Организация и регулирование оплаты труда

  • Вид работы:
    Курсовая работа (т)
  • Предмет:
    Менеджмент
  • Язык:
    Русский
    ,
    Формат файла:
    MS Word
    411,43 kb
  • Опубликовано:
    2010-02-07
Вы можете узнать стоимость помощи в написании студенческой работы.
Помощь в написании работы, которую точно примут!

Организация и регулирование оплаты труда

ФЕДЕРАЛЬНОЕ АГЕНСТВО ПО ОБРАЗОВАНИЮ

ФЕДЕРАЛЬНОЕ ГОСУДАРСТВЕННОЕ ОБРАЗОВАТЕЛЬНОЕ УЧРЕЖДЕНИЕ ВЫСШЕГО ПРОФЕССИОНАЛЬНОГО ОБРАЗОВАНИЯ

“Чувашский государственный университет имени И.Н.Ульянова”

Канашский филиал

Кафедра: Экономики и управления

 

 

 

 

 

 

 

Курсовая работа

По курсу: Экономика фирмы

Тема: организация и регулирования оплаты труда на фирме

Выполнил: студент 2 курса экономического факультета группы

ЭКФ 53 – 06

Фёдоров А.В.

Преподаватель: Карпова О.В.




Канаш 2008 г.

Содержание

Введение

Глава 1. Организация оплаты труда

1.1 Функции и принципы организации заработной платы

1.2 Мотивация и оплата труда персонала

1.3 Особенности оплаты труда работников бюджетной сферы

Глава 2. Анализ оплаты труда в бюджетной сфере

2.1 Социальное партнерство в области оплаты труда

2.2 Новая система дифференцированной оплаты труда в школе

Глава 3. Регулирование оплаты труда

3.1 Пути устранения неурегулированности

3.2 Прогнозные оценки повышения заработной платы

Заключение

Список использованной литературы

Введение

Заработная плата как экономическое явление возникла на той стадии товарного производства, когда появился наемный труд и рабочая сила стала покупаться и продаваться на рынке труда. Как категория рыночной экономики заработная плата является ценой рабочей силы, т. е. денежным эквивалентом исторически сложившейся стоимости набора продуктов и услуг, необходимых работнику для восстановления своей работоспособности и возобновления рабочей силы как товара, имеющего определенную потребительную стоимость на рынке труда.

Заработная плата, как форма цены рабочей силы, занятой в производственной сфере, - это основная часть жизненных средств работников, распределяемая между ними в соответствии с количеством и качеством затраченного труда, реальным трудовым вкладом каждого и зависящая от конечных результатов работы предприятия.

Под оплатой труда (заработной платой) принято понимать вознаграждение, установленное работнику за выполнение трудовых обязанностей.

Оплата труда каждого работника определяется работодателем в зависимости от количества и качества выполняемой работы и максимальным пределом не ограничивается.

Дифференциация размеров оплаты труда осуществляется в зависимости от сложности, содержания и результатов труда работника.

При оплате труда рабочих могут применяться тарифные ставки, оклады, а также бестарифная система, если предприятие, учреждение, организация сочтут такую систему наиболее целесообразной.

- Вид, системы оплаты труда, размеры тарифных ставок, окладов, премий и иных поощрительных выплат, а также соотношение в их размерах между отдельными категориями персонала предприятия, учреждения, организации определяют самостоятельно и фиксируют их в коллективных договорах, иных локальных нормативных актах.

Различают основную и дополнительную оплату труда.

Под основной заработной платой принято понимать:

•   выплаты за отработанное время, за количество и качество выполненных работ при повременной, сдельной и прогрессивной оплате;

•   доплаты в связи с отклонениями от нормальных условий работы, за сверхурочные работы, за работу в ночное время и в праздничные дни и др.;

•   оплата простоев не по вине работника;

•   премии, премиальные надбавки и др.

Дополнительная заработная плата включает выплаты, за не проработанное время, предусмотренные законодательством о труде и коллективными договорами: оплата времени отпусков;

• оплата времени выполнения государственных и общественных обязанностей;

• оплата перерывов в работе кормящих матерей;

• оплата льготных часов подростков;

• оплата выходного пособия при увольнении и др.

Организация оплаты труда на предприятии определяется тремя взаимосвязанными и взаимозависимыми элементами:

• тарифной системой;

• нормированием труда;

формами оплаты труда.

Целью данной работы является рассмотрение организации и регулировании оплаты труда

Задачами исследования являются:

1.   Рассмотрение организации оплаты труда

2.   Анализ оплаты труда в бюджетной сфере

3.   Рассмотрение регулирования оплаты труда

Глава 1. Организация оплаты труда

1.1 Функции и принципы организации заработной платы

Определение сущности заработной платы создает исходную базу для анализа и уяснения значения, органически присущих ей функций.

Можно выделить четыре основные функции заработной платы:

· Воспроизводственную – обеспечение возможности воспроизводства рабочей силы;

· Стимулирующую (мотивационную) – повышение заинтересованности в развитии производства;

· Социальную, способствующую реализации принципа социальной справедливости;

Учетно-производственную, характеризующую меру участия живого труда в процессе образования цены продукта, его долю в совокупных издержках производства.

В этом отношении важно понять, что каждая функция – это часть единого целого – заработной платы, и каждая функция предполагает не только существование других функций, но и содержит в себе их элементы. Например, такие функции, как учетно-производственная, воспроизводственная, стимулирующая одновременно играют и социальную роль. В свою очередь, в воспроизводственной функции реализуются стимулирующая и учетно-производственная функции заработной платы. Вместе с тем, при общем единстве одна из функций (или несколько) в определенной степени противоположна другой, а то и исключает другую, снижает результат ее действия.

Наиболее значительным противоречием функций является то, что один из них ведут к дифференциации заработков, другие, наоборот, - к их выравниванию. Чем сильнее выравнивание, тем слабее дифференциация, тем слабее стимулирующее воздействие заработной платы. Это вполне нормальное явление, отражающее внутреннее единство и борьбу противоположностей, не свидетельствует о неточности выделенных функций.

При регулировании заработной платы надо умело использовать объективное единство и противоположность ее функций, своевременно усиливать один или ослаблять другие, чтобы организация заработной платы отвечала ее объективному содержанию и особенностям развития общества.

Принципы организации заработной платы – это объективные, научно обоснованные положения, отражающие действие экономических законов и направленные на более полную реализацию функций заработной платы.

Соответственно, можно выделить наиболее характерные принципы организации заработной платы:

· Неуклонный рост номинальной и реальной заработной платы;

· Соответствие меры труда мере его оплаты;

· Материальная заинтересованность работников в достижении высоких конечных результатов труда;

· Обеспечение опережающих темпов роста производительности труда по сравнению с темпами повышения заработной платы.

