортивный зал; в зале до перехода на лыжную подготовку и т.д.

Необходимо, чтобы расчет часов по разделам программы был утвержден директором школы. Это необходимо для согласования данного документа с планом спортивно-массовых мероприятий, которые будут проводиться в школе. Остальные документы перспективного планирования утверждаются заместителем директора по учебно-воспитательной работе, курирующим организацию физической подготовки школьников.

При планировании учебной работы по физическому воспитанию школьников необходимо помнить о такой его важной составляющей, как деятельность спортивных секций и проведение соревнований.

Необходимо позаботиться о том, чтобы спортивные секции были организованы в первую очередь по видам физической подготовки, включенным в учебную программу. Это даст возможность учителю физкультуры подготовить актив, способный оказать ему помощь при проведении уроков и спортивных мероприятий.

Участие школьников в спортивных соревнованиях позволяет лучше закрепить учебный материал уроков физкультуры. Для этого календарный план спортивно-массовых мероприятий, в том числе соревнований, должен быть максимально увязан с графиком учебного процесса и рабочими планами педагогов. Оптимально, когда в зависимости от вида физических упражнений, изучаемых на уроке, планируется и проведение спортивных соревнований. Например, после изучения техники игры надо проводить общешкольные соревнования по спортивным играм и вовлечь в них максимальное число участников.

1.2 Подготовка плана-конспекта урока


Заключительным этапом планирования является подготовка плана-конспекта урока. Учитель не должен ограничивать себя составлением краткого плана урока. Опыт показывает, что в физическом воспитании не удается обеспечить необходимое качество урока без детально развернутого плана, т.е. без конспекта. Конспекты рекомендуется составлять не на разрозненных листках бумаги, а в тетради или журнале большого формата с заранее размеченными графами и указанием недели и месяца проведения урока. По мере накопления опыта и улучшения материальной базы, к тому же ориентируясь на лучшие конспекты прошлых лет, учитель получит возможность готовить более совершенный документ.

Знакомясь с содержанием конспекта, надо в первую очередь обратить внимание на конкретность постановки задач и намеченных приемов их выполнения в условиях данного образовательного учреждения.

Качество обучения наиболее важным упражнениям оставляет желать лучшего во многих школах именно потому, что учитель не ставит конкретной задачи обучения, а учит учащихся в общем, например прыжку в длину. Однако прыжок в длину состоит из ряда фаз (разбег, отталкивание, полет, приземление) и их необходимо последовательно освоить и закрепить на нескольких уроках. Точно в соответствии с задачами, решаемыми на конкретном уроке, нужно осуществлять и запись пройденного материала в классном журнале.

От постановки задачи зависит и подбор учебного материала на уроке, особенно использование необходимых, но, к сожалению, редко применяемых, подводящих и специальных упражнений.

В процессе физического воспитания не только укрепляется здоровье учащихся, вырабатывается сила, выносливость, но и закаляется воля и характер, формируются нравственные и эстетические качества. Практика лучших преподавателей, тренеров спортивных секций показывает, что физкультура, спорт и туризм — это действенные средства воспитания учащихся. Поэтому нельзя ограничивать задачи урока лишь оздоровительной и образовательной функциями. Необходимо, чтобы конспекты учителя и тренера обязательно предусматривали как собственно физическое воспитание, так и конкретные задачи по нравственному развитию подростков.

Анализируя план-конспект, руководителю образовательного учреждения полезно поинтересоваться:

- в какой последовательности учитель его составляет;

- на какой момент урока приходится наибольшая нагрузка учащихся;

- как взаимосвязаны между собой подготовительная, основная и заключительная части урока;

- в какой мере каждая часть урока отвечает своему назначению.

При этом надо иметь в виду, что составление конспекта начинается с основной части урока, после чего подбираются упражнения, наилучшим образом подготавливающие учащихся к выполнению основного учебного материала и, как правило, к повышенным нагрузкам. Заключительная часть урока (в конспекте должно быть показано, за счет каких упражнений) ставит задачу успокоить занимающихся, организованно закончить урок: дать домашнее задание, подвести итоги. В конспекте необходимо обязательно указать, какое оборудование и инвентарь потребуются на уроке и какое количество оборудования и инвентаря будет использовано.

1.3 Анализ урока физической культуры


Центральным и основополагающим компонентом учебной работы по физическому воспитанию является урок физической культуры. Посещая урок, руководителю целесообразно проанализировать следующие его компоненты:

- организацию урока;

- физическую нагрузку учащегося;

- общую и моторную плотность урока;

- обучение двигательному действию;

- домашнее задание.

Руководитель учебного заведения, давая разносторонний и объективный анализ урока, прежде всего оценивает то, как организован урок. Быстрое построение учащихся, наличие у них требуемой спортивной формы, четкая и доходчивая для школьников форма постановки задач урока, минимальная потеря времени на установку оборудования и высокая общая плотность занятий, организованный переход от одной части урока к последующей, хорошая дисциплина и сознательное выполнение учащимися учебных заданий — наиболее важные моменты организации урока, на которые в первую очередь следует обратить внимание.

Другой важный компонент урока — физическая нагрузка. Без соответствующей нагрузки, обязательного учета физических возможностей учащихся нельзя обеспечить эффективность физического воспитания. Учитель должен знать индивидуальные физические возможности каждого учащегося, владеть разнообразными способами и приемами регулирования физической нагрузки на уроке.

Я.С. Вайнбаум предлагает ряд параметров, которые следует выполнять при дозировании нагрузок на уроках физической культуры (см. табл. 1.1).

Таблица 1.1 Должное нормирование нагрузок на уроке физкультуры

Структура нагрузок

Упражнения

Норма нагрузок

Метод выполнения

Направленность

Группы мышц

Интенсивность

Объем

Развивающий

Поддерживающий

Кол-во серий

Время, мин.

Кол-во серий

Время, мин.

Сила

Плечевой пояс и руки

Упражнения основной и снарядной гимнастики, акробатики

70–75% от максимальной, интервал между сериями 40–90 сек.

3

4–5

2

2–3

Повторно-серийный

Ноги, брюшной пресс, спина

«-»

«-»

«-»

3

3

3

2

2

2

«-»

«-»

«-»

Скоростная взрывная сила

Туловище, плечевой пояс и руки

Метания, игры, прыжки

80–100% от максимальной

3 (по 2–3 повторения)

6

2

3

Повторно-серийный

Ноги

«-»

«-»

Скорость


Бег, игры

3 (по 2–3 повторения)

3 (по 2–3 повторения)

3

1

1

Повторно-серийный

Общая выносливость


Бег, игры

150–160 уд./мин.

15 мин.

15 мин.

