Методы оценки управленческого потенциала руководителей и роль центров оценки в современной организации

  • Вид работы:
    Реферат
  • Предмет:
    Менеджмент
  • Язык:
    Русский
    ,
    Формат файла:
    MS Word
    267,90 kb
  • Опубликовано:
    2010-09-18
Вы можете узнать стоимость помощи в написании студенческой работы.
Помощь в написании работы, которую точно примут!

Методы оценки управленческого потенциала руководителей и роль центров оценки в современной организации

УПРАВЛЕНИЕ ЧЕЛОВЕЧЕСКИМ ПОТЕНЦИАЛОМ










Реферат на тему:

МЕТОДЫ ОЦЕНКИ УПРАВЛЕНЧЕСКОГО ПОТЕНЦИАЛА РУКОВОДИТЕЛЕЙ И РОЛЬ ЦЕНТРОВ ОЦЕНКИ В СОВРЕМЕННОЙ ОРГАНИЗАЦИИ

ВВЕДЕНИЕ

Говоря о способах оценки человеческого потенциала (ЧП), необходимо в первую очередь уточнить само понятие «человеческий потенциал». С этой целью логично воспользоваться определением термина «потенциал», приведенным в «Словаре современных понятий и терминов» [3]. Под потенциалом (от лат. potentia — сила) понимается:

 совокупность возможностей, источников, средств, запасов и др., которые могут быть приведены в действие, использованы для решения определенных задач, достижения поставленных целей;

 возможности отдельного лица, общества, государства в определенной области.

Принимая данную формулировку за основу, мы можем определить понятие «человеческий потенциал» следующим образом: ЧП — это совокупность возможностей отдельных лиц, общества, государства в области использования человеческих ресурсов для решения определенных задач и достижения поставленных целей.

ТРУДОВОЙ ПОТЕНЦИАЛ КАК ОСНОВА ЧЕЛОВЕЧЕСКОГО ПОТЕНЦИАЛА

С экономической точки зрения основным элементом ЧП является трудовой потенциал (ТП).

Результаты деятельности каждой современной организации напрямую связаны с состоянием и степенью использования ее ТП. В специальной литературе термины «трудовой потенциал» и «кадровый потенциал» (КП) часто употребляются как синонимы, однако между этими понятиями имеются различия.

ТП компании — это максимально возможное качество и количество труда, которое способен обеспечить коллектив организации при данном уровне научно-технического прогресса. Под КП компании понимается совокупная оценка профессиональных и личностных возможностей кадрового состава организации, в основе которой лежит изучение ТП работников и компании в целом.

ТП работника — это возможности сотрудника, определяющие степень его участия в трудовой деятельности. ТП работника проявляется через его КП. Под КП работника понимается совокупность количественных и качественных характеристик сотрудника, определяющих его возможности. Существует большое количество личностных и профессиональных характеристик КП работника: возраст, здоровье, уровень компетентности, способность к профессиональному росту, непрерывному образованию, отношение к труду, знания, опыт, навыки, стаж работы по данной специальности, семейное положение и др.

Анализ КП организации проводится с целью определения возможностей его использования, формирования кадровой политики и организации целенаправленных мероприятий по ее реализации. Анализ необходимо проводить по каждой из составляющих КП, а затем разрабатывать единый комплекс мероприятий, направленных на повышение потенциала и степени его использования. Для осуществления поставленной цели нужно: 1) сформировать требования к КП; 2) определить КП и оценить достигнутый уровень развития его отдельных составляющих; 3) провести оценку КП и определить степень его соответствия должностным требованиям; 4) определить степень использования КП.

Рассмотрим обозначенные этапы более подробно на примере компании «Русская Трапеза», крупнейшего российского производителя фасовочно-упаковочного оборудования и флексографической продукции для упаковочной отрасли.

Требования к КП определяются путем установления требований к каждому рабочему месту или группе однотипных рабочих мест (должностей) исходя из поставленных перед организацией задач. Требования к рабочему месту — это характеристики, которыми должен обладать сотрудник, и условия, которые он должен выполнять, занимая данное рабочее место или должность. Такие требования формулируются при разработке должностных инструкций, квалификационных характеристик, карт компетенций и пр.

