Методика изометрической гимнастики и осевой нагрузки при переломах костей голени
Оглавление
Введение
Глава 1.
Состояние проблемы
1.1
Современные методы, используемые в восстановлении трудоспособности после
переломов трубчатых костей нижних конечностей
1.2
Характеристика функционального состояния организма после переломов трубчатых
костей нижних конечностей
1.3 Лечебная
физическая культура после переломов трубчатых костей нижних конечностей при
компрессионно-дистракционном остеосинтезе
1.4 Механизм
влияния осевой нагрузки на регенеративный процесс
Резюме
Глава 2.
Задачи, методы и организация исследования
2.1 Задачи
исследования
ГЛАВА III. Методика реабилитационных мероприятий при переломах
костей голени в иммобилизационном периоде
Глава IV. Результаты исследования
Выводы
Приложения
Несмотря на значительные успехи, достигнутые травматологией в
вопросах репозиции и фиксации отломков (металло-остеосинтез, ультразвуковая сварка,
компрессионный металло-остеосинтез) инвалидность и сроки восстановления трудоспособности,
а также работоспособности после травм опорно-двигательного аппарата остаются высокими
(4; 7; 13). Переломы нижних конечностей дают наибольший процент инвалидности, что
часто связано с нерациональным назначением функциональной нагрузки. По данным Белякова
А.А. 2003 год, переломы нижних конечностей дают 69 случаев инвалидности из 506.
Из них 23 приходится на раннюю нагрузку и 46 на позднюю.
В этой связи дальнейшее совершенствование методов лечения переломов
продолжает оставаться актуальным и представляет большую социально - экономическую
проблему. Наиболее слабым звеном в решении этой проблемы является изучение вопросов,
связанных с профилактикой, лечением посттравматических осложнений и изучением причин,
препятствующих нормально - текущему процессу регенерации (Атаев З.М. 1973г., Беркутов
А.Н., Смирнов Ю.Г. 1996г.)
Современные методы лечения переломов с широкими показаниями к
оперативному методу лечения и высокими требованиями к качеству трудовой реабилитации
делают очевидной актуальность разработок новых более совершенных методик лечебной
гимнастики, которые являются эффективными средствами восстановительной терапии.
Изучая литературные данные мы не нашли методики применения изометрических
упражнений и нагрузки по оси в комплексе при лечении переломов (компрессионный металло-остеосинтез).
В связи с этим целью нашей работы явилось совершенствование
методики восстановительного лечения при переломах костей голени (компрессионно-дистракционном
остеосинтезе) в первом периоде, с широким применением изометрических упражнений
и нагрузки по оси.
Использование в комплексном лечении переломов лечебной физической
культуры, назначенных в ранние сроки и дифференцированных в зависимости от локализации
перелома будет предупреждать формирование посттравматических изменений, что в свою
очередь должно сократить сроки трудовой и спортивной реабилитации.
Объект: Процесс физической реабилитации травматологических больных.
Предмет: Методика изометрической гимнастики и осевой нагрузки
при переломах костей голени
Гипотеза: Предположение о том, что использование осевой нагрузки
и изометрической гимнастики при диафизарных переломах голени позволит ускорить сроки
консолидации костной мозоли.
Рассматривая вопрос о комплексном использовании средств и методов
реабилитации после переломов трубчатых костей нижних конечностей, следует основной
акцент сделать на анализ литературы, касающейся проблемы восстановления трудоспособности,
так как ее быстрейшее восстановление представляет большую социально-экономическую
проблему.
