Совершенствование структуры управления "Находкинского морского торгового порта"

  • Вид работы:
    Дипломная (ВКР)
  • Предмет:
    Менеджмент
  • Язык:
    Русский
    ,
    Формат файла:
    MS Word
    827,45 kb
  • Опубликовано:
    2010-12-28
Вы можете узнать стоимость помощи в написании студенческой работы.
Помощь в написании работы, которую точно примут!

Совершенствование структуры управления "Находкинского морского торгового порта"

Введение

Переход к рыночной экономике требует от предприятий повышения эффективности производства, конкурентоспособности продукции и услуг на основе внедрения достижений научно-технического прогресса, эффективных форм хозяйствования и управления производством, преодоления бесхозяйственности, активизации предпринимательства.

Важная роль в реализации этой задачи отводится экономическому анализу деятельности субъектов хозяйствования. С его помощью вырабатываются стратегия и тактика развития предприятия, обосновываются планы и управленческие решения, осуществляется контроль за их выполнением, выявляются резервы повышения эффективности производства, оцениваются результаты деятельности предприятия, его подразделений и работников.

Особенно важна в современных условиях роль экономического анализа в сфере предприятий торговой деятельности и всех, так или иначе, связанных с этой сферой хозяйствующих субъектов – в частности, предприятий морского транспорта, осуществляющих перевозки торговых грузов.

В условиях акционирования предприятий морского транспорта и роста их самостоятельности во всех направлениях деятельности возникла необходимость выбора новых подходов к решению проблем согласованного развития смежных видов транспорта, координации их деятельности, в том числе в рамках транспортных узлов, существующих на базе морских торговых портов Приморского края.

Тема дипломного проекта посвящена исследованию и анализу структуры организационной структуры управления и выработке предложений по совершенствованию организационной структуры управления открытого акционерного общества «Находкинский морской торговый порт».

Целью данной работы является исследование, анализ и совершенствование структуры управления предприятия в условиях рыночных отношений.

Предметом исследования служат причинно-следственные связи явлений и процессов, происходящих в структуре управления торгового порта.

Объект исследования выбрано предприятие ОАО «НМТП» и его экономические результаты хозяйственной деятельности за период с 2007 по 2009 гг., характеризующие действующую структуру управления предприятия.

Для достижения поставленной цели необходимо:

1)   определить сущность понятия «структура управления»;

2)   представить детальный анализ существующих структур управления с учетом современных требований эффективного управления;

3)   проанализировать организационно - управленческую структуру исследуемого предприятия с помощью современных показателей.

4)   спроектировать новую структуру управления на ОАО «НМТП» в части перестройки организационной структуры и предлагаемых в этом направлении комплексных мероприятий;

5)   произвести оценку экономической эффективности мероприятий предлагаемых по изменению структуры управления ОАО «НМТП»

Результатом предпринятого исследования должно стать определение основных перспектив развития Находкинского торгового порта в направлении совершенствования действующей структуры управления.

Необходимость совершенствования структуры управления может определяться многими факторами. Это и оптимизация численности аппарата управления, его функций; внедрение автоматизированных систем управления и разработки систем принятия решения.

Совершенствование организационной структуры, прежде всего, ориентировано на поиск оптимального соотношения между централизацией и децентрализацией властных функций, что обусловлено необходимостью: оперативно реагировать на изменения во внешней среде; установить рациональные связи между звеньями и структурами управления на всех уровнях, минимизировать число ступеней структуры управления; повысить оперативность принимаемых решений.

С этих позиций структуру управления можно рассматривать как форму разделения и кооперации управленческой деятельности, в рамках которой происходит процесс управления.

Структура организации – это метод построения взаимосвязи между уровнями управления и функциональными областями, обеспечивающий оптимальное при данных условиях достижение целей организации, т.е. "организационная структура управления" (ОСУ) – одно из ключевых понятий менеджмента, тесно связанное с целями, функциями, процессом управления, работой менеджеров и распределением между ними полномочий. В рамках этой структуры протекает весь управленческий процесс (движение потоков информации и принятие управленческих решений), в котором участвуют менеджеры всех уровней, категорий и профессиональной специализации. Структуру можно сравнить с каркасом здания управленческой системы, построенным для того, чтобы все протекающие в ней процессы осуществлялись своевременно и качественно.

Структура управления включает в себя все цели, распределенные между различными звеньями, связи между которыми обеспечивают координацию отдельных действий по их выполнению. Связь структуры с ключевыми понятиями управления – его целями, функциями, процессом, механизмом функционирования, людьми и их полномочиями свидетельствует о ее огромном влиянии на все стороны работы организации.

Поэтому в выпускной работе уделяется большое внимание принципам и методам формирования, выбору типа структуры управления, изучению тенденции в их построении и оценке их соответствия решаемым задачам.

Дипломная работа состоит из введения, теоретической, аналитической, проектной части и заключения.

Во введении говорится о необходимости совершенствования организационной системы управления, чем подчеркивается актуальность выбранной темы.

В теоретической части дипломной работы даются основные понятия и принципы построения организационных структур, краткая характеристика уже существующих типов организационных структур, основные функции управления персоналом, а также исследуется проблема совершенствования организационной структуры управления.

В аналитической части было проведено исследования финансового состояния предприятия. Рассмотрена организационная структура и проведен анализ управления персоналом.

В проектной части была проведена оценка возможных путей совершенствования организационной структуры предприятия и ее реструктуризация.

В заключении были подведены итоги выполнения дипломной работы и сделаны выводы по существующему состоянию предприятия.

Ключевые понятия: организационная структура, анализ, персонал, стратегия, менеджмент, производительность, трудоемкость, корреляция, ассортимент, экономичность, надежность, модель.

В дипломном проекте использована отчетно-финансовая документация ОАО «НМТП» за 2007 – 2009 гг., а также учебные пособия по экономике предприятия, экономическому анализу и менеджменту, специальная литература на страницах периодической печати.

Наиболее фундаментальными исследованиями по данной тематике являются такие издания, как «Эволюция систем управления предприятием Проблемы теории и практики управления», автор Алексеев Н; «Практический менеджмент» автор Казанцев, А.И.

1 Сущность организационной структуры управления предприятием

1.1  Понятие и принципы построения организационных структур

Структура управления организацией», или «организационная структура управления» – одно из ключевых понятий менеджмента, тесно связанное с целями, функциями, процессом управления, работой менеджеров и распределением между ними полномочий. В рамках этой структуры протекает весь управленческий процесс (движение потоков информации и принятие управленческих решений), в котором участвуют менеджеры всех уровней, категории и профессиональной специализации. Структуру можно сравнить с каркасом здания управленческой системы, построенным для того, чтобы все протекающие в ней процессы осуществлялись своевременно и качественно. Отсюда то внимание, которое руководители организаций уделяют принципам и методам построения структур управления, выбору их типов и видов, изучению тенденций изменения и оценкам соответствия задачам организаций.

Под организационной структурой управления понимается упорядоченная совокупность устойчиво взаимосвязанных элементов, обеспечивающих функционирование и развитие организации как единого целого. Организационной структурой управления определяется также как форма разделения и кооперации управленческой деятельности, в рамках которой осуществляется процесс управления по соответствующим функциям, направленным на решение поставленных задач и достижение намеченных целей. С этих позиций структура управления представляется в виде системы оптимального распределения функциональных обязанностей, прав и ответственности, порядка и форм взаимодействия между входящими в ее состав органами управления и работающими в них людьми.

Ключевыми понятиями структур управления являются элементы, связи (отношения), уровни и полномочия. Элементами организационной структурой управления могут быть как отдельные работники (руководители, специалисты, служащие), так и службы либо органы аппарата управления, в которых занято то или иное количество специалистов, выполняющих определенные функциональные обязанности. Есть два направления специализации элементов организационной структурой управления:

а) в зависимости от состава структурных подразделений организации вычленяются звенья структуры управления, осуществляющие маркетинг, менеджмент производства, научно-технического прогресса и т.п.;

б) исходя из характера общих функций, выполняемых в процессе управления, формируются органы, занимающиеся планированием, организующие производство, труд и управление, контролирующие все процессы в организации.

Отношения между элементами структуры управления поддерживаются благодаря связям, которые принято подразделять на горизонтальные и вертикальные. Первые носят характер согласования и являются одноуровневыми. Вторые - это отношения подчинения. Необходимость в них возникает при иерархичности построения системы управления, то есть при наличии различных уровней управления, на каждом из которых преследуются свои цели.

При двухуровневой структуре создаются верхние звенья управления (руководство организацией в целом) и низовые звенья (менеджеры, непосредственно руководящие работой исполнителей). При трех и более уровнях в организационной структуре управления формируется так называемый средний слой, который в свою очередь может состоять из нескольких уровней.

В структуре управления организацией различаются линейные и функциональные связи. Первые - суть отношения по поводу принятия и реализации управленческих решений и движения информации между так называемыми линейными руководителями, то есть лицами, полностью отвечающими за деятельность организации или ее структурных подразделений. Функциональные связи сопрягаются с теми или иными функциями менеджмента. Соответственно используется такое понятие, как полномочия: линейного персонала, штабного персонала и функциональные. Полномочия линейных руководителей дают право решать все вопросы развития вверенных им организаций и подразделений, а также отдавать распоряжения, обязательные для выполнения другими членами организации (подразделений). Полномочия штабного персонала ограничиваются правом планировать, рекомендовать, советовать или помогать, но не приказывать другим членам организации выполнять их распоряжения. Если тому или иному работнику управленческого аппарата предоставляется право принимать решения и совершать действия, обычно выполняемые линейными менеджерами, он получает так называемые функциональные полномочия.

Между всеми названными выше составляющими организационной структуры управления существуют сложные отношения взаимозависимости: изменения в каждой из них (скажем, числа элементов и уровней, количества и характера связей и полномочий работников) вызывают необходимость пересмотра всех остальных. Так, если руководством организации принято решение о введении в организационную структуру управления нового органа, например, отдела маркетинга (функции которого ранее никто не выполнял), нужно одновременно дать ответ на следующие вопросы: какие задачи будет решать новый отдел?; Кому он будет непосредственно подчинен?; какие органы и подразделения организации будут доводить до него необходимую информацию?; на каких иерархических уровнях будет представлена новая служба?; какими полномочиями наделяются работники нового отдела?; какие формы связей должны быть установлены между новым отделом и другими отделами?

Увеличение количества элементов и уровней в организационной структуре управления неизбежно приводит к многократному росту числа и сложности связей, возникающих в процессе принятия управленческих решений; следствием этого нередко является замедление процесса управления, что в современных условиях тождественно ухудшению качества функционирования менеджмента организации.

К структуре управления предъявляется множество требований, отражающих ее ключевое для менеджмента значение. Они учитываются в принципах формирования организационной структуры управления, разработке которых было посвящено немало работ отечественных авторов в дореформенный период. Главные из этих принципов могут быть сформулированы следующим образом:

1. Организационная структура управления должна, прежде всего отражать цели и задачи организации, а следовательно, быть подчиненной производству и его потребностям.

2. Следует предусматривать оптимальное разделение труда между органами управления и отдельными работниками, обеспечивающее творческий характер работы и нормальную нагрузку, а также надлежащую специализацию.

3. Формирование структуры управления надлежит связывать с определением полномочий и ответственности каждого работника и органа управления, с установлением системы вертикальных и горизонтальных связей между ними.

4. Между функциями и обязанностями, с одной стороны, и полномочиями и ответственностью с другой, необходимо поддерживать соответствие, нарушение которого приводит к дисфункции системы управления в целом.

5. Организационная структура управления призвана быть адекватной социально-культурной среде организации, оказывающей существенное влияние на решения относительно уровня централизации и детализации, распределения полномочий и ответственности, степени самостоятельности и масштабов контроля руководителей и менеджеров. Практически это означает, что попытки слепо копировать структуры управления, успешно функционирующие в других социально-культурных условиях, не гарантируют желаемого результата.

Реализация этих принципов означает необходимость учета при формировании (или перестройке) структуры управления множества различных факторов воздействия на организационную структуру управления.

Главный фактор, "задающий" возможные контуры и параметры структуры управления, - сама организация. Известно, что организации различаются по многим критериям. Большое разнообразие организаций в Российской Федерации предопределяет множественность подходов к построению управленческих структур. Подходы эти различны в организациях коммерческих и некоммерческих, крупных, средних и малых, находящихся на разных стадиях жизненного цикла, имеющих разный уровень разделения и специализации труда, его кооперирования и автоматизации, иерархических и "плоских", и так далее. Очевидно, что структура управления крупными предприятиями более сложна по сравнению с той, какая нужна небольшой фирме, где все функции менеджмента подчас сосредоточиваются в руках одного - двух членов организации (обычно руководителя и бухгалтера), где соответственно нет необходимости проектировать формальные структурные параметры. По мере роста организации, а значит, и объема управленческих работ, развивается разделение труда и формируются специализированные звенья (например, по управлению персоналом, производством, финансами, инновациями и т.п.), слаженная работа коих требует координации и контроля. Построение формальной структуры управления, в которой четко определены роли, связи, полномочия и уровни, становится императивом.

Важно обратить внимание на сопряжение структуры управления с фазами жизненного цикла организации, о чем, к сожалению, нередко забывают проектанты и специалисты, решающие задачу совершенствования управленческих структур. На стадии зарождения организации управление нередко осуществляется самим предпринимателем. На стадии роста происходит функциональное разделение труда менеджеров. На стадии зрелости в структуре управления чаще всего реализуется тенденция к децентрализации. На стадии спада обычно разрабатываются меры по совершенствованию управленческой структуры в соответствии с потребностями и тенденциями в изменении производства. Наконец, на стадии прекращения существования организации структура управления или полностью разрушается (если фирма ликвидируется), или происходит ее реорганизация (коль скоро данную фирму приобретает или присоединяет к себе другая компания, приспосабливающая структуру управления к той фазе жизненного цикла, в которой она находится).

На формирование структуры управления оказывают влияние изменения организационных форм, в которых функционируют предприятия. Так, при вхождении фирмы в состав какого-либо объединения, скажем, ассоциации, концерна и т.п., происходит перераспределение управленческих функций (часть функций, естественно, централизуется), поэтому меняется и структура управления фирмы. Впрочем, даже если предприятие остается самостоятельным и независимым, но становится частью сетевой организации, объединяющей на временной основе ряд взаимосвязанных предприятий (чаще всего для использования благоприятной ситуации), ему приходится вносить в свою управленческую структуру ряд изменений. Это связано с необходимостью усиления функций координации и адаптации к системам менеджмента других компаний, входящих в сеть.

Важный фактор формирования управленческих структур - уровень развития на предприятии информационной технологии. Общая тенденция к децентрализации "электронного интеллекта", то есть к росту числа персональных компьютеров при одновременном расширении использования на уровне предприятия локальных сетей, ведет к ликвидации или сокращению объема работ по ряду функций на среднем и низовом уровнях.

В этом контексте стоит отметить, что современное развитие информационных систем приводит к формированию нового типа предприятий, которые в западной литературе получили название "виртуальных" компаний (организаций). Под ними понимают совокупности независимых (чаще всего небольших по размерам) предприятий, являющихся как бы узлами на информационной сети, обеспечивающей их тесное взаимодействие. Единство и целенаправленность в работе этих фирм достигаются благодаря гибкой электронной связи на базе информационной технологии, которая пронизывает буквально все сферы их деятельности. Поэтому границы между входящими в них организациями становятся "прозрачными", и каждая из них может рассматриваться представителем компании в целом.

Организациям следует анализировать и совершенствовать свою организационную структуру. Поэтому изучим типы организационных структур предприятия, их преимущества и недостатки.

