Типы организационных структур
СОДЕРЖАНИЕ
Введение
1. Выбор организационной структуры
2. Проектирование организационных структур
3. Типы организационных структур
3.1 Линейно-функциональные и дивизиональные структуры
3.2 Проектное и матричное управление
3.3 Бюрократические системы
Заключение
Список использованной литературы
ВВЕДЕНИЕ
Организации создают
структуры для того, чтобы обеспечивать координацию и контроль деятельности
своих подразделений и работников. Структуры организаций отличаются друг от
друга сложностью (т. е. степенью разделения деятельности на различные функции),
формализацией (т. е. степенью использования заранее установленных правил и
процедур), соотношением централизации и децентрализации (т. е. уровнями, на
которых принимаются управленческие решения).
Структурные взаимосвязи в
организациях находятся в центре внимания многих исследователей и руководителей.
Для того чтобы эффективно достигались цели, необходимо понимание структуры
работ, подразделений и функциональных единиц. Организация работы и людей во
многом влияет на поведение работников. Структурные и поведенческие взаимосвязи,
в свою очередь, помогают установить цели организации, влияют на отношения и поведение
работников. Структурный подход применяется в организациях для обеспечения
основных элементов деятельности и взаимосвязей между ними. Он предполагает
использование разделения труда, охвата контролем, децентрализации и
департаментализации.
Структура организации —
это фиксированные взаимосвязи, которые существуют между подразделениями и
работниками организации. Ее можно понимать как установленную схему
взаимодействия и координации технологических элементов и персонала. Схема любой
организации показывает состав отделов, секторов и других линейных и
функциональных единиц. Однако она не учитывает такой фактор, как человеческое
поведение, который влияет на порядок взаимодействия и его координацию.
1. ВЫБОР
ОРГАНИЗАЦИОННОЙ СТРУКТУРЫ
Важнейшая проблема
организации — выбор рациональной организационной структуры (системы)
управления. Успешное функционирование и развитие всякой системы управления в
существенной мере зависит от научной аргументированности ее организационной
структуры. Структура управления — это состав подразделений аппарата
управления, формы их специализации и взаимосвязи, определяющие отношения их
соподчиненности как по вертикали, так и по горизонтали. Основные элементы
организационной структуры — подразделение (звено) управления, ступень
управления и, наконец, связь между органами и работниками управления,
наделенными определенными функциями. Связь обеспечивает взаимодействие
элементов организационной структуры, ориентированное на достижение заданных целей.
Таким образом,
организационная структура отражает упорядоченную совокупность субординированных
и прочно связанных между собой элементов, обеспечивающих функционирование и
развитие организации как единого целого. Иначе говоря, организационную
структуру управления можно определить как форму разделения и кооперации
управленческой деятельности, в рамках которой управление осуществляется путем
выполнения соответствующих функций, ориентированных на достижение намеченных
целей.
При разработке структуры
управления необходимо:
определить задачи
организации (в соответствии с миссией и целями);
увязать эти задачи с
системой функций, полномочий и ответственности по вертикали иерархии
управления;
организационно оформить
связи по горизонтали управления, что обеспечит координацию деятельности
подразделений, решающих общие задачи по обеспечению рационального соотношения
централизации и децентрализации;
адаптировать содержание
потоков информации и каналов к моделям информационного обеспечения
соответствующих подразделений организации;
приспособить содержание
потоков информации и каналов их движения к потребностям, связанным с принятием
решений.
В особом внимании
нуждается решение проблемы рационального соотношения централизации и
децентрализации в иерархии управления. Суть решения в следующем:
централизация должна
осуществляться в вопросах общей политики при децентрализации в решении
оперативных вопросов. На высшем уровне принимаются решения стратегического
порядка, а полномочия по принятию всех прочих решений, равно как и
ответственность за их качество, делегируются на низшие ступени управленческой
иерархии;
решения, определяющие
планомерное развитие подсистемы, принимаются тем органом, который несет
ответственность за ее эффективное функционирование;
содержание и каналы
информации должны соответствовать не традиционным взаимосвязям и субординации,
а потребностям принятия эффективных решений.
2.
ПРОЕКТИРОВАНИЕ ОРГАНИЗАЦИОННЫХ СТРУКТУР
Структура любой
организации должна разрабатываться с максимальным учетом требований, диктуемых
рассмотренными выше обязательными общими принципами, но не только. При
разработке структуры организации (в данном случае производственной)
рекомендуется принимать во внимание:
отраслевую
принадлежность, особенности данной отрасли и подотрасли;
сложность обрабатываемых
продуктов, так как она во многом определяет количество требуемых подразделений
и их связи:
объем производства (в
большинстве своем объединения (предприятия) больших размеров имеют более
разветвленную сеть подразделений);
характер и особенности
производственного процесса, уровень его механизации и автоматизации;
специфику отношений
данного предприятия с другими, занимающимися, в частности,
материально-техническим снабжением, предоставлением кредитов, конструкторскими
разработками и др.;
район и место
сосредоточения производства, состояние внешней среды;
изменения организационных
форм, в которых функционируют предприятия, например, при вхождении предприятия
в состав некоего объединения (концерна, холдинга и пр.), переориентирование
функций (планирования, кооперации, контроля и др.).
Помимо особенностей
территориального размещения производства, объема и характера его внешних связей
не следует забывать и о том, что всякая организационная структура представляет
собой, в конечном счете, форму объединения людей. Поэтому пристальное внимание
следует уделить уровню подготовки и квалификации кадров, их способностям и
возможностям. Подчас именно по причине несовершенства кадров организационная
структура оказывается инертной и консервативной по отношению к прогрессивным нововведениям.