Каждый принцип отражает действие нескольких экономических законов.

Выделение для каждого принципа организации заработной платы соответствующей ее функции имеет не только теоретическое, но и практическое значение. Например, для более полной реализации стимулирующей функции заработной платы необходимы, в первую очередь, такие преобразования в ее организации, которые бы обеспечили опережающие темпы роста производительности труда по сравнению с темпами повышения заработной платы, большее соответствие меры труда мере его оплаты, максимальную материальную заинтересованность работников в движении высоких конечных результатов.

Таким образом, правильное понимание и полный учет особенностей, содержания, функций и принципов организации заработной платы могут способствовать построению научно обоснованных моделей и концепций оплаты труда, заинтересовывающих работников в максимальных конечных результатах и экономическом росте.

1.2 Мотивация и оплата труда персонала

Мотивация труда. Одним из основных направлений повышения эффективности использования персонала фирмы является усиление мотивации труда. Именно мотивация труда и профессионально-квалификационный уровень работников обеспечивают действенность управления человеческими ресурсами. Мотивация труда это одна из важнейших функций менеджмента, представляющая собой побуждение работников к деятельности по достижению целей предприятия через удовлетворение их собственных потребностей. В основе этого процесса лежит использование разнообразных мотивов, среди которых следует выделить материальные, моральные, социально-психологические, духовные, творческие и др. Мотивация является формой использования мотивов поведения, человека в практике управления его деятельностью. На мотивацию работников фирмы непосредственное влияние оказывают содержание и условия труда на предприятии, организация труда и его оплаты, возможности продвижения по служебной лестнице и др.

Выделяют три вида мотивации — прямую, властную (принудительную) и опосредованную (стимулирование). Прямая мотивация представляет собой непосредственное влияние на личность работника и его систему ценностей путем убеждения, внушения, психологического воздействия, агитации, демонстрации примера и др. Властная (принудительная) мотивация базируется на угрозе ухудшения удовлетворения каких-либо потребностей работника при невыполнении им установленных требований. Стимулирование труда как метод формирования мотивов предполагает право выбора работником варианта поведения в соответствии с его интересами.

Существуют различные подходы к мотивации персонала. Современные теории мотивации можно разделить на две основные группы — содержательные и процессуальные. Содержательные теории мотивации в значительной степени основаны на результатах психологических исследований и направлены в первую очередь на определение перечня и структуры потребностей людей. Потребности представляют собой иерархическую структуру и разделяются на первичные (врожденные) и вторичные (образующиеся в ходе приобретения определенного жизненного опыта). К этой группе относятся теории А. Маслоу, Д. Мак-Клелланда и Ф. Герцберга. Процессуальные теории мотивации основываются на моделях поведения людей: теория ожиданий (В. Врум), теория справедливости и модель мотивации Портера—Лоулера.

Одной из наиболее распространенных за рубежом классификаций потребностей является пятиуровневая иерархия потребностей по Маслоу: физиологические, безопасности, социальные, уважения и самовыражения. К физиологическим потребностям относятся потребности в пище, тепле, жилище и др.; потребности безопасности — это потребность в защите и порядке; социальные потребности — потребность входить в какую-либо группу, поддерживать с членами этой группы дружеские отношения и др.; потребность в уважении — это потребность в самоуважении и уважении других людей, престиже, славе и др.; потребность в самовыражении — потребность полностью развить свой творческий потенциал в работе, воспитании и образовании детей и др. Согласно теории Маслоу, пять основных типов потребностей людей определяют поведение человека. При этом потребности более высокого уровня не мотивируют его поведение, если хотя бы частично не удовлетворены потребности нижнего уровня. Однако эта иерархическая структура не является абсолютно жесткой, и относительная значимость потребностей в различных странах может меняться.

Главными рычагами мотивации являются потребности, стимулы и мотивы. Потребности рассматриваются в теории мотивации как осознанное отсутствие чего-либо, вызывающее побуждение к действию. Под стимулом обычно подразумевается внешнее побуждение к действию, причиной которого является интерес (материальный, моральный, личный или групповой), чаще всего материальное вознаграждение определенной формы, например заработная плата. В отличие от стимула мотив является внутренней побудительной силой (желание, влечение, ориентация, внутренние установки и др.).

Система материального и морального стимулирования труда представляет собой совокупность мер, направленных на повышение деловой активности работающих и как следствие — повышение эффективности труда и его качества. Стимулирование труда как метод управления дополняет административно-правовые методы управления, побуждая работников и их коллективы работать больше и лучше, чем это предусмотрено трудовыми соглашениями. Стимулы могут быть материальными и нематериальными, а сочетание материальных и моральных стимулов является одним из важнейших принципов стимулирования. В составе материальных можно выделить денежные и не денежные стимулы, в составе нематериальных — социальные (престижность труда, возможность роста), моральные (уважение со стороны окружающих, награды) и творческие (возможность самореализации и самосовершенствования). Выделяют следующие основные формы стимулирования работников предприятия: 1. Заработная плата, характеризующая оценку вклада работника в результаты деятельности предприятия (абсолютная величина и соотношение с уровнем оплаты других работников предприятия). Она должна быть сопоставима с оплатой труда на аналогичных предприятиях отрасли и региона и конкурентоспособна. Заработок работника определяется в зависимости от его квалификации, личных способностей и достижений в труде и включает различные доплаты, надбавки и премии. Доплаты и компенсационные надбавки учитывают те производственные и социальные характеристики труда, которые объективно не зависят от работника. Надбавки и доплаты выполняют стимулирующие функции, отражают производственные результаты деятельности работника и носят стабильный характер. Премии предназначены для стимулирования работников на достижение какого-то определенного результата и носят изменчивый характер;

2. Социальные выплаты, включающие субсидированное и льготное питание, продажу собственной продукции предприятия работникам со скидкой, оплату расходов на проезд работника к месту работы и обратно, предоставление работникам беспроцентных ссуд или ссуд с низким уровнем процента, предоставление права пользования транспортом фирмы, оплату больничных листов сверх определенного уровня, страхование здоровья работников и членов их семей за счет фирмы и др.;

3.Нематериальные (не денежные) льготы и привилегии персоналу, в том числе предоставление права на скользящий, гибкий график работы, предоставление отгулов, увеличение продолжительности оплачиваемых отпусков за определенные достижения и успехи в работе, более ранний выход на пенсию и т. д.;

4.Дивиденды по акциям фирмы (участие в акционерном капитале предприятия) и участие в прибылях;

Мероприятия, повышающие содержательность труда, самостоятельность и ответственность работника, стимулирующие его квалификационный рост. Привлечение работников к управлению пред приятием также повышает их мотивацию, поскольку в данном случае решается проблема отчуждения от предприятия. Всемерное развитие горизонтальных связей и горизонтальных структур управления является организационной основой для мотивации работников;

6.Создание благоприятной социальной атмосферы, устранение статусных, административных, психологических барьеров между от дельными группами работников, между рядовыми работниками и работниками аппарата управления, развитие доверия и взаимопонимания внутри коллектива. Образование различных неформальных функциональных групп работников (например, кружки качества), участие в которых формирует чувство непосредственной при частности к делам предприятия. Моральное поощрение работников;

7.Продвижение работников по службе, планирование их карьеры, оплата обучения и повышения квалификации.

