Изучение темы "Минеральные удобрения" в школьном курсе химии
Глава 1. Минеральные удобрения
1.
Общая классификация удобрений
В клетках растений содержится
более 70 химических элементов — практически все, имеющиеся в почве. Но для
нормального роста, развития и плодоношения растений необходимы лишь 16 из них.
Это элементы, поглощаемые растениями из воздуха и воды, — кислород, углерод и
водород, и элементы, поглощаемые из почвы, среди которых различают
макроэлементы — азот, фосфор, калий, кальций, магний, сера и микроэлементы —
молибден, медь, цинк, марганец, железо, бор и кобальт.
Отдельным растениям для
нормального роста и развития требуются и другие химические элементы. Так,
например, сахарной свекле для получения высокого урожая корнеплодов нужен
натрий. Он также ускоряет рост и улучшает развитие кормовой свеклы, ячменя,
цикория и других культур. Положительное влияние на обмен веществ у некоторых растений
оказывают кремний, алюминий, никель, кадмий, иод и др.
Наиболее полно потребности
сельскохозяйственных культур в питательных элементах удовлетворяются при
внесении в почву удобрений. Недаром их образно называют витаминами полей.
Удобрения содержат питательные
элементы в связанном виде, т. е. в виде их соединений. Растения поглощают эти
соединения из почвы, при этом осуществляется ионный обмен. Если, например,
взять пробу почвы, насыщенной кальцием, и взболтать ее с раствором какой-либо
соли, например хлоридом калия, то часть ионов К+ из раствора
перейдет в соединение с почвой, а в раствор вместо К+ перейдет Са2+:
По химическому составу удобрения
делятся на неорганические, или минеральные, органические, органоминеральные и
бактериальные. Схема классификации удобрений представлена на с. 248.
Минеральные
удобрения —
вещества неорганического происхождения. По действующему, питательному элементу
минеральные удобрения подразделяют на макроудобрения: азотные, фосфорные,
калийные и микроудобрения (борные, молибденовые и т. д.).
Для изготовления минеральных
удобрений используют природное сырье (фосфориты, селитры и др.), а также
побочные продукты и отходы некоторых отраслей промышленности, например сульфат
аммония — побочный продукт в коксохимии и производстве капрона. Минеральные
удобрения получают в промышленности или механической обработкой неорганического
сырья, например измельчением фосфоритов, или с помощью химических реакций.
Выпускают твердые и жидкие минеральные удобрения.
Органические
удобрения —
вещества растительного и животного происхождения. В первую очередь, это навоз,
торф, компосты, птичий помет, городские отходы и отбросы пищевых производств.
Сюда относят и зеленые удобрения (растения люпин, бобы).
Внесенные в почву, эти удобрения
под действием почвенных микроорганизмов разлагаются с образованием минеральных
соединений азота, фосфора, калия и других питательных элементов.
Органоминеральные
удобрения содержат
органические и минеральные вещества. Их получают путем обработки аммиаком и
фосфорной кислотой органических веществ (торфа, сланцев, бурого угля и др.) или
путем смешивания навоза или торфа с фосфорными удобрениями.
Бактериальные
удобрения —
препараты (азотобактерин, нитрагин почвенный), содержащие культуру
микроорганизмов, поглощающих органические вещества почвы и удобрений и
превращающих их в минеральные.
По агрохимическому воздействию
минеральные удобрения разделяют на прямые и косвенные.
Прямые
удобрения предназначаются
для непосредственного питания растений. Они содержат азот, фосфор, калий,
магний, серу, железо и микроэлементы (В, Mo, Си, Zn). Подразделяются на простые и комплексные удобрения.
Простые удобрения
содержат один
элемент питания (азот, фосфор, калий, молибден и т. д.). Это
•азотные
удобрения, которые различают по форме соединений азота (аммиачные, аммонийные,
амидные и их сочетания);
•фосфорные
удобрения, которые разделяют на растворимые в воде (двойной суперфосфат) и
нерастворимые в ней (фосфоритная мука и др., используемые на кислых почвах);
•калийные
удобрения, которые разделяют на концентрированные (КС1, К2С03
и др.) и сырые соли (сильвинит, каинит и др.);
•микроудобрения
— вещества, содержащие микроэлементы (Н3В03, молибдат
аммония и др.).
Комплексные
удобрения содержат
не менее двух питательных элементов. По характеру их производства они
подразделяются на следующие группы:
• смешанные — получают
механическим смешиванием различных готовых порошкообразных или гранулированных
удобрений;
• сложносмешанные гранулированные
удобрения — получают смешиванием порошкообразных готовых удобрений с введением
в процессе смешивания жидких удобрений (жидкого аммиака, фосфорной кислоты,
серной кислоты и др.);
• сложные удобрения — получают
химической переработкой сырья в едином технологическом процессе.