Непрерывный, равно-мерный и переменный


Важным показателем воздействия физической нагрузки на организм учащихся является степень изменения у них частоты сердечных сокращений в покое и при выполнении физических упражнений, которая может быть зафиксирована в специальном протоколе. П.К. Петров предлагает следующую разновидность протокола учета пульсовых данных на уроке.

Протокол учета пульсовых данных на уроке

Школа № _____. Класс 2«Г».

Урок провел _________________

Дата ______ Время ____________

Место проведения — спортивный зал.

Количество учащихся — 24, из них: мальчиков — 12, девочек — 12.

Количество отделений 1 (м), 1 (д).

Задачи урока:

1. Научиться кувырку вперед.

2. Совершенствовать умение лазать по наклонно поставленным скамейкам.

3. Научиться играть в игру «К своим флажкам».

Фамилия наблюдаемого — Иванов К.

Фамилия наблюдающего — Петров В.К.

Пульс до занятий в спокойном состоянии — 84 уд./мин.

На основе данных протокола составляется график нагрузки. Для этого по вертикальной оси откладывают количество ударов пульса, начиная от 70, а по горизонтальной — время измерения пульса.

Каждый учащийся должен хорошо знать свой организм, уметь измерять пульс, следить за процессом приспособления организма к нагрузке. Пульс можно считать в течение одной минуты; 30, 15 или 10 секунд с последующим умножением результата на 2, 4 или 6.

В результате систематических занятий физическими упражнениями происходит понижение частоты пульса. После 6–7 месяцев тренировки пульс снижается на 3–4 уд./мин., а после года занятий — на 5–8 уд./мин. и более. Пульс во время физической нагрузки и сразу после нее у старшеклассников может достигать 160–170 уд./мин. и больше. Но через 3–5 мин. он должен приходить в норму. Чем тренированнее учащийся, тем быстрее пульс приходит в норму после нагрузки. При снижении уровня тренированности вследствие прекращения или уменьшения нагрузки вновь происходит некоторое учащение пульса.

Время измерения, мин.

Пульс

Характер физических упражнений

За 10"

За 1'

5

16

96

Ходьба на носках

7

17

102

Упражнение на дыхание

9

20

120

Приседания

10

20

120

Наклоны туловища вперед

11

21

126

Маховые движения ног

12

22

132

Наклоны туловища в стороны

13

23

138

Прыжки на месте

14

19

114

Перестроение в одну шеренгу

17

22

132

Лазанье по скамейке (1-й подход)

20

22

132

Лазанье по скамейке (2-й подход)

24

21

126

Лазанье по скамейке (3-й подход)

27

20

120

Из положения лежа группировка (2 раза)

30

22

132

Перекаты вперед и назад в группировке

34

23

138

Игра «К своим флажкам»

37

24

144

Игра «К своим флажкам»

39

19

114

Ходьба по кругу

42

18

108

Игра на внимание «Делай, как я»

43

17

102

Игра на внимание

44

17

102

Игра на внимание

45

15

90

Окончание урока


В физическом воспитании существуют такие понятия, как общая и моторная плотность урока. При определении общей плотности урока учитывается вся полезная деятельность учащихся и учителя, включая организацию учащихся, объяснение и показ упражнений, а также непосредственное выполнение физических упражнений. В моторную же плотность урока входит только время, затраченное на выполнение физических упражнений, т.е. непосредственная физическая нагрузка.

Стремясь к высокой нагрузке, учитель должен стараться добиваться максимально высокой моторной плотности. Однако он должен учитывать, что при изучении нового материала в силу целого ряда объективных причин, таких как обстоятельное объяснение, многократный показ, моторная плотность и физическая нагрузка значительно ниже, чем на уроках повторения и совершенствования учебного материала.

Способами повышения моторной плотности урока являются применение многокомплектного, т.е. нестандартного, универсального спортивного оборудования и проведение круговых тренировок.

Прежде всего следует отметить, что задача обучения должна решаться на каждом уроке физкультуры. Процесс обучения двигательному действию подразделяется на три фазы: создание предварительного представления об упражнении; разучивание упражнения (целостным или расчлененным методом); закрепление и совершенствование двигательного навыка.

Приведем пример решения образовательных задач в третьей фазе обучения. Занятия заключаются в систематическом многократном повторении разученного упражнения с постепенным усложнением задач или условий его выполнения и одновременным повышением физической нагрузки. В результате многократных повторений движения в основном стабилизируются. Однако в дальнейшем для того, чтобы избежать «натаскивания и косного навыка», надо варьировать и усложнять двигательную задачу, изменяя направление, подбирая различные виды одного и того же упражнения и т.д. Благодаря вариативности повышается уверенность при выполнении упражнения, что способствует, например, на занятиях гимнастикой устранению срывов и падений со снаряда.

1.4 Домашние задания по физической культуре


Ежедневные занятия физическими упражнениями в форме домашних заданий дополняют уроки, что особенно важно для учащихся, имеющих слабое физическое развитие. Выполняя их систематически, школьники приучаются к регулярным занятиям физическими упражнениями, которые постепенно становятся повседневной потребностью учащихся.

Домашние задания по физкультуре могут задаваться только при условии, если учитель систематически уделяет внимание их проверке, наглядно показывает задаваемые упражнения, рекомендует нагрузку. Домашние задания по физкультуре полезны всем школьникам, в том числе и тем, кто занимается в спортивных секциях, потому что они повышают качество выполнения программы физического воспитания по всем видам физической подготовки.

В домашние задания можно включать: упражнения для совершенствования техники движений (закрепления и совершенствования отдельных двигательных навыков и умений), для улучшения осанки, развития необходимых физических качеств (силы, гибкости, ловкости, быстроты, выносливости и др.).

Таблица 1.2 Рекомендуемые упражнения в недельном двигательном режиме

Упражнения

Объем двигательной деятельности (суммарно в неделю)

Юноши

Девушки

Бег или ходьба на лыжах (км)

18–20

13–15

Прыжки со скалкой (количество раз)

2200–2400

2000–2200

Подтягивание на перекладине (количество раз)

90–100

Сгибание и разгибание рук в упоре лежа (количество раз)

230–250

140–150

Поднимание прямых ног из положения лежа (количество раз)

150–170

130–150

Поднимание туловища из положения лежа на спине (количество раз)

150–170

130–150

Приседание на двух ногах (количество раз)

250–270

200–220


При подборе домашних заданий следует отдать предпочтение оздоровительному бегу. Это средство в большей степени, чем любое другое упражнение, способствует укреплению сердечно-сосудистой и дыхательной систем, нормализует массу тела, повышает работоспособность организма.

В качестве домашних заданий, например, можно использовать различные силовые упражнения, выполняемые в положении упора лежа для мышц рук и лежа — для мышц туловища и брюшного пресса; различные виды приседаний (на полной стопе, носках и т.д.); упражнения на равновесие («ласточка» и др.); различные силовые упражнения с резиновым бинтом, эспандером, гантелями и использованием тренажерных устройств; прыжки через скакалку на одной и обеих ногах; упражнения на узкой опоре (на равновесие) и др.