Для компании «Русская Трапеза» в большей степени характерно формирование должностных инструкций, нежели других документов. Так, например, руководитель отдела управления персоналом совместно с руководителями структурных подразделений проводит анализ, составляет описание работ и на основании полученных данных разрабатывает должностные инструкции. Кроме того, должностные инструкции пересматриваются с периодичностью не реже одного раза в год и корректируются в зависимости от изменения целей и стратегии развития компании.

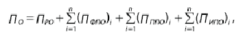
Для того чтобы определить КП организации, не о бходимо воспользоваться следующей формулой:

где ПО — КП организации; ПРО — КП руководства организации; ПФПО — КП i-го функционального подразделения аппарата управления организации; ПППО — КП i-го производственного подразделения организации; ПИПО — КП i-го инфраструктурного подразделения организации; n — количество подразделений (функциональных, производственных, инфраструктурных) соответст венно.

Для определения КП организации и дальнейшего изучения его отдельных составляющих отдел управления персоналом компании «Русская Трапеза» ежеквартально проводит соответствующие расчеты. Так, например, с января по сентябрь 2009 г. в условиях нестабильной экономической ситуации величина КП организации незначительно снижалась (на 1–3%), однако с октября 2009 г.

И по настоящее время наблюдается ее повышение (опять же незначительное — на 2–5%). Определение конкретного размера КП позволяет оценить достигнутый уровень его отдельных составляющих.

Оценка КП организации осуществляется на ос нове сравнения его величины с требованиями к КП. В стандартном виде оценка КП предполагает:

 во-первых, выявление требований к занимаемой должности, рабочему месту, КП конкретного работника;

 во-вторых, определение возможностей сотрудника, занимающего данное рабочее место;

 в-третьих, оценку степени соответствия потенциала работника требованиям рабочего места.

Определив потенциал каждого работника и степень его соответствия требованиям рабочего места, можно получить средневзвешенные по подразделению показатели потенциала. Для оценки степени использования КП организации необходимо провести количественный анализ кадрового состава руководителей и специалистов. В зависимости от специфики деятельности компании и ее масштабов возможен анализ различных показателей. Службы кадров российских организаций традиционно оценивают следующие основные показатели:

 степень укомплектованности кадрового состава (как по ключевым уровням и подразделениям аппарата управления, так и по организации в целом);

 структуру кадрового состава для определения избыточного количества / дефицита кадров по различным группам специалистов и руководителей;

 степень качественной укомплектованности кадрового состава по соответствию профиля и уровня образования занимаемым должностям;

 интенсивность карьерного роста руководителей и специалистов в организации;

 стабильность состава кадров и др.

Однако современные организации дополняют и корректируют вышеприведенный перечень. Например, отдел управления персоналом холдинга «Русская Трапеза», помимо перечисленных параметров, анализирует эффективность использования рабочего времени с по мощью фотографии рабочего дня и тематических наблюдений за определенными сотрудниками. С этой целью периодически в различные подразделения компании под видом новых работников внедряются эксперты. Также дополнительно анализируются рациональность использования квалификации работников (определяется путем сопоставления трудоемкости работ, выполняемых в соответствии с общей длительностью рабочего дня и должностной инструкцией) и равномерность загрузки сотрудников в течение рабочего дня.

Таким образом, подобный анализ позволяет оценить правильность подбора работ в соответствии с квалификацией сотрудников. Такой анализ, проводимый по всем основным подразделениям организации и категориям работников, способствует эффективной расстановке рабочей силы, выявлению отделов с избытком / дефицитом кадров. Также на его основании представляется возможным корректировать численный состав некоторых категорий сотрудников, уточнять должностные инструкции и перераспределять функции между специалистами разных должностей или подразделений, а также изменять технологию выполнения работ или оказания услуг. По мнению авторов, результаты оценки КП являются основой для разработки кадровой политики организации.