Косвенные
удобрения применяют
для химического, физического, микробиологического воздействия на почву с целью
улучшения условий использования удобрений. Например, для нейтрализации
кислотности почв применяют молотые известняки, доломит, гашеную известь, для
мелиорации солонцов — гипс, для кислования почв — гидросульфит натрия.
Питательную ценность удобрений
условились выражать через массовую долю в них азота N, оксида фосфора (V) Р205
или оксида калия К20.
Массовую долю азота в удобрении
рассчитывают так же, как и массовую долю элемента в каком-либо соединении с
известной молекулярной формулой. Например, для определения массовой доли азота
в азотном удобрении — натриевой селитре NaN03 находят сначала относительную молекулярную
массу NaN03:
Mr(NaN03) = 23 + 14 + 48 =
85.
Далее относительную атомную массу
азота Ar(N) = 14 делят на относительную
молекулярную массу соединения и результат выражают в процентах.
При определении массовой доли Р205
и К20 в удобрении нужно учитывать, что самих соединений, отвечающих
этим формулам, в удобрениях нет, поэтому расчет носит условный характер.
Например, массовую долю Р205 в двойном суперфосфате Са(Н2Р04)2
рассчитывают следующим образом:
1) находят относительную
молекулярную массу дигидрофосфата кальция
Мг[Са(Н2Р04)2]
= 40 + 4 + 62 + 128 = 234
и относительную
молекулярную массу оксида фосфора
(V) Мг(Р205)
= 62 + 80 = 142;
2) зная относительную
молекулярную массу оксида фосфора (V) и учитывая, что в молекулах обоих
сравниваемых веществ содержится одинаковое число атомов фосфора (по два атома),
делят второе число на первое, результат выражают в процентах. Итак,
u>(P205) = HI = 0,607, или 60,7% .
Рассмотрим теперь, как определяют
в удобрениях массовую долю К20. Пусть требуется найти массовую долю
К20, отвечающую чистому хлориду калия КС1. Для этого поступают
следующим образом:
1) вычисляют относительную
молекулярную массу хлорида калия
МДКС1) = 39 + 35,5 =
74,5
и относительную
молекулярную массу оксида калия
Мг(К20)
= 78 + 16 = 94;
2) зная
относительную молекулярную массу оксида калия и учитывая, что в молекуле
хлорида калия один атом калия, а в молекуле оксида калия — два атома, делят
относительную молекулярную массу оксида калия на удвоенную относительную
молекулярную массу хлорида калия, результат выражают в процентах.
Азотные, калийные и фосфорные удобрения.
Азотные удобрения получают из
аммиака и азотной кислоты на химических заводах. Наиболее типичные азотные удобрения
представлены в таблице 11.
Аммиачную селитру NH4N03 — довольно
концентрированное азотное удобрение (34,5% азота) получают по реакции между
аммиаком и азотной кислотой:
Выпускают это удобрение в
мелкокристаллическом виде или в форме гранул. Относится к лучшим азотным
удобрениям и пригодна к применению на кислых и щелочных почвах. Дальнейшее
совершенствование технологии производства аммиачной селитры должно идти в
направлении улучшения ее физических свойств: чтобы селитра не слеживалась,
важно повысить прочность гранул, которая позволяла бы смешивать аммиачную
селитру механизированным способом с другими удобрениями.

Мочевина также является
эффективной формой азотных удобрений. Она имеет высокое содержание азота (46%)
и меньше слеживается по сравнению с аммиачной селитрой.
Жидкий аммиак — это
высококонцентрированное удобрение (82% азота). В сельском хозяйстве, используют
не посредственно жидкий аммиак, а также аммиакаты, получаемые при растворении в
нем аммиачной селитры или смеси аммиачной и кальциевой селитры.
Названия и химический состав
калийных удобрений представлены в таблице 1. Основным сырьем для их
производства служит минерал сильвинит КС1 • NaCl, богатейшие залежи которого
располагаются в Соликамске. Здесь на глубине от 100 до 300 м залегают миллиарды тонн сильвинита.
Каким способом отделить хлорид
калия от хлорида натрия? Растворимость хлорида натрия с понижением температуры
почти не изменяется, а растворимость хлорида калия резко уменьшается. Поэтому
при охлаждении до комнатной температуры насыщенного при 100 °С раствора
сильвинита в воде значительная часть хлорида калия выпадает в осадок. Кристаллы
отделяют фильтрованием, а раствор используют для растворения следующей порции
сильвинита. Этот способ осуществляют в промышленности.
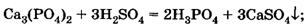
Фосфорные удобрения (табл. 2)
получают при переработке руд, содержащих фосфор (фосфориты и апатиты), из
костей животных в небольшом количестве и отходов металлургического производства
(шлаки).