1.2 Организация управления и типы организационных структур предприятия


В современной теории менеджмента выделяются два типа управления организациями: бюрократический и органический. Они построены на принципиально различных основаниях и имеют специфические черты, позволяющие выявлять сферы их рационального использования и перспективы дальнейшего развития. Исторически первым сформировался бюрократический тип. Соответствующую концепцию подхода к построению организационных структур разработал в начале XX столетия немецкий социолог Макс Вебер. Он предложил нормативную модель рациональной бюрократии, кардинальным образом менявшую ранее действовавшие системы коммуникации, отчетности, оплаты труда, структуры работы, отношений на производстве. В основе этой модели – представление о предприятиях как об «организованных организациях», предъявляющих жесткие требования, как к людям, так и структурам, в рамках которых они действуют. Ключевые концептуальные положения нормативной модели рациональной бюрократии таковы:

1) четкое разделение труда, использование на каждой должности квалифицированных специалистов;

2) иерархичность управления, при которой нижестоящий уровень подчиняется и контролируется вышестоящим;

3) наличие формальных правил и норм, обеспечивающих однородность выполнения менеджерами своих задач и обязанностей;

4) дух формальной обезличенности, характерной для выполнения официальными лицами своих обязанностей;

5) осуществление найма на работу в соответствии с квалификационными требованиями к данной должности, а не с субъективными оценками.

Главные понятия бюрократического типа структуры управления – рациональность, ответственность и иерархичность. Сам Вебер считал центральным пунктом концепции исключение смещения «человека» и «должности», ибо состав и содержание управленческих работ должны определяться исходя из потребностей организации, а не людей в ней работающих. Четко сформулированные предписания по каждой работе (что необходимо делать и какими приемами) не оставляет места для проявления субъективизма и индивидуального подхода. В этом принципиальное отличие бюрократической структуры от исторически предшествовавшей ей общинной, где главная роль отводилась партнерству и мастерству.

Бюрократические структуры управления показали свою эффективность, особенно в крупных и сверхкрупных организациях, в которых необходимо обеспечивать слаженную четкую работу больших коллективов людей, работающих на единую цель. Эти структуры позволяют мобилизовать человеческую энергию и кооперировать труд людей при решении сложных проектов, в массовом и крупносерийном производстве. Однако им присущи недостатки, особенно заметные в контексте современных условий и задач экономического развития. Очевидно, прежде всего, что бюрократический тип структуры не способствует росту потенциала людей, каждый из которых использует только ту часть своих способностей, которая непосредственно требуется по характеру выполняемой работы. Ясно также: коль скоро вопросы стратегии и тактики развития организации решаются, лишь на высшем уровне, а все остальные уровни заняты исключительно исполнением «спускаемых сверху» решений, теряется общий управленческий интеллект (который рассматривается сегодня как важнейший фактор эффективного управления).

Еще один изъян структур бюрократического типа – невозможность с их помощью управлять процессом изменений, направленных на совершенствование работы. Функциональная специализация элементов структуры приводит к тому, что их развитие характеризуется неравномерностью и различной скоростью. В результате возникают противоречия между отдельными частями структуры, несогласованностью в их действиях и интересах, что замедляет прогресс в организации.

Второй упомянутый – органический – тип структур управления имеет сравнительно недолгую историю и возник как антипод бюрократической организации, модель которой перестала удовлетворять многие предприятия, испытывающие необходимость в более гибких и адаптированных структурах. Новый подход отвергает представление об эффективности организации как «организованной» и работающей с четкостью часового механизма; напротив, считается, что эта модель проводить радикальные изменения, обеспечивающие приспособляемость организации к объективным требованиям реальной действительности.

Исследователи этой проблемы подчеркивают: постепенно вырисовывается иной тип организации, в которой импровизация ценится выше, чем планирование; которая руководствуется возможностями гораздо больше, чем ограничениями, предпочитает находить новые действия, а не цепляться за старые; которая больше ценит дискуссии, чем успокоенность, и поощряет сомнения и противоречия, а не веру.

В исходном определении органического типа структуры подчеркивались такие ее принципиальные отличия от традиционной бюрократической иерархии, как более высокая гибкость, меньшая связанность правилами и нормами, использование в качестве базы групповой организации труда. Дальнейшие разработки позволили существенно дополнить перечень свойств, характеризующих органический тип структуры управления. Речь идет о следующих чертах:

1.Решения принимаются на основе обсуждения, а не базируются на авторитете, правилах или традициях.

2.Обстоятельствами, которые принимаются во внимание при обсуждении проблем, являются доверие, а не власть, убеждение, а не команда, работа на единую цель, а не ради исполнения должностной инструкции.

3.Главные интегрирующие факторы – миссия и стратегия развития организации.

4.Творческий подход к работе и кооперация базируются на связи между деятельностью каждого индивида и миссией.

5.Правила работы формулируются в виде принципов, а не установок.

6.Распределение работы между сотрудниками обусловливается не их должностями, а характером решаемых проблем.

7.Имеет место постоянная готовность к проведению в организации прогрессивных изменений.

Рассматриваемый тип структуры предполагает существенные изменения отношений внутри организации: отпадает необходимость в функциональном разделении труда, повышается ответственность каждого работающего за общий успех.

Реальный переход к органическому типу структуры управления требует серьезной подготовительной работы. Прежде всего, компании принимают меры к расширению участия работающих в решении проблем организации (путем обучения, повышения уровня информированности, заинтересованности и т.п.), ликвидируют функциональную обособленность, развивают информационные технологии, радикально пересматривают характер взаимоотношений с другими компаниями (вступая сними в союзы или, образуя виртуальные компании, где реализуются партнерские отношения).

Необходимо отметить, что органический тип структуры управления находится лишь в начальной фазе своего развития, и в «чистом» виде его используют пока немногие организации. Но элементы этого подхода к структуре управления получили довольно широкое распространение, особенно в тех компаниях, которые стремятся приспособится к динамично меняющейся среде.

 Организационная структура аппарата управления – форма разделения труда по управлению производством. Каждое подразделение и должность создаются для выполнения определенного набора функций управления или работ. Для выполнения функций подразделения их должностные лица наделяются определенными правами на распоряжения ресурсами и несут ответственность за выполнение закрепленных за ним функций.

Организационная структура фирмы и её управление не являются чем-то застывшим, они постоянно изменяются, совершенствуются в соответствии с изменяющимися условиями.

В зависимости от характера связей между различными подразделениями различают следующие формы организационных структур управления.

Линейная организационная структура основывается на принципе единства распределения поручений, согласно которому право отдавать распоряжения имеет только вышестоящая инстанция. Соблюдение этого принципа должно обеспечивать единство управления.

Такая организационная структура образуется в результате построения аппарата управления из взаимоподчинённых органов в виде иерархической лестницы, т.е. каждый подчинённый имеет одного руководителя, а руководитель имеет несколько подчинённых (рисунок 1).

 




Рисунок 1 – Линейная организационная схема

Два руководителя не могут непосредственно связываться друг с другом, они должны это сделать через ближайшую вышестоящую инстанцию. Такую структуру часто называют однолинейной. Преимуществами такой структуры можно назвать:

· простое построение;

· однозначное ограничение задач, компетенции, ответственности;

· жесткое руководство органами управления;

· оперативность и точность управленческих решений;

Недостатки:

· затруднительные связи между инстанциями;

· концентрация власти в управляющей верхушке;

· сильная загрузка средних уровней управления;

Линейная структура управления используется мелкими и средними фирмами, осуществляющими несложное производство, при отсутствии широких кооперационных связей между предприятиями.

Функциональная организационная структура основана на создании подразделений для выполнения определённых функций на всех уровнях управления. К таким функциям относят исследования, производство, сбыт, маркетинг и т.д. Здесь с помощью директивного руководства могут быть соединены иерархически нижние звенья управления с различными более высокими звеньями управления. Передача поручений, указаний и сообщений осуществляется в зависимости от вида поставленной задачи (рисунок 2).

 







Рисунок 2 – Функциональная организационная схема

Например, рабочий в цехе получает поручения не от одного человека (мастера), а от нескольких штатных единиц, т.е. действует принцип многократной подчинённости. Поэтому такую организационную структуру называют многолинейной.

Функциональная структура управления производством нацелена на выполнение постоянно повторяющихся рутинных задач, не требующих оперативного принятия решений. Функциональные службы обычно имеют в своём составе специалистов высокой квалификации, выполняющих в зависимости от возложенных на них задач конкретные виды деятельности.

К преимуществам такой структуры можно отнести:

· сокращение звеньев согласования;

· уменьшение дублирования работ;

· укрепление вертикальных связей и усиление контроля за деятельностью нижестоящих уровней;

· высокая компетентность специалистов, отвечающих за выполнение конкретных функций;

К недостаткам:

· неоднозначное распределение ответственности;

· затруднённая коммуникация;

· длительная процедура принятия решений;

· возникновение конфликтов из-за несогласия с директивами, так как каждый функциональный руководитель ставит свои вопросы на первое место;

Линейно - функциональная структура (штабное управление) представляет собой комбинацию линейной структуры с системой выделения определённых функций. При линейных руководителях создаются специальные подразделения (штабы), которые помогают линейному менеджеру в выполнении отдельных функций управления.

Эти штабы могут:

· ограничиваться центральными уровнями управления (штабы руководства);

· находиться в нескольких уровнях управления;

· образовывать штабную иерархию на всех уровнях управления.

Штабы на нескольких уровнях иерархии должны давать консультации и участвовать в подготовке решений, но они не обладают правами принятия решений и руководства нижестоящими подразделениями или исполнителями.

Чем крупнее фирма и сложнее её управляющая структура, тем острее стоит вопрос координации деятельности функциональных служб или создания крупных специализированных подразделений с высококвалифицированными специалистами. Преимуществами и недостатками линейно-функциональной структуры можно назвать:

Преимущества:

· возможность получить высокую степень профессиональной специализации сотрудников;

· точно определить места и необходимые ресурсы (особенно кадров);

· способствует стандартизации, формализации и программированию процесса;

Недостатки:

· затрудняет горизонтальное согласование;

· с трудом реагирует на изменение;

Линейная организационная структура с перекрёстными функциями. При такой организационной структуре сохраняется движение по инстанциям, но определённые функции, относящиеся ко всему предприятию, например, кадровая политика, подготовка производства, учёт и отчётность, планирование сроков и контроль за их выполнением и т.д. выделяются в функциональные отделы, которым предоставляются полномочия для дачи распоряжения. Руководители линейного и функционального отделов имеют право на совместное принятие решений для соответствующего отдела предприятия. Например, право по найму рабочей силы для цехов принадлежит совместно начальнику отдела кадров и начальнику технического отдела. Если они не приходят к соглашению, то должна вмешаться вышестоящая инстанция.

Вышеописанные структуры относятся к бюрократическому типу организации структур управления.

Связь структуры с ключевыми понятиями управления – его целями, функциями, процессом, механизмом функционирования, людьми и их полномочиями – свидетельствует о ее огромном влиянии на все стороны работы организации.

Рассмотренные организационные структуры являются базовыми и могут быть уточнены применительно к конкретному объекту управления.

Примерами линейно-функциональной структуры управления могут быть структуры крупных портов, банков, больниц, вузов.

Разновидностью линейно-функционального типа структуры является бригадная организация. В этом случае предприятие обладает рядом участков или цехов производства, разнотипным набором услуг и трудовых операций. На этих участках или в цехах трудятся бригады (20—25 человек), осуществляющие оперативное обслуживание судов.

Преимущества и недостатки различных структур управления отражены в таблице 1.

Таблица 1 – Преимущества и недостатки структур управления

Структура

Преимущество

Недостаток

Линейная

Единство и четкость распорядительства

Личная подотчетность исполнителя одному лицу

Ответственность каждого за выполнение задания (дисциплина)

Стимулирование развития

компетентности

Увеличенное время прохождения информацииi

Келейность при принятии

решений

Выполнение исполнителями

помимо своих основных обязанностей «штабной»

работы

по учету и контролю

Функциональная

Уменьшение времени прохождения информации

Специализация деятельности

руководителей

Высшее руководство менее

загружено, чем при линейной

структуре

Возможность получения противоречивых указаний

Сложность разделения взаимосвязанных функций Сложность контроля Недостаточная гибкость

управления

Линейно-функциональная

Расширение возможностей принятия компетентных решений

Сокращение времени на решение

технологических вопросов

производства

Трудности при регулировании

отношений линейных и функциональных

руководителей



Организационная структура выражает форму разделения и кооперации труда в сфере управления и оказывает активное воздействие на процесс функционирования предприятия. Чем совершеннее структура управления, тем эффективнее воздействие на объект управления щ И1./П1Г результативность работы предприятия. Поэтому важно, чтобы структура управления соответствовала ряду требований (таблица 2).

Таблица 2 – Требования к структуре управления

Оптимальность

Число ступеней управления следует свести

до минимума. Чем больше ступеней, тем менее эффективно управления

Надежность

Структура аппарата управления должна гарантиро­вать достоверность передачи информации, не допускать искаже­ния управляющих команд и других передаваемых данных, обес­печивать бесперебойность связи в системе управления;

Оперативность

Управленческие решения

необходимо принимать

быстро

Экономичность

Достигается путем оптимального разделения

управленческого труда

Гибкость

Способность изменяться в соответствии с изменениями внешней среды

Устойчивость

неизменность ос­новных свойств при различных внешних воздействиях и целост­ности функционирования системы управления и ее элементов.


Организационная структура управления не является чем-то застывшим, она постоянно совершенствуется в соответствии с изменившимися условиями. В практике разные типы организационных структур, рассмотренные выше, могут пересекаться, дополнять друг друга. Одни из составных единиц организации стивидорного предприятия остаются стабильными; другие могут создаваться или упраздняться по мере необходимости.

Важным условием в формировании организационной структуры управления предприятием является выбор оптимальной связи между всеми уровнями управления. Необходимо выбирать из существующих видов структур такую, которая позволила бы предприятию добиваться поставленных целей с оптимальным использованием трудовых, финансовых, материально-технических и технологических ресурсов. Для этого следует знать, соответствует ли организационная структура управления тем или иным требованиям современного эффективного управления.

1.3 Соответствие структуры управления предприятия современным требованиям эффективного управления

Организационную структуру любой коммерческой фирмы, больницы, банка, правительственного учреждения или органов с любым видом деятельности следует рассматривать с разных позиций и с учетом разных критериев. На ее действенность и эффективность влияют:

1)   действительные взаимосвязи между людьми и их работой, что отражается в схемах организационных структур и в должностных обязанностях;

2)   действующая политика руководства и методы, влияющие на человеческое поведение;

3)   полномочия и функции работников организации на различных уровнях управления (низшем, среднем, высшем).

При умелом сочетании указанных трех факторов в организации может быть создана такая рациональная структура, при которой существует реальная и благоприятная возможность достижения высокого уровня эффективности производства. Для построения рациональной структуры управления необходимо чтобы она соответствовала требованиям, предъявляемым к структурам управления новыми условиями хозяйствования.

Одно из них - ясность. Каждое подразделение предприятия, каждый ее сотрудник (в особенности каждый руководитель) должен четко знать, где он находится и куда ему обращаться за информацией, помощью или решением. Ясность не следует путать с простотой. Простым структурам может не хватать ясности. И наоборот, очень сложные структуры могут быть очень ясными. Структура, не обладающая ясностью, создает конфликты, впустую расходует время, раздражает работников и задерживает решения.

Тесно связано с ясностью требование экономичности. Контроль, надзор и стимулирование должны требовать минимума усилий. Организационная структура управления должна способствовать самоконтролю и мотивации. Чтобы удерживать предприятие на ходу, минимально возможное количество людей (особенно высококвалифицированных и работоспособных людей) должно посвящать внимание и силы «управлению», «организации», «контролю», «коммуникации», «кадровым проблемам».

