Себестоимость, расчет по экономическим элементам и калькуляционным статьям
Министерство
Топлива и Энергетики Украины
СЕВАСТОПОЛЬСКИЙ
НАЦИОНАЛЬНЫЙ УНИВЕРСИТЕТ
ЯДЕРНОЙ
ЭНЕРГИИ И ПРОМЫШЛЕННОСТИ
Практическое занятие №3
по
дисциплине
«Использование
ЭВМ в инженерных расчетах электротехнических систем»
Тема : ЭВМ С ИСПОЛЬЗОВАНИЕМ МАТЕМАТИЧЕСКОГО ПАКЕТА MathCad В СРЕДЕ WINDOWS ДЛЯ
РЕШЕНИЯ ДИФФЕРЕНЦИАЛЬНОГО УРАВНЕНИЯ N-го ПОРЯДКА.
Вариант
№8
Выполнил: студент группы
ЭСЭ 22-В
Левицкий П.В.
Проверил:_______________________
Севастополь
2008
ПЛАН
1. Данные варианта
задания.
2. Решение дифференциального уравнения
N-го порядка
2.1. Решение дифференциальных уравнений N-го порядка методом интегрирования при помощи
характеристического уравнения:
·
при y(t) = 0 и заданных начальных условиях ;
·
при y(t) = 1(t) и
нулевых начальных условиях;
·
при y(t) = 1(t) и
заданных начальных условиях;
·
при y(t) = cos(aּπּt) и нулевых начальных условиях;
2.2. Решение дифференциальных уравнений N-го порядка операторным методом:
·
при y(t) = 0 и заданных начальных условиях;
·
при y(t) = 1(t) и
нулевых начальных условиях;
·
при y(t) = 1(t) и
заданных начальных условиях;
·
при y(t) = cos(aּπּt) и нулевых начальных условиях;
1.
Данные варианта задания
ПРИЛОЖЕНИЕ №1
( к практическому занятию
№3)
Дифференциальное уравнения
4-го порядка

Т а б л и ц а № 1
|
№
вар
|
Коэффициенты
дифференциального
уравнения
4–го порядка
|
Правая
часть уравнения и начальные условия
|
|
а0
|
а1
|
а2
|
а3
|
а4
|
b0
|
y(t) = 1(t)
x0(0) = 1
x1(0) = x2(0)= x3(0) = 0
|
y(t) = cos(aּπּt)
x0(0) = -1
x1(0) = x2(0)= x3(0) = 0
|
|
8
|
10
|
20
|
1.7
|
0.16
|
0.08
|
10
|
|
a = 0.35
|
2. Решение дифференциального уравнения N-го порядка
2.1 Решение
дифференциальных уравнений N-го порядка
методом интегрирования при помощи характеристического уравнения
2.1.1
При y(t) = 0 и заданных начальных условиях
Дифференциальное
уравнение 4-го порядка, описывающее динамические процессы электротехнической
системы имеет вид:
Водим
уравнение, пользуясь панелью «Исчисления» в Mathcad.
При заданных
по условию значениях коэффициентов, уравнение примет вид:
Данное
линейное дифференциальное уравнения 4-го порядка преобразуем
в систему
дифференциальных уравнений первого порядка (в нормальную форму Коши).
Обозначим:

Зададим
вектор начальных значений:
СПРАВКА: В
Mathcad 11 имеются три встроенные функции, которые позволяют решать
поставленную в форме (2—3) задачу Коши различными численными методами.
·
rkfixed(y0,
t0, t1, M, D) — метод Рунге-Кутты с фиксированным шагом,
·
Rkadapt(y0,
t0, t1, M, D) — метод Рунге-Кутты с переменным шагом;
·
Buistoer(y0,
t0, t1, M, D) — метод Булирша-Штера;
o
у0 —
вектор начальных значений в точке to размера NXI;
o
t0 —
начальная точка расчета,
o
t1 —
конечная точка расчета,
o
M —
число шагов, на которых численный метод находит решение;
o
D —
векторная функция размера NXI двух аргументов — скалярного t и векторного у При
этом у — искомая векторная функция аргумента t того же размера NXI.
Таким образом,
воспользуемся функцией rkfixed(y0, t0, t1, M, D) -получим матрицу решения
системы обыкновенных дифференциальных уравнений численным методом Рунге-Кута на
интервале от t0
до t1 при M фиксированных шагах
решения и правыми частями уравнений, записанными в D. Тогда решение уравнения
динамики электротехнической системы с помощью встроенной функции rkfixed выглядит
так:
Зададим
интервал интегрирования t0 - t1, количество шагов интегрирования М,
вектор заданных начальных условий ic и правую часть дифференциального уравнения y(t):
Сформируем матрицу системы дифференциальных
уравнений, соответствующую заданному дифференциальному уравнению 4-го порядка.
Применим
функцию:
-Интервал
времени.
-Значение
искомой координаты.
Рисунок1.
Матрица решений системы уравнений.
По этой
таблице можно определять расчётные значения исходного вектора на заданном шаге.
Результаты
численного решения дифференциального уравнения можно вывести в виде таблицы с
прокруткой времени и искомой неизвестной (см файл в Mathcad). Согласно выбранному М
получили 1500 строк.


Рисунок2.
Результаты пошагового решения дифференциального уравнения, представленные в
виде таблицы.
Графическое
представление результатов численного решения дифференциального уравнения 4-го
порядка в декартовой системе координат представлено на рисунке 3. График
изображён так, что можно проверить значения строки 1500. При Т=150,
Х=4,563*10^130
Рисунок 3.
Графическое представление результатов численного решения дифференциального
уравнения 4-го порядка в декартовой системе координат. При y(t) = 0 и заданных
начальных условиях.
2.1.2 При y(t) = 1(t) и нулевых
начальных условиях
В этом случае
необходимо изменить начальные условия и задать правую часть дифференциального
уравнения.

