Планирование качества продукции

  • Вид работы:
    Курсовая работа (т)
  • Предмет:
    Менеджмент
  • Язык:
    Русский
    ,
    Формат файла:
    MS Word
    71,30 kb
  • Опубликовано:
    2010-12-08
Вы можете узнать стоимость помощи в написании студенческой работы.
Помощь в написании работы, которую точно примут!

Планирование качества продукции
















КУРСОВАЯ РАБОТА

по дисциплине «Планирование деятельности предприятия»

на тему:

Планирование качества продукции

СОДЕРЖАНИЕ

Введение

1. Научно-методические основы планирования качества продукции

2. Анализ качества продукции предприятия ООО «Благо»

3. Разработка плана повышения качества продукции предприятия ООО «Благо»

Заключение

Список литературы

Приложения

ВВЕДЕНИЕ

Данная тема является актуальной, т.к. разработка успешного планирования качества продукции на производственном предприятии, является одним из необходимых условий для повышения производительности труда, а, следовательно, повышение прибыли на предприятии в целом. На примере ООО «Благо» мы рассмотрим, какие методы выбирает руководство компании по совершенствованию планирования численности персонала.

Целью данной работы является анализ производственного предприятия ООО «Благо» и разработка плана по повышению качества продукции. Необходимо выяснить, какие методы использует предприятие для планирования качества продукции. Требуется предложить более эффективные методы или усовершенствовать данную методику для положительного функционирования предприятия в целом.

Задачей курсовой работы является анализ методов и показателей планирования качества продукции производственного предприятия, выбрать самые эффективные и применить их на практике. Необходимо произвести комплексный анализ продукции и дать оценку хозяйственной деятельности предприятия. После проведенного анализа разработать план по труду на 2010 г.

Объект исследуемой теме выступает планирование качества продукции.

Предмет данной темы совершенствование системы планирования качества продукции на предприятии ООО «Благо».

Методологической основой курсовой работы и поставленных в ней задач, явились научные работы, Алексеева М.М., Бельтюкова Е.А., Пивоварова К.В., учебная и методическая литература, научные статьи и другие материалы, которые в области планирования качества продукции в системе планирования деятельности предприятия были проанализированы.

В курсовой работе нашли применение и такие общенаучные методы, системного и сравнительного анализа, нормативный метод, экономико-математические методы и т.д.

1. НАУЧНО-МЕТОДИЧЕСКИЕ ОСНОВЫ ПЛАНИРОВАНИЯ КАЧЕСТВА ПРОДУКЦИИ

Качество продукции – это совокупность свойств, обуславливающих пригодность продукции удовлетворять определённые потребности в соответствии с ее назначением.

Уровень качества продукции – относительная характеристика, основанная на сопоставлении значений показателей, характеризующих техническое и эстетико-эргономическое совершенство комплексных показателей надежности и безопасности использования оцениваемой продукции.[3,c.37]

На каждом предприятии на качество продукции влияют разнообразные факторы, как внутренние, так и внешние.

К внутренним относятся такие, которые связаны со способностью предприятия выпускать продукцию надлежащего качества, т.е. зависят от деятельности самого предприятия. Они многочисленны, их классифицируют на следующие группы:

· Технические;

· Организационные;

· Экономические;

· Социально – психологические.

Технические факторы самым существенным образом влияют на качество продукции, поэтому внедрение новой технологии, применение новых материалов, более качественного сырья – материальная основа для выпуска конкурентоспособной продукции.

Организационные факторы связаны с совершенствованием организации производства и труда, повышением производственной дисциплины и ответственности за качество продукции, обеспечением культуры производства и соответствующего уровня квалификации персонала.

Экономические факторы обусловлены затратами на выпуск и реализацию продукции, политикой ценообразования и системой экономического стимулирования персонала за производство высококачественной продукции.

Социально – экономические факторы в значительной мере влияют на создание здоровых условий работы, преданности и гордости за марку своего предприятия, моральное стимулирование работников – все это важные составляющие для выпуска конкурентоспособной продукции. [1,c.71]

Внешние факторы в условиях рыночных отношений способствуют формированию качества продукции. К ним в первую очередь можно отнести: требования рынка, т.е. покупателей, конкуренцию и т.д.

Все эти факторы связаны между собой и влияют на качество продукции.

Уровень качества продукции определяется на основе системы показателей её качества. Для определения этого уровня, необходимо знать численное значение каждого из этих показателей и сравнить с аналогичным показателем продукции принятой в качестве базовой для сравнения.

Различают обобщающие индивидуальные и косвенные показатели качества.

К обобщающим показателям качества относят:

а) удельный и качественный вес продукции в общем объеме ее выпуска;

б) удельный вес продукции, соответствующей мировым стандартам;

в) удельный вес экспортируемой продукции, в том числе в высокоразвитые промышленные страны;

г) удельный вес аттестованной продукции.

Индивидуальные показатели характеризуют полезность (жирность молока, содержание белка в продукте и т.д), надежность (долговечность, безотказность в работе), технологичность (трудоемкость и энергоемкость).

Косвенные – штрафы за некачественную продукцию, объем и удельный вес забракованной продукции, потери от брака и т.д.

В процессе анализа изучают динамику этих показателей, выполнение плана по их уровню, причины их изменений.[12,c.36-38]

Под определением показателя качества подразумевается нахождение его численного значения. Для этого на практике в зависимости от специфики продукции принимаются следующие методы.

Измерительный – при помощи инструментов, приборов.

Регистрационный метод – который основан на регистрации и подсчёте числа определённых событий (например: отказов при испытаниях) или предметов (например, стандартизированных, унифицированных, оригинальных защищённых патентом). Регистрационным методом могут определяться такие показатели как безотказность, патентно – правовые, стандартизация, унификация.

Вычислительный метод - основывается на применении специальных математических моделей для определения показателя качества продукции.

