Средства передачи и получения управленческой информации на современных предприятиях

  • Вид работы:
    Курсовая работа (т)
  • Предмет:
    Менеджмент
  • Язык:
    Русский
    ,
    Формат файла:
    MS Word
    64,61 kb
  • Опубликовано:
    2011-02-04
Вы можете узнать стоимость помощи в написании студенческой работы.
Помощь в написании работы, которую точно примут!

Средства передачи и получения управленческой информации на современных предприятиях

Факультет Управления

Кафедра Менеджмента и маркетинга

Специальность Менеджмент организации

Курсовая работа

по дисциплине: Основы менеджмента

тема: Средства передачи и получения управленческой информации на современных предприятиях













Москва 2009 г.

Введение

Важную роль при осуществлении менеджерами управленческих функций и принятии решений играет информация. Ее получают и передают посредством процесса, который называется коммуникацией. Коммуникация (лат. communicatio) – делать общим, связываться, общаться. Коммуникация – это первое условие существования всякой организации. Без процесса коммуникации, без передачи информации от субъекта управления к объекту управления и наоборот, без правильного понимания передаваемой и получаемой информации управленческая работа невозможна. На обыденном уровне коммуникацию определяют как передачу информации от человека к человеку, как общение. В менеджменте коммуникация – это обмен информацией между людьми. На основе этого обмена руководитель получает информацию, необходимую для принятия решений, и доводит принятие решений до работников организации. Эффективно работающие руководители – это те, которые эффективны в коммуникациях. Они представляют суть коммуникационного процесса, обладают хорошо развитым умением устного и письменного общения и понимают, как среда влияет на обмен информацией. Если коммуникации налажены плохо, решения могут оказываться ошибочными, люди могут неверно понимать чего же от них хочет руководство, или от этого могут пострадать межличностные отношения. Эффективностью коммуникация часто определяется качество решений и то, как они в действительности будут реализованы. Коммуникаций не бывает без информации, то есть того, что передается в ходе коммуникационного процесса, чем люди обмениваются при коммуникации. Коммуникации – это сложный процесс, состоящий из взаимозависимых шагов. Каждый из этих шагов очень нужен для того, чтобы сделать наши мысли понятными друг другу. Средства передачи и получения управленческой информации на современных предприятиях самые разнообразные. Выбор средств зависит от характера информации, ее вида, возможностей, которыми располагают отправитель и получатель информации. Коммуникации в нашем быстро меняющемся мире являются основным компонентом успешной работы менеджера. Применение компьютерной техники существенно повысило оперативность работы любой организации. Сокращается время доступа к информации, время реакции руководства на изменение составляющих рынка. От факторов внешней среды зависят коммуникационные потребности организации. Организации пользуются разнообразными средствами для коммуникаций с составляющими своего внешнего окружения. Так, к текущим и потенциальным потребителям они обращаются с помощью рекламы и других программ стимулирования сбыта. В сфере связей с общественностью основное внимание уделяется формированию позитивного имиджа фирмы на местном, общенациональном или международном уровне. Чтобы выполнять требования государственных органов управления, компаниям приходится составлять подробные письменные отчеты, содержащие информацию о финансовом состоянии и маркетинговых мероприятиях, об условиях труда, возможностях карьерного роста, льготах и т.д. Кроме того, организации пытаются влиять на будущие законы и нормы, привлекая лоббистов и заручаясь поддержкой разных политических групп. Организация, в которой действует профсоюз, вынуждена общаться с законными представителями наемных работников. Если же профсоюза нет, она, как правило, постоянно доносит до персонала сведения о выгодах такой ситуации. Все это — лишь несколько способов коммуникации, которые организации используют, реагируя на события и факторы внешней среды. Дискуссии, собрания, телефонные разговоры, служебные записки, отчеты и прочие виды общения внутри организации зачастую являются реакцией на возможности или проблемы, возникающие во внешней среде.

1. Коммуникационный процесс

Обмен информацией охватывает разные части организации. Коммуникационный процесс – это обмен информацией между двумя или более людьми. Коммуникационный процесс предполагает наличие отправителя информации, получателя информации и процесса обмена информацией. Основная цель коммуникационного процесса – обеспечение понимания информации, являющейся предметом обмена, т.е. сообщений. Чтобы лучше понимать процесс обмена информацией и условия его эффективности, следует иметь представление о стадиях процесса, в котором участвуют двое или большее число людей.

Структура коммуникации:

1. Отправитель. Это создатель сообщения, лицо, которое сообщает информацию и передает ее. Отправителем может быть: организация, индивид, группа индивидов.

2. Сообщение. Это информация, которую отправитель передает получателю. Большинство сообщений передается в вербальной (словесной) форме, но сообщение может быть и невербальным (жесты, мимика, графические изображения). Смыслом и значением сообщения являются принадлежащие отправителю идей, факты, ценности, отношения и чувства. Идея, которую хочет отправитель передавать, кодируется, т.е. преобразуется в слова, жесты, интонацию. Кодирование превращает идею в сообщение. Сообщение посылают с использованием передатчика в передающий канал, доводя его до получателя. В качестве передатчика возможно использование как самого человека, так и технических средств.

3. Канал. Это средство, с помощью которого сообщение передается от источника к получателю. Общеизвестные каналы – передача речи и письменных материалов, электронная почта, видеоленты и т.д. Важно правильно выбрать канал. Чтобы обмен информацией был эффективным, канал должен соответствовать идее, зародившейся на первом этапе, быть совместимым с типом символов, используемых для кодирования.

4. Получатель. Лицо, которому предназначена информация. Ради получателя и происходит коммуникация. Получатель декодирует сообщение. Декодирование – это перевод символов отправителя в мысли получателя. Если символы, выбранные отправителем, имеют точно такое же значение для получателя, то он будет знать, что именно имел в виду отправитель. Если получатель продемонстрировал понимание идеи, произведя действия, которых ждал от него отправитель, обмен информацией эффективен. Эти действия есть обратная связь.

5. Обратная связь. Эта реакция получателя на сообщение отправителя. Это и учет источником реакции получателя на сообщение. Обратная связь делает коммуникацию динамическим двусторонним процессом. Чем активнее используется в коммуникационном процессе обратная связь, тем он эффективнее. Положительная обратная связь информирует источник, что желаемый результат сообщения достигнут. Отрицательная обратная связь информирует источник, что желаемый результат сообщения достигнут не был. Коммуникационный процесс можно разложить также на составляющие его взаимосвязанные этапы.

Они таковы:

1. Зарождение идеи.

2. Кодирование и выбор канала.

3. Передача.