Данные мероприятия по повышению мотивации труда позволяют более эффективно использовать трудовой потенциал предприятия и повысить его конкурентоспособность на рынке.

Оплата труда. Заработная плата является формой вознаграждения за труд и важным стимулом работников фирмы, выполняя воспроизводственную, стимулирующую (мотивационную), социальную и учетную функции. Воспроизводственная функция заключается в обеспечении возможности воспроизводства рабочей силы, стимулирующая (мотивационная) — направлена на повышение заинтересованности работников в развитии производства, социальная — способствует реализации принципа социальной справедливости, учетная — характеризует меру участия живого труда в процессе образования цены продукта, его долю в совокупных издержках производства.

Общий уровень оплаты труда на фирме может зависеть от следующих основных факторов:

•  результатов хозяйственной деятельности предприятия;

•  кадровой политики предприятия;

•  стоимости жизни (потребительской корзины);

•  уровня безработицы в регионе, области, среди работников соответствующих специальностей;

•  влияния профсоюзов, конкурентов и государства и др.

Рациональная организация оплаты труда на предприятии позволяет стимулировать результаты труда и деятельность его работников, обеспечивать конкурентоспособность на рынках труда и готовой продукции, необходимую рентабельность и прибыльность продукции. Цель рациональной организации оплаты труда — обеспечение соответствия между его величиной и трудовым вкладом работника в общие результаты хозяйственной деятельности предприятия, т. е. установление соответствия между мерой труда и мерой потребления. На разных предприятиях действуют свои системы оплаты и стимулирования труда. Существуют принципиальные отличия в построении схем вознаграждения на мелких и крупных фирмах. В частности, большинство мелких фирм имеют ограниченные возможности в предоставлении внутрифирменных льгот. Обычно не существует дополнительного пенсионного страхования (помимо государственного), нет четко обозначенных путей развития карьеры в пределах фирмы, а стимулирование осуществляется в основном за счет «конкурентоспособного», т. е. достаточно высокого, уровня основной заработной платы. Работников мелких предприятий привлекает сама возможность получения работы, более высокая степень самостоятельности, возможность приобрести опыт, требующийся для получения работы в солидных фирмах. Крупные фирмы располагают большими возможностями в построении более гибких систем вознаграждения. С этой целью они применяют «толстые» пакеты дополнительного внутрифирменного социального страхования, льгот, а также участия в собственности, обеспечивающих «привязку» интересов персонала к фирме.

В основу организации оплаты труда на фирме могут быть положены следующие основные принципы:

♦ формы материального вознаграждения должны быть конкурентоспособны относительно форм вознаграждения других организаций;

♦ учет размера минимальной оплаты труда, установленной государством;

♦ обеспечение социальной защищенности работников организации с помощью государственных и внутрифирменных гарантий труда;

осуществление оплаты по конечным результатам производства и в зависимости от количества и качества затраченного труда;

♦  дифференциация заработной платы в зависимости от квалификации работника, условий труда, отраслевой и региональной принадлежности предприятия, обеспечение рациональных соотношений в оплате сложного и простого, умственного и физического труда;

♦ систематическое повышение реальной заработной платы, т.е. превышение темпов роста номинальной заработной платы над темпами инфляции;

♦ превышение темпов роста производительности труда над темпами роста средней заработной платы.

По способу формирования основной заработной платы выделяют тарифные и бестарифные системы оплаты труда. Тарифные системы оплаты труда строятся на основе различных тарифных сеток и на базе единой тарифной сетки.

Тарифные системы оплаты труда. Организация тарифной системы оплаты труда на фирме состоит из следующих основных элементов:

•  формирование фонда оплаты труда;

•  нормирование труда;

• установление тарифной системы;

• выбор наиболее рациональных форм и систем заработной платы.

Фонд оплаты труда представляет собой источник средств, предназначенных для выплат заработной платы и выплат социального характера. Нормирование труда дает возможность учитывать качество труда и индивидуальный вклад работника в общие результаты деятельности предприятия. Тарифная система позволяет соизмерять разнообразные конкретные виды труда, учитывая их сложность и условия выполнения, т. е. качество труда. Она состоит из следующих основных элементов:

♦  тарифная сетка, устанавливающая дифференциацию в оплате труда с учетом разряда работы и отраслевой принадлежности предприятия;

♦  тарифные ставки, определяющие абсолютный размер оп латы простого труда (1-го разряда) в единицу времени (день, час);

♦  тарифно-квалификационные справочники, подразделяющие различные виды работ на группы в зависимости от их сложности;

♦  районные коэффициенты к заработной плате, компенсирующие различия в стоимости жизни в различных природно-климатических условиях (регионах);

♦  доплаты к тарифным ставкам и надбавки за совмещение профессий, расширение зон обслуживания, сверхурочные работы, работу в праздничные и выходные дни, вредность, работу во вторую и третью смены и др.;

♦  минимальная оплата труда, предоставляющая лицам, работающим по найму, необходимую социальную защиту и устанавливаемая законодательно.

На большинстве предприятий действуют две основные формы оплаты труда — повременная и сдельная. Повременной формой оплаты труда называется такая форма, при которой заработная плата работникам начисляется по установленной тарифной ставке или окладу за фактически отработанное на производстве время. Исходя из механизма оплаты повременная форма стимулирует, прежде всего, повышение квалификации работающих и укрепление дисциплины труда. Повременная форма оплаты труда обычно применяется в следующих случаях:

•  если рабочий не может оказывать непосредственного влияния на увеличение выпуска продукции, который определяется, прежде всего, производительностью машины, аппарата или агрегата;

•  если отсутствуют количественные показатели выработки, необходимые для установления сдельной расценки;

•  при условии правильного применения норм труда.