Существуют основные критерии для оценки возможностей организационной структуры управления:

ü   степень способности организационной структуры управления обеспечить получение норм прибыли;

ü   степень способности существующей структуры управления обеспечить условия для повышения нормы прибыли за счет мероприятий;

ü   степень способности быстро реагировать на изменение спроса, в соответствии с этим осуществлять действия, направленные на своевременную перестройку производства (особенно когда продукция не пользуется спросом);

ü   степень способности организационной структуры управления обеспечить рост производительности труда за счет по детальной специализации общественного труда и производства;

ü   Пятым критерием служит степень эффективности системы производственного контроля при данной организационной структуре управления;

Организационные структуры управления промышленными фирмами отличаются большим разнообразием и определяются многими объективными факторами и условиями. К ним могут быть отнесены, в частности, размеры производственной деятельности фирмы (мелкая, средняя, крупная); производственный профиль фирмы (специализация на выпуске одного вида продукции или широкой номенклатуры изделий различных отраслей); характер выпускаемой продукции и технология её производства (продукция добывающих или обрабатывающих отраслей, массовое или серийное производство); сфера деятельности фирмы (ориентация на местный рынок, национальный или внешний рынок); масштабы заграничной деятельности и формы её осуществления (наличие дочерних предприятий за границей, в том числе производственных, сбытовых и др.); характер монополистического объединения (концерн, финансовая группа).

Согласно классической теории организации, с выводами которой по данному вопросу согласно большинство менеджеров, структура организации должна разрабатываться сверху вниз. Последовательность разработки организационной структуры схожа с последовательностью элементов процесса планирования. Вначале руководители должны осуществить разделение организации на широкие сферы, затем поставить конкретные задачи – подобно тому, как в планировании сначала формируются общие задачи, - а потом составить конкретные правила.

Таким образом, последовательность действий следующая:

1. Деление организации по горизонтали на широкие блоки, соответствующие важнейшим направлениям деятельности по реализации стратегии. Определение, какие виды деятельности должны выполняться линейными подразделениями, а какие – штабными.

2. Установление соотношения полномочий различных должностей. При этом руководство устанавливает цепь команд, если необходимо, производит дальнейшее деление на более мелкие организационные подразделения, чтобы эффективно использовать специализацию и избежать перегрузки руководства.

3. Определение должностных обязанностей, как совокупность определенных задач и функций и поручение их выполнения конкретным лицам. В организациях, деятельность которых в значительной мере связана с технологией, руководство разрабатывает также конкретные задачи и закрепляет их за непосредственными исполнителями, которые и несут ответственность за их удовлетворительное выполнение.

В действующих организациях к процессу изменения организационной структуры следует относиться как к реорганизации, т.к. этот процесс, как все функции организации, бесконечен. В настоящее время успешно функционирующие организации регулярно оценивают степень адекватности своих организационных структур и изменяют их так, как этого требуют внешние условия. Требования внешней среды, в свою очередь, определяется в ходе планирования и контроля.

Для анализа структуры управления следует провести оценку основных показателей, таких как коэффициент звенности, коэффициент управляемости, коэффициент эффективности структуры управления и т.д.

1.4 Подходы к оценке функционирования организационных структур

Оценка эффективности является важным элементом разработки проектных и плановых решений, позволяющим определить уровень прогрессивности действующей структуры, разрабатываемых проектов ли плановых мероприятий, и проводится с целью выбора наиболее рационального варианта структуры или способа её совершенствования. Эффективность организационной структуры должна оцениваться на стадии проектирования, при анализе структур управления действующих организаций для планирования и осуществления мероприятий по совершенствованию управления.

Комплексный набор критериев эффективности системы управления формируется с учётом двух направлений оценки её функционирования:

ü   по степени соответствия достигаемых результатов установленным целям производственно-хозяйственной организации;

ü   по степени соответствия процесса функционирования системы объективным требованиям к его содержанию организации и результатам.

Критерием эффективности при сравнении различных вариантов организационной структуры служит возможность наиболее полного и устойчивого достижения конечных целей системы управления при относительно меньших затратах на её функционирование.

В методологии организационного механизма особое место занимают методы оценки и анализа эффективности управленческой системы. Под эффективностью управления следует понимать создание благоприятных условий для достижения коллективом предприятия высоких результатов в обусловленные сроки с наименьшими затратами.

В дореформенной централизованной системе управления категория эффективности управления не отделялась от показателей эффективности производства. Последние приводились к затратам на управление (заработной плате или управленческим расходам) и таким образом связывались с результатами труда управленческих работников.

Принципиальное значение для оценки эффективности системы управления имеет выбор базы для сравнения или определения уровня эффективности, который принимается за нормативный. Один из подходов дифференцирования сводится к сравнению с показателями, характеризующими эффективность организационной структуры эталонного варианта систем управления. Эталонный вариант может быть разработан и спроектирован с использованием всех имеющихся методов и средств проектирования систем управления. Характеристики такого варианта принимаются в качестве нормативных. Может применяться также сравнение с показателями эффективности и характеристиками системы управления, выбранной в качестве эталона, определяющего допустимый или достаточный уровень эффективности организационной структуры.

Часто вместо методов используется экспертная оценка организационно-технического уровня анализируемой и проектируемой системой, а также отдельных её подсистем и принимаемых проектных и плановых решений, или комплексная оценка системы управления, основанная на использовании количественно- качественного подхода, позволяющего оценивать эффективность управления по значительной совокупности факторов.

Показатели, используемые при оценках эффективности аппарата управления и его организационной структуры, могут быть разбиты на следующие три взаимосвязанные группы.

1. Группа показателей, характеризующих эффективность системы управления, выражающихся через конечные результаты деятельности организации, и затраты на управления. При оценках эффективности на основе показателей, характеризующих конечные результаты деятельности организации, в качестве эффекта, обусловленного функционированием или развитием системы управления, может рассматриваться объем, прибыль, себестоимость, объем капитальных вложений, качество продукции, сроки внедрения новой техники и т.п.

2. Группа показателей, характеризующих содержание и организацию процесса управления в том числе непосредственные результаты и затраты управленческого труда. В качестве затрат на управление учитываются текущие расходы на содержание аппарата управления, эксплуатацию технических средств, содержание зданий и помещений, подготовку и переподготовку кадров управления.

При оценке эффективности процесса управления используются показатели, которые могут оцениваться как количественно, так и качественно. Эти показатели приобретают нормативный характер и могут использоваться в качестве критерия эффективности ограничений, когда организационная структура изменяется в направлении улучшения одного или группы показателей эффективности без изменения (ухудшения) остальных. К нормативным характеристикам аппарата управления могут быть отнесены следующие: производительность, экономичность, адаптивность, гибкость, оперативность, надёжность.

Производительность аппарата управления может определяться, как количество произведённой организацией конечной продукции или объёмы выработанной в процессе управления информации.

Под экономичностью аппарата управления понимаются относительные затраты на его функционирование. Для оценки экономичности могут использоваться такие показатели, как удельный вес затрат на содержание аппарата управления, удельный вес управленческих работников в численности промышленно-производственного персонала, стоимость выполнения единицы объёма отдельных видов работ.

Адаптивность системы управления определяется её способностью эффективно выполнять задачные функции в определённом диапазоне изменяющихся условий. Чем относительно шире этот диапазон, тем более адаптивной считается система.

Гибкость характеризует свойство органов аппарата управления изменять в соответствии с возникающими задачами свои роли в процессе принятия решений и налаживать новые связи, не нарушая присущей данной структуре упорядоченности отношений.

Оперативность принятия управленческих решений характеризует современность выявления управленческих проблем и такую скорость их решения, которая обеспечивает максимальное достижение поставленных целей при сохранении устойчивости налаженных производственных и обеспечивающих процессов.

Надёжность аппарата управления в целом характеризует его безотказным функционированием. Если считать качество определения целей и постановки проблем достаточным ,т.е. способностью обеспечивать выполнение заданий в рамках установленных сроков и выделенных ресурсов. Для оценки исполнительности аппарата управления и его подсистем может использоваться уровень выполнения плановых заданий и соблюдение утверждённых нормативов, отсутствие отклонений при исполнении указаний.

3 Группа показателей, характеризующих рациональность организационной структуры и её техническо-организационной уровень. К структурам относится звенность системы управления, уровень централизации функций управления, принятые нормы управляемости, сбалансированность распределения прав и ответственности.

Для оценки эффективности управления важное значение имеет определение соответствия системы управления и её организационной структуры объекту управления. Это находит выражение в сбалансированности состава функций и целей управления, соответствии численности состава работников объёму и сложности работ, полноте обеспечения требуемой информацией, обеспеченности процессов управления технологическими средствами с учётом их номенклатуры.

Важными требованиями, являются, способность адекватного отражения динамичности управляемых процессов, сбалансированность и непротиворечивость показателей. При оценке эффективности отдельных мероприятий по совершенствованию системы управления допускается использование основных требований к их выбору – максимальное соответствие каждого показателя целевой ориентации проводимого мероприятия и полнота отражения достигаемого эффекта.

Эффектность управления - это относительная характеристика результативности деятельности конкретной управляющей системы, отражающая в различных показателях как объекта управления, так и собственно управленческой деятельности(субъекта управления). Причем эти показатели имеют как количественные, так и качественные характеристики.

Для определения эффективности организационной структуры используются ряд коэффициентов:

1.Коэффициент занятости персонала в аппарате управления характеризующий долю работников аппарата в общей численности производственного персонала Чппр, рассчитывается по формуле:

Кз = Чау / Чппр

При нормативе - 0,04 – 0,07

 Кз, - коэффициент занятости;

Чау – численность аппарата управления;

Чппр – численность производственного персонала;

2. Показатель уровня квалификации работников рассчитывается по формуле. Данный анализ позволяет сделать оценку кадровой политики на предприятии и определить норматив Пкр ≥ 1.

Пкр = Чаув/ Чау

Пкр – показатель квалификации работников;

Чаув – численность аппарата управления с высшим образованием;

Чау - численность аппарата управления;

3. Коэффициент управляемости, характеризующий степень средней загруженности каждого руководителя с учетом нормы управляемости (по количеству подчиненных):

m

Куп = (1/z ) х ( ∑ Hф / Hн )

1

z - число уровней управления;

m – число руководителей данного уровня управления;

Hф и Hн – фактическое и нормативное число работников, приходящееся в среднем на одного руководителя данного уровня управления, при нормативе Куп = 0,5- 1.

4. Коэффициент звенности характеризующий организационную структуру по количеству звеньев.

Кзв = Пзв.ф/Пзв.о

Пзв.ф – количество звеньев существующей оргструктуры;

Пзв.о – оптимальное количество звеньев структуры;

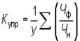
5. Коэффициент эффективности организационной структуры управления.

Кэ = Рп/ Зу

Рп – конечный результат (эффект);

Зу – затраты на управление;

Следует иметь в виду, что найти взаимосвязь организационной структуры управления с результатами управленческой деятельности не всегда представляется возможным. Поэтому в преобладающем большинстве случаев состояние и эффективность организационной структуры оценивают через показатели, характеризующие деятельность управляемого объекта:

Эу = Эс/Эп = (Ау/Д)/Вч.п./Ст)

Эу - эффективность управления;

Эс - экономичность управления;

Эп эффективность создания продукта;

А – затраты на управление;

Д – совокупная стоимость основных и оборотных фондов;

Вч.п. – объем условно чистой продукции;

Ст – численность промышленно-производственного персонала;

Для определения эффективности управления следует использовать интегрированный показатель Кэф.у.

Кэф.у = 1-Qy×Lч.п./Fт ×Ео.ф.

Кэф.у – коэффициент эффективности управления

Qy – затраты на управление, приходящиеся на одного работника управления

Lч.п – удельный вес численности управленческих работников в общей численности работающих

Fт – фондовооруженность

Ео.ф – фондоотдача

На основе анализа состояния управления на предприятии данная система показателей позволяет определить основные направления совершенствования систем управления.

Организационная структура не должна ориентировать людей на псевдорезультаты; она не должна поощрять тенденцию навешивать не прибыльную продукцию на прибыльные производственные линии; она не должна ориентировать людей на интенсификацию усилий (т.е. повышение затрат), а мастерство превращать в самоцель.

Организация должна помочь каждому сотруднику понять свою собственную задачу и общую задачу предприятия. Чтобы соотносить свои усилия с благом целого, каждый сотрудник должен понимать, как его задача сопряжена с общей задачей и как общая задача определяет его задачу, его усилия, его вклад.

Организация должна расцениваться также в соответствии с тем, облегчает она или затрудняет процесс принятия решений. Структура, подталкивающая решения вверх, вместо принятия их на максимально низком уровне, структура, оттягивающая критически важные решения, концентрирующая внимание на лишних или второстепенных проблемах - плохая структура.

Организация должна обладать устойчивостью во времени и способностью к самообновлению. Организация должна быть способна сама производить лидеров завтрашнего дня. Обязательное условие для этого - минимум уровней управления. Способный человек, попадая на низовую управленческую работу, скажем, в двадцать пять лет, не должен тратить свою жизнь, поднимаясь со ступеньки на ступеньку. Иначе, когда он окажется на верху лестницы, у него уже не останется сил. Еще важнее опыт, который можно приобрести в организации. Структура должна помочь каждому сотруднику учиться и развиваться на любом занимаемом посту, она должна предусматривать непрерывное обучение.

         Организационная структура должна поощрять внедрение на предприятие новых идей и готовности к новым видам деятельности.

Соблюдение вышеизложенных требований позволит создать гибкую, способную к быстрой перестройке организационную структуру, которая будет способствовать развитию системы управления на предприятии, повысит уровень ее организованности и создаст все условия для эффективного функционирования предприятия в целом.

Приходим к выводу, все организационные структуры имеют преимущества и недостатки, следовательно, нет идеальной структуры управления, которая бы подходила к любому предприятию. Все недостатки следует проанализировать и свести до минимуму, выбрав оптимальную организационную структуру. Для выявления проблем в структуре управления следует проводить анализ используя коэффициенты эффективности организационных структур.

Эффективность оценки структуры должна быть неотделима от экономического и финансового анализа. Решая, каким должен быть основной критерий оценки эффективности деятельности подразделения, важно прежде всего определить, за какие виды деятельности и соответственно их результаты подразделение может нести ответственность. Эффективность работы подразделений и отделов предприятия следует оценивать по показателю рентабельности.

2. Анализ организационно-управленческой структуры ОАО «Находкинский морской торговый порт»

2.1 Общая характеристика деятельности ОАО «НМТП»

Открытое акционерное общество «Находкинский морской торговый порт» (далее - Общество) является открытым акционерным обществом.

Общество учреждено в соответствии с Указом президента Российской Федерации «Об организационных мерах по преобразованию государственных предприятий, добровольных объединений государственных предприятий в акционерные общества» от 1 июля 1992 года № 721.

Учредителем общества является Комитет по управлению государственным имуществом г. Находки Приморского края Российской Федерации согласно постановленю № 92 от 22 октября 1992 года.

Общество зарегистрировано Администрацией города Находка, свидетельство о регистрации № 1222 от 24 сентября 1992 года.

Инспекцией Министерства Российской Федерации по налогам и сборам по г.Находке 02 сентября 2002 года Общество зарегистрировано в Едином государственном реестре юридических лиц за основным государственным регистрационным номером: 1022500697471.

Общество является правопреемником Закрытого акционерного общества «РОМАЗАН» в связи с реорганизацией путем присоединения ЗАО «РОМАЗАН» к Обществу (заключение Государственной регистрационной палаты при Министерстве юстиции Российской Федерации об исключении ЗАО «РОМАЗАН» из Государственного реестра коммерческих организаций в связи с реорганизацией путем присоединения № ВС-1424 от 21.06.2002 г.).

Правовое положение Общества определяется Гражданским кодексом Российской Феде­рации, Федеральным законом «Об акционерных обществах» прочими правовыми актами Российской Федерации (далее - действующее законодательство), а также настоящим Уставом.

Полное фирменное наименование Общества на русском языке: Открытое Акционерное общество «Находкинский морской торговый порт».

Полное фирменное наименование Общества на английском языке: Open Joint Stock Company «Nakhodka Trade Sea Port».

Сокращенное наименование Общества на русском языке: ОАО «НМТП», на английском языке: NMTP.

Место нахождения Общества: Российская Федерация, Приморский край, г. Находка, ул. Портовая, д.22.

Почтовый адрес Общества: Российская Федерация, 692904, Приморский край, г.Находка, ул.Портовая, д.22.

В соответствии с действующим законодательством Общество является юридическим лицом, имеет самостоятельный баланс, круглую печать, содержащую его полное фирменное наименование на русском языке и указание на место его нахождения, расчетные, валютный и др. бан­ковские счета, а также штампы, бланки со своим наименованием, собственную эмблему, зарегистрированный в установленном порядке товарный знак и другие средства визуальной идентификации.