Простой суперфосфат Са(Н2Р04)2
+ 2CaS04 получают при
взаимодействии фосфоритной или апатитовой муки с серной кислотой по уравнению:
Простой суперфосфат применяют для
питания всех культур. К недостаткам его относится наличие гипса CaS04, который является
балластом и тем самым удорожает транспортировку удобрения от завода до поля.
Поэтому особое значение он имеет для культур, нуждающихся, кроме фосфора, в
гипсе (клевер и другие бобовые). Лучшей формой его применения является
гранулированный простой суперфосфат.
Двойной суперфосфат Са(Н2Р04)2
отличается от простого тем, что не содержит гипса. Выпускается в виде порошка и
гранул. Его производство осуществляется в две стадии:
б) жидкую часть отделяют от
осадка (гипса и других
примесей) и обрабатывают ею новую порцию сырья:
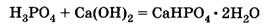
Преципитат СаНР04 • 2Н20
получают взаимодействием Н3Р04, полученной экстракционным
способом, с известковым молоком или мелом:
Или
Отечественный агрохимик Д. Н.
Прянишников предложил получать преципитат путем обработки фосфатного сырья
азотной кислотой. При этом дополнительно образуется кальциевая селитра.
Преципитат можно смешивать с любым удобрением. Он может применяться на всех
почвах и под различные культуры.
В последнее время большой интерес
вызывает возможность применения в качестве удобрения красного фосфора. Он
неядовит, является самым концентрированным фосфорсодержащим продуктом (229% в
пересчете на Р205). Его можно вносить в почву в запас на
ряд лет. Агрохимические исследования показали, что из общего количества
внесенного в почву красного фосфора за сезон в растение переходит 15—17%,
остальное количество остается в почве и используется в последующие годы.
Почему фосфоритную муку
целесообразно вносить в почву до посева?
Почему некоторые фосфорные
удобрения (фосфоритная мука, преципитат, красный фосфор), внесенные в почву,
сохраняют свои питательные свойства в течение нескольких лет, а калийные
удобрения нужно вносить в почву ежегодно?
Какие питательные элементы
содержатся в комплексных удобрениях: фосфат калия, калийная селитра,
дигидрофосфат аммония (аммофос)? Какова массовая доля каждого питательного
элемента в этих удобрениях?
Комнатные растения можно поливать
подкормкой из минеральных удобрений: в 1 л воды растворяют 2,5 г KN03, 2,5 г КН2Р04 и 10 г Ca(N03)2. Какова массовая доля (в %)
каждого из компонентов в такой подкормке?
В образце суперфосфата массовая
доля оксида фосфора (V) составляет 20%. Найдите массовую долю дигидрофосфата
кальция в удобрении.
Водный раствор содержит 39,2 г фосфорной кислоты. Его нейтрализовали раствором, содержащим 37 г гидроксида кальция. Найдите массу полученного преципитата.
Глава 2. Изучение минеральных
удобрений в школе
В
школьном курсе химии минеральные удобрения рассматриваются подробно в IX
классе. Как известно, состав удобрений, их свойства, применение и эффективность
изучает специальная наука — агрохимия (агрономическая химия). Основы агрохимии
в школе рассматриваются на факультативных занятиях «Химия в сельском хозяйстве.
Хотелось бы заметить, что если в городских школах изучение минеральных
удобрений может носить общепознавательный характер, то в сельских школах к
рассмотрению этого вопроса следует подойти более подробно как в теоретическом
так и в практическом плане. Изучение минеральных удобрений, на современном
научном уровне окажет большую помощь школьникам для подготовки их к практической
деятельности в сельском хозяйстве. В связи с этим и хочется поделиться
отдельными мыслями по улучшению изучения минеральных удобрений в школе и их
практическому применению.
Минеральные
удобрения, как правило, содержат некоторое количество различных примесей
(балласта). Это зависит от сырья и технологии получения удобрений. Поэтому
называть удобрения, хотя бы для примера, химически чистыми веществами (как дано
в учебнике неорганической химии для IX класса), не совсем правильно.
Искусственное введение понятия об удобрениях как о химически чистых веществах
нередко вводит учителей в заблуждение, и многие из них используют на уроках
химически чистые реактивы вместо натуральных удобрений (хлористого калия,
сульфата аммония, суперфосфата и др.). Вполне понятно, что внешний вид и
проявление химических реакций у таких химически чистых веществ будут отличаться
от удобрений.
В
учебнике также приводится пример расчета процента действующего вещества в
удобрениях по химическим формулам. На наш взгляд, этого делать нельзя, так как
удобрения не химически чистые вещества, а смеси. При таких расчетах надо
указывать количество примесей для того, чтобы получить точный результат.
