Сущность и значение кооперации труда

  • Вид работы:
    Контрольная работа
  • Предмет:
    Менеджмент
  • Язык:
    Русский
    ,
    Формат файла:
    MS Word
    31,55 kb
  • Опубликовано:
    2010-09-21
Вы можете узнать стоимость помощи в написании студенческой работы.
Помощь в написании работы, которую точно примут!

Сущность и значение кооперации труда

Сущность и значение кооперации труда. Формы и границы кооперации труда

Разделение труда на предприятии как элемент организации труда представляет собой обособление видов деятельности работников, установление функций, обязанностей, сферы действий каждого из них, а также для их групп, образующих различные подразделения. Его экономическое значение обусловлено повышением производительности труда, быстрым освоением профессий, небольшими затратами на создание рабочих мест. С социальных и физиологических позиций последствиями разделения труда могут быть узкая специализация, обеднение содержания труда, монотонность, однообразие труда, утомляемость.

Происходящее в результате разделения труда обособление видов работ создает предпосылки для формирования содержания, методов, условий труда и рационального использования кадров. Разделение труда на предприятии неразрывно связано с его кооперацией. Кооперация труда является следствием его разделения и обязательным условием организации труда на любом уровне: от предприятий-смежников до цехов внутри каждого предприятия. Чем детальнее и глубже разделение труда, тем сложнее его кооперация.

Под кооперацией труда понимают систему производственных взаимосвязей между отдельными исполнителями и их группами, занятыми выполнением частичных, но взаимосвязанных между собой процессов труда [1, c. 37].

Кооперация труда строится на следующих принципах:

планомерность;

пропорциональность затрат труда;

обеспечение рациональной расстановки кадров;

постоянные и надежные взаимосвязи между работниками.

Кооперация труда позволяет поддерживать согласованность в работе индивидуальных и коллективных исполнителей, обеспечивать непрерывность производственного процесса, ритмичность выпуска продукции, сокращать производственный цикл, лучше использовать кадры на производстве.

Границы разделения труда означают предельно допустимые значения в виде верхних и нижних пределов расчленения трудового процесса, в рамках которых достигается наибольшая эффективность труда.

Существуют следующие границы разделения труда:

Техническая;

Экономическая;

Психофизиологическая;

Социальная.

Техническая граница разделения труда зависит от применяемой техники и технологии и обуславливает такое выделение элементов труда, которое позволяет данная техника.

Нижней границей является прием, состоящий как минимум из трех трудовых действий. Верхняя граница – изготовление предмета труда.

Экономическая граница разделения труда предусматривает минимизацию затрат времени на выполнение работы.

Нижней экономической границей является такое расчленение трудового процесса, когда сокращение затрат рабочего времени на выполнение операции за счет углубления специализации станет перекрываться увеличением затрат времени на транспортировку предмета труда от одного рабочего места к другому.

Верхняя экономическая граница определяется длительностью производственного цикла изготовления всего изделия на одном рабочем месте.

Экономические границы характеризуются:

Длительностью производственного цикла изготовления продукции (в учреждении - длительность документооборота);

Удельными затратами рабочего времени на производство единицы продукции, исчисленными по полной трудоемкости;

Загруженностью работника: отношением времени выполнения основных функций к длительности смены (оптимальный коэффициент=0,8).

Психофизиологические границы определяются возможностями человеческого организма, требованиями сохранения здоровья и работоспособности.

Нижняя граница для физической нагрузки – 2,5-3 ккал. в мин., верхняя граница – 4,5-5 ккал. в мин. Для нервно-психической нагрузки - нижняя граница ограничивается следующими параметрами: число производственно важных объектов наблюдения –5, длительность сосредоточенного наблюдения – 25% сменного времени, темп работы 360 движений в час. Верхняя граница: число производственно важных объектов наблюдения не более 25, длительность сосредоточенного наблюдения – 75% сменного времени, темп работы 1080 движений в час. Длительность многократно повторяющихся элементов не должна быть менее 45 секунд и включать не менее 4-5 действий.

