Экономика предприятия (Украина)
Министерство Топлива и Энергетики
Украины
СЕВАСТОПОЛЬСКИЙ НАЦИОНАЛЬНЫЙ УНИВЕРСИТЕТ
ЯДЕРНОЙ ЭНЕРГИИ И ПРОМЫШЛЕННОСТИ
Практическое занятие №4
по дисциплине
«Использование ЭВМ в
инженерных расчетах электротехнических систем»
Тема : ЭВМ С
ИСПОЛЬЗОВАНИЕМ МАТЕМАТИЧЕСКОГО ПАКЕТА MathCad В СРЕДЕ WINDOWS 98 ДЛЯ РЕШЕНИЯ
СИСТЕМЫ ДИФФЕРЕНЦИАЛЬНЫХ УРАВНЕНИЙ.
Вариант №8
Выполнил: студент группы ЭСЭ 22-В
Левицкий П.В.
Проверил:_______________________
Севастополь 2008
ПЛАН
1. Данные варианта задания.
2. Решение системы дифференциальных уравнений, заданной в
нормальной форме Коши
2.1 Теоретическое обоснование
2.2 Теоретическое обоснование применения преобразования Лапласа
2.3 Общее решение однородной системы
2.3.1 Определение аналитических зависимостей изменения переменных
состояния системы при заданных начальных условиях и отсутствии внешнего
воздействия с использованием переходной матрицы.
2.3.2 Определение аналитических зависимостей изменения переменных
состояния системы при заданных начальных условиях и отсутствии внешнего
воздействия с использованием функции Mathcad
2.3.3 Определение аналитических зависимостей изменения переменных
состояния системы при заданных начальных условиях и отсутствии внешнего
воздействия с использованием преобразования Лапласа
2.4Частное решение неоднородной системы дифференциальных уравнений
при заданном внешнем воздействии и нулевых начальных условиях
2.4.1 Решение с применением функций MATHCAD
2.4.2 Решение с применением преобразования Лапласа
2.5Частное решение неоднородной системы дифференциальных уравнений
при заданном внешнем воздействии y=cos(2t) и нулевых начальных условиях
2.5.1 Решение с помощью переходной матрицы
2.5.2 Численный метод решения системы дифференциальных уравнений
при нулевых начальных условиях и заданном внешнем воздействии y=cos(2t) c помощью MATHCAD.
2.5.3 Решение системы дифференциальных уравнений при нулевых
начальных условиях и заданном внешнем воздействии y=cos(2t) c помощью преобразования Лапласа
2.6 Решение неоднородной системы дифференциальных уравнений
при заданном внешнем воздействии и начальных условиях
2.6.1 Решение с помощью функции MATHCAD
2.6.2 Решение с помощью преобразования Лапласа
2.6.3 Решение с помощью преобразования Лапласа (способ второй)
3. Выводы по работе №4.
1. Данные варианта задания
Система линейных
дифференциальных уравнений в форме Коши
Таблица № 1
|
№
вар
|
Ко э
ф ф и ц и е н т ы с и с т е м ы д и ф ф е р н е ц и а л ь н ы х у р а в н е н
и й
|
Начальные
условия
|
|
а11
|
а12
|
а13
|
а14
|
а21
|
а22
|
а23
|
а24
|
а31
|
а32
|
а33
|
а34
|
а41
|
а42
|
а43
|
а44
|
b0
|
b1
|
b2
|
b3
|
х0(0)
|
х1(0)
|
х2(0)
|
х3(0)
|
|
8
|
-2,4
|
1,4
|
1,6
|
-2,6
|
-12
|
0,6
|
4,0
|
-0,8
|
-0,85
|
-0,1
|
0,2
|
0,4
|
1,2
|
1,0
|
-1,5
|
0,1
|
0,2
|
0
|
0,6
|
0
|
0
|
-0.8
|
5.1
|
Электротехническая система описывается заданной системой линейных
дифференциальных уравнений с 4 искомыми функциями х0(t), x1(t),x2(t), x3(t):
Матрицы системы:

2. Решение системы дифференциальных
уравнений, заданной в нормальной форме Коши
2.1 Теоретическое обоснование
Можно
записать в виде матричного дифференциального уравнения:
или на основании правила дифференцирования матриц:
Совокупность решений системы дифференциальных уравнений будем
искать в форме
здесь
-
общее решение однородной системы дифференциальных уравнений
X(t) - частное решение неоднородной системы
дифференциальных уравнений
.
