Основы предпринимательской деятельности

  • Вид работы:
    Тип работы
  • Предмет:
    Финансы, деньги, кредит
  • Язык:
    Русский
    ,
    Формат файла:
    MS Word
    48,96 kb
  • Опубликовано:
    2008-12-09
Вы можете узнать стоимость помощи в написании студенческой работы.
Помощь в написании работы, которую точно примут!

Основы предпринимательской деятельности

Содержание

Введение

1. Анализ задания

2. Разработка лексического анализатора

2.1 Выбор и обоснование структур данных

2.2 Разработка автоматных грамматик для распознавания лексем

2.3 Разработка автоматов, работающих по правилам грамматики

2.3.1 Автомат для распознавания имён

2.3.2 Автомат для распознавания 16-ричных констант

2.3.3 Автомат для распознавания римских констант

2.3.4 Объединённый автомат

2.4 Разработка алгоритма и программы лексического анализа

2.4.1 Выделение лексем

2.4.2 Распознавание лексем

2.4.3 Реализация лексического анализатора

2.4.4 Тестирование лексического анализатора

3. Разработка синтаксического анализатора

3.1 Уточнение грамматики языка применительно к варианту задания

3.2 Разработка алгоритма синтаксического анализа

3.3 Алгоритмы распознающих функций

3.3.1 Функция Lex_Progr

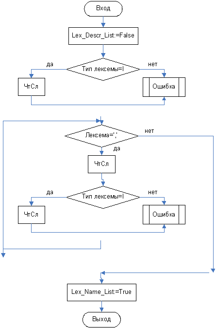
3.3.2 Функция Lex_Descr_List

3.3.3 Функция Lex_Descr

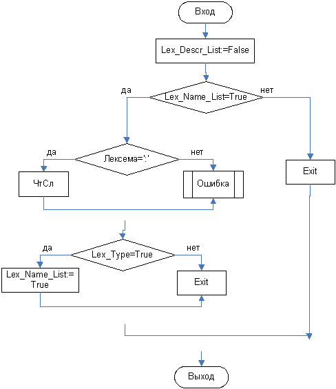
3.3.4 Функция Lex_Name_List

3.3.5 Функция Lex_Oper_List

3.3.6 Функция Lex_Assign

3.3.7 Функция Lex_Exp

3.3.8 Функция Lex_Simple_Exp

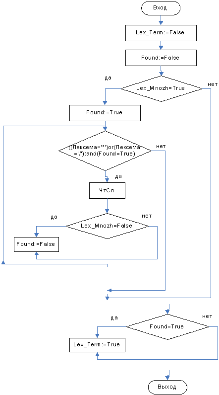
3.3.9 Функция Lex_Term

3.3.10 Функция Lex_mnozh

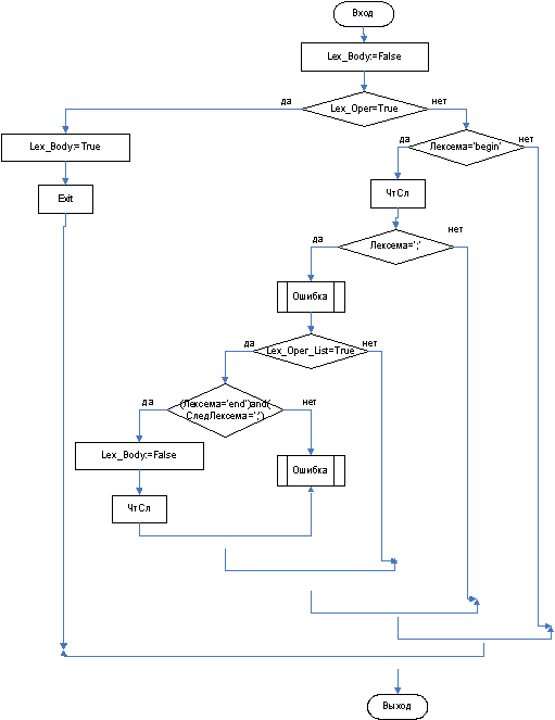
3.3.12 Функция Lex_Body

3.4 Тексты распознающих процедур

3.5 Результаты тестирования синтаксического анализатора

4. Реализация двухфазного компилятора

4.1 Результаты тестирования двухфазного компилятора

5. Описание программы

5.1 Общие сведения и функциональное назначение

5.2 Вызов и загрузка

5.3 Входные данные

5.4 Выходные данные

5.5 Описание логической структуры программы

5.5.1 Файлы программы

5.5.2 Общее описание работы программы

Список использованной литературы

 


Введение


По классификации программного обеспечения ЭВМ компиляторы относятся к системным обрабатывающим программам. Их функцией является перевод программы с языка высокого уровня в машинный код. В процессе перевода в программе выделяются и изменяются такие уровни или слои как алфавит, лексика, синтаксис при сохранении семантики.

Алфавит - набор допустимых символов и знаков, из которых строятся элементарные конструкции языка. Отдельные знаки объединяются в лексемы.

Лексема - отдельная неделимая конструкция, имеющая смысл.

Слова (лексемы) объединяются в предложения (операторы) согласно правилам синтаксиса.

Синтаксис - описание правильных конструкций языка или правил получения правильных конструкций языка.

Компиляция состоит из этапов анализа и синтеза. В анализ входит лексический, синтаксический и семантический анализ.

Лексический анализ состоит из распознавания лексем, их классификации и определения правильности.

Синтаксический анализ заключается в проверке правильности структур языка, таких как предложения или операторы и всей программы в целом.

1. Анализ задания


Задание можно разделить на 3 части: лексический анализ, синтаксический анализ, разработка компилятора в целом

Лексический анализ включает этапы:

преобразование исходного текста в длинную строку;

выделение лексических единиц (лексем);

распознавание типов лексем;

добавление лексем в соответствующие таблицы;

сохранение таблиц в виде файлов.

В данном задании используются следующие типы лексем:

идентификаторы;

ключевые слова;

16-ричные и римкие константы;

знаки операций;

разделители.

Идентификаторы (имена)

Следует отметить, что идентификатор может начинаться только с буквы, следующие символы могут быть как буквы, так и цифры и знак подчеркивания (‘_’). Кроме того, идентификаторы не могут совпадать со служебными словами.

В данном задании встречаются следующие идентификаторы:

‘var15’, ‘n’. Их следует записать в таблицу идентификаторов.

Ключевые слова

Этот класс лексем, как правило, описывается тем же синтаксисом, что и идентификаторы. Основное отличие состоит в том, что все ключевые слова заранее перечислены и каждое играет в языке свою особую роль. Оно не может заменяться другими ключевыми словами. Лексический анализатор должен отличать ключевые слова от обычных имен, различать между собой и возвращать для каждого из них свои (уникальные) значения.

Лексический анализатор должен различить следующие ключевые слова:

‘program’, ‘var’, ‘integer’, ‘begin’, ‘repeat’, ‘until’, ‘end’, и записать их в таблицу терминальных символов.

Константы.

В данном задании встречаются как 16-ричные, так и римские константы. Необходимо, чтобы лексический анализатор правильно различал константы и различал их тип (16-ричная константа, римская константа) и записывал тип в таблицу констант.

Константа считается римской, если она состоит из знака и символов ‘X’,’V’ и ‘I’ и образована по правилам составления римских констант. Она считается 16-ричной, если начинается с символа ‘$’ и знака и состоит из цифр и букв ‘A’. ’F’. Константы могут быть как положительными, так и отрицательными, это зависит от знака после символа ‘$’.

Лексический анализатор должен различить константы:

‘$+00’, ‘$-0A’ - как 16-ричные;

‘-XII’ - как римскую.

Эти лексемы он должен записать в таблицу констант с указанием их типа (’16-рич. ’ - для 16-ричной константы, ’римск. ’ - для римской константы) и указанием десятичной формы.

Знаки операций.

Их особенность состоит в том, что они могут быть одно - или двухсимвольными. В данном задании встречаются как односимвольные, так и двухсимвольные операции. Такие лексемы лексический анализатор должен распознать правильно (двухсимовольные операции не разбивать на отдельные операции) и записать их в таблицу терминальных символов.

В данном задании встречаются следующие операции:

Односимовольные: ‘-’, ‘<’;

Двухсимвольные: ‘: =’.

Разделители.

К ним относятся специальные символы, разделяющие конструкции языка, например:; |, |. | (|) | пробелы | символы табуляции и перехода на новую строку. Они могут либо возвращаться в синтаксический анализатор в качестве лексем, либо только указывать на окончание предыдущей лексемы и пропускаться при вводе следующей. Некоторые из этих символов одновременно могут играть роль терминальных символов в грамматическом описании отдельных конструкций языка.

В данном задании встречаются следующие разделители:

‘; ’, ‘: ’, ‘. ’,’ (‘,’) ’.

Границами лексем являются разделители, знаки операций, пробелы.

В процессе синтаксического анализа решаются две задачи:

распознавание предложений языка;

определение правильности конструкций.

Предложение считается синтаксически правильным, если оно представляет сентенциальную форму грамматики языка, т.е. может быть выведено с помощью некоторой цепочки переходов из начального символа грамматики.

В процессе синтаксического анализа всего исходного текста в целом и каждого предложения в отдельности возможно два направления движения по цепочке правил: сверху вниз и снизу вверх.

В процессе синтаксического анализа строится дерево грамматического разбора для каждого предложения. Это дерево строится от начального к конечному символу или наоборот.

Дерево вывода состоит из начального (корневого) узла. В него включают еще промежуточные узлы и внешние узлы.

Каждой ветви соответствует одно из правил грамматики.

Входные данные - таблица кодов лексем, сформированная на стадии лексического анализа.

Выходные данные - сообщение об успешном завершении анализа или сообщение об имеющихся ошибках.

2. Разработка лексического анализатора


2.1 Выбор и обоснование структур данных


1. Таблица констант организована в виде двоичных деревьев

Для хранения таблицы имен используется массив из записей Const_tab, содержащих следующие элементы:

Номер лексемы.

Лексема.

Тип константы (16-ричная или римская).

Ширина константы.

10-тичная форма.

Левая ветвь дерева (номер элемента, который является левой ветвью для данного).

Правая ветвь дерева (номер элемента, который является правой ветвью для данного).

Путь к элементу по дереву (последовательность левых и правых ветвей, которые необходимо пройти, чтобы достичь данного элемента).

2. Таблица терминальных символов организована в виде двоичных деревьев

Для хранения таблицы имен используется массив из записей Term_tab, содержащих следующие элементы:

Номер лексемы.

Лексема.

Разделитель (если лексема является разделителем, то это поле равно 1, если нет, то 0).

Знак операция (если лексема является знаком операции, то это поле равно 1, если нет, то 0).

Ключевое слово (если лексема является ключевым словом, то это поле равно 1, если нет, то 0)

Левая ветвь дерева (номер элемента, который является левой ветвью для данного).

Правая ветвь дерева (номер элемента, который является правой ветвью для данного).

Путь к элементу по дереву (последовательность левых и правых ветвей, которые необходимо пройти, чтобы достичь данного элемента).

3. Для хранения таблицы идентификаторов используется метод с использованием хэш-функций

Для хранения таблицы констант используется массив из записей Id_tab, содержащих следующие элементы:

Ссылка на элемент цепочки.

Номер.

Лексема.

В данном случае хэш-функция вычисляется по методу деления, т.е.

h (k): = {K/α}

где K - ключ записи, α - некоторый коэффициент

Для наиболее удобного распределения данных в таблице коэффициент α примем:

α= Li+2

где L - количество символов i-той строки, в которой хранится идентификатор.

Код K рассчитывается как сумма ASCII-кодов символов строки, в которой хранится идентификатор.

4. Для хранения таблицы кодов лексем используется массив из записей Code_tab, содержащих следующие элементы:

Номер.

Тип лексемы (C - константа, I - идентификатор, T - терминальный символ).

Номер в таблице констант, идентификаторов или терминальных символов.

Лексема.

Номер в таблице кодов лексем.

Для организации поиска используется последовательный метод.

 

2.2 Разработка автоматных грамматик для распознавания лексем


Автоматными или регулярными грамматиками называются грамматики, продукции которых имеют одну из двух форм:

Праволинейная

Леволинейная

A→aB

A→Ba

A→a

A→a


где a Î Т; А, В Î N

Эти грамматики широко используются для построения лексических анализаторов. Грамматику лексических единиц обычно явно не описывают, а строят эквивалентный ей граф распознавания лексических единиц.

Грамматика для идентификаторов:

<имя>→<буква>{<буква>|<цифра>’_’}

<буква>→ (’a’. ’z’)

<цифра>→ (‘0’. ’9’)

Грамматика для констант:

<константа>→<16-рич. константа>|<римск. константа>

Для 16-ричных констант:

<16-рич. константа>→ (‘$+’,’$-‘) (<цифра>, ‘A’. ’F’) { (<цифра>,‘A’. ’F’) }

Для римских констант:

 

2.3 Разработка автоматов, работающих по правилам грамматики

 

2.3.1 Автомат для распознавания имён


рис.1. Автомат для распознавания имён

Состояния автомата:

S - начальное состояние;

1 - промежуточное состояние, соответствующее продолжению формирования имени;

2 - конечное состояние, соответствующее выделению правильного идентификатора;

3 - конечное состояние, соответствующее ошибке при выделении идентификатора.

2.3.2 Автомат для распознавания 16-ричных констант


рис.3. Автомат для распознавания 16-ричных констант

Состояния автомата:

S - начальное состояние;

1 - промежуточное состояние, обозначающее, что распознан символ начала константы ‘$’;

2 - промежуточное состояние, обозначающее, что распознан знак константы, и продолжение формирования константы;

3 - конечное состояние, соответствующее выделению правильной 16-ричной константы;

4 - конечное состояние, соответствующее ошибке при выделении 16-ричной константы.

 

2.3.3 Автомат для распознавания римских констант

Римские константы образуются по следующим правилам:

Римская система нумерации состоит из семи знаков: I - 1, V - 5, X - 10, C - 100, D - 500, M - 1000. В данной работе используются только три первых знака, т.е. автомат может распознавать числа от 1 (I) до 39 (XXXIX).