Органолептический метод – предусматривает анализ восприятия человеческих органов чувств – зрения, слуха, обоняния, вкуса, осязания. Точность и достоверность найденных значений зависят от квалификации, навыков, и способности лиц, их определяющих.

Социологический метод – осуществляется на основе сбора и анализа линий возможных потребителей. [9,c.27]

Под планированием качества продукции понимается установление обоснованных заданий по выпуску продукции с требуемыми значениями показателей качества на заданный момент времени или в течение заданного интервала времени.

Планирование повышения качества должно опираться на научно обоснованное прогнозирование потребностей внутреннего и внешнего рынка. Для правильного обоснования планов повышения качества следует использовать данные о результатах эксплуатации продукции, обобщать и анализировать информацию о фактическом уровне ее качества. [6,c.22]

Предприятия, добившиеся значительных успехов в повышении качества выпускаемой продукции, имеют реальную возможность:

а) увеличить долю занимаемого рынка сбыта;

б) повысить отпускную цену на продукцию и, соответственно, прибыль предприятия;

в) проводить более эффективную рекламную кампанию продукции и фирмы в целом;

г) укрепить доверие хозяйственных партнеров при осуществлении взаимных поставок;

д) повысить уровень конкурентоспособности продукции и укрепить деловой имидж предприятия.[14,c.19]

Предметом планирования качества продукции являются, в конечном итоге, различные показатели, отражающие как отдельные свойства продукции, так и разнообразные характеристики системы и процессов управления качеством. Эти показатели находят свое отражение в конкретных заданиях по улучшению качества продукции, в планах научно-исследовательских и опытно-конструкторских работ, стандартизации и метрологического обеспечения, внедрения систем управления качеством, технического развития предприятия, подготовки кадров и т.д.

Задания и мероприятия по повышению качества продукции разрабатываются с учетом результатов анализа качества выпускаемой продукции, исходя из основных направлений развития отраслей народного хозяйства, прогнозов технического прогресса, требований прогрессивных стандартов и потребностей народного хозяйства в продукции определенного качества.

Важнейшими принципами планирования повышения качества продукции являются:

а) научная разработка планов, предполагающая учет в планировании новейших достижений науки и техники, требований перспективных стандартов, потребностей рынка (как существующих, так и перспективных);

б) комплексность, предполагающая увязку в планах по качеству всех сторон деятельности предприятия (создание новой техники, внедрение стандартов, увеличение объема производства и др.). Комплексность планирования означает также, что задания по повышению качества конечной продукции должны быть увязаны с планами хозяйственных партнеров предприятия по повышению качества поставляемых ими сырья, материалов, полуфабрикатов, комплектующих изделий, запасных частей и других компонентов конечной продукции. [10,c.68]

Главными задачами планирования повышения качества продукции являются:

- обеспечение выпуска продукции с максимальным соответствием ее свойств существующим и перспективным потребностям рынка;

- повышение технического уровня и качества продукции до уровня лучших отечественных и зарубежных образцов;

- установление экономически оптимальных заданий по повышению качества продукции с точки зрения их ресурсного обеспечения и запросов потребителей;

- совершенствование структуры выпускаемой продукции путем оптимизации ее типоразмерного ряда;

- увеличение выпуска сертифицированной продукции;

- своевременное сокращение выпуска или снятие с производства морально устаревшей и неконкурентоспособной продукции;

- обеспечение строгого соблюдения требований стандартов, технических условий и другой нормативно-технической документации, своевременное внедрение вновь разработанных и пересмотр устаревших стандартов;

- разработка и реализация конкретных мероприятий, обеспечивающих достижение заданного уровня качества;

- увеличение экономической эффективности производства и использования продукции улучшенного качества. [2,c.50]

Планирование повышения качества должно осуществляться на разных уровнях управления и этапах жизненного цикла изделий включая проектирование, производство и эксплуатацию Планы повышения качества должны быть обеспечены необходимыми материальными, финансовыми и трудовыми ресурсами, а планируемые показатели и мероприятия по повышению качества необходимо тщательно обосновывать расчетами экономической эффективности.

Планирование повышения качества продукции на предприятии в целом должно дополняться внутрипроизводственным планированием. При этом могут использоваться обобщающие, единичные и комплексные показатели качества, которые дифференцируются с учетом особенностей планирования по видам (перспективное, текущее) и по уровням (предприятия, цех, участок, отдел).

Планы основных цехов должны содержать задания по повышению качества заготовок, деталей и сборочных единиц в соответствии с производственным процессом данного цеха. Это могут быть следующие задания:

- увеличение показателей точности и чистоты обработки;

- расширение выпуска деталей со специальными видами покрытий;

- освоение производства новых изделий и т.д.

Для сборочных цехов целесообразно планировать показатели качества продукции, которые установлены на уровне предприятия, также уровни сдачи продукции с первого предъявления и снижения потерь от брака и рекламаций. Два последних показателя могут применяться для механообрабатывающих цехов, участков и бригад. Для данных цехов целесообразно планировать также уменьшение количества возвратов деталей и узлов из цехов-потребителей.

Для каждого цеха вспомогательного производства целесообразно планировать как показатели, так и мероприятия, которые должны обеспечить высокое качество продукции в цехах основного производства. Например, для ремонтного цеха важнейшим показателем может быть доля оборудования (в общем объеме отремонтированных станков и машин), достигшего после ремонта заданной технологической точности.

Наряду с планами повышения качества продукции для цехов и участков целесообразно разрабатывать соответствующие планы для функциональных отделов и служб.

В планы конструкторских отделов могут быть включены следующие задания:

- разработка новых видов продукции;

- повышение качества продукции, подлежащей модернизации;

- повышение уровня агрегатирования и унификации и т.п.