Вводить домашние задания в учебный процесс нужно постепенно. Вначале учащимся предлагают подготовить простейший комплекс утренней зарядки, физкультурной паузы, выучить упражнения со скакалкой или другим предметом, систематически проделывать ряд упражнений для развития силы мышц верхнего плечевого пояса, брюшного пресса и т.п. Имеет смысл введение в домашнее задание рекомендаций по недельному двигательному режиму (см. табл. 1.2)

Нецелесообразно давать какие-либо обширные устные или сложные письменные задания по физической культуре на дом, учитывая, что учащиеся достаточно загружены подобными заданиями по другим предметам. Вместе с тем школьники всегда должны иметь возможность получить дополнительную консультацию учителя по выполнению домашних заданий. Этому способствуют уголки физической культуры, в которых могут размещаться фотомонтажи; списки рекомендуемой литературы по вопросам физического воспитания, имеющейся в кабинете физкультуры или библиотеке; кинограммы выполнения отдельных упражнений; информация о методиках проведения занятий, их дозировке; необходимой спортивной экипировке и т.д.

1.5 Методика системного анализа и оценки эффективности проведения урока физической культуры


Последовательность определения итоговой оценки

1. Оценки отдельных составляющих в каждом из восьми разделов выставляются по 5-балльной шкале.

2. Сумма оценок, деленная на число учитываемых показателей в разделе, определяет общую оценку за раздел. Оценка за восьмой раздел умножается на 2.

3. Сумма оценок за все разделы, деленная на 8, является итоговой (см. таблицу 1.3).

Таблица 1.3. Критерии и пример оценки урока

№ п/п

№ п/п

Критерии оценки

Пример оценки

А

Б

1

2

3

4

5

1.0

Подготовка к уроку

1.1

План-конспект, его анализ и оценка

3

3,33

1.2

Подготовка места занятия (оборудование, инвентарь)

4

1.3

Физкультурная форма учащихся и внешний вид учителя

3

2.0

Проведение подготовительной части урока

2.1

Оценка постановки учителем задач урока

2

3,5

2.2

Вводно-организующие и установочные действия

4

2.3

Содержание общей и целенаправленность специальной разминки

4

2.4

Рациональность затрат урочного времени

4

3.0

Проведение основной части урока

3.1

Оправданность и степень реализации намеченных задач урока

4

3,83

3.2

Рациональность способов организации учебной деятельности школьников

3

3.3

Последовательность выполнения неоднородных разделов основной части урока

4

3.4

Оценка методики обучения (в т.ч. применение специальных и подводящих упражнений, реализация индивидуального подхода)

3

3.5

Оценка методики воспитания физических способностей (качеств)

4

3.6

Общая и моторная плотность, характеристика и методика регулирования нагрузки

5

4.0

Проведение заключительной части урока

4.1

Восстановительная направленность, содержание и целенаправленность использования упражнений

3

3,25

4.2

Подведение итогов урока (умение подводить итоги, ориентировать учащихся на очередные задачи)

4

4.3

Домашнее задание (содержание, рекомендации по самоподготовке, срок выполнения и проверки)

2

4.4

Продолжительность, ориентировка на предстоящие занятия по иному предмету, своевременность окончания урока

4

5.0

Выполнение требований основных педагогических принципов

5.1

Сознательность и активность учащихся на уроке

4

3,6

5.2

Систематичность и преемственность выполненных упражнений

4

5.3

Доступность и индивидуализация в процессе обучения

4

5.4

Постоянное повышение требований к школьникам

3

5.5

Наглядность и применение ТСО

3

6.0

Воспитательная ценность урока

6.1

Воспитание нравственных, волевых и эстетических качеств учащихся, их умственное развитие

4

6.2

Воздействие на повышение эмоционального состояния, проявление интереса к физическим упражнениям

4

6.3

Дисциплина и деловая активность учащихся на уроке

5

7.0

Оценка педагогически оправданных и неоправданных затрат времени на уроке

7.1

Затраты на объяснение и показ, восприятие и осмысление учебного материала

3

3,6

7.2

Время, занятое выполнением подготовительных, основных и других упражнений

4

7.3

Время, уходящее на необходимый оперативно-восстановительный отдых учащихся

4

7.4

Время, затраченное на установку, перевод в рабочее состояние и уборку оборудования, инвентаря, снаряжения

3

7.5

«Простой» — потери урочного времени, которые выражены в бездеятельности занимающихся по организационно-методическим и другим недостаткам

4

8.0

Общая оценка проведения урока

8.1

Соотношение между деятельностными слагаемыми происходившего в уроке и результативными показателями

4

4 x 2=8

8.2

Выполнение конкретно поставленных задач. Оправданность возможных отклонений от плана-конспекта

4

8.3

Оценка уровня деятельности учителя с учетом положительных сторон, просчетов и ошибок на конкретном уроке

4

Итоговая оценка

-

4,13


Основа материальной базы для занятий физкультурой — это спортивные сооружения, позволяющие выполнить программу физического воспитания по предусмотренным в ней видам физической подготовки и отдельным упражнениям. В первую очередь к ним относится спортивный зал, где может быть пройден учебный материал по гимнастике, борьбе, спортивным играм, прикладным физическим упражнениям.

Уроки в спортивном зале целесообразно проводить только зимой и в ненастную погоду. Все остальное время, при соответствующих гигиенических условиях, учащиеся должны заниматься на открытом воздухе. Не случайно в СанПиНе в числе требований к территории образовательного учреждения указывается, что оборудование спортивной зоны должно обеспечивать выполнение учебных программ по физическому воспитанию, а также проведение секционных спортивных занятий и оздоровительных мероприятий.

Учебным заведениям, расположенным в районах, где имеется возможность вести лыжную подготовку, желательно иметь лыжную базу, расположенную в двух изолированных друг от друга помещениях, что позволит отдельно хранить инвентарь для учебной и для внеклассной работы.

В понятие материальной базы входит также оборудование. Спортивное сооружение для учебных целей должно быть оснащено таким образом, чтобы заниматься на нем в основной части урока могли одновременно все или не менее половины обучающихся.

В зале или соседних помещениях необходимо установить легко убирающееся многокомплектное (так называемое нестандартное) универсальное спортивное оборудование и тренажеры, дополнительные баскетбольные щиты и приспособления для занятий различными видами физической подготовки. На школьной спортивной площадке имеет смысл оборудовать ямы для прыжков в длину и высоту увеличенных размеров с целью повышения их пропускной способности во время обучения, а для занятий общей и прикладной физической подготовкой установить гимнастическое оборудование (брусья, перекладины, бревно и т.д.), элементы препятствий и тренажеры. Широкое применение всего этого оборудования должно найти место во время проведения занятий спортивных секций, продленной перемены, спортивного часа в группе продленного дня. Необходимое оборудование следует разместить на лыжной базе и других спортивных объектах.

