Анализ социально-психологического климата на муниципальном предприятия "Тепловые сети"

  • Вид работы:
    Курсовая работа (т)
  • Предмет:
    Менеджмент
  • Язык:
    Русский
    ,
    Формат файла:
    MS Word
    151,70 kb
  • Опубликовано:
    2010-11-18
Вы можете узнать стоимость помощи в написании студенческой работы.
Помощь в написании работы, которую точно примут!

Анализ социально-психологического климата на муниципальном предприятия "Тепловые сети"

Цели:

Анализ социально – психологического климата на муниципальном предприятия «Тепловые сети»

Гипотеза:

Высокая текучесть кадров связана с неблагоприятным СПК, установившемся в результате конфликта молодых специалистов и работников со стажем.

Этапы:

1.   Постановка задачи

2.   Выбор способов, методов диагностики коллектива и их обоснование

3.   Подготовка технических документов и оборудования

4.   Проведение исследования

5.   Получение и оформление результатов в исследовании

 

Пути регулирования социально – психологического климата в коллективе


В основе регулирования социально-психологического климата коллектива лежат критерии оптимизации и методы воздействия на них. В социометрической концепции критерий оптимальности взаимоотношений выступает в форме симпатий-антипатий, которые рассматриваются как механизм группового сплочения,

Еще одним критерием является удовлетворенность условиями деятельности. Состояние удовлетворенности работой рассматривается как основной составляющий элемент общего социально-психологического настроя коллектива. Существенной стороной оценки СПК выступает неудовлетворенность. По этому поводу В.Д. Парыгин отмечает: "Известно, например, что если удовлетворенность выступает в качестве фактора эффективного функционирования в рамках стабильной программы деятельности, то источником динамики, изменением и обновлением последней оказывается скорее неудовлетворенность. Иными словами, не удовлетворенность, а скорее наоборот, неудовлетворенность достигнутым, постоянное стремление превзойти взятые рубежи,. критическое отношение к состоянию дел и к своим усилиям – более достойная альтернатива для оценки СПК коллектива».

Субъективная удовлетворенность климатом не может рассматриваться в качестве единственного обобщающего показателя оптимальности социальных явлений и процессов, в том числе СПК. Социально-психологический климат коллектива зависит от целого ряда факторов и составляющих компонентов. Для определения направлений совершенствования СПК в организации необходимо провести научно - обоснованные и взвешенные исследования, в целях выявлении факторов, отрицательно влияющих на СПК.

Совершенствование условий формирования СПК означает выработку и практическую реализацию комплекса технических, экономических и организационно обеспеченных мер по планомерному изменению факторов, имеющих неблагоприятную оценку. Причем оценки могут быть дифференцированы по подразделениям, категориям работающих, а также степени неблагоприятности.

Деятельность по улучшению условий формирования СПК может осуществляться по нескольким направлениям в зависимости от отрицательно влияющих факторов.

1. Улучшение условий труда. При исследовании условий труда необходим их пофакторный анализ применительно к конкретному рабочему месту. Это важно, так как условия труда не только формируют отношение к нему, но и объективно обусловливают конечный результат.

2. Совершенствование организации и стимулирования труда. Совершенствование организации труда осуществляется по следующим направлениям: совершенствование форм разделения и кооперации труда, улучшение, организации и обслуживания рабочих мест, совершенствование нормирования труда, подготовка и повышение квалификации работников, рационализация режимов труда и отдыха. По этому направлению нет четко определенных норм как в случае совершенствования условий труда. Здесь требуется углубленная исследовательская работа с использованием специальных методик.

Сложным и противоречивым в своем влиянии на СПК является действующая система стимулирования. Материальные и моральные стимулы являются стержневым моментом в формировании социально-психологического статуса человека в коллективе. Кроме индивидуальных особенностей личности на восприятие стимулов влияют групповое мнение, условия труда и быта, традиции, нормы и ценности.

Общей идеей совершенствования стимулирования труда является создание в организации модели "социальной справедливости". Первоначальными условиями социально-психологически благоприятного восприятия системы стимулирования работников являются: понятность механизма связи усилий и вознаграждения, учет социально-демографических, личностных, индивидуальных особенностей работников и характеристик первичного коллектива (нормы, ценности, традиции).

3. Совершенствование социально-демографических характеристик коллектива. Социально-психологическая структура коллектива непосредственным образом влияет на процесс формирования СПК, так как выражает сущностную сторону личностных черт работника. Совершенствование структуры коллектива необходимо связывать с его производственными целями, кадровым потенциалом, общими условиями деятельности.

Необходимо соблюдение положения о достаточном разнообразии социально-демографических характеристик и положения о социально-демографических ограничениях на совместимость и срабатываемость участников трудового процесса. Так, в смешанных по полу коллективах выше культура общения; сочетание различных возрастных и образовательно-квалификационных групп создает лучшие предпосылки для сокращения сроков адаптации; молодежные коллективы более мобильны к освоению новой техники.

4. Совершенствование взаимоотношений и стиля управления. Взаимоотношения в коллективе - важнейший индикатор, указывающий на состояние СПК в коллективе. Часто о взаимоотношениях судят по степени конфликтности на определенном отрезке времени. При этом нежелательны не сами по себе конфликты, без них не может быть жизненного процесса. Главное, чтобы в результате их разрешения уходило все старое, мешающее развитию коллективов и росту людей как личностей.