ОСНОВНЫЕ МЕТОДЫ ОЦЕНКИ ПОТЕНЦИАЛА РУКОВОДИТЕЛЕЙ

Теперь следует остановиться на оценке управленческого потенциала руководителей. Потребность в профессиональных руководителях постоянно возрастает, вместе с тем все острее ощущается дефицит таких специалистов. Проводимая во многих организациях аттестация руководителей не всегда позволяет успешно решать задачи повышения эффективности работы руководящего состава и выявления наиболее перспективных руководителей.

Основной целью оценки потенциала руководителей является расширение возможностей данной категории персонала, а также поиск путей повышения эффективности работы всех структурных подразделений и организации в целом.

Таким образом, оценка потенциала управленческих кадров предполагает не только определение степени успешности руководителя в процессе решения конкретных задач, стоящих перед ним или его структурным подразделением, но и выявление возможностей для улучшения работы оцениваемых руководителей.

Достижение поставленной цели возможно только в случае выполнения двух условий: 1) каждый руководитель должен максимально полно использовать открывающиеся перед ним или его структурным подразделением возможности; 2) руководящие должности должны занимать наиболее достойные и способные люди.

Рассматривая потенциал руководителя и его способность со временем решать все более сложные задачи, необходимо в первую очередь оценить уровень развития управленческих компетенций. К наиболее важным управленческим компетенциям можно отнести:

 уровень квалификации руководителя (наличие высшего образования, профессионального опыта для успешного выполнения управленческих функций, хорошая ориентация в смежных областях);

 умение оптимизировать процесс управления подразделением или организацией в целом (определение полномочий, планирование работы подчиненных, способность к грамотной расстановке персонала и др.);

 навык формирования эффективной команды (подбор кадров, создание условий для результативной работы подразделения или организации, формирование чувства приверженности организации и др.);

 ориентацию на результат (в том числе решительность, упорство, умение рисковать, способность к проявлению инициативы);

 умение анализировать проблемы и вырабатывать альтернативные решения;

 способность поддерживать дисциплину в коллективе путем четкой постановки целей и задач, определения конкретных требований к результатам работы и осуществления контроля за их выполнением;

 умение мотивировать коллектив на работу (владение средствами материального и морального стимулирования, способность добиться отдачи от подчиненных);

 готовность оказать подчиненным помощь с учетом затруднений, с которыми сталкивается коллектив в процессе работы;

 эффективное использование руководителем собственного потенциала (планирование карьеры, повышение квалификации, планирование рабочего времени, умение грамотно организовывать собственную деятельность и др.). Безусловно, список вышеперечисленных компетенций не является исчерпывающим. В некоторых случаях руководителю требуется наличие дополнительных компетенций, связанных с особенностями деятельности организации или со спецификой персонала, работающего в возглавляемом им подразделении. Так, например, отдел управления персоналом компании «Русская Трапеза» с целью определения эталонных компетенций, которыми должен обладать руководитель проекта по продажам сложного технического оборудования, провел опрос группы менеджеров по продажам, работающих в различных подразделениях организации.

По результатам опроса был составлен рейтинг основных компетенций руководителя (рис. 1), в который соответственно вошли: 1) навык ведения переговоров (способность и стремление достигать результата на основе взаимопонимания в процессе непосредственного делового общения); 2) нацеленность на результат (способность четко представлять конечный результат и стремление к его достижению в процессе организации производственной деятельности); 3) динамичность мышления (способность быстро переключаться с одного вида деятельности на другой, умение устанавливать и структурировать связи между элементами информации, строить целостный образ анализируемой ситуации); 4) лидерские навыки (способность вдохновить других, побудить их к действиям, демонстрация высокого уровня активности, влияния, участия в принятии решений); 5) навык планирования (способность разрабатывать планы и графики для координации своих действий и работы коллектива подразделения); 6) ответственность (умение брать на себя определенные обязательства, самостоятельно принимать решения и отвечать за их выполнение); 7) аналитические способности (умение проводить анализ проблемы, выделять ее составляющие, делать логичные выводы, основанные на правильно отобранной информации); 8) коммуникабельность (способность выстраивать процесс общения с людьми независимо от их должности, социального статуса и личностных особенностей).