Декодирование. Хотя весь процесс коммуникаций часто завершается за несколько секунд, что затрудняет выделение его этапов, мы проанализируем эти этапы, чтобы понять, какие проблемы могут возникнуть на разных этапах. Обмен информацией начинается с формулировки идеи или отбора информации. Отправитель решает, какую значимую идею или сообщение следует сделать предметом обмена. Очень важно правильно и тщательно сформулировать свою идею, сделать ее конкретнее, с тем, чтобы она стала интересной и притягательной для получателя. К сожалению, многие попытки обмена информацией обрываются на первом этапе, поскольку отправитель не затрачивает достаточного времени на обдумывание идеи.

2. Кодирование и выбор канала. Прежде чем передать идею, отправитель должен с помощью символов закодировать ее, использовав для этого слова, интонации и жесты (язык тела). Такое кодирование превращает идею в сообщение. Отправитель должен также выбрать канал, совместимый с типом символов, использованных для кодирования. К некоторым общеизвестным каналам относятся передача речи и письменных материалов, а также электронные средства связи, включая компьютерные сети, электронную почту, видеоленты и видеоконференции. Если канал непригоден для физического воплощения символов, передача невозможна. Картина иногда достойна тысячи слов, но не при передаче сообщения по телефону. Подобным образом может быть неосуществимым одновременный разговор со всеми работниками сразу. Можно разослать памятные записки, предваряющие собрания небольших групп, для обеспечения понимания сообщения и приобщения к проблеме. Если канал не слишком соответствует идее, зародившейся на первом этапе, обмен информацией будет менее эффективен. Выбор средства сообщения не должен ограничиваться единственным каналом. Часто желательно использовать два или большее число средств коммуникаций в сочетании. Процесс усложняется, поскольку отправителю приходится устанавливать последовательность использования этих средств и определять временные интервалы в последовательности передачи информации. Тем не менее, исследования показывают, что одновременное использование средств обмена устной и письменной информацией обычно эффективнее, чем, скажем, только обмен письменной информацией. Ориентация на оба канала заставляет тщательнее готовиться и письменно регистрировать параметры ситуации. Однако никоим образом каждый информационный обмен не должен быть письменным. В этом случае потоки бумаг становятся неуправляемыми. 3. Передача. На третьем этапе отправитель использует канал для доставки сообщения (закодированной идеи или совокупности идей) получателю. Речь идет о физической передаче сообщения, которую многие люди по ошибке и принимают за сам процесс коммуникаций. В то же время передача является лишь одним из важнейших этапов, через которые необходимо пройти, чтобы донести идею до другого лица. Передача информации осуществляется с использованием знаковых систем. Существует несколько знаковых систем, используемых в коммуникационном процессе. При классификации коммуникационных процессов традиционно выделяют две формы коммуникации: вербальную и невербальную. При вербальной коммуникации в качестве символов используется речь. Невербальная коммуникация предполагает передачу информации при помощи движений человеческого тела. В свою очередь вербальная коммуникация подразделяется на устную и письменную. Промежуточным типом коммуникации, привнесенным Интернетом, стали голосовая почта, “видео по заказу” или “видеопослания” – видеозаписи руководителей, рассылаемые по внутренней сети предприятия подчиненным или коллегам. Выбор метода коммуникации зависит от характера передаваемой информации, находящейся в распоряжении руководителя ресурсов, особенностей получателя информации. Устная коммуникация является наиболее эффективной с точки зрения привлечения и сохранения внимания получателя информации, а также получения обратной связи. По-прежнему она является главным методом работы руководителя. В то же время устная коммуникация не позволяет отправителю послания в полной мере контролировать его содержание, сопряжена со значительным уровнем помех в системе. Письменная коммуникация обеспечивает более высокую степень чистоты передачи информации и позволяет сохранить ее в неизменном виде в течение неопределенного времени, что является очень важным для реализации функции управленческого контроля, а также дает возможность получателю информации уточнять ее неограниченное число раз.

4. Декодирование. После передачи сообщения отправителем получатель декодирует его. Если символы, выбранные отправителем, имеют точно такое же значение для получателя, последний будет знать, что именно имел в виду отправитель, когда формулировалась его идея. Если реакции на идею не требуется, процесс обмена информации на этом должен завершиться. С точки зрения руководителя, обмен информацией следует считать эффективным, если получатель продемонстрировал понимание идеи, произведя действия, которых ждал от него отправитель.

Точность понимания получателем смысла высказывания станет очевидной для отправителя только тогда, когда произойдет смена коммуникативных ролей и получатель превратиться в отправителя и своими высказываниями даст знать о том, как он понял смысл принятой информации. В этом проявляется суть еще одного элемента коммуникационного процесса – обратной связи. Обратная связь может способствовать значительному повышению эффективности обмена управленческой информацией. Двусторонний обмен информацией (при наличии возможностей для обратной связи) по сравнению с односторонним (обратная связь отсутствует), хотя и протекает медленнее, тем не менее эффективнее снимает напряжения, более точен и повышает уверенность в правильности интерпретации сообщений. Обратная связь заметно повышает шансы на эффективный обмен информацией, позволяя обеим сторонам подавлять шум. Шум – это любое вмешательство в процесс коммуникации, искажающее смысл сообщения. Источники шума, которые могут создавать преграды на пути обмена информацией, варьируют от языка (в вербальном или невербальном оформлении) до различий в восприятии, из-за которых может изменяться смысл в процессах кодирования и декодирования, и до различий в организационном статусе между руководителем и подчиненным, которые могут затруднять точную передачу информации. Необходимо учитывать, что шум присутствует всегда, поэтому на всех этапах процесса коммуникации происходит некоторое искажение значения передаваемого послания. Высокий уровень шума определенно приведет к заметной утрате смысла и может полностью блокировать попытку установления информационного обмена. С позиций руководителя это должно обусловить снижение степени достижения целей в соответствии с передаваемой информацией.

2. Структура коммуникаций

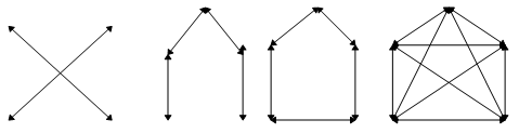
Коммуникационная сеть – соединение определенным образом участвующих в коммуникационном процессе индивидов с помощью информационных потоков. Коммуникационная сеть может влиять на сокращение или увеличение разрыва между посланным и полученным сообщением. Создаваемая руководителем сеть состоит из вертикальных, горизонтальных и диагональных связей. Вертикальные связи осуществляются сверху вниз от руководителя к подчиненному. Горизонтальные связи осуществляются между равными по уровням работниками или частями организации: между заместителями; между начальниками отделов; между подчиненными. Диагональные связи - это связи с другими начальниками и подчиненными. Взаимосвязь этих сетей создает реальную структуру организации. Возможности развития коммуникационной сети ограничивают, как правило, размеры подразделений в организации. Увеличение размера группы приводит к возрастанию количества возможных коммуникационных отношений. Поэтому от того, как построена коммуникационная сеть, зависит ее влияние как на сокращение, так и на увеличение разрыва между посланным и полученным значением, и соответственно деятельность персонала может отличаться большей или меньшей эффективностью. Особенно важно знание типов коммуникационных сетей или структур коммуникаций в группе. Среди существующих коммуникационных сетей для групп разной численности можно выделить четыре основных типов: колесо, цепь, круг, сложный круг (или всеканальная) (рис. 2).