Если меньший знак пишется после большего, то его прибавляют к большему числу; если же перед большим - вычитают. Вычитать можно только числа, начинающиеся с 1, в данном случае - 1, т.к не имеет смысла вычитать, например, 5 из 5 (в результате 0) или из 10 (в результате 5).

Знаки, эквивалентные числам, начинающимся с 1 (1, 10, 100, 1000), могут использоваться от одного до 3 раз. Знаки, эквивалентные числам, начинающимся с 5 (5, 50, 500) могут использоваться только 1 раз. Таким образом, чтобы образовать число 4, нужно из 5 вычесть 1 (IV), а чтобы образовать число 6, нужно прибавить 1 к 5 (VI).

В соответствии с приведёнными правилами, сформируем ряд ограничений для автомата-распознавателя:

Символ X может встречаться в начале строки от 1 до 3 раз подряд (см. правило 3).

Символ V может встречаться не более 1 раза в начале строки и после 1 или более символов X (см. правило 3).

Символ I может встречаться от 1 до 3 раз подряд в начале строки, а также в конце правильной строки, образованной символами X и V (см. ограничения 1 и 2, правило 3).

Символ X может встречаться в конце строки 1 раз после символа I, если перед последним находятся только символы X или ничего (иначе будет нарушено правило 2 - неизвестно, к какому символу будет относиться символ I).

Символ V может встречаться в конце строки 1 раз после символа I, если перед последним находятся только символы X (аналогично ограничению 4).

рис.4. Автомат для распознавания римских констант

Состояния автомата:

S - начальное состояние;

Sg - промежуточное состояние, соответствующее распознаванию знака константы.

1 - промежуточное состояние, соответствующее распознаванию символа X.

2 - промежуточное состояние, соответствующее распознаванию символа V.

3 - промежуточное состояние, соответствующее распознаванию символа I.

4 - конечное состояние, соответствующее ошибке пр. выделении римской константы.

5 - промежуточное состояние, соответствующее распознаванию строки XX.

6 - промежуточное состояние, соответствующее распознаванию строки XXX.

7 - промежуточное состояние, соответствующее распознаванию символа I после V, XV, XXV или XXXV.

8 - промежуточное состояние, соответствующее распознаванию символа X после I, XI, XXI или XXXI.

9 - промежуточное состояние, соответствующее распознаванию символа V после I, XI, XXI или XXXI.

10 - промежуточное состояние, соответствующее распознаванию символа I после правильной строки, заканчивающейся на I.

11 - промежуточное состояние, соответствующее распознаванию символа I после правильной строки, заканчивающейся на II.

В конечное состояние автомата, соответствующее распознаванию правильной римской константы, можно перейти из любого состояния, кроме Sg и 4, как только наступит конец лексемы.

 

2.3.4 Объединённый автомат

Объединённый автомат является соединением приведённых выше автоматов при общем начальном состоянии S. Все состояния и входные сигналы останутся теми же.

 

2.4 Разработка алгоритма и программы лексического анализа


Непосредственно лексический анализ представляет собой 2 этапа: выделение лексем и их распознавание. На экран выводятся таблицы констант, идентификаторов, терминальных символов и кодов лексем. Все таблицы сохраняются в файлы на диске.

После завершения лексического анализа становится возможным выполнить синтаксический анализ.

2.4.1 Выделение лексем

Процесс выделения лексем состоит в просмотре входной строки по одному символу и в случае обнаружения символа-разделителя формирование лексемы. Символами разделителями являются как сами разделители (терминальные символы) так и знаки операций. В программе предусмотрены двойные знаки операций (‘: =’).

При чтении очередного символа сначала проверяется, является ли он разделителем. Если это не так, то разделитель считается частью текущей лексемы и продолжается процесс ее формирования. Если это так, то проверяется вариант двойной операции и работа заканчивается. Если это не двойная операция, то происходит запись разделителя, как лексемы.

Такая последовательность действий повторяется до окончания входной строки. Процесс выделения лексем реализован в функции Select_Lex, которая возвращает строки, содержащие выделенные лексемы.

 

2.4.2 Распознавание лексем

Последовательно определяется тип каждой лексемы с помощью соответствующих распознавателей. Каждая лексема добавляется в таблицу кодов лексем и в соответствующую типу таблицу (констант, имен, терминальных символов). Если лексема ошибочна (т.е. не принадлежит ни одному из вышеназванных типов), то в таблице кодов лексем ей присваивается тип Е, обозначающий ошибку.

Каждая процедура распознавания, кроме распознавателя терминальных символов, построена как конечный автомат. Описание самих автоматов приведено выше. В плане программной реализации каждый такой распознаватель имеет следующие элементы:

константа, определяющая начальное состояние (обычно 0);

множество состояний, соответствующих удачному распознаванию лексемы;

множество состояний, свидетельствующих об ошибке в лексеме;

Распознавателем идентификаторов является функция Ident, 16-ричных констант - функция FConst, римских констант - функция Rome. Все они возвращают значение 1, если лексема распознана и - 1 в противном случае. Распознавателем терминальных символов является функция Termin. Она возвращает значение 3, если лексема - ключевое слово, 1 - если разделитель, 2 - если знак операции. Если лексема не является терминальным символом, то функция возвращает значение - 1. Если лексема ошибочна, то она заносится в таблицу кодов лексем с типом E и выдаётся сообщение об ошибке (процедура Err_Lex). Все эти подпрограммы вызываются из процедуры TForm1. N5Click (соответствует выбору пункта меню Анализатор/Лексический). В ней производится обнуление всех таблиц, вызов функции выделения лексем и процедуры WriteLex (см. ниже).

Поиск идентификаторов, констант и терминальных символов в соответствующих таблицах производится, соответственно, процедурами Search_Ident, Search_Const и Search_Term, добавление в таблицы - процедурами Add_Ident, Add_Const и Add_Term. Все они вызываются из процедуры WriteLex, входными данными для которой являются результаты распознавания лексем, т.е. типы лексем. Запись в таблицу кодов лексем производится процедурой WriteCode, вывод всех таблиц на экран - процедурой vyvod.

Перевод констант в десятичную форму производится процедурой perevod.

 

2.4.3 Реализация лексического анализатора

Приведём текст подпрограммы лексического анализатора:

 // процедура перевода констант в десятичную форму

procedure perevod (SS: string; var Str16: string);

var ch3,ch4,ch, i: integer;

zn: string;

begin

ch: =0; // для римских констант

if (SS [2] ='X') or (SS [2] ='V') or (SS [2] ='I') then

begin

zn: =SS [1] ;

delete (SS,1,1);

while Length (SS) <>0 do

begin

if SS [1] ='X' then begin ch: =ch+10; delete (SS,1,1); end

else begin

if SS [1] ='V'then begin ch: =ch+5; delete (SS,1,1); end

else begin

if ( (SS [1] ='I') and (SS [2] ='I')) or ( (SS [1] ='I') and (SS [2] ='')) then begin ch: =ch+1; delete (SS,1,1); end

else begin

if (SS [1] ='I') and (SS [2] ='X') then begin ch: =ch+9; delete (SS,1,2); end

else begin

if (SS [1] ='I') and (SS [2] ='V') then begin ch: =ch+4; delete (SS,1,2); end;

end; end; end; end; end;

str16: =zn+IntToStr (ch);

exit;

end;

 // для 16-рич. констант

If SS [3] in ['0'. '9']

then

ch3: =StrToInt (SS [3]) *16

else

if SS [3] in ['A'. 'F']

then

begin

ch3: =ord (SS [3]);

case ch3 of

65: ch3: =10*16;

66: ch3: =11*16;

67: ch3: =12*16;

68: ch3: =13*16;

69: ch3: =14*16;

70: ch3: =15*16;

end;

end;

If SS [4] in ['0'. '9']

then

ch4: =StrToInt (SS [4])

else

if SS [4] in ['A'. 'F']

then

begin

ch4: =ord (SS [4]);

case ch4 of

65: ch4: =10;

66: ch4: =11;

67: ch4: =12;

68: ch4: =13;

69: ch4: =14;

70: ch4: =15;

end;

end;

ch: =ch3+ch4;

If (SS [3] ='0') and (SS [4] ='0')

then Str16: =IntToStr (ch)

else Str16: =SS [2] +IntToStr (ch);

end;

procedure TForm1. N3Click (Sender: TObject);

begin

close;

end;

function Select_Lex (S: string; {исх. строка} var Rez: string; {лексема}N: integer {текущая позиция}): integer;

label 1;

begin // функция выбора слов из строки

k: = Length (S);

Rez: ='';

i: =N; // точка продолжения в строке

while (S [i] =' ') and (i<= k) do i: =i+1; // пропуск ' '

while not (S [i] in deleter) and (i<= k) do // накопление лексемы

begin

if s [i] ='$' then

begin

Rez: =s [i] +s [i+1] ;

i: =i+2;

end

else begin

1: Rez: =Rez+s [i] ;

i: =i+1;

end;

end;

if Rez='' then

begin

if (s [i] =': ') then

begin

if (s [i+1] ='=') then // в случае операции из двух символов

begin

Rez: =s [i] +s [i+1] ;

Select_Lex: =i+2;

end

else

begin

Rez: =s [i] ;

Select_Lex: =i+1;

end;

end else

begin

if ( (s [i] ='+') or (s [i] ='-')) and (s [i-1] =' (')

then begin

Rez: =s [i] +s [i+1] ;

i: =i+2;

goto 1;

end

else begin

Rez: =s [i] ;

Select_Lex: =i+1;

end; end;

end else Select_Lex: =i;

end;

procedure Add_Const (Curr_term: integer; str_lex: string); // Процедура добавления идентификаторов в дерево

begin

if NumConst=1 then // Если корень дерева еще не создан, то создаем его.

begin

perevod (str_lex,str16);

Const_tab [NumConst]. value: =str_lex;

Const_tab [NumConst]. nomer: =NumConst;

Const_tab [NumConst]. Val10: =str16;

Const_tab [NumConst]. Left: =0;

Const_tab [NumConst]. Right: =0;

Const_tab [NumConst]. Way: ='V';

Exit;

if (CompareStr (Const_tab [Curr_term]. value,str_lex) >0) then // Если значение текущего узла дерева больше добавляемого

if Const_tab [Curr_term]. Left=0 then // если у этого элемента дерева нет левого указателя, то

begin

perevod (str_lex,str16);

Const_tab [Curr_term]. Left: =NumConst; // Создание левого элемента.

Const_tab [NumConst]. value: =str_lex;

Const_tab [NumConst]. nomer: =NumConst;

Const_tab [NumConst]. Val10: =str16;

Const_tab [NumConst]. Left: =0;

Const_tab [NumConst]. Right: =0;

Const_tab [NumConst]. Way: =Const_tab [NumConst]. Way+'L';

end else begin

Const_tab [NumConst]. Way: =Const_tab [NumConst]. Way+'L';

Add_Const (Const_tab [Curr_term]. Left,str_lex); // Если левый указатель существует, то вызываем уже функцию для левого указателя.

end;

if (CompareStr (Const_tab [Curr_term]. value,str_lex) <0) then // если у этого элемента дерева нет правого указателя, то

if Const_tab [Curr_term]. Right=0 then

begin

perevod (str_lex,str16);

Const_tab [Curr_term]. Right: =NumConst; // Создаем правый элемент.

Const_tab [NumConst]. value: =str_lex;

Const_tab [NumConst]. nomer: =NumConst;

Const_tab [NumConst]. Val10: =str16;

Const_tab [NumConst]. Left: =0;

Const_tab [NumConst]. Right: =0;

Const_tab [NumConst]. Way: =Const_tab [NumConst]. Way+'R';

end else begin

Const_tab [NumConst]. Way: =Const_tab [NumConst]. Way+'R';

Add_Const (Const_tab [Curr_term]. Right,str_lex); // Если правый указатель существует, то вызываем уже функцию для правого указателя.

end;

end;

procedure Add_Term (Curr_term: integer; str_lex: string); // Процедура добавления идентификаторов в дерево

begin

if NumTerm=1 then // Если корень дерева еще не создан, то создаем его.

begin

Term_tab [NumTerm]. lex: =str_lex;

Term_tab [NumTerm]. nomer: =NumTerm;

Term_tab [NumTerm]. Left: =0;

Term_tab [NumTerm]. Right: =0;

Term_tab [NumTerm]. Way: ='V';

Exit;

end;

if (CompareStr (Term_tab [Curr_term]. lex,str_lex) >0) then // Если значение текущего узла дерева больше добавляемого

if Term_tab [Curr_term]. Left=0 then // если у этого элемента дерева нет левого указателя, то

begin

Term_tab [Curr_term]. Left: =NumTerm; // Создание левого элемента.

Term_tab [NumTerm]. lex: =str_lex;

Term_tab [NumTerm]. nomer: =NumTerm;

Term_tab [NumTerm]. Left: =0;

Term_tab [NumTerm]. Right: =0;

Term_tab [NumTerm]. Way: =Term_tab [NumTerm]. Way+'L';

end else begin

Term_tab [NumTerm]. Way: =Term_tab [NumTerm]. Way+'L';

Add_Term (Term_tab [Curr_term]. Left,str_lex); // Если левый указатель существует, то вызываем уже функцию для левого указателя.

end;

if (CompareStr (Term_tab [Curr_term]. lex,str_lex) <0) then // если у этого элемента дерева нет правого указателя, то

if Term_tab [Curr_term]. Right=0 then

begin

Term_tab [Curr_term]. Right: =NumTerm; // Создаем правый элемент.