В условиях современной экономической ситуации работа каждого руководителя предполагает решение значительного числа разнообразных задач, поэтому для оценки его потенциала необходимо применять комплексный подход. Среди наиболее часто используемых методов оценки потенциала управленческих кадров можно выделить следующие:

 экспертные оценки;

 оценка потенциала руководителя со стороны подчиненных;

 ситуационно-поведенческие тесты и личностные опросники;

 проведение специализированных семинаров.

Вышеперечисленные методы являются оптимальными с точки зрения соотношения надежности и валидности, а также экономических затрат.

Рассмотрим каждый из них более подробно.

Экспертные оценки Данный метод наиболее часто используется для оценки потенциала управленческих кадров.

Традиционно руководители оцениваются одновременно несколькими экспертами:

 вышестоящими руководителями;

 руководителями того же уровня;

 подчиненными.

При этом соблюдается строгая конфиденциальность не только со стороны оценивающих, но и со стороны оцениваемого.

Форма опросника при экспертной оценке потенциала руководителя может изменяться в зависимости от специфики деятельности организации. В данном случае наиболее известной является методика «360 градусов». Ее объективность обусловлена тем, что руководитель оценивается одновременно как вышестоящими руководителями, так и коллегами и подчиненными. Целью использования данной методики является установление обратной связи с коллегами в этичной, корректной форме, что дает руководителю возможность планирования дальнейшего обучения, развития и самосовершенствования. Однако наряду с достоинствами (возможность оценки деловых и личностных качеств, особенностей рабочего поведения) данный метод имеет некоторые недостатки, в частности психологические ошибки восприятия (эффект снисходительности, эффект ореола, чрезмерная требовательность и др.).

Оценка потенциала руководителя со стороны подчиненных Традиционно оценка потенциала руководителя подчиненными проводится в современных организациях один раз в год в форме диалога между начальником и подчиненными. Последним предлагается оценить стиль управления своего непосредственного руководителя. Эффективность такой оценки может быть обеспечена только в том случае, если полученная информация будет использоваться конструктивно. Однако как руководитель, так и подчиненный сталкиваются с определенными трудностями и психологическими барьерами при выполнении поставленной задачи.

В качестве примера эффективного использования данного метода рассмотрим опыт компании «Русская Трапеза», в частности одного из ее структурных подразделений — конструкторского бюро. В конце 2009 г. всем работникам данного отдела было предложено оценить стиль руководства, используемый их непосредственным начальником. Для этого им было необходимо ответить на следующие вопросы: «Какого стиля руководства Вы ожидаете от начальника конструкторского бюро в 2010 г.?», «Что Вы могли бы предложить начальнику конструкторского бюро для совершенствования его стиля управления?», заполнив соответствующие разделы матрицы (рис. 2).

Благодаря использованию данной матрицы начальник конструкторского бюро получает уникальную информацию, грамотное применение которой приводит не только к его личному развитию и самосовершенствованию, но также и к повышению эффективности работы подразделения в целом. Однако, с точки зрения авторов, некоторые аспекты деятельности руководителей не могут подвергаться оценке (например, планирование и организация рабочего процесса, финансовое планирование, постановка целей, уровень управленческих знаний, принятие решений, аналитические и технические способности, взаимоотношения с высшим руководством). Соответственно, к аспектам управленческой деятельности, которые могут оцениваться подчиненными, можно отнести: стиль руководства и общения с подчиненными, умение справедливо распределять работу, готовность к сотрудничеству, четкость требований, самоконтроль и др.

Ситуационно-поведенческие тесты

Специализированные семинары

В некоторых случаях для определения управленческого потенциала руководителей возможно использование специализированных семинаров, участниками которых являются руководители и специалисты. Проведение подобных семинаров позволяет современным организациям совместить обучение работников с оценкой потенциала руководителей.

Специализированные семинары проходят в течение нескольких дней, каждый из них преследует определенные цели. Как показывает практика, целью таких мероприятий является выделение слушателей, обладающих наиболее высоким потенциалом, с дальнейшим рассмотрением их в качестве кандидатов в кадровый резерв или на должность более высокого уровня.

