Управление материально-техническим снабжением предприятия

  • Вид работы:
    Реферат
  • Предмет:
    Менеджмент
  • Язык:
    Русский
    ,
    Формат файла:
    MS Word
    445,38 kb
  • Опубликовано:
    2010-10-31
Вы можете узнать стоимость помощи в написании студенческой работы.
Помощь в написании работы, которую точно примут!

Управление материально-техническим снабжением предприятия

 

 

 

 

 

 

 

 

 

 

 

 

 

Управление материально-техническим снабжением предприятия



Введение

Основной задачей органов материально-технического снабжения является обеспечение производства необходимыми материалами, комплектующими и другими изделиями и пр. при условии соблюдения режима экономии в затратах материальных ресурсов.

Все задачи материально-технического снабжения можно функционально разделить на три группы: определение потребности в материалах и комплектующих изделиях на производственную программу в укрупненной и специфицированной номенклатуре, разработка плана снабжения – составление заявок на фонды и распределение выделенных фондов; оперативный учет и управление движением материальных ресурсов; бухгалтерский учет материальных ресурсов.

Подсистема материально-технического снабжения функционально тесно связана с подсистемами планирования и оперативного управления производством и с подсистемой бухгалтерского учета.

1. Определение потребности и разработки плана снабжения

Производство имеет дело с конкретным материалом, характеристики которого включают марку материала, его типоразмер. Полный перечень таких исходных материалов называют специфицированной номенклатурой.

В масштабах народного хозяйства такой перечень насчитывает многие миллионы позиций, что исключает возможность их использования при планировании производства. Поэтому на уровне предприятий составляются заявки на обоснование и получение фондов на материальные ресурсы в укрупненной, сводной номенклатуре. Ряд специфицированных номенклатур объединяется в группы. Так, например, группа "лист медный" содержит свыше 300 специфицированных позиций такого типа: "лист медный холоднокатаный, твердый, марки М2, ГОСТ 495-70, размером 1,2x600x2000 мм".

Если число типов выпускаемых изделий сравнительно невелико и по каждому из них известны дерево структуры изделия, исходные материалы на изготовление деталей и необходимые комплектующие изделия, то нетрудно составить специфицированную потребность на изделие, суммируя количество одинаковых материалов по всем деталям. Умножая на количество изделий по плану и суммируя по всем изделиям, получают специфицированную потребность на плановое производство готовых изделий. Сводя позиции специфицированной номенклатуры в установленные укрупненные группы, получают потребность в материалах в сводной номенклатуре для заявки в вышестоящие снабженческие органы.

При стабильном производстве описанную операцию можно выполнить однократно, введя в память ЭВМ сводные нормы расхода материалов на изделие и обращаясь к ним в периоды составления заявок. Если число типов выпускаемых изделий велико, группируют близкие по характеристикам изделия и выделяют в каждой группе типовой представитель, для которого определяют сводные нормы расхода материалов. Все остальные типы пересчитываются через пересчетные коэффициенты. Наконец, при чрезвычайно большой номенклатуре производства, например, запасных частей, определяют усредненные сводные нормы расхода каждой группы материалов на 1 тыс. или на 1 млн. руб. производства.

Если известны сводные нормы расхода материалов на изделие, заявки на фонды определяют следующим образом.

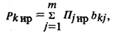
Потребность на программу выпуска в k-ja виде материала на основное производство


где Пj - годовой план выпуска j-го типа изделия; bkj - норма расхода k го вида материала на j-е изделие.

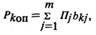
Общая потребность в материалах k-го вида на непредвиденные работы


где Пjнр - количество изделий j-го типа по годовому плану на группу изделий "непредвиденные расходы".

Общая потребность в материалах и комплектующих изделиях k-го вида на НИР, инструменты и оснастку


где Pkнир - расход k-го вида материала на НИР; Pkигс – расход k-го лица материала на инструмент и оснастку.

Расчет потребности в материалах на изменение незавершенного производства (НЭП) основывается на данных об объеме производства, нормах длительности производственного цикла изготовления отдельных деталей и узлов и нормах расхода материалов на различных стадиях производства. Изменение соотношения между НЭП и товарной продукцией в процентах


где Вкнз.п, Вннз.п - объем НЗП на конец и начало планируемого года; Стов стоимость товарной продукции в планируемом году. Тогда потребность в материалах (комплектующих) k-го вида на изменение НЭП


где Рk – потребность в материалах k-го вида на годовую программу.