Социальная граница – разделение труда, при котором не теряется содержательность труда, творческий характер, интерес к работе.

Показатель отрицательной социальной границы – текучесть кадров, увольнение людей. Социальные критерии разделения труда – стабильность кадров, низкая текучесть персонала, высокая дисциплина труда, хорошее состояние межличностных отношений, удовлетворенность содержанием и условиями труда.

Установление оптимального уровня разделения труда при большом количестве разнообразных критериев может осуществляться путем решения с использованием математических методов и вычислительной техники.

Формы кооперации труда определяются его разделением. Основными формами кооперации труда на предприятии по территориальному признаку являются [1, c. 43]: межзаводская; межцеховая (внутризаводская); внутрицеховая (или межучастковая,); внутриучастковая (или межбригадная); индивидуальная (между отдельными исполнителями). Межцеховая и внутрицеховая кооперация может быть технологической или предметной, функциональной (в зависимости от технологического или функционального профиля деятельности).

По видовому признаку выделяют следующие формы кооперации: функциональную, технологическую, профессионально-квалификационную.

В рамках технологической кооперации выделяют предметную, подетальную, пооперационную кооперацию, по видам работ.

Совершенствование этих форм достигается совмещением профессий и должностей, расширением зон работы, использованием многостаночного и многоагрегатного обслуживания, развитием коллективных форм организации (бригад, групп) и стимулирования труда.

Совмещение профессий – это такая форма организации труда работника, когда он в рабочее время выполняет, наряду с работами по основной специальности, также работы по одной или нескольким другим профессиям (специальностям) [2, c. 133].

Многостаночное обслуживание заключается в одновременном обслуживании одним или группой рабочих нескольких станков или агрегатов.

Позволяет расширить зону обслуживания, увеличить объем выполняемых работ.

Методы многостаночного обслуживания:

Сторожевой – наблюдение и обслуживание при возникновении необходимости;

Маршрутный – движение по установленному маршруту и последовательное обслуживание;

Маршрутно-сторожевой – совмещает два метода.

Различают две формы организации труда - индивидуальную и коллективную.

Коллективные формы организации труда могут быть звеньевыми, участковыми, групповыми, отдельскими, цеховыми и другими, когда планирование работы, ее учет и начисление заработка осуществляется в целом.

Производственная бригада представляет собой первичный трудовой коллектив, объединяющий рабочих одной или нескольких профессий и квалификаций для совместного выполнения производственного задания при коллективной ответственности за результаты работы.

В зависимости от уровня специализации бригады подразделяются на: комплексные, выполняющие комплекс разнородных технологических операций и специализированные, выполняющие однородные технологические работы. По степени разделения труда подразделяются на: бригады с полным разделением труда, с частичной взаимозаменяемостью, с полной взаимозаменяемостью. В зависимости от длительности производственного цикла выделяют: сменные бригады (формируются, когда длительность производственного цикла изготовления изделия кратна длительности рабочей смены), сквозные бригады (при многосменном режиме работы и длительном производственном цикле). В зависимости от способа планирования работы выделяют: бригады с планированием по единому наряду или с суммой индивидуальных планов. По способам начисления заработной платы бригады подразделяют на: использующие тарифную систему (без поправочных коэффициентов или совместно с поправочными коэффициентами (КТУ), использующие бестарифную систему. По способам учета затрат на выполнение работы выделяют: хозрасчетные бригады, с элементами хозрасчета, без хозрасчета. В зависимости от особенностей управления – бригады с полным самоуправлением, частичным самоуправлением, с централизованным управлением. В зависимости от правового статуса – подрядные бригады, арендные, не имеющие подрядных или арендных отношений. По численности бригады подразделяются на: малочисленные (3-5), среднечисленные (15-25), многочисленные (50-70) [2, c. 135].