Рис. 2. Типы коммуникационных сетей в группе

Формальная, централизованная иерархия власти, при которой подчиненные общаются друг с другом только через своего начальника, представлена в сетях типа «колесо». Одно лицо занимает центральное место в коллективе и большинство членов этой группы при определении своей позиции сориентированы на центр. Это связано с лидерскими функциями лица находящего в центре «колеса», его возможностями оказывать больше социального влияния на других членов группы. Оно также связано с ответственностью за передачу информации и принятие окончательных решений. Если члены группы соединены между собой, как звенья одной цепи, в которой каждый поддерживает контакт с кем-то одним, то мы имеем сеть типа «цепочка». Последняя отражает последовательно сеть горизонтальных связей. В сетях типа «круг» члены группы могут коммуницировать только с тем, кто расположен рядом с ними. Примером полностью децентрализованных групп являются «всеканальные» сети, которые используются, как правило, тогда, когда необходимо участие всех членов в решении сложных проблем. Такой подход называют еще открытыми коммуникациями.

3. Виды коммуникаций

коммуникация межличностный передача информация

Организационные коммуникации – это совокупность коммуникаций, строящихся на основе общения, опосредованного информацией о самой организации, ее целях и задачах. Организационные коммуникации делятся на внешние и внутренние. Внешние коммуникации - это коммуникации между организацией и средой. Факторы внешней среды очень сильно влияют на деятельность организации. От этих факторов зависят коммуникационные потребности организации. Если бы нужно было проанализировать, о чем говорят, пишут и читают в действительности люди в организации, основное внимание пришлось бы сосредоточить на каких-то вопросах, которые связаны с потребностями информационного взаимодействия с внешним окружением, которое влияет или будет влиять на организацию. Организации пользуются разнообразными средствами для коммуникаций с составляющими своего внешнего окружения. С имеющимися и потенциальными потребителями они сообщаются с помощью рекламы и других программ продвижения товаров на рынок. В сфере отношений с общественностью первостепенное внимание уделяется созданию определенного образа, имиджа организации на местном, общенациональном или международном уровне. Организациям приходится подчиняться государственному регулированию и заполнять в этой связи пространные письменные отчеты. В своих ежегодных отчетах любая компания сообщает информацию по финансам и маркетингу, а также приводит сведения о своем размещении, возможностях карьеры, льготах и т. п. Используя лоббистов и делая взносы в пользу разных политических групп, комитетов, организация пытается влиять на содержание будущих законов и постановлений. Организация, где есть профсоюз, должна поддерживать связь с законными представителями лиц, работающих по найму. Если профсоюз в данной организации отсутствует, она может общаться со своими работниками ради того, чтобы профсоюз не появился. Это лишь немногие примеры из всего разнообразия способов реагирования организации на события и факторы внешнего окружения. Еще раз подчеркнем, что обсуждения, собрания, телефонные переговоры, служебные записки, видеоленты, отчеты и т. п., циркулирующие внутри организации, зачастую являются реакцией на возможности или проблемы, создаваемые внешним окружением. Внутренние коммуникации - это коммуникации внутри организации между различными уровнями и подразделениями. Формальные коммуникации - это коммуникации, которые определяются организационной структурой предприятия, взаимосвязью уровней управления и функциональных отделов. Чем больше уровней управления, тем выше вероятность искажения информации, так как каждый уровень управления может корректировать и отфильтровывать сообщения. Для выполнения своих производственных функций сотрудники организации должны взаимодействовать, т.е. вступать в общение друг с другом. От того, насколько эффективно это общение, во многом зависит производственное поведение каждого из сотрудников и успех организации в целом. Руководитель одного из филиалов многонациональной компании в течение трех дней звонил в отдел поставок головного офиса, однако не заставал начальника отдела. Не застав его в четвертый раз, директор филиала попросил секретаря передать просьбу перезвонить начальнику отдела. Тот перезвонил только через день и выяснил, из-за недопоставки оборудования объект не может быть сдан заказчику и компания будет выплачивать штрафные санкции в размере 10 тысяч долларов в день. Если бы руководитель филиала выбрал более эффективный способ коммуникации (факс, электронную почту, детальное телефонное сообщение секретарю), убытков можно было бы избежать. Каждая организация имеет формальную систему коммуникации, которая предписывается формальной организационной структурой. Неформальные коммуникации. Канал неформальных коммуникаций можно назвать каналом распространения слухов. Поскольку по каналам слухов информация передается много быстрее, чем по каналам формального сообщения, руководители пользуются первыми для запланированной утечки и распространения определенной информации или сведений типа "только между нами". Особенностью неформальной коммуникации является то, что она пренебрегает организационной структурой и пронизывает все иерархические уровни. Эта особенность делает всех членов организации участниками информационного обмена и придает ему особую значимость для управления человеческими ресурсами. По исследованиям американских ученых, около 90 процентов неформального информационного обмена касается организационных вопросов. Поэтому понимание руководством механизма неформальной коммуникации и умение использовать его, является важным условием эффективного управления организацией. Информация перемещается внутри организации с уровня на уровень в рамках вертикальных коммуникаций. Она может передаваться сверху вниз предполагает передачу информации от руководителя подчиненному, например, инструкции генерального директора своему заместителю, начальнику отдела. Этот вид коммуникации является наиболее распространенным в современных организациях: руководители среднего звена направляют более 70 процентов своих сообщений своим подчиненным, высшие руководители проводят около 50 процентов всего своего рабочего времени в общении с подчиненными. Коммуникация сверху вниз играет важнейшую роль в управлении организацией, поскольку непосредственно влияет на мотивацию и способность сотрудников выполнять свои производственные функции и, следовательно, обеспечивать достижение организационных целей. Ее главная цель - предоставление информации о том, что (как, когда, где) должны делать сотрудники организации. Поэтому основными формами коммуникации сверху вниз являются приказы, инструкции, предписания, правила и процедуры. Также важнейшей функцией коммуникации сверху вниз является оценка работы сотрудников за прошедший период. В последние годы руководители многих организаций стали рассматривать предоставление информации о результатах работы всего предприятия, конкурентах, клиентах, других элементах внешней среды в качестве важного средства повышения эффективности управления персоналом и, соответственно, специфической цели коммуникации сверху вниз. При коммуникации сверху вниз информация, как правило, проходит через значительное число организационных уровней, поэтому довольно большим является риск ее искажения, особенно при устной передаче. Генеральный директор географически разбросанной компании обратил внимание директора по продажам на необходимость большей координации работы представителей по продажам московской штаб-квартирой. Когда эта информация дошла до представителя по продажам в Новосибирске, он воспринял ее как решение ликвидировать отделения по продажам в провинции и подал заявление об уходе по собственному желанию. Поскольку негативные последствия искажения информации при коммуникации сверху вниз могут быть очень ощутимы для организации, выбор метода передачи информации играет особо важную роль. Наиболее "безопасными" и эффективными являются такие способы, как письменные послания, адресованные всем затрагиваемым сотрудникам, видеоконференции, встречи в малых группах. Помимо обмена по нисходящей, организация нуждается в коммуникациях по восходящей. Коммуникация снизу вверх традиционно играла чисто информационную роль – для принятия решений руководителям всех уровней необходимо знать о положении дел на местах. Большинство современных организаций имеют формализованную систему статистических и аналитических отчетов, справок и т.д. Однако различие в статусе между тем, кто предоставляет и получает информацию, зависимость первого от последнего создают объективную угрозу искажения информации. Подчиненные часто преувеличивают свои достижения и скрывают недостатки, опасаются предоставлять данные, которые, по их мнению, могут негативно сказаться на их карьере или вознаграждении. В результате предоставления искаженной информации страдает качество принимаемых руководителями решений и снижается эффективность управления организацией. Традиционными методами контроля качества предоставляемой снизу информации являются сбор данных из независимых источников и выборочные проверки. Нередко, чтобы проверить качество работы с клиентами, проводятся телефонные опросы или руководитель периодически звонит внешним контактам подчиненного. В этой связи можно говорить и об информации «извне» компании, которая дополняет и постоянно перемешивается с внутренними коммуникационными потоками. Оба этих метода основаны на понимании сотрудником, что заведомое искажение информации будет выявлено и он может понести наказание. Однако более важным является создание атмосферы доверия между руководством и сотрудниками организации, которая может возникнуть при условии эффективной коммуникации сверху вниз, обеспечивающей обратную связь и вовлечение рядовых сотрудников в управление организацией. Нежелательной является ситуация, когда руководитель создает впечатление, что доверяет внешней информации более чем той, которая поступает от его подчиненных, перепроверяет ее, а то и заставляет их действовать на основании внешних сигналов. Это порождает определенную организационную «паранойю», когда в компании нарушается нормальное взаимодействие. Использование потенциала сотрудников за рамками их непосредственных производственных обязанностей стало в последние годы еще одной важной целью коммуникации снизу вверх. Руководство заинтересовано в предложениях по улучшению внутриорганизационного климата, информационного потока. Для достижения этой цели используются такие коммуникационные средства, как: "ящики для предложений", которые устанавливаются в удобных для сотрудников местах» система "диалог", когда сотрудники могут анонимно сделать предложение или задать вопрос, на который руководство дает публичный ответ, специальный адрес электронной почты, который работает как "ящик для предложений", встречи-совещания в рабочих группах или бригадах. Исследования показывают, что когда рядовые сотрудники имеют возможность высказать собственные предложения мнения и особенно когда эти предложения вызывают реакцию руководства, значительно повышается их мотивация и производительность. Горизонтальная коммуникация осуществляется между сотрудниками, находящимися на одном иерархическом уровне: заместителями генерального директора, руководителями отделов человеческих ресурсов и продаж, инженерами конструкторского бюро. Основной целью горизонтальной коммуникации является обмен информацией для координации действий подразделений и сотрудников, т.е. для оптимизации производственного поведения и реализации целей организации. Значение этого вида коммуникации возрастает по мере того, как сокращаются количество иерархических уровней в организации и время, отпущенное на принятие управленческих решений, - обе эти тенденции четко прослеживаются в современном мире. Поскольку при горизонтальной коммуникации ее участники находятся на одном иерархическом уровне, информационный обмен может быть более дружелюбным и эффективным, чем в случае вертикальной коммуникации. Такой обмен является хорошим средством развития компетенций сотрудников, усиления их мотивации за счет межфункционального взаимообогащения, возможности посмотреть на проблему с другой точки зрения, расширения социальных контактов в организации. В то же время находящиеся на одном уровне работники могут конкурировать за организационные ресурсы, внимание и расположение руководства или Рядовых сотрудников, что может осложнять коммуникационный процесс и отрицательно сказываться на результатах организации.