Term_tab [NumTerm]. lex: =str_lex;

Term_tab [NumTerm]. nomer: =NumTerm;

Term_tab [NumTerm]. Left: =0;

Term_tab [NumTerm]. Right: =0;

Term_tab [NumTerm]. Way: =Term_tab [NumTerm]. Way+'R';

end else begin

Term_tab [NumTerm]. Way: =Term_tab [NumTerm]. Way+'R';

Add_Term (Term_tab [Curr_term]. Right,str_lex); // Если правый указатель существует, то вызываем уже функцию для правого указателя.

end;

end;

procedure Add_Ident (str: string); // процедура добавления константы

var i: integer;

begin

kod: =Length (str) +2;

hesh: =0;

for i: =1 to Length (str) do hesh: =hesh+ord (str [i]); // вычисление хэш

hesh: =round (hesh/kod); // метод деления

while (Id_tab [hesh]. lex<>'') and (hesh<maxnum) do // пока ячейка занята

begin

Id_tab [hesh]. ssylka: =hesh+1;

hesh: =hesh+1;

end;

Id_tab [hesh]. nomer: =Numid; // запись данных

Id_tab [hesh]. lex: =str;

end;

function Search_Ident (str: string): integer; // функция поиска терминала

var i: integer;

label 1;

begin

kod: =Length (str) +2;

hesh: =0;

for i: =1 to Length (str) do hesh: =hesh+ord (str [i]); // вычисление хэш

hesh: =round (hesh/kod);

1: if str=Id_tab [hesh]. lex then Search_Ident: =Id_tab [hesh]. nomer else // поиск идентификатора

begin

if Id_tab [hesh]. ssylka=0 then Search_Ident: =0 else

begin

hesh: =Id_tab [hesh]. ssylka;

goto 1;

end;

end;

end;

procedure Search_Const (Curr_term: integer; str_lex: string); // Процедура поиска лексем в дереве идентификаторов

begin

Constyes: =0; // флаг: найдена ли лексема

if (NumConst<>0) and (str_lex<>'') then

begin

if (CompareStr (Const_tab [Curr_term]. value,str_lex) >0) and (Const_tab [Curr_term]. Left<>0) then

Search_Const (Const_tab [Curr_term]. Left,str_lex); // рекурсивный "спуск по дереву"

if (CompareStr (Const_tab [Curr_term]. value,str_lex) <0) and (Const_tab [Curr_term]. Right<>0) then

Search_Const (Const_tab [Curr_term]. Right,str_lex);

if Const_tab [Curr_term]. value=str_lex then Constyes: =Const_tab [Curr_term]. nomer;

end;

end;

procedure Search_Term (Curr_term: integer; str_lex: string); // Процедура поиска лексем в дереве идентификаторов

begin

Termyes: =0; // флаг: найдена ли лексема

if (NumTerm<>0) and (str_lex<>'') then

begin

if (CompareStr (Term_tab [Curr_term]. lex,str_lex) >0) and (Term_tab [Curr_term]. Left<>0) then

Search_Term (Term_tab [Curr_term]. Left,str_lex); // рекурсивный "спуск по дереву"

if (CompareStr (Term_tab [Curr_term]. lex,str_lex) <0) and (Term_tab [Curr_term]. Right<>0) then

Search_Term (Term_tab [Curr_term]. Right,str_lex);

if Term_tab [Curr_term]. lex=str_lex then Termyes: =Term_tab [Curr_term]. nomer;

end;

end;

 // функция распознавания 16-рич. констант

function FConst (str: string): integer;

var

sost: byte;

begin

sost: =0;

if str [1] ='$' then // распознаём символ '$'

begin

sost: =1;

delete (str,1,1);

end

else exit;

if (str [1] ='+') or (str [1] ='-') then // распознаём знак

begin

sost: =2;

delete (str,1,1)

end

else begin sost: =4; exit; end;

if str='' then exit;

while length (str) >0 do begin

if (str [1] in cifra) or (str [1] in bukva)

then sost: =2 // распознаём буквы или цифры

else begin sost: =4; exit;

end;

delete (str,1,1);

end;

sost: =3;

if sost=3 then FConst: =1 else FConst: =-1;

end;

function termin: integer; // распознаватель терминальных символов

begin

termin: =-1;

for k: =1 to 14 do if Words [k] =Lexem then termin: =3;

for k: =1 to 8 do if Razdel [k] =Lexem then termin: =1;

for k: =1 to 11 do if Operacii [k] =Lexem then termin: =2;

end;

function Rome (str: string): integer; // распознаватель римских констант

var sost: byte;

begin

sost: =0;

if (str [1] ='-') or (str [1] ='+')

then begin sost: =12; delete (str,1,1); end;

if str='' then exit;

if str [1] ='X'

then begin sost: =1; delete (str,1,1) end

else begin

if str [1] ='V' then begin sost: =2; delete (str,1,1) end

else begin

if str [1] ='I' then begin sost: =3; delete (str,1,1) end

else begin sost: =4; exit; end; end; end;

while Length (str) <>0 do begin

case sost of

1: if str [1] ='X'

then begin sost: =5; delete (str,1,1) end

else begin

if str [1] ='V' then begin sost: =2; delete (str,1,1) end

else begin

if str [1] ='I' then begin sost: =3; delete (str,1,1) end

else begin sost: =4; exit; end; end; end;

2: if str [1] ='I'

then begin sost: =7; delete (str,1,1) end

else begin sost: =4; exit; end;

3: if str [1] ='X'

then begin sost: =8; delete (str,1,1) end

else begin

if str [1] ='V' then begin sost: =9; delete (str,1,1) end

else begin

if str [1] ='I' then begin sost: =10; delete (str,1,1) end

else begin sost: =4; exit; end; end; end;

4: exit;

5: if str [1] ='X'

then begin sost: =6; delete (str,1,1) end

else begin

if str [1] ='V' then begin sost: =2; delete (str,1,1) end

else begin

if str [1] ='I' then begin sost: =3; delete (str,1,1) end

else begin sost: =4; exit; end; end; end;

6: if str [1] ='V'

then begin sost: =2; delete (str,1,1) end

else begin

if str [1] ='I' then begin sost: =3; delete (str,1,1) end

else begin sost: =4; exit; end; end;

7: if str [1] ='I'

then begin sost: =10; delete (str,1,1) end

else begin sost: =4; exit; end;

8: begin sost: =4; exit; end;

9: begin sost: =4; exit; end;

10: if str [1] ='I'

then begin sost: =11; delete (str,1,1) end

else begin sost: =4; exit; end;

11: begin sost: =4; exit; end;

end;

end;

if (sost=4) or (sost=12) then Rome: =-1 else Rome: =1;

end;

 // функция распознавания идентификаторов

function Ident (str: string): integer;

var

sost: byte;

begin

sost: =0; // реализация конечного автомата

if str [1] in ['a'. 'z'] then

begin

sost: =1;

delete (str,1,1)

end

else exit;

while length (str) >0 do begin

if str [1] in ['a'. 'z','0'. '9','_']

then begin sost: =1; delete (str,1,1); end

else begin sost: =3; exit; end;

end;

sost: =2;

if sost=2 then ident: =1 else ident: =-1;

end;

procedure WriteCode (nomer: integer; lex: string; typ: char; num: integer); // запись в таблицу кодов лексем

begin

Code_Tab [NumLex]. nomer: =nomer;

Code_Tab [NumLex]. Lex: =lex;

Code_Tab [NumLex]. typ: =typ;

Code_Tab [NumLex]. Num: =num;

Code_Tab [NumLex]. numstr: =string_counter+1;

end;

procedure WriteLex (typelex: char); // запись лексем в таблицы

begin

case typelex of

'C': begin // если лексема-16-рич. константа

NumLex: =NumLex+1;

Search_Const (1,Lexem);

if Constyes=0 then // если лексема не найдена

begin

NumConst: =NumConst+1;

Add_Const (1,Lexem);

Const_tab [NumConst]. Typ: ='16-рич. ';

Const_tab [Numconst]. Width: ='2 байта';

WriteCode (NumLex,Lexem,'C',NumConst);

end else // если лексема найдена

begin

WriteCode (NumLex,Lexem,'C',Constyes);

end;

end;

'M': begin // если лексема-римская константа

NumLex: =NumLex+1;

Search_Const (1,Lexem);

if Constyes=0 then // если лексема не найдена

begin

NumConst: =NumConst+1;

Add_Const (1,Lexem);

Const_tab [NumConst]. Typ: ='римск. ';

Const_tab [Numconst]. Width: ='2 байта';

WriteCode (NumLex,Lexem,'C',NumConst);

end else // если лексема найдена

begin

WriteCode (NumLex,Lexem,'C',Constyes);

end;

end;

'I': begin // если лексема-идентификатор

NumLex: =NumLex+1;

y: =Search_Ident ({1,}Lexem);

if y=0 then // если лексема не найдена

begin

NumId: =NumId+1;

WriteCode (NumLex,Lexem,'I',NumId);

Add_Ident (Lexem);

end else WriteCode (NumLex,Lexem,'I',y); // если лексема найдена

end;

'K': begin // если лексема-служебное слово

NumLex: =NumLex+1;

Search_Term (1,Lexem);

if Termyes=0 then // если лексема не найдена

begin

NumTerm: =NumTerm+1;

Add_Term (1,Lexem);

Term_tab [Numterm]. razd: =0;

Term_tab [Numterm]. oper: =0;

Term_tab [Numterm]. slug: =1;

WriteCode (NumLex,Lexem,'T',NumTerm);

end else WriteCode (NumLex,Lexem,'T',Termyes); // если лексема найдена

end;

'R': begin // если лексема-разделитель

NumLex: =NumLex+1;

Search_Term (1,Lexem);

if Termyes=0 then // если лексема не найдена

begin

NumTerm: =NumTerm+1;

Add_Term (1,Lexem);

Term_tab [NumTerm]. razd: =1;

Term_tab [NumTerm]. oper: =0;

Term_tab [NumTerm]. slug: =0;

WriteCode (NumLex,Lexem,'T',NumTerm)

end else WriteCode (NumLex,Lexem,'T',Termyes) // если лексема найдена

end;

'O': begin // если лексема-знак операция

NumLex: =NumLex+1;

Search_Term (1,Lexem);

if Termyes=0 then // если лексема не найдена

begin

NumTerm: =NumTerm+1;

Add_Term (1,Lexem);

Term_tab [Numterm]. razd: =0;

Term_tab [Numterm]. oper: =1;

Term_tab [Numterm]. slug: =0;

WriteCode (NumLex,Lexem,'T',NumTerm)

end else WriteCode (NumLex,Lexem,'T',Termyes) // есди лексема найдена

end;

end;

end;

procedure TForm1. N5Click (Sender: TObject);

var i,pip: integer;

begin

for k: =1 to numid do // обнуление таблицы идентификаторов

begin

id_tab [k]. lex: ='0';

id_tab [k]. nomer: =0;

id_tab [i]. ssylka: =0;

end;

for i: =1 to numlex do // обнуление выходной таблицы

begin

Code_Tab [i]. Lex: ='';

Code_Tab [i]. typ: =#0;

Code_Tab [i]. Num: =0;

Code_Tab [i]. nomer: =0;

end;

for i: =0 to numconst do // обнуление таблицы констант

begin

Const_tab [i]. value: ='';

Const_tab [i]. Typ: ='';

Const_tab [i]. Width: ='';

Const_tab [i]. Val10: ='';

Const_tab [k]. Left: =0;

Const_tab [k]. Right: =0;

Const_tab [k]. Way: ='';

end;

for i: =1 to numterm do

begin

Term_tab [i]. nomer: =0;

Term_tab [i]. Lex: ='';

Term_tab [i]. razd: =0;

Term_tab [i]. oper: =0;

Term_tab [i]. slug: =0;

Term_tab [k]. Left: =0;

Term_tab [k]. Right: =0;

Term_tab [k]. Way: ='';

end;

 // инициализация

NumLex: =0; NumId: =0; NumConst: =0; NumErr: =0; NumTerm: =0;

Error: =false; Found: =false;

i: =0; j: =0; k: =0; y: =0;

String_counter: =0;

Memo2. Lines. Clear;

N6. Enabled: =true;

while string_counter<=Memo1. Lines. Count do // цикл по строкам файла

begin

n: =1;

m: =1;

s: =Form1. Memo1. Lines. Strings [string_counter] ;

for l: =1 to 2 do

while m<=Length (s) do // цикл по строке

begin

n: =m;

m: =Select_Lex (s,Lexem,n);

if (Lexem<>'') and not (Lexem [1] in [#0. #32]) then

begin

if FConst (Lexem) =1 then WriteLex ('C') else // вызов процедуры записи

if Termin=3 then WriteLex ('K') else

if Rome (Lexem) =1 then WriteLex ('M') else

if Ident (Lexem) =1 then WriteLex ('I') else

if Termin=1 then WriteLex ('R') else

if Termin=2 then WriteLex ('O')

else Err_lex;

end;

end;

string_counter: =string_counter+1;

end;

vyvod; // вызов процедуры вывода

end;

procedure TForm1. vyvod; // Вывод результатов

var

f: textfile; // выходной файл

begin

StringGrid1. RowCount: =NumConst+1; // определение числа строк в таблицах

StringGrid2. RowCount: =NumId+1;

StringGrid3. RowCount: =NumTerm+1;

StringGrid4. RowCount: =NumLex+1;

StringGrid1. Cells [0,0]: ='№'; StringGrid1. Cells [1,0]: ='Константа'; StringGrid1. Cells [2,0]: ='Тип';

StringGrid1. Cells [3,0]: ='Ширина'; StringGrid1. Cells [4,0]: ='10-тичный формат';

StringGrid1. Cells [5,0]: ='L'; StringGrid1. Cells [6,0]: ='R';

StringGrid1. Cells [7,0]: ='Путь'; // определение заголовков

for k: =1 to NumConst do // вывод таблицы констант

begin

StringGrid1. cells [0,k]: = Inttostr (Const_Tab [k]. nomer);

StringGrid1. cells [1,k]: = Const_Tab [k]. value;

StringGrid1. cells [2,k]: = Const_Tab [k]. Typ;

StringGrid1. cells [3,k]: = Const_Tab [k]. Width;

StringGrid1. cells [4,k]: = Const_Tab [k]. Val10;

StringGrid1. cells [5,k]: = Inttostr (Const_Tab [k]. Left);