Важно учитывать в практической работе по совершенствованию СПК стиль руководства. Любая работа по совершенствованию стиля руководства предполагает наличие его оценки, дифференцированной по подразделениям. Очевидно, что стиль руководства должен определяться уровнем развития коллектива и изначально существующими в нем отношениями, традициями, ценностями, нормами. В одних случаях наиболее эффективным оказывается директивный стиль руководства, в других - либеральный, направленный на общее руководство и дающий возможность самоуправления и раскрытие потенциала каждого.

Таким образом, регулирование СПК имеет специфику в соответствии с уровнем формирования и проявления климата. На уровне организации в целом наибольшую отдачу дают материально-вещественные факторы (условия, организация, стимулирование труда), в малой группе - те факторы, которые связаны с социально-психологическим настроем, межличностными взаимодействиями. На личностном уровне главное условие благоприятного СПК - формирование устойчивой трудовой мотивации.

 

Анализ предприятия


Муниципальное предприятие «Теплосети» по обслуживанию квартальных тепловых сетей, учреждено для обеспечения населения и других потребителей города теплоэнергией.

Управление МП «Теплосети» осуществляется директором. При назначении на должность на должность директора МП «Теплосетей» с ним заключается контракт, в котором отражаются условия назначения, оплаты труда и премирования, освобождения от занимаемой должности и срок контракта.

Директор МП «Теплосети»:

· руководит деятельностью предприятия и несет ответственность за выполнение возложенных на МП «Тепловые сети» задач, установленных Уставом предприятия;

· в соответствии с действующим законодательством принимает на работу и увольняет с работы работников предприятия;

· самостоятельно формирует производственную программу, выбирает поставщиков и потребителей своей продукции, работ и услуг, устанавливает цены на производственную продукцию, утверждает структуру и штаты, плановые показатели, систему оплату труда и премирования, численность, должностные оклады работников предприятия; утверждает должностные инструкции работников предприятия.

Трудовой коллектив МП «Теплосети» составляют все работники, участвующие своим трудом в его деятельности на основе трудового договора.

Трудовой коллектив решает вопросы о необходимости заключения с администрацией коллективного договора, рассматривает и утверждает его проект.

Основной формой осуществления полномочий трудового коллектива является общее собрание (конференция). Решение общего собрания (конференции) принимается по вопросам относящимся к его компетенции и не должны противоречить действующему законодательству РФ, коллективному договору и Уставу предприятия.

В состав аппарата управления предприятием также входят:

Главный инженер, осуществляющий координацию и контроль над деятельностью отделов производственно – технического обеспечения (ПТО) и проектно – сметной группы (ПСГ), аварийно – диспетчерской службы (АДС) и службы механизации и автотранспорта (СМиТ). Главный инженер непосредственно является руководителем отдельных производственных подразделений предприятия.

 Отдельное хозяйственное подразделение МП «Теплосети» - подразделение специалистов - экономистов, обеспечивающих бесперебойную работу отдела материально – технического снабжения производства (ОМТС) сырьем и материалами, другими комплектующими; складского хозяйства. В планово – экономическом отделе (ПЭО) заняты специалисты, осуществляющие планирование производственной деятельности участков по объемам производства и ремонту оборудования, электроэнергии, обеспечения электроэнергией данных производственных участков (цехов); планирование численности персонала. Отдел кадров (ОК) является непосредственным функциональным звеном, осуществляющим учет кадров, оформление найма персонала, организация профобучения; участие в собраниях трудового коллектива, являясь представителем его интересов. Бухгалтерия занимается финансовой деятельностью, учетом соотношений плановых показателей деятельности с фактическими, определением фактического финансового состояния предприятия Данные отделы координируют свою деятельность с учетом результатов работы других отделов данного подразделения. Отделы ОМТС и ПЭО непосредственно подчиняются главному инженеру; отделы ОК и бухгалтерия подчиняются директору предприятия. Фактически директор и главный инженер согласовывают свои решения по управлению производственно – хозяйственной деятельностью.

Численность аппарата управления (АУП) составляла в общем 80 чел, в том числе:

Высший уровень управления предприятием ( 2 чел);

Средний уровень управления хозяйственной деятельностью:

· специалисты отделов ПТО и ПСГ;

· специалисты участков АДС и СМиТ

· специалисты экономических отделов: отдел кадров, бухгалтерия, планово – экономический отдел, отдел материально – технического снабжения.

В отделе кадров состоят специалисты: начальник отдела кадров, инспектор по учету кадров, специалист по социальной работе (непосредственный представитель интересов работников предприятия перед руководством, т.е. профсоюзный работник).

В финансовом отделе состоят – главный бухгалтер, бухгалтер – расчетчик, бухгалтер – материалист.

В ПЭО состоят – экономисты – плановики (4 чел).

ОМТС – специалисты по снабжению, складскому хозяйству (всего 4 чел).

Отметим рост текучести кадров –показатель текучести увеличился на 46,9 %.

Анализ социальной структуры коллектива МП «Теплосети»

Целесообразно выделить в качестве объекта исследования аппарат управления МП «Теплосети».

Как уже было отмечено, в состав АУП предприятия входят два подразделения – экономическая служба (отделы - ОМТС, ПЭО, ОК, бухгалтерия) и инженерно – техническая служба (участки - ПТО, ПСГ, АДС, СмиТ).

Проведем анализ социальной структуры данного коллектива, который будет заключаться в анализе социально – демографических характеристик АУП.