Общеизвестно, что лечение переломов трубчатых костей включает
три основных принципа - репозицию костных отломков, надежную их фиксацию и восстановление
функции конечности (55, 102). На сегодняшний день в травматологии используются два
основных метода лечения: консервативный, основой которого является наложение гипсовой
повязки и скелетное вытяжение, и оперативный, позволяющий хирургическим путем точно
сопоставлять фрагменты и осуществлять остеосинтез различными фиксаторами (гвозди,
штифты, винты, пластинки, балки, проволока, компрессионные аппараты Илизарова, Гудушаури,
Сиваша (73). Как показал анализ специальной литературы (70), многие авторы указывают
на существенное преимущество оперативного метода. Так, В.К. Бецишор (27) отмечает,
что оперативное лечение в подавляющем большинстве случаев способствует улучшению
общего состояния больных за счет стабильной фиксадии отломков, устранению болей,
связанных с переломами, активизации пострадавших. Оно способствует сокращению сроков
иммобилизации и восстановлению трудоспособности. Аналогичного мнения придерживаются
и другие исследователи (1,73).
Кроме того, широкое применение металлоостеосинтеза позволяет
использовать различные средства восстановления в первые дни после операции без нарушения
основных принципов лечения переломов.
В тоже время, в связи с большими достижениями в практике оперативного
лечения переломов трубчатых костей намечается явный разрыв с теми знаниями и конкретными
условиями, которые обеспечивают успешное проведение реабилитационных мероприятий
после технически сложных оперативных вмешательств. Как указывают Г.С. Юмашев и В.А.
Епифанов, после оперативного лечения переломов у больных наблюдаются контрактуры
суставов различной степени стойкости, нарушающие функцию нижней конечности, слабость
мышечных групп поврежденного сегмента, неустойчивость в суставах, снижение общей
работоспособности, что значительно отодвигает сроки восстановления трудоспособности
и усугубляет клиническое течение постиммобилизационого и восстановительного периодов.
Все это говорит о возможности и необходимости использования различных
физических факторов, начиная с первого иммобилизациононого периода. Данные средства
активно стимулируют процессы репаративной регенерации, воздействуют на вегетативно-трофические
расстройства и восстановление двигательных нарушений (34). Общим воздействии на
организм всех физических факторов является то, что первично в сферу их влияния вовлекаются
обширные рефлекторные зоны и, тем самым, включаются различные анализаторы, состоящие
из периферических и центральных механизмов (43).
Одним из наиболее обоснованных и чаще всего используемых методов
реабилитации больных после переломов трубчатых костей нижних конечностей является
лечебная физическая культура (13, 25, 39). В целом ряде опубликованных работ (14,
24) подчеркивается целесообразность раннего назначения ЛФК для быстрого восстановления
травмированной конечности. Основными формами занятий по лечебной физкультуре являются
утренняя гигиеническая гимнастика, лечебная гимнастика и самостоятельные занятия
по индивидуальному заданию. По мере улучшения состояния больного добавляются дозированная
ходьба, подвижные и спортивные игры, элементы трудотерапии и спорта (14, 22).
В основу методики ЛФК легли следующие дидактические принципы:
сознательности, активности, наглядности, систематичности, постепенного повышения
требований (доступности) и индивидуального подхода к каждому больному (15). ЛФК
после переломов трубчатых костей нижних конечностей, по мнению ряда авторов (15,18),
имеет следующие задачи: повышение жизненного тонуса больного; улучшение функции
сердечно-сосудистой, дыхательной систем, желудочно-кишечного тракта, обменных процессов,
трофики поврежденной конечности, лимфо- и кровообращения в зоне повреждения (операции)
с целью стимуляции регенеративных процессов, предупреждения гипотрофии и тугоподвижности
суставов.
Лечебная гимнастика призвана способствовать нормализации функции
поврежденной конечности, суставов, ткани которых могут быть изменены в некоторых
случаях из-за отсутствия или ограничения движений. Как указывают В.Ф. Башкиров,
А.Г. Лобанчиков, Н.И. Гершбург (22), наилучшие функциональные исходы заболевания
может дать только правильно поставленный метод комплексного лечения, в котором физическая
культура является одним из главных компонентов.