StringGrid1. cells [6,k]: = Inttostr (Const_Tab [k]. Right);

StringGrid1. cells [7,k]: = Const_Tab [k]. Way;

end;

AssignFile (F,'Const. txt'); // запись в файл таблицы констант

Rewrite (F);

for k: =1 to NumConst do

Writeln (F, StringGrid1. cells [0,k] +' '+StringGrid1. cells [1,k] +' '+StringGrid1. cells [2,k] +' '+StringGrid1. cells [3,k]);

CloseFile (F);

StringGrid2. Cells [0,0]: ='№'; StringGrid2. Cells [1,0]: ='Имя'; // определение заголовков

k: =0;

k1: =0;

while k<numid do // вывод таблицы идентификаторов

begin

if Id_tab [k1]. lex<>'' then

begin

StringGrid2. cells [0,k+1]: =IntToStr (Id_tab [k1]. nomer);

StringGrid2. cells [1,k+1]: =Id_Tab [k1]. lex;

k: =k+1;

end;

k1: =k1+1;

end;

AssignFile (F,'Ident. txt'); // запись в файл таблицы констант

Rewrite (F);

for k: =1 to NumId do Writeln (F, StringGrid2. cells [0,k] +' '+StringGrid2. cells [1,k]);

CloseFile (F);

StringGrid3. Cells [0,0]: ='№'; StringGrid3. Cells [1,0]: ='Символ'; StringGrid3. Cells [2,0]: ='Раздел. ';

StringGrid3. Cells [3,0]: ='Зн. операции'; StringGrid3. Cells [4,0]: ='Ключ. слово';

StringGrid3. Cells [5,0]: ='L'; StringGrid3. Cells [6,0]: ='R';

StringGrid3. Cells [7,0]: ='Путь'; // определение заголовков

for k: =1 to NumTerm do // вывод таблицы терминальных символов

begin

StringGrid3. cells [0,k]: = Inttostr (Term_Tab [k]. nomer);

StringGrid3. cells [1,k]: = Term_Tab [k]. lex;

StringGrid3. cells [2,k]: = Inttostr (Term_Tab [k]. razd);

StringGrid3. cells [3,k]: = Inttostr (Term_Tab [k]. oper);

StringGrid3. cells [4,k]: = Inttostr (Term_Tab [k]. slug);

StringGrid3. cells [5,k]: = Inttostr (Term_Tab [k]. Left);

StringGrid3. cells [6,k]: = Inttostr (Term_Tab [k]. Right);

StringGrid3. cells [7,k]: = Term_Tab [k]. Way;

end;

AssignFile (F,'Term. txt'); // запись в файл таблицы терминальных символов

Rewrite (F);

for k: =1 to NumTerm do Writeln (F, StringGrid3. cells [0,k] +' '+StringGrid3. cells [1,k] +' '+StringGrid3. cells [2,k] +' '+StringGrid3. cells [3,k] +' '+StringGrid3. cells [4,k]);

CloseFile (F);

StringGrid4. Cells [0,0]: ='№'; StringGrid4. Cells [1,0]: ='Тип'; StringGrid4. Cells [2,0]: ='№ в таблице'; StringGrid4. Cells [3,0]: ='Лексема'; // определение заголовков

for k: =1 to NumLex do // вывод таблицы кодов лексем

begin

StringGrid4. cells [0,k]: = Inttostr (Code_Tab [k]. nomer);

StringGrid4. cells [1,k]: = Code_Tab [k]. typ;

StringGrid4. cells [2,k]: = Inttostr (Code_Tab [k]. num);

StringGrid4. cells [3,k]: = Code_Tab [k]. lex;

end;

AssignFile (F,'Cod. txt'); // запись в файл выходной таблицы

Rewrite (F);

for k: =1 to NumLex do Writeln (F, StringGrid4. cells [0,k] +' '+StringGrid4. cells [1,k] +' '+StringGrid4. cells [2,k] +' '+StringGrid4. cells [3,k]);

CloseFile (F);

end;

procedure TForm1. Err_Lex; // процедура вывода ошибки в лексеме

begin

Memo2. Lines. Add ('В строке №'+Inttostr (String_counter+1) +' ошибочная лексема '+Lexem);

NumErr: =NumErr+1;

NumLex: =NumLex+1;

Code_Tab [NumLex]. nomer: =NumLex;

Code_Tab [NumLex]. Lex: =Lexem;

Code_Tab [NumLex]. typ: ='E';

Code_Tab [NumLex]. Num: =NumErr;

Exit;

end;

2.4.4 Тестирование лексического анализатора

Текст программы не содержит ошибок:

program var15;

var n: integer;

begin

n: =$+00;

repeat

n: =n- (-XII);

until n<$-0A;

end.

Результат - таблицы констант, идентификаторов, терминальных символов и кодов лексем (см. рис.5, б) и отсутствие сообщениий об ошибках (см. рис.5, а).

рис.5, а.

рис.5, б

рис.5. Результаты тестирования программы, не содержащей ошибок.

Текст программы содержит ошибочные лексемы var% и $+MN.

program var15;

var% n: integer;

begin

n: =$+MN;

repeat

n: =n- (-XII);

until n<$-0A;

end.

Результат - в таблицу кодов лексем эти лексемы занесены с типом Е, что означает, что они ошибочны (см. Рис.6, а, б), программа выдала также сообщения об ошибках (Рис.6, в).

Рис.6, а

Рис.6, б

Рис.6, в

Рис.6. Результаты тестирования программы, содержащей ошибочные лексемы.

3. Разработка синтаксического анализатора


3.1 Уточнение грамматики языка применительно к варианту задания


Синтаксический анализ производится методом рекурсивного спуска.

Анализатор, основанный на этом методе, состоит из отдельных процедур для распознавания нетерминальных символов, определённых в грамматике. Каждая такая процедура ищет во входном потоке лексем подстроку, которой может быть поставлен в соответствие нетерминальный символ, распознаваемый с помощью данной процедуры. В процессе своей работы процедура может обратиться к другим подобным процедурам для поиска других нетерминальных символов. Если эта процедура интерпретирует входную подстроку как соответствующий нетерминальный символ, то она заканчивает свою работу, передаёт в вызвавшую её программу или процедуру признак успешного завершения и устанавливает указатель текущей лексемы на первую лексему после распознанной подстроки. Если же процедура не может найти подстроку, которая могла бы быть интерпретирована как требуемый нетерминальный символ, она заканчивается с признаком неудачного завершения и выдает соответствующее диагностическое сообщение.

Правила синтаксического анализа относятся к грамматике вида LL (1), т.е. используется левосторонний просмотр и левосторонний вывод, при этом необходимо просматривать не более 1 символа.

Множество правил грамматики реализуемого языка, записанных в форме Бэкуса-Наура, имеет следующий вид:

1. <программа>→program<имя программы>;

var<список описаний>

begin<список операторов>end.

2. <имя программы>→ИМЯ

3. <список описаний>→<описание>; {<описание>; }

4. <описание>→<список имён>: <тип>

5. <тип>→real

6. <список имён>→ИМЯ{, ИМЯ}

7. <список операторов>→<оператор>; {<оператор>; }

8. <оператор>→<присваивание> | <цикл>

9. <присваивание>→ИМЯ: =<выражение>

10. <выражение>→<простое выражение>{ (=, <, <>, >, >=, <=) <простое выражение>}

11. <простое выражение>→<терм>{+<терм> | - <терм>}

12. <терм>→<множитель>{*<множитель> |/<множитель>}

13. <множитель>→ИМЯ | КОНСТАНТА | <простое выражение>

14. <цикл>→repeat<тело цикла>until<выражение>

15. <тело цикла>→<оператор>|<составной оператор>

16. <составной оператор>→begin<список операторов>end

В грамматике, помимо общепринятых, используются следующие терминальные символы: ИМЯ - идентификатор; КОНСТАНТА - 16-ричная или римская константа.

 

3.2 Разработка алгоритма синтаксического анализа


Синтаксический анализ производится методом рекурсивного спуска. Синтаксический анализатор представляет собой набор функций, каждая из которых должна распознавать отдельный нетерминальный символ грамматики. При этом разработка проходит от общего к частному. Первой строится функция распознавания начального символа грамматики, потом функции, непосредственно вызываемые из нее и так далее.

Далее рассматриваются алгоритмы отдельных функций распознавания. Общий метод их построения заключается в следующем: изначально значение функции устанавливается в FALSE. Далее происходит поиск символов входящих в распознаваемый нетерминал. Если правило содержит другой нетерминальный символ, то происходит вызов соответствующей функции. Если же необходимо проверить наличие терминального символа, то функция сама выполняет запрос на чтение следующей лексемы и сравнивает ее с той, которая должна присутствовать в конструкции. Чтение следующей лексемы состоит в выборе следующего элемента из таблицы кодов лексем, т.е. в увеличении номера текущего элемента на 1 (в блок-схеме будет обозначаться как ЧтСл). Если происходит ошибка, то выполнение функции прекращается с вызовом процедуры вывода сообщения об ошибке (в блок-схеме будет обозначаться как Ошибка). Причем при выполнении анализа такое сообщение выдается один раз, иначе следующие сообщения могут иметь недостоверную информацию. Сообщение содержит номер строки и описание обнаруженной ошибки. Если ошибок не обнаружено, то в конце работы функции ее результат становится TRUE.

Lex_Progr: <программа>

Lex_Progr_Name: <имя программы>

Lex_Descr_List: <список описаний>

Lex_Descr: <описание>

Lex_Name_List: <список имён>

Lex_Type: <тип>

Lex_Oper_List: <список операторов>

Lex_Oper: <оператор>

Lex_Assign: <присваивание>

Lex_Exp: <выражение>

Lex_Simple_Exp: <простое выражение>

Lex_Term: <терм>

Lex_Mnozh <множитель>

Lex_Repeat_Intil: <цикл>

Lex_Body <тело цикла>

3.3 Алгоритмы распознающих функций


Ниже представлены упрощённые блок-схемы функций распознавания. Простые функции, такие, как распознавание оператора или имени программы, не рассматриваем в силу их очевидности.

 

3.3.1 Функция Lex_Progr




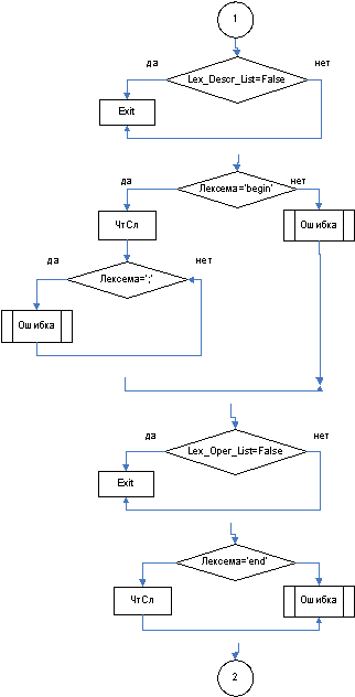
3.3.2 Функция Lex_Descr_List




3.3.3 Функция Lex_Descr



3.3.4 Функция Lex_Name_List




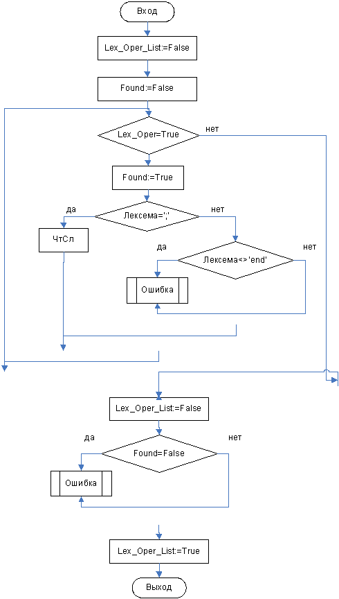
3.3.5 Функция Lex_Oper_List



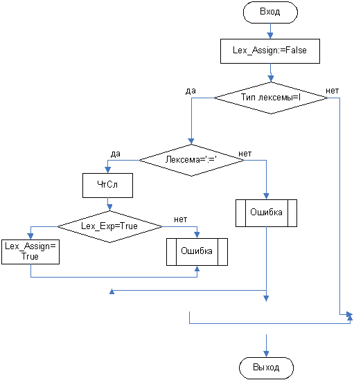
3.3.6 Функция Lex_Assign



3.3.7 Функция Lex_Exp



3.3.8 Функция Lex_Simple_Exp



3.3.9 Функция Lex_Term



3.3.10 Функция Lex_mnozh



3.3.11 Функция Lex_Repeat_Until


3.3.12 Функция Lex_Body


 

3.4 Тексты распознающих процедур


function TForm1. Lex_Progr: boolean; // 1. программа

begin

Lex_Progr: =False;

if Code_Tab [i]. Lex='program' then i: =i+1 else // конец блока для PROGRAM

begin

Err_Synt ('Отсутствует служебное слово program, либо в нем ошибка ', i);

Exit;

end;

if Lex_Prog_Name=false then Exit; // начало блока для имени программы

if Code_Tab [i]. Lex='; ' then i: =i+1 else // начало блока для точки с запятой

begin

Err_Synt ('Отсутствует точка с запятой после имени программы', i-1);

Exit;

end;

if Code_Tab [i]. Lex='var' then i: =i+1 else // начало блока для VAR

begin

Err_Synt ('Отсутствует служебное слово var после заголовка программы', i);

Exit;

end;

if Lex_descr_list=false then Exit;

if Code_Tab [i]. Lex='begin' then // начало блока для BEGIN

begin

i: =i+1;

if Code_Tab [i]. Lex='; ' then

begin

Err_Synt ('После begin недопустим символ "; "', i);

Exit;

end;

end else

begin

Err_Synt ('Отсутствует служебное слово begin после описаний переменных', i);

Exit;

end;

if Lex_oper_list=false then Exit;

if Code_Tab [i]. Lex='end' then i: =i+1 else // начало блока для END

begin

Err_Synt ('Отсутствует служебное слово end в конце программы', i);

