Формування економічної моделі майбутнього світової економіки
Формування
економічної моделі майбутнього світової економіки
Курсова
робота
Зміст
Вступ
Розділ 1. Основні моделі та сутність економічного
розвитку
1.1. Неокласична модель
1.2. Кейнсіанські моделі
1.3. Сучасні неокласичні та посткейнсіанські моделі
формування економіки
Розділ 2. Головні закономірності світового
економічного розвитку
2.1. Головні елементи глобальної економіки
2.2 Сутність світової економічної рівноваги
2.3. Основні пропорції світової економіки
Розділ 3. Формування економічної моделі майбутнього
світового господарства
3.1. Формування моделі економічної єдності світу
3.2. Глобалізація економічних процесів
Висновки
Список використаної літератури
На рубежі двох
тисячоліть різко загострилися проблеми соціально-економічного розвитку. Головна
суперечність світової економіки дедалі більше проявляється у скороченні й
поступовому вичерпуванні традиційних ресурсів господарського зростання за
істотного збільшення кількості населення планети. Розв'язання вказаної
суперечності спонукає до активного пошуку нової моделі економічного розвитку,
яка б передбачала, з одного боку, перехід до використання принципово нових
джерел і видів ресурсів господарського розвитку, а з іншого – до певної
регуляції співвідношення між кількістю населення та наявним обсягом споживчих
благ для задоволення його потреб.
Нинішня ситуація
характеризується глобальною трансформацією усіх країн світу до нового якісного
стану, нового типу цивілізації третього тисячоліття. Розв'язання цих нагальних
завдань здійснюється на різних рівнях та у різноманітних сферах суспільства.
Світові проблеми обговорюються, вивчаються й вирішуються певною мірою в
Організації Об'єднаних Націй та її підрозділах, регіональні питання – у межах
сучасних інтеграційних об'єднань, економіка окремих країн – державними й іншими
установами, науково-дослідними інституціями. За такого великого розмаїття
неабиякого значення набуває наукове узагальнення, синтез існуючих теорій і
концепцій та їх адаптація до потреб і реалій економіки України.
Механізми
регуляції економічного життя є багатошаровою розгалуженою структурою,
фундаментом якої слугує сучасний ринок з іманентними атрибутами: приватною
власністю, конкуренцією, вільним підприємництвом, ініціативою, законодавством,
що регулює увесь комплекс господарських і соціально-трудових відносин.
Актуальність теми даної курсової роботи
визначається тим, що господарська практика країн світового співтовариства
засвідчує, що оптимізація економічних відносин, вирішення проблем розвитку
вимагають застосування багатоступінчастих підходів, які ґрунтуються на широкому
врахуванні загальноцивілізаційних закономірностей, регіональних та національних
особливостей, історико-генетичних і етнічних факторів, географічних,
психологічних та інших чинників. Вивчення цих аспектів неможливе без вивчення
закономірностей розвитку сучасної економічної моделі, без аналізу факторів та
чинників формування економічної моделі майбутнього.
Метою даної курсової роботи є
аналіз сукупності економічних відносин, які виникають при формування сучасної
моделі світового ринку.
Для вирішення
означеної мети, ми поставили перед собою ряд наступних задач:
·
розглянути
існуючі основні моделі формування світової економіки;
·
визначити
сутність економічного розвитку;
·
проаналізувати
головні закономірності розвитку сучасного світового господарства;
·
вивчити
основні тенденції формування економічної моделі світового господарства майбутнього.
Об’єктом дослідження даної курсової
роботи виступають процеси розвитку сучасної світової економіки.
Предмет дослідження даної курсової
роботи – тенденції формування економічної моделі третього тисячоліття.
Теоретико-методологічну основу курсової роботи складають досягнення світової
економічної думки, класичні та сучасні теорії макроекономічних відносин,
дослідження міжнародних економічних.
На сучасному
етапі розвитку макроекономічної думки здійснюється багато наукових досліджень,
мета яких – розгляд та встановлення взаємозв'язків між тими процесами, що
відбуваються в світовій економіці. Серед зарубіжних науковців вивченням
макроекономічних моделей розвитку економіки займалися – Е. Долан, Д. Ліндсей, К.
Макконел, П. Самуельсон, Р. Ф. Харрод та інші. Серед українських вчених
вивченню макроекономічних аспектів економіки присвячено праці, підручники та
посібники таких авторів як А. С. Філіпенко, В. А. Вергун, І. В. Бураківський,
В. Д. Сікора, О. І. Рогач, М. А. Дудченко, О. K. Кузьмінська, В. С. Будкін, В.
Я. Красильчук, Н. А. Черних, Ю. С. Скороход, Є. Ф. Ростов, О. Г. Голиченко та
інші.
Курсова робота
складається із вступу, трьох розділів, висновків, списку використаної літератури.
У першому розділі «Основні моделі та сутність економічного розвитку»
нами розглянуті теоретичні питання щодо визначення сутності розвитку світової
економіки та розглядаються існуючі моделі економічного зростання. У другому
розділі «Головні закономірності світового економічного розвитку» проаналізовано
головні елементи глобальної економіки та сутність світової економічної
рівноваги й пропорції. У третьому розділі «Формування економічної моделі
майбутнього світового господарства» висвітлено проблеми формування
економічної моделі майбутнього та визначення головних тенденції розвитку
світової економіки ХХІ століття..
Економічне
зростання виражається у зростанні реального національного обсягу виробництва у
вигляді ВВП, ВНД або цих показників на душу населення:
(1.1)
Розрізнюють
поняття екстенсивного та інтенсивного економічного зростання. Перше
відбувається за рахунок застосування додаткових ресурсів, горизонтального
розширення виробництва, при цьому рівень продуктивності праці залишається
незмінним [9, с. 452]. Неокласична
модель Р. Солоу, відомого економіста, лауреата Нобелівської премії з економіки,
ілюструє вплив заощаджень, інвестицій, технічного прогресу та демографічного
фактора на зростання обсягу виробництва. Як і більшість інших моделей, вона є
екзогенною. Попередньо передбачається, що трудові ресурси і технологія мають
константний характер. Пропозиція
товарів за Р. Солоу визначається виробничою функцією. При цьому вважається, що
існує постійна віддача від масштабу. В якості виробничої функції застосовується
функція Кобба-Дугласа. Якщо використовувати не абсолютні показники, а показники
в розрахунку на одного робітника, тобто показники капіталоозброєності одного
робітника та продуктивності праці одного робітника, то можна визначити, що:
(1.2.)
де k –
капіталоозброєність одного робітника, у – продуктивність праці
одного робітника. Відповідно, можна записати:
(1.3.)
Графічне
відображення цієї функції представлене на рис. 1.1
Рис. 1.1.
Виробнича функція
Нагромадження
капіталу забезпечує економічне зростання. Р. Солоу вважає, що обсяг інвестицій
на одного робітника залежить від доход і = sy; а доход, у свою чергу, є
функцією від рівня капіталоозброєння:
y = f(k)=>i
= s f(k) (1.4.)
Отже, чим вищий
рівень капіталоозброєння, тим вищий рівень інвестицій і доходу, що відображає
рис. 1.2. [9, с. 456].

Рис. 1.2.
Доход, споживання та Рис. 1.3. Вибуття капіталу
інвестиції
З іншого боку,
важливий вплив на визначення точки довгострокової рівноваги економіки чинить
норма вибуття капіталу. Якщо 5 – норма вибуття (амортизації), то кожний рік
внаслідок зношення вибуває 8-к капіталу (рис. 1.3). Зростання капіталоозброєння
відповідає більшому вибуттю капіталу.