Кроме использования лечебной гимнастики после снятия иммобилизации
ряд авторов (9, 22, 34) рекомендуют проводить упражнения в водной среде. Чаще всего
лечебной гимнастикой занимаются в общих пресных ваннах при температуре воды 35-38°
через день по 15-20 минут. В основном при этом проводят как пассивные, так и активные
движения. Занятия в ваннах часто заменяют использованием лечебной физкультуры в
бассейне (26, 61).
Наряду с лечебной гимнастикой и водными процедурами в реабилитации
больных после переломов трубчатых костей нижних конечностей в поздние сроки рекомендуется
использование механотерапии (58). Механотерапия - одна из форм лечебной физической
культуры представляет собой систему функционального лечения с помощью различных
устройств и снарядов, применяемых в комплексе с другими средствами и методами в
современной медицинской реабилитации больных. Упражнения на механоаппаратах способствуют
улучшению крово- и лимфообращения, обмена веществ в мышцах и суставах, восстановлению
их функции. Занятия на тренажерах приводят к увеличению ударного и минутного объема
крови, улучшению коронарного кровоснабжения и легочной у вентиляции, повышению физической
работоспособности.
Одним из методов комплексного лечения больных после переломов
трубчатых костей нижних конечностей является физиотерапия (33). Основное ее значение
заключается в ликвидации воспалительных явлений, уменьшении болей, стимуляции процессов
регенерации. Применяются физиотерапевтические процедуры с целью повышения эластичности
тканей и подготовки конечности к движению. В постиммобилизационном и восстановительном
периодах считается целесообразным использование парафина и грязевых аппликаций
(22).
Одним из наиболее эффективных методов, используемых в травматологии,
является массаж. Его назначение во всех периодах реабилитации после переломов трубчатых
костей нижних конечностей является физиологически обоснованным (3, 23).
В тоже время, анализ специальной литературы показал, что на сегодняшний
день нет единого методологического подхода в комплексном применении физических средств
после лечения переломов костей голени методом компрессионно-дистракционного остеосинтеза.
При рассмотрении вопроса об использовании комплекса средств восстановления
после оперативного лечения переломов костей голени, для более полного понимания
изменений в нервно-мышечном и сумочно-связочном аппарате и профилактики осложнений
в период восстановления, необходимо знать о тех процессах, которые происходят в
организме в период иммобилизации, сроки регенерации костной ткани, отдаленные результаты
восстановления.
Любое травматическое повреждение опорно-двигательного аппарата
сопровождается как местными реакциями, так и общей нервно-рефлекторной реакцией
организма с нарушением жизненных функций. Поэтому оно рассматривается как общее
заболевание и называется травматической болезнью (3, 19). Травматическая болезнь
- совокупность общих и местных патологических изменений, возникающих в организме
в результате повреждения опорно-двигательного аппарата.
Непосредственно после травмы к наиболее тяжелым первичным общим
проявлениям травматической болезни относятся: обморок, коллапс и шок (12). Первичные
общие признаки травматической болезни проявляются в нарушении функций регулирующих
систем - эндокринной, нервной, что приводит к ухудшению деятельности сердечно-сосудистой,
дыхательной систем, кислородному голоданию, от которого вторично страдает ЦНС. Первичные
местные проявления травматической болезни наблюдаются в регионе повреждения в момент
травмы. К ним относятся: боль, припухлость, деформация конечности, патологическая
подвижность, крепетация, нарушение функции поврежденного сегмента.
Вторичные общие проявления травматической болезни наблюдаются
в жизнеобеспечивающих органах и системах после наложения иммобилизации. Причиной
этих нарушений является дефицит двигательной активности. Как указывают З.М. Атаев
(13) и Г.Э. Амитин (5), во время длительного пребывания человека в горизонтальном
положении происходят отрицательные сдвиги в вегетативной сфере организма - в системах
обмена веществ, кровообращения и дыхания. Это приводит к нарушению регуляторных
механизмов сосудистого тонуса, развитию детренированности сердечно-сосудистой системы,
уменьшению минутного и ударного объемов крови, общего объема циркулирующей плазмы,
нарушению вегетативной регуляции функций сердца (48). Вторичные местные проявления
травматической болезни формируются после наложения иммобилизации в регионе повреждения.