Exit;

end; // начало блока для точки

if Code_Tab [i]. Lex='. ' then Lex_Progr: =true else if Code_Tab [i]. Lex<>'' then Err_Synt ('После служебного слова END вместо точки находится "'+Code_Tab [i]. Lex+'"', i) else Err_Synt ('Ожидается точка после служебного слова END в конце программы', i-1);

end;

procedure TForm1. Err_Synt (text: string; l: integer);

begin

if Error<>true then

begin

Memo1. Lines [Code_tab [l]. numstr-1]: =Memo1. Lines [Code_tab [l]. numstr-1] +'!!! '+'Error!!! ';

Memo2. Lines [0]: =Memo2. Lines [0] +text;

end;

Error: =true;

Exit;

end;

function TForm1. Lex_Prog_Name: boolean; // 2. имя программы

begin

Lex_Prog_Name: =False;

if (Code_Tab [i]. typ<>'I') and (Code_Tab [i]. Lex<>'; ') then

begin

Err_Synt ('Неправильное имя программы. Ошибочное выражение: "'+Code_Tab [i]. Lex+'"', i);

Exit;

end;

if Code_Tab [i]. Lex='; ' then

begin

Err_Synt ('Отсутствует имя программы после program', i);

Exit;

end;

Lex_Prog_Name: =true;

i: =i+1;

end;

function TForm1. Lex_Descr_List: boolean; // 3. список описаний

begin

Lex_descr_list: =false;

Found: =false;

while Code_Tab [i]. typ='I' do

begin

Found: =true;

if Lex_descr=false then Exit;

if Code_Tab [i]. Lex='; ' then i: =i+1 else

begin

Err_Synt ('Отсутствует точка с запятой после описания переменных ', i-1);

Exit;

end;

end;;

if Found=false then

begin

Err_Synt ('Отсутствует идентификатор в описании ', i);

Exit;

end;

Lex_descr_list: =true;

end;

function TForm1. Lex_descr: boolean; // 4. описание

begin

Lex_descr: =false;

if Lex_name_list=true then

begin

if Code_Tab [i]. Lex=': ' then i: =i+1 else

begin

Err_Synt ('Отсутствует двоеточие перед типом '+Code_Tab [i]. Lex, i);

Exit;

end;

if Lex_type=true then Lex_descr: =true else Exit;

end else Exit;

end;

function TForm1. Lex_name_list: boolean; // 6. список имен

begin

Lex_name_list: =false;

if Code_Tab [i]. typ='I' then i: =i+1 else

begin

Err_Synt ('Ожидается идентификатор ', i);

Exit;

end;

while Code_Tab [i]. Lex=',' do

begin

i: =i+1;

if Code_Tab [i]. Typ='I' then i: =i+1 else

begin

Err_Synt ('Ожидается идентификатор ', i);

Exit;

end;

end;

Lex_name_list: =true;

function TForm1. Lex_type: boolean; // 5. тип

begin

Lex_type: =false;

if (Code_Tab [i]. Lex='integer') then

begin

Lex_type: =true;

i: =i+1

end else

begin

Err_Synt ('Отсутствует тип: integer ', i-1);

Exit;

end;

end;

function TForm1. Lex_oper_list: boolean; // 7. список операторов

begin

Lex_oper_list: =false;

found: =false;

while Lex_oper=true do

begin

Found: =true;

if (Code_Tab [i]. Lex='; ') then i: =i+1 else // Если след. лексема после проверенного оператора ни "; ", ни END, а любая другая лексема.

if Code_Tab [i]. Lex<>'end' then

begin

Err_Synt ('Ожидается точка с запятой после оператора (после лексемы '+Code_Tab [i-1]. Lex+') ', i-1);

Exit;

end;

end;

Lex_oper_list: =true;

if found=false then

begin

Err_Synt ('Не найдены операторы между begin и end', i-1);

Lex_oper_list: =false;

end;

end;

function TForm1. Lex_oper: boolean;

begin

Lex_oper: =false;

if (Lex_assign) or (Lex_repeat_until) then Lex_oper: =true else

if (Code_Tab [i]. Lex='; ') and (Code_Tab [i-1]. Lex='; ') then Lex_oper: =true else // проверяется на пустой оператор, т.е. на ";; ".

if (Code_Tab [i]. Typ='T') and (Code_Tab [i]. Lex<>'end') and (Code_Tab [i]. Lex<>'begin') and (Code_Tab [i]. Lex<>'; ') then Err_Synt ('Лишняя лексема в программе: '+Code_Tab [i]. Lex, i);

end;

function TForm1. Lex_assign: boolean; // 10. присваивание

begin

Lex_assign: =false;

if Code_Tab [i]. typ='I' then

begin

if Code_Tab [i+1]. Lex=': =' then

begin

i: =i+2;

if Lex_Exp=true then Lex_assign: =true else Memo2. Lines [1]: =Memo2. Lines [1] +' в операторе присваивания'

end else Err_Synt ('Ошибка в операторе присваивания', i)

end;

end;

function TForm1. Lex_Exp: boolean; // 11. выражение

begin

Lex_Exp: =false;

if Lex_simple_Exp=true then

begin

if ( (Code_Tab [i]. Lex='=') or (Code_Tab [i]. Lex='>') or (Code_Tab [i]. Lex='<')

or (Code_Tab [i]. Lex='<>') or (Code_Tab [i]. Lex='<=') or (Code_Tab [i]. Lex='>=')) then

begin

i: =i+1;

if Lex_simple_Exp=true then

begin

Lex_Exp: =true;

Exit;

end;

end;

end else Exit;

Lex_Exp: =true; // если простое выражение без знака

end;

function TForm1. Lex_simple_Exp: boolean; // 12. простое выражение

begin

Found: =false;

Lex_simple_Exp: =false;

if Lex_term=true then

begin

Found: =true;

while ( (Code_Tab [i]. Lex='+') or (Code_Tab [i]. Lex='-')) and (Found=true) do

begin

i: =i+1;

if Lex_term=false then

begin

Found: =False;

Err_Synt ('Ожидается константа, идентификатор или выражение ', i-1);

Exit;

end;

end;

if (Code_Tab [i]. Lex=') ') and (Scobka=false) then Err_Synt ('Ожидается открывающаяся скобка в множителе', i)

end;

if Found=true then Lex_simple_Exp: =true;

end;

function TForm1. Lex_Term: boolean; // 13. терм

begin

Found: =false;

Lex_Term: =false;

if Lex_mnozh=true then

begin

Found: =true;

while ( (Code_Tab [i]. Lex='*') or (Code_Tab [i]. Lex='/')) and (Found=true) do

begin

i: =i+1;

if Lex_mnozh=false then Found: =False;

end;

end;

if Found=true then Lex_Term: =true;

end;

function TForm1. Lex_mnozh: boolean; // 14. множитель

begin

Lex_mnozh: =false;

if (Code_Tab [i]. typ='I') or (Code_Tab [i]. typ='C') then

begin

i: =i+1;

Lex_mnozh: =true;

Exit;

end else

begin

if Code_Tab [i]. Lex=' (' then

begin

Scobka: =true;

i: =i+1;

if Lex_simple_Exp=true then

begin

if Code_Tab [i]. Lex=') ' then

begin

i: =i+1;

Lex_mnozh: =true;

end else

begin

Err_Synt ('Ожидается закрывающая скобка в множителе ', i);

Exit;

end;

end;

end else Err_Synt ('Ожидается константа, идентификатор или выражение ', i);

end;

end;

function TForm1. Lex_repeat_until: boolean; // 18. цикл

begin

Lex_repeat_until: =false;

if Code_Tab [i]. Lex='repeat' then

begin

i: =i+1;

if Lex_body=true then begin i: =i+1;

if Code_Tab [i]. Lex='until' then begin i: =i+1;

if Lex_Exp=true then Lex_repeat_until: =true

else Err_Synt ('Ожидается выражение после служебного слова until', i); end

else Err_Synt ('Ожидается служебное слово until', i);

end;

end;

end;

function TForm1. Lex_body: boolean; // 20. тело цикла

begin

Lex_body: =false;

if Lex_oper=true then

begin

Lex_body: =true;

Exit;

end else

if Code_Tab [i]. Lex='begin' then

begin

i: =i+1;

if Code_Tab [i]. Lex='; ' then

begin

Err_Synt ('После begin недопустим символ "; "', i);

Exit;

end;

if Lex_oper_list=true then

begin

if (Code_Tab [i]. Lex='end') and (Code_Tab [i+1]. Lex<>'; ') then

begin

Lex_body: =true;

i: =i+1;

end else Err_Synt ('Ожидается служебное слово end после блока операторов', i-1)

end;

end;

end;

 

3.5 Результаты тестирования синтаксического анализатора


Тестирование выполнялось на результатах работы лексического анализатора, который работает безошибочно и был протестирован ранее.

Ошибка

Текст программы

Сообщения от анализатора

В объявлении имени программы

prom var15;

. .

program var15.

Отсутствует служебное слово program или в нём ошибка

В описании

program var15;

n: integer;

. .

program var15;

var,: integer;

. .

program var15;

var n: integer

. .

var n integer

. .

var n:;

Отсутствует служебное слово var после заголовка программы

Отсутствует идентификатор в описании

Отсутствует точка с запятой после описания переменных

Отсутствует двоеточие перед типом integer

Отсутствует тип: integer

В begin. end

. .

begin;

. .

var n: integer;

n: =$+00;

. .

until n<$-0A;

После begin недопустим символ точка с запятой

Отсутствует служебное слово begin после описания переменных

Отсутствует служебное слово end в конце программы

В имени программы

...

program $+00;.

Неправильное имя программы. Ошибочное выражение: "$+00"

В операторе присваивания

...

n: $+00;

Ошибка в операторе присваивания

В выражении

...

n: =- (-XII);...

Ожидается константа, идентификатор или выражение

В цикле

...

repeat

n: =n- (-XII);

n<$-0A;.

Ожидается служебное слово until

В теле программы

...

n: =$+00.

Ожидается точка с запятой после оператора (после лексемы $+00)



4. Реализация двухфазного компилятора


Главные процедуры лексического и синтаксического анализатора - это, соответственно, процедуры N5. Click и N6. Click главной формы программы. Из них вызываются остальные подпрограммы

Текст исходная программа выводится в окне в верхнем левом углу формы. Если лексический анализ текста (процедура N5. Click) выявил ошибку, то она выводится в окне сообщёний об ошибках и анализ прекращается.

Лексический анализатор выводит на форму таблицы констант, идентификаторов, терминальных символов и кодов лексем в областях вывода StringGrid1, StringGrid2, StringGrid3 и StringGrid4.

После синтаксического анализа переданной таблицы кодов лексем в окне сообщений об ошибках синтаксического анализатора содержатся сообщения от распознающих процедур разного уровня, затронутых обнаруженной ошибкой (см п.3.5)

Ошибок при двухфазном анализе не выявлено, если область вывода лексических ошибок пуста, а для синтаксических - содержит текст "Ошибок нет".

Внешний вид окна программы представлен на рис.7.

 

4.1 Результаты тестирования двухфазного компилятора


полностью совпадают с результатами тестирования лексического и синтаксического анализатора по отдельности, проведённых последовательно.

рис.7. Внешний вид окна программы

 

5. Описание программы

 

5.1 Общие сведения и функциональное назначение


Данная программа предназначена для лексического и синтаксического анализа небольших (<1 МБ) текстов программ на заданном диалекте подмножества языка Pascal.

Программа написана на языке Delphi в среде разработки Delphi 7.

Программа предназначена для выявления наличия лексических и синтаксических ошибок во входном тексте программы.

 

5.2 Вызов и загрузка


Запуск файла lex1. exe.

 

5.3 Входные данные


Исходный текст программы, в текстовом файле ‘вар14. txt’ или в окне ввода исходного текста.

 

5.4 Выходные данные


Сообщение о первой ошибке, выявленной лексическим анализом, а при отсутствии таковых - вывод сообщения о первой обнаруженной синтаксической ошибке, при отсутствии ошибок - соответствующее сообщение.

5.5 Описание логической структуры программы

 

5.5.1 Файлы программы

Программа состоит из файлов:

lex. pas

lex. ~dfm

 

5.5.2 Общее описание работы программы

Основная форма программы - в файле lex. dfm, алгоритм её работы - в файле lex. pas.

Список строк исходного текста программы загружается в массив SA. Процедура Select_lex выполняет выделение из текста лексем. Таблицы констант, идентификаторов, терминальных символов и кодов лексем хранятся в массивах Const_Tab, Id_Tab, Term_Tab и Code_Tab. Распознавателем идентификаторов является функция Ident, 16-ричных констант - функция Const16, логических констант - функция Boolconst. Распознавателем терминальных символов является функция Termin. Если лексема ошибочна, то она заносится в таблицу кодов лексем с типом E и выдаётся сообщение об ошибке (процедура Err_Lex). Все эти подпрограммы вызываются из процедуры TForm1. N5Click (соответствует выбору пункта меню Анализатор/Лексический). В ней производится обнуление всех таблиц, вызов функции выделения лексем и процедуры WriteLex (см. ниже).

Поиск идентификаторов, констант и терминальных символов в соответствующих таблицах производится, соответственно, процедурами Search_Ident, Search_Const и Search_Term, добавление в таблицы - процедурами Add_Ident, Add_Const и Add_Term. Все они вызываются из процедуры WriteLex, входными данными для которой являются результаты распознавания лексем, т.е. типы лексем. Запись в таблицу кодов лексем производится процедурой WriteCode, вывод всех таблиц на экран - процедурой vyvod.

Перевод констант в десятичную форму производится процедурой perevod.

Процедура начала синтаксического анализа N6. Click вызывает процедуру Syntax, которая, в свою очередь, вызывает процедуру Lex_Progr, далее реализуется синтаксический анализ методом рекурсивного спуска.

Текст программы лексическому анализатору передаётся из поля в верхнем правом углу главного окна при выборе пункта меню "Анализ/Лексический", куда он может вводиться с клавиатуры или загружать из файла "вар14. txt" (он обязательно должен находиться в каталоге с программой) при создании формы. Полученный список лексем передаётся синтаксическому анализатору, а найденные им ошибки - в поле в левой части окна.

