Розробка організаційної структури управління на транспортному підприємстві
Міністерство
Освіти та Науки України
Національний
Транспортний Університет
кафедра
економіки менеджменту та права
КУРСОВА
РОБОТА
за
дисципліною: Основи менеджменту
Виконав
студент групи
ЛГ-ІІІ-2 :
Казарінов Т.О.
Київ
2008
Вступ
На
кожному етапі розвитку економіки переважне поширення одержують ті або інші типи
виробничих організацій. Як у народному господарстві так і на транспорті
відбувається безупинне удосконалювання чинних організаційних структур
управління і пошук нових, більш раціональних форм організації управління.
Пізнання закономірностей і теоретичне пояснення цих процесів мають велике
значення для підвищення ефективності промислового виробництва. Сучасна
економічна реформа в Україні, яка здійснюється у напрямі ринкових перетворень,
докорінно змінює характер, принципи та процес управління. Суттєво змінюються й
вимоги до професійного та кваліфікаційного рівня управлінських працівників
(менеджерів).
Організаційна
структура управління — це форма поділу праці, що закріплює певні функції
управління за відповідними структурними підрозділами апарата управління. У
широкому розумінні задача менеджерів полягає в тому, щоб обрати ту
організаційну структуру, яка найкраще відповідає цілям і задачам підприємства,
а також внутрішнім і зовнішнім факторам, що впливають на неї. Найкраща
структура — це та, яка найкращим чином дозволяє підприємству ефективно взаємодіяти
із зовнішнім середовищем, продуктивно і доцільно розподіляти і спрямовувати
зусилля своїх співробітників і таким чином задовольняти потреби клієнтів і
досягати своїх цілей із високою ефективністю.
В даний
час накопичений значний досвід теоретичного обґрунтування еволюції
організаційних структур управління. Розроблені й успішно застосовуються на
практиці різноманітні методологічні підходи до вивчення закономірностей їхнього
формування і розвитку. Основні розходження між цими підходами полягають у неоднозначному
тлумаченні організаційних структур управління, що в одному випадку
розглядаються як механізм, побудований для розв’язання конкретних задач, в
іншому — як соціальний організм, що чуйно реагує на потреби членів трудового
колективу, у третьому — як складна соціально-економічна система і т.п.
Дана
тема є актуальною практично для кожного підприємства. За умов адміністративно-командної
економіки проблема відповідності організаційної структури управління цілям і
задачам підприємства, а також внутрішнім і зовнішнім факторам, які впливають на
неї не вивчалась. Існували оргструктури бюрократичного типу з жорсткими
ієрархічними зв’язками, високим рівнем формалізації, централізованим прийняттям
рішень. Дана структура вважалася ефективною для будь-яких умов і форм. В той же
час, зовсім не зверталася увага на те, що оргструктура і управління нею не
можуть бути стабільними, вони постійно змінюються і удосконалюються в
залежності від умов. В умовах ринкової економіки підприємствам необхідно швидко
реагувати на зміни зовнішнього середовища й адаптувати оргструктури відповідно
до змін.
1.1
Реалізація функцій менеджменту на підприємстві
1.1.1 Планування
1.1.1.1 Характеристика
транспортної галузі
Вигідне
географічне положення України на шляху основних транзитних потоків між Європою
та Азією, наявність незамерзаючих чорноморських портів, розвинутої мережі
залізниць, автомобільних доріг, трубопроводів у широтних та меридіональних
напрямах створює всі необхідні передумови для збільшення обсягів транзиту
вантажів.
Через Україну
пролягають потужні трансконтинентальні трубопровідні магістралі: газопроводи
"Союз" (з Уралу в країни Європи) та "Уренгой - Ужгород" (із
Західного Сибіру в країні Європи), а також нафтопровід "Дружба"
(Західний Сибір - країни Європи). За 2002 рік через територію України пройшло
181,6 млн. т транзитних вантажів, серед яких переважають енергетичні матеріали,
нафта та продукти її перегонки, бітумні речовини та мінеральний віск (до 84,6%
у загальному обсязі транспортування). Серед видів транспорту провідну роль
відіграє трубопровідний (58,6% загального обсягу транзиту), залізничний (26,6%)
та морський (13,6%) транспорт.
Інтенсивно
використовується повітряний простір. Річна кількість транзитних польотів
літаків іноземних авіакомпаній за останні п'ять років зросла на 31%.
50 міст світу
зв'язані з Києвом прямим авіаційним сполученням. Найбільші аеропорти:
Бориспіль, Сімферополь, Донецьк, Одеса, Львів, Харків. Повітряні рейси
виконують 19 українських авіакомпаній, найбільші з яких "Аеросвіт",
"Міжнародні авіалінії України". Регулярні польоти до Києва виконують
33 іноземні авіакомпанії.
Серед послуг,
які надавалися Україною країнам світу в 2002 році, найбільшу питому вагу
становили саме транспортні послуги - 83,5% (3,4 млрд. доларів США), з них 57,1%
- трубопровідного, 14,2% - морського, 13,4% - залізничного та 7,8% -
повітряного транспорту.
В Україні
налічується 18 морських торговельних, 4 рибних та 13 річкових портів, якими
переробляється 128,7 млн. т вантажів. У вантажопотоці, що проходить через
українські порти, переважають експортні вантажі (50,5%) і транзитні (35,6%).
Основні морські порти України: Іллічівськ, Південний, Маріуполь, Одеса, Рені,
Херсон, Миколаїв. Основна внутрішня річкова магістраль - Дніпро. Для
експортно-імпортних операцій використовується також Дунай. Морськими і
річковими портами надаються послуги майже 24,5 тис. суден, з яких 11,3 тис. -
закордонні та іноземних фрахтувачів.
За січень-лютий
2007р. підприємствами транспорту перевезено 136,6 млн. т вантажів, що на 13,7%
більше, ніж за січень-лютий 2006р. ткм.
Перевезення
вантажів залізницями порівняно з січнем - лютим 2006р. зросло на 19,5%, у т.ч.
відправлення вантажів - на 15,0%.
Вітчизняний
морський та річковий торговельний флот збільшив перевезення вантажів на 32,7%,
у цілому замовникам доставлено 2,3 млн. т вантажів.
Підприємствами
автомобільного транспорту (з урахуванням перевезень фізичними
особами-підприємцями) за січень-лютий 2007р. перевезено 20,8 млн. т вантажів,
що на 42,3% більше порівняно з січнем-лютим 2006р., та виконано вантажообіг у
обсязі 3,7 млрд. ткм, який зріс за цей же період на 22,4%.
Магістральними
трубопроводами транспортовано 37,0 млн. т вантажів, що на 7,1% менше, ніж за
січень-лютий 2006р. Перекачка газу зменшилася на 13,0%, аміаку - на 9,1%,
транспортування нафти зросло на 19,4%. Транзит нафти зріс на 28,9%, а газу та
аміаку скоротився відповідно на 9,9% та на 10,6%.
За січень-лютий
2007р. пасажирським транспортом перевезено 1,3 млрд. пасажирів, виконано
пасажирську роботу в обсязі 20,0 млрд. пас. км, що відповідно на 0,7% та на
1,3% більше порівняно з січнем-лютим 2006р. Залізничним транспортом за
січень-лютий 2007р. відправлено 68,5 млн. пасажирів, що на 1,7% більше, ніж за
січень-лютий 2006р. Відправлення пасажирів зросло на Південно-Західній
залізниці на 1,4%, Придніпровській - на 3,7%, Південній - на 3,4%, Донецькій -
на 1,0% та Львівській - на 0,7%. На Одеській залізниці відправлення пасажирів
знизилося на 1,1%. Послугами автомобільного транспорту (з урахуванням
перевезень фізичними особами-підприємцями) скористалися 0,6 млрд. пасажирів, що
на 6,0% більше, ніж за січень-лютий 2006р. Перевезення пасажирів
автотранспортом фізичних осіб-підприємців зросло на 9,8%. Перевезення пасажирів
морським транспортом за січень-лютий 2007р. знизилися на 41,2% порівняно з січнем-лютим
2006р. Підприємства м. Севастополя, які виконують 94,0% загальних обсягів
морських перевезень пасажирів, зменшили перевезення пасажирів на 43,5%.