Во многих учебных заведениях широко используется универсальное спортивное оборудование, к которому прежде всего относятся различные тренажеры, благодаря чему значительно возрастает моторная плотность уроков физкультуры, резко повышается качество физической подготовки учащихся, появляется возможность более дифференцированно подойти к процессу обучения. Наличие тренажеров позволяет индивидуализировать работу со школьниками, повысить интерес к систематическим занятиям физической культурой, поднять их эффективность. Часть тренажеров рекомендуется разместить в таком месте, чтобы учащиеся могли пользоваться ими в свое свободное время. Систематические занятия с применением тренажеров обычно оказывают положительное влияние на поведение учащихся, помогают им отказаться от вредных привычек, таких как курение, стать более собранными и дисциплинированными.

Эффективность учебной работы находится в прямой зависимости от возможности применить на уроках достаточное количество разнообразного спортивного инвентаря. Для того чтобы обеспечить разностороннюю физическую подготовку учащихся, директору учебного заведения важно знать содержание типового табеля спортивного инвентаря и оборудования, необходимого для занятий по физическому воспитанию. Такой табель обычно дается в приложении к программе по физической культуре. В него включаются: инвентарь для общей и прикладной физической подготовки; технические средства обучения, в т.ч. экранные и наглядные пособия; инвентарь для борьбы, спортивных игр; легкоатлетический и лыжный инвентарь; туристический инвентарь и снаряжение.

Опыт показывает, что такой легкодоступный инвентарь, как гантели, палки гимнастические, скакалки, эспандеры, гири, намного повышает эффективность урока, значительно поднимает его моторную плотность, способствует избирательному развитию тех или иных физических качеств. Отсутствие необходимого инвентаря обедняет учебный процесс. Из-за нехватки достаточного количества инвентаря, предусмотренного табелем, непроизводительно расходуется время урока: выстраивается ненужная очередь при метании гранаты, толкании ядра или выполнении других упражнений. Нередко отсутствие отдельных видов инвентаря лишает учителя возможности пройти полностью учебную программу.

Руководству школы периодически необходимо проверять состояние и эффективность использования табельного спортивного инвентаря и оборудования.

2. Разработка методики обоснования временных затрат на выполнение домашних заданий учащимися средней общеобразовательной школы

2.1 Проблема объема задаваемых домашних заданий


Проблема перегрузки учащихся средних общеобразовательных школ, начиная с 90-х годов 20-го века, связанная с "утяжелением" учебных планов до предельно допустимых часов недельной нагрузки, с увеличением ее в гимназических, лицейских, классах с углубленным изучением предметов была зафиксирована и широко обсуждалась педагогической общественностью. Одним из путей решения данной проблемы явились "Гигиенические требования к условиям обучения школьников в различных видах современных общеобразовательных учреждений" (Санитарные правила и нормы СанПиН 2.4.2.-576-96). В "Гигиенических требованиях" была уменьшена предельно допустимая учебная нагрузка.

Однако возникла проблема объема задаваемых домашних заданий. Перегруженность учащихся может наблюдаться в школах в связи с желанием части учительства достижения лучших результатов по своему предмету путем задания домашней работы повышенного объема, не учитывающего общую загруженность учеников. Возникла необходимость выработки конкретных, ясных рекомендаций администрации школ, каждому учителю по объему домашних заданий в соответствии с допустимой недельной нагрузкой в данном классе данной школы и нормами выполнения домашних заданий.

При разработке методики изучения временных затрат на выполнение домашних заданий учащимися использовались следующие исходные данные:

- Индивидуальный учебный план школы;

- Гигиенические требования к условиям обучения школьников по СанПин 2.4.2. - 576-96 в части:

o   предельные нормы домашних заданий в различных параллелях;

o   трудности школьных предметов.

Описание результатов апробации предложенной методики на базе учебного плана средней школы № 28 г. Запорожье.

На первом этапе расчета получены данные по предельному времени выполнения домашнего задания по условному предмету (на 1 урок) без учета трудности отдельных предметов. Эта норма составила: в начальной школе от 15 в 1 классе до 30 (35) минут в 3 (4) классах; в среднем и старшем звене от 27 до 40 минут.

На втором этапе полученные данные уточнялись в соответствии с трудностью каждого предмета. Поэтому временная норма на выполнение домашнего задания по отдельным предметам составила различные значения: от 11 до 51 минуты (на 1 урок).

В соответствии с учебным планом школы разработаны примерные нормы по допустимым затратам времени учащимися на выполнение домашних заданий по различным предметам:

 Предмет

В минутах, по классам

5

6

7

8

9

10

11

Русский язык

25

-

-

-

-

-

35

Литература

25

-

-

-

-

-

35

Иностранный язык

35

-

-

-

-

-

45

Математика

40

-

-

-

-

-

50

История

30

-

-

-

-

-

40

Физическая культура

30




35

-


ОСЦ




40

-

-

40

Историческое краеведение



40

40




Физика



35

-

-

-

40

Биология


22

-

-

-

-

30

Химия




35

-

-

40

География (естествознание)

25

-

-

-

-

30


Астрономия







30

Информатика

35






45

Профили







45


Апробация продемонстрировала эффективность разработанной методики в контексте изучения временных затрат на выполнение домашних заданий учащимися в образовательном учреждении.

В соответствии с полученными результатами целесообразен следующий комплекс мероприятий по организации деятельности общеобразовательного учреждения, позволяющий приведению норм времени на выполнение домашних заданий учащимися в соответствие с требованиями регламентирующих документов:

- Ознакомление педагогов школ в начале учебного года на педагогическом совете с ориентировочными нормами на выполнение домашних заданий учащимися в соответствии с учебным планом школы и гигиеническими требованиями.

- Ознакомление классными руководителями учащихся и их родителей с полученными данными для рациональной организации режима труда и отдыха учащихся.

- Проведение хронометража по выполнению домашних заданий учащимися 2 раза в год.

- Обсуждение результатов анализа на методическом объединении, выработка соответствующих рекомендаций.

2.2 База исходных данных, необходимых для расчета предельного времени выполнения домашнего задания учащимися общеобразовательного учреждения


1. Учебный план школы. Нормы максимально допустимой нагрузки школьников регламентированы Санитарными правилами и нормами СанПин 2.4.2. - 576 - 96.