Список использованной литературы


1.   Методические указания к лабораторным работам по СПО.

2.   Курс лекций по дисциплине "Системное программное обеспечение".

3.   А.Ю. Молчанов "Системное программное обеспечение", СПб, 2003 г.

4.   Ю.Г. Карпов "Теория автоматов", СПб, 2002 г.

5.   В.В. Фаронов“Delphi. Программирование на языке высокого уровня", Питер, 2004 г.

Приложение: текст программы

unit lex;

interface

uses

Windows, Messages, SysUtils, Variants, Classes, Graphics, Controls, Forms,

Dialogs, Menus, StdCtrls, Grids;

type

TVyh = Record // Тип таблицы кодов лексем

nomer: integer; // Номер

typ: char; // Тип лексемы

Num: integer; // Номер в таблице

Lex: String; // Лексема

numstr: integer; // Номер строки

end;

TTerm = Record // тип таблицы терминальных символов

nomer: integer; // номер

Lex: String; // Лексема

razd: byte; // Разделитель?

oper: byte; // Операция?

slug: byte; // Служебное слово?

Left: integer; // Левая ветвь дерева.

Right: integer; // Правая ветвь дерева.

Way: string;

end;

TConst = Record // Тип таблицы констант

nomer: integer; // Номер

value: string; // Само значение лексемы.

Typ: string; // Тип лексемы

Width: string; // Ширина константы

Val10: string; // 10-тичный формат константы

Left: integer; // Левая ветвь дерева.

Right: integer; // Правая ветвь дерева.

Way: string;

end;

TId = Record // таблица имен

nomer: integer; // номер лексемы

lex: string; // лексема

ssylka: integer; // ссылка на элемент цепочки

end;

TForm1 = class (TForm)

MainMenu1: TMainMenu;

N1: TMenuItem;

N2: TMenuItem;

N3: TMenuItem;

N4: TMenuItem;

N5: TMenuItem;

OpenDialog1: TOpenDialog;

Memo1: TMemo;

N6: TMenuItem;

StringGrid1: TStringGrid;

Label1: TLabel;

StringGrid2: TStringGrid;

Label2: TLabel;

StringGrid3: TStringGrid;

StringGrid4: TStringGrid;

Label3: TLabel;

Label4: TLabel;

Memo2: TMemo;

Label5: TLabel;

procedure N2Click (Sender: TObject);

procedure N3Click (Sender: TObject);

procedure N5Click (Sender: TObject);

procedure vyvod;

procedure Err_lex;

procedure Syntax;

procedure Err_Synt (text: string; l: integer);

function Lex_Progr: boolean;

function Lex_Prog_Name: boolean;

function Lex_Descr_List: boolean;

function Lex_descr: boolean;

function Lex_name_list: boolean;

function Lex_type: boolean;

function Lex_oper_list: boolean;

function Lex_oper: boolean;

function Lex_assign: boolean;

function Lex_Exp: boolean;

function Lex_Term: boolean;

function Lex_mnozh: boolean;

function Lex_repeat_until: boolean;

function Lex_body: boolean;

procedure N6Click (Sender: TObject);

private

{ Private declarations }

public

{ Public declarations }

end;

const

MaxNum=100; // Максимальное число лексем

deleter= ['. ',' ',' (',') ','{','}',',','<','>','"','? ','! ','*','&','^', {'%','$',}' [','] ',': ','; ','=','-','+','/', '\',''''] ; // разделители лексем

words: Array [1. .14] of string [7] = ('program','var','then','begin','for','to','do','if','end','repeat','until','real','integer', 'else'); // Массив служебных слов

razdel: Array [1. .8] of char= (',','; ',': ',' (',') ',' [','] ','. '); // массив разделителей

operacii: Array [1. .11] of string [2] = (': =','>=','<=','<>','+','-','/','*','>','<','='); // массив операций

cifra= ['0'. '9'] ; // цифры

bukva= ['A'. 'F'] ;

var

Form1: TForm1;

FA,FName: textfile;

SA: array [1. .100] of string;

SS,Name,Constant: string;

Dlina: integer;

Code_tab: array [1. MaxNum] of TVyh; // Таблица кодов лексем

Term_tab: array [1. MaxNum] of TTerm; // Таблица терминальныз символов

Id_tab: array [1. MaxNum] of TId; // Таблица идентификаторов

Const_tab: array [1. .50] of TConst; // Таблица констант

Lexem,s,typel: string; // Лексема, Текст ошибки, Строка программы, Тип лексемы

i,j,k,l,m,n,y,String_counter,constyes,termyes,hesh, // счетчики циклов и строк

NumLex,{Число лексем}NumId,{Число идентификаторов}NumTerm,{Число терминальных символов}NumConst,{Число различных констант}

NumErr{Число ошибочных лексем}: integer;

Error,Found,Flag,Scobka: boolean; // Флаги

str16: string;

k1,kod: integer;

implementation

uses lex2;

{$R *. dfm}

procedure TForm1. N2Click (Sender: TObject);

var i: integer;

begin

OpenDialog1. Filter: ='*. txt';

if opendialog1. Execute and fileExists (openDialog1. FileName)

then

begin

Assignfile (FA, OpenDialog1. FileName);

Reset (FA);

Memo1. Lines. clear;

i: =1;

while not EOF (FA) do

begin

readln (Fa,SA [i]);

Memo1. Lines. Add (SA [i]);

i: =i+1;

end;

Closefile (FA);

end;

end;

 // процедура перевода констант в десятичную форму

procedure perevod (SS: string; var Str16: string);

var ch3,ch4,ch, i: integer;

zn: string;

begin

ch: =0; // для римских констант

if (SS [2] ='X') or (SS [2] ='V') or (SS [2] ='I') then

begin

zn: =SS [1] ;

delete (SS,1,1);

while Length (SS) <>0 do

begin

if SS [1] ='X' then begin ch: =ch+10; delete (SS,1,1); end

else begin

if SS [1] ='V'then begin ch: =ch+5; delete (SS,1,1); end

else begin

if ( (SS [1] ='I') and (SS [2] ='I')) or ( (SS [1] ='I') and (SS [2] ='')) then begin ch: =ch+1; delete (SS,1,1); end

else begin

if (SS [1] ='I') and (SS [2] ='X') then begin ch: =ch+9; delete (SS,1,2); end

else begin

if (SS [1] ='I') and (SS [2] ='V') then begin ch: =ch+4; delete (SS,1,2); end;

end; end; end; end; end;

str16: =zn+IntToStr (ch);

exit;

end;

 // для 16-рич. констант

If SS [3] in ['0'. '9']

then

ch3: =StrToInt (SS [3]) *16

else

if SS [3] in ['A'. 'F']

then

begin

ch3: =ord (SS [3]);

case ch3 of

65: ch3: =10*16;

66: ch3: =11*16;

67: ch3: =12*16;

68: ch3: =13*16;

69: ch3: =14*16;

70: ch3: =15*16;

end;

end;

If SS [4] in ['0'. '9']

then

ch4: =StrToInt (SS [4])

else

if SS [4] in ['A'. 'F']

then

begin

ch4: =ord (SS [4]);

case ch4 of

65: ch4: =10;

66: ch4: =11;

67: ch4: =12;

68: ch4: =13;

69: ch4: =14;

70: ch4: =15;

end;

end;

ch: =ch3+ch4;

If (SS [3] ='0') and (SS [4] ='0')

then Str16: =IntToStr (ch)

else Str16: =SS [2] +IntToStr (ch);

end;

procedure TForm1. N3Click (Sender: TObject);

begin

close;

end;

function Select_Lex (S: string; {исх. строка} var Rez: string; {лексема}N: integer {текущая позиция}): integer;

label 1;

begin // функция выбора слов из строки

k: = Length (S);

Rez: ='';

i: =N; // точка продолжения в строке

while (S [i] =' ') and (i<= k) do i: =i+1; // пропуск ' '

while not (S [i] in deleter) and (i<= k) do // накопление лексемы

begin

if s [i] ='$' then

begin

Rez: =s [i] +s [i+1] ;

i: =i+2;

end

else begin

1: Rez: =Rez+s [i] ;

i: =i+1;

end;

end;

if Rez='' then

begin

if (s [i] =': ') then

begin

if (s [i+1] ='=') then // в случае операции из двух символов

begin

Rez: =s [i] +s [i+1] ;

Select_Lex: =i+2;

end

else

begin

Rez: =s [i] ;

Select_Lex: =i+1;

end;

end else

begin

if ( (s [i] ='+') or (s [i] ='-')) and (s [i-1] =' (')

then begin

Rez: =s [i] +s [i+1] ;

i: =i+2;

goto 1;

end

else begin

Rez: =s [i] ;

Select_Lex: =i+1;

end; end;

end else Select_Lex: =i;

end;

procedure Add_Const (Curr_term: integer; str_lex: string); // Процедура добавления идентификаторов в дерево

begin

if NumConst=1 then // Если корень дерева еще не создан, то создаем его.

begin

perevod (str_lex,str16);

Const_tab [NumConst]. value: =str_lex;

Const_tab [NumConst]. nomer: =NumConst;

Const_tab [NumConst]. Val10: =str16;

Const_tab [NumConst]. Left: =0;

Const_tab [NumConst]. Right: =0;

Const_tab [NumConst]. Way: ='V';

Exit;

end;

if (CompareStr (Const_tab [Curr_term]. value,str_lex) >0) then // Если значение текущего узла дерева больше добавляемого

if Const_tab [Curr_term]. Left=0 then // если у этого элемента дерева нет левого указателя, то

begin

perevod (str_lex,str16);

Const_tab [Curr_term]. Left: =NumConst; // Создание левого элемента.

Const_tab [NumConst]. value: =str_lex;

Const_tab [NumConst]. nomer: =NumConst;

Const_tab [NumConst]. Val10: =str16;

Const_tab [NumConst]. Left: =0;

Const_tab [NumConst]. Right: =0;

Const_tab [NumConst]. Way: =Const_tab [NumConst]. Way+'L';

end else begin

Const_tab [NumConst]. Way: =Const_tab [NumConst]. Way+'L';

Add_Const (Const_tab [Curr_term]. Left,str_lex); // Если левый указатель существует, то вызываем уже функцию для левого указателя.

end;

if (CompareStr (Const_tab [Curr_term]. value,str_lex) <0) then // если у этого элемента дерева нет правого указателя, то

if Const_tab [Curr_term]. Right=0 then

begin

perevod (str_lex,str16);

Const_tab [Curr_term]. Right: =NumConst; // Создаем правый элемент.

Const_tab [NumConst]. value: =str_lex;

Const_tab [NumConst]. nomer: =NumConst;

Const_tab [NumConst]. Val10: =str16;

Const_tab [NumConst]. Left: =0;

Const_tab [NumConst]. Right: =0;

Const_tab [NumConst]. Way: =Const_tab [NumConst]. Way+'R';

end else begin

Const_tab [NumConst]. Way: =Const_tab [NumConst]. Way+'R';

Add_Const (Const_tab [Curr_term]. Right,str_lex); // Если правый указатель существует, то вызываем уже функцию для правого указателя.

end;

end;

procedure Add_Term (Curr_term: integer; str_lex: string); // Процедура добавления идентификаторов в дерево

begin

if NumTerm=1 then // Если корень дерева еще не создан, то создаем его.

begin

Term_tab [NumTerm]. lex: =str_lex;

Term_tab [NumTerm]. nomer: =NumTerm;

Term_tab [NumTerm]. Left: =0;

Term_tab [NumTerm]. Right: =0;

Term_tab [NumTerm]. Way: ='V';

Exit;

end;

if (CompareStr (Term_tab [Curr_term]. lex,str_lex) >0) then // Если значение текущего узла дерева больше добавляемого

if Term_tab [Curr_term]. Left=0 then // если у этого элемента дерева нет левого указателя, то

begin

Term_tab [Curr_term]. Left: =NumTerm; // Создание левого элемента.

Term_tab [NumTerm]. lex: =str_lex;

Term_tab [NumTerm]. nomer: =NumTerm;

Term_tab [NumTerm]. Left: =0;

Term_tab [NumTerm]. Right: =0;

Term_tab [NumTerm]. Way: =Term_tab [NumTerm]. Way+'L';

end else begin

Term_tab [NumTerm]. Way: =Term_tab [NumTerm]. Way+'L';

Add_Term (Term_tab [Curr_term]. Left,str_lex); // Если левый указатель существует, то вызываем уже функцию для левого указателя.

end;

if (CompareStr (Term_tab [Curr_term]. lex,str_lex) <0) then // если у этого элемента дерева нет правого указателя, то

if Term_tab [Curr_term]. Right=0 then

begin

Term_tab [Curr_term]. Right: =NumTerm; // Создаем правый элемент.