Закордонні морські перевезення пасажирів зросли на 64,0%. Підприємства
Автономної Республіки Крим, які виконують 94,0% всіх морських закордонних
перевезень, збільшили перевезення пасажирів за січень-лютий 2007р. на 54,8%.
Перевезення пасажирів річковим транспортом у січні-лютому 2007р. порівняно з
січнем-лютим 2006р. зросли у 3,0 рази. Авіаційним транспортом перевезено 0,6
млн. пасажирів, що на 20,3% більше порівняно з січнем-лютим 2006р. Міським
електротранспортом за січень-лютий 2007р. перевезено 587,2 млн. пасажирів, що
на 4,5% менше, ніж за січень-лютий 2006р.
1.1.1.2 Стратегічне
планування
Стратегічне
планування являє собою набір дій і рішень, зроблених керівництвом, які ведуть
до розробки специфічних стратегій, призначених для того, щоб допомогти
організації досягнути своїх цілей.
Процес
стратегічного планування є інструментом, що допомагає в прийнятті управлінських
рішень. Його задача - забезпечити нововведення і зміну в організації в
достатній мірі. Точніше кажучи, процес стратегічного планування є тією
парасолькою, під якою ховаються всі управлінські функції.
Стратегія являє
собою детальний всебічний комплексний план, призначений для того, щоб
забезпечити здійснення місії організації і досягнення її цілей.
Стратегічній
план повинен розроблятися швидше з точки зору перспективи всієї корпорації, а
не конкретного індивіда. Хоч, на особистих підприємствах фундатор підприємства
може дозволити собі відносну розкіш поєднувати особисті плани зі стратегією
організації.
Стратегічній
план повинен влаштовуватися величезними дослідженнями і фактичними даними. Щоб
ефективно конкурувати в сьогоднішньому світі бізнесу, фірма повинна постійно
займатися збором і аналізом величезної кількості інформації про галузь, ринок,
конкуренцію і інші чинники.
Стратегічній
план додає фірмі визначеність, індивідуальність, що дозволяє їй залучати певні
типи працівників, і, в тій же година, не залучати працівників інших типів. Цей
план відкриває перспективу для організації, яка направляє її співробітників, залучає
нових працівників і допомагає продавати вироби або послуги.
Нарешті,
стратегічні плани повинні бути розроблені так, щоб не тільки залишатися
цілісними протягом тривалих періодів годині, але і бути досить гнучкими, щоб
при необхідності можна було здійснити їх модифікацію і переорієнтацію.
1.1.1.3
Цілі автотранспортного підприємства
Першим
і, можливо, найістотнішим рішенням при плануванні буде вибір цілей організації.

Рис.1. Розробка
цілей.
Загально фірмові
цілі формулюються і встановлюються на основі загальної місії організації і
певних цінностей і цілей, на які орієнтується вище керівництво. Щоб внести
істинний внесок в успіх організації, цілі повинні володіти рядом характеристик.
1. По-перше,
цілі повинні бути конкретними і вимірними. Виражаючи свої цілі в конкретних
вимірних формах, керівництво створює чітку базу відліку для подальших рішень і
оцінки ходу роботи.
2. Конкретний
горизонт прогнозування являє собою іншу характеристику ефективних цілей. Цілі
звичайно встановлюються на тривалі або короткі тимчасові проміжки.
Довгострокова мета має горизонт планування приблизно рівний п'яти рокам.
Короткострокова мета в більшості випадків представляє один з планів організації,
який потрібно завершити в межах долі. Середньострокові цілі мають горизонт
планування від одного до п'яти років.
3. Мета повинна
бути досяжною, - щоб служити підвищенню ефективності організації.
4. Щоб бути
ефективними, множинні цілі організації повинні бути взаємно підтримуючими - дії
і рішення, необхідні для досягнення однієї мети, не повинні заважати досягненню
інших цілей.
Цілі будуть
значущою частиною процесу стратегічного управління тільки в тому випадку, якщо
вище керівництво правильне їх сформулює, потім ефективно їх інституціоналізує, інформує
про них і стимулює їх здійснення у всій організації. Процес стратегічного
управління буде успішним в тій мірі, в якій вище керівництво бере долю в
формулюванні цілей і в якій мірі ці цілі відображають цінності керівництва і
реалії фірми.
1.1.1.4 Місія
організації
Основна загальна
мета організації - чітко виражена причина її існування - означається як її
місія. Цілі виробляються для здійснення цієї місії. Місія деталізує статус
фірми і забезпечує напрям і орієнтири для визначення цілей і стратегій на
різних організаційних рівнях. Формулювання місії організації повинне містити
наступне:
1. Задача фірми
з точки зору її основних послуг або виробів, її основних ринків і основних
технологій. Простіше кажучи, якою підприємницькою діяльністю займається фірма?
2. Зовнішнє середовище
по відношенню до фірми, яка визначає робочі принципи фірми.
3. Культура
організації. Якого типу робочий клімат існує всередині фірми? Якого типу людей
залучає цей клімат?
Щоб розробити ефективну
стратегію, фахівцеві зі стратегій варто відповісти на ряд базових питань. Roth
й Washburn стверджують, що процес розробки стратегії пов'язаний з пошуком
відповідей на десять основних питань, що виходять за межі SWOT-аналізу:
1.
Який саме
продукт пропонує на продаж ваша фірма?
2.
На яких
споживачів, і на який ринок розрахована ваша продукція?
3.
Чому
покупці мають потребу в пропонованому вами обслуговуванні?
4.
Хто ваші
основні конкуренти? Яка їхня частка ринку?
5.
У чому
виявляються головні сильні сторони ваших конкурентів?
6.
Які
основні слабкі сторони ваших конкурентів?
7.
Які
технічні альтернативи вашого продукту (послуги)?
8.
У чому
виявляється сила вашої фірми?
9.
У чому
виявляється її слабість?
10.
У світлі
відповідей на попередні питання, які стратегії варто застосувати, щоб найбільш
повно використати ваші сильні сторони й скористатися перевагою слабкості ваших
конкурентів?
Отже, в інтересах розробки
адекватної стратегії стратег повинен знайти відповіді на дані питання, з огляду
на результати галузевого аналізу, ресурси фірми, а також беручи до уваги
стратегічні цілі. Roth й Washburn додають до цього, що відповіді на ці питання
можуть служити для фахівців зі стратегій вказівками, що допомагають в їхній
практиці.
1.2
Використання методів менеджменту на підприємстві
Поділ праці — це
процес, при якому різні види обробки продуктів відокремлюються один від одного,
створюючи все нові виробництва й галузі.
Однак
це визначення буде неповним, якщо не показати деякі особливості цього явища. По-перше,
поділ праці є історичною категорією. Це означає, що він перебуває у постійному
русі, безперервно змінюється, що відбиває певний рівень розвитку продуктивних
сил. Далі будуть показані історичні етапи розвитку поділу праці. По-друге,
поділ праці не обмежується мікроекономічними явищами — в межах одного
підприємства. Це певна система суспільної праці, яка складається у результаті
якісної диференціації трудової діяльності в процесі розвитку суспільства.
По-третє,
поділ праці є причиною виникнення товарного виробництва. Проте він стає
причиною тільки тоді, коли поділ праці відбувається одночасно з відчуженням
виробників. А це означає, що виробники, між якими відбувся поділ праці,
виступають як відокремлені власники. Обмежуючись певним видом виробничої
діяльності, вони для задоволення своїх потреб змушені обмінювати власний
продукт на інші продукти. Тільки у такий спосіб вони можуть задовольнити свої
потреби. Обмін між різними власниками набуває форми товарообміну.
Розвиток
поділу праці поглиблює товарний обмін, стає важливим процесом розвитку ринкової
економіки.