Максимально допустимое количество часов в неделю при разной ее продолжительности

Классы

Максимально допустимая недельная нагрузка в часах


при 6-дневной неделе

при 5-дневной неделе

3 - летняя начальная школа

1-3

25

22

4 - летняя начальная школа

1

22

20

2-4

25

22

5

31

28

6

32

29

7

34

31

8-9

35

32

10-11

36

33


2. Дача домашних заданий регламентируется СанПин 2.4.2. - 576 - 96 в следующих пределах:

- в 1-м классе (со второго полугодия) - до 1 ч.,

- во 2-м - до 1,5 ч.,

- в 3-4-м до 2 ч.,

- в 5-6-м до 2,5 ч.,

- в 7-8-м до 3 ч.,

- в 9-11-м до 4 ч.

3. Учет трудности предметов нормами СанПин 2.4.2. - 576 - 96 рекомендовано производить на основании таблицы И.Г.Сивкова (1975 г.), при дополнительном оценивании современных предметов (информатика, профильные дисциплины) не менее, чем в 10 баллов.

Предмет

Кол-во баллов

Предмет

Кол-во баллов

Математика, русский язык (для нац. школ)

11

Физкультура

5

Иностранный язык

10

Труд

4

Физика, химия

9

Черчение

3

История

8

Рисование

2

Родной язык, литература

7

Пение

1

Естеств-е, география

6



 

2.3 Исходные положения, допущения и расчетные формулы методики изучения временных затрат на выполнение домашних заданий учащимися

1. Расчет производился в соответствии с методическими рекомендациями по предупреждению учебной перегрузки учащихся (Бабанский Ю.К. "Оптимизация учебно-воспитательного процесса"):

- не давать домашних заданий на понедельник;

- не давать домашних заданий по рисованию, пению, труду и физкультуре.

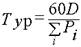
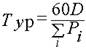
2. Расчетная формула предельного времени выполнения домашнего задания по условному предмету (на 1 урок) имеет вид:


3. Расчетная формула предельного времени выполнения домашнего задания с учетом трудности отдельного предмета (на 1 урок) имеет вид:


где Тур- искомое предельное время выполнения домашнего задания (мин.);

D - предельное время выполнения домашних заданий в течение недели, по гигиеническим требованиям (час.).

Bi - трудность отдельного, i-го предмета по таблице Сивкова И.Г. (баллы)

Pi - количество часов в учебном плане по i - му предмету.

3. Методика оценки эффективности воздействия выполнения домашнего задания по физкультуре на развитие ребенка

3.1 Методика работы


Первоначально было проведено знакомство со специальной литературой для приобретения информации о том, какое воздействие оказывает школа в целом, школьная нагрузка, режим школьника на здоровье подростка.

Для оценки состояния здоровья учащихся и выявления факторов, влияющих на него в нашей школе, были проанализированы «Индивидуальные карты ребенка (ф.№26) 10 обычного и гимназического классов: данные за 5 и 9 классы. Также анализировалась информация в классных журналах о количестве пропущенных за год уроков по болезни. Полученная информация была оформлена в виде карт здоровья и обобщена в сравнительной таблице 1.

Данные обрабатывались по следующей методике:

- Показатель временной нетрудоспособности = число дней, пропущенных по болезни: число наблюдаемых детей.

- Показатель уровня здоровья = число детей с 1 и 2 группой здоровья: число наблюдаемых детей.

- Индекс здоровья = число неболевших детей: число наблюдаемых детей, умноженное на 100%.

- Количество детей с хроническими заболеваниями: определяется по отношению числа школьников с хроническими заболеваниями к общему числу наблюдаемых детей, выраженному в %.

- Количество детей по видам заболеваний: определяется по отношению числа детей с определенным видом заболевания к общему числу детей, выраженному в %.

- Группы здоровья: по каждой группе здоровья отношение числа школьников к общему числу детей, выраженному в %.

- Группы физкультуры: по каждой группе физкультуры отношение числа школьников к общему числу детей, выраженному в %.

Руководствуясь тем, что личное отношение к здоровью и учебе играет немаловажную роль, было проведено анкетирование в исследуемых классах.

 

3.1.1 Анкета «Мое здоровье»

Цель: выявить отношение школьников к своему здоровью, понимание ими важности физического совершенствования.

Критерии оценки: 3 – да, 2 – иногда, 1 – нет.

1. Часто ли ты пропускаешь занятия по болезни?

2. Делаешь ли ты утром физическую зарядку?

3. Регулярно ли посещаешь уроки физкультуры?

4. Занимаешься ли ты на уроке физкультуры: а) с полной отдачей, б) без желания, в) лишь бы не ругали.

5. Занимаешь ли ты спортом длительно?

6. Оцени степень усталости на каждом уроке сегодня.

7. были ли физические паузы на ваших уроках?

Методика обработки анкетных данных: ответы на каждый вопрос группируются по критериям.

Также были предложены анкеты для оценки учебной нагрузки и на отношение ребят к домашнему заданию.

физкультура домашнее задание школа

3.1.2 Анкета «Домашнее задание»

Цель: выявить отношение школьников к выполнению домашнего задания и его дозированию.

1. Сколько времени Вы затрачиваете на выполнение домашнего задания:

а) 2 – 2,5 часа

б) 1 – 2 часа

в) 2,5 – 3 часа

г) менее 1 часа

д) более 3 часов.

2. Сколько времени Вы затрачиваете на выполнение домашнего задания по отдельным предметам:

а) 25 – 30 мин.

б) 20 – 25 мин.

в) 35 – 40 мин.

г) менее 20 мин.

д) более 40 мин.

3. С каким настроением Вы приступаете к домашнему заданию :

а) с большим желанием и интересом – 3 балла

б) без желания, но с чувством долга – 2 балла

в) без желания и интереса – 1 балл.

4.Выполняете домашнее задание через:

а) 2 часа после уроков

б) 3 – 4 часа

в) в вечернее время

5.Домашнее задание по объему и сложности соответствует уровню Ваших способностей и возможностей:

а) полностью – 3 б.

б) частично – 2 б.

в) не соответствует

6. Устаете ли Вы от выполнения домашнего задания:

а) нет – 3 б.

б) иногда - 2 б.

в) да – 1 б.

7. Считаете ли Вы, что в качестве домашних заданий имеют место трудоемкие, но малоэффективные виды работ:

а) нет – 3 б.

б) иногда - 2 б.

в) да – 1 б.

8. Считаете ли Вы, что объем домашних заданий, завышен по следующим предметам:

а) русскому языку

б) литературе

в) алгебре

г) физкультуре

д) физике

е) химии

ж) истории

з) географии

и) биологии

к) иностранному языку.

Методика обработки анкетных данных: ответы на вопросы 1 и 2 группируются по следующим группам: оптимальное – а) – 3 балла, допустимое – б,в) – 2 балла, критическое – г,д) – 1 балл. При анализе 8 вопроса учитывались только ответы «да». Ответы на каждый вопрос группируются по баллам. Вычисляется отношение числа ответивших на каждый балл к общему числу отвечавших, выраженное в процентах.