Применение повременной формы оплаты труда наиболее целесообразно в следующих условиях:

♦  на участках и рабочих местах, где обеспечение высокого качества продукции и работы является главным показателем работы;

♦  при выполнении работ по обслуживанию оборудования, а также на конвейерных линиях с регламентированным ритмом;

♦  на работах, на которых учет и нормирование труда требуют больших затрат и экономически нецелесообразны, а также где труд работника не поддается точному нормированию;

♦  на работах, которые можно формально пронормировать и учесть их результаты, но выработка при выполнении этих работ не является основным показателем.

Для повременной формы оплаты труда характерны две основные системы заработной платы: простая повременная и повременно-премиальная. При простой повременной системе заработная плата работнику (ЗП) за определенный отрезок времени может быть определена следующим образом:


где т — часовая (дневная) тарифная ставка рабочего соответствующего разряда; Т — фактически отработанное на производстве время.

При повременно-премиальной системе заработная плата работника (ЗП|шн) может быть определена по следующей формуле:


где р — размер премии в процентах к тарифной ставке за выполнение установленных показателей и условий премирования; к — размер премии за каждый процент перевыполнения установленных показателей и условий премирования, %; п — процент перевыполнения установленных показателей и условий премирования.

•  наличии количественных показателей работы, которые не посредственно зависят от данного рабочего или бригады;

•  возможности у рабочих увеличить выработку или объем вы полненных работ;

•  необходимости на данном участке стимулировать рабочих к дальнейшему увеличению выработки продукции или объема выполняемых работ;

•  возможности точного учета объема (количества) выполняемых работ;

•  применении технически обоснованных норм труда.

При использовании сдельной формы оплаты труда сохраняется опасность снижения качества выпускаемой продукции, нарушения режимов технологических процессов, ухудшения обслуживания оборудования и его преждевременного выхода из строя, нарушения требований техники безопасности, перерасхода материальных ресурсов. В ряде промышленно развитых стран Запада многие профсоюзные организации отрицательно относятся к сдельной форме оплаты труда, поскольку с их точки зрения она устанавливает зависимость заработка рабочего от его индивидуальных способностей и носит потогонный характер.

Сдельная форма оплаты труда подразделяется на системы по способам:

♦  определения сдельной расценки (прямая, косвенная, прогрессивная, аккордная, подрядная);

♦  расчетов с работниками (индивидуальная или коллективная;

♦  материального поощрения (с премиальными выплатами или без "них).

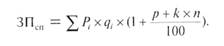
При прямой индивидуальной сдельной системе заработной платы заработок рабочему (ЗП"С) может быть определен по следующей формуле:


где Р. — расценка на /-й вид продукции или работы; q. — количество обработанных изделий /-го вида.

Расценка за единицу выполненной работы или изготовленной продукции может быть рассчитана следующим образом:


где NB и yVn — соответственно нормы времени на обработку одного изделия и выработки за определенный промежуток времени.

При прямой коллективной сдельной системе заработок рабочих может быть определен аналогичным образом с использованием коллективной сдельной расценки и общего объема произведенной продукции (выполненной работы) бригадой в целом. При сдельно-премиальной системе рабочему-сдельщику или бригаде рабочих кроме заработка по прямым сдельным расценкам выплачивается премия за выполнение и перевыполнение установленных количественных и качественных показателей, предусмотренных положением о премировании. В этом случае заработок рабочего или бригады рабочих по сдельно-премиальной системе (ЗПСП) может быть определен по следующей формуле:


Наиболее распространенными показателями и условиями премирования рабочих на российских предприятиях являются:

•  выполнение и перевыполнение производственных заданий по выпуску продукции и повышению производительности труда;

•  работа по технически обоснованным нормам выработки;

•  снижение трудоемкости изготовления продукции;

•  Снижение процента брака;

•  сдача продукции с первого предъявления и др.

Целесообразно дополнять основной заработок рабочего, рассчитанный по повременно-премиальной системе, количественными показателями, а рассчитанный по сдельно-премиальной системе — качественными показателями премирования. Как показывает опыт, премирование целесообразно осуществлять по двум-трем одновременно применяемым показателям и условиям премирования.

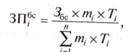
В случае применения коллективных сдельных расценок при бригадной сдельной оплате труда общая заработная плата распределяется между членами бригады с помощью коэффициенто-часов и коэффициента приработка. Сдельный заработок /-го члена бригады (3nfc) может быть определен следующим образом:


где Jfc — сдельный заработок бригады; т. — тарифная ставка /'-го рабочего; Ttвремя, отработанное /-м рабочим в отчетном периоде; п — число рабочих в бригаде.

При косвенно-сдельной системе заработной платы, применяемой, прежде всего, для оплаты труда вспомогательных рабочих, непосредственно занятых обслуживанием основных рабочих, определяются косвенно-сдельные расценки кс).


где т с — тарифная ставка вспомогательного рабочего; N0CHнорма выработки основных рабочих, обслуживаемых данным вспомогательным рабочим.

Заработная плата рабочего при косвенно-сдельной системе оплаты труда (ЗПкс) может быть определена по следующей формуле:


где ^>с„ — объем произведенной продукции (выполненной работы) основными рабочими, обслуживаемыми данным вспомогательным рабочим.

При сдельно-прогрессивной системе изготовленная продукция в пределах установленной нормы оплачивается по обычным расценкам, а сверх этой нормы — по повышенным. Аккордная система Заработной платы предусматривает установление определенною объема работ и общей величины фонда заработной платы за jth работы. Средства, предусмотренные на оплату труда, выплачиваются после завершения всего комплекса работ независимо от сроков их выполнения. Данная система заработной платы стимулирует, прежде всего, выполнение всего комплекса работ с меньшей численностью работающих и в более короткие сроки.

Бестарифные системы оплаты труда. Это распределительный вид оплаты труда, при котором заработок работника или группы работников ставится в полную зависимость от конечных результатов работы всего коллектива, к которому принадлежит работник. Бестарифная модель оплаты труда соединяет в единое целое личные и коллективные материальные интересы. Индивидуальная заработная плата каждого /-го работника (ЗП;.) в этом случае представляет собой его долю в заработанном всем коллективом фонде оплаты труда.

Для бестарифного варианта организации заработной платы характерны следующие основные признаки:

♦ тесная зависимость уровня оплаты труда работников от фон да заработной платы, начисляемой по коллективным результатам работы (в этом качестве бестарифные системы принадлежат к классу коллективных систем оплаты труда);

♦ присвоение каждому работнику постоянных или относительно постоянных коэффициентов, комплексно характеризующих его квалификационный уровень и определяющих его вклад в общие результаты труда по данным о предыдущей трудовой деятельности — так называемый базовый коэффициент трудового участия (КТУ);

♦присвоение каждому работнику текущего КТУ, дополняющего оценку его квалификационного уровня.