Розрізняють дві
форми поділу праці: горизонтальну та вертикальну. Перша – це поділ праці через
поділ трудових операцій на окремі завдання. Результатом горизонтального поділу
праці є формування підрозділів трансформаційного процесу. Оскільки роботу на
підприємстві поділено між підрозділами та окремими виконавцями, хтось може
координувати їхні дії, щоб досягти загальної мети діяльності.
Рівні
управління. Великі організації мають потребу у виконанні дуже великих обсягів
роботи. Це вимагає розподілу праці на горизонтальну й вертикальну.
Горизонтальний
принцип поділу праці - це розміщення робітників на чолі окремих підрозділів,
відділів. Вертикальний принцип поділу праці - це створення ієрархії рівнів
управління, щоб скоординувати горизонтально розділену управлінську роботу для
досягнення цілей організації.
Робітників
поділяють на три категорії:
1.
Робітники нижчої ланки (операційні працівники). Сама численна категорія. Вони
здійснюють працю та контроль за виконанням виробничих завдань, за використанням
ресурсів (сировини, устаткування, кадрів). До молодших робітників відносяться
лінійний працівник, токар, швачка, майстер, завідувач лабораторією і т.п.
Робота робітників нижчої ланки є найрізноманітнішою, характеризується частими
переходами від одного виду діяльності до іншого. Ступінь відповідальності
працівників нижчої ланки не дуже висока, іноді в роботі присутня значна доля
фізичної праці.
2.
Робітники середньої ланки. Вони контролюють роботу працівників нижчої ланки і
передають оброблену інформацію для працівників та керівників вищої ланки. До
даної ланки відносяться: завідувачі відділом, виконроби, декан і т.д. На
працівників середньої ланки лягає істотно велика частка відповідальності.
3.
Робітники вищої ланки. Сама нечисленна категорія. Вони відповідають за розробку
й реалізацію стратегії організації, за прийняття особливо важливих для неї
рішень.
До
працівників (керівників) вищої ланки відносяться: президент компанії, міністр,
ректор і т.д. Робота керівника вищої ланки є дуже відповідальною, тому що фронт
роботи великий, а темп діяльності напружений. Їхня робота, в основному, полягає
в розумовій діяльності. Вони постійно повинні приймати управлінські рішення.
Поділ
праці, як уже зазначалось, є важливим чинником подолання суперечності між
безмежними потребами й обмеженістю ресурсів. Однак цей чинник діє у певних
межах і тому не стосується всіх економічних ресурсів, зокрема, тих, які
обмежені природою і не відновлюються після виробничого споживання. Інакше кажучи,
поділ праці не може відновити запаси нафти, газу, вугілля, залізної руди та
інших природних ресурсів.
Проте
поділ праці може успішно долати обмеження виробничих можливостей. І це
досягається завдяки тому, що поділ праці є важливим чинником підвищення продуктивності
праці. Історія свідчить, що людство саме тому приділяло увагу поділу праці, що
він зумовлював значне зростання її продуктивності.
Економічною
формою поділу праці є спеціалізація.
Спеціалізація
— це поділ старих і формування нових галузей суспільного виробництва, а також
поділ праці всередині галузі.
Найважливішими
чинниками виробництва є розвиток ринкових відносин, зростання масштабів
виробництва, науково-технічний прогрес. Найголовнішою ознакою спеціалізації є
виробництво певного продукту або частини його.
Спеціалізація
веде до того, що виробник, як правило, виробляє продукцію не для себе, а для
інших членів суспільства, часто його продукція не є предметом особистого чи
виробничого споживання.
Отже,
спеціалізація обумовлює об'єктиві у необхідність товарного обміну між членами
суспільства.
Наявність такого
обміну внаслідок спеціалізації веде до удосконалення виробництва. Уже давно
відомо, що відсутність спеціалізації, так звана самозабезпеченість у
господарстві, породжує неефективність виробництва. Як зауважують американські
економісти Стенлі Брю і Кемпбел Макконел в
своїй «Економікс», «людина, яка береться за все, може бути досить яскравою
особистістю, але вже продуктивністю праці вона явно не відзначається». Які
переваги забезпечує спеціалізація виробництв?
ü По-перше,
вона значно збільшує продуктивність праці. Це пов'язано з тим, що спеціалізація
створює умови для організації безперервного (поточного) процесу виробництва,
застосування найдосконаліших засобів праці, впровадження механізації та
автоматизації виробництва, досягнення повного і ефективного використання
технологічного устаткування, удосконалення структури підприємств, підвищення
кооперації праці.
ü По-друге,
спеціалізація дає можливість краще використати головну продуктивну силу —
людину на основі врахування її індивідуальних відмінностей і здібностей. Як
відомо, люди не однакові за своїми фізичними і розумовими здібностями. Є
працівники, які відрізняються досить високою фізичною підготовкою. Вони можуть
успішно виконувати важку роботу. Інші ж від природи не мають достатніх фізичних
сил для важкої роботи, але здатні виконувати роботу, де переважає частка розумової
праці. У таких людей є здібності до аналітичної розумової діяльності. Поділ
праці дає можливість це враховувати.
ü По-третє,
спеціалізація на виконанні певної роботи формує кваліфікацію працівника. Давно
відомо, що у більшості випадків людина не може однаково спритно виконувати
багато видів діяльності. Проте вона може досягти неабиякої майстерності у
деяких видах робіт.
ü По-четверте,
спеціалізація у виконанні виробничих функцій веде до економії часу, позбавляє
виробництво від зайвих витрат, особливо під час зміни одного виду діяльності
іншим видом.
ü По-п'яте,
спеціалізація дає можливість краще використовувати регіональні особливості.
Проте
спеціалізація має не лише переваги. Вона несе з собою і деякі негативні
наслідки. У ряді випадків спеціалізація в промисловості робить працю робітників
монотонною і нудною. Робітнику протягом дня, місяця, року треба виконувати
одноманітну роботу — закручувати гайки або монтувати якусь одну деталь.
Уникнути
монотонної праці можна іноді за допомогою автоматизації, впровадження
промислових роботів. Однак не в усіх випадках це можливо. Позитивні результати
має і зміна виду праці.
Недоліком
спеціалізації економісти називають також залежність суспільства від
спеціалізованих працівників. «Страйки докерів або водіїв вантажних автомашин
здатні дуже швидко привести до нестачі товарів», — зазначають Кемпбел Макконел
і Стенлі Брю.
Поділ
праці, який здійснюється між підприємствами і галузями, іноді дуже важко
врахувати. Виникають непередбачені диспропорції між ланками спеціалізованого
виробництва. В одних підприємствах і регіонах виникають надлишки
спеціалізованої продукції, що створює проблему їхньої реалізації, а в інших
відчувається гостра нестача комплектуючих деталей і вузлів, що стримує розвиток
виробництва.
Проте
в кінцевому підсумку спеціалізація забезпечує більше переваг, ніж недоліків, і
людство використовує цю форму організації виробництва для підвищення
продуктивності праці.
1.3
Мотивація
Мотивація
- це процес спонукування кожного співробітника і всіх членів його колективу до
активної діяльності для задоволення своїх потреб і для досягнення цілей
організації.
Найпершим
і найбільше поширеним методом був метод покарання і заохочення, так називана
політика «батога і пряника». Цей метод використовувався для досягнення бажаних
результатів і проіснував досить довго в умовах адміністративно-командної
системи. Поступово він трансформувався в систему адміністративних і економічних
санкцій і стимулів. Такий метод був ефективний при повторюваних рутинних
операціях, незначної змістовної частини роботи, неможливості поміняти місце
роботи (по різних причинах), а також в умовах бригадних і колективних підрядів,
де діяли регламентовані надвишки й утримання.