Таблица 2.1.

Ряд распределения по возрастным группам работников АУП

Возраст

До 25 лет

25 – 30 лет

30 – 40 лет

40 – 55 лет

Частота

10

33

20

17


Частота – численность исследуемого персонала, входящая в ту или иную возрастную группу. (общее число персонала – 78 чел. – без учета числа высшего руководства).

Отметим, что в состав экономического подразделения входят 14 чел., а в состав инженерно – технического – 64 чел. (без учета высшего руководства).

Теперь определим возрастную структуру работников отдельно в экономической службе и на инженерно – технических участках.

По данным мы видим, что в данном коллективе работают преимущественно молодые сотрудники 25 – 30 лет, т.е. они полностью (в стопроцентном составе) представляют группу молодых работников в возрасте 25 –30 лет в общей численности АУП. Более молодые сотрудники также сосредоточены именно в этом коллективе - 10 чел., - т.е. составляют 70% от общей численности персонала. Сотрудники старшего возраста (30 Социограмма. – 55 лет) составляют в данном подразделении 42,8 % от общей численности АУП (за счет большего численного состава подразделения ИТР). В данном коллективе довольно широкий возрастной диапазон.

Построим ряд распределения работников АУП по половому признаку.

Таблица 2.4.

Ряд распределения по полу работников АУП

Пол

мужской

Женский

частота

34

44


Мы видим, что в управленческом аппарате предприятия примерно одинаковое соотношение мужчин и женщин.

Таблица 2.5.

Таблица распределения ИТР предприятия по полу

пол

мужской

Женский

частота

30

34


Таким образом, можно сказать, что равномерное соотношение численности мужчин и женщин в коллективе АУП достигается за счет равномерного соотношения полов в коллективе инженерно – технической службы в аппарате управления.

Таблица 2.7.

Ряд распределения работников АУП по уровню образования

Образование

Средне–специальное или среднее

 Высшее

частота

48

30


Мы видим, что коллектив АУП составляют преимущественно работники со средне – специальным (техническим) или средним образованием.

Исходя из данных мы видим, что в коллективе инженерно – технической службы больше работников, имеющих средне- специальное (техническое) образование (25% - с высшим образованием, 75% - с средне – техническим).

Таблица 2.9.

Таблица распределения категорий работников АУП по стажу совместной работы на предприятии

Стаж работы

До 4 лет

От 4 до 10 лет

ИТР

50

14

Экономисты

3

11


Преимущественно недавно - менее 4 лет. Численность ИТР, работающих длительное время совместно, составляет только 21,9% (молодые работники). В коллективе экономической службы предприятия сотрудники работают совместно преимущественно более 4 лет, остальная часть их коллег (21,4%) совместно работает менее 4 лет (молодые работники).

Отдельно рассмотрим характеристики двух руководящих работников МП «Теплосети» – директора предприятия и главного инженера.

Возраст директора предприятия – 45 лет; стаж в должности на данном предприятии – 12 лет; высшее образование; пол – мужской.

Главный инженер: возраст 41 год; 10 лет – стаж в должности в данной организации; высшее образование.

На основе рассмотрения таких характеристик коллективов ИТ подразделения и экономической службы, как возраст, пол, стаж совместной деятельности и уровень образования, можно сделать вывод о социальной (социально – демографической) структуре коллектива АУП.

В инженерно – техническом подразделении АУП предприятия работают преимущественно молодежь, в основном со средне – специальным образованием, с небольшим стажем совместной работы (до 4 лет); в коллективе работают примерно одинаковое количество мужчин и женщин.

В экономической службе работают преимущественно специалисты старшего возраста (от 30 лет), имеют высшее образование, стаж совместной работы более 4 лет; коллектив преимущественно женский.

Руководители предприятия работают в коллективе более 4 лет, образованы, имеют опыт работы.

Исходя из данных заключений, можно сделать вывод, что первый коллектив (ИТР) более оптимален с точки зрения согласованности возрастов и равномерного соотношения полов, возможности изначального формирования благоприятных взаимоотношений в коллективе и опыта совместной работы. Недолгое время работы на данном предприятии не позволяет пока полностью идентифицироваться с коллективом предприятия, т.е. работать, реализуя цели функционирования (ценности) предприятия. Из этого можно предположить, что на данном этапе развития коллектива ИТР, уровень притязаний работников не высок, поэтому в данном случае меньше причин возникновения неблагоприятных межличностных отношений.

Чтобы определить, имеются ли в действительности в этом коллективе трудности во взаимоотношениях, применим методику тестирования психологического климата данного коллектива и определим степень сплоченности его членов на основе результатов опроса.

Методика оценки психологического климата в коллективе

 

Инструкция.

Для оценки психологического климата в вашем коллективе предлагаются противоположные по смыслу пары слов, характеризующие его состояние

 
1. Дружелюбие

1

2

3

4

5

6

7

8

Враждебность

2. Согласие

1

2

3

4

5

6

7

8

Несогласие

3. Удовлетворенность

1

2

3

4

5

6

7

8

Неудовлетворенность

4. Продуктивность

1

2

3

4

5

6

7

8

Непродуктивность

5. Теплота

1

2

3

4

5

6

7

8

Холодность

6. Сотрудничество

1

2

3

4

5

6

7

8

Несогласованность

7. Взаимоподдержка

1

2

3

4

5

6

7

8

Недоброжелательность

8. Увлеченность

1

2

3

4

5

6

7

8

Равнодушие

9. Занимательность

1

2

3

4

5

6

7

8

Скука

10. Успешность

1

2

3

4

5

6

7

8

Безуспешность


Ваша задача состоит в том, чтобы оценить выраженность каждого показателя по восьмибалльной шкале. Сильная выраженность признака, расположенного в левой части, оценивается в 1 балл, а в правой — в 8 баллов.