Общее решение однородной системы дифференциальных уравнений
Для определения общего решения системы дифференциальных уравнений
необходимо:
·
найти собственные значения λi матрицы А, используя
выражение:
·
найти переходную матрицу:
где Р – матрица, составленная из собственных векторов vi матрицы А, которые
определяются из выражения:
Аvi = λi vi i = 1,2..n
- одно из произвольных
значений вектора-столбца (обычно принимают vi1 = 1)
Тогда
причем
- диагональная матрица.
Общее
решение однородной системы дифференциальных уравнений будет иметь вид:
Частное решение неоднородной системы дифференциальных уравнений ищется:
Общее решение
неоднородной системы дифференциальных уравнений тогда будет иметь вид:
В данной работе мы будем определять аналитические зависимости
изменения переменных состояния системы численными методами с использованием
переходной матрицы, а также с помощью специальных функций MATHCAD.
2.2 Теоретическое обоснование применения
преобразования Лапласа
Классический метод решения системы дифференциальных уравнений
высокого порядка связан с большими вычислительными затратами, особенно при
определении частного решения неоднородной системы ( при вычислении интеграла).
В этом случае целесообразно использовать преобразования Лапласа, что
существенно упрощает вычисления и дает значительно большую обозримость решения.
Можно отметить следующие преимущества метода преобразования Лапласа:
1.
Для решения системы дифференциальных уравнений методом
преобразования Лапласа необходимо решить только одну-единственную систему
алгебраических уравнений, а именно систему, определяющую изображение Xi(s) искомых функций хi(t).
2.
Начальные значения входят в эту систему с самого начала и поэтому
учитываются автоматически, в то время как при применении классического метода
предварительно необходимо найти сначала общие решения (для систем уравнений это
весьма сложно) и затем подобрать постоянные интегрирования так, чтобы были
удовлетворены начальные условия, что приводит к необходимости решения еще одной
системы линейных уравнений. Часто встречающийся на практике случай нулевых
начальных значений приводит при применении преобразования Лапласа к особенно
простым вычислениям.
3.
Наконец, важное преимущество заключается в том, что каждая
неизвестная функция может быть вычислена сама по себе, независимо от вычисления
остальных неизвестных функций, что при использовании классическим методом при
заданных начальных условиях в общем случае невозможно. Это преимущество
особенно ценно, когда практический интерес представляет определение только
одной-единственной, неизвестной, вычисление же остальных неизвестных
необязательно.
2.3 Общее решение однородной системы
2.3.1 Определение аналитических
зависимостей изменения переменных состояния системы с использованием переходной
матрицы при заданных начальных условиях и отсутствии внешнего воздействия.
Вычисление собственных значений квадратной матрицы А:
Функция identity (4) создаёт единичную матрицу размером 4*4
С помощью символьного процессора можно вычислить аналитически
значение переменной, при котором выражение обращается в ноль. Для этого:
·
Введите выражение.
·
Выделите переменную, относительно которой будет решаться
уравнение, приравнивающее выражение к нулю.
·
Выберите в меню Symbolics (Символика) пункт Variable / Solve
(Переменная / Решить) .
В нашем случае, чтобы найти значения λ, которые являются
корнями характеристического уравнения запишем выражение в Mathcad.
Для вычисления собственных значений матрицы А можно применить и
функцию eigenvals, ключевое слово float применяется вместе со значением точности
вывода результата с плавающей точкой.
Как видно, характеристическое уравнение имеет 4 различных корня,
которые являются характеристическими числами матрицы А. Каждому
характеристическому числу соответствует свой собственный вектор.
Характеристическому числу λ1 соответствует собственный вектор р11; р21;
р31; р41; числу λ2 соответствует собственный вектор р12; р22; р32; р42,
числу λ3 соответствует собственный вектор р13; р23; р33; р43 числу λ4
соответствует собственный вектор р14; р24; р34; р44.
Преобразующую матрицу Р определяем по матрице А, используя
дополнительную функцию eigenvecs(A) — вычисляет матрицу, содержащую
нормированные собственные векторы, соответствующие собственным значениям
матрицы А; n-й столбец вычисляемой матрицы соответствует собственному вектору
n-го собственного значения, вычисляемого eigenvals;
Для получения общего решения однородной системы дифференциальных
уравнений необходимо определить по переходной матрице аналитическое выражение
изменения независимых переменных системы.
Также построим график их изменения при заданных начальных условиях
и отсутствии внешнего воздействия.
Поиск обратной матрицы возможен, если матрица квадратная и ее
определитель не равен нулю. Произведение исходной матрицы на обратную по
определению является единичной матрицей. Для ввода оператора поиска обратной
матрицы нажмите кнопку Inverse (Обратная матрица) на панели инструментов Matrix
(Матрица).