Качество организационной коммуникации оказывает непосредственное влияние на производственное поведение сотрудников, а также на функционирование других процессов управления персоналом: подбора и приема на работу, развития, оценки, компенсации. Значение коммуникации в управлении возрастает по мере увеличения уровня информатизации современных организаций и ускорения перемен во внешней среде их деятельности, поэтому повышение ее эффективности является важным источником конкурентного преимущества в современном мире. Эффективность внутриорганизационной коммуникации или то, насколько затрачиваемые на этот процесс организационные ресурсы (финансовые, человеческие, материальные) способствуют реализации организационных целей, зависит от множества факторов, которые могут быть подразделены на две большие группы: индивидуальные и организационные. Под индивидуальными факторами понимается все то, что связано с сотрудниками организации, их способностью и мотивацией участвовать в информационном обмене. Исследования показывают, что существует ограниченное количество проблем (коммуникационных барьеров), снижающих эффективность коммуникации на уровне отдельного сотрудника. Существует несколько хорошо апробированных стратегий, которые позволяют достаточно успешно преодолевать коммуникационные барьеры и повышать эффективность коммуникации на уровне сотрудников организации. Во-первых, организации должны обратить специальное внимание на развитие коммуникационных навыков своих сотрудников. К числу наиболее важных навыков относятся: активное слушание и предоставление обратной связи. Смысл активного слушания как приема коммуникации состоит в способности слушателя помочь говорящему сказать именно то, что он намеревался сказать. Обратная связь, делающая процесс коммуникации двусторонним, значительно повышает его эффективность, поскольку дает возможность уточнения полученного послания. Эффективная обратная связь должна: быть своевременной, т.е. не задерживаться от момента получения оригинального послания; содержать перефразированное оригинальное послание; включать уточняющие вопросы; не давать оценок оригинальному посланию. Во-вторых, очень важно обеспечить развитие у сотрудников чисто технических навыков коммуникации: владение электронной почтой, умение пользоваться факсом, писать меморандумы. В-третьих, руководство должно создавать управленческие системы и формировать культуру, поощряющую открытую коммуникацию в организации. Помимо описанных выше "ящиков для предложений" и систем типа "диалог", современные организации используют такие методы поощрения информационного обмена, как корпоративные "горячие линии", дающие каждому сотруднику возможность высказывать свои мысли или задавать вопросы в любое время, совместные завтраки или обеды с участием сотрудников различных отделов и уровней, совместные поездки на экскурсии, пикники и т.д. В организациях, использующих труд сотрудников различных национальностей, необходимо проведение специального обучения, дающего возможность осознать значение культурных различий и их влияние на процесс коммуникации. Наиболее существенными коммуникационными барьерами на организационном уровне являются организационная структура, информационная перегруженность, фильтрация и неадекватное техническое оснащение. Чем больше иерархических уровней в организации, тем сложней передача информации и выше вероятность ее искажения. Также негативно сказывается на эффективности внутриорганизационной коммуникации неравенство в статусе сотрудников, находящихся на различных организационных уровнях, добавляющее к чисто техническому фактору психологические барьеры для обмена информацией. Эти барьеры особенно ощутимы при наличии видимых символов статуса: отдельных столов для руководства, закрытых кабинетов, персональных машин и т.д. В определенной степени негативное влияние этих факторов может быть уменьшено за счет широкого использования видеоматериалов с выступлением руководителей, регулярных встреч с работниками всех уровней, проведения дней открытых дверей кабинетов высших руководителей, когда к ним могут прийти любые сотрудники компании; совместных обедов и ужинов. Более кардинальным методом является деиерархизация организационной структуры, т.е. сокращение числа иерархических уровней между руководителем и рядовыми исполнителями. Информационная перегруженность может возникнуть в том случае, если организация представляет своим сотрудникам больше информации, чем требуется для выполнения производственных функций. Тогда сотрудники начнут использовать предназначенные для производственной деятельности ресурсы на обработку дополнительной информации. Традиционными средствами минимизации эффекта перегруженности является фильтрование информации и определение приоритетов в ее обработке. Тем не менее способность современных компьютерных систем давать различные «срезы» информации, представлять ее в графическом виде, распределять ее в зависимости от иерархии сотрудников и их прав доступа несет в себе существенный потенциал упрощения работы управленца. Даже простое внедрение эффективной системы управления списками рассылки электронной почты в корпорации способно на 30 -40% уменьшить лавину писем, обрушивающихся на персонал компании. Фильтрация может стать и серьезным барьером внутриорганизационной коммуникации в том случае, когда информация просеивается и корректируется в интересах отдельных сотрудников, а не целей организации. Существует множество примеров намеренного и ненамеренного искажения информации, отсутствия единой терминологии при коммуникации снизу вверх, которые привели к ошибочным управленческим решениям и человеческим жертвам. Полностью избежать субъективной фильтрации не удается ни одной организации, однако ее масштабы могут быть уменьшены за счет: создания атмосферы доверия в организации, прежде всего открытости руководства, выполнения обещаний, обеспечения справедливости в применении организационных процедур; информирования сотрудников о целях организации и результатах их достижения; выявления и наказания сотрудников, намеренно искажающих информацию, вне зависимости от занимаемых ими должностей. Крупные организации часто публикуют ежемесячные издания с информацией для персонала. В них выходят статьи с обзорами предложений по вопросам менеджмента, обсуждаются проблемы охраны здоровья, новые контракты, новые виды товаров и услуг, а также ответы руководства на вопросы рядовых работников. Технологии видеозаписи обеспечили организации еще одним средством распространения информации. IBM использует видеозаписи, как правило, в комбинации с печатными материалами. Например, финансовый директор рассказывает о достижениях своего подразделения за прошедший год, а к видеозаписи прилагается годовой отчет, опубликованный в информационном бюллетене.