Обработка и интерпретация результатов.

Чем меньше балл по каждому показателю, тем благоприятнее психологическая атмосфера в коллективе, по мнению отвечающего. Сумма баллов всех 10 оценок колеблется от 10 (наиболее положительная оценка) до 80 (наиболее отрицательная), являясь обобщенным итоговым показателем.

 

Методика определения степени ценностно-ориентационного единства группы


Использование методики определения ценностно-ориентационного единства (ЦОЕ) группы позволяет экспериментатору ответить на вопрос о том, можно ли считать данную конкретную функционирующую группу сплоченной общностью, а также экспериментально определить степень выраженности этой важнейшей групповой характеристики.

Создатели этой методической процедуры исходили из того, что анализ феномена групповой сплоченности не может быть сведен к рассмотрению таких, по-своему важных характеристик межличностных отношений, как частота и интенсивность контактов членов общности, степень их взаимной симпатии и т.п. Следуя их аргументации, с которой трудно не согласиться, приходится признать, что в целом ряде случаев активизации межличностных контактов членов группы, порой резкая интенсификация их взаимодействия может быть прямым отражением не центростремительных, а, наоборот, центробежных сил, закономерно ведущих не к сплочению, а к фактическому распаду общности. В связи с этим в рамках теории деятельностного опосредствования межличностных отношений был разработан принципиально иной подход к пониманию психологической сущности феномена групповой сплоченности как ценностно-ориентационного единства членов контактной группы. По сути дела, речь здесь идет о степени согласованности мнений, позиций членов конкретной общности в отношении наиболее значимых для ее жизнедеятельности объектов.

При этом необходимо специально подчеркнуть, что бытующее еще в обыденном сознании представление о сплоченной группе как о группе, мнения членов которой полностью совпадают по любому вопросу, никакого отношения не имеет к логике излагаемого подхода. Согласованность, а в оптимальной ситуации и прямое совпадение позиций членов группы по поводу какого-то объекта может быть расценено как показатель ее психологической сплоченности лишь в том случае, когда речь идет о проблемах, жизненно важных для группы в целом — о нравственных ориентирах, об оценке целей и задач совместной деятельности, о перспективах группового развития и т.п. Понятно, что это ничего общего не имеет с предпринимаемым некоторыми руководителями попытками нивелировать индивидуальные вкусы и интересы членов группы, что при условии «успешного» решения этой задачи неизбежно ведет если не к потере, то, во всяком случае, к «размыванию» их личности.

Описание методической процедуры.

Проведение этого варианта методической процедуры определения ЦОЕ членов группы предполагает последовательное осуществление двух собственно экспериментальных этапов.

Предположим, нам необходимо определить меру согласованности мнений членов обследуемой общности по поводу того, какими качествами должен обладать ее лидер. Тогда на первом экспериментальном этапе испытуемым предлагается в письменной форме указать те характеристики, которыми должен, по их мнению, обладать лидер их группы, и те личностные свойства, которые, на их взгляд, в этом плане недопустимы. Такой опрос проводится фронтально. При этом каждый испытуемый, выполняя поставленную перед ним экспериментальную задачу, индивидуально составляет список качеств.

В промежутке между первым и вторым экспериментальными этапами обрабатываются индивидуально составленные испытуемыми списки личностных характеристик лидера, составляется обобщенный список его качеств, представляющий собой ряд личностных свойств, наиболее часто встречающихся в индивидуальных ответах (таких качеств должно быть не менее пятнадцати).

На втором экспериментальном этапе каждого испытуемого знакомят с этим обобщенным списком и просят указать пять наиболее важных для лидера характеристик из тех, которые попали в сводный списочный ряд. Так же, как и первый, второй экспериментальный этап проводится фронтально, а выполняют экспериментальное задание испытуемые индивидуально. На этом собственно экспериментальная процедура может считаться исчерпанной, и остается лишь непосредственно приступить к обсчету полученных эмпирических данных.

Обработка данных

Рассмотрим способ обработки данных на конкретном примере обследования группы из семи человек, членами которой являются испытуемые А., Б., В., Г., Д., Е., Ж. Предположим, мы провели первый экспериментальный этап рассматриваемой процедуры и в результате обобщения индивидуально составленных списков получили следующий сводный по группе набор характеристик лидера: справедливость, ум, ответственность, общительность, скромность, готовность прийти на помощь товарищу, доброта, способность признать свои ошибки, требовательность, работоспособность, настойчивость (умение довести дело до конца), осторожность, умение избежать наказания («выйти сухим из воды»), физическая сила, покладистость (умение ладить с людьми) — всего 15 черт.

Представим также, что, выполняя экспериментальное задание второго этапа, члены группы осуществили следующий выбор, на их взгляд, наиболее ценных для лидера пяти качеств (табл. 1).