Начальные условия:
С помощью слова complex можно преобразовывать выражения как в
символьном виде, так и с учетом численных значений, если они были ранее
присвоены переменным.
Ф=P*Q*P^-1
Общее решение системы дифференциальных уравнений при заданных
начальных условиях и отсутствии внешнего воздействия:
Тогда получим 4 решения:
Рисунок 1.1. Графики изменения переменных состояния системы при
заданных начальных условиях и отсутствии внешнего воздействия.
2.3.2 Определение аналитических
зависимостей изменения переменных состояния системы при заданных начальных
условиях и отсутствии внешнего воздействия с использованием функции Mathcad
СПРАВКА: В Mathcad 11 имеются три встроенные функции, которые
позволяют решать поставленную в форме (2—3) задачу Коши различными численными
методами.
·
rkfixed(y0, t0, t1, M, D) — метод Рунге-Кутты с фиксированным
шагом,
·
Rkadapt(y0, t0, t1, M, D) — метод Рунге-Кутты с переменным шагом;
·
Buistoer(y0, t0, t1, M, D) — метод Булирша-Штера;
o
у0 — вектор начальных значений в точке to размера NXI;
o
t0 — начальная точка расчета,
o
t1 — конечная точка расчета,
o
M — число шагов, на которых численный метод находит решение;
o
D — векторная функция размера NXI двух аргументов — скалярного t и
векторного у При этом у — искомая векторная функция аргумента t того же размера
NXI.
Таким образом, воспользуемся функцией Rkadapt (y0, t0, t1, M, D)
-получим матрицу решения системы дифференциальных уравнений численным методом
Рунге-Кута на интервале от t0 до t1 при M шагах решения и правыми частями уравнений,
записанными в D. Тогда решение уравнения динамики электротехнической системы с
помощью встроенной функции Rkadapt выглядит так:
Зададим интервал интегрирования t0 - t1, количество шагов
интегрирования М, вектор заданных начальных условий X0 и правую часть
дифференциального уравнения y(t):
Сформируем
матрицу системы дифференциальных уравнений:
Применим функцию:
-Интервал времени.
-Значение искомой координаты.



Рисунок 1.2. Графики изменения переменных состояния системы при
заданных начальных условиях и отсутствии внешнего воздействия, полученные с
помощью MATHCAD.
Как видно из графического представления решения, график полученный
с помощью переходной функции такой же как график, полученный с помощью функции MATHCAD.
2.3.3 Определение аналитических
зависимостей изменения переменных состояния системы при заданных начальных
условиях и отсутствии внешнего воздействия с использованием преобразования
Лапласа
Заданную систему уравнений преобразуем по Лапласу
и найдем переходную матрицу и изображение по Лапласу переменной состояния
системы:
На основании переходной матрицы определим
изображение и оригинал переменных состояния систем:

Рисунок 1.3. Графики изменения переменных состояния системы при
заданных начальных условиях и отсутствии внешнего воздействия, полученных при
помощи преобразования Лапласа.
Как видно рисунок 1.3. совпадает с рисунком 1.1, где неизвестные
получены с помощью характеристического уравнения системы и рисунком 1.2.-
численный метод с использованием функции MATHCAD.
2.4Частное решение неоднородной системы
дифференциальных уравнений при заданном внешнем воздействии и нулевых начальных
условиях
2.4.1 Решение с применением функций MATHCAD
Рисунок 2.1. Графики изменения переменных состояния системы при нулевых
начальных условиях и присутствии внешнего воздействия, полученные с помощью MATHCAD.
2.4.2 Решение с применением преобразования
Лапласа
Преобразуем по Лапласу заданную систему уравнений и найдем
переходную матрицу и изображение переменной состояния системы.
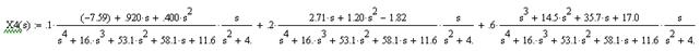
B(s) – преобразованный по Лапласу
вектор-столбец внешних возмущений.
Переходная матрица и изображение переменных состояния системы:
На основание матрицы определим изображение и оригинал переменных
состояния системы:
Аналогично вычисляем остальные значения x(t)

Также применим обратное проеобразование Лапласа , нажав ключевое
слово invlaplace на панели Символика.
Рисунок 2.2.Графики изменения переменных состояния системы при нулевых
начальных условиях и присутствии внешнего воздействия, полученные с помощью
преобразования Лапласа.
Как видно графики совпадают.