Печатные материалы позволяют представить большой объем фактических данных, а видеозапись помогает персоналу составить собственное мнение о стиле и характере руководства. Улучшить качество организационных коммуникаций помогают последние достижения в сфере информационных технологий. Компьютер уже оказал огромное влияние на способ распространения и сбора информации. Сегодня благодаря электронной почте можно направить письмо любому человеку в организации, что неизменно приведет к снижению традиционно огромного объема телефонных переговоров.

Кроме того, она позволяет общаться людям, находящимся в разных офисах, городах и даже в разных странах. Огромные возможности открывают и достижения в сфере телефонной связи, а видеоконференции позволяют людям в разных местах, в том числе и в разных странах, обсуждать проблемы в непосредственном контакте друг с другом, буквально глядя в глаза собеседнику.

4. Межличностные коммуникации

Межличностные коммуникации – устное общение людей. Природа межличностных отношений существенно отличается от природы общественных отношений, так как их важнейшая специфическая черта – эмоциональная основа. По этому межличностные отношения можно рассматривать как фактор психологического климата группы. Эмоциональная основа межличностных отношений означает, что они возникают и складываются на основе определенных чувств, рождающихся у людей по отношению друг к другу. Менеджеры 50—90% своего времени затрачивают на устные коммуникации, поэтому уделим основное внимание прямым межличностным коммуникациям. Эффективная межличностная коммуникация очень важна для успеха в управлении, так как, с одной стороны, решение многих управленческих задач строится на непосредственном взаимодействии людей – начальник с подчиненным, подчиненные друг с другом – в рамках различных событий, а с другой стороны, межличностная коммуникация является лучшим способом обсуждения и решения вопросов, характеризующихся неопределенностью и двусмысленностью.