Приведенным в учебнике методом нельзя определить процент действующего вещества
в фосфоритной муке, сильвините, калийной соли. Да и у других удобрений,
полученных искусственно синтетическим путем (мочевина, аммиачная селитра), этот
способ дает завышенные, не соответствующие действительности, показатели. В
агрохимии и в практике сельского хозяйства, такие расчеты никогда не
проводятся. Процент действующего вещества в каждом виде и партии удобрений
определяется в заводских агрохимических лабораториях на основании
количественного метода аналитической химии, а затем он указывается в накладных
документах (сертификатах) и на этикетках, приложенных к удобрениям. В практике
сельского хозяйства и при работе с удобрениями в школе процент действующего в
них вещества надо брать из этих же документов или из справочников.
Вполне
целесообразным можно считать определение процента действующего вещества а
удобрениях аналитическим путем. Такая работа тесно увязывается с агрохимией и
практикой сельского хозяйства, расширяет знания и умения школьников в нужном
направлении, повышает их интерес к сельскому хозяйству.
Следовательно,
устанавливая межпредметные связи агрохимии с неорганической химией в школе,
следует исключить примеры и понятия по отношению к удобрениям, как химически
чистым веществам, а также расчет действующего вещества по химическим формулам.
В
агрохимии, как известно, сложились определенные названия удобрений. Они
общеприняты в сельском хозяйстве. Однако в связи с изменением номенклатуры
неорганических соединений многие удобрения в школе стали называть по-иному.
Например, удобрение хлористый калин (КО) в школьном курсе неорганической химии
называют хлоридом калия; аммиачную селитру (NH4NOs) —
нитратом аммония; жидкое удобрение аммиачную воду или водный раствор аммиака (NH4OH) гидроксидом аммония. Нам думается, что при изучении
удобрений следует указывать традиционные, общепринятые в агрохимии названия и
новые, современные, принятые в школе.
Нормы
внесения минеральных, или заводских, удобрений под сельскохозяйственные
культуры выражаются в килограммах действующего вещества (д. в.) или в центнерах
тука на 1 га (ц/га). Нередко при постановке полевых опытов учителя нечетко
указывают нормы внесения удобрений. Например, говорят о внесении 4,0 ц/га
фосфорных удобрений, но не называют конкретно каких. Если указанная норма
вносится в виде простого суперфосфата, который содержит 19% фосфора, то будет
внесено 76 кг/га д. в., если двойного суперфосфата (42%)—то 168 и если
фосфоритной муки (23%)—то 92 кг/га д.в.
Как
уже отмечалось, чаще всего норма внесения удобрений выражается в кг/га д. в.
Вносят же удобрения в виде конкретных туков. Поэтому надо уметь норму внесения
удобрений, выраженную в кг/га д. в., переводить в ц/га тука. Например нужно
внести Nso, имеется мочевина с содержанием
азота 42%. Соответственно мочевины следует внести (60: 42) 1,4 ц/га s.
На пришкольном участке и
при проведении мелкоделяночных опытов с удобрениями приходится определять
количество удобрений, вносимых на небольшие площади, исходя из установленных
норм. Например, определили, что следует внести карбамида 1,4. ц/га. Требуется
найти, сколько нужно внести его (в г) На делянку в 20 м2. Расчет проводят так. Вначале 1,4 ц переводят в граммы, затем определяют, сколько
граммов удобрения приходится на 1 м2 в соответственно 20 м2
если
установили внести 1,4 ц/га карбамида, то это будет соответствовать 1,4 кг на ТОО м2 (1,4 ц/га =140 кг/га ==1,4 кг/100 М2). Это закономерно для
любой нормы. Абсолютная величина, выражающая норму внесения удобрения, остается
без изменения, а изменяется только масштаб измерений— вместо ц/га становится
кг/100 м2 (3,5 ц/га» =3,5 кг/100 и!, 5,0 ц/га=5,0 кг/100
м2 и т. д.).
Для проверки выполнения
заданий учащихся рекомендуем вести запись расчета по такой форме. Например, на
делянку полевого севооборота пришкольного участка намечено внести NeB, Размер делянки 50 м2. Имеются удобрения: карбамид
с содержанием азота 42%, суперфосфат простой (д. в. 19%), хлористый калий (д.
в. 56%). Требуется определить, .сколько граммов каждого удобрения надо внести
на делянку.
Как видно, расчет очень
прост. Учитель или ученик, рассуждая логически, проводят запись в тетради или
на классной доске по определению количества удобрений на любую заданную площадь
мелкоделяночного опыта. В этом мы убедились на своем длительном опыте работы со
школьниками.