Обычно люди (за малым исключением) привыкают к существующим структурам и
неодобрительно встречают изменения в последних, так или иначе затрагивающие их
личные планы и взаимоотношения. Поэтому важно их своевременно заинтересовать и
подготовить к благожелательному восприятию изменений в организационных
структурах управления.
Органы управления
призваны организовывать, регулировать и координировать ход производства, а
также процессы обеспечения социальных, коммунальных и культурных потребностей
коллектива. Все упомянутые процессы находятся в тесной взаимосвязи и не могут
протекать независимо друг от друга.
Вполне очевидна
потребность в тщательно разработанном проектировании структур — в детальном
анализе и определении целей, в выделении организационных подразделений и
установлении форм их координации. Существенную помощь в этом может оказать
использование системного подхода, который в данном случае заключается в том,
чтобы:
определить или уточнить
социально-экономическую роль данной организации в развитии общества, не
упустить из виду ни одной сколько-нибудь важной управленческой задачи, без
решения которой достижение главных целей окажется неполным;
выявить и увязать
применительно к указанным задачам всю систему функций, прав и ответственности
по вертикали управления;
исследовать и
организационно оформить все связи и отношения по горизонтали управления, т. е.
координацию деятельности разных звеньев, занятых выполнением общих текущих
задач;
обеспечить оптимальное
для данных условий соотношение централизации и децентрализации.
Разработка
организационных структур управления может осуществляться различными методами. К
таким методам относятся: аналогия, структуризация целей и задач управления,
экспертно-аналитическое моделирование и, наконец, базирующиеся на материалах
анализа потоков информации, циркулирующей в системах управления. При этом
большей частью достичь гибкости организационной структуры с помощью какого-либо
одного метода не представляется возможным. Одновременное использование для этой
цели нескольких методов позволяет создать структуры, наиболее приспособленные к
самоадаптации.
Широко применявшийся в
еще недавнем прошлом метод аналогии основан на распространении опыта
предприятий с рациональной организационной структурой на группы предприятий
отрасли с аналогичными характеристиками. Группируются предприятия
преимущественно по признакам состава и объема выпускаемой продукции, типу
производства и специфике производственной структуры, условиям снабжения и
сбыта, численности работников. В каждой группе выбирается предприятие, лучшее
по организации управления и конечным результатам деятельности, оно и признается
в качестве эталона при определении желательных параметров организационной
структуры управления. Тем самым появляется возможность сэкономить время и
средства на формирование оргструктур.
Во всех случаях
организационные структуры управления следует увязывать со стадиями жизненного
цикла организаций. На стадии зарождения управляет большей частью сам
предприниматель, на стадии роста происходит функциональное разделение
труда менеджеров, на стадии зрелости превалирует тенденция к
децентрализации, на стадии спада разрабатываются меры по
совершенствованию управленческой структуры в соответствии с потребностями и
тенденциями в изменении производства, на стадии прекращения деятельности
структура управления организацией или полностью разрушается (в ситуации, когда
предприятие ликвидируется), или реорганизуется.
Эффективность
функционирования уже созданных структур управления зависит прежде всего от
своевременного и полного выполнения управленческих функций. При этом выполнение
их не означает только цикличного повторения одних и тех же работ. Функция —
категория динамическая, она находится в постоянном развитии. Поэтому динамичностью
должны обладать и организационные структуры управления, посредством которых выполняются
присущие ему функции. Проектируемая структура в целом должна соответствовать
стратегии, выбранной предприятием. Со сменой стратегии перед «обслуживающим» ее
предприятием возникают новые задачи, для решения которых потребуются новые
структуры.
В настоящее время
распространено перспективное планирование организационной структуры,
проектирование изменяющихся соотношений централизации и децентрализации в
управлении. В рамках этой деятельности разрабатываются краткосрочные и
долгосрочные организационные планы, которые детализируются и разъясняются
посредством схем, должностных инструкций. Кроме того, предусматривается
периодический пересмотр организационных планов с целью приведения структуры
управления в соответствие с меняющимися функциями, осуществляется мониторинг
информации о функционировании структуры, отрабатывается организационный
механизм, способствующий регулярному совершенствованию структуры управления.
По материалам
проектирования должна быть обеспечена адекватность организационной структуры
целям и задачам организации, а это предполагает:
установление состава,
содержания и объема функций, которые должны реализоваться в процессе управления
данной системой (министерством, объединением, предприятием и др.);
разработку, исходя из
функций управления отношений субординации (соподчиненности), обеспечивающих
единство власти. Каждый работник должен получать указания только от одного
руководителя;
подготовку положений о
каждом структурном подразделении с четким обозначением его места в общей
структуре, с указанием определяющих средств и методов решения, стоящих перед
ним задач;
создание единой
информационной модели (служащей базой информационного насыщения всех подразделений
аппарата управления), предусматривающей рациональные схемы информационных
потоков и документооборота;
составление должностных
инструкций для руководителей структурных подразделений и других работников
аппарата управления, фиксирующих характер деятельности и служебное положение
каждого из них;
расчет численности и
определение квалификационного состава работников аппарата управления,
распределение их по структурным подразделениям, функциям управления и рабочим
местам.
Обязательным условием
эффективного выполнения этой работы является наличие критериев рациональной
организационной структуры, а также альтернативных решений возникающих при этом
частных вопросов проектирования: определения численности подразделений,
распределение полномочий и др.