Обсуждение барьеров на пути эффективных межличностных коммуникаций сосредоточено на следующих моментах: 1) восприятие, 2) семантика, 3) невербальные коммуникации, 4) неэффективная обратная связь и 5) неэффективное слушание. 1. Преграды, обусловленные восприятием. Люди реагируют не на то, что действительно происходит в их среде, а на то, как они это воспринимают. Разобравшись в факторах, влияющих на восприятие, и учитывая их в процессе коммуникации, возможно преодолеть многие барьеры, обусловленные восприятием и препятствующие эффективным коммуникациям. Один из таких барьеров возникает из-за конфликта между сферами деятельности отправителя и получателя. Люди могут интерпретировать одну и ту же информации по-разному в зависимости от накопленного ими опыта. Например, в компании розничной торговли менеджеры и торговый персонал, как правило, по-разному смотрят на проблему освобождения торговых площадей от товаров. Расхождения, обусловленные сферой деятельности, часто приводят к тому, что люди воспринимают информацию избирательно, с учетом своих интересов, потребностей, эмоционального состояния и условий среды. Эта характеристика человеческого существа очень важна для коммуникаций. Она означает, что во многих случаях люди воспринимают лишь часть физически полученного ими сообщения. Проблем организационных коммуникаций в значительной мере обусловлены различием интерпретации людьми получаемых ими сообщений, в результате чего идеи, закодированные отправителем, искажаются и понимаются получателем не в полной мере. Информация, противоречащая нашему опыту или ранее установившимся понятиями, зачастую либо полностью отторгается, либо искажается с учетом этих знаний. Исследования в этой области подтвердили тенденцию к восприятию людьми проблем организации с учетом базовых суждений, сформировавшихся в их конкретных сферах деятельности. Еще одна причина проблем восприятия в процессе коммуникаций заключается в наличии барьеров, обусловленных отношением (установками). Если имеется неудачный опыт взаимодействия с теми или иными работниками или отделами, то по всей вероятности, это повлияет на эффективность дальнейших коммуникаций с ними. Предположим, например, что один из сотрудников является к руководителю с предложением об улучшении сервиса потребителей. Представим также, что во время их последнего общения руководитель критиковал его за склонность превышать лимиты представительских расходов. Вполне вероятно, что из-за негативно отношения к нему, которое могло сформироваться у руководителя в ходе предыдущего общения, его идея не будет услышана полностью. Возможно также, что свои представительские расходы он превысил, пригласив перспективного клиента в дорогой ресторан, поскольку считал, что так ему удастся значительно увеличить объем сбыта отдела. Но если руководитель убежден, что "превышение лимита представительских расходов неизменно свидетельствует о недостаточном контроле над бюджетными средствами", то, по всей вероятности, он навряд ли поймете его точку зрения. Два контакта могут положить начало плохим взаимоотношениям между руководителем и подчиненным. Этот пример четко показывает, какое влияние может оказывать коммуникационный климат на взаимоотношения между менеджерами и подчиненными. Эти взаимоотношения формируются на основе прошлых контактов. Позитивные и негативное чувства друг к другу определяют, насколько частыми будут будущие контакты и стиль общения. Менеджер, не формирующий позитивного климата в отношениях с окружающими, ограничивает поток будущих коммуникаций, и со временем в его подразделении может сложиться атмосфера недоверия, антагонизма и самозащиты. Исследования показали, что в позитивной атмосфере этот поток увеличивается и точность информации, которой обмениваются люди в организации, повышается. Если менеджер открыто и честно общается со своими подчиненными, они отвечают ему тем же. Чем более открыто и честно ведет себя один или оба участника процесса коммуникации, тем большее удовлетворение они испытывают. 2. Семантические барьеры. Целью коммуникаций является достижение понимания сообщения. Общаясь с другими, мы пытаемся обменяться информацией и добиться ее понимания путем использования символов: слов, жестов и интонации. В процессе коммуникации мы обмениваемся именно символами: вербальными и невербальными. Здесь мы обсуждаем проблемы, связанные с использованием вербальных символов — слов. Семантика — это наука, изучающая способы использования слов и передаваемые ими значения. Поскольку слова (символы) могут для разных людей иметь разные значения, то, что хотел сообщить отправитель, не всегда будет так же интерпретировано и понято получателем. Семантические вариации часто приводят к недопониманию, поскольку во многих случаях довольно сложно понять, какое именно значение было присвоено символу отправителем. Например, менеджер, сообщающий подчиненному, что его отчет "адекватен", может иметь в виду, что он полон и достигает намеченной цели, но подчиненный может декодировать это слово в том смысле, что его отчет не более чем зауряден, и его необходимо доработать. Символы не имеют исходного фиксированного значения. Их значение человек понимает, исходя из своего опыта, и оно варьируется в зависимости от контекста, т.е. ситуации, в которой использован символ. И поскольку у каждого из нас имеется свой опыт, а каждый коммуникационный контакт в той или иной мере отличается от других, никогда нельзя быть уверенным, что получатель присвоит символу то же значение, что и вы. Семантические барьеры часто становятся проблемой для компаний, работающих в многонациональной среде. Семантические барьеры, обусловленные культурными различиями, могут стать серьезной проблемой и во время деловых переговоров. 3. Невербальные преграды. Хотя для кодирования идей, предназначенных для передачи, используются, прежде всего, вербальные символы (слова), сообщения передаются и невербальными символами. К невербальным коммуникациям относятся любые символы, кроме слов. Зачастую невербальная передача осуществляется одновременно с вербальной и может усиливать либо изменять смысл слов. Еще одна форма невербальных коммуникаций — то, как произносятся слова (интонация, модуляция голоса, плавность речи и т.п.). Как известно, все это способно сильно изменить смысл сказанного. Вопрос "Есть идеи?" на бумаге означает ни что иное, как предложение высказать свои мысли. Но произнесенный резким раздраженным тоном, этот же вопрос может быть истолкован собеседником совершенно иначе: "Если вы понимаете свою выгоду, не предлагайте идей, противоречащих моим". Как в случае с семантическими барьерами, при невербальных коммуникациях серьезной преградой часто становятся культурные различия. Например, взяв у японца визитку, надо внимательно прочесть все данные на ней и показать, что вы это сделали. Положив ее сразу в карман, вы укажете ему, что не считаете его важной персоной. Еще один пример: американцы часто с большим недоумением реагируют на невозмутимость собеседника, но у русских и немцев просто не принято часто улыбаться. 4. Неэффективная обратная связь. Еще одним барьером на пути межличностных коммуникаций является отсутствие обратной связи. Обратная связь чрезвычайно важна, поскольку позволяет определить, действительно ли ваше сообщение понято получателем в том смысле, который вы в него вложили. Как мы видели, существует множество причин, по которым сообщение может быть понято не так, как вы хотели. 5. Неэффективное слушание. Эффективные коммуникации требуют, чтобы человек был одинаково точен как при отправке, так и при приеме сообщения. Для этого надо уметь слушать. К сожалению, очень немногие люди умеют делать это максимально эффективно. Многие считают, что правильно слушать означает не перебивать собеседника. Но это лишь один из элементов процесса эффективного слушания. Согласно одному исследованию эффективность менеджеров в процессе слушания в среднем составляет всего 25%. Другое исследование показало, что эффективное слушание — важнейшая характеристика эффективного менеджмента. Когда сообщается о задании, новых приоритетах, изменении рабочих процедур или о новых идеях повышения эффективности работы отдела, очень важно услышать конкретную информацию. Однако прислушиваться следует не только к фактам, но и к эмоциям.