Оценочные процедуры, включаемые в программу семинаров, напрямую связаны с обучающими процедурами, например деловыми играми, групповыми обсуждениями, анализом практических ситуаций. Совмещение процедур оценки, направленных на определение перспективных кандидатов, с учебным процессом позволяет снять психологические барьеры и разнообразные трудности, с которыми могут столкнуться участники мероприятия. В компании «Русская Трапеза» специализированные семинары для оценки потенциала руководителей проектов и выявления наиболее перспективных специалистов по продажам проводятся ежеквартально. После проведения оценочных процедур участники разбиваются на три группы: 1) кандидаты, которые безусловно подходят для включения в кадровый резерв и могут занимать руководящие должности более высокого уровня; 2) кандидаты, которые условно подходят для включения в кадровый резерв и требуют дополнительной подготовки; 3) кандидаты, которые не подходят для включения в кадровый резерв.

Отдел управления персоналом рассматривает результаты специализированных семинаров в комплексе с результатами других оценочных мероприятий, что позволяет сделать прогноз успешности каждого конкретного руководителя и определить пути его дальнейшего развития.

Таким образом, мы выделили основные методы оценки потенциала руководителей, которые наиболее часто применяются современными компаниями. Данные методы являются наиболее эффективными с точки зрения соотношения надежности и экономических затрат, однако могут быть дополнены и другими процедурами. Стоит отметить, что при планировании и разработке систем и методов оценки потенциала руководителей необходимо не забывать о «цене вопроса», т.е. стремиться к той самой золотой середине, которая позволит наиболее эффективно использовать стратегические ресурсы компании, такие как рабочее время сотрудников, их моральное состояние (удовлетворенность работой) и др.

ЦЕНТР ОЦЕНКИ КАК ОДИН ИЗ МЕТОДОВ ОЦЕНКИ ПОТЕНЦИАЛА РУКОВОДИТЕЛЕЙ

Стоит более подробно остановиться на таком методе оценки потенциала руководителей, как центр оценки (ЦО). Под ЦО понимается одновременное использование определенного набора методов, таких как интервью, деловые игры, тестирование, дискуссии и др. Изначально этот метод получил широкое распространение в США, однако на протяжении последних десяти лет он все чаще используется и в России. Причина такой популярности заключается в высоком качестве и объективности оценок, выставляемых специалистами центров.

К основным задачам, на решение которых ориентированы ЦО, можно отнести:

 оценку управленческого потенциала кандидатов (анализ способностей, опыта, знаний и навыков, личностных и деловых качеств);

 выявление руководителей, которые обладают наиболее высоким управленческим потенциалом, для дальнейшего формирования кадрового резерва или назначения на руководящие должности более высокого уровня;

 выбор для каждого из оцениваемых руководителей определенной программы обучения, направленной на развитие и совершенствование выявленных способностей или (в худшем случае) ликвидацию недостатков.

Традиционно процесс оценки руководителей с помощью ЦО можно разделить на три этапа: 1) подготовительный; 2) оценочный; 3) составление заключений о кандидатах.

В рамках первого этапа определяются основные требования к должности и ключевые компетенции оцениваемых руководителей. Далее группа экспертов оценивает кандидатов в процессе выполнения ими различных упражнений, тестов и заданий. Уникальным является то, что для каждого эксперта в каждом упражнении назначается конкретный кандидат, которого необходимо оценить по ряду критериев. Таким образом обеспечивается объективность и полнота оценки участников.

Существует ряд методов, используемых в практике работы ЦО для тестирования управленческого персонала. Перечислим их.

 Биографический метод (анализ биографических сведений).

 Устные или письменные характеристики на каждого из оцениваемых руководителей в свободной форме (описание того, что собой представляет и как себя проявляет оцениваемый, включая рассмотрение личных и профессиональных достижений и упущений).

 Оценка по результатам (описание работы, выполняемой сотрудником, в устной или письменной форме).

 Интервью. Проводится для определения степени соответствия опыта, знаний и навыков сотрудника установленным требованиям.

 Метод групповой дискуссии (постановка, групповое обсуждение и решение моделируемой проблемы). В процессе дискуссии оцениваются личностные качества и знания кандидата.

 Анализ конкретных ситуаций (разбор конкретных смоделированных ситуаций с целью определения важнейших проблем и выработки предложений по их решению).