3. ТИПЫ
ОРГАНИЗАЦИОННЫХ СТРУКТУР УПРАВЛЕНИЯ
Существует множество
типов структур управления и их модификаций, адаптированных к конкретным
условиям функционирования организаций,— сложных, многофункциональных и
чрезвычайно гибких. Они мало чем напоминают структуры начала XX в., когда зарождался менеджмент, но
в них довольно четко проглядывают «родовые» черты их «прародителей»: все они
выросли из линейно-функциональных структур того периода. В принципе современные
организационные структуры успешно функционируют до тех пор, пока остаются
верными основополагающим идеям и правилам линейно-функционального управления.
3.1
ЛИНЕЙНО-ФУНКЦИОНАЛЬНЫЕ И ДИВИЗИОНАЛЬНЫЕ СТРУКТУРЫ
Организационная
структура, представляющая собой определенную упорядоченность задач, ролей,
полномочий и ответственности, создает условия для осуществления предприятием
своей деятельности и достижения установленных целей. Она развивается и
изменяется под воздействием особенностей стратегии предприятия, его внутренней
сложности и изменений во внешней среде. Широки и диапазон структур простирается
от стабильных монолитных образований до динамичных многогранных построений
современных организаций.
Разнообразие
организационных структур связано с различиями в области деятельности, характере
и сложности выпускаемых продуктов, размерах, степени дифференциации и
территориальном расположении предприятий. Так, структура небольшой торговой
организации или ремонтной мастерской не может иметь ничего общего со структурой
крупного машиностроительного предприятия, выпускающего широкую номенклатуру
машин и оборудования. В свою очередь, с ней несравнима организационная
структура транснациональной корпорации и финансово-промышленной группы. На малых
предприятиях не возникает сколько-нибудь сложных проблем с организационной
структурой. Если функции на таком предприятии осуществляются надлежащим образом
(без излишнего числа служб и не вызываемых необходимостью иерархических
построений), то их выполнение требует такого ограниченного числа работников,
что проблемы структуры отходят на задний план перед проблемами, связанными с
личными особенностями руководителей (их знаниями, опытом, стилем работы,
организационными способностями, ответственным исполнением служебного долга).
Вместе с тем проблемы
организационной структуры возникают не только на крупных предприятиях.
Организация вертикальных и горизонтальных связей, проектного управления
необходима и на средних по размеру предприятиях. Это имеет прямое отношение ко
всем случаям, когда между высшим руководством организации и персоналом, выполняющим
непосредственную работу, существует промежуточный руководящий состав, а также
когда вообще имеется возможность осуществить определенное разделение труда. При
всех условиях возникает проблема выбора того или иного типа организационной
структуры, адекватного реальным требованиям внешней и внутренней среды, задачам
удовлетворения потребительского спроса, технологического и социального
развития, достижения экономически эффективных результатов. Ниже рассматриваются
сложившиеся к настоящему времени основные типы организационных структур,
Линейно-функциональные
структуры. Функциональная
структуризация
является наиболее широко распространенной формой организации деятельности и
имеет место почти на всех предприятиях на том или ином уровне организационной структуры.
Это процесс деления организации на отдельные элементы, каждый из которых имеет
четко определенную, конкретную задачу и обязанности. Создание функциональной
структуры (рис. 1) сводится к группировке персонала по широким задачам,
которые они выполняют (производство, маркетинг, финансы и т. п.). Конкретные
характеристики и черты деятельности того или иного подразделения соответствуют
наиболее важным направлениям деятельности всей организации. В тех случаях,
когда функциональная структура используется частично, одна из функций
(например, финансирование) осуществляется либо на более высоком уровне
управления, либо на одном уровне с подразделениями, структурированными по
продукту, заказчику или территориальному признаку.
|
|
 |
Значение сбытовых,
производственных и финансовых функций предприятия широко признано, и зачастую
они берутся за основу структуры организации. Координация этих функций
определяется на уровне, выше которого находится лишь руководитель предприятия.
Данное положение верно независимо от того, на какой основе проводится группировка
видов деятельности внутри предприятия и насколько важны функции того или иного
подразделения. Цепочка команд поступает от президента (исполнительного
директора) и пронизывает структуру сверху донизу. Руководство организацией
сбыта, финансовыми вопросами, обработкой данных и другими функциями, которые
свойственны конкретному предприятию, осуществляется вице-президентами.
Управляющие отчитываются передними. И так далее вниз по иерархической лестнице
задачи подлежат дальнейшему функциональному дроблению в соответствии с процессами.
Функциональная
организация направлена на стимулирование качества труда и творческого
потенциала работников, а также экономии, обусловленной ростом масштаба
производства товаров или услуг. Вместе с тем поддержание взаимодействия между
разными функциями — задача сложная. Реализация различных функций предполагает
разные сроки, цели и принципы, что делает трудными координацию деятельности и
ее календарное планирование. Кроме того, функциональная ориентация связана с
предпочтением стандартных задач, поощрением узко ограниченных перспектив и
ведением отчетности о результатах деятельности.
Функциональная структура
не подходит для организаций с широкой номенклатурой продукции, действующих в
среде с быстро меняющимися потребительскими и технологическими потребностями, а
также для организаций, осуществляющих деятельность в международном масштабе,
одновременно на нескольких рынках в странах с различным законодательством. Логика
этой формы - централизованно координируемая специализация. В ней трудно проследить
вклад каждого элемента ресурсов в конечный результат и общую прибыльность
организации. В действительности современная тенденция к дезинтеграции (т. е.