Рисунок 4.
Графическое представление результатов численного решения дифференциального
уравнения 4-го порядка в декартовой системе координат. При y(t) = 1(t) и нулевых начальных
условиях.
2.1.3 При y(t) = 1(t) и
заданных начальных условиях
Изменим
условия решения дифференциального уравнения. Зададим начальные условия для
искомой переменной х0(0) = 1, начальные условия для других
переменных равны нулю.( x1(0)
= x2(0)= x3(0) = 0).См.таблицу1.
Рисунок 5.
Графическое представление результатов численного решения дифференциального
уравнения 4-го порядка в декартовой системе координат. При y(t) = 1(t) и ненулевых начальных
условиях. х0(0) = 1
Зададим
начальные условия для искомой переменной х0(0) =- 1, начальные
условия для других переменных равны нулю.( x1(0) = x2(0)= x3(0) = 0).


Рисунок 6.
Графическое представление результатов численного решения дифференциального
уравнения 4-го порядка в декартовой системе координат. При y(t) = 1(t) и ненулевых начальных
условиях х0(0) =- 1.
2.1.4 При y(t) = cos(aּπּt) и нулевых начальных условиях.
a
= 0.35

Рисунок 7.
Графическое представление результатов численного решения дифференциального
уравнения 4-го порядка в декартовой системе координат.
При y(t) = cos(aּπּt) и нулевых начальных условиях(a = 0.35)._
a
= 0.35

Рисунок 8.
Графическое представление результатов численного решения дифференциального
уравнения 4-го порядка в декартовой системе координат. При y(t) = cos(aּπּt) и нулевых начальных
условиях(a
= 0.35; x0(0)
= -1).
2.2. Решение дифференциальных
уравнений N-го порядка операторным
методом.
2.2.1 При y(t) = 0 и заданных начальных условиях (см. Табл.№1 )
К
дифференциальному уравнению 4-го порядка применим преобразование Лапласа при
заданных начальных условиях и у(t) = 0 и запишем его относительно изображения искомой
переменной:
К линейные
дифференциальным уравнениям с постоянными коэффициентами применим
преобразование Лапласа, чтобы переменные вещественного аргумента t заменить на переменные
комплексного аргумента S, дифференцирование заменим умножением на S, повторное
дифференцирование- умножением на S^2 и т.д.
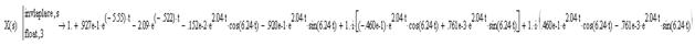
Используя
обратное преобразование Лапласа, найдем оригинал искомой переменной:
На рис. 9.
показаны графики изменения переменной, полученных в результате решения
заданного дифференциального уравнения путем интегрирования (кривая Х) и
операторным методом (Н(t)).
Рисунок 9.
Графики изменения искомой переменной, полученные в результате решения
дифференциального уравнения двумя методами. При y(t) = 0 и заданных
начальных условиях.
2.2.2
При y(t) = 1(t) и нулевых начальных
условиях
-Изображение по Лапласу y(t) = 1(t)
Рисунок10.
Графики изменения искомой переменной, полученные в результате решения
дифференциального уравнения двумя методами. При y(t) = 1(t) и нулевых начальных
условиях.
2.2.3 При y(t) = 1(t) и
заданных начальных условиях
Рисунок11.
Графики изменения искомой переменной, полученные в результате решения
дифференциального уравнения двумя методами. При y(t) = 1(t) и заданных начальных условиях.
2.2.4 При y(t) = cos(aּπּt) и нулевых начальных условиях
Рисунок11.
Графики изменения искомой переменной, полученные в результате решения
дифференциального уравнения двумя методами. При y(t) = cos(aּπּt) и нулевых начальных
условиях;
3.
Выводы по работе №3
В процессе
данной практической работы я изучил
возможности математического пакета MathCad в среде Windows для решения
дифференциальных уравнений N-го порядка, используемых в инженерных расчетах
электротехнических систем. Были выполнены численные методы решения дифференциальных
уравнений N-го порядка. Заданное уравнение 4-го порядка описывает динамические
процессы электротехнической системы. Оно было преобразовано в систему
дифференциальных уравнений первого порядка (в нормальную форму Коши). Мы
воспользовались функцией rkfixed(y0, t0, t1, M, D) -получили матрицу решения
системы обыкновенных дифференциальных уравнений численным методом Рунге-Кута на
интервале от t0
до t1 при M фиксированных шагах
решения и правыми частями уравнений, записанными в D. Получено численное и
графическое представление результатов.
Решение
уравнения операторным методом предполагает применение преобразования Лапласа. В
данной работе мы использовали преобразование Лапласа к искомой переменной
системы, в частности, теорему о дифференцировании оригинала и свойство
линейности преобразования Лапласа. Мы применили преобразование Лапласа (функция
laplace), чтобы переменные
вещественного аргумента t заменить на переменные комплексного аргумента s, дифференцирование
заменить умножением на s, повторное на s в квадрате и т.д. Из полученных в комплексной области
алгебраических уравнений нашли отношение выходной характеристики к входной. Это
изображение обычно представляет собой передаточную функцию системы автоматического
управления. Используя обратное преобразование Лапласа( функция invlaplace), найден оригинал
искомой переменной.
Графики
изменения искомой переменной, полученные в результате решения дифференциального
уравнения двумя методами совпадают.