Сукупний вплив
інвестицій і амортизації на зміну запасу капіталу на одного робітника на рік
має вигляд:
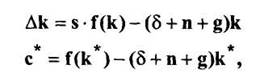
Ak = i-6k; i =
s f(k); Ak = s f(k)-5k (1.5.)
Таким чином,
величина s виступає як головна детермінанта рівня стійкого капіталоозброєння
[9, с. 455].
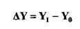
Рівень
накопичення капіталу, який забезпечує стійке капіталоозброєння з максимальним
рівнем споживання (с**), називається золотим рівнем накопичення капіталу (к**)
за Е. Фелпсом. Тож якщо:
то максимальний
обсяг споживання можна забезпечити у випадку:
с = f(k )-8k (1.6.)
З багатьох
можливих стійких рівнів капіталоозброєння слід визичити такий, за якого
споживання має максимальний рівень (рис. 1.4): точка, де зростання запасу
капіталу на одиницю забезпечить зростанню пуску, що дорівнює граничному
продукту капіталу МРК та забезпечення, збільшення вибуття на величину 5.
Рис. 1.4.
Максимальний рівень споживання
Зростання
заощаджень забезпечує тимчасове економічне зростання до стійкого стану. Модель
Р. Солоу доводить, що норма заощадження є головним фактором, що детермінує
стійкий рівень капіталоозброєнн – рівень випуску. Але така модель не в змозі
пояснити перманентне стабільне економічне зростання, характерне для більшості
розвинутих країн протягом XIX - XX ст. Для пояснення причин безперервного
зростання Р. Солоу використовує два основних фактори.
1. Зростання
чисельності населення. Зростання населення призводить до зниження
капіталоозброєння на одного працівника:
де (5 + n)k –
критична величина інвестицій. Це інвестиції, що необхідна для підтримання
запасу капіталу на одного працівника на постійному рівні. Вона забезпечує
заміщення вибуття капіталу 5к новим капіталом і новими робітниками з колишнім
рівнем капіталоозброєності.
2. Технологічний
прогрес в моделі розглядається через ефективність праці одного робітника:
(1.7.)
де Е –
ефективність праці одного робітника; L • Е – ефективні одиниці робочої сили.
Якщо припустити,
що технічний прогрес призводить до приросту з постійним темпом g, то L • Е
зростає з темпом п + g. Зростання ефективності праці аналогічне за дією зі зростанням
кількості населення [9, с. 457].
Отже, виходячи з
рівнянь:
можна отримати
модифікацію «золотого правіша», яке враховує дію факторів зростання населення
та науково-технічного прогресу:
Модель Р. Солоу
розкриває механізм довгострокового економічного зростання. В якості основи вона
визначає технологічний прогрес і пропонує механізм забезпечення стабільного
зростання добробуту населена.
1.2. Кейнсіанські моделі
В кейнсіанських
моделях в якості стратегічної величини, за допомогою якої можливе регулювання
економічного зростання, виступають інвестиції.
Модель Є.
Домара
Є. Домар виходив
з припущення, що на ринку праці існує постійне перевищення пропозиції над
попитом. Це забезпечує незмінність цін. Для збереження повної зайнятості
ресурсів в довгостроковому періоді сукупний попит повинен зростати пропорційно
виробничим можливостям:
(1.9.)
де Pt*Pt+l –
виробничі можливості в момент t та t+1; yt, yt+1 – сукупний попит в
момент t та t+1.
Якщо в момент t
досягається повна зайнятість ресурсів, то зміна р залежить від зміни чистих інвестицій,
де а – гранична продуктивність інвестицій [17, с. 391].
Стан повної
зайнятості можна отримати лише тоді, коли інвестиції і доход будуть постійно
зростати на величину, що дорівнює добутку граничної схильності до заощаджень на
граничну продуктивність інвестицій.
Модель Р.
Харрода
Р. Харрод
поставив більш складне завдання розробки загальної теорії зростання економіки.
Його модель включає ендогенну теорію інвестицій, засновану на принципі
акселерації і очікуваннях підприємців.
З боку пропозиції
припускається, що підприємці планують виробництво на основі адаптивних
очікувань:
(1.10.)
де р – пропозиція
товарів з боку підприємців у поточний та попередні періоди; b – коефіцієнт,
який може бути більшим, меншим чи дорівнювати 1, в залежності від того, якій з
гіпотез відповідає величина попиту в момент часу (t -1).
З боку попиту Р.
Харрод припускає незмінність граничної схильності до споживання і визначеність
обсягу інвестицій (І) принципом акселерації.
Поряд з
гарантованим темпом зростання Харрод увів поняття «природного» темпу зростання,
під яким розумів такий темп зростання капіталу і національного доходу, який
забезпечує повну зайнятість зростаючої пропозиції праці.
Якщо у вихідному
періоді існує повна зайнятість і капіталоозброєність праці постійна, як це
передбачається в посткейнсіанських моделях, то природний темп зростання
економіки дорівнює темпу зростання трудових ресурсів [17, с. 399].
Співвідношення
між значеннями гарантованого і природного темпів зростання визначає стан
економічної кон'юнктури.
Якщо темп
зростання трудових ресурсів («природний» темп зростання національного доходу)
відстає від темпу зростання капіталу («гарантованого» темпу зростання
національного доходу), то внаслідок нестачі трудових ресурсів очікуваний
підприємцями темп зростання не буде досягнутий. В результаті обсяг інвестицій
скоротиться і виникне депресія.
Відповідно при
зворотному співвідношенні, коли природний темп зростання перевищує
гарантований, фактичний темп зростання може бути рівним гарантованому, й
економіка опиниться в стані динамічної рівноваги за наявності кон'юнктурного
безробіття.
У випадку
перевищення природного темпу зростання над гарантованим фактичний темп
зростання також може виявитися вище за гарантований, оскільки надлишок трудових
ресурсів дозволяє збільшити інвестиції.
Тоді фактичний
обсяг виробництва перевищить очікуваний, стимулюючи подальше зростання
інвестицій і викликаючи бум [28, с. 405].
Таким чином, в
моделі Харрода, як і в моделі Домара, динамічна рівновага в умовах економічного
зростання нестійка.
1.3. Сучасні неокласичні та посткейнсіанські моделі
формування економіки
Використання
моделей з екзогенним науково-технічним прогресом не відповідає сучасному типу
економічного зростання. Одним із перших вирішити цю проблему спробував К.
Ерроу, який запропонував враховувати в моделі ендогенність НТП шляхом залучення
показника рівня освіти персоналу під час використання основних фондів.
Продовженням моделі К. Ерроу є розробка Е. Шешинські, який використовує в
моделі виробничу функцію:
Y = F(
L, K) (1.11.)
де
– коефіцієнт ефективності праці,
який повністю визначається обігом основного капіталу, що використовується і
акумулює попере інвестиції.
Відповідно даної
виробничої функції темп зростання випуску GY може бути визначеним у
вигляді суми комбінації темпів зростання виробничих ресурсів GK і величини, пропорційної
темпу зростання коефіцієнта ефективності праці GL:
(1.12.)
де р –
логарифмічна похідна
по К, до того ж
р менша за одиницю; – еластичність національного продукту за капіталом;
L – еластичність національного продукту
за працею [21, с. 283].