Уставный капитал Общества составляет 448 668 840 (Четыреста сорок восемь миллионов шестьсот шестьдесят восемь тысяч восемьсот сорок) рублей.

Целью деятельности Общества является извлечение прибыли. Основными видами деятельности Общества являются (см. приложение М).:

·  погрузочно-разгрузочные работы и обслуживание транспортных средств их агентирование;

·  транспортно-экспедиторские и складские операции с грузами;

·  обслуживание пассажиров морских судов;

·   перевозка грузов и пассажиров на судах порта, буксировочные операции;

·  внешнеэкономическая деятельность, в том числе создание предприятий с участием иностранного капитала;

·  инвестиционная деятельность;

·  капитальное строительство и реконструкция объектов порта, производство монтажных работ.

Общество может также осуществлять другие виды деятельности не запрещающие законом РФ

Общество учреждено на неограниченный срок деятельности.

Находкинский морской торговый порт расположен на северо-западном побережье Японского моря, в восточной части залива Петра Великого в заливе Находка (см. приложение Л). Это один из трех крупнейших портов России на юге Дальнего Востока, он связан с центральными районами России и Западной Европой транссибирской железнодорожной магистралью. В порту можно встретить суда под флагами всех стран мира.

В настоящее время порт в состоянии поставить у своих причалов 20 судов одновременно и обрабатывать более чем 1500 крупнотоннажных судов в год.

Всего в порту 22 причала общей протяженностью 3560 метров, из которых 18 причалов протяженностью 2891 м предназначены для погрузо-разгрузочных работ. Два причала протяженностью 325 м предназначены для пассажирских судов. Один причал используется для стоянки и ремонта судов портового флота. Глубины у причалов от 10,5 до 11,5 м; глубина пассажирских причалов до 10 м.

Благоприятные естественные условия, удобное географическое положение, современное навигационное оборудование и наличие безопасной системы проводки судов позволяет осуществлять навигацию в порту круглый год, даже в самые суровые зимы.

В распоряжении порта современные портальные краны грузоподъемностью до 40 тонн, автомобильные краны грузоподъемностью до 50 тонн, авто и электропогрузчики различной грузоподъемности, трейлеры и роллтрейлеры для перевозки генеральных грузов и контейнеров международного стандарта, мостовые перегружатели с длиной пролета 50 метров и грузоподъемностью 20 тонн, зерновые пневмоперегружатели и другие перегрузочные машины, которые оснащены захватными устройствами для перегрузки грузов в кипах, рулонах, мешках, бочках, пакетах, контейнерах. Для перегрузки тяжеловесных грузов используются плавучие краны грузоподъемностью до 300 тонн.

Разветвленная сеть внутрипортовых и подъездных железнодорожных путей обеспечивает бесперебойное производство погрузо-разгрузочных работ. Все причалы универсальны и могут перерабатывать различную номенклатуру грузов в зависимости от складывающейся конъюнктуры рынка. Порт перегружает экспортные и импортные грузы: прокат черных металлов, алюминий, зерно, химикаты, уголь, оборудование, продовольственные и другие товары.

На территории порта расположено 11 крытых складов, из которых 9 одноэтажных и 2 четырехэтажных (оборудованы лифтами). Кроме крытых складов на причалах 31–32 находятся склады-навесы для пиломатериалов. Площадь крытых складов около 127 тыс. м2. Общая площадь крытых складов и открытых площадок для хранения грузов составляет 292,1 тыс. м2.

Все возрастающий поток грузов требует от порта увеличения своих мощностей. В этой связи порт проводит реконструкцию многих причалов с выносом причальной стенки на 50 метров в море. Это позволит значительно увеличить складские площади и принимать суда с осадкой до 13 метров. На причале № 10 уже закончена реконструкция, в результате которой намного вырос объем экспортно-импортных грузов открытого хранения.

Находкинский морской торговый порт располагает современной телекоммуникационной системой и предоставляет клиентам, в случае необходимости, услуги связи и любую информацию.

Порт располагает судами бункеровщиками, нефтемусоросборщиками, сборщиками льяльных вод, поэтому во время стоянки можно получить воду и топливо, а также сдать льяльные воды, мусор и пищевые отходы.

Причалы порта закреплены за пятью производственными перегрузочными комплексами, которые перерабатывают грузы определенных грузопотоков:

Стивидорная компания №1 (причалы 1 – 4) перерабатывает крупнотоннажные контейнеры.

Стивидорная компания № 2 (причалы 5 – 8) специализируется на переработке каботажных генеральных грузов. В период короткой арктической навигации обеспечивает снабжение всеми необходимыми грузами жителей Крайнего Севера.

Стивидорная компания № 3 (ТОО «РОМАЗАН») (причалы 9,10) производит переработку навалочных грузов (уголь, феррохром, феррошлаки и т.п.), а также изделий из черных металлов экспортного назначения.

Стивидорная компания № 4 (причалы 25 – 27) обеспечивает переработку экспортного круглого леса. Основные направления грузопотока – Япония и Китай.

ТОО «МЭКОНА» (причалы 28 – 32) перерабатывает грузы на экспорт: изделия из черных металлов разной номенклатуры (слябы, стальная заготовка, сталь в рулонах и пачках, чугун, металлическое литье), а также пиломатериалы, целлюлозу, картон, бумагу, химикаты и другие грузы, основным назначением на Японию, Южную Корею, Вьетнам, Таиланд.

Характеристика причалов Находкинского торгового порта после реконструкции показана в таблице 3.

По характеру морской торговый порт г. Находки является транзитным, где массовые грузы переваливаются с железнодорожного транспорта на морской и обратно. В порту создан контейнерный терминал, который перерабатывает до 5 млн. т грузов.

Таблица 3 – Характеристика причалов после реконструкции

№ причала

Длина причала, м

Глубина причала, м


Специализация

2

250

9,5

Перегрузка техники и оборудования

3

150

11,5

Генеральные грузы

4

150

11,5

Генеральные грузы

5

180

11,5

Генеральные грузы

180

11,5

Генеральные грузы

7

180

11,5

Генеральные грузы

8

180

11,5

Генеральные грузы

11

175

8,0

Пассажирский существующий

12

150

9,5

Пассажирский существующий


Структура и направление грузопотоков в порту в последние годы резко меняются. Если в начале 90-х основные грузопотоки из Находки были направлены в арктические районы Дальнего Востока и на Камчатку и только 40% приходилось на экспорт-импорт, причем вывоз всего в 3 раза превышал ввоз, то сейчас превалирует экспорт, на который приходится 97% грузооборота.

К морскому торговому порту приписаны портовые пункты: Моряк-Рыболов, Ольга, Рудная Пристань, Терней и водозабор в бухте Успения.

2.2 Анализ финансовой деятельности ОАО «НМТП»

Финансовые показатели деятельности ОАО «НМТП» за период с 2007 г. по 2009 г.г. представлены в таблице 4 и на рисунке 4.

Анализ показателей ОАО «НМТП» выявил, что в 2007 г. прибыль составила 39849 тыс. руб., в 2008 году увеличилась на 28575 тыс. руб. и составила 68424 тыс. руб. (все расчеты продинаминированны).

Таблица 4 – Технико-экономические показатели ОАО «НМТП» в период с 2007 г. по 2009 г.

Показатель

Период

Темп роста

2008/2007г.

2009/2008г.

2007г.

2008г.

2009г.

руб.

%

руб.

%

Доходы тыс. руб.

239660

272495

348998

32835

13,7

76503

28,1

Расходы тыс. руб.

199811

204071

257140

4260

2,1

53069

26,0

Прибыль тыс. руб.

39849

68424

91858

28575

71,7

23434

34,2

Рентабельность, %

20

29

39

9

45,0

10

34,5

Себестоимость 1 тонны груза, руб.

24,7

37,4

42,1

12,7

51,4

4,7

12,6

Доходная ставка 1 тонны груза, руб.

29,7

48,3

69,5

18,6

62,6

21,2

43,9


В 2009 г. прибыль увеличились на 28,1 по отношению к предыдущему году, и составила 91858 тыс. руб. – в действующих ценах. Такое значительное увеличение достигнуто благодаря запуску мощностей почти в полную силу, за счет увеличения, из года в год, судозахода в порт. В 2007 г. было обработано 604 судов, а в 2009 г. – 768 судов. Также предприятием закуплена новая техника, открыла новая линия по переработке угля.

Рисунок 4 – Технико-экономические показатели ОАО «НМТП» в период с 2007 г. по 2009 г.

Данный показатель характеризует, сколько затрат совершено для обработки одной тонны груза.

Естественно, что при увеличении грузоперевалки пропорционально увеличивается себестоимость продукции за год. И нестабильность цен не может оказать положительного влияния на сумму себестоимости в следствии с этим в 2007г. себестоимость 1 тонны груза составила – 24,7 тыс. руб., в 2008 г. – 37,4 тыс. руб., в 2009 г. – 42,1 тыс. руб.

Для анализа финансового состояния предприятия за 2009 год баланс предприятия будет представлен в обобщенной форме, по принципу выделения наиболее значимых групп показателей по статьям активов и пассивов. Обобщенная форма баланса представлена в таблице 5.

Анализируя изменения в структуре актива за 2007 год можно прийти к следующим выводам. Доля внеоборотных активов в структуре актива на 01.01.2010 года по сравнению с 01.01.2009 значительно не изменилась, произошло увеличение на 1,95%. Доля оборотных активов на 01.01.2010 года по сравнению с 01.01.2009 года снизилась на 1,95%. На конец 2009 года произошло увеличение внеоборотных активов на 302 900 тыс. руб. или 21,29% по сравнению с началом года. Данное увеличение произошло в за счет увеличения основных средств и незавершенного строительства.

Таблица – 5 Обобщенная форма баланса ОАО «НМТП»


Показатель

На 01.01.09 в тыс. руб.

На 01.01.10 в тыс. руб.

Темп роста

в тыс. руб.

В %

АКТИВ





ВНЕОБОРОТНЫЕ АКТИВЫ

1422 835

1 725 735

302 900

21,29

ОБОРОТНЫЕ АКТИВЫ, всего

445914

484 209

38295

8,59

Запасы

98234

90814

-7420

-7,55

Сырье              

95311

87029

-8282

-8,69

Готовая продукция

0

0

0


Расходы будущих периодов

2923

3785

862

29,49

ЛИКВИДНЫЕ АКТИВЫ

261 740

235 934

-25 806

-9,86

Денежные средства

24486

54962

30476

124,4

Краткосрочная дебиторская задолженность


237 254


180972


-56 282


-23,72

Товары отгруженные

0

0

0

0,00

ПАССИВ



0


СОБСТВЕННЫЙ КАПИТАЛ

1 752 254

2 061 244

308 990

17,63

ЗАЕМНЫЕ СРЕДСТВА, всего

116495

148 700

32205

27,64

Долгосрочные обязательства

0

0

0

0,00

Займы и кредиты

20043

18350

-1 693

-8,45

Кредиторская задолженность

95053

115775

20722

21,80

Доходы будущих периодов

0

0

0


ВАЛЮТА БАЛАНСА

1 868 749

2209 944

341 195

18,26


Увеличение оборотных активов на конец года составило 38 295 тыс. руб. или 8,59%. Данное увеличение обусловлено ростом суммы налога на добавленную стоимость, суммы краткосрочных финансовых вложений и суммы денежных средств. Необходимо отметить уменьшение краткосрочной дебиторской задолженности на 56 282 тыс. руб. и долгосрочной дебиторской задолженности на 11 754 тыс. руб.

По ликвидным активам наблюдалось уменьшение на 9,86% или 25 806 тыс. руб. Данное снижение обусловлено значительным уменьшением дебиторской задолженности (рисунок 5).

 В структуре пассивов на 01.01.2010 года по сравнению с 01.01.2009 так же наблюдались изменения. Произошло увеличение собственных средств на 17,63% (308 990 тыс. руб.). При этом величина уставного капитала осталась неизменной. Увеличилась сумма нераспределенной прибыли прошлых лет на 237 221 тыс. руб. Произошло увеличение заемных средств на 32 205 тыс. руб. Данное увеличение произошло, в основном, за счет увеличения кредиторской задолженности на 20 722 тыс. руб.



Рисунок 5 – Структура активов


Основное увеличение кредиторской задолженности произошло за счет роста задолженности поставщикам и подрядчикам, задолженности перед бюджетом. Сумма краткосрочных займов и кредитов снизилась на 1 693 тыс. руб. К долгосрочным источникам финансирования предприятие не прибегало, (рисунок 6).

Рисунок 6 – Структура пассивов

Проведя анализ финансового состояния ОАО «НМТП» приходим к выводу, что финансовые показатели по состоянию на 01.01.2010 г. возросли, т.е. по состоянию на 01.01.2010 каждая денежная единица активов приносила больше денежных единиц реализованной продукции. (Рисунок 6)

Анализ кредиторской задолженности показал, что по состоянию на 01.01.2009 г. требовалось 446 дней, чтобы оплатить задолженность, а по состоянию на 01.01.2010 г. уже 262 дней.

Несмотря на уменьшение кредиторской задолжности, состояние остается неудовлетворительным. Это свидетельствует о недостаточном объеме работ и высоком уровне вложений в необоротные активы.

 В 2009 году в структуре баланса предприятия произошли следующие изменения.

Произошел рост доли внеоборотных и снижение доли оборотных активов в общей структуре активов. Необходимо отметить, что к концу отчетного года в балансе предприятия наблюдалось увеличение суммы оборотных активов. Это обусловлено ростом суммы налога на добавленную стоимость, суммы краткосрочных финансовых вложений и суммы денежных средств.

Необходимо отметить уменьшение краткосрочной дебиторской задолженности, что является положительным моментом.

Собственный капитал предприятия за отчетный период увеличился, в основном за счет увеличения нераспределенной прибыли прошлых лет и нераспределенной прибыли отчетного года.

Произошло увеличение заемных средств. В структуре заемных средств произошли незначительные изменения. В течение всего года увеличивалась сумма кредиторской задолженности.

В течении всего года наблюдалось изменение суммы краткосрочных займов (рост в 1-ом и 4-ом кварталах, снижение во 2-ом и 3-ем кварталах). К долгосрочным источникам финансирования предприятие не прибегало.

Ликвидность баланса показывает, в какой степени предприятие способно расплатиться по краткосрочным обязательствам текущими активами.

Анализ ликвидности заключается в сравнении средств по активу, сгруппированных по степени их ликвидности с обязательствами по пассиву, сгруппированными по срокам их погашения. Основные показатели ликвидности представлены в таблице 6.

Таблица 6 – Основные показатели ликвидности ОАО «НМТП»

 Показатели ликвидности

Нормативное значение

2007 г

2008 г

2009 г

Темп роста,%

2007/2008

2008/2009

Величина собственных оборотных средств

 

329419

304449

335509

-7,58

10,20

Маневренность собственных оборотных средств

От 0 до 1

0,0743

0,0618

0,1638

-16,82

165,04

Коэффициент текущей ликвидности

≥ 2

2,228

2,811

3,256

26,16

15,83

Коэффициент быстрой ликвидности

≥ 1

2,085

2,125

2,646

1,91

24,51

Коэффициент абсолютной ликвидности

≥ 0,2

0,21

0,22

0,37

4,761

68,18


Коэффициент текущей ликвидности дает общую оценку ликвидных активов, показывая, сколько рублей текущих активов предприятия приходится на 1 рубль текущих обязательств. Нормативный уровень коэффициента больше либо равен 2. У анализируемого предприятия данный коэффициент находится в пределах нормы в течение всего периода и с 2008 года имеет тенденцию к повышению, что является признаком успешного функционирования предприятия (рисунок 7).

Коэффициент быстрой ликвидности характеризует способность предприятия покрыть краткосрочные обязательства, путем мобилизации для расчетов с кредиторами денежных средств и дебиторской задолженности.

Нормативный уровень коэффициента больше либо равен 1.