Таблица 1

Список  характеристик лидера

А

Б

В

Г

Д

Е

Ж

Количество выборов

1

Справедливость

 

 

4

5

5

4

5

5

2

Ум

3

1

1

3

2

3

1

7

3

Ответственность

 

 

2

 

 

 

 

1

4

Общительность

1

2

 

2

1

1

2

6

5

Скромность

 

3

 

 

 

 

 

1

6

Готовность прийти…

5

4

 

4

4

2

4

6

7

Доброта

 

 

 

 

 

 

 

0

8

Способность признать

 
 
 
 
 
 
 

0

9

Требовательность

 

 

3

 

 

 

 

1

10

Работоспособность

 

 

4

 

 

 

 

1

11

Настойчивость

 

 

5

 

 

 

 

12

Осторожность

 

 

 

 

 

 

 

0

13

Умение избежать…

 

 

 

 

 

 

 

0

14

Физическая сила

 

 

 

 

 

 

 

0

15

Покладистость

2

5

 

1

3

5

3

6

Примечание: цифрами 1, 2, 3, 4, 5 обозначена очередность выбора данного качества испытуемым.

Теперь полученных данных оказывается вполне достаточно для того, чтобы определить меру ценностно-ориентационного единства, так как количественный показатель, или индекс, групповой сплоченности в рамках рассматриваемого варианта экспериментальной процедуры вычисляется по следующей формуле:

ЦОЕ % =

n-m

100 %

N


где n — сумма выборов, которые получили пять качеств, чаще всего указываемых на втором экспериментальном этапе;

m — сумма выборов, которые получили пять качеств, реже всего указываемых на втором экспериментальном этапе;

N — общее число сделанных испытуемыми выборов.

В рассматриваемом нами конкретном случае в число пяти качеств, чаще других упоминавшихся испытуемыми (см. табл. 1), попали такие характеристики лидера, как «ум» (семь выборов), «общительность» (шесть выборов), «готовность прийти на помощь товарищу» (шесть выборов), «покладистость» (шесть выборов), «справедливость» (пять выборов). Таким образом, здесь n=30. Что касается характеристик лидера, которые реже всего упоминались испытуемыми в ходе второго экспериментального этапа, то их также легко вычленить из общего списка качеств. Это — «доброта», «способность признать свои ошибки», «осторожность», «умение избежать наказания» и «физическая сила». Так как ни одно из этих качеств ни разу ни одним из испытуемых не было указано как наиболее ценное для лидера, здесь m=0. Как видно из приведенной выше таблицы, в экспериментальном опросе участвовало семь испытуемых, каждый из которых мог сделать пять выборов. Поэтому для данной группы N=35. Подставим цифровые значения n, m, N в приведенную выше формулу, вычислим индекс ЦОЕ для обследованной группы:

ЦОЕ % =

30-0

100 % = 86%

35


Отметим, что такой показатель уровня сплоченности группы нельзя расценить иначе как очень высокий.

Оценивая диагностико-исследовательские возможности рассмотренного варианта методической процедуры определения уровня ЦОЕ, необходимо остановиться как на его преимуществах, так и на его недостатках.

Одним из важнейших преимуществ этого варианта определения уровня ЦОЕ группы является его процедурная компактность и портативность, а также простота способа обработки эмпирических данных. Немаловажным является и то, что с помощью описанной процедуры экспериментатор получает возможность сравнить по критерию сплоченности различные группы членства одного и того же человека, а значит, и сделать научно обоснованные выводы об относительной интенсивности и целенаправленности их воздействия на него, о силе группового давления, которое он испытывает. Отметим также, что, сравнивая по критерию сплоченности различные группы членства индивида, следует помнить о факте наличия экспериментально зафиксированной прямой зависимости между уровнем психологического развития общности и количественными показателями групповой сплоченности как ценностно-ориентационного единства ее членов.

В то же время, если нас интересует степень совпадения мнений, оценок, установок какого-то конкретного члена группы с позиций этой общности в целом, то данный вариант методической процедуры вряд ли можно рассматривать в качестве оптимального инструментария. Для того, чтобы добиться максимальной полноты такого анализа, более целесообразно было бы использовать другой, процедурно отличающийся от только что описанного методический прием определения уровня ЦОЕ группы.

Оценка руководителя

Было изучено следующее направление: социально – психологические методы управления коллективом, т.е. способы утверждения авторитета руководителя на предприятии или стиль руководства.

Цель опроса: выяснение приверженности руководства к определенному стилю или методам руководства; влияние методов руководства на обстановку в коллективе.

Приоритетный стиль руководства коллективом может быть определен с помощью теста «Индивидуальный Деловой Стиль».

Были проведены дополнительные исследования утверждения авторитета руководителей на предприятии методом опроса - определена оценка (по пятибальной системе) качеств директора предприятия и гл. инженера.

Оценка руководителей подчиненными


Директор

Главный инженер

Профессионализм

5

5

Организационные качества

5

5

Справедливость

5

5

Самокритичность

4,7

4,8

Умение работать с людьми

4,8

4,8

Вежливость

4,2

4,6

Гибкость

4,0

4,7

Внимание к людям

4,2

4,6


Результаты самодиагностики директора и главного инженера


Директор

Главный инженер

Профессионализм

5

4,5

Организационные качества

5

4

Справедливость

4

5

Самокритичность

5

4,8

Умение работать с людьми

4,8

4

Вежливость

4,5

5

Гибкость

5

3,5

Внимание к людям

5

4


Следовательно, для главного инженера «человеческий фактор» имеет наибольшее значение.