Наприкінці 80-х
років починається моделювання впливу інноваційної діяльності і накопичення
людського капіталу на економічне зростай засобом технологічних зсувів. Модель
економічного зростання П. Ромера передбачає можливість досягнення всього
приросту ВВП за рахунок лише технологічних змін. Необхідності обов'язкового
зростання кількості праці немає. П. Ромер розглядає виробничу функцію у вигляді:
(1.13.)
Така виробнича
функція враховує поділ праці на кваліфіковану некваліфіковану: L – обсяг
кваліфікованої праці, L – обсяг некваліфікованої праці,
1 та
L – коефіцієнти ефективності відповідно
до кваліфікованої та некваліфікованої праці. Вони залежать від обсягу наявних.
технологічних розробок, а не від загального обсягу капіталу. Крім того береться
до уваги вплив наявної множини технологічних розробок на основний капітал. Для
цього в якості фізичного капіталу використовується певний агрегат, компоненти
якого відповідають елементам множини технологічних знань.
Виробнича
функція, яку запропонував П. Ромер, має наступний вигляд:
(1.14.)
де J – множина
технологій та множина технологічних розробок одночасно.
Проведений П.
Ромером аналіз довів, що на економічне зростання впливає:
·
загальний
обсяг висококваліфікованої праці (науково-дослідницької) в економічній
діяльності;
·
ставка
відсотка;
·
еластичність
накопичених витрат на технологічні знання;
·
продуктивність
науково-дослідницької праці;
·
співвідношення
еластичностей національного продукту за
·
кваліфікованою
працею та за капіталом
·
·
еластичність
сукупного попиту за загальним індексом цін;
·
еластичність
загального індексу цін відносно цін на інвестиційні
товари [17, с. 419].
Відомою
посткейнсіанською моделлю економічного зростання є модель Ван дер Плюга. Модель
складається з трьох диференційних рівнянь.
Ортодоксальний
кейнсіанський підхід, який передбачає сувору взаємододатність факторів
виробництва, вчений послаблює введенням фактора технологічного прогресу.
Передбачається, що виготовляються товари для споживання і інвестицій.
Пропозиція праці (L) екзогенно зростає зі швидкістю п. Попит на продукцію
складається з частини, що відповідає споживанню (С), та частини, що відповідає
інвестиціям (І). Обсяг виготовленої продукції (Q) забезпечує чистий доход (Y) у
вигляді заробітної плати (WE), (W – рівень заробітної плати, Е – кількість
робітників), чистого прибутку (f) і амортизаційних витрат (D), з нормою
амортизації (di). Чистий доход витрачається на придбання товарів та на
накопичення (S):
(1.15.)
де s та г –
відповідно коефіцієнти схильності до заощадження чистого доходу та схильності
до зростання добробуту [17, с. 425].
За умови довгострокового
збалансованого зростання гарантована швидкість зростання має бути тотожною
природній швидкості. Продуктивність праці в моделі Ван дер Плюга визначається
за допомогою виробничої функції Кобба–Дугласа після експліцитного виразу
фактора технічного прогресу та переходу від ефективних одиниць до первісної
розмірності:
Константа d
залежить від вихідного стану економіки, Е – визначає показник кількості
зайнятих (Е), розрахований в ефективних одиницях, w* – константа, яка залежить
від фактора технічного прогресу.
Процес формування
елементів глобальної економіки розвивається одночасно в кількох напрямах.
Перший з них пов'язаний зі збутом товарів і послуг на внутрішньому ринку в
умовах, з одного боку, значного зростання масштабів виробництва, з іншого – відносного
насичення потреб усередині країни саме на товари і послуги національного
виробництва. На цій основі виникає постійна потреба в пошуку зовнішніх ринків
для реалізації валового продукту у вартісній та натурально-речовій формах.
Другий напрям дещо протилежний. Він передбачає широкий вихід на світовий ринок
у зв'язку з відсутністю в національному господарстві всієї гами засобів і
предметів праці, які б забезпечували безперервність і розширення процесу
виробництва.
Глобальна
економіка включає в себе такі головні елементи:
·
міжнародну
науково-технічну сферу;
·
систему
міжнародного виробництва;
·
світовий
ринок і міжнародну торгівлю;
·
міжнародну
валютно-фінансову систему [26, с. 171] [Додаток А, Б].
Міжнародні
науково-технічні відносини найбільш концентровано реалізуються у формуванні
світового ринку технологій, «ноу-хау», патентів і ліцензій, інжинірингових та
інформаційних послуг. Відповідно до визначальних тенденцій світового
економічного розвитку в сучасних умовах різко посилюється значення
науково-технічних компонентів господарського зростання як факторів динамізації
та якісного вдосконалення виробництва. Так, обсяг наукової діяльності
подвоюється приблизно кожні 10–15 років, а кількість науковців, за даними
ЮНЕСКО, за останні 50 років зростала майже в 4 рази швидше, ніж загальна
чисельність населення, подвоюючись у розвинутих країнах через 7–10 років.
Подвоєння кількості заявок на наукові відкриття та винаходи відбувається в
середньому кожні 2,5–3 роки [26, с. 179].
Згідно з
прогнозами, у XXI столітті науково-дослідною роботою буде займатися близько 20
% працездатного населення. На цій основі посилюватимуться процеси
інтелектуалізації виробництва і праці, зростатиме ефективність використання
всіх ресурсів. Провідні позиції в міжнародному технологічному обміні міцно
утримують США, частка яких у продажу ліцензій – майже 2/3 світового обсягу.
Слідом ідуть Японія, Велика Британія, Нідерланди, Бельгія, Люксембург і Швеція.
Останнім часом
значну активність у цій сфері виявляють також Австралія, Нова Зеландія,
Бразилія, Мексика, Марокко та інші країни. Сфера міжнародного виробництва як
елемент глобальної економіки викристалізовується Нині на основі взаємодії трьох
найголовніших процесів: міжнародної спеціалізації та кооперування виробництва,
спільної інвестиційної діяльності й спільного підприємництва. Найвиразніше тут
проявляється роль ТНК, спільних підприємств, вільних економічних (експортних)
зон тощо. Відносини у сфері міжнародного виробництва визначають зміст, динаміку
і структуру господарської взаємодії в інших підсистемах світової економіки [23]
[Додаток В].
У процесі
посилення глобалізації господарського життя органічно поєднуються національні
та інтернаціональні форми виробництва. На цій основі розвивається міжнародне
(багатонаціональне) виробництво внаслідок взаємодії в єдиному виробничому
процесі різноманітних за своїм походженням ресурсів і факторів. Найяскравіше це
проявляється в діяльності ТНК, спільних підприємств, при реалізації міжнародних
інвестиційних проектів, у межах вільних економічних зон тощо. У цілому на
вказані форми міжнародного виробництва тепер припадає від 30 до 50 %
матеріального, фінансового й технологічного обороту світової економіки.
Функціональною сферою світової економіки, в якій віддзеркалюється рух
різноманітних ресурсів, що переміщуються між країнами, регіонами, фірмами та
юридичними особами, є міжнародний обіг, світова торгівля. Про зростаюче
значення міжнародної торгівлі в сучасному світовому економічному розвитку
свідчать такі дані. У 1900 р. обсяг світової торгівлі щодо світового валового
національного продукту (ВНП) становив 12 %, а в середині 80-х років – уже 26 %.