Индивидуальная заработная плата /-го работника равна:


где ФОТк — фонд оплаты труда коллектива, распределяемый между работниками; Щукоэффициент квалификационного уровня, присвоенный работнику трудовым коллективом, баллы, доли единицы; КТУ. — коэффициент трудового участия в текущих результатах работы /-го работника; 7] — количество рабочего времени, отработанного »-м работником; п — число работников, участвующих в распределении фонда оплаты труда.

К числу бестарифных следует отнести и контрактную систему оплаты, когда работодатель, нанимая работника, договаривается с ним о конкретной сумме оплаты за определенную работу.

Оплата труда служащих осуществляется установленным им по штатному расписанию окладом и в соответствии с действующей системой премирования. По своему характеру она ближе к повременно-премиальной системе с той лишь разницей, что вместо тарифной ставки (дневной или часовой) фигурирует месячный или годовой оклад. Установленные показатели и условия премирования учитывают специфику труда служащих, а также специфику того подразделения, в котором данный служащий работает.

Основным источником выплат заработной платы всем категориям работающих является фонд оплаты труда. Плановая величина фонда оплаты труда (ФОТ) может быть определена различными способами.


где Чи— среднесписочная плановая численность работающих; ЗПср — средняя заработная плата одного работающего в плановом периоде с доплатами и начислениями.

С помощью данного метода общий фонд оплаты труда может быть рассчитан как исходя из численности работающих и их заработной платы в целом по предприятию, так и по категориям и отдельным группам работников.

2. Нормативный мртг,д расчета:


где (J — общий объем выпускаемой продукции в плановом периоде; Нт — норматив заработной платы на 1 руб. выпускаемой продукции.

При обосновании норматива заработной платы на 1 руб. выпускаемой продукции предприятие должно учитывать планируемое изменение производительности труда, ожидаемый уровень инфляции и планируемое изменение реальной заработной платы работников.

В состав фонда оплаты труда включаются:

•  оплата за отработанное время;

•  оплата за неотработанное время;

•  единовременные поощрительные выплаты;

•  выплаты за питание, жилье, топливо.

Оплата за отработанное время включает: 1) заработную плату по тарифным ставкам и окладам, а также по сдельным расценкам; 2) стоимость продукции, выданной в порядке натуральной оплаты; 3) премии и вознаграждения; 4) стимулирующие доплаты и надбавки к тарифным ставкам за профессиональное мастерство, совмещение профессий и должностей; 5) компенсационные выплаты, связанные с режимом работы и условиями труда, и др.

Оплата за неотработанное время — это оплата: 1) ежегодных и дополнительных отпусков; 2) льготных часов подростков; 3) простоев не по вине работника; 4) вынужденного прогула и др.

Единовременные поощрительные выплаты включают: 1) единовременные (разовые) премии; 2) вознаграждение по итогам работы за год, годовое вознаграждение за выслугу лет (стаж работы); 3) материальную помощь, предоставляемую всем или большинству работников; 4) денежную компенсацию за неиспользованный отпуск; 5) стоимость акций, бесплатно выдаваемых работникам в качестве поощрения, или льготы по приобретению акций и т. д. В последние годы некоторые крупные зарубежные предприятия, используя новый управленческий подход, отказываются не только от индивидуальной сдельной, но и от повременной системы оплаты труда. При этом система материального стимулирования ориентируется на фактическую квалификацию работника (на основании не диплома, а уровня выполняемой работы). На таких предприятиях работники получают фиксированное жалованье за квалификацию, а не за число человеко-часов, проведенных на рабочем месте. Под фактической квалификацией понимается также способность работника не только выполнять свои непосредственные обязанности, но и участвовать в решении производственных проблем, разбираться в любом аспекте хозяйственной деятельности

1.3 Особенности оплаты труда работников бюджетной сферы

В бюджетных организациях работники вступают в отношения найма с работодателями, действующими от имени государства, которое в свою очередь, их нанимает. В распоряжение работодателей передаются бюджетные средства, которые должны обеспечить выполнение поставленных задач в соответствии с профилем деятельности организаций. Как правило, в задачи бюджетных организаций не входит получение прибыли.

Взаимодействия работников и работодателей бюджетных организаций строятся в рамках выделенных органом управления средств. Бюджетные организация накладывают отпечаток на организацию оплаты труда. Почти все условия ее осуществления оказываются регламентированными вышестоящими органами управлениями и бюджетами. В частности, условия тарифной оплаты в организациях бюджетной сферы: здравоохранении, просвещении, высшей школе, науке, культуре и ряде других отраслей определены постановлением Правительства Российской Федерации от 14 октября 1992г. № 785 «О дифференциации в уровнях оплаты труда работников бюджетной сферы на основе Единой тарифной сетки» (с последующими дополнениями и изменениями). В этом постановлении говорится, в частности, что применение ЕТС является обязательным для всех учреждений, организаций и предприятий, находящихся на бюджетном финансировании. ЕТС имеет 18 разрядов, из них для рабочих отведены разряды с 1-го по 8-й, для служащих – со 2-го по 18-й.

Каждому разряду соответствует тарифный коэффициент. Умножая на этот коэффициент ставку (оклад) первого разряда, правительство устанавливает заработную плату по определенной должности. Чем выше разряд, тем больше коэффициент, а следовательно, и заработная плата. Размер тарифной ставки первого разряда является базовым, он пересматривается (недостаточно регулярно), отслеживая рост потребительских цен, и это приводит в движение всю тарифную сетку.

Ставки и оклады устанавливаются по результатам аттестации каждого работника, так как ему должен быть присвоен определенный разряд по тарифной сетке. В частности, при аттестации руководителей и специалистов учитываются следующие факторы: содержание и характер выполняемых работ; разнообразие (комплексность) работ; руководство подчиненными; степень самостоятельности; уровень ответственности. По ряду должностей специалистов, служащих и руководителей устанавливаются своего рода «вилки» разрядов и соответственно окладов.

Высококвалифицированным рабочим, занятым на важных и ответственных работах, также могут устанавливаться ставки и оклады исходя из 9-10-го разрядов ЕТС, по специальным отраслевым перечням, утверждаемым министерствами и ведомствами РФ, а на особо важных и особо ответственных работах – по перечню, утвержденному Минтруда России, исходя из 11- 12-го разрядов ЕТС, хотя, вообще, для рабочих предусмотрены разряды вплоть до 8-го (включительно).