Кроме закрепления навыков эффективного слушания, существует еще ряд методов, позволяющих повысить эффективность межличностных коммуникаций. Прояснение собственных идей перед их передачей означает, необходимость систематически обдумывать и анализировать вопросы, проблемы и идеи, которые будут объектами передачи. Следить за своими выражением лица, жестами, позой и интонацией, избегая противоречащих друг другу сигналов. Постараться взглянуть на себя и услышать себя со стороны, как вас видит и слышит собеседник. Посылая созвучные, не противоречащие друг другу сигналы, вы добьетесь лучшего понимания своих идей. Сопереживаниеэто умение поставить себя на место другого человека. Активно сопереживая людям при обмене информацией, мы пытаемся "настроиться на волну" получателя и адаптировать способ кодировки и передачи сообщения к конкретному человеку и к ситуации. Все это способно снизить вероятность неверного понимания при декодировании сообщения. Например, при общении с одними людьми нужны подробности и повторы, и им, судя по всему, лучше отправить письмо или служебную записку. Другие лучше реагируют на информацию, представленную в менее структурированном виде и без лишних деталей. В этом случае подойдет неформальная беседа. Есть люди, чрезвычайно остро реагирующие на критику. Они обычно отсеивают или неправильно истолковывают любые предложения, если они не представлены в дипломатичной и корректной форме. Сопереживание в ходе общения означает также неизменную открытость. Попытаться избегать необдуманных суждений, оценок и стереотипов. Искренне постараться увидеть, прочувствовать и понять ситуацию и проблему с точки зрения другого человека. Это отнюдь не означает, что следует соглашаться со всем, что говорит собеседник; это означает, что надо постараться понять его. Налаживание обратной связи. Обратная связь устанавливается разными способами. Первый заключается в том, чтобы задавать вопросы. Например, обсудив с работником изменение рабочей процедуры, можно задать следующий вопрос: "Итак, с чего, по-вашему, нам следует начать?". Его надо задать спокойным тоном, внимательно выслушать и сравнить его ответ с тем, что было сказано вами. Если важных моментов много, их лучше записать. И в любом случае, по всей вероятности, будет правильно впоследствии направить подчиненному служебную записку с изложением основных пунктов вашей беседы. Еще один подход — попросить человека пересказать услышанное. Можно, например, сказать так: "Чтобы я был уверен, что ничего не забыл, перескажите мне, что вы считаете самым важным в этом проекте". Второй способ получения обратной связи — внимательное наблюдение за жестами и интонациями, указывающими на то, что человек вас не понимает. Например, вы объясняете новое задание работнику и видите на его лице напряженность. Возможно вы замечаете легкое раздражение или собеседник старается не смотреть в глаза? Эти сигналы скажут, что человек, возможно, не до конца понял задание или расстроен им. Все это сигналы обратной связи, свидетельствующие о возможном недовольстве или непонимании собеседника. Заметив их, можно воспользоваться первым способом — задать вопросы.

Структура коммуникаций на примере компании "ORGA". Компания "ORGA" - одного из крупнейших в мире производителей пластиковых смарт-карт. Главный офис компании, а также все подразделения имеют свои страницы в Интернете. На основном сайте компании можно найти информацию о корпорации "ORGA", о ее истории, продукции, подразделениях, технологии, пресс-релизы за последние три года, последнюю информацию о тренингах, выставках и мероприятиях компании, а также адреса всех филиалов и подразделений. Помимо Интернета и электронной почты, заводы и несколько подразделений в Германии имеют возможность обмена информацией через корпоративную компьютерную сеть SAP. Она является стандартной, наиболее часто используемой во всем мире управленческой компьютерной программой. SAP позволяет улучшить внутрифирменные информационные потоки и существенно сократить ежедневную бумажную работу. Все, пользующиеся ею подразделения, имеют доступ к общей для всех сотрудников основной информации. Для отдельных подразделений (например, отдел планирования производства, продаж, персонала) SAP предлагает специальные приложения. Во все подразделения и филиалы компании ежемесячно высылается корпоративный журнал. Журнал - канал передачи информации как от руководства к подчиненным, так и от сотрудников к руководству. На его страницах печатается информация об изменениях в стратегии, структуре корпорации, о новых назначениях, причем не только на высшие руководящие должности, а на все, включая секретарш и переводчиков во всех филиалах. Есть специальный раздел разработчиков, в котором рассказывается о новейших технических достижениях компании. Также в журнале можно найти информацию обо всех выставках, тренингах, спортивных мероприятиях и благотворительных акциях. Периодически с помощью журнала менеджерами корпорации проводятся различного рода конкурсы. Цель одних конкурсов - проверить и "освежить" понимание сотрудниками основных направлений стратегии и философии предприятия; цель других - задействовав творческий потенциал сотрудников со всего мира, разработать наиболее оригинальные и характеризующие дух компании атрибуты корпоративного имиджа. Не смотря на казалось бы успешное функционирование современной системы внутрифирменных коммуникаций с многочисленными каналами поступления информации как по вертикали, так и по горизонтали, повышение эффективности обмена информацией является одной из ключевых проблем, которую постоянно поднимают как руководители корпорации, так и сотрудники. Постоянно возникают проблемы с телефонной связью. В связи с тем, что "ORGA" - транснациональная корпорация, и ее филиалы разбросаны по всему миру, бывает сложно дозвониться в центральный офис из-за разницы во времени. Помимо этого очень часто в самые "телефонные часы" (с двух до пяти часов дня) персонал центрального офиса часто отсутствует на рабочих местах в связи с различного рода митингами и профсоюзными собраниями. Использование же автоответчиков еще не вошло в привычку сотрудников центрального офиса. Таким образом, до компании не может дозвониться не только персонал филиалов, но и клиенты организации, что негативно сказывается на корпоративном имидже. Еще одной проблемой является отсутствие общекорпоративных баз данных по различным подразделениям. ООО «Аллимпекс» занимается рыбодобычей, переработкой рыбопродукции и поставкой ее на внутренний и зарубежный рынок. Организация пользуется разнообразными средствами для коммуникаций с составляющими своего внешнего окружения. Источниками информации извне являются средства массовой информации, нормативные и законодательные документы, сообщения торговых агентов, информация о состояниях рынка через Интернет, информация из магазинов, где реализуется продукция предприятия. Предприятие использует СМИ для передачи информации, которая создает благоприятный имидж предприятия. Фирма также использует средства массовой информации для привлечения покупателей к собственным товарам через эффективную рекламу на радио и телевидении собственной продукции. Организация должна иметь информацию о своих непосредственных конкурентах. Она получает ее из средств массовой информации, используя прайс - листы, информацию с выставки пищевой продукции в г. Москве, информацию о конференции производителей рыбной продукции в г. Владивостоке, а конфиденциальную по неформальным каналам. ООО «Аллимпекс» имеет постоянную информацию из банков. Это необходимо для достижения наиболее благоприятных условий кредитных соглашений для того, чтобы строго соблюдать договорные обязательства, вовремя погашать займы, выплачивать проценты по займам и кредитам. При проведении ежегодного общего собрания акционеров, за месяц до дня собрания каждый акционер получает информацию о финансовом состоянии предприятия в виде пакета финансовых документов с полным финансовым отчетом за год. Коммуникации между высшим и средним звеном управления используют все традиционные каналы: совещания, планерки, беседы, докладные записки. А в последнее время все больший объем информативной базы строятся на основе вычислительной техники по принципу локальной сети. Система доступа к информации предполагает разную полноту права на использование банка данных. Используя компьютерную технику Ген. Директор ежедневно имеет информацию при проведении планерки: - от главного инженера - состояние всей техники, ремонтные работы; - от планово - экономического отдела - информацию по экономическим вопросам планирования; - от главного бухгалтера - наличие денежных средств на счету, перечисления средств организациям, получение денег от проданной продукции; - от коммерческого директора - выпуск продукции по цехам, реализация продукции, наличие сырья и пр. Коммуникации по принципу, снизу вверх, выполняют функцию оповещения верха о том, что делается на низших уровнях. В отделах служащие свои предложения высказывают начальнику отдела, который докладывает о дельных предложениях вышестоящему начальнику. В конце коммуникационной цепи находится генеральный директор, который в случае подачи интересного предложения выносит обсуждение на ежедневную планерку по производственным вопросам. Таким путем руководство узнает о текущих или назревающих проблемах и предлагает возможные варианты исправления положения дел. Обмен информации по восходящей обычно происходит в форме отчетов, предложений и объяснительных записок. Организация состоит из множества подразделений, поэтому обмен информацией между ними нужен для координации задач и действий. В обмене информацией по горизонтали часто участвуют комитеты или специально созданные группы. Коммуникации между отделами одного подразделения строятся по принципу локальной сети типа «звезда». Начальник отдела имеет доступ к информации каждого своего подчиненного. Помимо сообщений по компьютеру ген. директор и все отделы осуществляют документооборот через секретаря директора, который фиксирует документооборот в журналах исходящей и входящей информации. От директора исходят распоряжения, приказы, доводимые до всех начальников служб и отделов и работников предприятия. От начальников отделов директору идут заявления, докладные записки, объяснительные, документы на подпись. Коммуникации между различными службами сделаны по принципу «кольцо», т. е. начальник ПТО имеет информацию от Главного бухгалтера, но не имеет доступа к материальному и прочим отделам бухгалтерии. Это упорядочивает схему управления организацией, т. е. каждому определен свой уровень информативности. Схема доступа к информации в каждом отделе построена по принципу «сверху вниз». В организации существует потребность фильтровать сообщения, с тем, чтобы с одного уровня на другой направлялись только те сообщения, которые его касаются. На ООО «Аллимпекс» высшее и среднее звено управление оснащены автоматизированной системой передачи информации. При данном виде коммуникаций искажение информации практически не происходит. Обмен информацией между средним и низшим звеном осуществляется с помощью устных (телефонных) сообщений, в форме письменных отчетов, докладных записок.