Для технических служб (отделов главного технолога, главного механика и др.) целесообразно планировать мероприятия, отвечающие профилю этих подразделений. Так например, план отдела главного технолога должен содержать задания по:

а) внедрению современных технологических процессов;

б) ликвидации (снижению) брака;

в) оснащению производства различными приспособлениями и т.д. [5,c.39-42]

Объектом внутрифирменного планирования может быть качество изготовления продукции и качество работы. В цехах – это доля продукции, сданной с первого предъявления, снижение потерь от брака, сокращение количества рекламаций и возврата изделий из цехов-потребителей. В проектно-конструкторских и технологических службах – сдача документации с первого предъявления и процент возврата технической документации на доработку. В отделе технического контроля – уменьшение количества рекламаций, состояние контрольно-измерительной техники и др.

Показатели повышения качества должны обязательно увязываться с другими показателями оценки деятельности структурных подразделений предприятия, а также с системой стимулирования и ответственности их работников.

Для обобщающей оценки выполнения плана по качеству продукции используют разные методы. Сущность балансового метода оценки состоит в определении средневзвешенного баланса качества продукции, и путем сравнения фактического и планового его уровня находят процент выполнения плана по качеству.

Кроме того, оценка выполнения плана по качеству продукции производится по удельному весу забракованной продукции.

Качество продукции является параметром, оказывающим влияние на такие стоимостные показатели работы предприятия, как выпуск продукции (ВП), выручка от реализации (ВР), прибыль (П).

Изменение качества затрагивает прежде всего изменение цены и себестоимости продукции, поэтому формулы для расчета будут иметь вид:

ВП = ( Ц1 – Ц0 ) х К1 , (1.1)

ВР = ( Ц1 – Ц0) х VРП1 , (1.2)

П = [ (Ц1 – Ц0) х VРП1] – [(С1 – С0 ) х VРП1] , (1.3)

где Ц0, Ц1 – соответственно цена изделия до и после изменения качества;

К1 - количество реализованной продукции повышенного качества.

VРП1 - количество произведенной продукции повышенного качества;

С0, С1 – себестоимость изделия до и после изменения качества. [13,c.114-116]

Косвенным показателем качества продукции является брак.

В процессе изготовления часть продукции производится с отступлениями от установленных в технической документации параметров. Такая продукция считается дефектной или бракованной. Наличие дефектной продукции ведет к увеличению непроизводительных потерь производства. Это оказывает отрицательное влияние на все основные технико-экономические показатели работы предприятия, снижая производительность труда, прибыль и рентабельность, повышая себестоимость продукции.

Дефекты подразделяются на два основных вида: исправимые и неисправимые. Устранение исправимых дефектов путем дополнительных работ может превратить бракованную продукцию в годную. Неисправимые дефекты в силу технологических и технических причин не могут быть устранены и, следовательно, наличие таких дефектов — это прямые потери производства. Уровень дефектности продукции зависит от ряда объективных и субъективных факторов. Объективные факторы обусловлены спецификой продукции и производства, уровнем научно-технического прогресса в отрасли. Иногда при производстве сложных видов продукции, а также при неуправляемости отдельных процессов ее создания наличие брака неизбежно. В таких случаях брак планируется. Для предупреждения брака необходимы изучение причин его возникновения и их строгий учет.

Учет, анализ причин и списание брака производится в соответствии с требованиями, установленными в технической документации на продукцию. Службы ОТК анализируют причины, по которым произошел брак, его количественные показатели. Экономические службы определяют потери от брака. Полученные результаты используются для определения уровня дефектности продукции, процессов производства и труда, учитываются при планировании и оценке качества продукции, моральном и материальном стимулировании трудовых коллективов и отдельных исполнителей.

Коэффициент дефектности продукции (Д) определяется по формуле

 (1.4)

где mi— число дефектов i-го вида в выборке;

i=1,n — количество видов дефектов;

ui — коэффициент весомости i-го дефекта. [4,c.51]

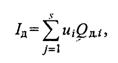
Индекс дефектности (Iд) характеризует средневзвешенное значение относительных коэффициентов дефектности разнородной продукции

 (1.5)

где ui — коэффициент весомости i-го индекса;

Q n i — относительный коэффициент дефектности;

J= l,s — количество видов продукции. [4,c.51]

Относительный коэффициент дефектности определяется по формуле:

 (1.6)

где Дб — базовый коэффициент дефектности, который может быть определен на основании прошлого периода, принятого за базу. [4,c.52]

Одним из основных методов оценки качества продукции является дифференциальный метод. На основании данных об оценке качества продукции и данных о дефектности продукции составляется план повышения ее качества, в котором планируется улучшение отдельных показателей, оказывающих особое влияние на качество продукции.

Дифференциальный метод оценки качества промышленной продукции осуществляется путем сопоставления единичных показателей качества оцениваемых изделий с соответствующими показателями базового образца. При этом находят уровень характеристик каждого i-гo свойства.

(1.7)

или(1.8)

где Рiоц — значение i-гo показателя свойств оцениваемого изделия;

Piбаз — значение i-гo показателя свойств базового образца;

n — количество принятых для оценки показателей. [11,c.48]

Формулу (1) используют, когда увеличение численного значения показателя характеризует улучшение качества, а при ухудшении — формулу (2).

Итоговый показатель уровня качества продукции определяется как среднее арифметическое значение всех уровней свойств, т. е. по формуле:

(1.9)

Комплексный метод оценки качества заключается в том, что при расчете итогового показателя качества учитывается значимость (весомость) каждого показателя свойств как оцениваемого, так и базового (эталонного) образца.

