Особенности исследования систем управления

  • Вид работы:
    Курсовая работа (т)
  • Предмет:
    Менеджмент
  • Язык:
    Русский
    ,
    Формат файла:
    MS Word
    444,86 kb
  • Опубликовано:
    2010-12-22
Вы можете узнать стоимость помощи в написании студенческой работы.
Помощь в написании работы, которую точно примут!

Особенности исследования систем управления

Введение

Эффективность деятельности организаций, компаний, холдингов, народного хозяйства в целом в значительной степени зависит от исследования создаваемых систем управления, их рационального построения и необходимых при этом инвестиций. Потребность в инвестициях при создании современных систем управления всегда велика, а имеющиеся в наличии инвестиционные ресурсы всегда ограничены. В связи с этим на практике перед руководством организаций всегда стоит задача выбора наиболее эффективного варианта реализаций инвестиций в системы управления.

Объективно существующие процессы создания систем управления обусловили последовательность изложения материала, начиная с определения таких категорий как «система», «управление», «система управления», «автоматизированные информационные системы управления», и заканчивая оценкой эффективности инвестиционных проектов, связанных с автоматизацией производства и управления.

Исследование операций является одним из основных источников системного анализа. Концепции и принципы анализа систем управления являются развитием основных идей теории исследования операций. Системный анализ имеет достаточно большой аппарат, который включает в себя развитый математический аппарат и современные вычислительные системы. Особенности системного анализа исходят из самой природы сложных систем. Для ликвидации проблемы или выяснения ее причин системный анализ привлекает для этого широкий спектр средств, использует возможности различных наук и различных сфер деятельности человека. Несмотря на большие преимущества теорий исследования операций и системного анализа, на практике для исследования систем управления продолжают играть решающую роль традиционные экспертные оценки, планирование экспериментов, способности человека к ассоциациям и многое другое, что пока не присуще искусственному интеллекту.

Эффективность инвестиционных проектов, связанных с созданием систем управления, характеризуется системой показателей, отражающих соотношение полученных результатов и необходимых при этом затрат. В зависимости от вида обобщающего показателя, который выступает в качестве критерия эффективности проекта, показатели делятся на абсолютные, относительные и временные. Вот почему выбранная тема является актуальной.

Такими условиями могут быть: организационно-правовая форма хозяйственного объекта управления, требования инвестора, уровень подготовленности специалистов, занимающихся оценкой эффективности систем управления и др. При оценке эффективности систем управления обязательным условием является учет инфляционных процессов и рисков.

Целью работы является исследование опыта оценки эффективности исследования системы управления, попытка разобраться в природе и сущности данного предмета и исследовать основные направления в оценке эффективности.

Данная курсовая работа состоит из введения, двух глав, заключения, глоссария, списка сокращений, библиографического списка и трех приложений. В первой главе раскрываются общие характеристики эффективности исследования системы управления, во второй раскрывается оценка эффективности исследования системы управления.

В работе были использованы труды следующих авторов: Мухина В.И., Беляевой А.А., Короткова Э.М., Мыльник В.В. и т.д.

1. Общая характеристика эффективности исследования системы управления

1.1 Исследовательский потенциал и принципы эффективности исследовательского процесса

Эффективность исследования — это определение или нахождение такого варианта проведения исследования, который кратчайшим путем ведет к успеху. Но это определение можно дополнить более точным. Эффективность исследования — это одна из его характеристик, которая показывает как соотносятся затраты усилий (или ресурсов) на его проведение и результат (или степень достижения цели).

Все факторы, определяющие эффективность исследования, можно рассмотреть в двух группах: факторы исследовательского потенциала управления и принципы его использования.

Понятие исследовательского потенциала управления отражает возможности использования ресурсов и достижения поставленных целей. Ведь наличие необходимых ресурсов еще не ведет автоматически к эффективности. Использование ресурсов зависит и от их структуры, доступности, цели, по которой используются ресурсы, мотивации их рационального использования и пр. Все это в совокупности характеризует понятие исследовательского потенциала. Его величина и качество, его реализация также определяют достижение эффективности.[1]

Все факторы, характеризующие исследовательский потенциал управления, можно представить по трем группам: факторы методологической готовности, факторы наличия и структуры ресурсов и факторы организационных возможностей.