Для определения эффективного стиля управления можно использовать соотношение по системе:

Эу=f(PПS),

Где П – подчиненный;

Р – руководитель;

S – ситуации.

По результатам анализа результатов оценки и самооценки директора и главного инженера можно сделать выводы, что по нескольким пунктам самооценка директора не совпадает с его оценкой коллективом. Оценка руководителя является несколько завышенной. Самооценка главного инженера является заниженной по сравнению с оценкой коллектива. Можно предположить что главный инженер пользуется большим авторитетом среди коллектива, нежели директор.

Важно определить соответствие уровня потенциала группы тому стилю управления, который использует руководство предприятия.

Определение соответствия уровня потенциала группы стилю руководства

Показатели

группа

директор

Гл. инженер

Уровень образования

Высокий

Высокий

Высокий

Стаж совместной работы

Менее 4-х лет

Более 10 –х лет

Более 10 –х лет

Групповая сплоченность

44,2%

56,6%

Стиль поведения

Преимущественно функциональные взаимоотношения

Директивный по отношению к группе

Демократический по отношению к группе

Желание совершенствоваться

Есть

Есть

Есть

Желание внести свой вклад в развитие организации

Есть

Есть

Есть

Есть желание совместной работы

У 85,4% опрошенных

Есть

Есть


Данные таблицы показывают ярко выраженные недостатки руководства (в лице директора) в плане построения взаимоотношений с коллективом. Одновременно имеются потенциальные возможности формирования благоприятных взаимоотношений между руководством и подчиненными (высокая степень взаимности интересов между директором и гл. инженером, а также большой опыт совместной работы, знание сильных и слабых сторон организации дает основания для таких выводов). Необходимо только наладить связи с коллективом путем изменения стиля поведения в зависимости от конкретной ситуации (в данной ситуации авторитарный стиль управления на партисипативный или соучаствующий), учета соответствия требований подчиненных к уровню управления и реальных методов руководства.

Исследования показывают, что руководство предприятия не владеет способами определения соответствия стиля руководства уровню потенциала группы; не знает расстановку сил в неформальных организациях, не оценивает ситуацию на основе изучения и использования методик социально-психологической оценки климата в группе.

Результаты подтверждают, что менеджмент действует на основе собственного представления об эффективности управления организацией, не соизмеряя свои намерения с потребностями коллектива, и использует патерналистический подход – «работник должен быть сыт, обеспечен работой, остальное дело хозяина», что не совпадает с ожиданиями персонала.

Таким образом, имеет место проблема использования социально-психологических методов управления персоналом. Менеджмент успешно реализует регуляторы мотивации и недостаточно использует мотиваторы.

Причина - незнание социально – психологических процессов, протекающих внутри коллектива.

Социометрический опрос

Социометрический опрос проведем на экономическом подразделении, состав которого ограничивается 14 человеками.

Социометрическая техника, разработанная Дж. Морено, применяется для диагностики межличностных и межгрупповых отношений в целях их изменения, улучшения и совершенствования. С помощью социометрии можно изучать типологию социального поведения людей в условиях групповой деятельности, судить о социально-психологической совместимости членов конкретных групп.  Социометрическая процедура может иметь целью:  а) измерение степени сплоченности-разобщенности в группе;  б) выявление «социометрических позиций», т. е. соотносительного авторитета членов группы по признакам симпатии-антипатии, где на крайних полюсах оказываются «лидер» группы и «отвергнутый»;  в) обнаружение внутригрупповых подсистем, сплоченных образований, во главе которых могут быть свои неформальные лидеры.

Использование социометрии позволяет проводить измерение авторитета формального и неформального лидеров для перегруппировки людей в командах так, чтобы снизить напряженность в коллективе, возникающую из-за взаимной неприязни некоторых членов группы. Социометрическая методика проводится групповым методом, ее проведение не требует больших временных затрат (до 15 мин.). Она весьма полезна в прикладных исследованиях, особенно в работах по совершенствованию отношений в коллективе. Но она не является радикальным способом разрешения внутригрупповых проблем, причины которых следует искать не в симпатиях и антипатиях членов группы, а в более глубоких источниках. Надежность процедуры зависит прежде всего от правильного отбора критериев социометрии, что диктуется программой исследования и предварительным знакомством со спецификой группы.

Социометрическая процедура.

Общая схема действий при социометрическом исследовании заключается в следующем. После постановки задач исследования и выбора объектов измерений формулируются основные гипотезы и положения, касающиеся возможных критериев опроса членов групп. Здесь не может быть полной анонимности, иначе социометрия окажется малоэффективной. Требование экспериментатора раскрыть свои симпатии и антипатии нередко вызывает внутренние затруднения у опрашиваемых и проявляется у некоторых людей в нежелании участвовать в опросе. Когда вопросы или критерии социометрии выбраны, они заносятся на специальную карточку или предлагаются в устном виде по типу интервью. Каждый член группы обязан отвечать на них, выбирая тех или иных членов группы в зависимости от большей или меньшей склонности, предпочтительности их по сравнению с другими, симпатий или, наоборот, антипатий, доверия или недоверия и т. д. Членам группы предлагается ответить на вопросы, которые дают возможность обнаружить их симпатии и антипатии один до одного, к лидерам, членов группы, которых группа не принимает. Исследователь зачитывает два вопроса: а) и б) и дает подопытным такую инструкцию: «Напишите на бумажках под цифрой 1 фамилию члена группы, которого Вы выбрали бы в первую очередь, под цифрой 2 — кого бы Вы выбрали, если бы не было первого, под цифрой 3 — кого бы Вы выбрали, если бы не было первого и второй». Потом исследователь зачитывает вопрос о личных отношениях и так же проводит инструктаж.  С целью подтверждения достоверности ответов исследование может проводиться в группе несколько раз. Для повторного исследования берутся другие вопросы.  Примеры вопросов для изучения деловых отношений  1. а) кого с своих товарищей из группы Вы попросили бы в случае необходимости предоставить помощь в подготовке к занятиям (в первую, вторую, третью очередь)?  б) кого из своих товарищей из группы Вы не хотели бы просить в случае необходимости предоставлять Вам помощь в подготовке к занятиям?