 Метод эталона (оценка руководителя в сравнении с «идеальным» кандидатом, характеристики которого приняты за эталон).

 Метод выставления оценок группой экспертов.

 Метод группировки работников (подбор конкретных людей под определенную ролевую структуру рабочей группы).

 Психологическое тестирование (определение личностных особенностей, знаний, умений, способностей и прочих характеристик оцениваемого с помощью специальных тестов).

 Экспертное ранжирование (определение места (ранга) оцениваемого среди других кандидатов исключительно экспертным путем и дальнейшее расположение всех оцениваемых в порядке убывания / возрастания ранга).

 Метод попарных сравнений (попарное соотнесение оцениваемых между собой по ряду признаков и дальнейшее математическое ранжирование кандидатов в порядке убывания).

 Деловые игры (разыгрывание ситуации по сценарию, моделирующему производственные условия). В процессе такой игры участникам необходимо принимать решения на основе имеющейся у них информации.

 Метод графического профиля. Вместо оценочных показателей в данном случае используется графическая форма оценок, а именно ломаная линия, соединяющая количественные задания (точки) с различными качествами оцениваемого руководителя. Это позволяет наглядно сопоставлять профиль «идеального» руководителя с профилем оцениваемого, а также сравнивать различных кандидатов между собой.

 Метод заданной балльной оценки (начисление / снятие условного количества баллов за достижения или упущения).

 Коэффициент-метод. Предполагает выявление факторов оценки и их эталонных значений для каждой из групп оцениваемых. Итоговый результат сопоставляется с эталоном, в результате чего определяются различные коэффициенты, которые позволяют оценивать руководителей и сравнивать их между собой.

 Метод «критического инцидента» (оценка экспертами того, как вел себя кандидат в критической ситуации — при разрешении новой проблемы, принятии ответственного решения и пр.).

 Метод самооценок и самоотчетов (письменный отчет или устное выступление перед коллективом с анализом выполненных работ и личных обязательств). При наличии благоприятного психологического климата в коллективе использование данного метода способствует повышению моральной ответственности руководителя и принятию им на себя обязательств перед подчиненными.

 Метод шкалирования (установление для каждого кандидата определенного значения по шкале показателей).

 Метод упорядочения рангов (расставление нескольких экспертных оценок в порядке возрастания или убывания относительно определенного значения).

 Метод альтернативных характеристик (оценка экспертами каждого руководителя с точки зрения наличия / отсутствия у него выбранного качества).

 «Ин-баскет». Суть метода заключается в определении приоритетов, разработке планов действий и принятии решений на основе анализа специального пакета документов: писем, отчетов, записок и др.

Таким образом, используя вышеперечисленные методы, современные ЦО не только производят оценку потенциала управленческого персонала организаций, но и выступают в качестве инструмента обучения, а также способа развития профессиональных навыков, необходимых для эффективного руководства. Как показывает практика, тестирование руководителей в ЦО длится от нескольких часов до трех дней (в зависимости от уровня управления):

 для оценки потенциала линейных руководителей, как правило, требуется от трех до шести часов;

 для оценки потенциала руководителей среднего звена — от одного до двух дней;

 для оценки потенциала руководителей высшего уровня — не менее трех дней.

По окончании оценочных мероприятий ЦО подготавливает заключение о каждом из участников программы. В данном заключении, как правило, подробно описываются деловые и личностные качества руководителя, его способности, степень готовности к переходу на более высокие должности. Также указываются сильные и слабые стороны, недостатки, на которые необходимо обратить внимание. Положительной стороной подобных заключений является то, что помимо оценки управленческого потенциала они содержат ряд конкретных рекомендаций.

С точки зрения авторов, ЦО имеют как достоинства, так и недостатки. К достоинствам можно отнести, во-первых, надежность: примене ние комплексного подхода к оценке потенциала руководителей позволяет сделать прогноз успешности дальнейшей деятельности кандидатов. Во-вторых, итоговые результаты воспринимаются участниками мероприятий как объективные и справедливые, поскольку эксперты, работающие в ЦО, не вступают в отношения «начальник — подчиненный». И в-третьих, оценки фокусируются исключительно на ключевых компетенциях. Результаты опираются на наблюдение за поведением участников в специально моделируемых ситуациях, а прошлая профессиональная деятельность кандидатов не имеет никакого значения. Применение набора разнообразных тестов и заданий, имитирующих ключевые элементы управленческой деятельности, позволяет участникам максимально полно раскрыть свой потенциал.