Большое значение имеет также опыт исследования. Систематическое проведение исследовательской работы способствует накоплению такого опыта и повышает потенциал эффективности исследовательской деятельности. Опыт экономит время, оберегает от ошибок и облегчает многие операции.[2]

Факторы методологической готовности действуют не только в определенном наборе и совокупности, но и в их соотношении и системности.

Следующая группа факторов исследовательского потенциала — наличие и использование ресурсов.

Любое исследование нуждается в ресурсах. Необходимы ресурсы персонала, экономические, материально-технические, информационные, ресурсы времени. В исследовании необходимы различные ресурсы и в определенном их соотношении. Ресурсы могут и должны быть взаимозаменяемыми, но до определенных пределов.

Следует здесь назвать и такой фактор, как интеллектуальный потенциал менеджера или исследователя. Его можно отнести и к ресурсам и к методологической готовности, но он также играет важную роль в реализации организационных возможностей. Организация исследования — это организация интеллектуальной деятельности, и она определяется в значительной мере интеллектуальным потенциалом исследователя.[3]

Среди принципов следует назвать прежде всего принцип объективности. Согласно этому принципу, любое исследование должно искать объективные факторы, связи, зависимости.

Принцип последовательности требует проведения исследования по определенной, заранее разработанной технологии. "Слона можно съесть только по частям" — гласит восточная мудрость, которая образно может характеризовать этот принцип. В использовании этого принципа большое значение имеет ответ на вопрос: с чего начать и как двигаться к результату?

Принцип целеустремленности означает, что любое исследование должно иметь вполне определенную цель. Исследование — это не только разрешение возникшей проблемы, но и определение, к какой цели может вести это разрешение, в какой мере оно способствует достижению цели.

Принцип "обгонять, не догоняя". Иной вариант образного представления этого принципа формулируется, как "не открывать велосипед". Любое исследование необходимо строить на достигнутом, не тратить время и усилия, на повторные решения, идти вперед, опираясь па известное и проверенное.

Принцип свободы мышления, который определяет необходимость снятия ограничения в полете мысли, фантазии, воображения, идеи.

Принцип управления мышлением. Как и всякий процесс, мышление должно быть не спорадическим и стихийным, а управляемым процессом, в каких бы масштабах и формах оно не осуществлялось. Это может быть управление процессом индивидуального мышления или процессом групповой мыслительной деятельности. Это правило ведет к эффективности исследования.

Принцип качественной и количественной определенности исследования. Он заключается в том, что, по возможности, исследования надо проводить, опираясь на количественные измерители параметров, показатели, но при этом не терять качество изучаемых явлений, т. е. совокупность тех свойств, которые определяют их суть и особенности.

И еще один принцип следует добавить к этому перечню — принцип трудоемкости. Суть его заключается в том, что всякое исследование должно быть рассчитано по трудоемкости его проведения. От этого зависит и его организация, и рациональное использование всех ресурсов, а следовательно, и эффективность.[4]

1.2 Экспертные оценки эффективности исследования системы управления

Экспертные оценки представляют собой точки зрения (мнения, суждения) высококвалифицированных специалистов в определенных предметных областях – экспертов, сформулированные в виде оценок объекта в содержательной, качественной или количественной форме. Экспертные оценки формируются в процессе проведения экспертизы-исследования определенного объекта индивидуумом или группой компетентных специалистов с целью формирования информации об интересующих характеристиках, свойствах объекта, используемой при принятии решений. Сущность метода экспертных оценок состоит в надлежащей организации специалистами-организаторами экспертиз проведения конкретной экспертизы с целью получения информации о суждениях экспертов по рассматриваемым объектам и ее последующей обработки для генерации обобщенных данных и новой информации. Экспертные методы широко используются при синтезе процессов управления сложных систем, в менеджменте, при разработке и принятии решений, для получения различного рода оценок. Например, качества труда, надежности банка, ситуаций на финансовых рынках, исследовании систем управления и других случаях.[5]

В соответствии с главной целью технологии экспертных оценок – принятие эффективного решения по итогам проведения экспертизы следует решить определенные задачи:

обеспечить адекватную оценку объекта экспертизы;

выработать эффективные альтернативные варианты решений

достижения поставленных целей;

выбрать из них единственный оптимальный (наиболее

рациональный) вариант.