Наведені цифри
переконливо свідчать про випереджаюче зростання міжнародної торгівлі порівняно
з соціальним продуктом. Розгортаються процеси, пов'язані з поглибленням
міжнародного поділу й кооперації праці, глобалізацією господарських зв'язків,
посиленням взаємозалежності країн і регіонів світу. Найважливіші тенденції в
розвитку міжнародної торгівлі спричинені вирішальним впливом на її динаміку й
структуру сучасної науково-технологічної революції, радикальних змін, що
відбуваються в системі «наука-техніка-виробництво» [27, с. 29].
Головна і зрештою
довготривала тенденція полягає в тому, що в загальному товарообороті
збільшується частка готових промислових виробів при відповідному-зменшенні
питомої ваги сировинних товарів. Важливою функціональною складовою економічної
структури світу є міжнародна валютно-фінансова система. В умовах карколомного
розширення ринкових відносин за рахунок держав Центральної, Південне-Східної
Європи та колишнього СРСР роль цієї суто економічної сфери світового
господарського життя незмінно посилюється, збільшуються масштаби та обсяги
міжнародних фінансово-кредитних операцій, зростає кількість суб'єктів
валютно-фінансових відносин, з'являються нові міжнародні та регіональні
валютно-кредитні організації. За оцінками, річний обсяг міжнародних фінансових
операцій у 10-15 разів перевищує масштаби світової торгівлі, тобто сягає
приблизно 150 трлн. дол.
Найхарактернішими
ознаками міжнародної валютно-фінансової системи є: наявність «плаваючих» валютних
курсів, що функціонують на основі Ямайських угод (1976 р.); диверсифікація
ліквідних засобів унаслідок впровадження в обіг міжнародних спеціальних прав
запозичення (СПЗ) та євро, підвищення ролі в міжнародних розрахунках валют
провідних індустріальних держав (США, Японії, Німеччини, Англії, Франції);
функціонування розгалуженої системи міжнародних фінансових центрів, що
забезпечують переміщення фінансових ресурсів у світовому масштабі; створення
світової телекомунікаційної мережі (СВІФТ), яка об'єднує міжнародну
валютно-фінансову систему в органічну цілісність, надає їй відчутних рис
глобального характеру. Світові гроші – головна ланка міжнародної валютної
системи [22, с. 95].
Вони є логічним
продовженням внутрішніх грошей, вищою формою їх функціонального застосування.
Міжнародну валютну систему складають два головні грошові блоки: резервні
національні валюти та наднаціональні валюти. Головна функція міжнародної
валютної системи – ефективне опосередкування платежів за експорт та імпорт між
окремими країнами і створення сприятливих умов для розвитку міжнародної системи
виробництва й поділу праці.
Економічна
рівновага – одне з ключових понять, що розкриває закономірності розвитку
господарства на макрорівні і в національному, й у світовому масштабі.
Концептуальні засади теорії економічної рівноваги були сформульовані в XIX –
першій половині XX ст. у працях західних економістів А. Курно, Л. Вальраса, В.
Джевонса, А. Маршалла. Сучасні інтерпретації здійснені теоретиками
неокласичного синтезу – американськими авторами Дж. Хіксом і П. Самуельсоном.
Найдосконалішим є вчення про часткову і загальну економічну рівновагу (М.
Кондратьев). Член Римського клубу Е. Пестель дав визначення глобальної економічної
рівноваги, російський учений О. Богданов ще у 20-ті роки вживав терміни
«гранична» рівновага та «рухлива» рівновага. З часів Л. Вальраса в науковий
обіг введено поняття «конкурентної» рівноваги, а в наші дні обґрунтовано норму
рівноваги, статичну і динамічну рівновагу [25, с. 246].
Матеріально-речова
економічна рівновага – продукт індустріальної цивілізації, її найвищого,
сучасного етапу. Вона передбачає дотримання певних пропорцій у світовому
масштабі між головними галузями сучасного виробництва: промисловістю і
сільським господарством, видобувними й обробними галузями промислового
виробництва, між різними видами транспорту, між сферою виробництва та
інфраструктурою тощо. На постійні зміни, що відбуваються у сфері матеріального
виробництва, спроможний реагувати лише ринок, який своїми зворотними сигналами
сприяє дотриманню динамічної матеріально-речової рівноваги світу. Водночас
поступове і зростаюче вичерпання головних природних ресурсів індустріального
розвитку надзвичайно ускладнює і загострює проблему матеріально-речової
економічної рівноваги на початку XXI ст. [25, с. 252].
Вартісна
економічна рівновага характеризується зовнішніми та внутрішніми аспектами. Її
зовнішнім проявом є матеріально-речовий склад суспільного продукту чи світового
товарообороту. Кореляційний зв'язок між вартісною і матеріально-речовою
частинами будь-яких структур забезпечується за допомогою цін, валютних курсів.
Внутрішня будова вартісної рівноваги ґрунтується на співвідношенні між
головними ліквідними засобами: золотом, міжнародними валютними ресурсами,
національними вільно конвертованими валютами. І зовнішні, і внутрішні аспекти
вартісної економічної рівноваги взаємодіють і відтворюються на світових
грошовому, фінансовому, валютному, фондовому ринках. Кількісні та якісні
параметри вказаних ринків є своєрідними індикаторами, що фіксують стан і
головні тенденції розвитку вартісної економічної рівноваги світу. На сучасному
етапі її характер зумовлюють такі важливі процеси, як демонетизація золота,
зміцнення міжнародних валют (СПЗ, євро), національних валют розвинутих країн
[30, с. 351].
Глобальна
економічна рівновага визначається як такий стан, коли чисельність населення та
обсяг капіталу залишаються незмінними, а між силами, що впливають на їхні
збільшення або зменшення, підтримується стійкий баланс. Е. Пестель називає такі
три головні умови глобальної рівноваги:
·
обсяг
капіталу і чисельність населення залишаються постійними; темпи народжуваності
та смертності однакові, так само як і попит на капітальні вкладення
(інвестиції) та амортизація;
·
усі початкові
й кінцеві значення – народжуваності, смертності, інвестицій та амортизації
капіталу – мінімальні;
·
рівні, на
яких стабілізується капітал та чисельність населення, і
·
співвідношення
між цими рівнями встановлює суспільство
·
згідно зі
своїми потребами [30, с. 359].
Як бачимо, одна з
перших спроб визначення глобальної економічної рівноваги стосується
національного господарства, в якому держава відповідними економічними та іншими
засобами здатна впливати на динаміку та структуру економічного розвитку. У
світовому співтоваристві поки що не створено відповідних інституційних
структур, які могли б регулювати світову економічну систему. Таким чином, на
нинішньому етапі глобальна економічна рівновага світу формується, з одного
боку, на основі взаємодії національних господарських комплексів, з іншого – за
допомогою імпульсів, які надходять із світового ринку.
Регіональна
економічна рівновага найяскравіше проявляється в інтеграційних об'єднаннях.
Наприклад, у Європейському Союзі вона втілюється у проведенні єдиної аграрної
політики, в реалізації спільних науково-технічних програм, у створенні єдиного
валютного союзу тощо. Східноєвропейський регіон характеризується на сучасному
етапі серйозними порушеннями економічної рівноваги, розривом господарських
зв'язків, що встановлювалися протягом десятків років. Згортання економічних
відносин, взаємне скорочення поставок сировини, готових виробів, товарів
широкого вжитку болісно позначаються на економічній ситуації в країнах Східної
Європи, загострюють кризові явища і в народному господарстві в цілому, і в
зовнішньоекономічних комплексах цих держав [30, с. 363].