Наиболее частыми осложнениями травматических повреждений являются контрактуры, тугоподвижность
и анкилоз (52). Наряду с этим, происходят изменения в суставах: наблюдается атрофия
костной ткани (26, 48), отмечаются дегенеративные изменения в суставном хряще. Со
стороны синовиальной оболочки патологические изменения состоят в неравномерном распределении
клеток и обеднении капиллярной сети, что, окружающих тканях материнского запаса
для регенерата за счет катаболизма тканевых структур, мобилизации ресурсов тканей
и включения всех звеньев нервной и гуморальной регуляции репаративного процесса).
В зоне регенерации развивается пассивная гиперемия за счет расширения сосудов и
нарушается их проницаемость. Вследствие застоя в кровеносных и лимфатических сосудах
происходит уменьшение притока крови и кислорода, что вызывает изменения обмена веществ
в клетках, окружающих зону перелома. В гематоме, окружающей перелом, содержатся
специфические и неспецифические вещества, способные активизировать процессы пролиферации
и дифференциации остеогенных и соединительно-тканных клеток, находящихся вблизи
перелома.
2 стадия - образования и дифференцирования тканевых структур
- результат дифференцирования клеток комбиального слоя надкостницы (периоста), эндооста,
малодифференцированных плюропотентных клеток надкостницы и др. Недифференцированные
клетки первичной бластомы, являясь полибластами, в зависимости от условий (степени
адаптации, подвижности, васкуляризации костных фрагментов), могут превращаться в
остеобласты, фибробласты, хондробласты с последующим преобладанием в регенерате
костной, рубцовой или хрящевой ткани. Эта стадия обычно длится 2 недели. Вторая
стадия восстановительного процесса характеризуется максимальной интенсивностью синтеза
органической матрицы кости в зоне перелома, компоненты матрицы плотно упаковывают
зону перелома, образуя первичную соединительную спайку фрагментов.
3 стадия - образования ангиогенных костных структур - восстановление
сосудистой сети формирующегося костного регенерата, а также минерализация его белковой
основы. Эта стадия длится от 2 недель до 2-3 месяцев. Ее можно четко выявить рентгенологически
через 4-5 недель, а к ее окончанию устанавливается сращение отломков.
4 стадия - перестройки и восстановления исходной архитектоники
кости - поступление гормональных ретикуляторов, витаминов и других биологически
активных веществ. Длится от 4 месяцев до 1 года и более. Клинически и рентгенологически
имеются признаки сращения отломков зрелой кости. В этой стадии на месте бывшего
повреждения обнаруживается кортикальный слой с подлежащей к нему надкостницей с
наружной поверхности и эндостальным слоем с внутренней. Основными проявлениями этой
стадии служат процессы окончательной перестройки и резорбции избыточного регенерата
кости. По завершении процессов резорбции избыточных напластований в месте бывшего
перелома механическая крепость костной спайки непрерывно нарастает, формируются
пластинчатые структуры, т.е. в этой стадии процесса регенерации происходит восстановление
анатомической целостности и функции кости. Наступает гомеостаз во вновь образованной
костной структуре.
Из всего вышесказанного следует, что разработка оптимальной методики
использования физических средств восстановления возможна лишь при углубленном изучении
механизмов нарушений, возникающих при переломах трубчатых костей нижних конечностей.
Это положение позволит успешно бороться с последствиями травматической болезни,
которая сопровождается вторичными общими и местными патологическими изменениями.