З
підвищенням ролі людського чинника з'явилися психологічні методи мотивації. У основі
цих методів лежить твердження, що основним чинником, що модифікує, є не тільки
матеріальні стимули, але і нематеріальні мотиви, такі, як самоповага, визнання
з боку навколишніх членів колективу, моральне задоволення роботою і гордість
своєю фірмою. Такі методи мотивації базуються на вивченні потреб людини, тобто
усвідомленого відчуття нестачі в чим-небудь. Відчуття нестачі в чим-небудь має
цілком визначену ціль, що і служить засобом задоволення потреб. Вивчення потреб
людини привело до появи двох глобальних теорій мотивації.
Таблиця
1
|
Назва теорії
мотивації
|
Короткий
зміст, особливості застосування
|
Обґрунтування
можливості застосування на підприємстві
|
Елементи
системи матеріального стимулювання праці, в яких знаходить відображення
теорія мотивації
|
|
Теорія
мотивації А. Маслоу
|
Предметом
психології є поводження, а не свідомість людини. У основі поводження лежать
потре6и людини, що можна розділити на п'ять груп: в самовиразі, в повазі, в
спілкуванні з людьми, в безпеці, фізіологічні.
|
Застосування
цієї теорії дає можливість підвищити ефективність роботи працівників за
рахунок задоволення потреб працівника у самовиразі, в повазі, в спілкуванні з
людьми, в безпеці, фізіологічних потреб.
|
Доплати,
надбавки, преміювання.
|
|
Теорія
мотивації Фредерика Герцберга
|
Перша група
чинників (гігієнічні чинники) зв'язана із самовираженням особистості, її
внутрішніми потребами. а також із навколишнім середовищем, у якому
здійснюється сама робота. Друга група чинників мотивації зв'язана з
характером і сутністю самої роботи. Керівник тут повинний пам'ятати про
необхідність узагальнення змістовної частини роботи.
|
Чітке
вираження того, що хоче керівник від підлеглого дає можливість покращити
атмосферу в колективі і дає можливіть працівникам працювати з більшою
віддачею.
|
Доплати, надбавки,
преміювання.
|
|
Теорія чекань В.
Врума
|
Необхідність у
переважанні підвищення якості праці і впевненості в тому, що це буде
відзначено керівником, що дозволяє працівнику реально задовольнити свою
потребу.
|
Заохочення з
боку керівництва дає працівникам додатковий стимул до виконуваної ними
роботи. Робота виконується на вищому рівні.
|
Доплати,
надбавки, преміювання.
|
|
Теорія
справедливості
|
Ефективність
мотивації оцінюється працівником не по визначеній групі чинників, а системно
з обліком оцінки винагород, виданих іншим працівникам, що працюють в
аналогічному системному оточенні.
|
Адекватна
оцінка керівництвом виконаної роботи працівниками стимулює їх до виконаня
роботи на високому рівні і поваги до керівництва.
|
Доплати,
надбавки, преміювання.
|
|
Теорія
мотивації Л. Портера - Э. Лоулера
|
Теорія
побудована на сполученні елементів теорії чекань і теорії справедливості.
Суть її в тому, що введені співвідношення між винагородою і досягнутими
результатами.
|
Чим краще і
швидше виконана робота, тим більша винагорода очікує на працюючих. Така
постановка питання створює атмосферу конкуренції серед працівників. Що
прихводить до підвищення показників виконання роботи.
|
Доплати,
надбавки, преміювання.
|
1.4
Контроль
Після
планування, організування і мотивування діяльності в організації виникає
потреба в забезпеченні постійних спостережень за ходом виробничо-господарських процесів
та у виявленні проблем, які перешкоджають її успішному здійсненню.
Контролювання — вид управлінської діяльності щодо оцінки рівня виконання завдань
і досягнення цілей, виявлення відхилень, збоїв, недоліків та причин їх виникнення
з метою уникнення нагромадження й повторення помилок, мінімізації втрат,
подолання складних організаційних проблем тощо. Контролювання є важливим чинником
забезпечення стабільності,передбаченого рівня розвитку економічного суб'єкта, уникнення
криз. Важливими елементами контролювання є спостереження за станом суб'єктів
економіки, цілеспрямований збір та аналіз інформації про них з метою прийняття
оптимальних рішень.
Контролювання
як вид управлінської діяльності (процес) реалізується на засадах виконання
контрольних операцій (контролю).
Контроль
— чинник управління економічними суб'єктами, процесами, який полягає у нагляді
за ними з метою перевірки відповідності їх стану законодавчим нормам, визначеним
стратегіям, цілям, програмам розвитку тощо Об'єктивна зумовленість і
необхідність реалізації контролювання як функції менеджменту зумовлені такими
чинниками:
-
складністю технологічних процесів в організації;
-
невизначеністю середовища (зміни законів, політики, структури
-
організації, технології, ринку, складу і кваліфікації працівників організації
тощо);
-
динамізмом науково-технічного розвитку;
-
ймовірністю виникнення кризових ситуацій;
-
особливістю глобалізації;
-
доцільністю підтримання успішних програм, напрямів діяльності організації;
-
тиском з боку конкурентів;
-
боротьбою за ринки збуту товарів тощо.
Мета
контролю полягає в максимальному забезпеченні фактичних результатів очікуваним.
Для
того щоб контроль відповідав своєму призначенню і реалізував свої функції, він
повинен:
-
базуватися на чітко визначених нормативах, гнучких, динамічних технологіях;
-
відображати пріоритети організації відповідно до її стратегічного спрямування і
діяльності;
-
орієнтуватися на досягнення конкретних результатів;
-
відповідати основному для організації виду діяльності;
-
забезпечувати своєчасність, мобільність, надійність, гнучкість контрольних операцій;
-
бути простим і зрозумілим;
-
бути економічним (ґрунтуватися на співставленні витрат на його здійснення з
досягнутими результатами).
Процес
здійснення контролю стосується інтересів конкретних працівників, що може спричинити
зміну їх виробничої та соціальної поведінки. В кожному окремому випадку вона виявлятиметься
по-різному. Певні працівники, які перебувають у сфері дії контролю, намагатимуться
працювати якнайкраще, інші, щоб уникнути неприємностей, намагатимуться
приховувати об'єктивну інформацію, вдаючись до її фальсифікації. Іноді контроль
спричиняє стресовий стан у людей, породжує конфліктні ситуації, за яких можливі
відхилення у психіці втягнутих у конфлікт людей. Тому контроль потребує вивіреного,
делікатного використання з урахуванням усього спектра чинників, що впливають на
його реалізацію.
Таблиця
2
|
Види контролю
|
Характеристика
процесу контролю для кожного виду
|
Зворотній
зв’язок
|
Оцінка впливу
на посадодві особи і підрозділи підприємства
|
Служби і
посадові особи, які відповідають за результати контролю
|
|
Фінансовий контроль
|
Постає як система
спостережень, перевірок, досліджень ефективності функціонування та розвитку фінансових
ресурсів.
|
Правильність і
своєчасність виявлення відхилень, визначення необхідності у корективах тощо.
|
Він
зорієнтований на фінансову сферу підприємств, фінансові системи інших
суб'єктів управлінських рішень.
|
Фінансовий
відділ
|
|
Виробничий контроль
|
Полягає в порівнянні
показників виробничого планування із фактичними даними, а також в аналізуванні
відхилень.
|
Основними
критеріями при цьому є строки виготовлення, якість продукції, ефективність використання
виробничих потужностей, аналіз витрат виробництва. За періодичністю
виробничий контроль буває регулярним та разовим, зосередженим на внутрішніх і
зовнішніх операціях підприємств.
|
Допомагає
узгоджувати плани і наявну ситуацію на виробництві.
|
Виробничо-плановий
відділ
|
|
Контроль маркетинговий
|
Це комплекс
дій та заходів, пов'язаних із перевіркою рівня реалізації маркетингової концепції
підприємства.
|
Основними
критеріями при цьому є ефективність рекламної кампанії, рівень
конкурентоспроможності продукції, якість після продажного обслуговування
споживачів, рівень витрат на збут і просування товару тощо.
|
Узгодження
промо-акцій з бюджетом і продуктами, що виробляються.