Надзвичайно
важливим для міжнародних економічних відносин, системи світогосподарських
зв'язків є поняття граничної рівноваги. Як правило, це такий ступінь економічної
рівноваги, який передує кризовим явищам у світовому господарстві. Згідно із
«законом найменших», за О. Богдановим, гранична рівновага комплексу (системи)
визначається його найслабшою ланкою. Неминуча після досягнення граничної
рівноваги криза являє собою не що інше, як перехід до нової рівноваги, з новими
параметрами та компонентами.
У літературі
здійснено численні спроби формалізувати, тобто математично виразити, економічну
рівновагу. Загальна економічна рівновага, як правило, визначається для окремих
країн. Але існуюча модель може з деякими застереженнями поширюватися і на
світове господарство в цілому. Спрощений математичний вираз світової
економічної рівноваги має такий вигляд:
Фкс
= ∑Вс + ∑РЗ,
де Фкс
– фонд кінцевого споживання; ∑Bc – сумарне виробництво світу; ∑РЗ
– сумарні економічні резерви і запаси.
Наведене рівняння
відображає головну мегапропорцію світового господарства: співвідношення між
виробництвом і споживанням. Із нього виводиться низка похідних рівнянь, що
характеризують рух інвестиційних і трудових ресурсів, амортизаційні фонди і
демографічні зрушення, конкурентну рівновагу тощо.
Пропорції
світової економіки уособлюють мільйони і мільярди економічних зв'язків, що здійснюються
між її контрагентами за певний проміжок часу. Здебільшого вони проявляються на
світовому ринку, в окремих сферах світового господарства, в сукупності
міжнародних економічних відносин.
Головними
міжнародними пропорціями, які характеризують стан, закономірності та тенденції
світового господарства, є співвідношення: між попитом і пропозицією на
світовому ринку; між сумою цін товарів і послуг у світовій торгівлі й кількістю
міжнародних ліквідних засобів, що опосередковують рух товарних потоків та послуг;
між матеріально-речовою і вартісною частинами світового товарообороту; між
міжнародним вантажооборотом і потужністю транспортних засобів, що забезпечують
ці перевезення, та ін. В окремих сферах світового господарства формуються
міжгалузеві й внутрішньогалузеві натуральні чи вартісні пропорції між добувними
й обробними галузями промисловості; між харчовою та легкою промисловістю і
сільським господарством; між нафтохімічною і нафтодобувною промисловістю; між
промисловістю з виробництва мінеральних добрив і сільським господарством тощо
[24, с. 41].
Нарешті,
формуються міжнародні пропорції в окремих підсистемах світогосподарських
зв'язків. Так, у науково-технічній сфері підтримується співвідношення між
фундаментальними дослідженнями, прикладними розробками і
дослідно-конструкторськими роботами, що дістає прояв у співвідношенні форм
міжнародної науково-технічної кооперації, патентно-ліцензійної торгівлі та
науково-виробничого співробітництва.
У
валютно-фінансовій сфері складаються динамічні пропорції між різними валютами,
що опосередковують операції на світовому ринку товарів і послуг, на
міжнародному фінансовому ринку, ринку інвестицій тощо. У цілому ж існує
об'єктивна пропорція між промисловим, торговельним і позичковим капіталом.
В останні
десятиріччя намітилася негативна тенденція відриву фінансового, позичкового
капіталу від своєї першооснови – матеріально-речового змісту товарів, послуг і
капіталів. Так, із щоденного обсягу валютних угод, що перевищує 1 трлн. 150
млрд. дол., лише 10 % справді опосередковують рух реальних товарів і капіталів.
Щорічна різниця між обсягами брутто і нетто міжбанківських операцій становила у
80-ті роки понад 800 млрд. дол. Зростання фіктивного капіталу і спекулятивні
дії в цій сфері міжнародного економічного життя значно утруднюють дотримання
рівноваги між найважливішими сферами світового господарства, про що свідчать
спалахи світової фінансової кризи в Південно-Східній Азії (1997 р.), в Росії та
Бразилії (1998 р.) [24, с. 49].
Передумови
економічної єдності формувалися протягом тисячоліть, і тільки тепер, у XXI ст.
нашої ери, вимальовуються обриси цього синтезу. Генезис економічної єдності
світу охоплює три великі, періоди, що відповідають трьом епохам у розвитку
людських цивілізацій: аграрній, індустріальній та постіндустріальній
(ноосферно-космічній). На нинішньому етапі формується економічний базис єдиної
світової цивілізації. Матеріальні підвалини цього всесвітньо-історичного
процесу створюються у сфері виробництва, в умовах і формах економічного життя
людства. Головною детермінантою зближення економічних форм життя народів і
держав є новітні ресурси, що модифікують організаційно-господарські способи
функціонування економік різних країн [14, с. 83].
Глибинною основою
даного процесу виступають зміни у власності на засоби виробництва та
глобалізація економічних процесів. У наш час відбувається всебічна соціалізація
власності, з одного боку, з іншого – дематеріалізація на базі інформатизації,
інтелектуалізації виробництва. І соціалізація, і дематеріалізація, хоч і різною
мірою, охоплюють усі країни світу. Здійснюється також поступове структурне
зближення національних господарств за найважливішими загальноекономічними
пропорціями, адаптуються їхні галузеві та міжгалузеві структури. Відбувається
процес вирівнювання зайнятого населення за структурою його
професійно-освітнього складу тощо. Водночас залишається доволі виразним поділ
країн світу на центр та периферію. Процес всебічного зближення у сферах
виробництва, науково-технологічної діяльності та послуг зумовлений посиленням
дії загальноцивілізаційних законів і закономірностей, що охоплюють також сферу політики,
ідеології, культури. Глобальний синтез, який поширюється на всю планету, веде
до утворення світової економічної спільності, цілісної міжнародної
господарської структури [14, с. 87].
Серед факторів,
що формують економічну єдність світу, треба також відзначити
інтернаціоналізацію виробництва й обігу, міжнародну господарську інтеграцію,
науково-технічну революцію, необхідність спільного вирішення глобальних проблем
людства тощо. Поглиблення інтернаціоналізації сучасного господарства.
Інтернаціоналізація господарського життя почалася за доби великого машинного
виробництва. Вона означає не що інше, як поступовий вихід виробництва за межі
окремої країни та формування його міжнаціональних форм у рамках світового
господарства.
Можна виділити
три головні етапи розвитку інтернаціоналізації господарського життя. На першому
етапі (приблизно кінець XVIII – кінець XIX ст.) інтернаціоналізація виробництва
ґрунтувалася переважно на взаємодії національних господарств завдяки простій
кооперації. Головним каналом взаємного «обміну речовин» були найпростіші форми
міжнародних економічних зв'язків, і передусім зовнішня торгівля.
Інтернаціоналізація виробництва й обігу стала однією з найголовніших передумов
формування світового господарства. Між цими двома світогосподарськими процесами
існує діалектичний взаємозв'язок. На другому етапі (кінець XIX – середина XX
ст.) інтернаціоналізація виробництва переходить в іншу стадію, що пов'язана з
розвитком складної кооперації [13, с. 129].