покупка, а не производство комплектующих частей и т. д.) отражает понимание
многими фирмами того, что необходимая координация затрат и используемых
ресурсов отражается на результатах деятельности. Функциональная организация
может давать сбои из-за неправильной модификации, поскольку логика этой
организации заключается в централизованном контроле, который нелегко
адаптируется к продуктовой диверсификации.
В чистом виде
функциональная структура практически не применяется. Она используется в
органическом сочетании с линейной структурой (рис. 2), построенной на основе
вертикальной иерархии управления и базирующейся на строгой подчиненности
низшего звена управления высшему. При таком построении выполнение
узкоспециализированных функций переплетается с системой подчиненности и
ответственности за непосредственное выполнение задач по проектированию,
производству продукции и ее поставке потребителям (рис. 3).
|
|
|
|
|
|
 |
|
|
 |
Децентрализация управления
в рамках линейно-функциональной структуры приводит к тому, что
разделение прав и ответственности дробится между разными органами, руководящими
техническими разработками, закупкой сырья и материалов, производством, сбытом и
т. д. Наиболее типичен такой процесс для предприятий, где устойчиво выпускается
огромное количество однородных продуктов и экономия на масштабе производства
значительна. Одним из условий децентрализации структуры может служить ситуация,
когда рынок представляет собой единое целое и отличается высокой степенью концентрации
потребления.
Построение организации по
линейно-функциональному принципу (с группировкой по видам управления) показано
на рис. 9.4. К этому типу относятся структуры, которые сформированы либо по
продуктовому, либо по территориальному признаку. Подобные структуры чаще
используют крупные диверсифицированные корпорации, выпускающие широкую
номенклатуру продукции для различных рынков. Наиболее типичная для них — продуктовая
структура управления, при которой центральной штаб-квартире организации
подчиняются специализированные по видам продукции отделения с самостоятельной
хозяйственной деятельностью.
При дивизиональной
структуре отделения могут быть специализированы и по рынкам сбыта.
Отход от использования
строго функциональных схем управления корпорациями в пользу дивизиональной
структуры организации деятельности по отделениям достаточно отчетливо
прослеживается с развитием диверсификации производства. Однако на практике
проявляется определенная сдержанность в отношении децентрализации и
устанавливаются ее допустимые пределы. Вызвано это тем, что стали отчетливо
видны негативные стороны излишней свободы отделений и предприятий в выборе сфер
производственной деятельности и принятии ответственных управленческих решений.
Во многих случаях руководство корпораций теряет возможность контролировать
производственно-хозяйственную деятельность отделений, возникают сложные
информационные проблемы. Поэтому высшие руководители многих корпораций, не
упраздняя отделения, получившие достаточную самостоятельность, вносят существенные
поправки в их организационную структуру, подчиняя их своей власти в значительно
большей степени.
Дивизиональная форма
может рассматриваться как соединение организационных звеньев, обслуживающих
определенный рынок и управляемых централизованно. Ее логика заключается в
сочетании автономности подразделений с центрально контролируемым процессом
распределения ресурсов и оценки результатов. Хотя дивизиональные фирмы могут
легко внедряться в смежные отрасли, существует опасность их чрезмерного
расширения. Так, многие подобные фирмы, расширявшие свою деятельность на новых
рынках, не смогли в должной степени оценить ее результаты и принять инвестиционные
решения. Дивизиональные фирмы также подвержены опасности модификаций, которые
нарушают избранную логику функционирования организации.
Известно, что
предприятия, переходящие на продуктовый тип структурного построения,
первоначально были функционально организованы. С расширением организаций
руководители производственных, сбытовых и других подразделений, а также
технические специалисты сталкивались с проблемами роста масштаба деятельности.
Функции руководителя все более усложнялись, а диапазон управления ограничивал
его возможности увеличения числа подчиненных. Структурная реорганизация на
основе продукта стала рассматриваться как выход из создавшегося положения.
Такой подход допускает делегирование высшим управленческим звеном обширных
полномочий по руководству производственной, сбытовой, вспомогательной и
инженерной деятельностью, связанной с изготовлением конкретного продукта или
ассортимента продуктов (рис. 4).
Продукт или номенклатура
продуктов является важным признаком структурного деления, поскольку в этом
случае создаются условия для использования специализированных средств
производства, облегчается координация, допускается максимально широкое
использование индивидуальных способностей и специальных знаний персонала. Структуризация
по продукту становится объективно оправданной, если для предприятия важно
координировать различные виды деятельности, связанные с производством какого-либо
продукта. За счет такой структуризации достигается большая согласованность
действий и улучшается обслуживание клиентуры. Если первоосновой сбытовой
деятельности и технического обеспечения выступает промышленное производство, то
кооперация этих двух функций с производственной деятельностью приобретает
ключевое значение.
При структуризации по
продукту ответственность за получение прибыли возлагается в основном на руководителей
подразделений. Там, где руководители охватывают влиянием производственную,
сбытовую, инженерную и вспомогательную деятельность, а также контролируют
связанные с этим затраты, резко возрастают реальные возможности достижения
заранее намеченных целей. Руководители подразделений делят ответственность за
получение прибыли с другими аналогично организованными группами, что
предоставляет высшему руководителю возможность оценивать вклад каждого в общую
прибыль предприятия.