|
Маркетинговий
відділ
|
|
Попередній
контроль
|
здійснюють на вході
в систему організації на основі встановлених правил, процедур, норм поведінки
тощо. Цей вид контролю використовують щодо людських (трудових), матеріальних,
фінансових, інформаційних, енергетичних та інших ресурсів.
|
Допомагає
визначити чи „туди ми йдемо”.
|
Згідно
алгоритму, якщо відповідь „так” продовжуємо рухатись у заданому напрямі.
|
Керівництво підприємства
|
|
Поточний контроль
|
Реалізується в
процесі виробничо-господарської діяльності. Його характеризують такі
особливості: управлінська необхідність; наявність мети, спрямованість на
конкретні робочі місця; використання зовнішніх ресурсів для внутрішнього споживання
організації; націленість на всі види діяльності організації.
|
Поточний
аналіз ринку, сприйняття поточних потреб і імплементування їх у виробництво.
|
Здатен
кардинально змінити політику компанії, якщо на етапі попереднього контролю
було обрано не той напрям.
|
Керівництво
|
|
Завершальний
контроль
|
Здійснюють на
виході із системи організації. Він необхідний для виявлення рівня досягнутих
результатів в організації,забезпечення мотивації (наприклад, при оплаті
праці, преміюванні тощо).
|
Допомагає
визначити зроблені помилки і їх проаналізувати, аби у майбутньому уникати.
|
Допомагає
уникнути певних помилок у майбутньому.
|
Керівництво та
відділ стратегічного планування
|
1.2
Використання методів менеджменту на підприємстві
Управління —
складний і динамічний процес, керований і здійснюваний людьми для досягнення
поставленої мети. Після того як встановлено цілі управління, необхідно знайти
найбільш ефективні шляхи та методи досягнення їх. Інакше кажучи, якщо при
визначенні цілей потрібно відповісти на запитання «чого потрібно досягти?», то
слідом за цим виникає запитання: «як найбільш раціонально досягти мети?». Отже,
виникає потреба у застосуванні арсеналу засобів, що забезпечують досягнення
цілей управління, тобто методів управління.
Методом
називається захід або сукупність заходів у будь-якій людській діяльності,
спосіб досягнення мети, шлях вирішення певного завдання. Засоби
цілеспрямованого впливу на трудовий колектив або на окремих його членів
називають методами управління. Методи являють собою важливий елемент процесу
управління (наявність прогресивних методів управління та вміле використання їх
є передумовою ефективності управління і господарських процесів). Методи
управління покликані забезпечити високу ефективність діяльності колективів, їх
злагоджену роботу, сприяти максимальній мобілізації творчої активності кожного
члена. Цим методи управління відрізняються від усіх інших технічних та
технологічних методів, які використовуються у ході вирішення комплексних виробничо-господарських
завдань. Особлива роль методів управління полягає у тому, щоб створити умови
для чіткої організації процесу управління, використання сучасної техніки і
прогресивної технології організації праці і виробництва, забезпечити Їх
максимальну ефективність при досягненні поставленої мети. Таким чином, зміст
поняття «методи управління» витікає із суті і змісту управління і належить до
основних категорій теорії управління.
Формування
цілеспрямованого впливу на трудові колективи та їх окремих членів безпосередньо
пов'язане з мотивацією, тобто використанням факторів, які визначають поведінку
людини в колективі у процесі виробництва. Звідси витікає дуже важлива вимога до
методів управління: методи управління повинні мати свою мотиваційну характеристику,
що визначає напрям дії їх. Ця характеристика показує мотиви, які визначають
поведінку людей і на які орієнтована відповідна група методів.
Таблиця
3
|
Групи методів
|
Види методів
|
Приклади
застосування конкретних методів на підприємстві
|
|
Організаційно-правові
|
організаційно-стабілізуючі
|
Декрети по
виправленню становища на підприємстві
|
|
Адміністративні
|
розпорядчі
|
розпорядження
|
|
Економічні
|
організаційно-виробниче планування
|
Розробка
сукупної системи методів регулювання економічною ситуацією на підприємстві
|
|
метод комплексних цільових програм
|
|
комерційний розрахунок
|
|
система
економічних регуляторів
господарської діяльності
|
|
Соціально-економічні
|
соціальне регулювання
|
Створення проф.
союзів тощо
|
|
соціальне планування
|
|
Соціально-психологічні
|
соціальне прогнозування
|
Підтримання
здорової атмосфери на підприємстві шляхом залучення психолога
|
|
соціальне нормування
|
1.2.1
Методика розробки організаційної структури транспортного підприємства
1.2.1.1
Загальна характеристика основних організаційних структур транспортного
підприємства
Організаційна
структури — це сукупність окремих блоків (структурних підрозділів — відділів,
бюро, груп і т. п.), з яких складається організація з зазначенням їхньої
підпорядкованості.
Оптимальна
організаційна структура підприємства - це така структура, яка найкращим чином
дозволяє підприємству ефективно взаємодіяти з зовнішнім середовищем,
продуктивно і доцільно розподіляти і використовувати всі види ресурсів і таким
чином задовольняти потреби клієнтів за умови досягнення поставленої перед
підприємством мети.
Існує
декілька різних класифікацій організаційних структур. позицією, що найбільш широко поділяється щодо технологізації
організаційних структур підприємства, є виділення п'яти основних типів
організаційних структур:
▪
лінійна (елементарна);
•
функціональна (лінійно-функціональна, лінійно-штабна);
•
оргструктури, орієнтовані на результат (продуктова, орієнтована на споживача,
регіональна);
•
на базі стратегічних одиниць бізнесу;
•
матрична.
Лінійна
організаційна структура віддзеркалює поділ на два рівні управління, який може
бути тільки в невеликих підприємствах. При такій структурі в підприємстві
виділяється верхній рівень (власник, керівник) і нижчий рівень (виконавець)
управління. Даний тип організаційних структур характеризується простотою,
одномірнІстю зв'язків (тільки вертикальні зв'язки) і відносною автономністю
виконавців. Тому він широко використовується у сімейному і малому бізнесі.
На
середніх і великих підприємствах лінійний підхід дає ефект тільки на нижніх
рівнях ієрархії (в групах, бригадах, ланках і т.п.). Як тільки роботи в
підприємстві зростають в об'ємі і вони починають спеціалізовуватися, виникає
необхідність переходу до інших типів організаційних структур.
Функціональна
організаційна структура використовується там, де з'являється функціональний
розподіл праці і функціональна спеціалізація. Коли окремі функції (виробництво,
маркетинг, фінанси, кадри, матеріально-технічне забезпечення та ін.) отримують
організаційне закріплення (створення відповідних підрозділів), тоді в
підприємстві утворюється функціональна організаційна структура, яка зв'язує ці
підрозділи в єдине ціле і встановлює зв'язки підпорядкування в підприємстві.
Широке
використання функціональних організаційних структур пов'язане з тими
перевагами, які дає їх використання. Основні з них:
• можливість
виконання тієї чи іншої роботи найбільш ефективним способом — результат
функціональної спеціалізації; ефективне використання ресурсів — як результат
зменшення дублювання зусиль і робіт;
• стабільність
(найбільш ефективна в стабільному зовнішньому середовищі);
• швидке
вирішення нескладних проблем, які знаходяться в компетенції однієї
функціональної служби;
• орієнтація
на діючі технології і ринок, що склався;
• орієнтація
на цінову конкуренцію.
Основні
недоліки функціональних структур: функціоналізм; розвиток вертикальних зв'язків
піднімає рішення проблем, що виникають на різних рівнях управління, до її
головного керівника, що відволікає його від рішення стратегічних питань і
зосереджує його увагу на рутинних питаннях; повільне вирішення складних
міжфункціональних проблем.
Організаційні
структури, орієнтовані на результат, з'являються в тих підприємствах, де за
різних обставин виділяються відносно відокремлені з великими правами при
здійсненні своєї діяльності структурні підрозділи — відділення. Критеріями для
виділення таких підрозділів можуть бути:
• виробництво
різних продуктів (продуктова організаційна структура);
• здійснення
діяльності на відносно ізольованих територіях (регіональна організаційна
структура);
• робота
з різними спеціалізованими покупцями (організаційна структура, орієнтована на
споживача).