Характерна ознака
складної кооперації полягає в тому, що вона ґрунтується на міжнародному поділі
праці (МПП). МПП стає визначальним фактором поглиблення інтернаціоналізації
господарського життя та формування світового господарства. У цей час
розвиваються всі його головні форми: загальний, частковий та одиничний поділ
праці. На третьому (нинішньому) етапі, що розпочався із середини нашого
століття, інтернаціоналізація виробництва набуває комплексного характеру, тобто
охоплює усі підсистеми господарства. Таким чином, вона поширюється практично на
всі країни світу, всі галузі виробничої та невиробничої сфер.
Саме завдяки
інтернаціоналізації здійснюються головні умови збалансованого економічного
розвитку: реалізація в матеріально-речовій та вартісній формах усіх частин
валового національного продукту, піднесення якості людського розвитку тощо.
Вузькість внутрішніх ринків, нестача ресурсів сировини, палива, засобів
виробництва компенсуються широкою участю країн у світогосподарських процесах на
основі розширення і поглиблення інтернаціоналізації виробництва й обігу [13, с.
132].
Інтернаціоналізація
об'єднує структурні елементи і суб'єкти світового господарства в єдине ціле.
Тому вона є одним із системоутворювальних факторів світового господарства. З
поглибленням процесу інтернаціоналізації виробництва посилюється єдність
світового господарства, зростає його органічна цілісність. Використовуються
різні показники, що визначають якісні та кількісні аспекти інтернаціоналізації
господарського життя. Серед них рівень міжнародної спеціалізації та
кооперування виробництва, обсяги міжнародної інвестиційної діяльності, обороту
фінансового капіталу, спільної підприємницької діяльності, міграції робочої
сили тощо.
Однією з основних
ознак сучасного розвитку світового господарства є розгортання процесів
глобалізації, які справляють суттєвий вплив на систему міжнародних економічних
відносин, трансформують напрями і визначають тенденції розвитку національних
економік.
Під глобалізацією
світового господарства розуміють процес посилення взаємозв’язку національних
економік країн світу, що знаходить своє вираження в утворенні світового ринку
товарів і послуг, фінансів; становленні глобального інформаційного простору,
перетворенні знання в основний елемент суспільного багатства, виході бізнесу за
національні кордони через формування ТНК, впровадженні і домінуванні в
повсякденній практиці міжнародних відносин і внутрішньополітичного життя
народів принципово нових і універсальних ліберально-демократичних цінностей тощо
[22, с. 75].
В середині ХХ ст.
фактично була завершена розробка засад аналізу і прогнозування основних
процесів соціального розвитку регіонального рівня. Футурологічна література
цього періоду стимулювала розвиток системного мислення та системного підходу до
розгляду процесів глобального і регіонального рівнів.
Якщо в перших
глобальних моделях Дж. Форестера (1971) і Медуза зі співавторами (1972),
заснованих на спрощенні екстраполяції п’яти параметрів розвитку сучасного світу
– росту народонаселення, прискорення індустріалізації, погіршення рівня
харчування, вичерпання природних ресурсів і забруднення навколишнього
середовища основна увага надається фізичним, демографічним і екологічним
чинникам розвитку, а соціально-політичні, культурні і навіть науково-технічні
чинники практично ігнорувалися, то для наступних розробок був характерний
набагато об’єктивніший підхід до опису глобальних і регіональних процесів.
Вже в другій
доповіді Римського Клубу «Людство біля поворотного пункту» (1974) її автори М.
Месарович і Е. Пестель зробили спробу врахування специфіки
соціально-політичного розвитку різних регіонів. У зв’язку з цим світ було
поділено умовно на 10 регіонів. Ієрархічна система моделей складається з 3-х
рівнів: причинного, організаційного та рівня формування норм, цінностей і цілей
суспільства. Підхід Месаровича і Пестеля виявився дуже продуктивним і був
покладений в основу значної кількості інших моделей і розробок, зокрема моделі,
спрямованої на дослідження проблем урбанізації Мехіко, моделі «Китай-2000» і
модельного комплексу «Форкаст» [27, с. 31].
Багаторівнева
ієрархічна структуризація моделі відтворення світу як сукупності
взаємопов’язаних регіонів, а головне, введення факторів управління за рахунок
перебирання альтернативних сценаріїв розвитку надійно увійшли до методичного
арсеналу розробників моделей і стратегій глобального і регіонального розвитку і
використовувалися, зокрема, при розробці великого класу економетричних і
макроекономічних моделей останніх десятиліть. Серед них слід назвати моделі ООН
В. Леонтьєва «майбутнє світової економіки», Л. Клейна «УОРТОН», моделі
японського центру економічних досліджень, моделі ЮНКТАД та інші, Департаменту
ООН з міжнародних, економічних і соціальних питань, періодичні моделі ОЕСР,
«Чейз Манхеттен Бенк», Світового банку тощо [27, с. 32].
Сьогодні ці
моделі і розробки є важливим інструментом аналізу і формування регіональної і
світової політики не тільки в галузі економічних, але й більш широких
міжнародних питань. Проте саме успіхи в розробці досить адекватних моделей
економічних і екологічних процесів зробили цілком очевидним штучність і
безпорадність спроб формалізації політичних і соціальних процесів.
Цілком
об’єктивним є виникнення та формування в останнє десятиліття минулого століття
нової галузі наукового знання, яка отримала назву «глобалістика». Вона
намагається систематизувати і узагальнено представити сукупність досліджень з
даної проблематики.
На думку А.
Неклесса, в сучасному глобальному світі формуються світова конструкція – мета
інфраструктура – в якій»перерозподіляється увесь сукупний світовий дохід між
геоекономічними персонажами, тісно пов’язаними різними видами господарської
діяльності. На засадах останнього класу технологій формується домінуюча
глобальна інфраструктура, сприйнятлива для певного класу економічних суб’єктів
і набагато менш дружня по відношенню до інших. Інфраструктура, сутність якої не
виробництво, а розподіл і перерозподіл ресурсів, доходів, прибутку. Такий
перерозподіл зорієнтований на країни півночі ... є своєрідним глобальним
податком на економічну діяльність» [27, с. 32].
На думку М.
Кастельса, «архітектура глобальної економіки відображає асиметрично
взаємозалежний світ, що організований навколо трьох головних економічних
регіонів і все більше поляризується по осі протистояння між продуктивними,
процвітаючими, багатими інформацією галузями і галузями знедоленими, економічно
і соціально знеціненими». Глобалізація набуває різного значення залежно від
того, чи йдеться про окрему компанію, галузь, країну, чи про світове господарство.
Для окремої компанії глобалізація визначається тим, наскільки компанія
розширила географію надходження своїх доходів і в яких масштабах і пропорціях
розподілила свої активи у різних країнах, а також тим, наскільки вона залучена
до експорту капіталу, товарів та ноу-хау через структури, що їй належать.
Причини
формування глобалізаційних процесів:
·
процес
інтернаціоналізації, який приводить до поглиблення співробітництва між країнами
та посилення їх взаємозалежності;
·
науково-технічний
прогрес: поява інформаційних технологій, які корінним чином змінюють всю
систему соціально-економічних відносин, переносять на якісно новий технічний
рівень організаційно-економічні відносини, транспортні та комунікаційні зв’язки
(зниження витрат на трансакції);
·
загострення
проблем, що є загальними для всіх людей і країн світу та є важливими з точки
зору збереження та розвитку людської цивілізації.