Если Ук линейно (пропорционально) зависит от учитываемых Рi то определяют среднее взвешенное арифметическое значение уровня качества оцениваемой продукции:

Ук = Рiоц / Рiбаз(1.10)

где бi— коэффициент весомости каждого из Рi. [11,c.48]

В случае, когда Ук нелинейно зависит от единичных показателей Рi, то вычисляют среднее взвешенное геометрическое значение уровня качества по формуле:

Ук = Piбiоц /  Piбiбаз(1.11)

Смешанный метод численной оценки качества заключается в том, что вначале для группы не основных свойств, и существенно отличающихся по значимости, определяют обобщенный средневзвешенный показатель (комплексный метод), а потом, вместе с остальными, принимаемыми за равнозначимые, показателями находят итоговое среднее арифметическое значение Ук (дифференциальный метод).

Интегральный метод оценки уровня качества продукции считается экономическим. Интегральный показатель уровня качества это

(1.12)


(1.13)

где W — полезный эффект;

Кс — суммарные капиталовложения, включающие цену, оплату за установку, наладку и другие работы;

Зс — эксплуатационные расходы.[11,c.51]

Экспертный метод общей оценки уровня качества продукции основан на использовании опыта и интуиции специалистов-экспертов. Он применяется тогда, когда нет необходимой количественной информации о свойствах оцениваемого или (и) базового образцов. Оценки выставляются экспертами в баллах, долях или процентах. Итоговый показатель уровня качества определяют как среднеарифметическое значение оценок всех экспертов.

По результатам анализа количественных оценок уровня качества продукции принимаются и реализуются соответствующие управленческие решения.

2. АНАЛИЗ КАЧЕСТВА ПРОДУКЦИИ

На предприятии ООО «Благо» трудятся высококвалифицированные кадры, отработаны современные технологии. На сегодняшний день предприятие специализируется на производстве бетона и строительных материалов. Объем производства составляет 30,6 тысяч тонн в год при односменной работе. Окупаемость вложений высокая.

Целью деятельности ООО «Благо» является осуществление производственно-хозяйственной деятельности, направленной на получение прибыли, а также удовлетворение на ее основании социально-экономических интересов акционеров и членов трудового коллектива.

Предметом деятельности является:

- осуществление оптовой, розничной и международной торговли продукцией собственного производства;

- сдача в аренду зданий, сооружений, помещений, транспортных средств и другого движимого и недвижимого имущества;

- организация и проведение выставок – продаж, аукционов, презентаций;

- разработка и внедрение новых товаров;

- осуществление услуг по предоставлению складов;

- другие виды предпринимательской деятельности, не противоречащие действующему законодательству.

Предприятие имеет право самостоятельно осуществлять внешнеэкономическую деятельность в любой сфере, связанной с предметом его деятельности. При осуществлении внешнеэкономической деятельности. Предприятие пользуется полным объемом прав субъекта внешнеэкономической деятельности в соответствии с законодательством Украины.

ООО «Благо» является собственником:

- имущества, переданного ему основателями и акционерами в собственность как вклад их уставный капитал;

- продукции, произведенной в результате хозяйственной деятельности;

- полученных доходов;

- другого имущества, приобретенного на основаниях, не запрещенных законодательством.

Анализ структуры актива баланса (Приложение А):

Характеристика имущественного положения предприятия. Общая стоимость имущества предприятия составила 1739,0 тыс. грн., стоимость необоротных средств (активов) ― 1399,9 тыс. грн., стоимость мобильных (оборотных) активов ― 339,1 тыс. грн. Изменение стоимости имущества предприятия на 2010 год увеличилось и составило 80 тыс. грн. и возросла стоимость оборотных активов на 365,8 тыс. грн. Произошли изменения в стоимости запасов увеличением их на 16,5 тыс. грн., в нашем случае можно говорить о том, что производственные запасы можно считать оптимальными.

Состояние используемых основных средств: коэффициент основных средств износа равен 1,96 % , коэффициент обновления ― 2,3%, коэффициент выбытия ― 2,4%, показывают на то, что состояние основных средств предприятия удовлетворительное.

Анализ структуры пассива баланса (Приложение А):

Собственный капитал на начало 2010 года его доля в структуре пассивов составляла 894,0 тыс. грн. На конец 2009 года доля собственного капитала в структуре пассивов не изменилась и составила 894,0 тыс. грн. Такая структура источников формирования имущества является признаком высокой финансовой устойчивости предприятия. Стабильное положение источников формирования имущества произошло за счет увеличения: собственных средств на 7,5 %, долгосрочных обязательств ― 31,9 %, текущих обязательств ― 37,25 %., такие изменения являются в целом положительными, так как в будущем будет наблюдаться рост собственного капитала.

Как показывают данные в (Приложение Б), чистая прибыль предприятия в 2010 г. по сравнению с 2009 г. уменьшилась на 23,5 тыс. грн. и составила 17,5 тыс. грн. Этот уменьшение полностью обусловлено упадком прибыли от обычной деятельности.

Обращает на себя внимание уменьшение в 2010 г. по сравнению с 2009 г. доли себестоимости реализованной продукции в выручке от реализации на 77 тыс. грн., такое изменение в целом можно охарактеризовать как отрицательное.

Анализ отчета о финансовых результатах (Приложение Б):

За 2010 г. выручка от реализации продукции уменьшилась на 108 тыс. грн., это изменение является результатом влияния двух факторов: цены реализации (∆В= 44,5 тыс. грн.) и объема реализованной продукции (∆В= -152,5 тыс. грн.). Валовая рентабельность производства составила 0,22 тыс. грн., чистая рентабельность производства ― 0,229 тыс. грн., в отношении этих показателей можно сказать, что желаемой является их положительная динамика. Коэффициенты рентабельности капитала на предприятии находятся на достаточно низком уровне.

Анализ ликвидности предприятия: коэффициент общей (текущей) равен 1,1, коэффициент срочной ― 0,8, коэффициент абсолютной ― 0,3, т.е. предприятие является прибыльным. Т.о. по сравнению с 2009 г. в 2010 г. валовый доход Общества увеличился на 32,54% при сокращении прибыли от обычной деятельности на 37,54% и увеличении прибыли от операционной деятельности на 2,8%, что повлекло за собой увеличение прибыли на одного работника на 32,52%. Значительно увеличились расходы на оплату труда (на 129,8%) при неизменной численности персонала, которая составляет 15 человек. В общем, рентабельность возросла на 20%.[6]

Оценка качества продукции предполагает выполнение соответствия показателей качества продукции требованиям потребителей и выбор, в случае необходимости, направления улучшения его качества.