Глава 3. К методике
проведения практической работы «Распознавание удобрений»
В
круг экспериментально изучаемых удобрений необходимо включить: аммофос,
аммиачную селитру, хлорид калия, фосфоритную муку, сульфат аммония, суперфосфат
(простой, двойной), карбамид, сульфат калия. Включение в число удобрений для
изучения в курсе химии карбамида — органического вещества — наряду с
минеральными удобрениями вызвало необходимость дать более корректное название
практической работе «Распознавание удобрений». Таким образом, для
экспериментального изучения предлагаются простые и сложные удобрения.
Анализ
многих комплексных удобрений входят смеси различных солей, содержащих, как
правило, три питательных вещества. Поэтому их распознавание проводить не
следует. Однако эти удобрения (особенно нитроаммофоску, жидкие комплексные
удобрения — ЖКУ) целесообразно использовать для решения экспериментальных задач
в конце изучения темы «Минеральные удобрения». Например:
1. Докажите на опытах,
что нитроаммофоска содержит ионы;
2.
Докажите, что в составе жидкого комплексного удобрения (ЖКУ)5
содержатся аммонийные группы.
Практическая
работа, по распознаванию удобрений требует большой предварительной экспериментальной
подготовки учащихся. При выполнении лабораторных опытов они знакомятся с
азотными и фосфорными удобрениями (их внешним видом) растворимостью в воде), с
качественными реакциями на соли аммония и нитраты. Сюда же необходимо включить
краткое изучение карбамида (мочевины), который нашел широкое применение в
сельском хозяйстве не только как ценное азотное удобрение, но и как добавка в
корма животных. Учитель отмечает, что карбамид — органическое соединение, атомы
в нем связаны ковалентной связью. Карбамид представляет собой белое кристаллическое
вещество, хорошо растворимое в воде. При нагревании карбамид легко разлагается
с выделением аммиака. Это свойство и можно использовать для распознавания
данного удобрения.
В пробирку помещают 1—2
гранулы или немного порошка карбамида (покрывают им только дно) и слегка
нагревают. К ее отверстию подносят влажную фенолфталеиновую бумажку. Предлагать
учащимся полное уравнение реакции с образованием биурета не следует:
Кроме лабораторных
опытов, предваряющих практическую работу, учащиеся, готовясь к занятию, должны
повторить тему «Азот и фосфор», калийные» фосфорные и азотные удобрения.
Желательно, чтобы они предварительно ознакомились с предлагаемой нами таблицей 1
«Распознавание удобрений», но не переносили ее в тетрадь. Главное, чтобы
учащиеся поняли, что таблица позволяет распознавать минеральные удобрения,
устанавливать ионы:
Рекомендуемая
таблица определения удобрений отличается от той, которая помещена в стабильном
учебнике для IX класса, не только отбором удобрений, но и методикой их
установления, а также заменой дефицитных реактивов более доступными. Так, мы не
используем нитрат серебра, который необходим для распознавания хлоридов и
фосфатов. Это объясняется не только тем, что данная соль дефицитна и часто
отсутствует в школе, но и тем, что суперфосфат может не давать желтый осадок,
так как удобрение содержит различные примеси (в зависимости от сырья).
Для
обнаружения фосфорных удобрений, можно использовать растворимую соль алюминия,
которая приводит, к образованию нерастворимого фосфата алюминия AIPO4 белого цвета. Другие растворимые удобрения с солью алюминия
осадков не дают.
Исключение
нитрата серебра приводит к тому, что хлорид калия остается нераспознанным.
Чтобы доказать, что данная соль является хлоридом, можно использовать ацетат
свинца, который при взаимодействии с хлоридом дает белый осадок РЬСЬ. Однако
при сравнительном анализе удобрений можно практически не прибегать к этой соли.
Хлорид калия определяют методом исключения.
В
таблицу не включена реакция удобрения с серной кислотой и медью по следующим
соображениям:
а)
для распознавания иона NCV
представлено в таблице только одно нитратное соединение— нитрат аммония;
б)
реакция небезвредна для учащихся, если не придерживаться определенных
рекомендаций. Практика показывает: если в таблице указана реакция, учащиеся,
как правило, проводят ее со всеми удобрениями. В связи с этим к указанной
реакции следует прибегать только в необходимых случаях. Аммиачную селитру легко
отличить от прочих удобрений, содержащих аммонийную группу, с помощью других
реакций.
В
таблицу введена новая графа: «Слабое нагревание твердого удобрения». Она дана
последней не случайно. К нагреванию удобрений учащиеся прибегают в последнюю
очередь, когда требуется распознать аммиачную селитру или карбамид. Другие,
соли аммония должны быть уже определены с помощью химических реакций.
Карбамид
и аммиачная селитра при нагревании ведут себя вначале аналогично: они плавятся.