2. а) с кем Вы поехали бы в продолжительную служебную командировку?

б) Кого из членов своей группы Вы не взяли бы в служебную командировку?

3. а) кто из членов группы лучше исполнит функции лидера (старосты, профорга и т.д.)?

б) кому из членов группы тяжело будет исполнять обязанности лидера?

Примеры вопросов для изученным личных отношений

1. а) К кому в своей группе Вы обратились бы за советом в трудной жизненной ситуации?

б) с кем из группы Вам не хотелось бы ни о чем советоваться?

2. а) если бы все члены Вашей группы жили в общежитии, с кем из них Вам хотелось бы поселиться в одной комнате?

б) если бы всю Вашу группу переформировали, кого из ее членов Вы не хотели бы оставить в своей группе?

3. а) кого из группы Вы пригласили бы на день рождения?

б) кого из группы Вы не хотели бы видеть на своем дне рождения?

В настоящее время принято считать, что для групп в 22-25 участников минимальная величина «социометрического ограничения» должна выбираться в пределах 4-5 выборов. Существенное отличие второго варианта социометрической процедуры состоит в том, что социометрическая константа (N-1) сохраняется только для системы получаемых выборов (т. е. из группы к участнику). Для системы отданных выборов (т. е. в группу от участника) она измеряется новой величиной d (социометрическим ограничением). Введением этой величины можно стандартизировать внешние условия выборов в группах разной численности. Для этого необходимо определять величину d по одинаковой для всех групп вероятности случайного выбора. Формулу определения такой вероятности предложили в свое время Дж. Морено и Е. Дженнингс: P(A)=d/(N-1), где Р — вероятность случайного события (А) социометрического выбора; N — число членов группы.

Величины ограничения социометрических выборов

Число членов групп

Социометрическое ограничение d

Вероятность случайного выбора P(A)

5-7

1

0,20-0,14

8-11

2

0,25-0,18

12-16

3

0,23-0,19

17-21

4

0,22-0,19

22-26

5

0,22-0,19

27-31

6

0,22-0,19

31-36

7

0,21-0,19


Социометрическая карточка или Социометрическая анкета составляется на заключительном этапе разработки программы. В ней каждый член группы Должен указать свое отношение к другим членам группы по выделенным критериям (например, с точки зрения совместной работы, участия в решении деловой задачи, проведения досуга, в игре и т. д.) Критерии определяются в зависимости от программы данного исследования: изучаются ли отношения в производственной группе, группе досуга, во временной или стабильной группе.

Социометрическая карточка

Тип  

Критерии  

Выборы

1

 

Работа

 

а) Кого бы вы хотели выбрать своим непосредственным начальником?

б) Кого бы вы не хотели выбрать непосредственным начальником?

 

 

2

 

Досуг

 

а) Кого бы вы хотели пригласить на встречу Нового года?

б) Кого бы вы не хотели пригласить на встречу Нового года?  

 

 


Обработка результатов

Когда социометрические карточки заполнены и собраны, начинается этап их математической обработки. Простейшими способами количественной обработки являются табличный, графический и индексологический.

Социоматрица (таблица). Вначале следует построить простейшую социоматрицу. Пример дан в таблице (см. ниже). Результаты выборов разносятся по матрице с помощью условных обозначений. Таблицы результатов заполняются в первую очередь, в отдельности по деловым и личным отношениям.  По вертикали записываются за номерами фамилии всех членов группы, которая изучается; по горизонтали — только их номер. На соответствующих пересечениях цифрами +1, +2, +3 обозначают тех, кого выбрал каждый испытуемый в первую, вторую, третью очередь, цифрами -1, -2, -3 — тех, кого подопытный не избирает в первую, вторую и третью очередь.  Взаимный положительный или отрицательный выбор обводится в таблице (независимо от очередности выбора). После того, как положительные и отрицательные выборы будут занесены в таблицу, надо подсчитать по вертикали алгебраическую сумму всех полученных каждым членом группы выборов (сумма выборов). Потом надо подсчитать сумму баллов для каждого члена группы, учитывая при этом, что выбор в первую очередь равняется +3 баллам (-3), во вторую — +2 (-2), в третью — +1(-1). После этого подсчитывается общая алгебраическая сумма, которая и определяет статус в группе.