2.5 Частное решение неоднородной системы
дифференциальных уравнений при заданном внешнем воздействии y=cos(2t) и нулевых начальных
условиях
2.5.1 Решение с помощью переходной
матрицы
В качестве примера рассмотрим случай, если на систему действует
воздействие одного вида, например y=cos(2t) .
Определим аналитические выражения изменения независимых переменных
системы и их графическое представление при заданных внешних воздействиях и
нулевых начальных условиях.
пусть
Рисунок 3.1. Графики изменения переменных состояния системы при
при y(t)=cos(2t) и нулевых начальных условиях, полученные способом решения с
использованием переходной матрицы.
2.5.2 Численный метод решения системы
дифференциальных уравнений при нулевых начальных условиях и заданном внешнем
воздействии y=cos(2t) c помощью MATHCAD
|
Рисунок 3.2. Графики
изменения переменных состояния системы при нулевых начальных условиях и
воздействии y=cos(2t)
|
Как видно из графиков
решения совпадают.
2.5.3 Решение системы дифференциальных
уравнений при нулевых начальных условиях и заданном внешнем воздействии y=cos(2t) c помощью преобразования
Лапласа
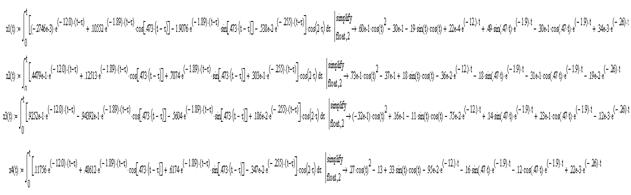
Применив обратное преобразование Лапласа (invlaplace) получим значения x(t), графическое изображение которых на
рисунке 3.3. Рисунок совпадает с двумя полученными ранее.
Рисунок 3.3. Графики изменения переменных состояния системы при
при y(t)=cos(2t) и нулевых начальных условиях, полученные с помощью
преобразования Лапласа.
2.6 Решение неоднородной системы
дифференциальных уравнений при заданном внешнем воздействии и начальных
условиях
2.6.1 Решение с помощью функции MATHCAD
Рисунок 4.1. Графики
изменения переменных состояния системы при заданных начальных условиях и
воздействии, полученных с помощью функции MATHCAD.
2.6.2 Решение с помощью преобразования
Лапласа
Аналогично получаем значения Х2общ, Х3общ, Х4общ и строим график
изменения переменных системы при заданном внешнем воздействии и начальных
условиях, полученный с помощью преобразования Лапласа.
Рисунок 4.2. Графики
изменения переменных состояния системы при заданных начальных условиях и
воздействии, полученных с помощью преобразования Лапласа..
2.6.3 Решение с помощью преобразования
Лапласа (способ второй)
Применив обратное преобразование Лапласа, получим изменение
параметров системы в зависимости от времени.
Рисунок 4.3. . Графики
изменения переменных состояния системы при заданных начальных условиях и
воздействии, полученных с помощью преобразования Лапласа.
Выводы по работе №4
В данной работе были изучены возможности математического пакета
MathCad в среде Windows для решения системы дифференциальных уравнений, что
часто используется в инженерных расчетах электротехнических систем. Были
выполнены решения системы дифференциальных уравнений численным методом и с
использование преобразования Лапласа, используя математический пакет MathCad.
Классическим методом расчёта является метод расчёта с
использованием переходной матрицы.
Решение уравнения динамики электротехнической системы с помощью
встроенной функции Rkadapt очень наглядно и быстро. Воспользовавшись функцией
Rkadapt (y0, t0, t1, M, D)-получим матрицу решения системы дифференциальных
уравнений численным методом Рунге-Кута на интервале от t0 до t1 при M шагах решения и правыми частями уравнений, записанными в D.
Преобразование Лапласа позволяет преобразовывать дифференциальные
уравнения по t в линейные уравнения по S. Переменные вещественного аргумента t меняется на переменные комплексного
аргумента s. Дифференцирование заменяется умножением на s, повторное- на s в квадрате и т.д.С помощью laplace находим изображения
функций, описывающих внешние воздействия на систему.
Решение с помощью преобразования Лапласа требует создания переходной
матрицы. Этот вопрос решается очень легко, используя функцию identity из mathcad. Для нахождения изменения параметров системы в зависимости от
времени используется обратное преобразование Лапласа (invlaplace).
Сравнивая графики изменения переменных состояния системы во
временной области видим, что результаты решения системы дифференциальных
уравнений различными методами одни и те же. Однако численный метод решения
системы дифференциальных уравнений с использованием Mathcad намного проще. То что
графики имеют один и тот же вид подтверждает правильность решения однородной
системы дифференциальных уравнений.