В связи с тем, что причиной формирования вторичных общих и местных проявлений является
гипокинезический фактор, в процессе реабилитации больных необходимо использовать
комплексный подход. Наиболее эффективными и доступными средствами борьбы с гипокинезией
являются рационально подобранные физические упражнения в сочетании с ручным массажем
и вибростимуляцией. Данные средства позволяют одновременно воздействовать на функциональные
возможности поврежденной конечности и организма больного.
Двигательная активность человека в виде различных форм мышечной
деятельности (труд, физические упражнения) играет важную роль в его жизни, она стала
в процессе эволюции биологической потребностью.
Организм больного находится в неблагоприятных условиях не только
из-за патологических изменений, но и вследствие вынужденной гипокинезии. Покой во
время болезни необходим: он облегчает функционирование пораженного органа, так и
всего организма, снижается потребность в кислороде и питательных веществах, способствует
более экономной работе внутренних органов, восстанавливает тормозные процессы в
ЦНС. Но если ограничения двигательной активности продолжаются долго, то снижение
функций важнейших систем становится стойким, ослабевают процессы возбуждения в ЦНС,
ухудшается функциональное состояние ССС и ДС, а так же трофика всего организма создаются
условия для возникновения различных осложнений, выздоровление задерживается.
Рациональное использование физических упражнений улучшает нарушенные
функции, ускоряет регенерацию, уменьшает неблагоприятные последствия вынужденной
гипокинезии (Полуструев А.В. и др. 1999 год). З.М. Атаев (1973) отмечает, что режим
двигательной активности оказывает влияние на соотношение возбудительно-тормозных
процессов в ЦНС через подкорковые образования. Проведённые им исследования на животных
показали, что течение восстановительных процессов при переломах трубчатых костей
зависят от режима двигательной активности. Если активность не ограничивалась, биоэлектрические
потенциалы мозга и реакции на стимуляцию характеризовались динамичностью нейрофизиологических
процессов и быстрым возвращением к исходному уровню.
Положительное влияние на успех восстановительного лечения больных
с повреждением опорно-двигательного аппарата оказывает лечебная физическая культура.
Она способствует увеличению амплитуды движений в пораженных суставах, повышает силу
окружающих их мышц и тем самым предопределяет восстановление утраченных возможностей
и трудовых навыков больного.
Метод лечебной физической культуры в комплексной функциональной
терапии использует физические упражнения как средство:
сохранения ослабленного организма больного в деятельном состоянии;
стимуляции его внутренних ресурсов в борьбе с заболеванием (повреждением)
локомоторного аппарата;
предупреждения и лечения осложнений, возникающих в условиях вынужденного
покоя;
ускорения ликвидации местных анатомических и функциональных проявлений
заболевания (повреждения);
сохранения или восстановления приспособленности к воздействиям
внешней среды;
восстановления трудоспособности (Саркизов - Сиразини И.М. 1954 г., Мошков В.Н. 1975 г.).
Особенностью метода лечебной физической культуры является использование
принципа упражняемости - тренировки физическими упражнениями. Терапевтический эффект
при тренировке больного физическими упражнениями возможен при соблюдении принципов
системности воздействия, регулярности воздействия, длительностью применения физических
упражнений, нарастания дозы, индивидуализации физических упражнений. (Мошков В.Н.
1972 – 1975 гг.).
Основой в реабилитации травматологических больных является борьба
с травматологической болезнью, которая сопровождается вторичными общими и местными
патологическими сдвигами. Весь цикл восстановления физической работоспособности
пациентов с переломами трубчатых костей нижних и верхних конечностей ориентировано
три периода: иммобилизационный, который разделён на три этапа; постиммобилизационный,
состоящий из одного этапа; и восстановительный, состоящий из одного этапа. Этапы
реабилитации сориентированы на стадии регенерации костной ткани и закономерности
построения тренировочного процесса (Полуструев А.В. и др. 1999 год).