Term_tab [NumTerm]. lex: =str_lex;

Term_tab [NumTerm]. nomer: =NumTerm;

Term_tab [NumTerm]. Left: =0;

Term_tab [NumTerm]. Right: =0;

Term_tab [NumTerm]. Way: =Term_tab [NumTerm]. Way+'R';

end else begin

Term_tab [NumTerm]. Way: =Term_tab [NumTerm]. Way+'R';

Add_Term (Term_tab [Curr_term]. Right,str_lex); // Если правый указатель существует, то вызываем уже функцию для правого указателя.

end;

end;

procedure Add_Ident (str: string); // процедура добавления константы

var i: integer;

begin

kod: =Length (str) +2;

hesh: =0;

for i: =1 to Length (str) do hesh: =hesh+ord (str [i]); // вычисление хэш

hesh: =round (hesh/kod); // метод деления

while (Id_tab [hesh]. lex<>'') and (hesh<maxnum) do // пока ячейка занята

begin

Id_tab [hesh]. ssylka: =hesh+1;

hesh: =hesh+1;

end;

Id_tab [hesh]. nomer: =Numid; // запись данных

Id_tab [hesh]. lex: =str;

end;

function Search_Ident (str: string): integer; // функция поиска терминала

var i: integer;

label 1;

begin

kod: =Length (str) +2;

hesh: =0;

for i: =1 to Length (str) do hesh: =hesh+ord (str [i]); // вычисление хэш

hesh: =round (hesh/kod);

1: if str=Id_tab [hesh]. lex then Search_Ident: =Id_tab [hesh]. nomer else // поиск идентификатора

begin

if Id_tab [hesh]. ssylka=0 then Search_Ident: =0 else

begin

hesh: =Id_tab [hesh]. ssylka;

goto 1;

end;

end;

end;

procedure Search_Const (Curr_term: integer; str_lex: string); // Процедура поиска лексем в дереве идентификаторов

begin

Constyes: =0; // флаг: найдена ли лексема

if (NumConst<>0) and (str_lex<>'') then

begin

if (CompareStr (Const_tab [Curr_term]. value,str_lex) >0) and (Const_tab [Curr_term]. Left<>0) then

Search_Const (Const_tab [Curr_term]. Left,str_lex); // рекурсивный "спуск по дереву"

if (CompareStr (Const_tab [Curr_term]. value,str_lex) <0) and (Const_tab [Curr_term]. Right<>0) then

Search_Const (Const_tab [Curr_term]. Right,str_lex);

if Const_tab [Curr_term]. value=str_lex then Constyes: =Const_tab [Curr_term]. nomer;

end;

end;

procedure Search_Term (Curr_term: integer; str_lex: string); // Процедура поиска лексем в дереве идентификаторов

begin

Termyes: =0; // флаг: найдена ли лексема

if (NumTerm<>0) and (str_lex<>'') then

begin

if (CompareStr (Term_tab [Curr_term]. lex,str_lex) >0) and (Term_tab [Curr_term]. Left<>0) then

Search_Term (Term_tab [Curr_term]. Left,str_lex); // рекурсивный "спуск по дереву"

if (CompareStr (Term_tab [Curr_term]. lex,str_lex) <0) and (Term_tab [Curr_term]. Right<>0) then

Search_Term (Term_tab [Curr_term]. Right,str_lex);

if Term_tab [Curr_term]. lex=str_lex then Termyes: =Term_tab [Curr_term]. nomer;

end;

end;

 // функция распознавания 16-рич. констант

function FConst (str: string): integer;

var

sost: byte;

begin

sost: =0;

if str [1] ='$' then // распознаём символ '$'

begin

sost: =1;

delete (str,1,1);

end

else exit;

if (str [1] ='+') or (str [1] ='-') then // распознаём знак

begin

sost: =2;

delete (str,1,1)

end

else begin sost: =4; exit; end;

if str='' then exit;

while length (str) >0 do begin

if (str [1] in cifra) or (str [1] in bukva)

then sost: =2 // распознаём буквы или цифры

else begin sost: =4; exit;

end;

delete (str,1,1);

end;

sost: =3;

if sost=3 then FConst: =1 else FConst: =-1;

end;

function termin: integer; // распознаватель терминальных символов

begin

termin: =-1;

for k: =1 to 14 do if Words [k] =Lexem then termin: =3;

for k: =1 to 8 do if Razdel [k] =Lexem then termin: =1;

for k: =1 to 11 do if Operacii [k] =Lexem then termin: =2;

end;

function Rome (str: string): integer; // распознаватель римских констант

var sost: byte;

sost: =0;

if (str [1] ='-') or (str [1] ='+')

then begin sost: =12; delete (str,1,1); end;

if str='' then exit;

if str [1] ='X'

then begin sost: =1; delete (str,1,1) end

else begin

if str [1] ='V' then begin sost: =2; delete (str,1,1) end

else begin

if str [1] ='I' then begin sost: =3; delete (str,1,1) end

else begin sost: =4; exit; end; end; end;

while Length (str) <>0 do begin

case sost of

1: if str [1] ='X'

then begin sost: =5; delete (str,1,1) end

else begin

if str [1] ='V' then begin sost: =2; delete (str,1,1) end

else begin

if str [1] ='I' then begin sost: =3; delete (str,1,1) end

else begin sost: =4; exit; end; end; end;

2: if str [1] ='I'

then begin sost: =7; delete (str,1,1) end

else begin sost: =4; exit; end;

3: if str [1] ='X'

then begin sost: =8; delete (str,1,1) end

else begin

if str [1] ='V' then begin sost: =9; delete (str,1,1) end

else begin

if str [1] ='I' then begin sost: =10; delete (str,1,1) end

else begin sost: =4; exit; end; end; end;

4: exit;

5: if str [1] ='X'

then begin sost: =6; delete (str,1,1) end

else begin

if str [1] ='V' then begin sost: =2; delete (str,1,1) end

else begin

if str [1] ='I' then begin sost: =3; delete (str,1,1) end

else begin sost: =4; exit; end; end; end;

6: if str [1] ='V'

then begin sost: =2; delete (str,1,1) end

else begin

if str [1] ='I' then begin sost: =3; delete (str,1,1) end

else begin sost: =4; exit; end; end;

7: if str [1] ='I'

then begin sost: =10; delete (str,1,1) end

else begin sost: =4; exit; end;

8: begin sost: =4; exit; end;

9: begin sost: =4; exit; end;

10: if str [1] ='I'

then begin sost: =11; delete (str,1,1) end

else begin sost: =4; exit; end;

11: begin sost: =4; exit; end;

end;

end;

if (sost=4) or (sost=12) then Rome: =-1 else Rome: =1;

end;

 // функция распознавания идентификаторов

function Ident (str: string): integer;

var

sost: byte;

begin

sost: =0; // реализация конечного автомата

if str [1] in ['a'. 'z'] then

begin

sost: =1;

delete (str,1,1)

end

else exit;

while length (str) >0 do begin

if str [1] in ['a'. 'z','0'. '9','_']

then begin sost: =1; delete (str,1,1); end

else begin sost: =3; exit; end;

end;

sost: =2;

if sost=2 then ident: =1 else ident: =-1;

end;

procedure WriteCode (nomer: integer; lex: string; typ: char; num: integer); // запись в таблицу кодов лексем

begin

Code_Tab [NumLex]. nomer: =nomer;

Code_Tab [NumLex]. Lex: =lex;

Code_Tab [NumLex]. typ: =typ;

Code_Tab [NumLex]. Num: =num;

Code_Tab [NumLex]. numstr: =string_counter+1;

end;

procedure WriteLex (typelex: char); // запись лексем в таблицы

begin

case typelex of

'C': begin // если лексема-16-рич. константа

NumLex: =NumLex+1;

Search_Const (1,Lexem);

if Constyes=0 then // если лексема не найдена

begin

NumConst: =NumConst+1;

Add_Const (1,Lexem);

Const_tab [NumConst]. Typ: ='16-рич. ';

Const_tab [Numconst]. Width: ='2 байта';

WriteCode (NumLex,Lexem,'C',NumConst);

end else // если лексема найдена

begin

WriteCode (NumLex,Lexem,'C',Constyes);

end;

end;

'M': begin // если лексема-римская константа

NumLex: =NumLex+1;

Search_Const (1,Lexem);

if Constyes=0 then // если лексема не найдена

begin

NumConst: =NumConst+1;

Add_Const (1,Lexem);

Const_tab [NumConst]. Typ: ='римск. ';

Const_tab [Numconst]. Width: ='2 байта';

WriteCode (NumLex,Lexem,'C',NumConst);

end else // если лексема найдена

begin

WriteCode (NumLex,Lexem,'C',Constyes);

end;

end;

'I': begin // если лексема-идентификатор

NumLex: =NumLex+1;

y: =Search_Ident ({1,}Lexem);

if y=0 then // если лексема не найдена

begin

NumId: =NumId+1;

WriteCode (NumLex,Lexem,'I',NumId);

Add_Ident (Lexem);

end else WriteCode (NumLex,Lexem,'I',y); // если лексема найдена

end;

'K': begin // если лексема-служебное слово

NumLex: =NumLex+1;

Search_Term (1,Lexem);

if Termyes=0 then // если лексема не найдена

begin

NumTerm: =NumTerm+1;

Add_Term (1,Lexem);

Term_tab [Numterm]. razd: =0;

Term_tab [Numterm]. oper: =0;

Term_tab [Numterm]. slug: =1;

WriteCode (NumLex,Lexem,'T',NumTerm);

end else WriteCode (NumLex,Lexem,'T',Termyes); // если лексема найдена

end;

'R': begin // если лексема-разделитель

NumLex: =NumLex+1;

Search_Term (1,Lexem);

if Termyes=0 then // если лексема не найдена

begin

NumTerm: =NumTerm+1;

Add_Term (1,Lexem);

Term_tab [NumTerm]. razd: =1;

Term_tab [NumTerm]. oper: =0;

Term_tab [NumTerm]. slug: =0;

WriteCode (NumLex,Lexem,'T',NumTerm)

end else WriteCode (NumLex,Lexem,'T',Termyes) // если лексема найдена

end;

'O': begin // если лексема-знак операция

NumLex: =NumLex+1;

Search_Term (1,Lexem);

if Termyes=0 then // если лексема не найдена

begin

NumTerm: =NumTerm+1;

Add_Term (1,Lexem);

Term_tab [Numterm]. razd: =0;

Term_tab [Numterm]. oper: =1;

Term_tab [Numterm]. slug: =0;

WriteCode (NumLex,Lexem,'T',NumTerm)

end else WriteCode (NumLex,Lexem,'T',Termyes) // есди лексема найдена

end;

end;

end;

procedure TForm1. N5Click (Sender: TObject);

var i,pip: integer;

begin

for k: =1 to numid do // обнуление таблицы идентификаторов

begin

id_tab [k]. lex: ='0';

id_tab [k]. nomer: =0;

id_tab [i]. ssylka: =0;

end;

for i: =1 to numlex do // обнуление выходной таблицы

begin

Code_Tab [i]. Lex: ='';

Code_Tab [i]. typ: =#0;

Code_Tab [i]. Num: =0;

Code_Tab [i]. nomer: =0;

end;

for i: =0 to numconst do // обнуление таблицы констант

begin

Const_tab [i]. nomer: =0;

Const_tab [i]. value: ='';

Const_tab [i]. Typ: ='';

Const_tab [i]. Width: ='';

Const_tab [i]. Val10: ='';

Const_tab [k]. Left: =0;

Const_tab [k]. Right: =0;

Const_tab [k]. Way: ='';

end;

for i: =1 to numterm do

begin

Term_tab [i]. nomer: =0;

Term_tab [i]. Lex: ='';

Term_tab [i]. razd: =0;

Term_tab [i]. oper: =0;

Term_tab [i]. slug: =0;

Term_tab [k]. Left: =0;

Term_tab [k]. Right: =0;

Term_tab [k]. Way: ='';

end;

 // инициализация

NumLex: =0; NumId: =0; NumConst: =0; NumErr: =0; NumTerm: =0;

Error: =false; Found: =false;

i: =0; j: =0; k: =0; y: =0;

String_counter: =0;

Memo2. Lines. Clear;

N6. Enabled: =true;

while string_counter<=Memo1. Lines. Count do // цикл по строкам файла

begin

n: =1;

m: =1;

s: =Form1. Memo1. Lines. Strings [string_counter] ;

for l: =1 to 2 do

while m<=Length (s) do // цикл по строке

begin

n: =m;

m: =Select_Lex (s,Lexem,n);

if (Lexem<>'') and not (Lexem [1] in [#0. #32]) then

begin

if FConst (Lexem) =1 then WriteLex ('C') else // вызов процедуры записи

if Termin=3 then WriteLex ('K') else

if Rome (Lexem) =1 then WriteLex ('M') else

if Ident (Lexem) =1 then WriteLex ('I') else

if Termin=1 then WriteLex ('R') else

if Termin=2 then WriteLex ('O')

else Err_lex;

end;

end;

string_counter: =string_counter+1;

end;

vyvod; // вызов процедуры вывода

end;

procedure TForm1. vyvod; // Вывод результатов

var

f: textfile; // выходной файл

begin

StringGrid1. RowCount: =NumConst+1; // определение числа строк в таблицах

StringGrid2. RowCount: =NumId+1;

StringGrid3. RowCount: =NumTerm+1;

StringGrid4. RowCount: =NumLex+1;

StringGrid1. Cells [0,0]: ='№'; StringGrid1. Cells [1,0]: ='Константа'; StringGrid1. Cells [2,0]: ='Тип';

StringGrid1. Cells [3,0]: ='Ширина'; StringGrid1. Cells [4,0]: ='10-тичный формат';

StringGrid1. Cells [5,0]: ='L'; StringGrid1. Cells [6,0]: ='R';

StringGrid1. Cells [7,0]: ='Путь'; // определение заголовков

for k: =1 to NumConst do // вывод таблицы констант

begin

StringGrid1. cells [0,k]: = Inttostr (Const_Tab [k]. nomer);

StringGrid1. cells [1,k]: = Const_Tab [k]. value;

StringGrid1. cells [2,k]: = Const_Tab [k]. Typ;

StringGrid1. cells [3,k]: = Const_Tab [k]. Width;

StringGrid1. cells [4,k]: = Const_Tab [k]. Val10;

StringGrid1. cells [5,k]: = Inttostr (Const_Tab [k]. Left);

StringGrid1. cells [6,k]: = Inttostr (Const_Tab [k]. Right);

StringGrid1. cells [7,k]: = Const_Tab [k]. Way;

end;

AssignFile (F,'Const. txt'); // запись в файл таблицы констант

Rewrite (F);

for k: =1 to NumConst do

Writeln (F, StringGrid1. cells [0,k] +' '+StringGrid1. cells [1,k] +' '+StringGrid1. cells [2,k] +' '+StringGrid1. cells [3,k]);

CloseFile (F);

StringGrid2. Cells [0,0]: ='№'; StringGrid2. Cells [1,0]: ='Имя'; // определение заголовков

k: =0;

k1: =0;

while k<numid do // вывод таблицы идентификаторов

begin

if Id_tab [k1]. lex<>'' then

begin

StringGrid2. cells [0,k+1]: =IntToStr (Id_tab [k1]. nomer);