Для успешного решения указанных задач специалисты по проведению экспертизы должны владеть и умело руководствоваться на практике принципами рациональной организации и проведения экспертиз, методами получения, анализа и обработки экспертной информации, методами анализа результатов экспертизы.

Опрос экспертов является одним из значимых этапов процесса организации и проведения экспертизы. В ходе реализации этого этапа осуществляется выявление и констатация суждений экспертов по существу исследуемого объекта. Форма проведения опроса фактически является основой, определяющей вид метода организации и проведения экспертизы. Основными формами опроса являются: анкетирование, интервьюирование, метод Дельфы, мозговой штурм, дискуссия.[6]

В ходе анкетирования осуществляется опрос экспертов в письменной форме с помощью анкет. Анкета – составляемый организаторами проведения экспертизы список вопросов, предъявляемый экспертам, ответы которых служат исходными эмпирическими данными для обобщений и выводов.

Интервьюирование как процесс получения информации интервьюером во время проведения по заранее намеченному плану беседы, опроса эксперта или группы экспертов является одной из разновидностей форм сбора информации в ходе экспертизы.

Метод Дельфы на сегодня представляет собой совокупность способов организации проведения экспертизы, опроса экспертов, обработки и оценки их результатов, получения группового заключения, удовлетворяющих определенным общим требованиям.

Мозговой штурм представляет собой совокупность способов группового обсуждения с целью генерации альтернативных нетрадиционных вариантов решений по исследуемым объектам, формирования новых, оригинальных идей.[7]

Дискуссия как форма опроса экспертов проводится в виде открытого обсуждения рассматриваемой проблемы, с целью нахождения наиболее адекватных путей ее решения, выявления наиболее значимых факторов, влияющих на ее возникновение и развитие, системной оценки достоинств и недостатков результатов реализации возможных способов ее разрешения. В ходе выступлений участников дискуссии разрешается критика, могут иметь место перерывы в процессе проведения дискуссии, предполагаются кулуарные обсуждения во время перерывов, способствующие достижению положительного эффекта по окончании дискуссии с целью обобщения и классификации основных результатов, высказанных участниками дискуссии. Основные результаты дискуссии могут быть скорректированы с учетом дополнительной информации экспертов, получаемой примерно через сутки после окончания дискуссии.[8]

Таким образом из выше изложенного можно сделать следующие выводы: эффективность исследования – это одна из его характеристик, которая показывает как соотносятся затраты усилий на его проведение и результат. При синтезе процессов управления сложных систем, в менеджменте, при разработке и принятии решений, для получения различного рода оценок широко используются экспертные методы.

2. Оценка эффективности исследования системы управления

2.1 Основные принципы оценки эффективности системы управления

Оценка — это установление наличия и степени проявления той или иной характеристики системы управления. Средством оценки является показатель. На оценках построены анализ, нормативное регулирование функционирования и развития, поиск и определение тенденций, изучение особенностей и существенных черт того или иного явления. Без оценок невозможны разработка и принятие управленческих решений, в том числе и решений по совершенствованию управления. Чем более точную оценку может провести менеджер или исследователь, тем больше вероятность успешного, рационального решения.[9]

Оценки могут быть различными. Можно выделить оценки коллективные и индивидуальные. В практике исследований используются как точные, так и приблизительные оценки. По процессным признакам существуют оценки эпизодические и периодические; по масштабам оцениваемых явлений выделяются оценки общие и локальные; по организации и методикам проведения существуют простые и сложные оценки. Последние всегда построены на специальных расчетах, агрегировании информации, построении синтетических показателей.[10]

Существуют определенные принципы оценивания, благодаря которым возможны адекватная оценка реальной действительности, глубокое понимание ситуаций, проблем, результатов или тенденций.