Тем не менее наряду с определенными преимуществами можно обозначить и некоторые недостатки ЦО, например низкий коэффициент полезного использования (значительная часть материалов, подготовленных ЦО, в итоге оказывается невостребованной). Также возникают этические проблемы и сложности, связанные с обязательством доведения итоговых заключений до участников, показавших отрицательные результаты. И наконец, в условиях стремительного развития бизнес-процессов возникает опасность устаревания критериев оценки.

Как показывает практика, в современном обществе могут создаваться как независимые ЦО, так и центры при крупных организациях, входящие в состав отделов управления персоналом.

ЦО, организованные на базе предприятий, могут быть временными и постоянными.

Для компании «Русская Трапеза» актуально ежеквартальное создание временного ЦО, основной целью которого является не только анализ потенциала управленческого персонала, но и организация дальнейших мероприятий, направленных на личностный и профессиональный рост оцениваемых. Штат работников такого центра состоит из руководителя отдела уп равления персоналом и секретаря-референта. С целью обеспечения справедливости и объективности результатов для проведения оценочных процедур приглашаются внешние эксперты. Как правило, оценка потенциала управленческого персонала занимает три дня. Рассмотрим мероприятия, которые проводятся в каждый из этих дней, более подробно.

День первый. В течение первого дня участникам предлагается проявить себя по пяти направлениям: 1) выполнение рутинной управленческой работы; 2) принятие решения в условиях риска; 3) обсуждение незнакомой проблемы; 4) презентация собственного проекта; 5) деловая переписка.

На выполнение рутинной управленческой работы каждому из кандидатов дается три часа, в течение которых он изучает заранее подготовленный экспертной группой пакет документов, приказов и других деловых бумаг и составляет ответы на письма и распоряжения. Не являются исключением непредвиденные ситуации, например поломка оборудования, приезд недовольного клиента или неожиданная проверка со стороны властных структур. С целью организации таких ситуаций ЦО заранее приглашает профессиональных актеров, которые всеми возможными способами пытаются вызвать у оцениваемых руководителей эмоциональную реакцию. По окончании трех часов с участниками проводится собеседование, позволяющее оценить их организаторские способности.

Далее, после получасового перерыва, руководители переходят к следующей процедуре — принятию решения в условиях риска. Данное упражнение проводится в форме деловой игры, в ходе которой всех участников разделяют на четыре группы, представляющие собой руководство четырех конкурирующих фирм. За отведенное время (два часа) каждая из групп с поправкой на экономический кризис принимает решение, касающееся производства товаров, ценообразования, инвестиций, кредитов. С целью упрощения деловой игры заранее оговаривается сфера деятельности организаций. Результатом выполнения данного упражнения является экспертная оценка навыков групповой работы каждого из руководителей.

После проведения деловой игры участники прерываются на часовой обед, во время которого они имеют возможность отдохнуть и поделиться впечатлениями друг с другом, и затем переходят к следующему упражнению — обсуждению проблемы. Рассматриваться могут самые разные вопросы, начиная с транспортировки оборудования и заканчивая управлением коллективом. Так, перед руководителями может быть поставлена задача выбора из ряда кандидатов наиболее подходящего для занятия определенной вакантной должности. Необходимо подобрать такого человека, который смог бы справиться с работой и найти общий язык с коллективом, а также убедить всех остальных участников, что именно этот кандидат сможет занять данную позицию. Для проведения этого упражнения эксперты заранее подготавливают портфолио и резюме претендентов на вакантную должность. Руководители изучают и анализируют предоставленные материалы, спе цифику вакансии, выбирают одного из кандидатов и продумывают агитационную речь. После всех выступлений проводится 40-минутная групповая дискуссия. Активность каждого из руководителей оценивают эксперты совместно с руководителем отдела управления персоналом по балльной системе.