У анализируемого предприятия в 2007 и 2008 годах данный коэффициент находится в пределах нормы и в 2009 г имеет тенденцию к повышению, что является положительным признаком (рисунок 7).

Рисунок 7 – Динамика коэффициента текущей ликвидности и быстрой ликвидности.

Величина собственных оборотных средств и маневренность собственных оборотных средств имеет тенденцию к снижению, что связано с неблагоприятной экономической обстановкой. В целом можно отметить: предприятие является платежеспособным и в состоянии полностью покрыть собственные краткосрочные обязательства. В дальнейшем предприятию можно порекомендовать привлекать займы и кредиты, т.к. у предприятия достаточно необходимых ресурсов. Показатели, характеризующие финансовую устойчивость, представлены в таблице 7 и на рисунке 8.

Таблица 7 – Основные показатели финансовой устойчивости ОАО

«НМТП»

Показатели финансовой устойчивости

Нормативное значение

2007 г

2008 г

2009 г

темп роста, %

2007/2008

2008/2009

Коэффициент маневренности собственного капитала

>0,5

0,188

0,161

0,163

-14,36

1,24

Коэффициент автономии

>0,5

0,938

0,918

0,933

-2,13

1,63

Коэффициент соотношения заемных и собственных средств

≥1

0,011

0,013

0,019

18,18

46,15

Коэффициент соотношения заемных и собственных средств с учетом кредиторской задолжности

0,066

0,089

0,092

34,84

3,37

Коэффициент обеспеченности оборотных средств собственными оборотными активами

≥0,1

0,739

0,644

0,693

-12,85

7,60

Коэффициент обеспеченности запасов и затрат

>0,6

10,661

9,039

13,848

-15,21

53,20




Рисунок 8 – Основные показатели финансовой устойчивости

Финансовая устойчивость в долгосрочном плане характеризуется соотношением заемных и собственных средств. Однако этот показатель дает лишь общую оценку финансовой устойчивости. Для предприятия данный коэффициент в течение всего периода находился в пределах нормы и принимал значения от 0,005 до 0,013. С учетом кредиторской задолженности данный коэффициент так же находился в пределах нормы ≥1.

Коэффициент маневренности собственного капитала показывает, какая часть собственного капитала используется для финансирования текущей деятельности, т.е. вложена в оборотные средства, а какая часть капитализирована. В течение анализируемого периода значение данного коэффициента отклонялось от нормы.

Коэффициент автономии характеризует долю собственных средств предприятия в общей сумме средств авансированных в его деятельности. Чем выше значение этого коэффициента, тем более финансово устойчиво, стабильно и независимо от внешних кредитов предприятие. У анализируемого предприятия данный коэффициент находится в пределах от 0,901 до 0,938, что говорит об устойчивости и независимости предприятия от заемных средств.

Коэффициент обеспеченности запасов и затрат также находится выше нормативного значения (норматив 0,6). Формирование материально- производственных запасов происходит полностью за счет собственных средств.

В целом можно отметить: значения коэффициентов финансовой устойчивости и их динамика показывают устойчивое финансовое положение исследуемого предприятия.

Показатели деловой активности характеризуют результаты и эффективность текущей основной производственной деятельности.

Показатели оборачиваемости показывают, сколько раз за год оборачиваются, т.е. обновляются, те или иные активы предприятия. Скорость оборота средств, т.е. скорость превращения их в денежную форму, оказывает непосредственное влияние на платежеспособность предприятия.

Кроме того, увеличение скорости оборота средств отражает при прочих равных условиях повышение производственно-технического потенциала предприятия.

Таблица 8 – Коэффициенты деловой активности

Показатель деловой активности

на 01.01.09

В оборотах

В днях

Оборачиваемость активов

0,48

744

Фондоотдача

1,31

275

Оборачиваемость оборотных активов

2,12

170

Оборачиваемость запасов

6,73

54

Оборачиваемость дебиторской задолженности

-

60

Оборачиваемость собственного капитала

0,52

696



Скорость оборота запасов является достаточно высокой и составляет 54 дня. Срок оборачиваемости дебиторской задолженности составляет 76 дней, что является нормальным отражением покрытия покупателя и заказчика своих обязательств. Величина показателя оборачиваемости кредиторской задолженности выше дебиторской и составляет 60 дней.

Анализ эффективности производства показал достаточную эффективность использования основных фондов предприятия. Эффективность операционной деятельности достаточно хорошая, что подтверждается быстрой скоростью оборота запасов, дебиторской и кредиторской задолженности.

Рентабельность работы предприятия определяется прибылью, которую оно получает в результате своей деятельности. Показатели рентабельности отражают, на сколько эффективно предприятие использует свои средства в целях получения прибыли. Показатели рентабельности представлены в таблице 9. Для предприятия производился расчет чистой рентабельности. В 2009 году показатель чистой рентабельности активов составил 11,05% , т.е. с каждого рубля стоимости активов, независимо от источников формирования получено 11,05 копейки. Каждый рубль собственного капитала в отчетном периоде принес 11,82 копейки. Чистая рентабельность продукции находится на достаточно высоком уровне и составляет 22,86%. Чистая рентабельность основной деятельности составляет 35,87%.

Таблица 9 – Показатели рентабельности ОАО «НМТП»

Показатели рентабельности (% в среднем за период)

на 01.01.10, %

Чистая рентабельность активов

11,05

Чистая рентабельность основной деятельности

35,87

Чистая рентабельность продукции

22,86

11,82

Период окупаемости собственного капитала

8,46



Все показатели рентабельности находятся на достаточно высоком уровне, что говорит об эффективности использования оборотных средств, политики сбыта продукции и деятельности предприятия за отчетный период в целом.

2.2 Исследование и анализ организационной структуры ОАО «НМТП»

Организационная структура управления морским торговым портом и штат производственного и управленческого аппаратов зависят от размера перевалочного грузооборота и объёма выполняемых вспомогательных операций. Структура аппарата ОАО «НМТП» построена по линейно-функциональной организационной схеме. При такой структуре управления всю полноту власти берет на себя линейный руководитель – Генеральный директор. Ему при разработке конкретных вопросов и подготовке соответствующих решений, программ, планов, помогает специальный аппарат, состоящий из функциональных подразделений. Функциональные подразделения по структуре управления находятся в подчинении главного линейного руководителя (генерального директора). Свои решения они проводят в жизнь через главного руководителя, либо в пределах своих полномочий непосредственно через соответствующих руководителей служб-исполнителей.

Поскольку здесь доминирует вертикальная иерархия, обеспечивающая простоту и четкость подчинения, генеральный директор высококвалифицированный специалист, обладающий разносторонними знаниями. В современных условиях это вызывает определенные трудности, связанные с увеличением числа уровней управленческой иерархии, количеством подчиненных подразделений. Вместе с данными сложностями существенно снижается гибкость и адаптивность к решению комплексных задач ОАО «НМТП».

Функциональная подчиненность, с другой стороны, приводит к разрыву единого управленческого процесса, ослаблению горизонтальных связей.

Действующая линейно-функциональная структура управления достаточно громоздка и приводит к замедлению сроков реализации поставленных задач и росту управленческих расходов, анализ структуры показывает, что аппарат управления выполняет рутинные, часто повторяющиеся и резко меняющиеся задачи и функции.

В современных условиях положение усугубляется утратой гибкости во взаимоотношениях работников аппарата управления из-за применения формальных правил и процедур. Существенно затрудняется и замедляется при этом передача информации, что сказывается на скорости и своевременности принятия решений.

Необходимость согласования действий разных по направлениям функциональных служб и подразделений резко увеличивают объем работы генеральный директора и его директоров.

Положение усугубляется еще условиями хозяйствования, при котором допускаются несоответствия между ответственностью и полномочиями у руководителей разных уровней и подразделений.

В связи с этим назрела потребность в перераспределении полномочий между генеральным директором и зам. директорами.

В сложившейся ситуации необходимы изменения в структурах управления, которые должны быть направлены на создание условий для выживания за счет более рационального использования трудовых и материальных ресурсов, снижения затрат и более гибкого приспособления к требованиям рыночных отношений. В данных условиях необходимо расширение полномочий на нижних уровнях иерархии управления и повышения          производственно-хозяйственной самостоятельности подразделений, входящих в состав ОАО «НМТП».

Главным управляющим органом ОАО «НМТП» является совет директоров. Во главе ОАО «НМТП» генеральный директор, который осуществляет руководство всей производственной, хозяйственной и финансовой деятельностью порта, организует всю работу порта, несёт полную ответственность за его состояние и результаты деятельности. Генеральный директор руководит предприятием с помощью заместителей и помощников: директор по эксплуатации, директор по кадрам и социальным вопросам, директор по экономики, главного инженера, директор по технологии и механизации, директор административной дирекции (см. приложение Б).

Главному инженеру подчинены: подсобно-вспомогательные хозяйства, ремонтно-строительный комплекс, участок по ремонту железнодорожных путей, плавмастерская, склады материально-технического снабжения, база по ремонту контейнеров, механический участок, конструкторское бюро, участок связи, отдел экологии, метрологическая служба, технический отдел, автохозяйство.

Директору по экономики подчинены: отдел экономики и прогнозирования, бухгалтерия. Бухгалтерия порта в своём составе имеет несколько функциональных подразделений: материальный отдел, производственный сектор, валютно-финансовый отдел, расчетно-кассовый отдел, отдел налогов и ревизионной работы. Отдел кадров, учебно-курсовой комбинат (УКК), жилищно-коммунальное хозяйство (ЖКО), детские сады, замыкаются на заместителя генерального директора по кадрам и социальным вопросам. Помощнику генерального директора по технике безопасности подчинён отдел техники безопасности. Для выполнения технологических процессов перемещения грузов, других работ и операций порт располагает подразделениями основного, вспомогательного и обслуживающего производства. Обеспечением работы основных подразделений ведает ряд вспомогательных подразделений хозяйств порта: портовой флот осуществляет надзор за мореплаванием и его безопасностью в порту; автохозяйство выполняет ряд операций по обслуживанию транспортных средств. Помимо подразделений основного и вспомогательного производства в структуре порта имеется группа обслуживающих внутренних подразделений: участок связи, энергохозяйство, водоканализационное хозяйство, ремонтно-механический участок. Организационная схема ОАО «НМТП» приведена в приложении А.

Организационная структура порта состоит из производственной структуры и структуры аппарата управления.

Вся хозяйственная деятельность на уровне порта планируется, организуется и «НМТП» входят следующие структурные подразделения: отдел механизации, технический отдел, коммерческий отдел, комплексное экономическое бюро, бухгалтерия, отдел кадров, отдел материально-технического снабжения, административно - хозяйственный отдел, 2 отдел, отдел охраны труда и техники безопасности, отдел труда и заработной платы, главная диспетчерская, отдел экологии.

Отдел механизации осуществляет руководство механизацией грузовых районов, внутрипортовым безрельсовым транспортом и портовыми мастерскими. Разрабатывает мероприятия по комплексной механизации и автоматизации перегрузочных процессов, контролирует безопасную эксплуатацию перегрузочных машин и оборудования, обеспечивает своевременный ввод в эксплуатацию, технический надзор за работой подъёмно-транспортных машин и оборудования, организует их учёт, обслуживание и ремонт.

Надзор за содержанием в надлежащем техническом состоянии всех сооружений порта осуществляет технический отдел, который контролирует правильность эксплуатации причалов, набережных и портовой территории, глубин на акватории порта, центральных и подъездных автодорожных путей, складов, складских помещений, открытых площадок, служебных, и культурно – бытовых зданий, водопровода и канализации, ограждений портовой территории, геодезических знаков на территории порта.

Технический отдел осуществляет контроль за использованием выделенных ассигнований на капитальный ремонт, составлением графиков ремонта всех объектов порта, обеспечением их технической документацией,

Коммерческие функции, связанные с подготовкой основных договорных условий с клиентами порта осуществляет коммерческий отдел. Работники отдела организуют и руководят всей коммерческой работой порта.

Отдел контролирует транспортно - экспедиторскую работу в порту, в процессе их перегрузки и хранения, контролирует выполнение действующих договоров, правил приема, хранения и выдачи грузов, разрабатывает проекты тарифов на перевозку грузов портовым флотом и ставки за оказание услуг отдельными хозяйственными подразделениями порта. Отдел занимается подготовкой и заключением договоров с клиентами на перегрузку, хранение грузов и другие услуги. Коммерческий отдел регулярно инструктирует оперативно-распорядительный персонал и складских работников порта по коммерческим вопросам.

Коммерческие функции, связанные со своевременным материально-техническим обеспечением порта осуществляет отдел материально-технического снабжения. Отдел обеспечивает порт оборудованием, инструментами, топливом, смазочными и другими материалами, добиваясь при этом максимального сокращения расходов, связанных с заготовкой, транспортировкой, приёмом, хранением и отпуском материальных ценностей от поставщиков, производит инвентаризацию всех материалов и оборудования, хранящихся на складах отдела, ведёт их учёт и контролирует отчётность.

К экономическим службам порта относится комплексный экономический отдел и бухгалтерия. Комплексный экономический отдел постоянно совершенствует методы планирования и комплексного экономического анализа деятельности структурных подразделений и порта в целом, направленные на выявление и использование резервов производства, эффектное использование производственных мощностей, повышение рентабельности производства.

Бухгалтерия порта обеспечивает контроль за сохранностью собственности, правильным расходованием средств и материальных ценностей, осуществляет экономический анализ финансово - хозяйственной деятельности порта, своевременно проводит ревизию документов, контролирует приём и расходование сырья, топлива, готовых изделий и других ценностей, а также предъявляет претензии к поставщикам за недостачу, брак и некомплектность.

Отдел социального развития анализирует уровень социального развития коллективов подразделений, подготавливает и разрабатывает планы социального развития коллективов, прогнозирует развитие социальных процессов в порту, подготавливает предложение по учёту социально - психологических факторов в организации работ.

Подбором, изучением и расстановкой кадров во всех структурных подразделениях порта занимается отдел кадров, отдел организует контроль над состоянием работы с кадрами во всех подразделениях порта с целью ликвидации имеющихся недостатков в работе с кадрами, составляет планы-заявки на организованный подбор портовых рабочих. Осуществляет учёт движения кадров, анализирует и изучает причины их текучести, разрабатывает совместно с отделом социального развития мероприятия по закреплению кадров.

Учебно-курсовой комбинат УКК занимается переподготовкой докеров, повышением квалификации, проводит курсы по обучению работников по специальность.

Автобаза. Под ее учетом находится колесная техника, которая занимается перевозкой грузов на территории порта. Погрузчики, которые поднимают с выше 30 тонн груза.

Контроль над соблюдением норм и правил безопасной работы в порту осуществляет отдел по охране труда. Выявляет опасные и вредные производственные факторы на рабочих местах, информирует работников о состоянии условий труда на рабочем месте, а также о принятых мерах по защите от опасных и вредных производственных факторов. В обязанности отдела входит проведение совместно с представителями соответствующих подразделений порта проверок, обследований технического состояния зданий, сооружений, оборудования, машин, механизмов на соответствие их нормативным правовым актам по охране труда, эффективности работы вентиляционных систем, состояние санитарно-технических устройств, средств коллективной и индивидуальной защиты работников.

Центр охраны занимается обеспечением сохранности собственности порта, а также грузов находящихся на погрузочных работах, а также осуществляют пропускной режим на территории порта.

Отдел труда и заработной платы в области нормирования труда разрабатывает и внедряет нормы затрат труда во всех звеньях порта, обеспечивает широкое применение технически обоснованных норм выработки и норм обслуживания для работников. Осуществляет анализ применяемых норм и нормативов. Обеспечивает подразделения порта нормативными материалами по труду. Разрабатывает применительно к конкретным условиям порта положения о премировании работников. Проводит анализ организации и структуры заработной платы по подразделениям порта, отдельным категориям и профессиям работников.

Административно-хозяйственный отдел осуществляет руководство работой персонала хозяйственного обслуживания, контролирует прохождение и исполнение приказов, положений и инструкций порта, организует хранение дел, обслуживает архив, контролирует прохождение и исполнение приказов, положений и инструкций порта готовит документы на пропуск в порт работникам управления порта.