StringGrid2. cells [1,k+1]: =Id_Tab [k1]. lex;

k: =k+1;

end;

k1: =k1+1;

end;

AssignFile (F,'Ident. txt'); // запись в файл таблицы констант

Rewrite (F);

for k: =1 to NumId do Writeln (F, StringGrid2. cells [0,k] +' '+StringGrid2. cells [1,k]);

CloseFile (F);

StringGrid3. Cells [0,0]: ='№'; StringGrid3. Cells [1,0]: ='Символ'; StringGrid3. Cells [2,0]: ='Раздел. ';

StringGrid3. Cells [3,0]: ='Зн. операции'; StringGrid3. Cells [4,0]: ='Ключ. слово';

StringGrid3. Cells [5,0]: ='L'; StringGrid3. Cells [6,0]: ='R';

StringGrid3. Cells [7,0]: ='Путь'; // определение заголовков

for k: =1 to NumTerm do // вывод таблицы терминальных символов

begin

StringGrid3. cells [0,k]: = Inttostr (Term_Tab [k]. nomer);

StringGrid3. cells [1,k]: = Term_Tab [k]. lex;

StringGrid3. cells [2,k]: = Inttostr (Term_Tab [k]. razd);

StringGrid3. cells [3,k]: = Inttostr (Term_Tab [k]. oper);

StringGrid3. cells [4,k]: = Inttostr (Term_Tab [k]. slug);

StringGrid3. cells [5,k]: = Inttostr (Term_Tab [k]. Left);

StringGrid3. cells [6,k]: = Inttostr (Term_Tab [k]. Right);

StringGrid3. cells [7,k]: = Term_Tab [k]. Way;

end;

AssignFile (F,'Term. txt'); // запись в файл таблицы терминальных символов

Rewrite (F);

for k: =1 to NumTerm do Writeln (F, StringGrid3. cells [0,k] +' '+StringGrid3. cells [1,k] +' '+StringGrid3. cells [2,k] +' '+StringGrid3. cells [3,k] +' '+StringGrid3. cells [4,k]);

CloseFile (F);

StringGrid4. Cells [0,0]: ='№'; StringGrid4. Cells [1,0]: ='Тип'; StringGrid4. Cells [2,0]: ='№ в таблице'; StringGrid4. Cells [3,0]: ='Лексема'; // определение заголовков

for k: =1 to NumLex do // вывод таблицы кодов лексем

begin

StringGrid4. cells [0,k]: = Inttostr (Code_Tab [k]. nomer);

StringGrid4. cells [1,k]: = Code_Tab [k]. typ;

StringGrid4. cells [2,k]: = Inttostr (Code_Tab [k]. num);

StringGrid4. cells [3,k]: = Code_Tab [k]. lex;

end;

AssignFile (F,'Cod. txt'); // запись в файл выходной таблицы

Rewrite (F);

for k: =1 to NumLex do Writeln (F, StringGrid4. cells [0,k] +' '+StringGrid4. cells [1,k] +' '+StringGrid4. cells [2,k] +' '+StringGrid4. cells [3,k]);

CloseFile (F);

end;

procedure TForm1. Err_Lex; // процедура вывода ошибки в лексеме

begin

Memo2. Lines. Add ('В строке №'+Inttostr (String_counter+1) +' ошибочная лексема '+Lexem);

NumErr: =NumErr+1;

NumLex: =NumLex+1;

Code_Tab [NumLex]. nomer: =NumLex;

Code_Tab [NumLex]. Lex: =Lexem;

Code_Tab [NumLex]. typ: ='E';

Code_Tab [NumLex]. Num: =NumErr;

Exit;

end;

procedure TForm1. N6Click (Sender: TObject);

begin

Syntax;

end;

procedure TForm1. Syntax;

begin

i: =1; // инициализация

Error: =false;

Scobka: =false;

Memo2. Clear;

if (Lex_Progr=true) and (Error<>true) then Memo2. Lines [0]: ='Ошибок нет' else if Memo2. Lines [0] ='' then Memo2. Lines [0]: ='Неизвестная ошибка'

end;

function TForm1. Lex_Progr: boolean; // 1. программа

begin

Lex_Progr: =False;

if Code_Tab [i]. Lex='program' then i: =i+1 else // конец блока для PROGRAM

begin

Err_Synt ('Отсутствует служебное слово program, либо в нем ошибка ', i);

Exit;

end;

if Lex_Prog_Name=false then Exit; // начало блока для имени программы

if Code_Tab [i]. Lex='; ' then i: =i+1 else // начало блока для точки с запятой

begin

Err_Synt ('Отсутствует точка с запятой после имени программы', i-1);

end;

if Code_Tab [i]. Lex='var' then i: =i+1 else // начало блока для VAR

begin

Err_Synt ('Отсутствует служебное слово var после заголовка программы', i);

Exit;

end;

if Lex_descr_list=false then Exit;

if Code_Tab [i]. Lex='begin' then // начало блока для BEGIN

begin

i: =i+1;

if Code_Tab [i]. Lex='; ' then

begin

Err_Synt ('После begin недопустим символ "; "', i);

Exit;

end;

end else

begin

Err_Synt ('Отсутствует служебное слово begin после описаний переменных', i);

Exit;

end;

if Lex_oper_list=false then Exit;

if Code_Tab [i]. Lex='end' then i: =i+1 else // начало блока для END

begin

Err_Synt ('Отсутствует служебное слово end в конце программы', i);

Exit;

end; // начало блока для точки

if Code_Tab [i]. Lex='. ' then Lex_Progr: =true else if Code_Tab [i]. Lex<>'' then Err_Synt ('После служебного слова END вместо точки находится "'+Code_Tab [i]. Lex+'"', i) else Err_Synt ('Ожидается точка после служебного слова END в конце программы', i-1);

end;

procedure TForm1. Err_Synt (text: string; l: integer);

begin

if Error<>true then

begin

Memo1. Lines [Code_tab [l]. numstr-1]: =Memo1. Lines [Code_tab [l]. numstr-1] +'!!! '+'Error!!! ';

Memo2. Lines [0]: =Memo2. Lines [0] +text;

end;

Error: =true;

Exit;

end;

function TForm1. Lex_Prog_Name: boolean; // имя программы

begin

Lex_Prog_Name: =False;

if (Code_Tab [i]. typ<>'I') and (Code_Tab [i]. Lex<>'; ') then

begin

Err_Synt ('Неправильное имя программы. Ошибочное выражение: "'+Code_Tab [i]. Lex+'"', i);

Exit;

end;

if Code_Tab [i]. Lex='; ' then

begin

Err_Synt ('Отсутствует имя программы после program', i);

Exit;

end;

Lex_Prog_Name: =true;

i: =i+1;

end;

function TForm1. Lex_Descr_List: boolean; // список описаний

begin

Lex_descr_list: =false;

Found: =false;

while Code_Tab [i]. typ='I' do

begin

Found: =true;

if Lex_descr=false then Exit;

if Code_Tab [i]. Lex='; ' then i: =i+1 else

begin

Err_Synt ('Отсутствует точка с запятой после описания переменных ', i-1);

Exit;

end;

end;;

if Found=false then

begin

Err_Synt ('Отсутствует идентификатор в описании ', i);

Exit;

end;

Lex_descr_list: =true;

end;

function TForm1. Lex_descr: boolean; // описание

begin

Lex_descr: =false;

if Lex_name_list=true then

begin

if Code_Tab [i]. Lex=': ' then i: =i+1 else

begin

Err_Synt ('Отсутствует двоеточие перед типом '+Code_Tab [i]. Lex, i);

Exit;

end;

if Lex_type=true then Lex_descr: =true else Exit;

end else Exit;

end;

function TForm1. Lex_name_list: boolean; // список имен

begin

Lex_name_list: =false;

if Code_Tab [i]. typ='I' then i: =i+1 else

begin

Err_Synt ('Ожидается идентификатор ', i);

Exit;

end;

while Code_Tab [i]. Lex=',' do

begin

i: =i+1;

if Code_Tab [i]. Typ='I' then i: =i+1 else

begin

Err_Synt ('Ожидается идентификатор ', i);

Exit;

end;

end;

Lex_name_list: =true;

end;

function TForm1. Lex_type: boolean; // тип

begin

Lex_type: =false;

if (Code_Tab [i]. Lex='integer') then

begin

Lex_type: =true;

i: =i+1

end else

begin

Err_Synt ('Отсутствует тип: integer ', i-1);

Exit;

end;

end;

function TForm1. Lex_oper_list: boolean; // список операторов

begin

Lex_oper_list: =false;

found: =false;

while Lex_oper=true do

begin

Found: =true;

if (Code_Tab [i]. Lex='; ') then i: =i+1 else // Если след. лексема после проверенного оператора ни "; ", ни END, а любая другая лексема.

if Code_Tab [i]. Lex<>'end' then

begin

Err_Synt ('Ожидается точка с запятой после оператора (после лексемы '+Code_Tab [i-1]. Lex+') ', i-1);

Exit;

end;

end;

Lex_oper_list: =true;

if found=false then

begin

Err_Synt ('Не найдены операторы между begin и end', i-1);

Lex_oper_list: =false;

end;

end;

function TForm1. Lex_oper: boolean;

begin

Lex_oper: =false;

if (Lex_assign) or (Lex_repeat_until) then Lex_oper: =true else

if (Code_Tab [i]. Lex='; ') and (Code_Tab [i-1]. Lex='; ') then Lex_oper: =true else // проверяется на пустой оператор, т.е. на ";; ".

if (Code_Tab [i]. Typ='T') and (Code_Tab [i]. Lex<>'end') and (Code_Tab [i]. Lex<>'begin') and (Code_Tab [i]. Lex<>'; ') then Err_Synt ('Лишняя лексема в программе: '+Code_Tab [i]. Lex, i);

end;

function TForm1. Lex_assign: boolean; // присваивание

begin

Lex_assign: =false;

if Code_Tab [i]. typ='I' then

begin

if Code_Tab [i+1]. Lex=': =' then

begin

i: =i+2;

if Lex_Exp=true then Lex_assign: =true else Memo2. Lines [1]: =Memo2. Lines [1] +' в операторе присваивания'

end else Err_Synt ('Ошибка в операторе присваивания', i)

end;

end;

function TForm1. Lex_Exp: boolean; // выражение

begin

Lex_Exp: =false;

if Lex_simple_Exp=true then

begin

if ( (Code_Tab [i]. Lex='=') or (Code_Tab [i]. Lex='>') or (Code_Tab [i]. Lex='<')

or (Code_Tab [i]. Lex='<>') or (Code_Tab [i]. Lex='<=') or (Code_Tab [i]. Lex='>=')) then

begin

i: =i+1;

if Lex_simple_Exp=true then

begin

Lex_Exp: =true;

Exit;

end;

end;

end else Exit;

Lex_Exp: =true; // если простое выражение без знака

end;

function TForm1. Lex_simple_Exp: boolean; // простое выражение

begin

Found: =false;

Lex_simple_Exp: =false;

if Lex_term=true then

begin

Found: =true;

while ( (Code_Tab [i]. Lex='+') or (Code_Tab [i]. Lex='-')) and (Found=true) do

begin

i: =i+1;

if Lex_term=false then

begin

Found: =False;

Err_Synt ('Ожидается константа, идентификатор или выражение ', i-1);

Exit;

end;

end;

if (Code_Tab [i]. Lex=') ') and (Scobka=false) then Err_Synt ('Ожидается открывающаяся скобка в множителе', i)

end;

if Found=true then Lex_simple_Exp: =true;

end;

function TForm1. Lex_Term: boolean; // терм

begin

Found: =false;

Lex_Term: =false;

if Lex_mnozh=true then

begin

Found: =true;

while ( (Code_Tab [i]. Lex='*') or (Code_Tab [i]. Lex='/')) and (Found=true) do

begin

i: =i+1;

if Lex_mnozh=false then Found: =False;

end;

end;

if Found=true then Lex_Term: =true;

end;

function TForm1. Lex_mnozh: boolean; // множитель

begin

Lex_mnozh: =false;

if (Code_Tab [i]. typ='I') or (Code_Tab [i]. typ='C') then

begin

i: =i+1;

Lex_mnozh: =true;

Exit;

end else

begin

if Code_Tab [i]. Lex=' (' then

begin

Scobka: =true;

i: =i+1;

if Lex_simple_Exp=true then

begin

if Code_Tab [i]. Lex=') ' then

begin

i: =i+1;

Lex_mnozh: =true;

end else

begin

Err_Synt ('Ожидается закрывающая скобка в множителе ', i);

Exit;

end;

end;

end else Err_Synt ('Ожидается константа, идентификатор или выражение ', i);

end;

end;

function TForm1. Lex_repeat_until: boolean; // цикл

begin

Lex_repeat_until: =false;

if Code_Tab [i]. Lex='repeat' then

begin

i: =i+1;

if Lex_body=true then begin i: =i+1;

if Code_Tab [i]. Lex='until' then begin i: =i+1;

if Lex_Exp=true then Lex_repeat_until: =true

else Err_Synt ('Ожидается выражение после служебного слова until', i); end

else Err_Synt ('Ожидается служебное слово until', i);

end;

end;

end;

function TForm1. Lex_body: boolean; // тело цикла

begin

Lex_body: =false;

if Lex_oper=true then

begin

Lex_body: =true;

Exit;

end else

if Code_Tab [i]. Lex='begin' then

begin

i: =i+1;

if Code_Tab [i]. Lex='; ' then

begin

Err_Synt ('После begin недопустим символ "; "', i);

Exit;

end;

if Lex_oper_list=true then

begin

if (Code_Tab [i]. Lex='end') and (Code_Tab [i+1]. Lex<>'; ') then

begin

Lex_body: =true;

i: =i+1;

end else Err_Synt ('Ожидается служебное слово end после блока операторов', i-1)

end;

end;

end;

end.

Похожие работы на - Основы предпринимательской деятельности

 

Не нашли материал для своей работы?
Поможем написать уникальную работу
Без плагиата!
Без нейросетей!