Керівництво
таких підрозділів має право самостійно виробляти стратегію для керованого
відділення і підпорядковується безпосередньо вищому керівництву підприємства.
Основні переваги:
• орієнтація
вищого керівництва підприємства на вирішення стратегічних завдань, зростання
підприємства пов'язується з диверсифікацією — виробництвом нової продукції;
• орієнтація
на кінцевий результат — продукцію;
• гнучкість
(ефективна в динамічному зовнішньому середовищі);
• оперативність
прийняття рішень;
• міждисциплінарний
підхід;
• швидке
вирішення складних міжфункціональних питань;
• орієнтація
на нові технології;
• орієнтація
на недійову конкуренцію.
Основні
недоліки:
• продуктивізм;
• зростання
витрат на додаткові функціональні підрозділи; ускладнення контролю зверху за
роботою відділень;
• ускладнення
міжпродуктової кар'єри управлінців.
Організаційна
структура на базі стратегічних одиниць бізнесу використовується в підприємстві
тоді, коли вона має декілька самостійних відділень близького профілю
діяльності. У такому випадку для координації їхньої роботи створюються
спеціальні проміжні управлінські підрозділи між відділеннями і вищим
керівництвом. Такі підрозділи очолюють заступника вищого керівництва і вони
отримують статус стратегічних одиниць бізнесу.
Матрична
організаційна структура віддзеркалює в організаційній побудові два підходи:
функціональний і орієнтовний на результат. Виникнення матричної організаційної
структури є спробою реалізувати переваги і мінімізувати недоліки і
функціонального, і орієнтованого на результат підходів. Це найбільш складна
організаційна структура. Вона найбільш ефективна тоді, коли необхідна швидка
реакція на зміни у зовнішньому середовищі. Відмінністю цієї оргструктури є
формальна наявність у робітника одночасно двох начальників з однаковими
правами. Така система подвійного підпорядкування ґрунтується на комбінації двох
підходів — функціонального і орієнтованого на результат (продукт).
В
абсолютній більшості транспортних підприємств використовуються лінійна,
функціональна, продуктова, регіональна та орієнтована на покупця організаційні
структури.
1.2.1.2
Основні чинники, що впливають на вибір організаційної структури
Вибір
тієї чи іншої організаційної структури підприємства залежить від ряду чинників.
Найбільш важливими з них є:
• розмір
підприємства;
• різноманітність
діяльності;
• складність
продукції;
• географічне
розташування підприємства;
• ставлення
до підприємства власників, вищого керівництва і співробітників;
• рівень
професійної підготовки управлінців, галузь діяльності;
• рівень
і характер спеціалізації виробництва і його кооперації;
• технологія
виробництва;
• динамізм
зовнішнього середовища;
• стратегія,
яка реалізується підприємством;
• матеріальні
і інформаційні зв'язки підприємства;
•
рівень розвитку інформаційної системи підприємства.
При
оптимізації і розробці організаційних структур підприємств треба пам'ятати про
такі важливі правила:
—
кожна функція, яка реалізується підприємством, повинна бути закріплена за
конкретною службою (підрозділом);
—
неприпустимо закріплення однієї функції за двома або більше службами чи
підрозділами;
—
в ієрархії управління не повинно бути підпорядкування одному суб'єкту
управління більш, ніж шести - семи об'єктів на одному рівні управління.
1.2.1.З
Етапи розробки організаційної структури
З
урахуванням основних чинників і правил, з використанням оціночних параметрів
(затрати на функціонування системи управління; напруженість роботи в
підрозділах; інформаційне навантаження на співробітників; час обробки
Інформації; час реагування на виробничі збої і оперативні запити; час
розв'язання завдань управління (прийняття рішень); кількість помилок в
управлінських рішеннях та ін.) визначаються параметри організаційної структури
та основні характеристики:
—
тип організаційної структури;
—
кількість рівнів управління;
—
кількість підрозділів і їх
підпорядкування;
—
кількість працівників у підрозділах;
—
розподіл обов'язків між працівниками;
—
ступінь централізації;
—
маршрути руху інформації;
—
схеми організаційної структури.
При
визначенні основних характеристик організаційної структури підприємства, тобто
при її розробці чи модернізації, можна всі роботи згрупувати в декілька етапів:
1.Визначення
видів діяльності, продуктів, послуг і ринків (сегментів ринків) для них — тобто
провести сегментацію ринку і класифікацію діяльності підприємства.
2.Визначення
типу організаційної структури.
3.Визначення
переліку функцій виробництва і управління.
4.Визначення
кількості управлінців за функціональними параметрами і функціями.
5.Визначення
переліку структурних підрозділів підприємства.
6.Закріплення
видів діяльності і функцій за структурними підрозділами.
7.Розподіл
працівників за структурними підрозділами.
8.Розробка
схеми організаційної структури підприємства.
1.2.1.4
Визначення типу організаційної структури
На
основі аналізу основних чинників діяльності підприємства вибирається один з
типів організаційної структури.
У
наведеному прикладі враховуючи розмір АТП (169 одиниць РС), а також сегментацію
ринку та класифікацію діяльності підприємства, можна прийняти для АТП
функціональну організаційну структуру.
1.2.1.5
Визначення переліку функцій виробництва і управління
Для
визначення переліку функцій виробництва і управління необхідно спочатку
визначити перелік функціональних напрямків і тільки потім по кожному з них
визначити основні функції.
При
виконанні курсової роботи з навчальною метою для АТП до функціональних напрямків
діяльності і правління можна віднести:
—
перевезення (основне виробництво):
—
ТО і поточний ремонт РС;
—
допоміжне виробництво — матеріально - технічне постачання;
—
безпека руху;
—
маркетинг;
—
планування;
—
фінанси;
—
праця і заробітна плата:
—
бухгалтерський облік;
—
персонал;
—
технічне забезпечення;
—
загальне діловодство;
—
правове забезпечення.
Також
до кожного з функціональних напрямків діяльності і правління АТП можна віднести
скорочений перелік основних функцій:
Перевезення:
планування транспортного процесу; підготовка транспортного процесу; організація
перевізного процесу; оперативне управління перевезеннями; розробка і
впровадження нових технологій і методів організації транспортного процесу;
пошук клієнтів; укладання контрактів; тарифна політика; облік виконаних
транспортних робіт; аналіз виконаних транспортних робіт.
ТО
і поточний ремонт РС: планування робіт з ТО і ПР РС; технічна підготовка
виробництва з ТО і ПР РС; оперативне управління ТО і ПР РС; безпека та охорона
праці ремонтних робітників; облік виконаних робіт з ТО і ПР РС; аналіз
виконаних робіт з ТО і ПР РС.
Допоміжне
виробництво: планування робіт з ТО і ремонту гаражного, ремонтного,
енергетичного та ін. устаткування; організація робіт з ТО і ремонту устаткування;
облік виконаних робіт з ТО І ремонту устаткування; аналіз виконаних робіт з ТО
і ремонту устаткування.
Матеріально-технічне
постачання (МТП): планування потреби в матеріально-технічних ресурсах (МТР):
організація МТП; оперативне управління МТП; пошук виробників МТР; укладання
контрактів на поставку МТР; організація роботи складів: аналіз робіт з МТП.
Безпека
руху: планування робіт із забезпечення безпеки руху (БР); організація роботи з
БР; забезпечення профілактичних дій із забезпечення складу водіїв заданим
рівнем працездатності; розробка оптимальних режимів праці і відпочинку водіїв;
облік виконання робіт з БР; аналіз дорожньо-транспортних пригод; аналіз роботи
з БР.
Маркетинг:
планування роботи з маркетингу; організація роботи; забезпечення АТП надійною,
своєчасною і достовірною інформацією про ринки, тарифи на перевезення,
споживачів і конкурентів; організація впливу на споживачів, попит і ринок;
досягнення переваг над конкурентами; облік виконаних робіт; аналіз виконаних
робіт.