Главная диспетчерская порта осуществляет постоянное совершенствование организации обработки всех транспортных средств, находящимися в порту под грузовыми и вспомогательными операциями, с целью дальнейшего повышения эффективности работы порта, производит ежесуточное планирование обработки судов и вагонов во всех грузовых районах порта, а также систематически контролирует по всем структурным подразделениям порта выполнение сменно-суточного плана и плана обработки судов, В отделе имеются дежурные диспетчеры для круглосуточного руководства грузовыми работами в порту.

Сегодня большую актуальность приобретают вопросы охраны окружающей среды. В портах создаются специальные отделы, занимающиеся вопросами охраны природной среды в акватории порта.

Отдел экологии контролирует деятельность портофлота по предотвращению загрязнения моря, оформляет акты о факте разлива нефти на акватории порта, предписания виновным лицам об устранении ущерба, причинённого загрязнением акватории, координирует и контролирует деятельность порта по, выполнению планов природоохранных мероприятий, соблюдению природоохранного законодательства, рассматривает и согласовывает с Государственной экологической экспертизой проекты строительства и реконструкции объектов порта по разделу «Охрана окружающей среды», согласовывает вопросы по финансированию природоохранных мероприятий.

Приходим к выводу, что приведённая выше краткая характеристика структурных подразделений аппарата управления порта специфика их материального продукта, этим подразделениям присуща возможность воздействовать на деятельность порта, откуда вытекает объективная необходимость реорганизации системы управления порта применительно к сложившимся современным экономическим условиям. Прежде всего, это выражается в разработке и внедрении новой техники и технологии, в разработке и обосновании норм расходов материальных и трудовых ресурсов, контролем за их практическим применением, в совершенствовании организации труда, в создании условий сохранности материальных ресурсов, в правильном содержании и эксплуатации портового оборудования, его своевременном и качественном ремонте.

Если в целом хозяйственную деятельность порта представить в виде трёх взаимосвязанных элементов: ресурсов, технологии и конечного результата, то деятельность отделов и служб аппарата управления – соответственно как управление ресурсами, производственным процессом и конечным результатом. Это означает, что результатами правильной и своевременной реорганизации системы внутрихозяйственного управления порта будут являться оптимизация деятельности порта в целом, рост экономических показателей, связанный с правильным распределением производственных мощностей, повышением производительности труда, эффективным использованием производственных ресурсов, внедрением мероприятий научно-технического прогресса, а также с повышением заинтересованности работника в эффективной деятельности предприятия в целом.

Анализ состава и структуры кадров порта показал: численность персонала устанавливается при составлении штатного расписания и составляет 2517 человека. Штатное расписание составляется в соответствии с организационной структурой порта. При этом учитываются содержание и объем работ, квалификация специалистов.

Все работающие на предприятии делятся на две категории:

·   промышленно – производственный персонал, занятый производством и его обслуживанием;

·   персонал непромышленных организаций – в основном работники жилищного- коммунального хозяйства, детских и врачебно-санитарных учреждений, принадлежащих предприятию;

К рабочим относят работников порта непосредственно занятых созданием материальных ценностей или оказанием производственных и транспортных услуг. Рабочие подразделяются на основных и вспомогательных.

Специалисты и руководители осуществляют организацию производственного процесса и руководство им.

К служащим относятся работники, осуществляющие финансово-расчетные, снабженческо-сбытовые и другие функции.

Квалификация работ определяется уровнем специальных знаний и практических навыков и характеризуют степень сложности выполняемого им конкретного вида работы. Соответствие его способностей, физических и психических качеств той или иной профессии означает профессиональную пригодность работника.

Динамика изменения численности персонала за период с 2007 по 2009г, представлена в таблице 10.

Таблица 10 – Динамика изменений численности сотрудников 2007-2009гг.

Показатель 

2007 г.

2008 г.

2009 г.

2007/2008

2008/2009

чел.

%

чел.

%

Среднесписочная численность персонала

2473

2458

2517

-15

-0,6

59

2,4


Рисунок 9 – Изменения численности сотрудников 2007-2009 гг.

Динамика изменений численности персонала является положительной, вследствие того, что обща численность персона в 2009 году возросла по отношению к 2008 году на 2.4 %. Что связано с увеличением объема работ возлагаемую на данную категорию сотрудников, а именно с ростом погрузочно-разгрузочных работ на причалах порта.

Анализ социально демографических характеристик персонала, приложение Д, Е.

Рассмотрение данных таблицы и графиков показывает, состав работников по образованию характеризуется следующими данными: большая часть руководителей и специалистов имеют высшее образование – 75%, незаконченное высшее – 25%, Средний возраст руководителей и специалистов 34-40 лет. На руководящих должностях работают специалисты с большим практическим опытом работы по данному профилю, обладающие необходимыми организационными, деловыми, профессиональными и личностными качествами, умеющие принимать правильные решения.

Таким образом, профессионально-квалификационный уровень работников порта достаточно высокий, позволяющий решать поставленные задачи.

Также данные таблицы свидетельствуют о преобладании мужчин в численности персонала. Это объясняется тем, что сфера стивидорных услуг подразумевает затраты больших сил.

 Большинство сотрудников работают в порту от 5 и более лет, это связано с улучшением существующей системы управления персонала; мотивация труда персонала, увеличение заработной платы, улучшение внутриорганизационной атмосферы.

Морской торговый порт не испытывает напряжения в кадрах, более того, есть возможность повысить квалификацию работников за счет дополнительного бесплатного образования предоставляемые отделом УКК, интенсификации производства, комплексной механизации и автоматизации производственных процессов, внедрения новой более производительной техники.

Для рассмотрения функций подразделений данного предприятия и взаимодействия между ними, рассмотрим матрицу распределения функций управления между структурными подразделениями. Схема функциональных взаимосвязей отражает горизонтальные связи функциональных подразделений аппарата управления. Эту схему можно представить в виде таблицы, с левой стороны которой по вертикали указываются функции управления, выполняемые конкретным функциональным подразделением, а вверху по горизонтали - все функциональные подразделения аппарата управления и должности высших руководителей. На пересечении строк и столбцов проставляются символы, отражающие степень участия отдельных функциональных подразделений и руководителей в выполнении конкретных функций данного подразделения.

Применяются следующие символы:

О - отвечает за выполнение данной функции, организует ее исполне­ние, подготавливает и оформляет окончательный документ;

У - участвует в выполнении данной функции;

Р - принимает решение, утверждает, подписывает документ.

Рассмотрим Приложение Ж.

Из таблицы приложения Ж видно, что каждое подразделение порта выполняет определенные функции при этом взаимодействие с другими подразделениями ограничено. Подчиненность ряда структурных подразделений и отделов не соответствует их функциям. Также следует отметить, что в некоторых отделах происходит дублирование функций. Таким образом, можно сделать вывод, что функциональные связи в порту находятся на довольно низком уровне, что приводит к снижению эффективности деятельности как отдельного подразделения, так и всего порта в целом.

Расчет коэффициентов оценки структуры управления представлены в таблице 11

Таблица 11 – Коэффициенты оценки структуры управления

Наименование коэффициента

Формула расчета

Расшифровка формулы

Расчетное значение коэффициента

Норма

Коэффициент централизации, показывающий какая часть управленческого персонала сосредоточена в центральных штабных подразделениях, Кц

 

Численность централизованного персонала/общая численность управленческого персонала

0,21

0,1 – 1,0

Коэффициент высоты структуры дающий соотношение между количеством ступеней и звеньев управления, Кв



Численность линейных руководителей/ общая численность штабного персонала

0,19

0,1 – 1,0

Коэффициент экономичности структуры, представляющий собой среднюю величину контроля, Кэ



Общая численность управленческого персонала/общее количество структурных подразделений

0,18

0,1 – 1,0

Коэффициент эффективности организационной структуры управления,

К эф


Конечный результат(эффект)/ затраты на управления

41,4

45 -100

Коэффициент управляемости, характеризующий степень средней загруженности каждого руководителя с учетом нормы управляемости,Куп

Куп =(1/z )] х

 m

х (∑ Hф /Hн )

 1

z - число уровней управления;

m – число руководителей данного уровня управления;

Hф и Hн – фактическое и нормативное число работников, приходяще   еся в среднем на одного руководителя данного уровня управления.

0,35

0,5-1,0

Коэффициент уровня квалификации работников рассчитывается по формуле Данный анализ позволяет сделать оценку кадровой политики на предприятии, Пкр


Пкр =  
  

Численность аппарата управления с высшим образованием/ численность аппарата управления

0,75

1,0



Из данной таблицы видно, что только половина управленческого персонала сосредоточена в центральных штабных подразделениях, об этом свидетельствует показатель централизации. При этом количество работников аппарата управления превышает необходимое. Также виден недостаток контроля на данном предприятии, об этом свидетельствует коэффициент экономичности. Вследствие продолжительного отсутствия контроля отсутствуют четко обозначенные функциональные связи и связи подчинения в системе управления.

 Коэффициенты, характеризующие структуру управления, имеют низкие значения, следовательно, существующая структура управления нуждается в совершенствовании, что позволит повысить эффективность функционирования всего порта.

Таким образом, проанализировав существующие методы построения структур управления и детально изучив один из таких методов на примере ОАО «НМТП», можно сделать вывод, что в структуре управления должны быть внесены коррективы в соответствии с теми условиями, в которых организует свою деятельность морской торговый порт.

Организационная структура является наиболее очевидным элементом системы управления. Одной, универсальной для всех ситуаций, организационной структуры управления не существует. Относительная эффективность того или иного типа организационной структуры определяется различными внешними и внутренними условиями, а также реализуемыми стратегиями.

Реструктуризация управления является одним из значимых условий улучшения производственно хозяйственной деятельности, выхода морского торгового порта на качественный новый уровень развития. Совершенствование и корректировка структуры управления является важным шагом.

Следующим шагом будет корректировка структуры управления с учетом выявленных проблем: количество работников аппарата управления превышает необходимое; отсутствуют четко обозначенные функциональные связи и связи подчинения в системе управления вследствие продолжительного отсутствия контроля за структурой и функционированием аппарата управления, отсутствия мероприятий по его адаптации к складывающимся потребностям порта; подчиненность ряда структурных подразделений не соответствует их функциональному назначению.

3 Совершенствование структуры управления ОАО «Находкинский морской торговый порт»

3.1 Разработка новой организационной структуры управления ОАО «НМТП»

Организация системы управления ОАО «НМТП» предполагает наличие, в качестве базового элемента, организационной структуры как совокупности производственных и управленческих подразделений и взаимосвязей между ними.

Организационная структура управления, штат ее производственного и управленческого аппаратов определяется объемом выполняемых основных и вспомогательных операций. Действующая организационная структура ОАО «НМТП» представлена в приложении А.

Сопоставление действующей организационной структуры и штатного расписания ОАО «НМТП» (см. приложение А) с результатами деятельности порта за последние годы позволило выявить следующие недостатки настоящей организационной структуры управления:

1. Количество работников аппарата управления превышает необходимое по следующим направлениям деятельности:

- электрообслуживание;

- бухгалтерский учет;

- автообслуживание;

- охрана;

- хозяйственное обслуживание.

2. Распределения функциональных обязанностей в системе управления не соответствует новым условиям хозяйствования.

Изменение внешних условий деятельности предъявляют новые требования к организации деятельности порта: необходимо упразднить ненужные должности и ввести новые, перераспределить обязанности и установить новую схему подчиненности должностных лиц и структурных подразделений в системе управления (по принципу однородности выполняемых функций).

3. Отсутствуют четко обозначенные функциональные связи и связи подчинения в системе управления вследствие продолжительного отсутствия контроля за структурой и функционированием аппарата управления, отсутствия мероприятий по его адаптации к складывающимся потребностям порта.

4. Подчиненность ряда структурных подразделений не соответствует их функциональному назначению.

Отдел материально-технического снабжения, автобаза, подчиняются главному инженеру, что не соответствует выполняемым им в настоящее время должностным обязанностям.

Отдел договоров находится под управлением директора по экономике, что также не соответствует его прямым функциональным обязанностям.

В связи с изменением масштабов деятельности порта, а также с учетом выявленных недостатков действующей структуры предлагается провести следующие мероприятия по изменению организационной структуры ОАО «НМТП»

1. Эксплуатационная деятельность

Реорганизовать деятельность службы директора по эксплуатации. Вывести из подчинения заместителя директора по эксплуатации все структурные подразделения, не связанные непосредственно с обеспечением нормального функционирования порта, в частности, коммерческую дирекцию порта, оставив в его подчинении вспомогательные службы: диспетчерскую, дирекцию по флоту.

2. Коммерческая деятельность

Все структурные единицы, функционирование которых связано с коммерческой деятельностью, подчинить одному руководителю – директору по коммерческой работе.

Для этого целесообразно выделить следующие структурные подразделения:

- коммерческую дирекцию порта;

- отдел договоров.

Указанные службы выполняют разные функции.

Для эффективной организации и координации работ по снабжению и сбыту отдел договоров должен быть непосредственно подчинен тому же руководителю, что и ОМТС. Подчинение их разным руководителям может привести к увеличению числа согласующих действий, увеличению управленческого цикла снабженческо-бытовых работ и в конечном итоге – к снижению оперативности работы снабженческо-сбытовых структурных подразделений и серьезным материальным потерям.

3. Экономическая служба

Все структурные подразделения аппарата управления, выполняющие функции экономического руководства, сосредоточить в подчинении отдельного руководителя в ранге директора по экономике, что должно облегчить организацию, координацию и контроль в области экономики и организации финансово-экономической деятельности.

Наиболее важной функцией управления в настоящее время является планирование деятельности предприятия. Вместе с тем, как правило, вторым лицом на предприятии является главный бухгалтер. Поэтому целесообразно сосредоточить у директора по планированию и экономике – функции планирования и анализа, а у директора по финансам – функции учета и финансового контроля.

4. Служба главного инженера

Для обеспечения эффективного функционирования порта необходимо сконцентрировать управление службами внутреннего обеспечения в службе главного инженера, под управлением директора главного инженера, избавив ее от выполнения снабженческих и технологических функций.

Главному инженеру целесообразно подчинить техническое обслуживание.

Техническое обслуживание

 В соответствии с традицией и логикой развития системы обслуживания производства сосредоточить в подчинении у дирекции по технологии и механизации структурные единицы, которые занимаются управлением и обслуживанием оборудования ОАО «НМТП»:

- дирекцию по технологии и механизации, для осуществления контроля за подразделениями и службами механизации;

-        службу механизации, сосредоточив в ней работы по обслуживанию и эксплуатации автотранспорта и перегрузочного оборудования;

- ремонтно-эксплуатационный участок, объединив в нем хозяйственный цех, ремонтно-эксплуатационный участок и электроучасток (по принципу однородности выполняемых функций) и сосредоточив в нем обслуживание и текущий ремонт всех объектов порта за исключением автотранспорта и перегрузочного оборудования.

- автобазу для упрощения управления процессами механизации на предприятии.

5. Административная деятельность

При наличии директора по административной деятельности подчинить ему все службы охраны для усиления системы контроля за безопасностью на предприятии.

6. Деятельность по социальным вопросам

Служба директора по социальным вопросам в настоящий момент наиболее эффективно из всех служб порта выполняет поставленные перед ней задачи, и соответственно, в реорганизации не нуждается, кроме принятия на себя функций дирекции по связям с общественностью.

 

7. Новая организационная структура

В соответствии с перераспределением обязанностей в системе управления предлагается ввести новую номенклатуру заместителей генерального директора.

1. Директор (главный инженер).

2. Директор по экономике.

З. Директор по эксплуатации.

4. Коммерческий директор.

На основании изложенного выше предлагается следующая организационная структура управления (приложение В).

Существовавшая до предлагаемой реорганизации система управления не учитывала полностью специфику рыночных отношений и была неадаптивной к происходящим изменениям в данной отрасли.