 

3.1.3 Анкета «Учебная нагрузка»

Цель: выявить отношение школьников к учебной нагрузке.

Критерии оценки: 3 – да, 2 – не совсем, 1 – нет.

1. Нравится ли тебе учиться в нашей школе?

2. Легко ли тебе дается учение?

3. Устаешь ли после дня занятий в школе?

4. Испытываешь ли ты усталость в конце учебной недели?

5. Устраивает ли тебя режим 6-ти дневной недели?

6. Устаешь ли ты после выполнения домашнего задания?

7. Учитывают ли учителя особенности профильной направленности обучения?

8. Имеешь ли ты достаточное количество времени для занятий по интересам (чтение, секции, кружки и т.д.)?

9. Реагируют ли учителя на твои замечания и предложения по вопросам учебной нагрузки?

10. Успеваешь ли ты отдохнуть в течение перемены?

11. Удовлетворен ли ты расписанием уроков по дням недели:

- Понедельник

- Вторник

- Среда

- Четверг

- Пятница.

Методика обработки анкетных данных: ответы на каждый вопрос группируются по критериям, вычисляется средний балл.

По результатам обработки анкетных данных были составлены таблицы, диаграммы и графики (приложения).

3.2 Результаты исследований и их обсуждение


Мы понимаем, что при анализе данных только двух классов трудно сделать объективные выводы. Но, тем не менее, на основе обработанных нами данных, можно сделать следующие выводы.

Следует отметить, что при отборе детей в гимназический класс учитываются не только интеллектуальные способности, но и физическое здоровье.

По сведениям из «Индивидуальных карт ребенка (ф.№26)» 10 обычного и гимназического классов была составлена таблица.

Таблица 3.1 - Сравнение карт здоровья учеников гимназического и обычного классов.



Характеристики

гимназический

обычный

5 класс

9 класс

5 класс

9 класс

Число детей

% от общего

Число детей

% от общего

Число детей

% от общего

Число детей

% от общего

Показатель временной нетрудоспособности

22

1,8

22

1,5

21

4,43

4,57

Показатель уровня здоровья

20

95

21

100

18

86

16

76

Индекс

здоровья


63,6


68,2


47,6


66,7

Количество детей с хроническими заболеваниями

-

-

-

-

5

23

3

14

Количество детей по видам заболеваний:

- миопия

- увеличение щитовидной железы

- болезни мочевыводящей системы

- кариес

- плоскостопие

- сутулость/сколиоз

- болезни органов дыхания

- аллергия



5

1

1

7

3

-

4

-



22,7

4,5

4,5

31,8

13,6

-

18,2

-



6

3

-

2

3

3

1

1



27,3

13,6

-

9,1

13,6

13,6

4,5

4,5



5

6

2

4

2

1

6

-



23,8

28,6

9,5

19,0

9,5

4,8

28,6

-



7

2

1

3

1

3

2

-



33,3

9,5

4,8

14,3

4,8

14,3

9,5

-

Группы здоровья:

1

2

3

4


3

17

1

-


14,3

81

4,7

-


5

16

-

-


23,8

76,2

-

-


1

16

1

3


4,7

76,3

4,7

14,3


-

18

-

3


-

85,7

-

15

Группы физкультуры:

1

2

3


3

17

1


14,3

81

4,7


5

16

-


23,8

76,2

-


1

16

4


4,7

76,3

19


-

18

4


-

85,7

19


Сравнивая карты здоровья учащихся гимназического и обычного классов, можно увидеть следующие результаты: по характеристике показателей временной нетрудоспособности заметно, что в гимназическом классе число детей, пропускающих занятия по болезни, в 9 классе снизилось по сравнению с 5. В обычном классе идет противоположный процесс – возрастает число временно нетрудоспособных детей. При сравнении показателей гимназического и обычного классов между собой, можно сделать вывод, что они значительно отличаются: детей, пропускающих занятия по болезни в обычном классе, почти в три раза больше. Эта тенденция характерна как для пятых, так и для девятых классов.

Заметно отличается и уровень здоровья в классах. Если в гимназии в 5 классе из 21 ребенка - 20 были с 1 и 2 группой здоровья (95%), то уже в 9 классе – все дети относились к этим группам здоровья. Аналогично первому показателю, в обычном классе отмечается уменьшение числа детей с 1 и 2 группой.

Следовательно, уровень здоровья в гимназическом классе выше, чем в обычном классе, более того, на протяжении 4 лет эта разница возрастает.

По показателю – индекс здоровья детей – в обоих классах отмечается улучшение к 9 классу, но вновь лидирует гимназический класс. Нужно отметить и то, что в 5 классах разница показателей составляла 16%, а в 9 – она выравнивается и составляет около 2%.

Рассматривая количество детей с различными заболеваниями, прослеживается, что большинство из них учатся в обычном классе, так как, во-первых: в гимназии вообще нет детей с хроническими заболеваниями, в отличие от учащихся обычного класса (хотя там наблюдалось за последние годы снижение числа таких детей), а во-вторых, в обычном классе превышает число детей с конкретным видом заболевания. Но, тем не менее, число детей по видам заболевания растет в обоих классах. Если в пятых классах количество детей, страдающих миопией, было одинаковым в рассматриваемых классах, то к девятому возрастает, как в гимназическом, так и обычном классе. Число детей, страдающих увеличением щитовидной железы, в гимназическом классе возросло с пятого по девятый класс, а в обычном - снизилось. Обратный процесс просматривается при сравнении детей, больных кариесом: в гимназическом классе уменьшается количество таких детей, а в обычном, напротив, - возрастает. Широко распространены в исследуемых классах болезни костной системы, в частности: сколиоз, плоскостопие, сутулость. Так, число учеников с плоскостопием в гимназическом классе не изменилось на протяжении с пятого по девятый класс, в обычном - уменьшилось. В обоих классах за последние годы возросло число детей со сколиозом и сутулостью. В тоже время, в этих классах, снизилось число детей с заболеваниями органов дыхания. К наименее распространенным заболеваниям относятся болезни мочевыводящей системы и аллергия, которая отмечалась в девятом гимназическом классе.

Большая часть детей обоих классов и в 5, и в 9 классах относились ко второй группе здоровья и физкультуры. Детей с 1 группой в гимназическом 5 классе было 3, а к 9 их стало 5, в обычном классе картина иная: 5 классе – 1 ребенок, в 9 - ни одного. Если сравнивать количество детей с 3 и 4 группой, то наблюдается следующее: в 5 классе - 4 ребенка в обычном классе, 1 в гимназическом, к девятому классу в обычном осталось 3 человека, а в гимназическом таких детей нет.

По итогам обработки ответов на анкету «Мое здоровье» была составлена таблица и диаграммы.