На первом этапе иммобилизационного периода приоритетной задачей
является профилактика развития осложнений со стороны жизнеобеспечивающих органов
и систем (ССС, ДС, ЦНС, ЖКТ), т.е вторичных общих проявлений травматологической
болезни.
Второй этап иммобилизационного периода предполагает решение задач
повышение функциональных возможностей ССС и ДС, а так же направленное воздействие
на восстановление физических качеств (силы быстроты и выносливости), в равной степени,
т.е. восстановление аэробных и анаэробных компонентов общей работоспособности.
На третьем этапе иммобилизационного периода решается задача
преимущественного восстановления анаэробных возможностей организма (анаэробной выносливостью).
Четвёртый этап в постиммобилизационном периоде основной задачей
является восстановление амплитудных характеристик оперированной конечности и поддержание
достигнутого функционального состояние ССС, ДС, и нервно-мышечного аппарата.
Пятый этап в восстановительном периоде приоритетной задачей является
целенаправленное восстановление силовых и скоростносиловых НМА оперированной конечности
и координации движений (28).
ЛФК при металлоостиосинтезе.
Первые 3-5 после дней операции соответствуют первой стадии костной
регенерации - травматическому воспалению. У пациентов изменяется функциональное
состояние НС в сторону её возбуждения. В области перелома отмечаются боли, отечность
тканей, кровоизлияние, возможна повышенная температура, связанная с реакцией организма
на оперативное вмешательство.
Основные задачи на данном этапе:
1.
Профилактика осложнений со стороны жизнеобеспечивающих органов и систем
(ССС, ДС, ЦНС, ЖКТ)
2.
Улучшение крово- и лимфообращения.
3.
Профилактика развития тромбоэмболических осложнений.
В основу лечебной физической культуры при переломах костей голени
(компрессионный металло-остеосинтез) в первом периоде составляют данные о применении
лечебной физической культуры при этом способе лечения В.А. Епифанова, В.И. Косматова,
Н.В. Бурлакова, Г.А. Илизарова (21; 24), также литературные данные о применении
механических воздействий по оси конечности (9; 11; 34; 35; 37).
Первый этап восстановления физической работоспособности длительностью
2 недели соответствуют второй стадии регенерации костной ткани - образованию первичной
костной мозоли. В этот момент происходит рост молодых клеток поврежденной ткани.
(28)
Для решения задач на первом этапе включали дыхательные (статического
и динамического характера) и общетонизирующие элементарные упражнения для плечевого
пояса, верхних конечностей, туловища. Для восстановления опороспособности неповрежденной
ноги больному рекомендовали активные упражнения во всех суставах (сгибание, разгибание,
отведение, приведение и т.д.), изометрические напряжения мышц бедра и голени (в
течении 5 - 7 секунд). Раннее и частое изменение положение тела в постели, подтягивание
за балканскую раму, движения головой (наклоны, повороты) предупреждают развитие
ортостатического коллапса.
Второй этап Длительность четвертой недели соответствует
третьей стадии процесса регенерации - формированию костной мозоли.
По мере применения физических упражнений на первом этапе реабилитации
наблюдается положительная динамика восстановления как общей работоспособности, так
и функциональных возможностей нервно-мышечного аппарата поврежденной конечности
(Полуструев А.В. и др. 1999 год).
ЗАДАЧИ:
1.
Улучшить крово- и лимфообращение поврежденной конечности.
2.
Ускорение сроков регенерации костной мозоли.
3.
Стимуляция обменно-трофических процессов.
4.
Обучение ходьбе на костылях.
5.
Повышать опороспособность травмированной конечности.
6.
Укрепить мышечно-связочный аппарат.
В последнее время при переломах костей голени широко применяется
чрезкостный остеосинтез аппаратом Илизарова. В то же время сообщения о применении
в комплексной терапии при этом способе лечения средств лечебной физической культуры
- единичны. (21; 24; 36).