1. Принцип научности. В основе оценки всегда находятся методики ее проведения или осуществления. А они могут быть разными: можно оценивать на основе здравого смысла, богатого опыта, но можно строить оценку и на использования научных методов, математического моделирования, там, где это возможно. В этом случае и оценивать должен тот, кто знает предмет оценки, владеет ее методикой, способен подойти к ней с объективных позиций.[11]

2. Важным дополнением этого принципа является также принцип целевого назначения. Оценка может проводиться вообще или быть ориентирована на некоторые предположительные результаты, но может иметь и ясную, конкретную цель.

3. Принцип разнообразия, полноты и системности. Очень часто подлежат оценке только те характеристики, которые известны, доступны, понятны, измеряемы. В результате такого подхода получается деформированная оценка, которая не дает полной картины события или ситуации, явления или проблемы.

4. Принцип критериальной определенности. Можно оценивать грубо, приблизительно, предварительно, но не бывает оценки без критерия. Чем точнее установлен критерий, тем объективнее и значительнее оценка. При проведении оценки недопустимо произвольное изменение критерия.

5. Принцип количественной определенности оценки. Оценивать можно в параметрах констатации качества, описания особенностей, но оценка может проводиться в количественных показателях, которые дают точную информацию и позволяют эффективнее оперировать оценками: сравнивать, синтезировать, улавливать изменения. В исследованиях систем управления необходимо, по возможности, стремиться к количественным оценкам.

6. Принцип сочетания оценки состояния и изменений. Чаще всего оценка является фиксацией состояния той или иной характеристики, фотографией остановившегося мгновения, констатацией степени проявления характеристики.

7. Принцип независимости заключается в том, что оценка должна быть отделена, насколько это возможно, от личностных отношений, служебной зависимости, амбиций и самолюбия. Она должна быть защищена от влияния заинтересованных лиц, доброжелателей или недоброжелателей.

Это достигается как посредством методики оценки, так и соответствующей организацией ее проведения.[12]

2.2 Методы оценки эффективности исследования системы управления

Статические методы относятся к простым методам, которые используются в основном для быстрой и приближенной оценки привлекательности инвестиционных проектов. Наиболее часто при использовании на практике простые методы применяют следующий состав показателей:

суммарная (среднегодовая) прибыль от реализации

инвестиционного проекта;

рентабельность инвестиций (простая норма прибыли);

срок окупаемости инвестиций.

Суммарная прибыль рассчитывается как разность результатов и затрат в течение t-гo интервала времени по формуле:

(1)

где n – количество интервалов времени в течении инвестиционного периода;

Pt – стоимостная оценка результатов от применения проекта в течении t-го интервала времени;

Зt – совокупные затраты, связанные с реализацией проекта в течение t-гo интервала времени.

Среднегодовая прибыль представляет собой усредненную величину чистой прибыли, которую получают участники проекта за определенный год:

(2)

Инвестиционный проект считается привлекательным в том случае, если суммарная или среднегодовая прибыль являются положительными.

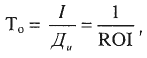
Рентабельность инвестиций (ROI – Return on Investments) позволяет установить не только прибыльность проекта, но и осуществить оценку степени этой прибыльности. Этот показатель определяется как отношение среднегодовой прибыли к вложенным единовременным инвестициям:

(3)

где I – первоначальные инвестиции в проект.

Показатель рентабельности инвестиций может быть рассчитан исходя из результатов одного какого-либо года. Как правило, выбирается год, когда организация работает на полную производственную мощность. Частным случаем расчета показателя рентабельности в зависимости от целей экономического анализа может быть использован следующий показатель:

(4)

где γ – процентные платежи, которые выплачиваются кредитору.

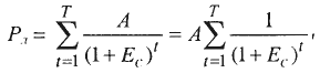
Срок окупаемости инвестиций рассчитывается как отношение первоначальных инвестиций к чистому доходу, постоянному по величине и равномерно поступающему в организацию:

(5)

где Ди – постоянный по величине и равномерно поступающий чистый доход.

Чем меньше срок окупаемости инвестиций, тем привлекательнее инвестиционный проект.

Динамические методы оценки эффективности систем управления применяются в основном для анализа эффективности инвестиционных проектов. В настоящее время существуют следующие динамические методы оценки эффективности систем управления:

текущей стоимости;

рентабельности;

ликвидности;

индекс доходности.