Таблица 3.2 - Сравнение оценки своего здоровья учениками гимназического и обычного классов.

Показатели

гимназический

обычный

1. Пропуски занятий по болезни:

- часто

- редко

- нет


1

5

9


2

11

2

2. Выполнение физической зарядки:

- да

- иногда

- нет


2

5

8


-

2

13

3. Посещение уроков физкультуры:

- да

- иногда

- нет


9

6

-


10

3

2 (освобождены)

4. Занимаешься на уроке физкультуры:

- с отдачей

- без желания

- лишь бы не ругали


9

2

4


3

3

7

5. Занимаешься спортом:

- систематически

- не систематически

- нет


4

2

9


4

4

7

6. Наличие физических пауз на уроках:

- да

- нет


-

15


-

15


Анализируя данные таблицы 2 и диаграмм 1 и 2, составленных на основе анкеты «Мое здоровье», можно отметить то, как оценивают свое здоровье ученики гимназического и обычного классов. Показатели демонстрируют, что большинство детей гимназического класса практически не пропускают занятия по болезни, чего не скажешь о детях обычного класса. Большая часть детей того и другого класса вообще не делают физическую зарядку. Регулярно посещают уроки физкультуры большая часть детей обычного класса, в гимназии этот показатель несколько ниже. 60% детей гимназического класса занимаются на уроках физкультуры с желанием, тогда как в обычном классе 50% детей относятся к занятиям на этом уроке по принципу «лишь бы не ругали». В то же время дети, которые систематически занимаются спортом, составляют всего треть класса. Физических пауз на уроках не проводят ни в одном классе.

Ответы на вопросы анкет «Учебная нагрузка» и «Домашнее задание» были обобщены в таблицы.

Таблица 3.3 - Сравнение отношения к домашним заданиям

Показатели

гимназический

Обычный

1. Затраты времени на выполнение домашнего задания:

- оптимальное состояние

- допустимое состояние

- критическое состояние


64,3

21,4

14,3


5,9

47,1

48

2. Затраты времени на выполнение заданий по отдельным предметам:

- оптимальное

- допустимое

- критическое



23,1

69,2

7,7



52,9

47,1

-

3. Настроение перед выполнением домашних заданий:

- оптимальное

- допустимое

- критическое


21,4

71,4

7,2


11,8

82,4

5,8

4. Домашние задания и режим дня:

- оптимальное

- допустимое

- критическое


-

14,3

85,7


41,2

11,8

35,2

5. Соответствие домашних заданий уровню восприятия домашних заданий:

- полное соответствие

- частичное соответствие

- не соответствует



60

33,3

6,7



11,8

88,2

-

6. Степень усталости после выполнения домашних заданий:

- незначительная

- иногда значительная

- значительная


30,8

61,5

7,7


5,9

64,7

23,5

7. Трудоемкие, но малоэффективные задания на дом:

- да

- не совсем

- нет


28,6

28,6

42,8


82,4

11,8

5,8

8. Завышение объема домашних заданий по предметам (ответ – да):

- русский язык

- литература

- алгебра

- физкультура

- физика

- химия

- история

- география

- биология

- иностранный язык



13,3

93,3

6,7

20,0

13,3

6,7

60,0

40,0

20,0

66,7



5,8

11,8

11,8

11,8

11,8

11,8

17,6

35,3

23,5

58,8


Таблица 3.4 - Оценка учебной нагрузки учениками гимназического и обычного классов (средний балл)

Вопросы анкеты

гимназический

обычный

1.Нравится ли тебе учиться в нашей школе?

1,4

2,3

2. Легко ли тебе дается учение?

2,3

1

3. Устаешь ли ты после дня занятий в школе?

2,2

4. Испытываешь ли ты усталость в конце учебной недели?

2,5

1,7

5. Устраивает ли тебя режим 6-ти дневной рабочей недели?

1,3

1,8

6. Устаешь ли после выполнения домашних заданий?

2

1,9

7. Учитывают ли учителя особенности профильной направленности обучения?

2

1,5

8. Имеешь ли достаточное количество времени для занятий по интересам?

2,3

2

9. Реагируют ли учителя на твои замечания по вопросам учебной нагрузки?

2,4

1,5

10. Успеваешь ли ты отдохнуть в течение перемены?

1,1

1,4

11. Удовлетворенность расписанием уроков по дням недели:

- понедельник

- вторник

- среда

- четверг

- пятница


1,7

1,9

2

1,9

1,6


1,1

2,8

2,6

2

1,5


Подводя итоги по таблице 3.3, было отмечено, что затраты времени на выполнение домашнего задания у большей половины гимназистов являются оптимальными, тогда как у учеников обычного класса – критическими. В то же время задания по отдельным предметам 53% учеников обычного класса выполняют в оптимальные сроки, а 69% гимназистов – в допустимое. Основная часть детей гимназическом и обычном классах садится за выполнение домашнего задания без желания, но с чувством долга. К выполнению домашнего задания практически все гимназисты приступают вечером, это является нарушением режима дня. В обычном классе такое отмечается лишь у трети детей. Домашнее задание полностью соответствует уровню восприятия у значительного количества детей в гимназии, в обычном – частично. После выполнения домашнего задания больше устают учащиеся гимназического класса, но эта разница незначительна. С тем, что учителя учитывают особенности профильного обучения и реагируют на их замечания по вопросам учебной нагрузки, в большей степени согласны гимназисты, чем ученики обычного класса. Больше времени на занятия по интересам имеют ученики гимназического класса.

При рассмотрении таблиц 3.3 и 3.4, заметно, что детям обычного класса больше нравится учиться в нашей школе, но учеба им дается тяжелее, чем гимназистам. Но в обоих классах показатели усталости детей в конце учебного дня равны, в конце учебной недели большую усталость отмечают ученики гимназического класса. Ученики обоих классов предпочитают заниматься по пятидневной рабочей неделе.

Полностью отдохнуть в течение перемены удается ученикам обычного класса. Завышение объема домашнего задания учащиеся гимназического класса отметили по литературе (93,3%), иностранному языку (66,7%) и истории (60%), а обычного – только по иностранному языку (58,8%). С тем, что в качестве домашнего задания имеют место трудоемкие, но малоэффективные домашние задания согласилась большая часть учеников обычного класса, тогда как в гимназии большинство с этим утверждением не согласно.

Анализируя показатели графика 1, составленного по ответам на 6 вопрос анкеты «Мое здоровье», можно отметить, что наибольшая усталость учеников гимназического класса наблюдается на 2 и 4 уроках, уменьшается на 3 и 5. В обычном классе дети больше устают на 3 и 4 уроках, усталость уменьшается после 5 урока.