Но при дальнейшем нагревании карбамид разлагается с выделением аммиака, а
нитрат аммония —с выделением оксида азота (I) NaO
газа без запаха и цвета.
Известно,
что большие трудности возникают при распознавании удобрений, содержащих ионы
калия, по окраске пламени. Дело в том, что удобрения обычно содержат примеси.
Например, в хлориде калия молено обнаружить хлорид натрия. Примеси скрадывают
фиолетовую окраску пламени калия. Поэтому в таблице для распознавания удобрений
этот показатель не указан.
Изучая
таблицу для распознавания минеральных удобрений, учащееся могут заметить, что
не растворяется в воде фосфоритная мука, мало растворяется суперфосфат, все остальные
удобрения хорошо растворяются. К растворению удобрений прибегают тогда, когда
речь идет об определения ионов С1~,
SO-, NH, НРО. Для этого 1—2 гранулы или немного порошка удобрения
(покрыть им только дно
пробирки) растворяют в 1 мл воды.
Распознавание
удобрений учащиеся проводят только с малыми количествами.
Практическая
работа может быть проведена по двум вариантам. Первый вариант: учащимся
предлагаются два удобрения в пакетах (под номерами), и нужно определить их
содержимое. Ученик начинает выполнять задание с процесса растворения удобрений.
Это позволит установить фосфоритную, муку и суперфосфат (для распознавания
удобрений по первому варианту нежелательно предлагать фосфоритную муку).
Допустим, что в двух пакетах растворимые удобрения. Далее исследуется
содержимое пакета № 1. Ученик переливает к нескольким каплям раствора удобрения
2— 3 капли раствора хлорида бария—выпадает белый осадок, Анион установлен.
Согласно таблице, это удобрение может быть сульфатом аммония, аммофосом или
сульфатом калия (суперфосфат устанавливается по растворимости). Проводя реакцию
с раствором щелочи, учащийся обнаруживает аммиак. Отсюда он делает вывод:
сульфат калия исключается, остается предположить, что в пакете находится
сульфат аммония или аммофос. Чтобы установить удобрение, действуем раствором
хлорида алюминия: исследуемое удобрение не дает реакции. Следовательно, это
сульфат аммония.
Теперь
исследуется, пакет № 2: раствор удобрения не дает осадков с хлоридом бария, хлоридом
алюминия, не реагирует со щелочью (при нагревании) и не разлагается при слабом
нагревании. Следовательно, исследуемое удобрение — хлорид калия.
Свои результаты опытов
ученик может отразить в табл. 2 (отсутствие записи или прочерка показывает, что
проводить соответствующий опыт нецелесообразно, так как удобрение уже
определено).
Рассмотрим
еще один пример, Удобрение из пакета № 1 не дает реакции с хлоридами бария и
алюминия, при нагревании с раствором щелочи выделяется аммиак (обнаруживается
фенолфталеиновой бумажкой), но аммиак не обнаруживается при нагревании твердого
удобрения. Это нитрат аммония. Удобрение же из пакета № 2 не дает ни одной »из
указанных реакций, но оно легко разлагается при нагревании с выделением
аммиака. Это карбамид. Следует иметь в виду, что ряд аммонийных солей, также
термически разлагается е выделением аммиака (дигидрофосфат аммония, сульфат
аммония в др.), но, в отличие от карбамида, они дают реакции на соответствующие
анноны.
С
удобрением по первому варианту приходится иногда проводить до четырех реакций,
поэтому в пакетах должно быть не менее 4-5 гранул удобрения. Если для
распознавания требуется проводить меньше реакций, то соответственно уменьшается
и число гранул удобрения.
По
второму варианту каждому ученику предлагаются две экспериментальные задачи, в
каждой из которых 3 известных удобрения. Приведем несколько примеров задач.
В
трех пакетах под номерами даны следующие удобрения:
а) аммофос, аммиачная селитра, хлорид
калия;
б)
сульфат аммония, суперфосфат, сульфат калия;
в)
карбамид, хлорид калия, фосфоритная мука.
Определите,
какое удобрение находится в пакете с соответствующим номером».
Прежде чем приступить к
решению задачи, ученик должен составить план ее решения. Например, для задачи
«а» (см. табл. 3):
Необходимо
обратить особое внимание учащихся на рациональное решение задач, исключающее
проведение лишних реакций. При выставлении оценки следует это учитывать.
Проведением практической
работы не завершается вопрос распознавания удобрений. На последующих уроках и
практических занятиях необходимо продолжить закрепление знаний учащихся об
удобрениях.
Глава 3. Методические разработки по теме: «Минеральные
удобрения»
Цели:
·
усвоение
учащимися состава азотных, фосфорных, калийных удобрений и их биологической
роли,
·
развитие умений
применять имеющиеся знания в новых ситуациях,
·
закрепление
знаний о единстве живого и неживого,
·
развитие интереса
к истории и новым фактам науки.