Фамилия

1

2

3

4

5

6

7

8

9

10

1

Иванов

 

+1

 

 

+2

 

 

+3

 

-1

2

Петров

+1

 

 

+3

+2

 

 

 

 

 

3

Сидоров

-1

+1

 

+2

+3

 

 

 

 

 

4

Данилова

 

+2

 

 

+1

 

 

 

+3

 

5

Александрова

+2

+1

 

+3

 

 

-3

 

 

-2

6

Адаменко

 

 

 

 

 

 

 

 

 

 

7

Петренко

+1

 

 

+3

 

 

 

 

 

 

8

Козаченко

+1

 

+3

+2

 

 

 

 

 

 

9

Яковлева

 

+2

 

 

+1

 

+3

 

 

-1

10

Шумская

+2

+1

 

+3

 

 

 

-1

 

 

Кол-во выборов

 

 

 

 

 

 

 

 

 

 

 

Кол-во баллов

 

 

 

 

 

 

 

 

 

 

 

Общая сумма

 

 

 

 

 

 

 

 

 

 


Примечание: + положительный выбор; - отрицательный выбор. Анализ социоматрицы по каждому критерию дает достаточно наглядную картину взаимоотношений в группе. Могут быть построены суммарные социоматрицы, дающие картину выборов по нескольким критериям, а также социоматрицы по данным межгрупповых выборов. Основное достоинство социоматрицы — возможность представить выборы в числовом виде, что в свою очередь позволяет проранжировать членов группы по числу полученных и отданных выборов, установить порядок влияний в группе. На основе социоматрицы строится социограмма — карта социометрических выборов (социометрическая карта. Социограмма Социограмма — графическое изображение реакции испытуемых друг на друга при ответах на социометрический критерий. Социограмма позволяет произвести сравнительный анализ структуры взаимоотношений в группе в пространстве на некоторой плоскости («щите») с помощью специальных знаков (рис. ниже). Она даёт наглядное представление о внутригрупповой дифференциации членов группы за их статусом (популярностью). Пример социограммы (карты групповой дифференциации), предложенной Я. Коломинским, см. ниже:

 

 ——> позитивный односторонний выбор,  <——> позитивный обоюдный выбор,   ------> негативный односторонний выбор, <------> негативный обоюдный выбор

Социограммная техника является существенным дополнением к табличному подходу в анализе социометрического материала, ибо она дает возможность более глубокого качественного описания и наглядного представления групповых явлений. Анализ социограммы заключается в отыскании центральных, наиболее влиятельных членов, затем взаимных пар и группировок. Группировки составляются из взаимосвязанных лиц, стремящихся выбирать друг друга. Наиболее часто в социометрических измерениях встречаются положительные группировки из 2, 3 членов, реже из 4 и более членов.

Социометрические индексы

Различают персональные социометрические индексы (П.С.И.) и групповые социометрические индексы (Г.С.И.). Первые характеризуют индивидуальные социально-психологические свойства личности в роли члена группы. Вторые дают числовые характеристики целостной социометрической конфигурации выборов в группе. Они описывают свойства групповых структур общения. Основными П.С.И. являются: индекс социометрического статуса i-члена; эмоциональной экспансивности j-члена, объема, интенсивности и концентрации взаимодействия ij-члена. Символы i и j обозначают одно и то же лицо, но в разных ролях; i — выбираемый, j — он же выбирающий, ij — совмещение ролей. Индекс социометрического статуса i-члена группы определяется по формуле:



где Сi — социометрический статус i-члена, R+ и R- — полученные i-членом выборы, Z — знак алгебраического суммирования числа полученных выборов i-члена, N— число членов группы.

Социометрический статус — это свойство личности как элемента социометрической структуры занимать определенную пространственную позицию (локус) в ней, т. е. определенным образом соотноситься с другими элементами. Такое свойство развито у элементов групповой структуры неравномерно и для сравнительных целей может быть измерено числом — индексом социометрического статуса.

Элементы социометрической структуры — это личности, члены группы. Каждый из них в той или иной мере взаимодействует с каждым, общается, непосредственно обменивается информацией и т. д. В то же время каждый член группы, являясь частью целого (группы), своим поведением воздействует на свойства целого. Реализация этого воздействия протекает через различные социально-психологические формы взаимовлияния. Субъективную меру этого влияния подчеркивает величина социометрического статуса. Но личность может влиять на других двояко — либо положительно, либо отрицательно. Поэтому принято говорить о положительном и отрицательном статусе. Статус тоже измеряет потенциальную способность человека к лидерству. Чтобы высчитать социометрический статус, необходимо воспользоваться данными социоматрицы. Возможен также расчет С-положительного и С-отрицательного статуса в группах малой численности (N).

Индекс эмоциональной экспансивности j-члена группы высчитывается по формуле



где Ej — эмоциональная экспансивность j-члена, Rj — сделанные /членом выборы (+, -). С психологической точки зрения показатель экспансивности характеризует потребность личности в общении.

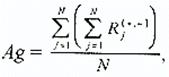
Из Г.С.И. наиболее важными являются: Индекс эмоциональной экспансивности группы и индекс психологической взаимности.

Индекс эмоциональной экспансивности группы высчитывается по формуле:


где Ag — экспансивность группы, N — число членов группы? Rj (+,-) — сделанные j-членом выборы. Индекс показывает среднюю активность группы при решении задачи социометрического теста (в расчете на каждого члена группы).

Индекс психологической взаимности («сплоченности группы») в группе высчитывается по формуле:


где Gg — взаимность в группе по результатам положительных выборов, Аij+ — число положительных взаимных связей в группе N — число членов группы.

Похожие работы на - Анализ социально-психологического климата на муниципальном предприятия "Тепловые сети"

 

Не нашли материал для своей работы?
Поможем написать уникальную работу
Без плагиата!
Без нейросетей!