График 2, составленный по вопросу 11 анкеты «Учебная нагрузка», отображает личную оценку расписания уроков по дням недели. Менее всего дети обоих классов удовлетворены расписанием на понедельник и пятницу. Это можно объяснить тем, что понедельник – это начало учебной недели после двух выходных, а к пятнице накапливается усталость. Большую удовлетворенность вызывает расписание на среду. Следует отметить, что расписание уроков больше устраивает гимназический, нежели обычный класс.

Таким образом, состояние здоровья учеников гимназического класса выгодно отличается по сравнению с учениками обычного класса. Это можно объяснить тем, что ученики гимназического класса имеют более высокий интеллектуальный уровень, менее ответственно подходят к выполнению домашних заданий и затрачивают на него меньше времени, чем ученики обычного класса, что позволяет им легче справляться с учебной нагрузкой.

Выводы и рекомендации

1. Здоровье учеников гимназического класса лучше, чем учеников обычного.

2. Учебная нагрузка оказывает влияние на здоровье учеников обоих классов.

3. Ученики гимназического класса легче справляются с учебной нагрузкой благодаря интеллектуальным способностям и меньшей обязательности.

Заключение


В 2010-2007 учебном году физическое воспитание учащихся всех типов учреждений образования должно отвечать требованиям Законов Украины "Об образовании" и "О физической культуре и спорте" и соответствовать базовым учебным планам. Образовательной целью предмета "Физическая культура" в учреждениях, обеспечивающих получение общего среднего образования, является формирование физической культуры личности.

Физическую культуру личности характеризуют наличие мотивации физкультурных и спортивных занятий, необходимые для них знания, двигательные умения, навыки, способы деятельности, разносторонняя базовая физическая подготовленность, активная физкультурная или спортивная деятельность, а также устойчивый интерес к физкультурным и спортивным занятиям.

Учитель оценивает учащихся отметками на уроках физической культуры за:

1. Знания: а) общие теоретические сведения о социальной сущности, медико-биологических основах и истории физкультуры и спорта; б) теоретические сведения по основным видам движений, правила подвижных, народных и спортивных игр, соревнований; в) обеспечение безопасности физкультурных занятий.

2. Умения и навыки: контроль не только результатов, но и процесса освоения учащимися техники физических упражнений. Отметка может выставляться как за законченное движение, так и за отдельные его элементы. Вместе с тем учитель может оценивать у учащихся методические, организаторские и инструкторские умения и навыки.

3. Уровень физической подготовленности учащихся с использованием программных материалов, а также различных контрольных и тестовых упражнений (см. приложение).

4. Домашние задания, предусматривающие самостоятельное изучение теоретических сведений из области физической культуры, разучивание и совершенствование техники отдельных упражнений и различных комплексов, а также выполнение упражнений тренировочного характера.

5. Прилежание, включающее в себя отношение ученика к уроку и к учебному предмету в целом, добросовестное выполнение задания учителя, стремление к индивидуально максимальным достижениям, а также знание и соблюдение правил безопасности физкультурных и спортивных занятий.

Домашние задания предусматриваются при разработке поурочных планов. По своей направленности они могут быть трех видов:

1. Задания, связанные с освоением техники отдельных или комплексов упражнений;

2. Задания, связанные с развитием одного или нескольких физических качеств;

3. Задания, связанные с самостоятельным усвоением теоретических сведений.

В зависимости от вида задания, сроки, на которые они задаются, могут колебаться от одной - двух недель (первый и третий виды) до одного-двух месяцев (второй вид).

В графе для записи домашних заданий учитель может кратко записать словами само задание или указать номер карточки (при наличии картотеки) с обязательным указанием сроков контроля этого задания. Например, "Сгибание и разгибание рук в упоре лежа от пола" (до 16.12.2009 г.). Или "Упр. №12(мальчики), № 9(девочки)" - до 16.02.2010г.

Для второго вида домашних заданий учителя физической культуры разрабатывают самостоятельно критерии оценки домашнего задания (отдельно для мальчиков и девочек) по десятибалльной шкале оценки результатов учебной деятельности учащихся.

Список использованной литературы


1.   Адаптация организма подростков к учебной нагрузке/Под ред. Д. В. Колесова. – М.:Педагогика,1987.

2.   Аникина Т.А., Ковтун Л.Г. и др. Избранные главы по возрастной физиологии. - Казань, 1992.

3.   Больсевич В.К. Физическая активность человека. – М., 1987.

4.   Больсевич В.Т., Запорожанов П.Д. Возрастное развитие физических качеств человека. – М., 1992.

5.   Букреев Л.О. Возрастные особенности циклических движений детей и подростков. – К., 1989.

6.   Галик Б.В. Тренировка юных легкоатлетов. – М.: Физкультура и спорт, 1984.

7.   Гандельсман А.Б., Смирнов К.М. Физиологические основы методики спортивной тренировки. – М.: Физкультура и спорт, 1970.

8.   Герасимова Г.Н., Павлычева Л.А. Возрастные изменения опорно-двигательного аппарата и их связь с развитием двигательных качеств. – М., 1991.

9.   Гигиена детей и подростков: Учебник /Под редакцией Г. Н. Сердюковской. – М.: Медицина,1986.

10.   Головина Л.Л. Физиологические особенности некоторых функций и мышечной деятельности школьников. – Х., 1996.

11.   Гонестова Е.Д. Особенности физиологических характеристик спортсменов разных видов спорта. // «Теория и практика физического воспитания», 1993, №3.

12.   Горкин М. Я. и др. Большие нагрузки в спорте. – К.: Здоров'я, 1971.

13.   Дворкин Е.К., Медведев А.А. Возрастные изменения мышечной силы и скоростно-силовых качеств. – К., 1988.

14.   Диагностика функциональной подготовленности и критерии оценки показателей адаптации юных спортсменов разного возраста и пола с учетом биологического созревания и уровня подготовленности. – М., 1993.

15.   Дьячков В. М. Методы совершенствования физической подготовки спортсменов старших разрядов. – М.: Физкультура и спорт, 1961.

16.   Ермолаев Ю.А. Возрастная физиология. – К., 1985.

17.   Лаптев А.П. Возрастные особенности организма. // «Физическая культура и спорт», 1984, №8.

18.   Матвеев Л.П. Теория и методика физической культуры. – М., 1991.

19.   Набатникова М.Я. Основы управления подготовкой юных спортсменов. – К., 1993.

20.   Роль социальных и биологических факторов в развитии ребёнка: Учебник/Под ред. К. П. Дорожновой. – М.: Медицина,1983.

21.   Семкин А.А. Возрастные особенности развития организма в связи с занятием спортом. – Минск, 1969.

22.   Фомин А.Д. Возрастные особенности физического воспитания. – М., 1979.

 

Похожие работы на - Исследование особенностей домашнего задания по физкультуре

 

Не нашли материал для своей работы?
Поможем написать уникальную работу
Без плагиата!
Без нейросетей!