Заключение

В широком смысле слова, коммуникации - это процесс информирования. А какой же менеджер может нормально работать без поступления информации? Ведь менеджер каждый день в своей работе сталкивается с кипой газет, писем, документов; встречается с огромным количеством людей, улаживая спорные вопросы, отдавая распоряжения, контролируя выполнение работы и т.д. Вся сущность работы менеджера состоит в том, чтобы осуществлять эффективные коммуникации на всех уровнях взаимодействий. Разговор с начальником - коммуникация по восходящей, разговор с подчиненными - по нисходящей, разговор с начальником параллельного отдела - коммуникация по горизонтали.

Система внутренней коммуникации в любой организации, независимо от рода ее деятельности, должна отвечать принципам открытости, простоты и понятности, регулярности, достаточности, комплексности, достоверности и своевременности. Частыми ошибками при построении системы внутренних коммуникаций в организации являются отсутствие единого информационного пространства в компании, перспективах ее развития, позиционирования на рынке, или, например, несвоевременность распространения внутри организации внешней информации, которая выходит за стены компании. Коммуникации должны быть ясными, точными, давать необходимую информацию, относящуюся к профессиональной деятельности и создавать атмосферу доверия, улучшать социально-психологический климат в коллективе. Критерии оценки эффективности системы внутренних коммуникаций состоят в количестве коммуникационных каналов и «качестве» выполнения совместных работ, требующих усилий разных подразделений компании одновременно. Количество промежуточных звеньев при передаче информации и количество распространяемых слухов – несомненно также показательны. Своевременность распространения информации и адекватность применения информационных каналов в зависимости от размеров бизнеса и сферы деятельности в качестве важных критериев оценки эффективности системы внутренней коммуникации. Также это наличие баланса между вертикальными и горизонтальными коммуникациями внутри компании, между документированной (формальной) информацией и вербальными средствами коммуникации. Состояние социально-психологического климата в коллективе также отражает состояние системы внутренних коммуникаций в компании. Функция коммуникации также важна для менеджера, как и функции планирования, организации, мотивации контроля. И я считаю, что менеджер должен постоянно совершенствоваться в процессах коммуникации для успешного осуществления своей профессиональной деятельности.

Список использованной литературы

1. Бодди Д., Пэйтон Р. Основы менеджмента. – СПб.: Питер, 2000г.

2. Дафт Р. Л. Менеджмент. 6-е издание. – СПб.: Питер, 2004.

3. Менеджмент: Учебник/ О.С. Виханский, А.И. Наумов. – 4-е изд.,перераб. доп. – М.: Экономистъ, 2008г.

4. Менеджмент: Учебник/ Автор-составитель Г.Б. Казначевская – Ростов н/ Д: “Феникс”, 2008г.

5. Мескон Майкл Х., Альберт Майкл., Хедоури Франклин. Основы менеджмента, 3-е издание: Пер. с англ. – М.: ООО “И.Д.Вильямс”, 2008г.

6. Шекшня С.В., Ермошкин Н.Н. Стратегическое управление персоналом в эпоху Интернета. Изд. 6-е, перераб. и доп. (Серия “Библиотека журнала “Управление персоналом”) – М.: ЗАО “Бизнес-школа “Интел-Синтез”, 2002г.

7. http://eup.ru

http://upravlenie.fatal.ru

 

Похожие работы на - Средства передачи и получения управленческой информации на современных предприятиях

 

Не нашли материал для своей работы?
Поможем написать уникальную работу
Без плагиата!
Без нейросетей!