Основні ознаки
процесу глобалізації:
·
взаємозалежність
національних економік та їхнє взаємопроникнення, формування міжнародних
виробничих комплексів поза національними кордонами;
·
фінансова
глобалізація – зростаюча фінансова єдність та взаємозалежність
фінансово-економічних систем країн світу;
·
послаблення
можливостей національних держав щодо формування незалежної економічної
політики;
·
розширення
масштабів обміну та інтенсифікація процесів руху товарів, капіталів, трудових
ресурсів;
·
створення
інституцій міждержавного, міжнародного регулювання глобальних проблем;
·
тяжіння
світової економіки до єдиних стандартів, цінностей, принципів функціонування
[27, с. 34].
На рівні галузі
глобалізація визначається тим, наскільки конкурентоспроможність компанії
всередині галузі в даній країні взаємопов’язана з її конкурентоспроможністю в
іншій країні. Чим більше глобалізована галузь промисловості, тим більше переваг
отримує компанія від внесеної технології, виробничого процесу, фабричної марки.
Глобалізовані галузі промисловості мають тенденцію домінувати на кожному ринку
одним і тим самим набором глобальних компаній, які координують між собою
стратегічні дії в усіх країнах своєї активності.
Глобалізація на
рівні окремої країни характеризується ступенем взаємозв’язку її економіки зі
світовою економікою в цілому. Незважаючи на зростання глобалізації світової
економіки, не всі країни в однаковій мірі інтегровані до неї. Існують декілька
головних показників, що визначають ступінь інтегрованості економік різних
держав у глобальну економіку, серед яких:
·
співвідношення
зовнішньоторговельного обороту і ВВП;
·
прямі
іноземні інвестиції (ПІІ), які спрямовуються в економіку країни і з країни, та
портфельні інвестиції;
·
потік
платежів роялті в країну та з країни, що пов’язані з переданням технології [27,
с. 35].
Глобалізація на
світовому рівні визначається економічними взаємозв’язками між країнами, який
зростає та відбивається на зустрічних потоках товарів, послуг, капіталу та
ноу-хау, що постійно збільшуються.
Основною рисою
процесу глобалізації є формування глобально функціонуючого виробничого процесу,
серцевиною якого є сформовані інтернаціоналізовані відтворювальні цикли – ядра,
які виступають своєрідним локомотивом світового господарства. В межах цих
циклів формується світовий дохід, перерозподіл якого є головним стратегічним
орієнтиром і основою зовнішньої політики будь-якої держави.
У сучасному світі
глобалізація справляє домінуючий вплив на розвиток будь-якої держави. З одного
боку, через розповсюдження інновацій у сфері технологій і менеджменту, активний
обмін товарами, послугами, інвестиціями вона сприяє підвищенню ефективності
функціонування національних економік, а з іншого – посилює нерівномірність,
асинхронність та диспропорційність розвитку.
Глобалізація
тісно пов’язана з регіоналізацією світового господарства. З одного боку, це дві
суперечливі, різнонаправлені за характером дії та практичними наслідками
тенденції, а з іншого – консолідація глобального ринку посилюється діяльністю
потужних регіональних коаліцій країн, які, маючи, перш за все, спільні
економічні інтереси, об’єднують свої зусилля з метою забезпечення найбільш
сприятливих умов для реалізації міжнародного співробітництва в регіональному
масштабі, що дозволяє їм досягати мультиплікативного ефекту від співробітництва
з іншими членами угруповання та ефективно реалізовувати на міжнародній арені
широкий спектр стратегічних інтересів. Найбільш інтенсивна господарська
взаємодія спостерігається в межах таких потужних інтеграційних угруповань, як:
ЄС, НАФТА, АТЕС, АСЕАН, МЕРКОСУР. Так, на долю НАФТА, ЄС і АТЕС приходиться
приблизно 80% світового ВВП, 82% всіх державних бюджетів країн світу і 85%
експорту [5, с. 44].
Регіоналізація
виступає своєрідним проявом і формою реалізації глобалізації, загострюючи
суперечності глобального розвитку. З одного боку, зняття бар’єрів у рухові
товарів, послуг, капіталів, робочої сили в межах інтеграційних об’єднань
виступає каталізатором зростання міжнародного співробітництва у глобальному
масштабі. А з іншого боку, позитивний ефект від впровадження подібної
лібералізації обмежується спільними кордонами регіонального інтеграційного
об’єднання та супроводжується введенням обмежувальних заходів у відносинах з
країнами, які не є членами даного регіонального інтеграційного угруповання.
Регіональна інтеграція розвивається на сучасному етапі більш динамічно, ніж
процеси глобальної інтеграції.
Але й слід наголосити
на суперечностях процесу глобалізації. Глобалізація – це об’єктивний процес
планетарного масштабу, який має як прогресивні наслідки, так і негативні.
глобалізація економіки – це не лише вигоди від зростанні участі країни в
світових економічних процесах, але й висока ймовірність втрат, зростання
ризиків. Глобалізація передбачає, що країни стають не просто взаємозалежними з
причини формування системи міжнародного інтегрованого виробництва, зростання
обсягів світової торгівлі та потоків іноземних інвестицій, інтенсифікації руху
технологічних нововведень тощо, але й більш вразливими щодо негативного впливу
світогосподарських зв’язків. Світова практика доводить, що виграш від
глобалізації розподіляється далеко не рівномірно між країнами та суб’єктами економічної
діяльності.
Отже, до
позитивних аспектів глобалізації ми можемо віднести:
·
поширення
нових інформаційних технологій та пов’язаних з ними переваг (скорочення часу і
витрат на трансакції, поліпшення умов праці та життя); перехід на
ресурсозаощаджуючі технології;
·
посилення
уваги до важливих проблем людства та інші.
Однак, до
негативних наслідків глобалізації відносяться:
·
посилення
нерівномірності розвитку країн світу;
·
нав’язування
сильними країнами своєї волі,
·
нераціональної
структури господарства, політичної та економічної залежності [5, с. 49].
Саме тому,
глобалізація як суперечливий процес, потребує регулювання на національному та
міждержавному рівнях.
Висновки
Кожна країна
виробляє та реалізує свою власну економічну модель, в якій комбінуються
елементи різних підходів до економічного зростання.
У структурному
відношенні економічний розвиток будь-якої країни визначається наявністю та
якістю чинників виробництва (праця, земля, капітал, підприємливість) і методами
й технологіями їх використання (інакше кажучи, економічною політикою в широкому
розумінні цього поняття). Сама по собі економічна політика виробляється та
реалізується під впливом зовнішнього й внутрішнього економічного середовища, в
якому функціонує національне господарство.
Людина, її
творчий потенціал поступово, але неухильно починають посідати домінуючі позиції
в усіх виробничо-економічних структурах, перетворюючись із знаряддя праці,
об'єкта власності феодала, додатка до машини на головну постать у суспільному
житті. Тисячоліттями роздвоєна особистість внаслідок відчуження більшості
населення від власності, влади, культури поступово набуває рис цілісної людини.
Вільно розпоряджаючись своєю робочою силою, беручи участь у розподілі власності
й результатів своєї праці, сучасна людина спроможна досягти більшого ступеня
економічної свободи як передумови своєї автономізації та індивідуалізації.
Очевидно, у глобальному масштабі йдеться про перехід в економіці від
соціального начала, яке домінувало в останні століття, до особистого,
духовного.