Суммарная потребность в материалах k-го вида для расхода на все нужды основного и вспомогательного производства


Переходящий запас материалов k-го вида на начало года


где Нпер.зап – норматив переходящего запаса по данной номенклатуре материала (на этапе предварительных расчетов принимается Нпер.зап = 30 дн); Траб.год - число рабочих дней в году.

Общая потребность в материалах k-го вида на год

Ожидаемый остаток на начало планируемого года


где Фkгод - утвержденный фонд текущего года; Фk0 - нереализованная часть годового фонда; Фk1 – фонд, реализованный в первом квартале; Оk1 - остаток на конец первого квартала (в цехах и складах); Pk2–1 - потребность в k-м виде материала на второй, третий и четвертый кварталы текущего года; Pkн – ожидаемая реализация неликвидов и сверхнормативов.

Величина запрашиваемого фонда на материалы


По составленным заявкам, если они признаны правильными, осуществляется выделение фондов. По дефицитным позициям величина выделенных фондов оказывается меньше заявленной потребности, что требует корректировки производственных планов или поисков дополнительных источников ресурсов.

На самом деле ситуация гораздо сложнее, чем описано выше. Заявки начинают собирать в апреле – мае года, предшествующего планируемому. В это время планы производства еще не известны, причем они принципиально не могут быть известны. Чтобы спрогнозировать план производства изделий, надо знать потребность в них, которая выявляется путем сбора заявок, по необходимости проводимого до составления планов производства. По этой и другим причинам потребность в материалах в сводной номенклатуре является лишь первым приближением к плану снабжения предприятия.

Выделенные фонды требуют специфицирования, так как поставщики по нарядам-заказам или договорам поставляют уже конкретные марки и типоразмеры исходных материалов для производства.

Для учета и планирования хода материально-технического снабжения составляется план снабжения, который состоит из двух сбалансированных частей - плана поставок и плана распределения.

Исходными данными для формирования плана поставок являются сведения, содержащиеся в фондовых извещениях, нарядах на поставку продукции и договорах о поставках. В память ЭВМ вводят данные о поставках, потребителях и материальных ценностях.

Данные о потребителях содержат аналогичные сведения, если они являются самостоятельными хозрасчетными предприятиями. Если же они являются подразделениями предприятия, то указывается наименование подразделения и его адрес (в случае территориального размещения не по адресу предприятия).

Данные о материальных ценностях могут быть укрупненными до группы и специфицированными. В общие характеристики на группы материальных ценностей включаются: номенклатурный номер, наименование, ГОСТ или договор (если поставка выполняется по договорным условиям), технические условия (ТУ), марка, номер по прейскуранту.

Специфицированные данные дополнительно содержат сведения о номенклатурном номере, форме изделия, размерах в трех измерениях, единицах измерения, сорте, цене по прейскуранту с указанием страницы и позиции прейскуранта, условиях хранения, наличии наценки, размере страхового запаса, дополнениях к наименованию.

По мере поступления оформленных- договоров и нарядов в ЭВМ вводятся общие сведения о договоре (наряде): наименование и шифр поставщика, его грузовой адрес, номер и дата заключения договора, общая сумма поставок, расчетный счет в Госбанке или Стройбанке. По каждой позиции договора вводятся: наименование материала, единица измерения, общее количество поставки с разбивкой по кварталам. Ввод сведений о поставщике является контрольным, эти данные сопоставляются ЭВМ с ранее введенными данными, и в случае расхождений выдается сообщение об ошибке.

Совокупность всех записей, введенных по договорам и нарядам, образует план поставок. В течение года по различным причинам в него вводятся изменения, что требует процедур корректировки хранящихся в памяти данных.

Когда известны поставщики и количество поставляемой ими продукции с распределением поставок по кварталам, составляют план распределения, в котором указывают, кому предназначается поставляемая продукция.

Исходными данными для составления плана распределения являются: заявки потребностей, отчеты, отражающие приход, расход и остаток материальных ценностей за предыдущий год, сведения о выделенных для поставки материалах. Для каждой строки плана распределения, сформированного по потребителям, вводятся: номер заявки потребителя, наименование материала, заявленное количество на год с разбивкой по кварталам, источник поставки (номер договора или наряда), выделенное данному потребителю количество на год с разбивкой по кварталам.

Общее количество поставок от всех поставщиков по одному специфицированному виду материалов должно быть равно сумме количеств этого материала, выделенных потребителям. Выделение некоторого количества в резерв оформляется как распределение фиктивному потребителю.

Совокупность записей для всех потребителей по всей специфицированной номенклатуре образует план распределения. Как и план поставок, в течение года план распределения может изменяться и корректироваться.