Планування:
розробка комплексних планів виробничо-господарської діяльності — стратегічних,
поточних і оперативних; облік виконання показників роботи АТП; аналіз
виробничо-господарської роботи АТП; складання звітів і статистичних звітів про
роботу АТП.
Фінанси:
планування фінансових показників роботи АТП; ведення операційних бюджетів;
ведення бюджету руху грошових коштів; ведення бюджету доходів і витрат; облік
фінансових показників; аналіз фінансових показників роботи АТП.
Бухгалтерський
облік: планування роботи; організація бухгалтерського обліку; облік
матеріальних цінностей; облік руху грошових коштів; нарахування і оплата
податків; касове обслуговування; складання балансу; складання бухгалтерських
звітів; аналіз роботи.
Праця
і заробітна плата: планування роботи; розрахунок заробітної плати для всіх
категорій працюючих; розрахунок всіх видів нарахувань і утримань; удосконалення
системи оплати праці працівників; нормування робіт; перегляд норм; облік
виконання робіт; аналіз виконання робіт.
Персонал:
планування роботи з персоналом; навчання і перепідготовка персоналу; управління
персоналом; розробка політики стимулювання персоналу і соціальної політики АТП;
прийом і звільнення працівників; облік роботи; аналіз роботи.
Технічне
забезпечення: планування роботи; забезпечення АТП витратними матеріалами,
оргтехнікою, комп'ютерами, господарськими послугами; облік виконаних робіт;
аналіз роботи.
Загальне
діловодство: планування роботи; забезпечення інформаційних зв'язків між
підрозділами і працівниками АТП та між АТП і зовнішнім середовищем; облік
роботи; аналіз роботи.
Правове
забезпечення: планування роботи; забезпечення юридичними послугами; облік
роботи.
1.2.1.6
Визначення кількості управлінців за функціональними напрямками і функціями
1.2.1.6.1
Розрахунок кількості управлінців
Для
розрахунку кількості управлінців необхідно виконати ряд попередніх розрахунків:
—визначити
основні техніко-експлуатаційні показники використання рухомого складу;
—розрахувати
програму і трудомісткість робіт з ТО і ПР РС;
—розрахувати
кількість ремонтних і допоміжних робітників;
—розрахувати
кількість водіїв.
1.2.1.6.2
Визначення основних техніко-експлуатаційних показників використання рухомого
складу
З
використанням нормативних документів [2,4,16] і виду вантажу, що перевозиться,
вибирається конкретна модель рухомого складу тих марок, що визначені завданням
на курсову роботу. Для кожної визначеної моделі РС визначається ряд основних
техніко-експлуатаційних показників використання рухомого складу.
Кількість
автомобіле-днів у господарстві за рік визначається за формулою:
У
цьому випадку: Асс – середньосписочна кількість автомобілів за рік;
Дк
– 365 кількість календарних днів за рік.
Автомобіледні
роботи (АДр) та автомобіле-години роботи (АГр) рухомого
складу визначаються за формулами:
У
цьому випадку: aв
– коефіцієнт випуску парку;
Тн –
час автомобіля у наряді, год.;
Середній
час простою автомобіля під завантаженням —
розвантаженням
за поїздку (транспортний цикл) (tпр) обчислюється з формулою:
К – коефіцієнт
залежно від класу вантажу.
Оскільки вантажопідйомність
автомобіля 4 т, то g = 1 що означає, що
вантаж відноситься до І-го класу, то К=1.
Середньодобовий
пробіг рухомого складу АТП (Lсд) визначається за формулою:
У цьому випадку:
Vт – технічна швидкість, км/г;
b
- коефіцієнт використання пробігу;
lнї –
середня довжина поїздки з вантажем, км;
tпр –
час простою під завантаженням-розвантаженням за поїздку, год.
Загальний пробіг
автомобілів (Lзаг):
Кількість
циклів, необхідних для виконання заданого об'єму перевезень (nц):
1.2.1.6.3
Розрахунок програми з технічного обслуговування і поточного ремонту
У програмі з ТО
і ПР розраховується кількість щоденних обслуговувань (ЩО), ТО-1 і ТО-2 на рік:
У цьому випадку:
NТО-2, NТО-1, Nщо – відповідно кількість ТО-2,
ТО-1, ЩО за рік;
-- нормативний пробіг до
ТО-1, який дорівнює 4000 км;
-- нормативний пробіг до
ТО-2, який дорівнює 20000
км
Розрахунки q=4
тонни.
Розрахунок
річної трудомісткості ЩО, ТО-1, ТО-2 і ПР виконується з використанням
нормативної трудомісткості:
У цьому випадку:
Тщо, Тто-1, Тто-2, Тпр, Ттор,
Тдоп – відповідно, річна трудомісткість ЩО, ТО-1, ТО-2, ПР, ТО+ПР
допоміжних робіт; Кд – частка допоміжних робіт в Ттор (Кд
= 0,25).
Розрахунки
трудомісткості для автомобіля q = 4 тонни.
1.2.1.6.4 Розрахунок
кількості ремонтних робітників
Необхідна
кількість ремонтних робітників (основних і допоміжних) (Nрр) для
виконання робочої програми робіт з ТО і ПР рухомого складу визначається виходячи
з річної трудомісткості цих робіт і річного часу одного робітника (Фрч):
У цьому випадку:
Фрч –
фонд робочого часу одного робітника за рік, год.;
h=1,07
– коефіцієнт, що враховує підвищення продуктивності праці.
Річний фонд
робочого часу:
У цьому випадку:
Дк=365 – кількість календарних днів за рік;
– відповідно кількість
вихідних днів (104 дні), святкових (10 днів), відпусток (24 дні), невиходів на
роботу у зв’язку з виконанням державних обов’язків (виходячи з розрахунку – 1
день), днів хвороби(виходячи з розрахунку – 4 днів); tзм – час зміни
(8,2 год при п’ятиденному робочому тижні);
Двпр
– кількість передсвяткових та передвихідних днів; Тс=1,0 год. –
скорочення зміни у передсвяткові (при 5-денному робочому тижні) та
передсвяткові та передвихідні (при 6-денному робочому тижні); Ду –
приймається у розрахунку 0,5% від кількості робочих днів; Дх – у
розрахунку 1,8%.
1.2.1.6.5 Розрахунок
необхідної кількості водіїв
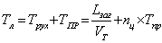
Для розрахунку
необхідної кількості водіїв визначається трудомісткість транспортної роботи, що
виконується (Тв):
У цьому випадку:
Тл – витрати часу для роботи на лінії;
Тю –
витрати часу на нульовий пробіг;
Тпз –
витрати підготовче - заключного часу.
Витрати часу для
роботи на лінії обчислюється за формулою:
У цьому випадку:
Трух – час руху автомобіля, год.;
Тпр –
час простою під завантаженням – розвантаженням год.
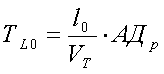
Витрати часу на
нульовий пробіг:
У цьому випадку:
l0 – даний нульовий пробіг, l0 =4,1.
Витрати часу на
підготовчі – заключні роботи, ТПЗ обчислюється:
Необхідна
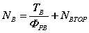
кількість водіїв:
У цьому випадку:
NВ—кількість водіїв,
Фрв—річний
фонд робочого часу водія;
Nвтор—кількість
водіїв, які беруть участь у виконанні робіт з ТО-2 та поточного ремонту
рухомого складу.
1.2.1.6.6
Визначення кількості управлінців і службовців за двома методиками
За
першою методикою шукана кількість управлінців визначається за кожною функцією
управління за допомогою нормативів. Ці нормативи залежать від загального
рухомого складу в АТП.
За
другою методикою шукана кількість визначається залежно від ряду
технічно-експлуатаційних показників роботи АТП. Формули для розрахунку
кількості управлінців за функціональними напрямками роботи наведено в таблиці 4.