Для обеспечения объективности в присвоении разрядов специалистам разработаны тарифно-квалификационные требования и отраслевые тарифно-квалификационные спавочники. Продолжает действовать и Квалификационный справочник должностей руководителей, специалистов и служащих, в котором даны характеристики для многих межотраслевых должностей.

В целом ЕТС позволяет во многом унифицировать оплату труда работников, вместе с тем сохраняя возможность гибкого управления этой оплатой.

Поэтому многие предприятия внебюджетного сектора экономики строят свою тарифную сетку, используя некоторые принципы ЕТС и внося в них изменения и дополнения, основанные на специфике своих производств.


Глава 2. Анализ оплаты труда в бюджетной сфере

2.1 Социальное партнерство в области оплаты труда

Методологические основы. Правильная организация оплаты труда непосредственно влияет на темпы роста производительности труда и способствует повышению квалификации работников. Заработная плата должна формироваться на основе нормы труда и ставки ее оплаты в зависимости от квалификации каждого работника, сложности выполняемой работы, качества затребованного труда.

В 2007г. заканчивается действие ряда основополагающих нормативных актов по организации оплаты труда работников бюджетной сферы. Они были составлены на основе социального партнерства между общероссийскими объединениями профсоюзов, работодателей и Правительством РФ. В Генеральном соглашении на 2005-2007гг. (п.2.1.) одновременно даются рекомендации для внебюджетной сферы. Например, при заключении отраслевых и региональных соглашений предлагается устанавливать минимальные тарифные ставки (оклады) на уровнях не ниже прожиточного минимума трудоспособного населения соответствующих субъектов РФ.

Почти также разработаны «Единые рекомендации по системе оплаты труда работников организаций, финансируемых из бюджетов на федеральном, региональном и местном уровнях на 2005 год», утвержденные решением Российской трехсторонней комиссии по регулированию социально-трудовых отношений 29 декабря 2004г. (протокол №4).

На основе Генерального соглашения и «Единых рекомендаций…» Правительство РФ издает постановление, в котором утверждает размер тарифной сетки по оплате труда работников федеральных государственных учреждений.

Так, с 1 мая 2006г. тарифная ставка (оклад) первого разряда Единой тарифной сетки (ЕТС) по оплате труда работников федеральных государственных учреждений установлена в размере 1100 руб. (Постановление Правительства РФ от 29.04.2006 №256).

А с 1 октября 2006г. ее размер был повышен в 1,11 раза (Постановление Правительства РФ от 30.09.2006 №590). Однако многие бюджетные организации пересчет тарифных сеток не произвели, так как к моменту выхода этих постановлений годовой бюджет финансирования на 2006г. уже был составлен.

Постановлением Правительства РФ от 29.04. 2006 №256 утверждены межразрядные тарифные коэффициенты ЕТС (см. табл. 1).

Между прочим, до 2004г. постановления Правительства по оплате труда распространялись на всех работников организаций бюджетной сферы (Постановление Правительства РФ от 02.10.2003 №609).Документация социального партнерства предусматривает применение региональных и отраслевых соглашений. При их составлении предприятия в основном руководствуются старой схемой, так как новую, современные законы не предлагают. Поэтому большинство отраслей до сих используют тарифную сетку, установленную по Постановлению ЦК КПСС, Совмина СССР, ВЦСПС от 17.09.86 № 1115.

Таблица 1

Разряд оплаты труда

1

2

3

4

5

6

7

8

9

Межразрядные тарифные

коэффициенты

1

1,04

1,09

1,142

1,268

1,407

1,546

1,699

1,866

Разряд оплаты труда

10

11

12

13

14

15

16

17

18

Тарифные коэффициенты

2,047

2,242

2,423

2,618

2,813

3,036

3,259

3,51

4,5


Результаты партнерства. Стоит отметить, что основные принципы формирования заработной платы в условиях социального партнерства мало соблюдаются. Возник разрыв между уровнем оплаты труда работников государственных и коммерческих организаций. То же наблюдается по отраслям национального хозяйства.

Государство должно увеличить зарплату бюджетников, а во внебюджетной сфере это могут сделать работодатели, но при поддержке государства. Особенно подчеркивает низкий уровень оплаты труда сравнение МРОТ с прожиточным минимумом (см. табл.2).

Об этом же свидетельствует доля зарплаты в системе издержек производства. По оценке Госкомстата России, она составляет всего 10-20%. В то же время в экономически развитых странах за последние 10 лет ее удельный вес составлял 67-72%.

Действующая система партнерства ведет к значительной дифференциации заработной платы по отраслям. Самые высокие зарплаты в октябре 2005г. выплачивались в сфере добычи топливно-энергетических полезных ископаемых – 25832 руб., что в 2,3 раза превышает общероссийский уровень, в финансовой сфере – 23672 руб. (2,1 раза).

А зарплата в сельском хозяйстве составляет 5045 руб., в текстильной и швейной отрасли – 5331 руб., в производстве кожи и обуви – 6134 руб.

Такой разнобой в оплате труда определяется исключительно принятым соотношением тарифной части (постоянной) заработной платы и ее переменных элементов или «исправлением» тарифной сетки, установленной государством в директивном порядке.

Проконтролировать столь заметные расхождения уровня оплаты труда по видам экономической деятельности весьма затруднительно. Установленная органами статистики отчетная форма № П-4 «Сведения о численности, заработной плате и движении работников» предусматривает учет фонда заработной платы без выделения в нем уровня тарифной ставки, доплат к должностным окладам и тарифным ставкам, надбавок к ним, премий и других поощрительных выплат.

Порядок регулирования трудовых отношений органами, осуществляющими социальное партнерство (гл.5 ТК РФ), и заключения коллективных договоров и тарифных соглашений (гл. 7ТК РФ) подробно регламентированы. Но этого нельзя отметить в оплате и нормировании труда (разд. 6 ТК РФ).

Не узаконен в Кодексе порядок исчисления минимального потребительского бюджета. К тому же при чрезвычайно низком уровне МРОТ не он решает проблемы получения работниками достойного и справедливого заработка. А его, по прогнозам Министерства экономического развития и торговли, предполагают поднимать в очень скромном размере: в 2007г. он должен вырасти всего на 12,8%, в 2008-м – на 10,8, в 2009-м – на 8,8, в 2010г. – на 8,2%.

При таком повышении заработка заниженная базовая тарифная ставка оплаты труда рабочего 1-го разряда не позволит поднять его уровень в издержках производства.

Ничего нового социальное партнерство не вносит разрекламированная корпоративная система оплаты труда, введенная с 1 апреля 2007г. во всех подразделениях и филиалах ОАО «Российские железные дороги». Она по- прежнему базируется на минимальном уровне заработной платы.