Используем дифференциальный метод для оценки качества бетона марки М-200. К основным характеристикам бетона относят прочность, подвижность, водонепроницаемость, морозостойкость.

Определим как изменился уровень качества каждой из этой характеристик в отчетном году по сравнению с базисным.

Таблица 2.1 – Качественные характеристики бетона марки М-200.

Характеристика

2009 год

2010 год

Весомость характеристики

Прочность, кг/см2

200

200

0,6

Подвижность, см

5

4

0,1

Водонепроницаемость, мм

4

5

0,1

Морозостойкость, цикл

47

50

0,2


Ук 1 = 200/200 = 1

Ук 2 = 5/4 = 1,25

Ук 3 = 5/4 = 1,25

Ук 4 = 50/47 = 1,06

Теперь рассчитаем обобщающий показатель улучшения качества бетона:

Ук1 = 200*0,6 + 4*0,1 + 5*0,1 + 50*0,2 = 130,9 = 1,005 = 100,5%

Ук2 = 200*0,6 + 5*0,1 + 4*0,1 + 47*0,2 = 130,3

Т.о., за счет улучшения отдельных характеристик бетона удалось достигнуть улучшения его качества на 0,5%.

Теперь рассчитаем обобщенный интегральный показатель качества. Полезный эффект при этом будет равен 700 грн в 2009 году и 745 грн – в 2010, суммарные капиталовложения в 2009 году – 595,3 грн., в 2010 году – 600,2 грн., а эксплуатационные расходы – 53 грн. и 62 грн. за 2009 и 2010 годы соответственно.

Ринт 1 = 700 / (595,3 + 53) = 1,08

Р инт 2 = 745/ (600,2 + 62) = 1,12

Т. о., видно, что за счет увеличения суммарных капиталовложений и эксплуатационных расходов на 13,99 грн. интегральный показатель качества увеличился на 0,04.

Используем дифференциальный метод для оценки качества пустотного настила марки 200. К основным его характеристикам относят прочность, плотность, морозостойкость.

Определим как изменился уровень качества каждой из этой характеристик в отчетном году по сравнению с базисным.

Характеристика

2009 год

2010 год

Весомость характеристики

Прочность, кг/см2

200

200

0,6

Плотность, кг/см3

1300

1360

0,2

Морозостойкость, цикл

100

105

0,2


Ук 1 = 200/200 = 1

Ук 2 = 1360/1300 = 1,05

Ук 3 = 105/100 = 1,05

Теперь рассчитаем обобщающий показатель улучшения качества пустотного настила марки 200:

Ук1 = 200*0,6 + 1360*0,2 + 105*0,2 = 413 = 1,0325 = 103,25%

Ук2 = 200*0,6 + 1300*0,2 + 100*0,2 = 400

Т.о., за счет улучшения отдельных характеристик пустотного настила удалось достигнуть улучшения его качества на 3,25%.

Теперь рассчитаем обобщенный интегральный показатель качества для пустотного настила. Полезный эффект при этом будет равен 1500 грн в 2009 году и 2100 грн – в 2010, суммарные капиталовложения в 2009 году – 890 грн., в 2010 году – 1200 грн., а эксплуатационные расходы – 163 грн. и 188 грн. за 2009 и 2010 годы соответственно.

Ринт 1 = 1500 / (890 + 163) = 1,42

Р инт 2 = 2100/ (1200 + 188) = 1,51

Т. о., видно, что за счет увеличения суммарных капиталовложений и эксплуатационных расходов на 335 грн. интегральный показатель качества увеличился на 0,09.

В целом, предприятие достигло планируемой цели – увеличения качества бетона. Это было достигнуто за счет увеличения отдельных характеристик бетона, в частности подвижности, водонепроницаемости и морозостойкости. Это явилось следствием покупки несколько единиц новой техники: бетономешалок нового поколения СБ 109. За счет повышения скорости оборачиваемости, повысились эти характеристики бетона. Также за счет повышения качества бетона произошло и повышение качества пустотного настила.

Имея положительный опыт на следующий год рекомендовано закупить еще 5-6 единиц усовершенствованных бетономешалок для увеличения скорости производства бетона и пустотного настила в частности.

При производстве пустотного настила существует вероятность производства дефектных изделий. В общей массе изделий примерно 15% являются бракованными. Часть брака является запланированной, поскольку природа этих дефектов – технологическая. Остальной брак в основном случается по вине персонала, из-за его недостаточной квалификации. Дефекты и отклонения от норм, которые случаются при производстве пустотного настила и весомость этих дефектов представлены в таблице:

Таблица 2.3 – Возможные дефекты при производстве пустотного настила и их весомость.

Наименование показателя

Весомость показателя

Искривление ребер и граней

0,2

Трещины, пересекающие одно ребро

0,2

Трещины, пересекающие два смежных ребра

0,2

Отбитости и притупленность ребер и углов

0,2

Несоответствие размерам

0,2


В год ЗЖБИ 24 производит и реализует примерно 5400 штук пустотного настила. Из низ 15% составляет неисправимый брак, но эти изделия также реализуются по более низким ценам. Бракованные изделия можно использовать, но только в бытовых целях (например, при строительстве гаража).

Рассчитаем коэффициент дефектности, исходя из данных о количестве изделий с определенным видом брака и весомостью этого брака в общей структуре:

Д = 1/5* (367*0,2 + 115*0,2 + 102*0,2 + 182*0,2 + 71*0,2) = 167,4/5 = 33,48.