2. Оперативный учет и управление движением материальных ресурсов

Движение материальных ресурсов, которые часто именуют материальными ценностями, начинается с отправки их поставщиком по железной дороге, авиационным, автомобильным или другим транспортом (рис. 1). Одновременно с отправкой груза оформляются и отправляются в банк – счет для оплаты и получателю - сопроводительные документы, в которых указываются: полное наименование каждой позиции груза, количество, номер направленного в банк для оплаты счета, цена единицы продукции и общая стоимость. Банк после обработки пересылает счет получателю.

Счета поставщиков, обработанные банком, поступают в бухгалтерию и оттуда передаются в отдел снабжения на акцептирование. Под акцептированием понимается согласие на оплату счета, в результате чего соответствующая сумма банком снимается со счета получателя и зачисляется на счет поставщика. Организация имеет право акцептировать или неакцептировать весь счет или его отдельные позиции в течение трех суток.

Получив счет, сотрудник отдела снабжения вызывает соответствующие данные из плана поставки и проверяет, предусмотрено ли получение указанных в счете материалов планом поставки. Если такая поставка предусмотрена, счет акцептируется, в противном случае выясняется причина расхождения. Содержание акцептированного счета вводится в ЭВМ. Дальнейшие процедуры зависят от того, какая из двух возможных ситуаций реализуется. Счет может поступить либо до фактического прихода груза с сопроводительными документами, либо после этого.

Если соответствующий груз еще не поступил, акцептованный счет запоминается, а сведения о грузе заносятся в специальную рубрику "грузы в пути". В ней кроме наименования и количества груза указывается, на какой склад его следует направить после поступления.

Рис. 1

О приходе груза представитель железнодорожной станции сообщает отделу снабжения или диспетчерской службе этого отдела, если она существует, телефонограммой. В ней содержатся следующие данные: дата, номер счета поставщика, адрес станции отправления, наименование поставщика, номер вагона или контейнера, номер накладной, вес груза. Диспетчер по номеру счета определяет, что счет уже акцептован и узнает, на какой склад следует вывести поступивший груз. Содержание телефонограммы также вводится в память ЭВМ.

На складах может использоваться система с постоянным и переменным закреплением мест хранения. В первом случае каждый сектор склада, стеллаж или ячейка закреплены за конкретным видом хранимых материальных ценностей независимо от их фактического наличия. Во втором случае ячейки после освобождения обезличиваются и в них можно поместить любые иные материальные ценности.

Поступивший на склад груз принимается по сопроводительным документам с контролем их соответствия счетам поставщиков. Далее проверяется соответствие фактического наличия груза сопроводительным документам. Несоответствие факсируется по специальным правилам особым актом.

Кладовщик вводит в ЭВМ сведения о прибывшем грузе, указывая поставщика, его грузовой адрес, номер и дату выписки накладной, наименование (номенклатурный номер) и количество материальных ценностей. Данные о грузе обрабатываются ЭВМ, которая определяет адреса мест хранения по списку фиксированных мест хранения или выбирая из списка свободных ячеек, если поступил груз, которого нет на складе.

Получив подтверждение (квитирование) о приеме груза, ЭВМ через установленный на складе терминал распечатывает приемный акт, содержащий следующие сведения: номер и дату составления, номер склада, фамилию кладовщика, наименование поставщика, номер и дату накладной, номер и дату счета. Далее по строкам акта указывается наименование, сорт, размер принимаемого груза, единица измерения, полученное количество, цена единицы и суммарная стоимость. Приемный акт является документом, устанавливающим материальную ответственность кладовщика. Поэтому кладовщик подписывает приемный акт и пересылает два подписанных экземпляра в бухгалтерию. Один экземпляр остается на складе для возможных последующих контрольных проверок.

Если груз с сопроводительными документами поступает раньше счета, процедуры в принципе сохраняются, за небольшими изменениями. Так как в памяти ЭВМ нет необходимого счета, ввод информации о пришедших грузах кладовщик осуществляет построчно с сопроводительных документов. Сведения о поступивших, но не оплаченных грузах хранятся в памяти до прихода соответствующего счета, после чего происходит их сопоставление для выявления ошибок и несоответствий. Ежедневно для контроля выдается ведомость принятых грузов и приходных документов за день. На этом процесс приема грузов заканчивается.

Сведения о поступивших за прошедший день грузах выдаются в виде сводных ведомостей принятых грузов и приходных документов. Эти сведения используются для контроля, а также для начала процесса распределения и выдачи имеющихся на складах материальных ценностей.

Распределение прибывших грузов может проводиться в автоматическом или "ручном" режимах. Автоматический режим используют в тех случаях, когда распределяемые количества полностью соответствуют плану распределения или должны быть распределены в равных пропорциях. "Ручное" распределение позволяет учитывать неформальные приоритеты потребителей.