Кількість
молодого обслуговуючого персоналу (МОП) для розрахунку курсової роботи
визначається за наступними даними:
для
АТП з Ас<150 — 3 чоловіки
для
АТП з 150<Ас<300 — 6 чоловік
для
АТП з Ас>160 — 9 чоловік
Оскільки
для даного АТП кількість автомобілів (АА) складає 169, то кількість молодого
обслуговуючого персоналу відповідно дорівнює 6 чоловік.
Таблиця
4
|
Функція
|
Формула для розрахунку
|
|
1. Загальне керівництво
|
|
|
2. Техніко-експлуатаційне
планування
|
|
|
3. Організація праці та
заробітної плати
|
|
|
4. Бухгалтерський облік і
фінансова діяльність
|
|
|
5. Матеріально-технічне
постачання
|
|
|
6. Управління кадрами
|
|
|
7. Діловодство та господарське
обслуговування
|
|
|
8. Експлуатаційна служба
|
|
|
9. Технічна служба
|
|
У
цьому випадку:
x1
— списочна кількість автомобілів (198);
x2
— коефіцієнт випуску парка (середнє - 0,7);
x3
— загальна кількість працюючих в АТП (без ІТР і службовців) (404);
x4
— час у наряді (середній – 10);
x5
— кількість ремонтних робітників (основних і допоміжних) (86).
– приймаємо 1
управлінця
– приймаємо 7
управлінців
– приймаємо 2
управлінця
приймаємо 5
управлінця
приймаємо 2
управлінця
приймаємо 1
управлінців
приймаємо 2
управлінця
приймаємо 3
управлінця
приймаємо 10
управлінців.
1.3
Визначення переліку структурних підрозділів підприємства
На
даному етапі, виходячи з розміру підприємства і типу організаційної структури,
визначається перелік структурних підрозділів підприємства. Визначений перелік
уточнюється після розподілу функцій управління і працівників між підрозділами.
Перелік
структурних підрозділів заноситься до спеціальної форми, де вони згруповані за
службами і групами підрозділів (див. табл. 5).
Перелік
структурних підрозділів АТП
Таблиця 5
|
№ групи
|
Служба (група
структурних підрозділів)
|
Код підрозділу
|
Назва
підрозділу
|
|
1
|
2
|
3
|
4
|
|
1
|
Служба
|
1.1
|
відділ
перевезень (експлуатація)
|
|
перевезень
|
1.2
|
відділ безпеки
руху
|
|
(експлуатації)
|
1.3
|
автоколона 1
|
|
2
|
Технічна
служба служба
служба
|
2.1
|
технічний
відділ
|
|
2.2
|
відділ
головного механіка
|
|
2.3
|
відділ
матеріально — технічного постачання
|
|
2.4
|
ремонтні
майстерні
|
|
2.5
|
центральний
склад
|
|
2.6
|
склад
агрегатів
|
|
3
|
Виконавча
дирекція
|
3.1
|
планово -
фінансовий відділ
|
|
3.2
|
відділ кадрів
|
|
3.3
|
бухгалтерія
|
|
3.4
|
канцелярія
|
|
3.5
|
юридична група
|
1.4
Закріплення видів діяльності і функцій за структурними підрозділами
Це
дуже важливий етап розробки організаційної структури підприємства, тому що
перелік функцій, який закріплюється за структурними підрозділами, визначає
обсяг роботи і таким чином зумовлює кількість працюючих у даному підрозділі і
їх посади.
Технічно робота
з закріплення функцій управління за структурними підрозділами виконується
шляхом складання матриці типу функції управління — структурні підрозділи.
Обробка матриці виконується за наступною технологією: якщо визначений підрозділ
(ланка) виконує (за ним закріплюється виконання) дану функцію, то на перетині
відповідного рядка (функція) і відповідного стовпця (підрозділ) проставляється
плюс, а якщо ні, то — мінус.
1.5
Розподіл працівників за структурними підрозділами
Як
було зазначено вище, кількість працівників за групами функцій (функціональним
напрямкам) розраховується згідно нормативів або залежно від величини ряду
техніко-економічних показників роботи підприємства.
У
тому випадку, якщо нормативів і норм для визначення кількість працівників
структурних підрозділів апарату правління за групою яких-небудь функцій чи за
окремою функцією немає, то необхідно виконати роботи для визначення
трудомісткості даної групи функцій чи функції. При цьому необхідно доручити
одному чи групі найбільш кваліфікованих спеціалістів скласти по можливості
найбільш повний перелік операцій і робіт, які треба виконувати впродовж року,
визначити їх повторюваність і оцінити експертним шляхом витрати праці в людино-годинах
на виконання кожної операції роботи. Потім після визначення трудомісткості
функції чи групи функцій відомими методами визначається необхідна кількість виконавців.
Залежно
від кількості працюючих визначається тип структурного підрозділу (відділ, бюро,
група). Мінімальна кількість працівників у відділі повинна бути від 1 до 6
чоловік. При меншій кількості працюючих створюються групи і бюро. Якщо
розрахунки показують, що в структурному підрозділі повинен працювати 1
працівник, то такий структурний підрозділ ліквідується, а всі функції
закріплюються за іншим підрозділом. Залежно від обсягу і складності виконуваних
робіт визначається перелік посад працівників структурного підрозділу.
Результати
розрахунку кількості працюючих за функціональними напрямками, які зроблені за
наведеною вище методикою, наведені в табл.6. Як ми бачимо, загальна кількість
управлінців складає 25 чоловік.
Таблиця
6. Розподіл працюючих за підрозділами
|
№
|
Функціональний
напрямок
|
Кількість
працюючих
|
|
1
|
Загальне
керівництво
|
2
|
|
2
|
Планування
|
6
|
|
3
|
Організація
праці і заробітна плата, персонал
|
1
|
|
4
|
Фінанси
|
2
|
|
5
|
Бухгалтерський
облік
|
2
|
|
6
|
Матеріально-технічне
постачання
|
2
|
|
7
|
Загальне
діловодство
|
1
|
|
8
|
Служба
експлуатації
|
2
|
|
9
|
Технічна
служба і служба головного механіка
|
7
|
|
Загальна
кількість управлінців
|
25
|
Розподіл
працівників за скоригованим переліком структурних підрозділів наведено в
таблиці 7.
Порівнюючи
таблиці 5 і 7, ми бачимо, що порівняно з попереднім визначенням переліку
структурних підрозділів (табл.5) кількість структурних підрозділів зменшилася з
14 до 9 одиниць. Так в службі експлуатації ліквідовано відділ безпеки руху і ці
функції передано бюро перевезень.
У
технічній службі ліквідовано відділ головного механіка і ці функції передано
технічному бюро. Замість відділу МТП організується група МТП. Ліквідується
склад агрегатів — функції передаються на центральний склад. У структурних
підрозділах виконавчої дирекції сталися такі зміни —реорганізовано кадровий
відділ, ліквідовано канцелярію, загальне діловодство та відділ праці і
заробітної плати — функції передаються кадровому відділу; ліквідовано юридичну
групу— надання юридичних консультацій буде проводити юрист, який працює за трудовим
договором.
Розподіл
працівників за структурними підрозділами
Таблиця
7
|
Назва
структурного підрозділу
|
Кількість
працюючих
|
|
1.Служба
перевезень - керівник
1.1.
Бюро перевезень
1.2.
Автоколона №1
|
1
|
|
1.1.Бюро
перевезень
|
2
|
|
1.2.
Автоколона №1
|
2
|
|
2. Технічна
служба - головний інженер
|
1
|
|
2.1.
Технічне бюро
|
2
|
|
2.2.
Група МТП
|
2
|
|
2.3.
Ремонтні майстерні
|
1
|
|
2.4.
Центральний склад
|
1
|
|
3.
Виконавчий директор - директор
|
1
|
|
3.1.
Планово-фінансовий відділ
|
6
|
|
3.2.
Кадровий відділ
|
2
|
|
3.3.
Бухгалтерія
|
4
|
|
Загальна
кількість працюючих
|
25
|