Деление по
территориальному принципу является довольно распространенным методом
структуризации предприятий, рассредоточенных на обширной территории. Все виды
деятельности предприятия на данной территории группируются и подчиняются его
высшему руководителю (рис. 5). Территориальная структуризация особенно
привлекательна для крупных диверсифицированных фирм. Они прибегают к данной
форме в том случае, когда аналогичные деловые операции проводятся в различных
географических регионах. Территориальная структуризация целесообразна в тех
случаях, когда ее цель заключается не только в поощрении участия локальных
звеньев в процессе принятия решений, но и в экономии средств, достигаемой за
счет локализации коммерческих операций предприятия. Ее выбор связан со
снижением уровня издержек. Выбор района для размещения предприятий может быть
сделан исходя из стремления, снизить транспортные расходы. Правильное расположение
складских помещений уменьшит затраты времени на доставку, что является
немаловажным фактором, способным повлиять на получение заказов. Региональные
отделения рассматриваются в качестве наилучшего места приобретения опыта для
начинающих руководителей. Причем на той ступени организационной структуры это
будет максимально полезно для них при минимальном риске для компании.
С точки зрения местных
факторов использование территориальной организационной структуры приобретает
некоторые дополнительные плюсы. Это вызывает создание новых рабочих мест для
местного населения, не говоря уже об экономической выгоде, а именно снижении
транспортных расходов, ренты, стоимости рабочей силы. Преимущества
территориальной организации сбытовой деятельности заключаются в основном в
экономии средств и высокой эффективности работы. Сбытовой персонал может
уделять больше времени продаже товаров и сократить затраты на передвижение.
Кроме того, будучи ближе к покупателям, он получает возможность изучить их
потребности, рыночные предпочтения и выяснить, какая рыночная стратегия будет
иметь наибольшие шансы на успех. В крупных диверсифицированных компаниях
появляются дивизиональные структуры смешанного типа, сочетающие как продуктовый,
так и территориальный принципы построения (рис. 6).
Одна из заметных
тенденций организационной перестройки предприятий в переходной экономике
состоит в существенном повышении самостоятельности отдельных звеньев структур
управления и создании на этой основе дочерних фирм. Вокруг крупных предприятий
формируется сеть небольших мобильных фирм, способных быстро перестраиваться
применительно к изменяющемуся спросу. Благодаря этому происходит приближение
предприятий — производителей продукции к потребительскому сектору, ускоряется
процесс реализации продукции. Из производственной и организационной структуры
многих крупных предприятий выделяются подразделения, имеющие полный
производственный цикл. С одной стороны, создаются самостоятельные хозяйствующие
субъекты, ориентированные на определенных потребителей, а с другой —
сохраняется целостность производственно-технологического комплекса, общая
направленность и профиль его деятельности.
|
|
 |
Не менее значимой
тенденцией становится формирование независимых коммерческих организаций,
которые используют имущество базового предприятия на основе арендных отношений.
С помощью периодической корректировки договоров аренды обеспечивается
определенная координация деятельности вновь создаваемых организаций. Сохранение
права собственности за базовым предприятием дает возможность сохранять и
развивать производственную систему в целом. Ниже приводится сравнительная
оценка достоинств и недостатков линейно-функциональной и дивизиональной организационных
структур, позволяющая с учетом особенностей конкретных условий определять
возможности использования той или иной формы организационного построения (табл.
1).
Таблица 1 Сравнительная характеристика
организационных структур управления
|
Линейно-функциональные
|
Дивизиональные
|
|
Обеспечивают выполнение
специализированных задач, контролируемых с помощью планов и бюджетов
|
Децентрализованные операции
подразделений с централизованной оценкой результатов и инвестиций
|
|
Наиболее эффективны в стабильной
среде
|
Наиболее эффективны в изменяющейся
среде
|
|
Содействует эффективному
производству стандартизированных товаров и услуг
|
Пригодны для условий
взаимосвязанной диверсификации по продуктам или регионам
|
|
Обеспечивают экономию на
управленческих расходах
|
Ориентированны на оперативное
принятие решений
|
|
Предусматривает специализацию
функций и компетентность
|
Создают организационные условия для
междисциплинарного подхода
|
|
Ориентированны на ценовую
конкуренцию
|
Успешно функционируют при неценовой
конкуренции
|
|
Рассчитаны на использование
действующих технологий и сложившегося рынка
|
Ориентированны на освоение новых
рынков и новых технологий
|
|
Производственная специализация,
превышающая возможности централизованного планирования
|
Вмешательство высшего звена организации
для усиления координации подразделений и повышения эффективности их
деятельности
|
|
Быстрое решение проблем,
находящихся в компетенции одной функциональной службы
|
Быстрое решение сложных меж функциональных
проблем
|
|
Вертикальная интеграция, нередко превышающая
возможности полной загрузки специализированных подразделений
|
Диверсификация внутри корпорации
или приобретение внешних организационных звеньев
|
3.2
ПРОЕКТНОЕ И МАТРИЧНОЕ УПРАВЛЕНИЕ
Проектное
управление — это
управление важными видами деятельности в организации, которые требуют
постоянного руководства в условиях строгих ограничении по затратам, срокам и
качеству работ. При этом необходимо предусмотреть механизмы разрешения
межличностных, межгрупповых и межорганизационных конфликтов, связанных с
организацией взаимодействия вертикальных и горизонтальных систем управления.
Если в организации возникает необходимость разработать и осуществить проект
комплексного характера, охватывающий, с одной стороны, решение широкого круга
специальных технических, экономических, социальных и иных вопросов, и, с другой
стороны — деятельность разных функциональных и линейных подразделений, то
следует найти наиболее подходящую, эффективную организационную форму выполнения
данной задачи. Можно рассмотреть три варианта организации работ.