Разделение труда руководителей, специалистов и служащих

Разделение труда руководителей, специалистов и служащих предприятия охватывает распределение совокупности всех выполняемых им работ между группами или отдельными исполнителями и отражается в организационной структуре предприятия. Определяющими факторами членения работ, формирующих процесс управления, между группами и отдельными работниками выпускает технологическое, функциональное, профессионально - квалифицированное разделение труда [4, c. 112].

Технологическое разделение труда представляет собой специализацию работников при выполнении работ, связанных общностью технологических процессов [3, c. 237]. Это способствует выделению из различных видов их деятельности стереотипных и формализуемых операций, которые могут выполняться с помощью подразделений, оснащенных необходимыми технологическими средствами. Такие службы заняты выполнением информационно - технических операций, обеспечивающих функциональные подразделения и руководителей различного уровня необходимой для принятия управленческих решений информацией.

Выделяют четыре разновидности технологического разделения труда: предметное, подетальное, пооперационное, по вида работ.

При предметном разделении труда за исполнителем закрепляется выполнение работ, связанное с изготовлением готового изделия. (Применяется в единичном производстве).

Подетальное разделение труда состоит в закреплении за работниками изготовления законченной части изделия – детали.

Пооперационное разделение труда применяется, когда процесс изготовления детали внутри данной фазы расчленяется на отдельные операции, каждую из которых выполняет отдельный исполнитель. Применяется в массовом производстве.

Технологическое разделение по видам работ используется, когда вышеперечисленные разновидности не подходят, например, сварочные, малярные работы.

Функциональное разделение труда руководителей, специалистов и служащих заключается в обособлении однородных работ, требующих определенного, только им свойственного комплекса знаний, подготовки и навыков, по функциям управления [3, c. 112]. В сфере материального производства к таким функциям относятся: организация управления, прогнозирования и планирования, техническая подготовка производства, оперативное управление персоналом, управление трудом и социальным развитием коллектива, бухгалтерский учет и финансовая деятельность, и другое.

Выделяются следующие группы: служащие, рабочие, младший обслуживающий персонал, ученики, охрана.

Служащие – подразделяются на руководителей, специалистов, прочих служащих (технических исполнителей). Рабочие подразделяются на основных, занятые выпуском основной продукции, и вспомогательных, выполняющих работы по обслуживанию производства.

Организационная структура управления предприятием определяется функциональным разделением труда, обеспечивающим выполнение основной технологической функции, обслуживающей технологической функции, управленческой функции.

Профессионально - квалифицированное разделение труда руководителей, специалистов и служащих основывается на распределении обязанностей и разграничении ответственности между работниками с учетом занимаемой должности, степени сложности поручаемых работ, уровня профессиональных знаний, требуемых для их выполнения и замещения должностей, специальности и квалификации в целях обеспечения высокой эффективности труда каждого работника. Для успешного проведения этой работы на предприятиях используется Единый квалификационный справочник должностей служащих.

Профессия – род деятельности (занятий) человека, владеющего определенными теоретическими знаниями и практическими навыками, полученными в результате профессиональной подготовки.

Специальность – специализация работника в рамках профессии [1, c. 40].

Уровень квалификации рабочих устанавливается на основе присвоения им квалификационных разрядов. Уровень квалификации руководителей и специалистов определяется занимаемыми ими должностями. Для специалистов устанавливаются категории.

Функциональное разделение труда обуславливает необходимость кооперации между соответствующими структурными подразделениями и службами при выполнении, закрепленных за ними функции. При технологическом разделении труда возможна кооперация, как между отдельными работниками, так и между структурными подразделениями. Профессионально - квалифицированному разделению труда в основном соответствует кооперация внутри подразделения между работниками.

Таким образом, задача разделения и кооперации труда руководителей, специалистов и служащих практически решаются в процессе построения организационной структуры предприятия в целом и его структурных подразделений. В основу этой работы положены следующие принципы:

оптимальная в конкретных условиях степень централизации функций;

самостоятельное и эффективное решение вопросов на каждом уровне управления;

функциональная специализация;

недопущение создания структурных подразделений при требуемой численности работников ниже установленного минимума.