Т. о., доля брака в общем производстве продукции составляет весомую часть. В основном, бракованные изделия получаются по вине рабочего персонала, из-за недостатка квалификации. Большая часть брака, примерно 10% случается именно по этой причине.

Проанализировав качество бетона марки М-200 и пустотного настила марки 200 можно дать следующие рекомендации для улучшения качества продукции:

1. Произвести замену морально устаревших бетономешалок на более современную модель, что позволит улучшить качество бетонной смеси и уменьшить количество рабочих, занятых на данном этапе производства.

2. Исключить затраты на автомобильный транспорт по доставке бетонной смеси к месту формовки путем применения транспортерных лент, что повысит качество бетонной смеси и уменьшит ее расслаиваемость.

3. Приобрести и внедрить использование химических добавок для повышения качества бетона, его удобоукладываемости и снижения себестоимости бетонной смеси.

4. Повысить квалификацию имеющихся рабочих через учебные комбинаты, особое внимание уделить рабочим-формовщикам.

5. Провести мероприятия по привлечению новых потребителей и расширения рынка сбыта продукции.

3. РАЗРАБОТКА ПЛАНА ПОВЫШЕНИЯ КАЧЕСТВА ПРОДУКЦИИ ПРЕДПРИЯТИЯ ООО «БЛАГО»

Наряду с другими показателями годовой экономический эффект является одним из основных элементов расчета экономической эффективности капитальных вложений и новой техники. [8,c.103]

Одним из важнейших направлений в строительстве является повышение качества бетона. Перспективным и эффективным в этом деле является широкое использование различных органических и неорганических соединений в качестве специальных добавок к бетону. Вводимые в незначительных количествах – как правило, не более 1% по отношению к массе цемента – они существенно влияют на технологические показатели бетонной смеси, механические и физико-технические свойства бетона. Добавки используют при производстве вяжущих веществ, приготовлении строительных растворов и бетонных смесей. Они позволяют изменить качество бетонной смеси и самого бетона; воздействуя на удобоукладываемость, механическую прочность, морозостойкость, трещиностойкость, водостойкость, водонепроницаемость, теплопроводность, стойкость к окружающей среде.

В современной технологии бетона химические добавки являются таким же обязательным компонентом бетонной смеси, как вяжущее, заполнители и вода. Среди большого разнообразия химических добавок для бетонов: пластификаторов, ускорителей схватывания и твердения, замедлителей, регуляторов структуры, воздухововлекающих и других, особое место занимают пластификаторы и среди них, наиболее эффективный их вид – суперпластификаторы.

На планируемый период для повышения качества бетона планируется внедрить использование химической добавки суперпластификатор С-3. Применение С-3 позволяет достичь следующих показателей:

а) увеличить подвижность бетонной смеси от П1 до П5

б) снизить водопотребность при затвердении вяжущего вещества на 20-25%

в) увеличить конечные прочностные характеристики на 25% и более

г) увеличить сроки схватывания и живучесть бетонной смеси

д) в 1,5-1,6 раз увеличить сцепление бетона с закладной арматурой и металлоизделиями

е) получить бетоны с повышенной влагонепроницаемостью, трещеностойкостью, морозостойкостью (350 циклов)

ж) снизить расход цемента на 15%

з) снизить энергетические затраты (при вибрации, ТВО) на 30-50%, а в ряде случаев и полностью отказаться от дополнительных энергозатрат

и) получать бетонные смеси, укладываемые без вибрации.[16]

Таблица 3.1 - Экономический эффект от применения пластификатора С-3 при производстве 1 куб.м бетона с использованием цемента марки М400 Д20

Класс бетона по проч-ности на сжатие

Ближайшая марка бетона по прочности

тов по СНиП 82-02-95 без С-3, кг

Расход цемента М-400 с использо-ванием С-3, кг

Расход С-3, %

Расход С-3, кг по сухому веществу

Экономия расхода цемента М-400, кг

Экономия расхода цемента М-400, %

Экономия при производстве 1 м3 бетона, грн.

В 7,5

100

214

185

0,4

0,74

29

14

20,68

В 12,5

150

268

235

0,4

0,94

33

12

21,28

В 15,0

200

310

270

0,4

1,08

40

13

27,16

В 20,0

250

392

325

0,4

1,3

67

17

57,2

В 22,5

300

429

385

0,4

1,54

44

10

21,78


Т.о., из таблицы 3.1 видно, что при использовании суперпластификатора С-3 достигается экономия расхода цемента и соответственно материальная экономия при производстве бетона. Т.е., при выпуске 1 м3 бетона марки М 200 с применением суперпластификатора С-3 достигается экономия в 27,16 грн.

Применение суперлластификатора – это одно из направлений повышения качества продукции. Также на планируемый период намечена закупка партии бетономешалок нового поколения СБ 109, несколько единиц которых было закуплено в прошлом году, и использование которых дало очевидный эффект – повышение отдельных характеристик бетона. [16]

Рассчитаем годовой экономический эффект производителя и потребителя от закупки 5 единиц улучшенных бетономешалок, используя следующие данные.

Таблица 3.2 – Показатели качественных характеристик бетона.

Характеристика

2009 год

2008 год

Весомость характеристики

Прочность, кг/см2

200

200

0,6

Подвижность, см

5

3

0,1

Водонепроницаемость, мм

4

0,1

Морозостойкость, цикл

47

50

0,2


Таблица 3.3 – Экономические показатели для оценки качества бетона.