Первый вариант - образовать целевую группу,
координационный отдел или специальный комитет, поскольку действующая
организационная структура, по общему признанию, не сможет справиться с новой
комплексной задачей. Однако опыт показывает, что отдельно взятому новому органу
не удается решить задачу принятия общеорганизационных решений при отсутствии
его взаимодействия со всеми функциональными и линейными структурами. Такой тип
структуры управления с распределением власти и отсутствием индивидуальной
ответственности не подходит для принятия решений по комплексным проблемам.
Второй вариант — наделить полномочиями и
ответственностью за решение различных частей комплексной задачи руководителя
одного из функциональных отделов, не снимая с него других обязанностей. Речь
идет о выделении так называемого головного отдела. Однако здесь возникает проблема:
для разрешения конфликтов и обеспечения координации работы требуется постоянное
участие в руководстве проектом высшего звена управления. Такой подход, требующий
постоянного вмешательства и в то же время ведущий к распылению ответственности,
может быть разрушительным.
Третий вариант -назначить руководителя проекта,
наделив его всей полнотой власти для решения проблем, связанных с разработкой и
реализацией проекта. Основная идея состоит в передаче одному лицу - руководителю
проекта полномочий и ответственности за планирование, оперативное управление,
финансирование выполнения всех работ по проекту. Его работа состоит в том,
чтобы обеспечить выполнение задачи (проекта) в установленное время с заданными
техническими требованиями и затратами. Этот организационный механизм все шире
используется в аэрокосмической, электронной, авиационной отраслях
промышленности, в производстве вычислительной техники и др.
Проектные структуры. Под проектной структурой
понимается временная организация, создаваемая для решения конкретной
комплексной задачи (разработки проекта и его реализации), В одну команду
собираются квалифицированные работники разных профессий, специалисты, исследователи
для осуществления определенного проекта с заданным уровнем качества и в рамках
выделенных для этой цели материальных, финансовых и трудовых ресурсов. После
завершения проекта и решения всех связанных с этим задач привлеченные в команду
работники возвращаются в свои подразделения к постоянной работе или переходят к
работе по выполнению другого проекта. Руководителю проекта полностью подчинены
все члены команды и все ресурсы, выделенные для данной цели.
Проектные структуры
различаются между собой по масштабу деятельности, широте охвата
научно-технических проблем и проблем производства, характеру связей с линейными
и функциональными звеньями организации, кругу полномочий для взаимодействия с
внешней средой. Одной из наиболее распространенных разновидностей такой
организации является матричная структура (рис. 7), при которой члены
проектной команды подчиняются не только руководителю проекта, но и
руководителям тех функциональных подразделений, в которых они постоянно
работают. Организация развивается одновременно в двух измерениях. Таковы,
например, организации, основанные на сочетании осуществляемых функций с
территориальной структурой либо ориентацией на определенный тип потребителей
или вид выпускаемой продукции. При такой форме организации полномочия
руководителя проекта могут варьировать от почти всеобъемлющей линейной власти
до практически чисто штабных полномочий.
|
|
 |
В матричной организации
руководители проектов отвечают за координацию всех видов деятельности и
использование ресурсов, относящихся к данному проекту. С этой целью все
материальные и финансовые ресурсы по данному проекту передаются в их
распоряжение. Руководители проекта также отвечают за планирование проекта и ход
его выполнения по всем количественным, качественным и временным показателям. Что
касается руководителей функциональных подразделений, то они делегируют
руководителю проекта некоторые из своих обязанностей, решают, где и как должна
быть выполнена та или иная работа. Функциональная экспертиза продукции
проводится во всех подразделениях компании.
Матричная структура
способствует коллективному расходованию ресурсов, что имеет существенное
значение, когда выпуск продукции сопряжен с необходимостью использования редких
или дорогостоящих видов ресурсов. При этом достигается определенная гибкость,
которая, в сущности говоря, отсутствует в функциональных структурах, поскольку
в них все сотрудники постоянно закреплены за определенными функциональными
подразделениями. Поскольку в матричной организации сотрудники набираются из
различных функциональных отделов для работы по конкретному проекту, трудовые
ресурсы можно гибко перераспределять в зависимости от потребностей каждого
проекта. Наряду с гибкостью матричная организация открывает большие возможности
для эффективной координации работ.
Введение проектного
управления связано с тем, что линейно-функциональная структура не может
обеспечить осуществление множества проектов. При организации подразделений по
специализированным функциям много усилий затрачивается на установление и
выяснение взаимоотношений между дифференцированными ролями. Поскольку
линейно-функциональная структура продолжает существовать наряду с проектным
управлением, последнее следует скорее характеризовать как механизм преодоления
недостатков и дополнения указанной структуры, а не как ее замену.
3.3
БЮРОКРАТИЧЕСКИЕ СИСТЕМЫ
Дискуссия в начале 1990-х
годов о сущности и судьбах административно-командной системы, господствовавшей
в бывшем СССР в течение ряда десятилетий и охватывавшей все уровни управления
от общегосударственного до отдельного предприятия, стимулировала всесторонние
исследования и критический анализ бюрократической организации управления. Этого
настоятельно требует необходимость эффективного управления хозяйствующими
субъектами в постприватизационный период, когда на основе ликвидации
централизованной системы осуществляется реформирование организаций, их
реструктуризация и переход к рыночным формам ведения хозяйства.
Децентрализация,
распределение прав и ответственности, эффективные и действенные организационные
связи, координация и реализация решений, адаптация структур к рынку практически
повсеместно остаются неупорядоченными и нерешенными проблемами. Более того,
невнимание к ним, отсутствие прогрессивных и адекватных рынку форм организации
ведут к резкому снижению эффективности деятельности, углублению экономического
кризиса.