Метод текущей стоимости связан с определением чистого дисконтированного дохода, выступающего как показатель интегрального экономического эффекта от реализации инвестиционного проекта. Чистый дисконтированный доход NPV определяется как разность дисконтированных денежных потоков поступлений и платежей за весь инвестиционный период:

(6)

В том случае, если инвестиции в проект осуществляются единовременно, тогда NPV можно определить следующим образом:

(7)

В результате проведенных расчетов положительное значение NPV показывает целесообразность принятия решения о вложении инвестиций в проект. С помощью этого показателя можно осуществить текущую оценку стоимости лицензий:

(8)

где А – лицензионный платеж в размере роялти.

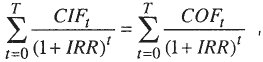
Метод рентабельности (Internal Rate of Return) применяется для определения внутренней нормы рентабельности проекта (IRR), то есть такой нормы дисконта, при которой дисконтированная стоимость поступлений денежных средств по проекту равняется дисконтированной стоимости платежей:

(9)

где IRR – ставка внутренней нормы рентабельности проекта.

Экономический смысл показателя внутренней нормы рентабельности проекта состоит в том, что с его помощью определяется темп роста капитала, инвестированного в проект. Величину IRR можно определить с помощью графического метода (Приложение 1). Для этого строится график значений NPV пpи различных значениях ставки дисконта. При этом значение Ес, при котором график пересекает ось абсцисс и определяет искомое значение IRR (IRR1 IRR2 …IRRn).

Метод ликвидности служит для определения срока окупаемости инвестиций. В динамической постановке расчет периода окупаемости осуществляется с помощью дисконтирования денежных потоков по проекту в зависимости от определенных условий по формуле:

(10)

Срок окупаемости инвестиций можно определить с помощью графического метода. В приложении 2 приведен график динамики изменения кумулятивного чистого дисконтированного дохода NPV в зависимости от времени реализации проекта.

Как видно из графика, срок окупаемости инвестиций соответствует точке, где NPV, рассчитанный нарастающим итогом от начала вложения инвестиций, становится равным нулю. В дальнейшем проект будет приносить чистый доход.

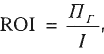
Индекс доходности (Profitability Index) представляет собой относительный показатель. Он характеризует соотношение дисконтированных денежных потоков и величины первоначальных инвестиций:

(11)

По этому при принятии окончательного решения об экономической привлекательности проекта должно соблюдаться условие, что величина PI > 1. Если PI < 1, тогда проект считается неэффективным и должен быть отклонен.[13]

2.3 Эффективность инвестиций в системы управления

Проблема оценки эффективности инвестиций в создаваемые системы управления постоянно находится в центре внимания ученых-экономистов.

Под эффективностью понимается сопоставление результатов (эффекта) от реализации инвестиций в системы управления с величиной их затрат. В условиях рыночных отношений проблема экономического обоснования инвестиционных решений в системы управления приобретает особую актуальность. Она возникает уже на предъинвестиционной фазе, как на уровне отдельных организаций, так и в высших эшелонах управления национальной экономикой.[14]

Если представить создание и реализацию систем управления в виде инвестиционного проекта, тогда следует решить две задачи. Первая задача состоит в оценке эффективности каждого из возможных вариантов реализации проектов, а вторая задача заключается в сравнении нескольких вариантов и выбора из них наиболее эффективного. Для решения этих задач в России были разработаны и опубликованы Методические рекомендации по оценке эффективности инвестиционных проектов и их отбору для финансирования.[15]

Исходя из экономической целесообразности инвестиционные проекты в области создания систем управления принимаются к реализации в следующих случаях:

инвестиции будут возмещены за счет доходов от реализации

систем управления;

окупаемость инвестиций осуществляется в пределах сроков,

приемлемых для организаций и инвесторов.

Оценка социально-экономической эффективности систем управления связана с решением ряда сложных задач, характеризующихся влиянием определенных факторов. Сложность решения таких задач определяется влиянием следующих факторов:

инвестиции осуществляются во времени один раз, либо

повторяются во времени неоднократно в зависимости от договоренности между инвесторами и хозяйствующими объектами;

получение результатов от реализации инвестиционных проектов

носит длительный характер, т. е. более года;

процесс реализации инвестиционных проектов в течение

длительного времени приводит к высокой степени неопределенности и влиянию инфляционных процессов, требующих при проведении расчетов эффективности учета рисков и инфляции.