Выделение звена управления коммерческой деятельностью предприятия позволит оперативно решать такие стратегические задачи, как исследование рынка, прогнозирование спроса, выявление изменений предложения на данный вид услуг, чтобы с учетом имеющихся сведений вести правильно выбранную и обоснованную ценовую политику на всех этапах осуществления стратегического плана предприятия.

Вновь введенный коммерческий директор осуществляет общее руководство материально-техническим снабжением, сбытом, изучением конъюнктуры рынка.

Основными функциональными обязанностями директора по коммерческой работе являются следующие:

- общее и оперативное руководство деятельностью подчиненных ему структурных подразделений – для организации стратегического контроля;

- контроль за проведением маркетинговых исследований совместно с экономической службой и работниками маркетингового центра – для организации, в основном, контроля за изменениями в состоянии внешней среды;

- организация работы с постоянной клиентурой – для организации сбытовой деятельности, выбора ценовой политики для работы с постоянными клиентами;

- подготовка и заключение договоров с клиентурой, подготавливаемых сотрудниками отдела договоров – для выполнения представительских функций;

- контроль выполнения действующих договоров – для организации оперативного контроля.

Должности, предлагаемые к сокращению искусственно уменьшают ФОТ, улучшая при этом организационный эффект. Организация в целом не испытывает необходимости в дополнительных сотрудниках вследствие перераспределения их обязанностей.

3.2 Разработка системы стимулирования деятельности персонала, в условиях новой организационной структуры

Эффективное функционирование порта предполагает повышение заинтересованности всех структурных подразделений и отдельных работников в выполнении плановых заданий. Этим определяется роль системы стимулирования труда, которая является внутренним стержнем всей системы управления и планирования. В системе стимулирования основным звеном является материальная заинтересованность подразделений и отдельных работников порта в результатах собственного труда и конечных результатах деятельности своего подразделения и порта в целом.

Большое место в материальном поощрении занимают различные премии. Коллектив ОАО «НМТП» имеет право на выплату премий при условии выполнения следующих основных показателей выполнение плана по доходам; по прибыли и производительности труда.

С целью активного использования экономических рычагов и стимула для усиления материальной заинтересованности работников в получении прибыли порта, внедрение эффективных управленческих решений и предоставлении самостоятельности подразделениям в распределении ими заработанных средств в порту формируется дополнительный фонд оплаты труда. Дополнительный фонд оплаты труда формируется по каждому подразделению и зависит от конечных результатов деятельности подразделений. Общий размер дополнительного фонда оплаты труда определяется дирекцией по планированию и экономике по нормативу нарастающим итогом с начала года.

По подразделениям, не имеющим доходов расчёт дополнительного ФОТ осуществляется по среднему проценту, сложившемуся по порту.

Распределение премии между работниками производится руководителем подразделения. Часть дополнительного ФОТ руководитель подразделения может направлять на поощрение отдельных работников за выполнение особо важного задания, другие достижения в работе, за выполнение обязанностей временно отсутствующего работника, а также на удовлетворение социальных нужд членов коллектива. Оставшаяся часть дополнительного ФОТ направляется на дополнительное поощрение работников подразделения. Руководитель подразделения может зарезервировать размер дополнительного ФОТ для последующих выплат при недостаточном поступлении средств на счёт порта.

Приведённый выше механизм используется для определения фактической суммы премирования по хозяйствам порта. Для стимулирования различных сторон трудовой деятельности отдельных работников, руководитель каждого подразделения устанавливает дополнительные показатели премирования.

Показатели и условия премирования руководителей, специалистов и технических исполнителей, дирекции Находкинского порта устанавливает руководство порта при согласовании с профкомом порта.

Дополнительными показателями премирования руководителей, специалистов дирекции порта являются:

1.Выполнение плановых объёмов капитальных вложений независимо от источников финансирования – 10%;

2. Соблюдение нормативных сроков и качеств строительства объектов – 10%.

Ещё одной формой материального стимулирования труда является вознаграждение работников по итогам работы за год. Выплата вознаграждения производится за счёт и в пределах части ФОТ, выделенной на эти цели.

Дополнительный ФОТ для вознаграждения по итогам работы за год рассчитывается также по нормативу.

При выплате вознаграждения учитывается непрерывный стаж работы.

Следует подчеркнуть, что применяемый сейчас метод стимулирования труда в ОАО «НМТП» с применением коэффициента трудового участия, различными дополнительными ФОТ, премиями за выполнение объемов работ не позволяет в полной мере реализовать принципы оплаты по конечному результату.

Главной задачей совершенствования материального стимулирования труда любой группы работников является усиление их заинтересованности в достижении высоких производственных показателей, сокращении сроков выполнения поручаемых им заданий. Отсюда следует, что для получения высокого стимулирующего эффекта необходимо обеспечить возможно точное и полное отражение в оплате труда достижений и недостатков в деятельности работников. Не являются исключением из этого правила и руководящие работники, специалисты и технические исполнители.

Важное место в создании действенной системы стимулирования занимает правильное сочетание поощрительных систем и материальных санкций.

Система стимулирования деятельности персонала может быть эффективной только в том случае, если она удовлетворяет следующим требованиям:

- результат деятельности подразделения должен быть увязан с соблюдением уровня запланированных ему издержек и выполнением мероприятий по их экономии;

- размер фонда оплаты труда подразделения и величина оплаты труда каждого работника должны непосредственно зависеть от результатов выполнения плана по производственным издержкам;

- величина оплаты труда работника и фонд оплаты труда подразделения должны быть увязаны по возможности с результатами деятельности предприятия, особенно в том случае, когда несоблюдение запланированного уровня издержек приводит к улучшению или ухудшению результатов деятельности предприятия. В этой связи особое значение приобретает активизация деятельности функциональных подразделений (отделов, управлений, служб) аппарата управления предприятием, от которых в значительной степени зависят:

- эффективность внедрения новой техники и технологии;

- изучение спроса на продукцию предприятия и своевременный запуск в производство высококачественных и экономичных изделий;

- изыскание возможностей увеличения как объема, так и номенклатуры реализации продукции, работ и услуг;

- поиск путей эффективного вложения капитальных затрат и создание условий для их быстрой отдачи;

- совершенствование структуры производства и управления предприятием.

Одним из основных направлений активизации деятельности структурных подразделений аппарата управления является ее организация на основе использования хозрасчетных отношений. Отечественная практика применения внутрихозяйственного расчета как экономического метода управления внутри предприятия свидетельствует о том, что применение хозрасчетных принципов в системе внутрипроизводственного управления содействует развитию творческой активности работника, повышает его ответственность за результаты индивидуального и коллективного труда, формирует бережное, рачительное отношение к используемым материальным и финансовым ресурсам.

В условиях рыночных отношений внутрихозяйственный расчет при условии его правильной организации, отладки в соответствии с требованиями нормирования, планирования, учета и экономического анализа является лучшим передаточным звеном импульсов тех внешних рыночных отношений, в которых функционирует предприятие в целом.

Тем самым построение системы внутрипроизводственного управления на принципах внутрихозяйственного расчета позволяет создать такие условия, при которых внешние отношения предприятия и его внутрипроизводственные отношения начинают действовать в одном режиме.

Для этого варианта организации работы структурных подразделений аппарата управления характерна попытка непосредственно связать конечные результаты их деятельности и оценку этих результатов с конечными результатами деятельности предприятия. Достигнуть этого можно лишь посредством установления структурным подразделениям аппарата управления такой системы планово-оценочных показателей и нормативов, которая бы позволяла измерить и оценить выполнение отделами и службами своих функций по конечным результатам деятельности предприятия, что позволяет реализовать объективно существующую связь между результатами деятельности коллективов указанных подразделений и предприятием в целом.

Только в этом случае возможно достаточно точно определить вклад структурных подразделений аппарата управления в результаты производственно-хозяйственной деятельности предприятия, и тем самым создать реальную основу для их экономически обоснованного материального стимулирования (здесь имеется в виду как поощрение за результаты работы, так и материальная ответственность в случае каких-либо упущений и недочетов в работе).

Отсюда следует, что только этот вариант организации деятельности отделов и служб на основе использования принципов внутрихозяйственного расчета позволяет в полной мере использовать их стимулирующее воздействие и тем самым создать на предприятии такую систему внутрипроизводственного управления, которая бы объективно побуждала коллективы структурных подразделений аппарата управления к поиску управленческих решений, направленных повышение качества продукции и рациональное использование имеющегося производственного потенциала предприятия, снижение производственных издержек.

Основными сдерживающими моментами построения системы внутрипроизводственного управления по указанной схеме являются следующие.

Во-первых, до настоящего времени не получили необходимой для этого теоретической проработки системные основы организации деятельности структурных подразделений аппарата управления в условиях применения принципов хозяйственного расчета. В первую очередь не вычленена в системе производственно-хозяйственной деятельности предприятия область их ответственности, что, в свою очередь, не дает возможности разработать научно обоснованную систему показателей планирования, учета, оценки и стимулирования деятельности научно.

Во-вторых, степень совершенства системы управления деятельностью структурных подразделений аппарата управления, уровень нормирования, планирования, учета и анализа их деятельности значительно уступает уровню совершенства системы управления деятельностью производственных подразделений. На этапе экстенсивного развития народного хозяйства в центре внимания находились именно производственные подразделения, обеспечивавшие выпуск продукции в номенклатуре и объемах, определенных плановым заданием.

Ориентация хозяйственного механизма предприятия и концентрация внимания хозяйственных органов на количественных показателях, а именно на объеме выпуска продукции, номенклатуре производимой продукции и т.д., обусловили положение, при котором в системе внутрипроизводственного управления основное значение придавалось совершенствованию работы производственных подразделений и системы управления ими.

По мере роста масштабов и развития техники производства, специализации и кооперирования труда возрастает роль функций, выполняемых подразделениями аппарата управления, особенно технических служб, и соответственно повышается их вклад в результаты деятельности предприятия. Тем более весомым должен, быть эффект, полученный от рациональной, научно обоснованной организации их труда.

В значительной степени усиление влияния функциональных подразделений аппарата управления на конечные результаты деятельности предприятия должно идти через научно обоснованное определение доли их ответственности за эти результаты, установление действенной системы нормирования, планирования, учета, анализа и эффективного контроля за деятельностью этих подразделений, ликвидацию уравнительного характера материального стимулирования их труда.

Определенные попытки включить структурные подразделения аппарата управления в систему хозяйственного расчета ОАО «НМТП» в теоретическом плане предпринимались. Однако широкого распространения они на практике не получили.

Главной причиной такого явления, является отсутствие теоретических разработок и практических рекомендаций, позволяющих в комплексе увязать систему показателей деятельности структурных подразделений аппарата управления с показателями деятельности производственных подразделений и предприятия в целом.

Основой построения такой системы должна послужить, система стимулирования снижения издержек производства, содержащая следующие элементы:

- систему планирования производственных издержек, причем планирование должно предусматривать распределение издержек по центрам образования, центрам ответственности, источникам покрытия;

- систему оперативного контроля за уровнем производственных издержек, позволяющих своевременно выявлять отклонения от запланированного уровня издержек, определять причины отклонений и виновных;

- систему санкций и поощрений за соответственно превышение или снижение уровня запланированной величины производственных издержек, причем размер санкции или поощрения должен соотноситься по возможности соответственно с уровнем причиненного не выполнением плана ущерба (упущенной выгоды);

- система санкций и поощрений должны предусматривать способ воздействия не только на подразделение, отвечающее за тот или иной вид производственных издержек, но на непосредственных виновников причиненного ущерба.

Построенная на подобных принципах система стимулирования снижения производственных издержек специфична и зависит от масштабов деятельности предприятия, отраслевой специфики, особенностей организации труда, производства и управления. Поэтому разработка конкретных системы такого типа должна производиться с учетом перечисленных факторов.

В основу формирования системы регулирования уровня и стимулирования снижения издержек производства на предприятии ОАО «НМТП» предлагается положить следующие элементы:

- систему плановых показателей и нормативов деятельности подразделений по номенклатуре и уровню издержек;

- систему материальной ответственности подразделений за несоблюдение запланированного уровня издержек;

- систему стимулирования труда работников, направленную на поддержание запланированного уровня производственных издержек и их снижение.

Система материальной ответственности подразделений за несоблюдение запланированного уровня издержек. Материальная ответственность подразделений предприятия за невыполнение или ненадлежащее плана по издержкам является стержневым элементом.

Для того, чтобы система материальной ответственности подразделений предприятия действовала систематически и результативно, необходимо создать определенные условия, центральными из которых являются следующие:

- обязательное отражение в системе хозяйственного учета предприятия претензий и санкций;

- постоянное поддержание в рабочем состоянии всей процедуры рассмотрения претензий и определения санкций.

Материальная ответственность является регулятором и стимулятором взаимоотношений подразделений, возникающих в процессе внутрипроизводственной кооперации труда. Эти отношения обязательно должны определяться и направляться с уровня предприятия в целом.

Материальная ответственность подразделений и работников аппарата управления должна явиться составной частью системы материальной ответственности подразделений предприятия. Вместе с тем подразделения аппарата управления в системе материальной ответственности выступают не только как ее субъекты, предъявляющие (получающие) внутренние претензии, но и как административные органы, обеспечивающие функционирование системы материальной ответственности.

В рыночной экономике предприятие несет в полной мере ответственность за свои действия. Этот подход в принципе не может быть распространен на материальную ответственность внутри предприятия.

В системе стимулирования труда персонала система материальной ответственности подразделений выполняет следующие основные функции:

- индивидуализацию ответственности каждого подразделения за результаты своей деятельности в части издержек производства;

- материальное наказание подразделения, нарушившего обязательства по внутрипроизводственной кооперации труда;

- защиту интересов пострадавшего подразделения;

Материальная ответственность реализуется посредством предъявления подразделению, нарушившему план производства и допустившим превышение их уровня сверх запланированного и принесшего в результате этого ущерб другому подразделению или предприятию в целом претензий и взыскания по ним материальных санкций.

Наибольший эффект воздействия имеет не столько величина наказания, сколько его неотвратимость. Это положение полностью сохраняет свое значение и в условиях применения системы материальной ответственности. Именно исходя из него и должен определяться порядок предъявления претензий. Претензию должно предъявлять подразделение, по отношению к которому допущено нарушение внутрипроизводственных обязательств повлекшее увеличение запланированных затрат (например в результате вынужденного простоя). При этом если пострадавшее подразделение не воспользовалось своим правом предъявить претензию, то при подведении итогов его деятельности факт причинения ему ущерба не должен рассматриваться как смягчающее, не зависящее от его деятельности обстоятельство.

Помимо этого, на потерпевшее подразделение возлагается обязанность принять меры к минимизации потерь от нарушения внутрипроизводственных обязательств. Наложение санкций на виновное подразделение не должно освобождать его от дальнейшего реального исполнения нарушенного обязательства.

В системе материальной ответственности применяются следующие виды материальных санкций:

- штраф, взыскиваемый с виновного подразделения в пользу пострадавшего;

- возмещение пострадавшему подразделению непроизводительных издержек;

- корректировка плановых показателей пострадавшего подразделения.

Организационно-правовой основой применения материальной ответственности является разработанный с учетом конкретных условий работы и утвержденный на предприятии классификатор претензий санкций.

Предлагаемый классификатор претензий и санкций предприятий рыбной промышленности приведен в приложении Г.

Система санкций и поощрений является стержнем всей системы стимулирования деятельности подразделений. Она должна позволять перераспределять доходы подразделений в соответствии с выполнением или невыполнением ими плановых заданий по издержками производства.

Система стимулирования деятельности подразделений должна обязательна охватывать как производственные подразделения, так и подразделения аппарата управления, несмотря на то, что последние не выполняют производственных функций. Это объясняется тем, что отделы и службы аппарата управления оказывают непосредственное влияние на результаты деятельности производственных подразделений и уровень производственных затрат.

Исход из приведенных выше положений и с учетом классификатора претензий и санкций, можно предложить: при включении системы санкций и поощрений систему организации деятельности структурных подразделений механизм в внутрихозяйственных отношений выглядит следующим образом: подразделениям устанавливается система плановых показателей, за выполнение которых подразделение несет ответственность; формируется фонд оплаты труда исходя из предельной (плановой) численности работников подразделения; фонд оплаты труда периодически корректируется в соответствии с санкциями и претензиями, предъявленным подразделениям.