При формировании структурных подразделений исходят из следующих признаков:

совместимость элементов, процедур, входящих в состав работ;

сосредоточенность работ;

соответствие функций и работ назначению деятельности структурного подразделения.

При этом важное значение имеет численность подразделений. При ее определении исходят из следующих положений.

Первичное подразделение создается минимум из 3-5 человек.

Бюро организуется при наличии численности специалистов в пределах 10 - 16 человек.

Более крупное подразделение - отдел, создается при численности сотрудников не менее 21 человека.

Самым крупным подразделением является управление, состоящее из отделов, бюро и групп.

Основываясь на принятой организационной структуре управления, проводят набор и расстановку руководителей, специалистов и служащих в соответствии с их специализацией, квалификацией, опытом, деловыми и другими качествами.

Задача 1

Определите норму времени на машинно-ручных работах в условиях мелкосерийного производства, если вспомогательное время выполнения операции, равное 1,8 мин, составляет 39 % от основного. Общее время обслуживания составляет 2 мин. На перерывы, обусловленные технологией, отводится 20 % оперативного времени. Время на отдых рабочего и его личные надобности составляет 25 % от оперативного времени, подготовительно-заключительное время – 20 % от нормы времени.

Решение

1. Определим величину основного времени:

,

где    - вспомогательное время выполнения операции, мин.;

 - вспомогательное время в процентах от основного.

мин.

2.Опредеделим время на перерывы:

,

где    %ТПЕР – время на перерывы в процентах к оперативному времени;

мин.

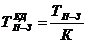
3. Определим время на отдых рабочего и его личные надобности:

,

где    - время на отдых рабочего и его личные надобности в процентах к оперативному времени.

 мин.

4. Исходя из того, что подготовительно-заключительное время составляет 20 % от нормы времени и, зная, что остальное время тогда составляет 80 % и равно 11,3 мин. определим норму времени на машинно-ручных работах:

 мин.

Ответ: 14,125 мин.

Задача 2

Оперативное время на изготовление изделия – 35 мин. Партия состоит из 40 изделий. Время обслуживания рабочего места планируется в размере 60 % к оперативному времени, время отдыха – 3 % к оперативному времени. Подготовительно-заключительное время на всю партию изделий – 25 мин. Рассчитайте норму времени на изготовление одного изделия.

Решение

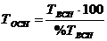
Определим время обслуживания рабочего места:

,

где    - оперативное время на изготовление изделия, мин.;

 - время обслуживания рабочего места в процентах к оперативному времени.

 мин.

Определим время отдыха:

,

где    - время отдыха в процентах к оперативному времени.

 мин.

Определим подготовительно-заключительное время на единицу изделия:

,

где    ТП-З – подготовительно-заключительное время на всю партию изделий, мин.;

К – количество изделий в партии.

мин.

Определим норму времени на изготовление одного изделия:

мин.

Ответ: 57,68 мин.

Список использованных источников

1.   Вашко И.М. Организация и охрана труда: Курс лекций – Мн.: Академия управления при Президенте Республики Беларусь, 2004. – 214 с.

2.   Гандина Н.М. Экономика и нормирование труда: Учебное пособие. И.: Изд-во ИГЭА, 1994 г. – с. 228

3.   Горфинкель В.Я., Швандра В.А. Экономика предприятия. – М.: ООО «Издательство Юнити-Дана», 2000 г. – с. 701

4.   Емельянова Т.В., Лебедева С.Н, Мисникова Л.В. и др. Организация труда – Мн.: Вышэйшая школа, 2004 г. – с. 302

Похожие работы на - Сущность и значение кооперации труда

 

Не нашли материал для своей работы?
Поможем написать уникальную работу
Без плагиата!
Без нейросетей!