Якісна специфіка
економіки періоду зародження і становлення ноосферно-космічної цивілізації
полягає, з одного боку, у вирішальній ролі людського розуму у формуванні й
відтворенні головних умов життя суспільства, з іншого - в утилізації людиною
космічного простору. Розкріпачення інтелектуального потенціалу людини,
прийдешня психологічна революція будуть визначати інтенсивні шляхи становлення
нової цивілізації. Освоєння людиною навколоземного простору, інших планет
сонячної системи можна вважати екстенсивними напрямами формування
суспільно-економічних структур XXI ст. Індустріальна цивілізація виникла на
хвилі великих географічних відкриттів на основі розширення «економічного поля»
за рахунок залучення до господарського обороту нових земель і територій, а
цивілізація XXI ст. отримує могутній поштовх внаслідок космізації і
виробництва, і мислення.
Перехідний
характер епохи детермінує трансформацію індустріальної цивілізації у
ноосферно-космічну й виникнення у зв'язку з цим опосередковуючих ланок. Такою
проміжною формою стає інформаційна модель розвитку, яка є продуктом
індустріальної епохи та важливою передумовою формування нової цивілізації III
тисячоліття.
Ноосферно-космічна
цивілізація покликана не лише вирішити найгостріші проблеми і суперечності
попередньої епохи, а й накреслити шляхи подальшого розвитку людства. Відомі
способи виробництва, соціальні і технологічні детермінанти наприкінці другого
тисячоліття втрачають колишні однозначність і жорстку послідовність. Історичний
процес значно збагатився й ускладнився, став набувати нових відтінків і граней.
Революційні перетворення поступаються місцем еволюційним, реформістським шляхам
пристосування суспільно-економічних форм до реалій життя.
Під впливом
радикальних змін у сфері економіки, політики, виробництва, торгівлі, фінансів,
транспорту, культури, інформації та комунікації на межі двох тисячоліть
інтернаціоналізація господарства перейшла на якісно новий етап – глобалізацію
всіх сфер суспільного життя в планетарному масштабі. На початку XXI ст.
глобальні процеси значно прискорилися і не тільки впливають прямо або
опосередковано на економічний, соціальний і політичний розвиток усіх країн
світу, а й визначають історичні долі багатьох держав на всіх континентах. У
цьому контексті вивчення сутності та наслідків глобалізації економічної
діяльності набуває особливо актуального значення. Для того щоб в умовах
посилення взаємозалежності інтернаціонального і національного ефективно діяти
локально, треба передусім навчитися мислити глобально.
1.
Агапова
Т. А. Макроэкономика: учебник / Под ред. А. В. Сидоровича. – 4-е изд., перераб.
и доп. – М : Дело и Сервис, 2001. – 448 с.
2.
Алєксєєв
А.А., Алексєєв Д.А. Практичні моделі макроекономіки. – К.: Наукова думка, 2006.
– 265 с.
3.
Базилевич В.Д.,
Баластрик Л.О. Макроекономіка. Навчальний посібник. – К.: Атіка, 2002. – 368 с.
4.
Голиченко О. Г.
Микро- и макроэкономическое моделирование воздействий экзогенного
научно-технического прогресса на экономический рост // Экономика и математические
методы. – 1998. – – В. 2. – С.
134-155.
5.
Грабинський
І. Сучасні економічні системи: Навчальний посібник. – Львів: Інтереко, 1997. –
176 с.
6.
Долан Э.
Д. Макроэкономика: Пер. с англ. / Э. Д. Долан, Д. Э. Линдсей. – СПб.: Питер,
1994. – 402 с.
7.
Дорнбуш
Р., Фішер С. Макроекономіка. – К.: Основи, 1996. – 814 с.
8.
Економічна
теорія. Макроекономіка / За ред. З. Ватаманюка та С. Панчишина. – К.: Центр
навчальної літератури, 2004. – 408 с.
9.
Економічна
теорія: Підручник. / За ред. В.М. Тарасевича. – К.: Центр навчальної
літератури, 2006. – 784 с.
10.
Економічна
теорія: Політекономія / За ред. В.Д. Базилевича. – К.: Знання, 2006. – 631 с.
11.
Історія
економічних учень: Підручник. Базилевич В.Д., Гайдай Т.В., Гражевська Н. І. та
ін. / За ред. Проф.. В.Д. Базилевича. – К.: Знання, 2004. – 1300 с.
12.
Козик В.В.,
Панков Л.А., Даниленко Н.Б. Міжнародні економічні відносини: Навчальний
посібник – 2-ге видання., стер. – К.: Знания-Прес, 2001 – 277 с.
13.
Колядич
О. І. Розвиток національних економік країн Європейської цивілізації в системі
світового господарства та впливом науково-технічної революції (друга половниа
ХХ ст..) // Історія економіки та економічної думки: Курс лекцій. – К.: КНЕУ,
2006. – 315 с.
14.
Леонтьев
В. Будущее мировой экономики. – М.: Международные отношения, 2005. – 212 с.
15.
Ломакин
В.К. Мировая зкономика. – М: ЮНИТИ, 2000. – 758 с.
16.
Макконнелл
К. Р., Брю С. Л. Экономикс: принципы, проблемы и политика. Пер. с англ. 11-го
изд. – К.: Хагар-Демос, 1993. – 785 с.
17.
Макроекономіка
/ Будаговська С., Кілієвич О., Луніна І. та інші. – К.: Основи, 1998. – 517 с.
18.
Медведкін
Т.С. Методи прогнозування інноваційного розвитку // Вісник Донецького
університету. Серія В. Економіка и право. – 2004. – №1. – С.124-132.
19.
Мировая
экономика и международные экономические отношения. Ученик / Под
ред.А.С.Булатова, Н.Н.Ливенцева. – М.: Магистр, 2007. – 654 с.
20.
Мунтіян
В. Про українську економічну модель // Економіка України. – 1994. – №6. – С.82-84.
21.
Мэнкью Н.
Г. Принципы макроэкономики: Пер. с англ. – 2-е изд. – СПб.: Питер, 2003. – 573
с.
22.
Пахомов
Ю.Н., Філіпенко А.С., Лук’яненко Ю.Д., Макогон Ю.В., Граменкова С.В. Міжнародні
стратегії економічного розвитку: Навчальний посібник. – Донецьк: ДонНУ, 2001 –
239 с.
23.
Прогноз
2009 – Глобальні Сценарії Світових Ринків // режим доступу :
http://news.finance.ua/ua/~/2/30/all/2008/12/29/147582.
24.
Румянцев
А.П., Румянцева Н.С. Міжнародна економіка: Короткий конспект лекцій. – К.:
МАУП, 1999. – 104 с.
25.
Савченко
А. Г. Макроекономіка: Підручник. – К.: КНЕУ, 2005. – 441 с.
26.
Світова
економіка: Підручник / А.С. Філіпченко, В.С. Будкін, О.І. Рогач та ін. – К.:
Либідь, 2007. – 640 с.
27.
Семиноженко
В. Глобалізація і стратегія гуманітарної економіки. Нова модель економічного
зростання // Вісник НАН України. – 2001. – № 4. – С. 29-36.
28.
Семюелсон
П.А., Нордгауз В.Д. Макроекономіка. – К.: Основи, 1997. – 574 с.
29.
Харрод Р.Ф. К
теории экономической динамики. Новые вывод экономической теории и их применение
в экономической политике. Пер. с англ. – М.: Гелиос, 1999. – 160 с.
30.
Экономическая
теория: политэкономия: Учебник / Под ред. В.Д. Базилевича. – К.: Знання, 2008.
– 870 с.