Преимущество только в установлении вилок должностных окладов.

Таблица 2

Сравнение минимального уровня оплаты труда (МРОТ) с прожиточным минимумом

Срок, с которого установлены показатели

Сумма Минимального  размеры  оплаты труда в рублях

Сумма прожиточного минимума в рублях

Нормативный акт, отношения МРОТ к прожиточному минимуму

132

1350

Постановление правительства

РФ от 11.11.2000 №852

9,8

С 1 января 2001г.

200

1513

Постановление правительства

РФ от 07.09.2001 №664

13,2

С 1 июля 2001г.

300

1658

Постановление правительства

РФ от 21.12.2001 №879

18,1

С 1 октября 2003г.

600

2341

Постановление правительства

РФ от 12.02.2004 №74

25,6

С 1 января 2005г.

720

2451

-

29,4

С 1 сентября 2005г.

800

2600

-


С 1 января 2007г.

1100

3500?

- примерно

31,4

С 1 сентября 2007г.

2300

4500?

-примерно

51,1


2.2 Новая система дифференцированной оплаты труда в школе

Одним из главных факторов и значительным резервом общего образования является новая система дифференцированной оплаты труда, введение с 1 сентября 2007г. в соответствии с Указом Президента Чувашской Республики от 19 мая 2007г. № 39 «О дополнительных мерах государственной поддержки системы образования в Чувашской Республике». Она направлена на повышение эффективности и результативности деятельности каждого педагога. В 2007 году в Чувашской Республике в рамках реализации комплексного проекта модернизации образования, выигранного на конкурсной основе, во всех общеобразовательных учреждениях создана стимулирующая часть фонда оплаты труда, которая распределяется совместно с управляющим советом в зависимости от качества работы. В результате средняя заработная плата учителя увеличилась с 5368 рублей в 2006 году до 8000 рублей к концу 2007 года, а в 2009 году она увеличится в два раза к уровню 2006 года.

При этом на сегодняшний день заработная плата работников дошкольных образовательных учреждений и учреждений дополнительного образования значительно ниже, чем в школах.

Глава 3. Регулирование оплаты труда

3.1 Пути устранения неурегулированности

Рекомендация трехстороннего Генерального соглашения (п. 2.1) для внебюджетного сектора экономики, состоящая в том, что при заключении отраслевых и региональных соглашений необходимо установить минимальные тарифные ставки (оклады) на уровне не ниже прожиточного минимума, вряд ли может способствовать созданию эффективных условий вознаграждения работников предприятий и организаций.

Намного лучше будет, если применить уровень оплаты труда во внебюджетной сфере к бюджетной. В этом случае наблюдаемый разрыв в зарплатах работников разных квалификационных групп заметно уменьшится. Бояться роста инфляции при этом не следует, так как можно размер вознаграждения материализовать моделями рыночного регулирования труда.

Целесообразно корректировку уровня оплаты труда во внебюджетной сфере производить, устанавливая уровень зарплаты работников в зависимости от колебаний цен на товары, производимые их предприятием.

Ответственную роль в росте национальной экономики играет правильное определение диапазона дифференциации заработной платы не только в интересах государства, но и с учетом интересов предприятий и работников.

Несомненно, следует повышать размер минимальной ставки оплаты рабочего 1-го разряда, решить вопрос о более обоснованных тарифных коэффициентах, предусматривающих разумную дифференциацию малоквалифицированного и высококвалифицированного труда. Должны быть достоянием общественности сведения по регионам страны о размере часовой ставки оплаты труда работников разных специальностей и профессий.

На фоне изъянов тарифной системы ее антипод децентрализованная «бестарифная система» имеет много преимуществ, так как заставляет руководителей вдумчиво осуществлять ее организацию, о чем свидетельствует большое число применяемых разновидностей этой системы. К тому же эта система предоставляет право работодателям внебюджетных организаций свободно выбирать условия тарификации оплаты труда.

В любом случае она даст возможность соизмерять фонд оплаты труда работников с конечными и промежуточными результатами хозяйственно-финансовой деятельности предприятия. Такая система может стать действенным инструментом улучшения качественного состояния производства с одновременным снижением затрат.

Вступление в силу Федерального закона «О внесении изменений в ТК РФ», признавшего недействующими на территории РФ некоторых правовых актов СССР, ставит в затруднительное положение многие предприятия, которые используют прежнюю тарифную систему.

Поэтому в новом тексте Генерального соглашения следует предусмотреть право предприятий сохранять ранее установленные тарифные сетки.

Обычно региональные и отраслевые соглашения подписывает небольшое число представителей предприятий, мнение которых не отражает интересы всех организаций отрасли. Очевидно, такое право должно быть предоставлено только союзам работодателей.

Не определен федеральный орган исполнительной власти, в компетенцию которого входят функции по осуществлению социального партнерства.

Бестарифную систему оплаты труда нужно обобщить на государственном уровне и составить рекомендации по ее применению.

Только при соблюдении всех разумных принципов установления заработной платы можно добиться того, чтобы она заработала как экономическая категория, а не как элемент уравниловки.

3.2 Прогнозные оценки повышения заработной платы

В социальном развитии страны в 2007-2010 годах сохранятся высокие темпы роста денежных доходов населения во всех регионах, считают в Министерстве экономического развития и торговли РФ. Подготовленный в ведомстве документ под названием «Сценарные условия социально-экономического развития РФ на 2008 год и на период до 2010 года» одобрен Правительством.

За счет всех составляющих денежных доходов населения: фонда заработной платы, социальных трансфертов, предпринимательской деятельности и прочих доходов – прирост реальных располагаемых доходов россиян за четыре года должен превысить 32%. Причем реальная зарплата может возрасти до 42,8% по оптимистичному варианту развития страны, а по пессимистичному – на 36,5%.

Этот рост будет обусловлен, по прогнозу МЭРТ, устойчивыми темпами экономического развития, высокими доходами в экспортно-ориентированных отраслях, а также предпринимаемыми мерами по повышению оплаты труда работников бюджетной сферы.

Второй вариант сценарных условий социально-экономического развития страны ориентирован на относительное улучшение конкурентоспособности отечественного бизнеса и на диапазон цен на нефть в мире от 61,1 долл. За баррель до 45 долл. Инерционный (первый), вариант отражает развитие российской экономики в условиях низких темпов роста экспорта углеводородов при продолжающемся ухудшении конкурентоспособности отечественной продукции и замещении ее импортной.

И субъектам Федерации предписано соблюдать эти параметры прогноза развития экономики страны при составлении, в частности, своих финансовых планов на три года. При этом Правительством РФ принят очень жесткий график работы над бюджетом 2008г. и последующих двух лет.