Наличие этих факторов порождает необходимость разработки специальных методов оценки эффективности инвестиционных проектов. Учет возможных рисков и инфляции при расчетах эффективности систем управления позволяет принимать достаточно обоснованные решения с минимально возможным уровнем погрешности. Хотя абсолютно достоверное решение при оценке эффективности инвестиционных проектов достичь практически невозможно.[16]

Самое непосредственное влияние на эффективность проектов оказывают факторы, относящиеся к внутренним характеристикам проекта, которые были получены и обоснованы в результате исследования и анализа основных и оборотных средств, а также земли.[17]

Таким образом решение проблемы повышения эффективности инвестиционных проектов, связанный с созданием системы управления, требует выявления и учета основных факторов, оказывающих непосредственное или косвенное влияние на финансово-хозяйственные показатели управления объектов, а также источники получения социально-экономических результатов.

Заключение

В данной курсовой работе было проведено исследование теоретических аспектов, оценки эффективности исследования системы управления. По результатам исследования, были сделаны выводы.

В современных условиях развития экономики качество решений, принимаемых в процессах управления, непосредственно зависит от исследовательского подхода к управлению, умения изучать проблемы, определять их истоки и последствия.

Но менеджер сталкивается с проблемами не только в объекте управления — процессах развития фирмы или предприятия, но и в процессе управления, который должен совершенствоваться и совершенствование которого сегодня уже не мыслимо без серьезной исследовательской работы.

Всякая деятельность должна иметь оценку эффективности ее выполнения. Это касается и исследовательской деятельности. Не всегда легко оценить эффективность исследования, особенно когда речь идет об исследовании управления. Но знать подходы к такой оценке необходимо.

Современный менеджмент только тогда может быть действительно успешным, когда он находится в постоянном и непрерывном развитии, когда он ориентирован на изменения, обеспечивающие жизнестойкость организации и накопление ею потенциала инноваций и целеустремленности.

Но это оказывается практически возможным только при условии исследования систем управления, которое предполагает поиск наиболее эффективных вариантов построения системы управления и организации ее функционирования, исключения в ней противоречий и установление причин недостатков, а также определение путей дальнейшего развития. Исследования позволяют найти соответствие управления изменяющимся условиям и факторам экономики.

Исследование в современном менеджменте становится одной из основных функций управления, которая должна быть направлена не только на объект управления, но и на само управление, которое может стать тормозом инноваций, хотя по своему статусу должно быть источником идей развития фирмы и мотивационной основой его осуществления.

Исследование управления только тогда может быть успешным в своей практической значимости, когда оно проводится профессионально как в методологическом отношении, так и в организационном.

Современному менеджеру необходимо не только понимание важности и роли исследования в достижении успеха управленческой деятельности, но и владение определенными навыками его организации и проведения.

Менеджеру необходимо видеть и оценивать изменение системы ценностей, интересов и мотивов, установок и условий деятельности человека, как в объекте управления, так и в самой системе управления. На основе опыта и личных качеств это возможно лишь при условии управлении в сравнительно небольших масштабах и при исключительной стабильности функционирования фирмы. Но в современных условиях повышенной динамичности экономического развития, конкуренции и усложнения социально-психологических основ деятельности человека оценивать необходимость изменений и осуществлять их можно лишь на исследовательской основе.

Исследование социально-экономических систем имеет свои особенности, как в методологии их проведения, так и в организации и использовании результатов. Эти особенности надо понимать, знать и учитывать при проведении исследований в практике управления.

Глоссарий

№ п/п

Новые понятия

Содержание

1

3

1

Эффективность исследования

определение или нахождение такого варианта проведения исследования, который кратчайшим путем ведет к успеху

2

Принцип

правило, которому следуют при осуществлении той или иной деятельности

3

Принцип системности

принцип поиска и определения связей, целостности, сопоставления свойств, нахождения границ внутренней и внешней среды

4

Исследование

это не только разрешение возникшей проблемы, но и определение, к какой цели может вести это разрешение, в какой мере оно способствует достижению цели

5

Исследовательская деятельность

творчество, проявление которого зависит не только от хорошо организованной работы, но и от вдохновения, которым, казалось бы, невозможно управлять

6

Анкета

составляемый организаторами проведения экспертизы список вопросов, предъявляемый экспертам, ответы которых служат исходными эмпирическими данными для обобщений и выводов

7

Оценка

установление наличия и степени проявления той или иной характеристики системы управления


Библиографический список

1. Алиева А. С., Мухин В. И. Исследования систем управления. - М.: Дело, 2003.-335с.