Оборудование и реактивы: набор удобрений, вода, растворы
нитрата серебра и ацетата натрия, два образца в пробирках, держалка, стенгазета
«Роль ученых в развитии агрохимии», задания к уроку.
ХОД УРОКА
I. Актуализация знаний
Учитель:
Но все же мы
не привыкли отступать.
Нам расколоть
его поможет
Желание «хочу
больше знать!»
– С таким
желанием начнем урок.
В наши дни
потребительские отношение к природе, расходование ее ресурсов без осуществления
мер по их восстановлению уходит в прошлое. Не каждый регион, не каждый район
может гордиться плодородием своей почвы, но любое наземное природное
сообщество, тем более человек, своим существованием обязаны почве. Почему?
Ответ учащихся: Почва является средой обитания единственных на Земле
автотрофных организмов – растений. Только растения из неорганических веществ
синтезируют органические вещества. Все остальные животные, люди – потребители
органических веществ. Вот почему мы обязаны почве.
Учитель: Поэтому мы должны знать, как поддерживать и приумножить
плодородие почвы.
Изучение
вопросов питания растений и повышения их урожайности путем применения
минеральных удобрений является предметом агрохимии. Тема нашего урока
«Минеральные удобрения».
II. Домашнее задание:
§23, вопросы 7-10, задание 3,4 (по стр.70 уч. химии), §47 (по биологии)
Чтобы успешно
выполнить домашнее задание, на уроке мы должны знать классификацию удобрений, их
состав и влияние удобрений на развитие растений.
Для решения
этих задач, мы будем опираться на знания, полученные на предыдущих уроках химии
и биологии.
III. Изучение новой темы
Учитель: Основоположниками агрохимии являются немецкий ученый Либих.
Юстус, в России Д.И.Менделеев, позже идеи Менделеева развивал Д.Н.Прянишников.
Называя фамилию Д.И.Менделеева, я не ошиблась. Да, это тот ученый, который 140
лет тому назад открыл периодический закон химических элементов.
Как же были
решены вопросы повышения плодородия почвы Д.И. Менделеевым?
Сообщение учащегося: Будучи великим естествоиспытателем, Д.И. Менделеев
придавал большое значение экспериментальным исследованиям. Чтобы знать, как
реагируют растения на те или иные питательные вещества при корневом питании,
какую дозу и как вносить минеральные удобрения, он впервые в России поставил
полевые опыты на полях своего имения в подмосковном селе Боблово. Ученый сам
составил программу опытов, осуществил их закладку, проводил наблюдения, делал
выводы, впоследствии привлек к этой работе студентов сельхозакадемии, в числе которых
был и будущий ученый К.А Тимирязев.
За 5-6 лет
запущенное и отсталое имение превратилось в образцовое, его урожай в 3 раза
превышали урожаи соседних мужиков. В результате Менделеев заложил основы
научного земледелия.
Учитель: Менделеев разработал оптимальные соотношения употребления
минеральных удобрений с содержанием каких питательных элементов?
Ответ учащихся: Азота, фосфора, калия.
Учитель:Какое влияние оказывает азот на растения?
Сообщение учащегося: При недостатке азота задерживается
образование зеленой части растений – листьев, стеблей. Растения плохо растут,
листья становятся бледно – зелеными и даже желтеют. Азот – обязательная часть
белков и нуклеиновых кислот. При среднем урожае пшеницы за один сезон выносится
до 75 кг азота с каждого гектара земли.
Учитель: Какие же азотные удобрения производят в Менделеевском
заводе? У вас на столе находятся образцы удобрений. Используя таблицу 19 на
стр. 67, напишите формулы данных азотных удобрений, дайте им названия (работа в
группах). Азотные удобрения характеризуются содержанием азота.
Выполнение задачи №1 (см. задания к уроку; 1, 2 группы решают 1а; 3, 4
группы – 1б; 5, 6 группы – 1в. В каждой группе ответственные проверяют
выполнение заданий и оценивают их).
Во время
встречи главный агроном района М.Х. Авзалов сообщил, что самым лучшим азотным
удобрением для почвы нашего региона является нитрат аммония. Решив задачу, мы в
этом убедились.
Выполнение задачи №2
Огромное
значение для человека играет фосфор. Суточная потребность организма человека в
фосфоре составляет до 1,5 г, он входит в состав нуклеиновых кислот, АТФ,
ферментов, костной, нервной ткани. Недостаток фосфора вызывает нарушение обмена
веществ в организме, поэтому академик А. Е. Ферсман фосфор назвал «элементом
жизни и мысли». Поставщиком фосфора в организм человека и животных являются
растения. Как же влияет фосфор на рост и развитие растений?