Одновременно в субъекты Федерации направлены Методические рекомендации для разработки плана развития муниципального сектора экономики Российской Федерации на 2008год.

Прогнозные оценки повышения заработной платы к 2010году:


2006г.

2007г.

2009г.

2010г.

2010г.к

2007г.

Номинальная начисленная

Средняя заработная плата в целом по экономике, руб.

10736

12920

15304

17723

20395


Темп роста, %

125,5

120,3

118,5

115,8

115,1

157,9

Реальная заработная плата в целом по экономике, %

113,5

111,4

110,0

108,1

107,8

128,2

Номинальная начисленная заработная плата бюджетников, руб.

7252

8574

9842

11207

12447


Темп роста, %

124,8

118,2

114,8

113,9

111,1

145,2

Реальная заработная плата Бюджетников

113,7

109,5

106,6

106,3

104,0

117,8

Соотношение заработной платы

Бюджетников и в целом по экономике, %

67,5

66,4

64,3

63,2

61,0



Заключение

Заработная плата, как форма цены рабочей силы, занятой в производственной сфере, - это основная часть жизненных средств работников, распределяемая между ними в соответствии с количеством и качеством затраченного труда, реальным трудовым вкладом каждого и зависящая от конечных результатов работы предприятия.

Можно выделить четыре основные функции заработной платы: воспроизводственную – обеспечение возможности воспроизводства рабочей силы; стимулирующую (мотивационную) – повышение заинтересованности в развитии производства; социальную, способствующую реализации принципа социальной справедливости; учетно-производственную, характеризующую меру участия живого труда в процессе образования цены продукта, его долю в совокупных издержках производства.

Принципы организации заработной платы – это объективные, научно обоснованные положения, отражающие действие экономических законов и направленные на более полную реализацию функций заработной платы.

Номинальная заработная плата – зафиксированная в расчетной ведомости или в иных документах величина заработной платы, характеризующая уровень оплаты труда вне связи с ценами на товары и услуги и денежными расходами работника. В отличие от номинальной реальная заработная плата учитывает покупательную способность денег. Реальная заработная плата – заработная плата, исчисленная как совокупность благ, потребительских товаров и услуг, которые можно на нее приобрести.

Тарифная система представляет собой совокупность ставок заработной платы (тарифных ставок, должностных окладов) и условий их применения (классификаторов работ, профессий, условий труда, различного рода перечней, тарифно-квалификационных и квалификационных справочников, указаний на сферу применения системы или ее составных частей и т. п.).

Под системой оплаты труда понимается определенная взаимосвязь между характеризующими меру (норму) труда и меру его оплаты в пределах и сверх установленных норм труда показателями, гарантирующая получение работниками заработной платы в соответствии с фактически достигнутыми результатами труда (относительно нормы) и согласованной между работодателем и работником ценой его рабочей силы.

Под формами заработной платы понимаются две группы систем оплаты, различающиеся показателями для определения результатов труда.

Организация оплаты труда представляет собой одну из самых сложных функций управления экономикой предприятия. Она должна обеспечить сочетание личных интересов каждого работника с интересами предприятия и государства.

Ответственную роль в росте национальной экономики играет правильное определение диапазона дифференциации заработной платы не только в интересах государства, но и с учетом интересов предприятий и работников. Несомненно, следует повысить размер минимальной ставки оплаты рабочего 1-го разряда, решить вопрос о более обоснованных тарифных коэффициентах, предусматривающих разумную дифференциацию малоквалифицированного и высококвалифицированного труда. Должны быть достоянием общественности сведения по регионам страны о размере часовой ставки оплаты труда работников разных специальностей и профессий.

В 2007году в Чувашской Республике в рамках реализации комплексного проекта модернизации образования, выигранного на конкурсной основе, во всех общеобразовательных учреждениях создана стимулирующая часть фонда оплаты труда, которая распределяется совместно с управляющим советом в зависимости от качества работы.

В социальном развитии страны в 2007-2010годах сохраняются высокие темпы роста денежных доходов населения во всех регионах, считают в министерстве экономического развития и торговли РФ.

Список использованной литературы

1.   «О Республиканской программе действий по обеспечению развития системы начального профессионального образования в Чувашской Республике на 2005-2007годы и на период до 2010года»: постановление Кабинета Министров ЧР от 27 мая 2005года № 129// Собрание законодательства Чувашской Республики. – 2005. - № 5. – с. 216-283.

2.   «О дополнительных мерах обеспечению повышения заработной платы в Чувашской Республике»: Указ президента Чувашской Республики// Канаш. – 2006. - № 124. – с. 1.

3.   Ильин А. И. Планирование на предприятии: Учеб. Пособие/ А. И. Ильин. – 7-е изд. – Мн.: Новое знание, 2006. – С. 440-483.

4.   Кибанов А. Я. Экономика и социология труда: Учебник/ А. Я. Кибанов. – М.: ИНФРА – М, 2007. – С. 271 292.

5.   Сафонов Н. А. Экономика организации (предприятия): Учебник/ Н. А. Сафонова. – 2-е изд., - М.:Экономистъ, 2005. – С. 154-170.

7.   Гимпельсон В., Лукьянова А. «О бедном бюджетнике замолвите слово…»: Межсекторные различия в заработной плате// Вопросы экономики. – 2006. - № 6. – с.81-89.

8.   Яковлев Р. А. «О госгарантиях по оплате труда в условиях законообеспечения ведущей роли локальных нормативных актов» в регулирование заработной платы// Российский экономический журнал. – 2007. - № 4. – с.24-37.

9.   Кулаева Д. Разные виды, разные оплаты// Экономика и жизнь. – 2007. - № 38. – с. 31.

10.  Кулаева Д. Правильный выбор: чтобы зарплатой жизнь не летать// Экономика и жизнь. – 2007. - № 42. – с.31.

11. Либерман И. Социальное партнерство в области оплаты труда// Экономика и жизнь. – 2007. - № 38. – с. 31.

12.  Омельченко С. Богатеть не торопясь// Экономика и жизнь. – 2007. - № 38. – с. 38.

13. Санжиев Д. Весям прописали сценарные условия// Экономика и жизнь. – 2007. - № 10. – с.37.

«Стратегия развития образования в Чувашской Республике до 2040года» Утверждение Указом Президента Чувашской Республики от 21.03.2008 № 25// Вести Чувашии. – 2008. - № 12. – с. 10.

Похожие работы на - Организация и регулирование оплаты труда

 

Не нашли материал для своей работы?
Поможем написать уникальную работу
Без плагиата!
Без нейросетей!