2. Беренс В.Л., Хавранек П.С. Руководство по оценке эффективности инвестиций. - М.: ИНФРА-М, 2005.-208с.

3. Бромвич М.В. Анализ экономической эффективности капиталовложений. - М.: ИНФРА, 2006.-390с.

4. Евланов Л.Г. Теория и практика принятия решений. - М: Экономика, 2003.-230с.

5. Карданская Н.Л. Принятие управленческого решения. - М.: ЮНИТИ, 2001.-337с.

6. Коротков Э.М. Исследование систем управления. - М.: ДЕКА, 2003.- 423с.

7. Липсиц И.В., Коссов В.В. Инвестиционный проект. - М.: БЕК, 2006.- 319с.

8. Мыльник В.В. Исследование систем управления. - М.: Академический проект, 2003.-280с.

9. Мухин В.И. Исследование систем управления. - М.: Национальный институт бизнеса, 2000.-210с.

10.   Мухин В.И. Основы теории управления. - М.: Экзамен, 2002.-458с.

11.   Общая теория управления. Курс лекций/под ред. А.А. Беляева, К.И. Варламова, М.П. Никулина.–М.: Наука, 2004.-130с.

12.   Рогожин С.В., Семенова С.В. Исследование систем управления. – М.: ИНФО, 2003.-287с.

13.   Черняк Ю. И. Системный анализ и управление экономикой – М.: ЮНИТИ 2001.-377с.

14.   Чешенко Н.И. Оценка эффективности АСУ. - М.: Статистика, 2004.- 438с.

Приложение 1

Рис.1 График определения ставки внутренней нормы рентабельности

Приложение 2

Рис.1 График динамики изменения NPV в зависимости от времени реализации проекта

Приложение 3

Рис.1 Диаграмма распределения инвестиций и получения результатов


[1] Евланов Л.Г. Теория и практика принятия решений – М., 2003.-С.53.

[2] Мухин В.И. Исследование систем управления. - М., 2000.-С.36.

[3] Алиева А. С., Мухин В. И. Исследования систем управления. - М., 2003.-С.148.

[4] Мыльник В.В. Исследование систем управления. - М., 2003.-С.69.

[5] Чешенко Н.И. Оценка эффективности АСУ. - М., 2004.-С.240.

[6] Общая теория управления. Курс лекций / Под ред. А.А. Беляева, К.И. Варламова, М.П. Никулина. – М., 2004.-С.29.

[7] Карданская Н.Л. Принятие управленческого решения. - М., 2001.-С.48.

[8] Коротков Э.М. Исследование систем управления. - М., 2003.-С.179.

[9] Мухин В.И. Основы теории управления. - М., 2002.-С.209.

[10] Черняк Ю. И. Системный анализ и управление экономикой. - М., 2001.-С.184.

[11] Мыльник В.В. Исследование систем управления. - М., 2003.-С.41.

[12] Рогожин С.В., Семенова С.В. Исследование систем управления. - М., 2003.-С.57.

[13] Мыльник В.В. Исследование систем управления. - М., 2003.-С.193. 

[14] Липсиц И.В., Коссов В.В. Инвестиционный проект. - М., 2006.-С.103.

[15] Мыльник В.В. Инвестиционный менеджмент. -  М., 2000.-С.81.

[16] Бромвич М.В. Анализ экономической эффективности капиталовложений. - М., 2006.-С.72.

[17] Беренс В.Л., Хавранек П.С. Руководство по оценке эффективности инвестиций. - М., 2005.-С.118.

Похожие работы на - Особенности исследования систем управления

 

Не нашли материал для своей работы?
Поможем написать уникальную работу
Без плагиата!
Без нейросетей!