После получасового перерыва участники переходят к следующему заданию — презентации проекта. Перед руководителями ставится задача разработать и представить высшему руководству решение смоделированной экспертами проблемы. Последняя может касаться любого аспекта производственной деятельность, например управления людьми, финансовой сферы и т.п. На подготовку решения отводится один час, а затем каждый из участников в течение 15 минут представляет разработанный им проект экспертам.

По окончании презентаций и после традиционного получасового перерыва руководители приступают к последнему упражнению, а именно к подготовке делового письма. Каждому из участников предлагается написать письмо, связанное с отказом или доведением до адресата отрицательной информации. Письмо должно быть тактичным и четким. Оценкой данного упражнения занимаются эксперты совместно со штатным психологом.

Как правило, мероприятия первого дня являются наиболее продолжительными, участники и эксперты ЦО иногда задерживаются в офисе компании до 21:00.

День второй. В течение второго дня руководители заполняют бланки различных психометрических тестов, личностных опросников, выполняют упражнения, позволяющие выявить их коммуникативные способности. Организацией данного процесса занимается штатный психолог совместно с руководителем отдела управления персоналом. Традиционно используются тесты на выявление общих и вербальных способностей, умения оценивать коллектив, личностные тесты (например, 16-факторный опросник Кеттела) и др. Также применяются и технические средства. Например, в учебном зале может быть организована демонстрация фильма (чаще всего детектива или любовной истории) с очень сложным и запутанным сюжетом. По окончании просмотра участники заполняют бланки, отвечая на вопросы по фильму.

День третий. Основная цель последнего дня — взаимная оценка участников мероприятий. Для этого эксперты подготавливают специальные бланки, в которых руководители оценивают друг друга по ряду параметров, определяя, кто из них является лидером, а кто рядовым менеджером.

Интерпретация полученных результатов осуществляется штатным психологом.

И наконец, после окончания всех мероприятий для каждого руководителя эксперты составляют характеристику с оценкой его управленческих способностей, навыков, потенциала, степени готовности к занятию более высоких должностей.

Также эксперты совместно с руководителем отдела управления персоналом подготавливают ряд рекомендаций, направленных на развитие потенциала оцениваемых и их дальнейшую самореализацию.

Итак, мы рассмотрели такой метод оценки потенциала руководителей, как ЦО, определили его достоинства и недостатки и на примере компании «Русская Трапеза» убедились в том, что организация ЦО на базе конкретного предприятия является несложной. Однако необходимо заметить, что на данный момент далеко не все компании используют подобные технологии для оценки потенциала своих сотрудников в связи с отсутствием специалистов-экспертов, а также по причине непонимания сути данных методов и результатов, которые в итоге могут быть получены. Только при наличии специальных знаний работа вышеописанных ЦО на базе предприятия сможет быть эффективной, компания сократит затраты, связанные с обращением в независимые ЦО, а участники оценочных мероприятий, в свою очередь, получат возможность дальнейшего развития.

ВЫВОДЫ

Резюмируя, можно сказать, что в современных экономических условиях для каждой организации большое значение имеет регулярный анализ КП ее сотрудников. Данный анализ необходимо проводить не только для формирования грамотной политики в области кадров, но и с целью психологического воздействия на персонал, его мотивации к дальнейшему развитию и самореализации.

Как показывает практика, ключевым аспектом анализа КП организации является оценка управленческого потенциала руководителей структурных подразделений. Работодатели могут использовать различные методы оценки потенциала руководителей, но наиболее эффективной с точки зрения соотношения экономических затрат и надежности является организация ЦО при крупных компаниях (при этом следует понимать, что при отсутствии необходимых знаний о технологии проведения оценочных мероприятий невозможно получить объективные результаты). Создание ЦО на базе конкретных предприятий будет способствовать улучшению качественного состава руководящих кадров, что приведет не только к увеличению производительности труда каждого структурного подразделения, но и к повышению конкурентоспособности компании в целом.

Похожие работы на - Методы оценки управленческого потенциала руководителей и роль центров оценки в современной организации

 

Не нашли материал для своей работы?
Поможем написать уникальную работу
Без плагиата!
Без нейросетей!