При наложении иммобилизации и после снятия применяются статические
упражнения и изометрическая гимнастика с целью укрепления мышц, улучшения кровообращения,
усиления обмена веществ, ускорения регенеративных процессов. Также для укрепления
мышц используются упражнения с отягощением и сопротивлением, они же повышают эластичность
мышц, улучшают кровообращение, оказывают воздействие на дыхательную и сердечно
- сосудистую системы. При тугоподвижности, контрактурах в суставах рекомендуется
включать упражнения на растягивание. Упражнения с расслаблением мышц создают благоприятные
условия для кровообращения после их сокращения, улучшают обменные процессы в тканях,
способствуют снижению спастического напряжения мышц. Упражнения в посылке импульсов
к сокращению мышц, иммобилизированных или поврежденных, называются идеомоторными,
они способствуют повышению сократительной способности мышц, предупреждают их атрофию.
Дыхательные упражнения улучшают и активизируют функцию внешнего дыхания, способствуют
снижению энергозатрат организма после интенсивных упражнений других групп мышц
(36).
Большое значение в стимуляции регенеративных процессов при травмах
нижних конечностей придается механическим воздействиям и особенно осевым нагрузкам.
Вопрос дозированных осевых нагрузок для стимуляции регенерации
и по настоящее время является предметом внимания многих ученых (26; 36).
Интересные факты были обнаружены в последние годы З.М. Атаевым
и Э.Л. Дубровым. Уточнено, что высокая двигательная активность, включая тренировку
опорной функции в условиях постельного режима больного с травмой нижней конечности
не дает желаемого эффекта ни в ускорении сроков регенерации костной ткани, ни в
восстановлении функционального состояния нервно - мышечного аппарата травмированной
конечности. Они начинают активно проявляться лишь после перевода больного в вертикальное
положение.
По-видимому, именно это позволило говорить А.Н. Беркутову и Ю.Г.
Смирнову (1976г.) о том, что существует некоторая переходная ступень к путям управления
регенерации костной ткани, такой ступенью по мнению авторов служит определение состояния
кровообращения в травмированном сегменте на конечности и возможности воздействовать
на него в нужном направлении.
Надо заметить, что многие исследователи (5;8) ставят процесс
консолидации перелома в зависимость от характера местных сосудистых нарушений и
подчеркивают, что кровообращение имеет значение в процессах регенерации.
Данное положение обязывает искать такие средства лечения, которые
бы в самое ближайшее время после перелома способствовали нормализации гемодинамики
в травмированной конечности. С особой остротой этот вопрос встает в случаях оперативного
лечения переломов.
В настоящее время известны многие способы воздействия, направленные
на нормализацию механизмов регенерации при переломах и их стимуляции; введение химических
веществ, лучистая терапия, электротерапия, грязелечение, механические способы воздействия
(30; 31).
Среди физических факторов воздействия центральное место занимают
механические воздействия и особенно нагрузки по оси, в меньшей степени лечебная
физкультура, о которых уже упоминалось выше.
В 1918 году Турнер Г.И., в 1929 году Моммзен А.В. (цитировано
у Языкова Д.К. 1952г.) в качестве механобиологического раздражения, при переломах
применяли способ поколачивания по оси, травмированной конечности.
Кроме вышеперечисленных средств, многие хирурги стимулировали
процессы поколачиванием по месту перелома.
Наиболее спорным является вопрос ранней нагрузки на травмированную
конечность.
Виноградова Т.П., Лаврищева Г.И. (1994г.), Уотсон - Джонс Р.
(1982г.) категорически отрицают целесообразность применения в лечении переломов
раннего механического воздействия, предупреждая о возможности травмирования нежной
новообразованной фибробластической хондроидной ткани, а также зарождающихся сосудов,
что препятствует развитию прямого костеобразования по линии перелома, возникающее
только в условиях полного механического покоя, который может обеспечить или стабильный
металлоостиосинтез, или полная фиксация костных отломков, образованной костной периостальной
мозолью.