Систему стимулирования труда работников, направленную на поддержание запланированного уровня производственных издержек и их снижение, предлагается построить по следующей схеме.

1. В случае ее формирования лежит система санкций и поощрений.

2. В случае, когда величина убытков согласно решению руководства предприятия должна быть полностью покрыта за счет фонда оплаты труда подразделения, нижний предел месячного размера корректировки фонда оплаты труда подразделения определяется установленной законом минимальной величиной фонда оплаты труда. Во избежание нарушений трудового законодательства данное положение должно быть зафиксировано в документах, регламентирующих порядок оплаты и стимулирования труда на предприятии.

3. Величина убытков при невыполнении плана по показателям, не имеющим прямого денежного выражения, определяется на основе плана по издержкам производства.

4. Скорректированный (в сторону уменьшения) фонд оплаты труда при наложении штрафных санкций на подразделение распределяется пропорционально плановым размерам оплаты труда работников за исключением случая, когда всем работникам выплачивается установленный законом минимум.

5. В случае, если виновником нарушения является отдельный работник (группа работников) величина взыскания полностью обращается на фонд оплаты труда работника (группы работников). При этом соблюдается принципы, сформулированные в пунктах 2 и 4.

6. При снижении плановой величины издержек и соблюдении требований технологии и организации производства экономия расходуется на премирование работников и снижение плановой величины себестоимости продукции.

7. Размер экономии распределяется между работниками (75%) и предприятием (25%). Распределение производится между премируемыми работниками пропорционально плановым величинам оплаты труда, если иное не предусмотрено положениями об оплате труда, действующими на предприятии.

Внедрение предложенной системы стимулирования снижения издержек позволяет прямо увязать систему стимулирования деятельности работников со стоимостными показателями деятельности предприятия.

В целях совершенствования механизма стимулирования деятельности подразделений целесообразно пересмотреть существующую методику формирования стимулирующей части фонда оплаты труда. Поскольку размер премии зависит от финансовых результатов, а те в значительной степени - от внешних факторов. Необходимо учитывать, какая часть прибыли была получена за счет повышения эффективности труда и вести премирование работников производственных подразделений только из этой части. Премирование работников аппарата управления возможно и из части прибыли, полученной за счет внешних факторов, но при условии, что увеличение ее за счет данных факторов в какой-то степени - результат их деятельности.

Основываясь на результатах технико-экономического анализа деятельности предприятия можно предложить следующий набор мероприятий по оптимизации процесса управления.

Во-первых, комплекс усилий, направленный на снижение длительности простоев оборудования. Обновление парка оборудования, с целью уменьшения частоты поломок. Повышение квалификации и оптимизация труда ремонтников, с целью улучшить качество ремонта оборудования. Введение материальной заинтересованности в уменьшении длительности простоев оборудования у всех лиц от которых это зависит.

Во-вторых, изменение ситуации характеризующейся увеличением количеством фактически отработанных смен у промышленно-производственного персонала. А именно:

- закупка более производительного оборудования, внедрение более современных время сберегающих технологий с целью увеличения производительности труда, так как не приходится ожидать, что предприятие снизит объем производства;

- введение строго контроля за учетом рабочего времени, с целью уменьшения приписок.

Дальнейшее продвижение системы сдельной оплаты труда, с целью компенсации рабочим потерь от уменьшения количества фактически отработанного времени, вызванного претворением в жизнь вышеупомянутых мероприятий.

В-третьих, необходимо закрепить наметившуюся тенденцию по стабилизации кадрового состава предприятия. Для этого необходимо провести в жизнь ряд мероприятий в социальной сфере. Вообще уровень переменной составляющей фонда оплаты труда на анализируемом предприятии значительно ниже уровня постоянной. Это результат в первую очередь несовершенства сдельной оплаты труда, большого количества повременщиков. Во вторую очередь это следствие маскировки статей оплаты труда зависящих от количественного уровня производства продукции в статье постоянной составляющей. Это следствие излишне усложненной системы организации оплаты труда, преследующей цель сделать рабочего человека зависимым от руководства во всех отношениях (система КТУ, особо важных заданий, различных надбавок и премий).

В целом, резюмируя вышесказанное, можно заключить, что работа предприятия заслуживает положительной оценки. В наше тяжелое время оно не только не снизило объемов производства, но и продолжает их наращивать, вводя новую номенклатуру изделий и услуг. Так же как положительный факт можно отметить заботу руководства о рядовых сотрудниках, стремление создать им материальные и моральные условия для хорошей работы. Коллектив предприятия тоже неплохо, можно даже сказать ударно, трудится, не взирая на трудности. Предприятие имеет солидный производственный потенциал и резервы для роста.

3.3 Оценка экономической эффективности предлагаемых мероприятий

Оценка экономической эффективности мероприятий может быть проведена по следующим направлениям:

- оценка эффективности деятельности организационной структуры управления c помощью расчетов коэффициентов;

- оценка стимулирующего фактора персонала.

 Расчет коэффициентов оценки структуры управления представлены в таблице 11

Таблица 12 – Коэффициенты оценки структуры управления

Наименование коэффициента

Формула расчета

Расшифровка формулы

Расчетное значение коэффициента

Норма

Коэффициент централизации, показывающий какая часть управленческого персонала сосредоточена в центральных штабных подразделениях, Кц



Численность централизованного персонала/общая численность управленческого персонала

0,21

0,1 – 1,0

Коэффициент экономичности струк

уры, представляющий собой среднюю величину контроля, Кэ



Общая численность управленческого персонала/общее количество структурных подразделений

0,53

0,1 – 1,0

Коэффициент эффективности организационной структуры управления,

К эф


Конечный результат(эффект)/ затраты на управления

62,8

45 -100

Коэффициент управляемости, отражает, насколько целостной является деятельность в исследуемом подразделении.

#

у - число уровней управления;

Чф и Чн – фактическое и нормативное число работников, приходящееся в среднем на одного руководителя данного уровня управления.

0,85

0,5-1,0


Проанализировав данные видно (рисунок 10), что вследствие проведенных мероприятий коэффициент управляемости увеличился, это значит, что управление организовано в подразделениях эффективно и, соответственно, настолько же эффективно осуществляется деятельность на предприятии в целом. Управленческие связи разных типов в торговом порту налажены, целенаправленно осуществляется управление.

Рисунок 10 – позиционная оценка коэффициентов оценки структуры управления

В результате предлагаемых мероприятий по совершенствованию структуры управления должны явиться снижение численности работников, а соответственно сокращение фонда заработной.

Новая структура управления позволит:

- сократить трудовые затраты при существующем объеме работ;

- повысить трудовую, технологическую и производственную дисциплину работников подразделений порта;

- улучшить моральный климат в реорганизационных подразделениях;

- ускорить процесс обмена информации.

Критериями благоприятного социально-психологического климата в новых условиях будут:

Во-первых, на уровне коллективного сознания:

1. Положительная оценка своей производственной деятельности;

2. Оптимистическое настроение, преобладающее в процессе жизнедеятельности коллектива;

3. Во-вторых, на уровне поведения:

4. Добросовестное, инициативное отношение членов коллектива к выполняемым обязанностям;

5. Низкий уровень конфликтности в межличностных отношениях;

6. Отсутствие или незначительная текучесть кадров.

Необходимо отметить, что в коллективах, где недооценивается значение социально-психологического климата, складываются напряженные отношения между людьми, проявляющиеся в частых конфликтах.

В результате введения новой системы стимулирования труда, заработная плата работников должна увеличиться на 10-15%, каждый работник будет заинтересован в безубыточном производстве, потому что от этого будет зависеть его заработная плата.

Так же в связи с формированием новой организационной структуры на предприятии ОАО «НМТП» управление будет строиться по принципам:

1. Увеличение скорости прохождения управленческой информации;

2. Выделение подразделений предприятия для управления определенным видом деятельности;

3. Сокращение горизонтальных связей между подразделениями, как можно большее решение вопросов внутри одного подразделения.

Новая организационная структура системы управления предприятием позволит более эффективно управлять как предприятием, так материальными потоками.

Принцип работы организации: экономический - система участия в прибыли. У работников предприятия вырабатывается предпринимательское мышление, отношения, в организации работы партнерские, каждый член сам отвечает за качество своей услуги, так как от этого зависит его востребованность на рынке услуг и влияет на его заработок.

Внедрение предложенного варианта изменения структуры управления позволит более эффективно управлять предприятием, а, значит, и производственно-хозяйственной деятельностью, и изменить финансовое состояние предприятий в лучшую сторону.

Заключение

Под организационной структурой управления понимается упорядоченная совокупность устойчиво взаимосвязанных элементов, обеспечивающих функционирование и развитие организации как единого целого.

Настоящая работа была продиктована необходимостью перестройки структуры управления «Находкинского морского торгового порта» в соответствии с новыми условиями деятельности и совершенствования организации работы его структурных подразделений, с учетом изменившихся внешних условий деятельности, задач порта, изменения номенклатуры и объемов оказываемых услуг и проводимых работ.

Цель работы предполагала исследование и анализ организационной структуры управления предприятия в условиях рыночных отношений и разработка мероприятий по совершенствованию структуры управления поиск вариантов совершенствования ее функционирования.

Результатом дипломного проекта было:

1) представление детального анализа структуры управления ОАО «Находкинский морской торговый порт»;

2) проектирование новой структуры управления на ОАО «НМТП» в части перестройки организационной структуры и предлагаемых в этом направлении комплексных мероприятий;

3) представление оценки экономической эффективности предлагаемых структурных изменений в системе управления ОАО «НМТП».

Анализ структуры управления указывает на ее громоздкость и инерционность. Руководители высшего звена перегружены и имеют в своем подчинении подразделения, не вписывающиеся в их функциональную структуру. Функции отделов торгового порта не адаптированы к новым рыночным отношениям.

Реализация предложенных изменений позволит упорядочить линейно-функциональные отношения между субъектами и объектами управления. Перераспределение и делегирования полномочий позволит улучшить управляемость предприятия и повысить ответственность руководителей административных и производственных подразделений. Ожидаемый экономический эффект от внедрения предложений 109712,32 рублей.

На основе произведенного анализа высказаны предложения по преодолению возникших у предприятия проблем. Большая часть предложений касается изменения структуры предприятия, изменения функциональных обязанностей отделов порта.

Разработаны мероприятия по совершенствованию организационной структуры управления ОАО «НМТП». Рассчитан экономический эффект от внедрения мероприятия.

В представленной работе показано использование приобретенных теоретических знаний в области экономического анализа и теории управления. Использование этих знаний позволяет систематизировать и аналитически представит процессы, происходящие в реальном производстве. Использование экономических законов и положений производственного менеджмента позволяет вовремя определить отклонения в работе предприятия и произвести их корректировки.

На основе укрупненного анализа деятельности ОАО «НМТП» необходимо произвести детальный анализ деятельности каждого административного и производственного подразделения, определить круг должностных и функциональных обязанностей каждого работающего на предприятии, увязав их в единую структуру, направленную на реализацию стратегии предприятия, в процессе такого анализа выявится еще множество управленческих операций, которые потребуют совершенствования. Если на предприятии будет проведена такая работа, то успех ему обеспечен.

 

Список литературы

1. Абдукаримов, И.Т. Анализ хозяйственной деятельности. - М.: Экономика, 2002;

2. Ансофф, И. Стратегическое управление. - М.:Экономика,2001;

3. Баканов, М.И., Шеремет, А.Д. Теория экономического анализа. - М.: Финансы и статистика, 2000;

4. Бакланов, П.Я. и др. Изменения в территориальных структурах хозяйства и расселения Дальнего Востока при переходе к рыночной экономике. - Владивосток: «Зов тайги», 1996;

5. Вахненко, Р.В. Морские порты Японского региона. - Владивосток, 1998;

6. Гвишиани, Д.М. Организация и управление. - М.: Изд-во МГУ, 2001;

7. Казанцев, А.И. и др. Практический менеджмент. - М.: ИНФРА-М, 2002;

8. Кноринг, В.И. Теория, практика и искусство управления: Учебник для вузов. - М.: НОРМА-ИНФРА-М,1999.-528с.;

9. Коротков, Э.М. Концепция менеджмента. - М.,1998г.;

10. Корякин, С.Ф., Пантин, А.А. Экономика морского транспорта. -

М.:Транспорт,1979.-416с.;

      11. Маркова, В.Д., Кузнецова, С.А. Стратегический менеджмент: Курс лекций. - М.: Инфра-М; Новосибирск: Сибирское соглашение,1999;

12.  Мильнер, Б.З. Теория организации. - М. – ИНФРА-М,1999;

13.  Основы управления морским транспортом: Программа, методические указания и контрольные задания по курсу «Основы управления морским транспортом». - М.: Мортехинформреклама,1991.-56с.;

14. Приморский край. Уроки рыночных реформ - Под ред. А.П. Латкина. – Владивосток, 1997;

15. Приморский край России. – Хабаровск: Приамурские ведомости, 2001;

16. Савицкая, Г.В. Анализ хозяйственной деятельности предприятия. - Минск: «Новое знание», 2004;

 17. Шашков, Н.И. Приморье в конце двух веков. - Владивосток: Изд-во ДВГУ, 1996;

18. Шипунов, В.Г., Кишнель Е.Н. Основы управленческой деятельности. -М.:Высшая школа,2003;

19. Шматов, Э.М. Тальман морского порта. - М.: Транспорт,1980,-143с.;

20. Экономика предприятия - Под ред.Горфинкеля В.Я. и Купрякова Е.М.-М.:Банки и биржи,2003;

21. Экономика предприятия: Учебник для вузов - Под ред. Ф.К. Беа, Э.Дихтла, М.Швайтцера. – М.:Инфра-М, 2003.

22. Алексеев, Н. Проектирование систем управления - Консультант директора. - 2003. - №3. - С.10-14;

23. Алекссев, Н. Эволюция систем управления предприятием - Проблемы теории и практики управления. – 2004. - №2. - С.103-197;

24. Грушенко, В.И. и др. Разработка организационной структуры управления предприятием в условиях экономического кризиса - Менеджмент в России и за рубежом. - 2004. -№6. -С.87;

25. Золотов, В., Федорова, Н. Методика оценки эффективности организационных структур управления - Консультант директора. - 2003. - №2. -С.2-9;

26. Золотов, В.,Федорова, Н. Принципы построения организационных структур управления - Консультант директора. - 2003. - №1. - С.5-12;

27. Конов, Д., Куликов, А. Управленческая диагностика - Консультант директора. - 2000. - №7. -С.28-31;

28. Расстегаев, В. Как город-порт был заложен - Находкинский рабочий. – 1997. -16 июля. – С.2;

29. Смирнов, Э. Стандартизация ключевых элементов управленческой деятельности в компании // Консультант директора. - 2002. - №10.-С711-21;

30. Справочник директора предприятия // Под ред. М.Г. Лапусты. - М.: ИНФРА-М,2001;

31. ОАО «Находкинский морской торговый порт». 2007г.: годовой отчет. – Находка: Печатный салон ПМП, 2007;

32. ОАО «Находкинский морской торговый порт».2008г.: годовой отчет. – Находка: Печатный салон ПМП, 2008;

33. ОАО «Находкинский морской торговый порт».2009г.: годовой отчет. – Находка: Печатный салон ПМП, 2009;

34.  Стратегия территориальной организации хозяйства Приморского края. – Владивосток: ДВО институт географии, 1991;

35.  Хасанский порт – зародыш крупного транспортного узла на Дальнем Востоке // Владивосток. – 9 апреля. – С.5;

36.  Горфинкель В.Я. Экономика предприятия – учебник для вузов / под общей редакцией В.П. Грузинова – М: Банки и биржи: ЮНИТИ, 1996. –366 с.

Похожие работы на - Совершенствование структуры управления "Находкинского морского торгового порта"

 

Не нашли материал для своей работы?
Поможем написать уникальную работу
Без плагиата!
Без нейросетей!