Показатели

Отчетный год

Плановый год

Себестоимость 1 м3 бетона, грн

477

485

Нормативная рентабельность изделия, %

20%

20%

Капиталовложения производителя, грн

780

785

Годовые эксплуатационные издержки потребителя, грн

53

62

Нормативный коэффициент экономической эффективности капиталовложений

0,15

0,15

Коэффициент транспортно-заготовительных расходов

1,04

1,04


Рассчитаем коэффициент соотношения показателей качества:

w = 200/200 *0,6 + 5/3*0,1 + 6/4 *0,1 + 50/47 *0,2 = 0,6 + 0,17 + 0,15 + 0,21 = 1,13

Рассчитаем коэффициент, учитывающий дополнительные потребительские свойства:

aп = 4,41/4,9 = 0,9

Рассчитаем коэффициент, учитывающий соотношение показателей качества по формуле:

g = w * aп (3.1)

g = 1,13*0,9 = 1,02

Экономическая эффективность производителя:

Эпр = g*(Себ1 + К эк.эф.кап 1 * Кап.влож.1) – (Себ2 + К эк.эф.кап 2 * Кап.влож.2) (3.2)

Эпр = 1,02*(477+0,15*780) – (481+0,15*785) = 605,88 – 598,6 = 7,28 (грн)

Экономический эффект производителя состоит в том, что на каждом 1 м3 за счет улучшения качества продукции предприятие экономит 7,28 грн.

Рассчитаем отпускную цену изделия:

Ц = С(1+Р)

Ц1 = 477 *(1+0,2) = 572,4 (грн)

Ц2 = 481*(1+0,2) = 577,2 (грн)

Капиталовложения потребителя равны:

К = Ц*Кт-з

К1 = 572,4*1,04 = 595,3 (грн)

К2 = 577,2*1,04 = 600,29 (грн)

Экономический эффект потребителя:

Эпотр = g*(Изд.экспл.1 + К эк.эф.кап 1 * К1) – (Изд.экспл.1 + К эк.эф.кап 1 * К2) (3.3)

Эпотр = 1,02*(53+0,15*595,3) – (62+ 0,15*600,29) = 145,15 – 152,04 = -6,89 (грн.)

Экономический эффект потребителя состоит в том, что за 1 м3 бетон повышенного качества потребителю придется платить на 6,89 грн. больше.

Улучшение качества бетона естественным образом отображается и на улучшении качества пустотного настила.

Теперь рассчитаем экономический эффект от планируемого повышения качества пустотного настила марки 200.

Таблица 3.2 – Показатели качественных характеристик пустотного настила марки 200.

Характеристика

2009 год

2008 год

Весомость характеристики

Прочность, кг/см2

200

200

0,6

Плотность, кг/см3

1360

1430

0,2

Водонепроницаемость, мм

4

6

0,1

Морозостойкость, цикл

115

0,1


Таблица 3.3 – Экономические показатели для оценки качества пустотного настила.

Показатели

Отчетный год

Плановый год

Себестоимость 1 м3 бетона, грн

865

975

Нормативная рентабельность изделия, %

20%

20%

Капиталовложения производителя, грн

890

1100

Годовые эксплуатационные издержки потребителя, грн

163

188

Нормативный коэффициент экономической эффективности капиталовложений

0,15

0,15

Коэффициент транспортно-заготовительных расходов

1,04

1,04


Рассчитаем коэффициент соотношения показателей качества:

w = 200/200 *0,6 + 1430/1360*0,2 + 6/4 *0,1 + 115/105 *0,1 = 0,6 + 0,25 + 0,15 + 0,11 = 1,11

Рассчитаем коэффициент, учитывающий дополнительные потребительские свойства:

aп = 4,76/4,9 = 0,97

Рассчитаем коэффициент, учитывающий соотношение показателей качества:

g = 1,11*0,97 = 1,07

Экономическая эффективность производителя:

Эпр = g*(Себ1 + К эк.эф.кап 1 * Кап.влож.1) – (Себ2 + К эк.эф.кап 2 * Кап.влож.2)

Эпр = 1,07*(865+0,15*890) – (975+0,15*1100) = 1057,7 – 1140 = 17,7 (грн)

Экономический эффект производителя состоит в том, что при производстве пустотного настила марки 200 за счет использования бетона высшего качества предприятие экономит 17,7 грн.

Рассчитаем отпускную цену изделия:

Ц = С(1+Р)

Ц1 = 865 *(1+0,2) = 1038 (грн)

Ц2 = 975*(1+0,2) = 1170 (грн)

Капиталовложения потребителя равны:

К = Ц*Кт-з

К1 = 1038*1,04 = 1079,52 (грн)

К2 = 1170*1,04 = 1216,8 (грн)

Экономический эффект потребителя:

Эпотр = g*(Изд.экспл.1 + К эк.эф.кап 1 * К1) – (Изд.экспл.1 + К эк.эф.кап 1 * К2)

Эпотр = 1,07*(163+0,15*1079,52) – (188+ 0,15*1216,8) = 347,67 – 370,52 = -22,85 (грн.)

Экономический эффект потребителя состоит в том, что за пустотный настил марки 200 повышенного качества потребителю придется платить на 22,85 грн. больше.

Т.о., на следующий год планируется ввести использование химической добавки суперпластификатор С-3 и закупить дополнительно 5 единиц усовершенствованных бетономешалок СБ 109. В этом случае общая экономия при производстве 1 м3 бетона марки М-200 составит сумму экономии при использовании добавки и экономии при использовании новых бетономешалок, которая будет равна 27,16 + 7,28 = 34, 44 (грн).

Следствием этого является экономия при производстве пустотного настила, которая составит 17,7 грн с одной плиты.

Т.о., разработка плана повышения качества бетона и пустотного настила представляет собой анализ их качества, выявление недостатков и разработку путей их устранения или, если процент дефектов мал, разработку мероприятий по непосредственному повышению качества.

В данном случае при производстве бетона особых отклонений не существует, и продукция соответствует заявленному качеству. При этом при внедрении использования химической добавки и покупке дополнительного оборудования достигается повышение качества бетона и экономия затрат, что является несомненным плюсом. Продукция становится более конкурентоспособной, объем сбыта увеличивается, и соответственно увеличивается прибыль.