В течение многих
десятилетий в крупных компаниях и больших организациях различного типа широко
распространились бюрократические системы управления. Вначале их применение было
организационным новшеством, поскольку внедрялась рациональная организация
труда, управление и процесс принятия решений стали профессией. Оно создавало
порядок, основывалось на использовании ; набора правил, которые позволяли
различным специалистам всех звеньев организации координировать свою работу. Бюрократическая
система использовала весь интеллектуальный потенциал организации.
Макс Вебер, положивший
начало систематическому изучению бюрократии, установил, что она является
одновременно и наиболее эффективной системой, и угрозой для основных элементов
свободы. Обратив внимание на упорядоченность и потенциальную эффективность
бюрократических систем, Вебер отмечал, что бюрократическая ' форма организации
сточки зрения точности, постоянства, строгости и надежности ее работы превосходит
все другие формы административной организации.
В течение XX века большие бюрократические
организации создали системы, способные эффективно управлять потоками
инвестиций, разделением труда и крупномасштабным индустриальным производством.
С использованием их организационного потенциала связано развитие промышленности,
связи и коммуникаций, взаимодействий всех видов, ориентации на потребителя.
Были созданы организации, достаточные для того, чтобы обеспечивать лидерство в
самых разных областях.
Тем не менее со временем
роль и действенность бюрократической организации снижались. В условиях
современных революционных изменений в технике и технологии производства,
расширения объема, разнообразия и неустойчивости потребительского рынка, роста
неопределенности при увеличении масштабов инвестиций возможности использования
бюрократических систем существенно сокращаются, возникают все новые трудности в
обеспечении эффективного управления.
Не случайно во многих
случаях с бюрократией связывались негативные последствия деятельности больших
организаций (чрезмерная «канцелярщина», бесполезная деятельность, процедурные
задержки, волокита, неэффективные организационные связи, разбухание штатов и т.
п.). Особенно много нареканий вызывала доводившаяся до абсурда централизация в
принятии решений по мелким вопросам, подавление инициативы и свободы творчества
работников, многоступенчатая и бездумная соподчиненность, неоправданное
командование некомпетентных руководителей, присвоение ими абсолютного «права на
правоту».
С сарказмом писал о такой
бюрократии известный английский ученый в области управления Сирил Н. Паркинсон
— автор знаменитых «законов Паркинсона». «Поскольку всякая работа, и в
особенности бумажная, - отмечал он, - растяжима во времени, становится
очевидно, что от ее объема никак (или почти никак) не зависит количество людей,
привлекаемых к ее выполнению». Или такой постулат о двух основных силах
бюрократии: 1) чиновник заинтересован в умножении подчиненных, но не
соперников; 2) чиновники обеспечивают работой друг друга. А вот рекомендуемая
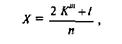
формула для определения штатов любого административного учреждения:
где X— число новых сотрудников, набираемых
каждый год;
К— число чиновников,
которые ради повышения по службе набирают себе подчиненных;
l— интервал между поступлением на
службу и уходом на пенсию;
m— количество человеко-часов,
потраченных на улаживание дел в учреждении;
n— количество дееспособных
подразделений.
Среди ученых существует
согласие по поводу шести характеристик бюрократии, описанных первоначально
Вебером: 1) иерархическая командная цепочка; 2) специализация должностных
обязанностей; 3) единая политика в области прав и обязанностей; 4)
стандартизированные операции на каждом участке работы; 5) карьера, основанная
на профессиональной компетенции; 6) безличностные взаимоотношения. К данным
характеристикам можно добавить то, что координация деятельности осуществляется
на высших уровнях организации. Рассмотрим подробнее каждую из указанных характеристик.
Иерархическая
командная цепочка.
Бюрократическая организация имеет структуру пирамиды с высшим руководителем в
верхней точке, который распределяет весь объем работы организации и делегирует
ответственность за каждую часть общей задачи своим заместителям. Последние, в
свою очередь, делегируют ответственность на более низкие уровни управления по
цепочке команд, которая доходит до каждого работника. В ряде крупных компаний в
прошлом насчитывалось десять и более уровней управления между управляющим высшего
ранга и рабочим.
Внедрение цепочки команд
явилось мощным фактором наведения порядка в больших подразделениях на
предприятиях. Цепочка команд разрешала потенциальные конфликты, четко
распределяя обязанности, полномочия и ответственность за возможное решение.
Каждому руководителю и его заместителям в цепочке команд были предоставлены все
полномочия для решения задач или осуществления отдельной функции, а также
ответственность за ее исполнение. Это значительно упрощало задачу руководителя
и давало уверенность в выполнении команды.
Специализация
должностных обязанностей. Бюрократия стала эффективной благодаря специализации труда. На самом
деле организационная структура бюрократии создана на основе деления всех задач
на серии четко определенных должностных обязанности или функций. Каждой функции
придается ответственность за выполнение определенной задачи и предоставляется
необходимый инструментарий управления. Руководитель издает и распределяет
задания таким образом, что все их составляющие являются частями общей задачи
организации: специализированный инженерный персонал изучает причины падения
эффективности на всех этапах производственного процесса, конструирует
оборудование и моделирует процессы, которые обеспечивали бы рост
производительности труда; определяются обязанности тех, кто занят реализацией
продукции, финалистов, специалистов по труду и др. Специализация ведет к более
эффективным путям выполнения каждой части общей задачи организации.
До внедрения
специализации в бюрократические организации каждый ремесленник учился всему,
что касалось его деятельности, и выполнял весь объем работы от начала до конца.