Потребителям рассылаются извещения о том, какие грузы по плану распределения могут быть ими получены. При желании потребителя получить соответствующие грузы выдаются требования на получение груза. Сотрудник отдела снабжения может аннулировать требование в случае длительной задержки получения грузов со склада или неплатежеспособности потребителя.

При предъявлении требования на склад кладовщик проверяет с помощью ЭВМ его правильность и получает указание адреса, по которому расположен этот груз на складе. При наличии автоматического штабелера ЭВМ выдает на него команду и груз подается штабелером к месту выдачи, в противном случае это делает кладовщик по указанному ЭВМ адресу. Выдав груз потребителю, кладовщик вводит в ЭВМ и проставляет на требовании фактически выданное количество, которое может отличаться от затребованного. Кладовщик и получатель груза подписывают требование, подтверждая факт передачи груза. Два экземпляра подписанных требований передаются в бухгалтерию. Для ускорения оформления платежных документов, если пересылка требований занимает длительное время, дубликат требования с заполненной графой "отпущено" и фамилиями подписавших сразу печатается на терминале, установленном в бухгалтерии.

Ежедневно на ЭВМ формируются по информации о выданных грузах счета-фактуры, один экземпляр которых вместе с копией требования отправляется потребителю. Используя данные счетов-фактур, рассортированные по потребителям, ЭВМ формирует платежные требования и сопроводительные реестры к ним, передаваемые в отделения Госбанка или Стройбанка для проведения необходимых банковских операций. Ускорение подготовки и передачи для оплаты платежных документов существенно влияет на время оборота оборотных средств, что является одним из основных финансовых показателей, характеризующих эффективность системы материально-технического снабжения.

Учитывая важность сохранности материальных ценностей, при разработке автоматизированной системы особое внимание должно уделяться защите данных от несанкционированного доступа, их резервированию, контролю достоверности и ведению архивов, по которым могут быть восстановлены все детали работы системы за прошлое время.

3. Бухгалтерский учет материальных ресурсов

Комплекс задач бухгалтерского учета материальных ресурсов (ценностей) предназначен для автоматизации учета движения материалов на складах предприятия, контроля за их сохранностью, расчета сумм по балансовым счетам, калькуляции фактической себестоимости производства в части материальных затрат, анализа производственной деятельности предприятия в части использования материальных ресурсов. Задачи можно функционально разделить на три группы: учета движения материалов на складах, расчетов с поставщиками материалов и расхода материалов на производство.

Учет движения материалов на складах кроме учета поступления и расходования материальных ценностей и контроля за их сохранностью включает в себя получение документов аналитического и синтетического бухгалтерского учета, содержащих как итоговые суммы по каждому балансовому счету, так и распределение этих сумм по группам материалов, видам операций и пр. Балансовый счет определяет, на какие цели израсходованы материалы – на основное производство, ремонтные работы, хозяйственные нужды и т.п.

На основании приходных актов и требований комплекс программ готовит и выдает оборотную ведомость движения материальных ценностей, т.е. какие материалы и в каких количествах поступили, а какие отпущены со склада. Оборотная ведомость выдается по складу, группам материалов, балансовым счетам.

Учет расчетов с поставщиками материалов заключается в следующем: по оплаченным счетам поставщиков и приходным ордерам подготавливаются и выдаются ведомости или справки на терминалы по задолженности поставщикам, по материалам в пути (счета получены, а материалы - нет), по неотфактурованным поставкам (материалы пришли, а счета – нет), по расчетам с поставщиками и др. Все программы выдачи различных ведомостей реализуют сортировку и суммирование по различным признакам уже введенных в ЭВМ данных.

Учет расхода материалов на производство осуществляется по вводимым в ЭВМ данным, содержащимся в требованиях, по которым выдаются материалы с цеховых складов, и в лимитно-заборных книжках, заменяющих в некоторых случаях требования.

Такой учет осуществляется для распределения затрат на материалы по различным видам производств, производственным подразделениям и конкретным заказам, для калькуляции фактической себестоимости. Введенные в ЭВМ данные сортируются и суммируются по балансовым счетам, статьям затрат и номерам заказов по цехам и по предприятию в целом. В результате выдаются ведомости распределения материальных ценностей по шифрам производственных затрат и группам материалов, по балансовым счетам, по расходу и балансовым счетам непроизводственных подразделений.

Похожие работы на - Управление материально-техническим снабжением предприятия

 

Не нашли материал для своей работы?
Поможем написать уникальную работу
Без плагиата!
Без нейросетей!