При повышении качества бетона соответственно увеличивается и качество пустотного настила, поскольку бетон – основная его составляющая. Но при производстве пустотного настила существуют свои отличительные особенности. Одной из них является постоянный процент бракованной продукции. Брак возникает по нескольким причинам, это несовершенство технологических процессов и человеческий фактор. Если в первом случае, процент брака является запланированным, то во втором случае большую роль играет уровень квалификации рабочих и этот брак не поддается прогнозированию. Решением этой проблемы является автоматизация процесса производства, сводящий человеческий фактор к минимуму.

ЗАКЛЮЧЕНИЕ

Современная рыночная экономика предъявляет принципиально иные требования к качеству выпускаемой продукции. В современном мире выживаемость любой фирмы, ее устойчивое положение на рынке товаров и услуг определяются уровнем конкурентоспособности. В свою очередь конкурентоспособность связана с двумя показателями – уровнем цены и уровнем качества продукции. Причем второй фактор постепенно выходит на первое место. Производительность труда, экономия всех видов ресурсов уступают место качеству продукции.

Качество – это авторитет фирмы, увеличение прибыли, рост процветания и работа по управлению качеством на фирме – альфа и омега для всего персонала, от руководителя до конкретного исполнителя.

Качество продукции – важнейший показатель деятельности предприятия. Повышение качества продукции в значительной мере определяет выживаемость предприятия в условия рынка, темпы научно-технического прогресса, рост эффективности производства, экономию всех видов ресурсов, используемых на предприятии. Рост качества продукции – характерная тенденция работы всех ведущих фирм мира. Она охватила европейские, американские и азиатские предприятия. И качество выпускаемой продукции – основной фактор конкуренции между фирмами.

В первой главе темы планирования качества продукции были рассмотрены внешние и внутренние факторы, которые влияют на качество продукции. Далее были выведены основные обобщающие индивидуальные и косвенные показатели качества. Были рассмотрены методы, которые используются для нахождения численного значения показателя качества, такие как: измерительный, регистрациооный, вычислительный, органолептический, социологический. Показаны принципы и главные задачи планирования качества продукции. На практике используются следующие методы оценки качества промышленной продукции: дифференциальный, комплексный, смешанный, интегральный и экспертный.

Во второй главе используем дифференциальный метод для оценки качества бетона марки М-200 и пустотного настила марки 200. По ним был рассчитан обобщающий показатель улучшения качества бетона и обобщенный показатель качества. Т. к. при производстве пустотного настила существует вероятность производства дефектных изделий были рассмотрены возможные дефекты и рассчитан коэффициент дефектности. Проанализировав качество бетона марки М-200 и пустотного настила марки 200, были даны рекомендации для улучшения качества продукции.

В третьей главе разрабатываем план повышения качества продукции ООО «Благо». Рассматриваем экономический эффект от применения пластификатора С-3 при производстве 1 куб.м бетона с использованием цемента марки М400 Д20. Рассчитываем годовой экономический эффект производителя и потребителя от закупки 5 единиц улучшенных бетономешалок, используя следующие данные: прочность, подвижность, водонепроницаемость, морозостойкость. Таким образом получили, что экономический эффект производителя состоит в том, что на каждом 1 м3 за счет улучшения качества продукции предприятие экономит 7,28 грн, а экономический эффект потребителя состоит в том, что за 1 м3 бетон повышенного качества потребителю придется платить на 6,89 грн. больше. Далее был рассчитан экономический эффект от планируемого повышения качества пустотного настила марки 200. Разработан план повышения качества бетона и пустотного настила. Он представляет собой анализ их качества, выявление недостатков и разработку путей их устранения или, если процент дефектов мал, разработку мероприятий по непосредственному повышению качества.

СПИСОК ЛИТЕРАТУРЫ

1. Алексеева М.М. Планирование деятельности фирмы/М.М. Алексеева. – М.: Инфра-М, 1997. – 286с.

2. Анализ временных рядов. Методические указания по выполнению лабораторной работы по дисциплине "Эконометрия" / Сост. Букач Б.А. – Севастополь: Изд-во СевГТУ, 2000. – 22 с.

3. Бельтюков Е.А. Планирование деятельности предприятия: Учебное пособие/Е.А. Бельтюков, А.А. Бревнов, В.Н. Парсяк. – Харьков: Одиссей, 2006. – 384с.

4. Бухалков М.И. Планирование на предприятии: Учебник/М.И. Бухалков. – М.: ИНФРА-М, 2007.- С. 174–181.

5. Владимирова Л.П. Прогнозирование и планирование в условиях рынка: Учебное пособие. – 2-е изд., перераб. И доп. – М.: Издательский дом «Дашков и К», 2001. – С. 104–115; 136–140; 186–197.

6. Волкова О.Н. Анализ хозяйственной деятельности предприятия / О.Н. Волкова, В.В.Ковалев.- М.: Проспект, 2002.-412с.

7. Ильин А.И. Планирование на предприятии: Учебник/ А.И. Ильин. – 3-е изд. – Минск: Новое знание, 2002. – С. 251–263.

8. Кирик Т.Н. Краткий курс бизнес-планирования: Учеб. пособие для вузов/ Т.Н. Кирик. – Харьков: Консум, 2005. – С. 57–66.

9. Либерман И.А. Планирование на предприятии: Учеб. пособие. – 2-е изд. – М.: РИОР, 2007. – 202 с.

10. Пивоваров К.В. Планирование на предприятии: Учебное пособие. – М.: Издательско-торговая корпорация «Дашков и К», 2004. – С. 87–102.

11. Савицкая Г.В. Анализ хозяйственной деятельности предприятия / Г.В. Савицкая.- Минск: Новое издание, 2002.- 703с.

Похожие работы на - Планирование качества продукции

 

Не нашли материал для своей работы?
Поможем написать уникальную работу
Без плагиата!
Без нейросетей!