Сообщение учащегося: Энергия солнечного света в процессе
фотосинтеза накапливается в растениях в виде АТФ только при достаточном количестве
фосфорных соединений в клетке. Усиленное снабжение растения фосфором позволяет
получать более ранний урожай и высокого качества. При недостатке фосфора плодоношение
уменьшается и созревание плодов сильно замедляется.
Учитель: Наличие природных соединений – фосфоритов дает возможность
производить фосфорные удобрения в соседней Кировской области. В состав
фосфорита входит нерастворимый в воде фосфат кальция. Чтобы привести его в
усвояемое растениями состояние в производстве используются два метода:
Питательную
ценность фосфорных удобрений условно выражают через массовую долю оксида
фосфора (V). Например, содержание оксида фосфора (V) вычисляется в двойном
суперфосфате соотношением относительной молекулярной массы оксида фосфора (V)
на относительную молекулярную массу двойного суперфосфата:
Выполнение лабораторной работы (см. задание к уроку №3) и
обсуждение результатов исследования.
В корневом
питании растений важное значение имеют калийные удобрения.
Сообщение учащегося: Калий ускоряет процесс фотосинтеза и содействует
накоплению углеводов: сахара в сахарной свекле, крахмала в картофеле, а у
злаковых – пшеницы, ржи, риса – он способствует укреплению стебля и устраняет
их полегание. Калий откладывается в стебле. Поэтому современная зерноуборочная
техника и измельчает солому, и разбрасывает ее по всей площади поля, так и
частично пополняет убыль калия.
Недостаток
калия вызывает куполообразное закручивание листьев, на них появляются ржавые
крапинки.
Выполнение задачи №4 (в каждой группе ответственные проверяют выполнение
заданий и оценивают их.)
Учитель:Как получают калийные удобрения?
Сообщение учащегося: Источником получения калийных
удобрений служат естественные отложения калийных солей в районе Соликамска, на
большой площади между верховьями р. Кама и предгорьями Урала, на территории
Пермского края. Это минералы карналлит, содержащий хлориды калия и магния (КCl
* MgCl2 * 6Н2O) и сильвинит, содержащий хлориды калия и
натрия (КCl * NaCl).
Учитель: Калийные удобрения условно оцениваются содержанием оксида
калия К2О:
Получаемая
при сжигании растительных материалов зола является качественным, в то же время
дешевым и приемлемым калийным удобрением. В ее состав входит карбонат калия.
Вычислите питательную ценность этого удобрения.
IV. Заключение
Учитель: Почва тем замечательна, что может восстанавливаться.
Главное, ценить ее и рационально ею пользоваться. Только тогда у каждого на
столе будут вкусный пышный каравай и другие продукты питания, а полноценное
питание – залог здоровья.
Учитель
оценивает работу учащихся.
Задания к уроку по теме «Минеральные удобрения», 9 класс
1.
Сопоставьте массовые доли азота в следующих удобрениях:
а) нитрат
калия,
б) нитрат
натрия,
в) нитрат
аммония.
2. Вычислите
массу нитрата аммония, который вносят на поля совхоза им. Токарликова площадью 100 га, если масса внесенного азота на 1 га составляет 60 кг.
3. Лабораторная работа. В двух пробирках
даны образцы разных удобрений. Определите, в какой пробирке содержится
фосфорное удобрение. Как вы думаете, когда: осенью или весной вносить это
фосфорное удобрение в почву? Почему?
4. Какую
массу 4%-го раствора можно приготовить из 120 кг хлорида калия для подкормки капусты на полях ООО «Агросоюз»?
Литература
1. В.Кармазин «Наш хлеб», М., Из-во «Правда», 1986 г.
2. Н.Л.Глинка «Общая химия», М., «Интеграл –
Пресс», 2005 г.
3. И.Г.Хомченко Сборник задач и упражнений по химии
для средней школы, М., «Новая волна», 2002 г.
4. Г.Е.Рудзитис,
Ф.Г.Фельдман «Химия
9», М., «Просвещение», 2008 г.
5. С.Г.Мамонтов,
В.Б.Захаров, Н.И.Сонин «Биология 9», М., «Дрофа», 2000 г.
6. Орлова А. Агрохимическая лаборатория. (Б-ка
пионера «Знай и умей»), М.: Дет. литература, 1973, с. 83—84.
7. Федоров П. А. Агрохимические опыты по химии.
Пособие для учителей. Мл Просвещение, 1965, с. 30.
8. Шибанов А. А., Щербаков М. И.,
Устаменко Г. В. Основы
агротехники полевых культур. Учеб. пособие для учащихся 9— 10 классов сельской
школы, 2-е изд. M.: Просвещение, 1976, с. 45.