Ремесленное производство часто может быть плодотворным и иметь художественные
достоинства, но в период промышленной революции оно стало тормозом механизации
и развития масштабной экономики. По мере того как организации переходили от
ремесленничества к разделению труда, жесткая иерархия бюрократии предусматривала
все необходимое для преодоления ремесленных традиций, каждое новшество становилось
частью действующих нормативов и процессов организации.
Единые нормы и
правила. Бюрократия
управляется с помощью единых фиксированных норм и правил, которые
устанавливаются руководством организации независимо от того, является ли она
коммерческой или некоммерческой. Эти нормы предусматривают права и обязанности
работников и руководителей. Самые основные нормативы относятся к вопросу об
определении прав, полномочий и ответственности. В бюрократической организации
руководитель отвечает за деятельность всех подчиненных и имеет право отдавать
им распоряжения, которым они должны беспрекословно подчиняться. Основная
обязанность работника заключается не в том, чтобы делать то, что правильно или
необходимо, а в том, чтобы точно следовать указаниям непосредственного
руководителя. Установленные нормативы бюрократии гарантируют оплату труда
работников до тех пор, пока они заняты на работе, а нередко и получение пенсии
за выслугу лет. Фиксированные права и обязанности устанавливают определенные
рамки процессов управления и в известной мере ограничивают возможное своеволие
руководителя.
Профессиональная
карьера.
Бюрократическая организация создает условия для профессионального роста
работников, продвижения их на бол ее высокие уровни командной цепочки.
Повышение в должности дает одновременно и власть, и полномочия, и более высокий
статус в организации. Повышение достигается путем совершенствования навыков в
какой-то области деятельности и способности выполнять предусмотренный объем
работ. Профессиональная карьера основывается на своеобразном контракте между работником
и организацией; работник посвящает свою деятельность организации в обмен на
гарантированную работу, нередко пожизненную, стабильную или повышенную оплату
труда, пенсию и возможность повышения по служебной лестнице.
До бюрократии фаворитизм
и семейственность разрушали эффективность организации. Бюрократия
придерживается политики повышения сотрудников по службе на основе их
квалификационного роста. Это позволяет организации нанимать, обучать и
удерживать на работе высококвалифицированных специалистов. Стремление работника
к повышению в должности и гарантированность профессиональной карьеры были
важным элементом успеха бюрократической системы при условии сильной мотивации к
долгосрочной лояльности организации. Однако возможности большей части работников
не могут быть реализованы в бюрократической системе, поскольку основной показатель
успеха - это продвижение по иерархической лестнице; по мере движения вверх
пирамида власти сужается, и только некоторые сотрудники могут занять
вышестоящие должности.
Безличностные
отношения. В
бюрократической системе существуют взаимоотношения не человека с человеком, а
роли с ролью. Организационная структура и должностные инструкции предписывают
то, что ожидается от каждого индивидуума. Работник, исполняющий какие-то
специфические обязанности, должен осуществлять их только рационально. Это, в
сущности говоря, породило определенный автоматизм и безличностные отношения,
противостоящие личным симпатиям, фаворитизму, проявлению чувств и эмоций.
ЗАКЛЮЧЕНИЕ
В заключение отметим, что
успех современных организационных структур все в большей мере зависит от
внешних, чрезвычайно быстро меняющихся условий их функционирования. К числу
этих условий можно отнести интенсивную конкуренцию, приобретающую глобальный
характер, быстрое технологическое развитие, ужесточение требований к интеллекту
и потенциалу управленческих кадров, рост их автономии и ответственности.
В настоящее время в
стране действует менеджмент переходного периода, появившийся вслед за
изменением форм собственности. В связи с этим изменились фундаментальные
парадигмы традиционного менеджмента, присущие условиям деятельности рыночной
экономики, важнейшая отличительная особенность которой — перманентная и бескомпромиссная
конкурентная борьба.
С менеджментом
переходного периода связаны стратегическое управление, стратегическое
планирование, гибкие организационные структуры (способные адаптироваться к
быстро меняющейся рыночной конъюнктуре), маркетинговая служба и др.
В целом менеджмент
переходного периода не вполне соответствует переменам, масштабной смене форм
собственности. Прежние формы планирования уже невозможны, а новые еще не
устоялись. Оргструктуры большей частью преобразуются без должного учета
требований конкурентного рынка. Предстоит восстановление разорванных
кооперационных связей. Больше требуется управленческого персонала с творческим
образом мышления, нужны руководители, способные предупреждать и устранять
конфликты между менеджерами и собственниками, сочетать успешный бизнес с умелым
решением социальных задач организации.
Заметим здесь, что в
стране еще не завершены экономические реформы, не сформированы приемлемые
механизмы конкурентной борьбы и благоприятный инвестиционный климат.
СПИСОК
ИСПОЛЬЗОВАННОЙ ЛИТЕРАТУРЫ
1.
Уколов В.Ф.
Теория управления: Учебник. М.: экономика, 2003. – 576с.
2.
Мыльник В.В.
Теория управления: Учебное пособие. Изд-во М.: Академический проспект, 2005. т-
372с.
3.
Мильнер Б.З.
Теория организации: Учебник. – 2-е изд. – М.:ИНФРА-М, 1999. – 480с.
4.
Теория
организации: Учебное пособие для вузов. – М.:ЮНИТИ-ДАНА, 2002. – 495с.
5.
Теория
управления: Учебник/общ. ред. А.И. Турчинова. – М.: Изд-во РАГС, 2002. -488с.
6.
Ефремов О.Ю.
Теория организации. Серия «Университетский учебник». СПб, 2000. – 399с.