Кромпехер, 1987 г. (цитирую Коржа А.А., Белоуса А.М., Панкова
Е.Я. 1982г.), изучая стадии эмбрионального развития скелета, привел факты, показывающие,
что в зависимости от характера нагрузок возможен различный тип образования костной
ткани: десмальный, хондральный, ангиогенный. При первых двух типах, протекающих
в условиях действия силы тяги или давления, соответственно первоначально образуется
провизорная структура, которая затем вторично подвергается перестройке в костную
ткань, тогда как при третьем типе, протекающем в условиях отсутствия нагрузок, новообразованная
кость образуется непосредственно вокруг сосудистых каналов.
В последствии он связывает образование того или иного типа костной
ткани со степенью кровоснабжения и характером обменных процессов, которые, в свою
очередь, находятся в прямой зависимости от действия механических нагрузок. Подчеркивая,
что при хорошем кровоснабжении регенерата преобладает оксибиотический тип обмена,
дающий возможность развитию остиобластических элементов и образованию костной ткани.
К сторонникам поздней нагрузки по оси относятся: Басин Я.Б.,
Бабич С.В., Скрыгин В.А., Телмуд (цитируя по Головину Г.В. 1985 г.). Их опасения вызваны возможностями послеоперационных осложнений, таких как искривление оси конечности,
образование ложных суставов и рефрактур.
Другая группа травматологов наоборот рекомендует раннюю нагрузку
при лечении переломов, как оперативным, так и консервативным методами.
Минасян Г.А. (1966г.) говорит, что ранние механические раздражения,
вставание, ранняя ходьба, не только способствуют образованию костной мозоли, но
и чрезвычайно влияет на мышечно-связочный аппарат, на нервно - симпатическое и психическое
состояние больного, способствует сохранению и адаптации опорно-статического рефлекса,
стимулирует сосудистый тонус и сердечную деятельность. В таких условиях больной
раньше чувствует себя полноценным, выздоравливающим человеком.
Беллер В.В., Гориневская В.К. (1944 г.), Добровольский В.К. (1968 г.) считают необходимым сочетать ранние движения с периодическим давлением
по оси.
Беллер В.В. (цитируя по Миносяну Г.А. 1986 г.) при оперативном лечении больного рекомендует через три - четыре дня ходить периодически приступая
на больную ногу.
По Турнеру Г.И. (1917 г.) поколачивание является хорошим стимулятором регенеративного процесса в кости.
В случае консервативного лечения Беллер В.В. (1937 г.), цитируя по Языкову Д.К. (1952 г.), предлагает начинать опору на конечность после высыхания гипсовой
повязки.
Исходя из вышеизложенного, можно с уверенностью сказать, что
механическая нагрузка на раннем этапе лечения переломов экспериментально и клинически
оправдано и может успешно применяться в лечебной практике.
Вопрос применения нагрузки по оси в период соответствующий второму
гистологическому, представляется в литературных источниках также весьма противоречиво,
хотя уже значительно большее число клиницистов пользуется на данном этапе нагрузкой
по оси. Каплан А.В. (1960г.), цитируя по Чаклину В.Д. (1971 г.), предлагает больным приступать на травмированную ногу через 12-15 дней. При фиксации отломков
пластинкой "Лэна" и гипсовой повязкой, назначать ходьбу с приступанием
через три недели после операции. На этом этапе в регенеративном процессе идет активное
формирование белковой структуры мозоли, на образование которой большое воздействие
оказывает характер и направление действия механических сил.
Необходимость применения активного механического воздействия
на регенеративный процесс в третьем гистологическом периоде, который соответствует
4 - 5 неделе, в настоящее время ни у кого из ведущих травматологов не вызывает сомнения.
Многочисленными экспериментальными и клиническими данными установлено, что механические
факторы раздражения перелома кости имеют большое значение для ускорения процесса
консолидации костной мозоли.
Механическое раздражение, вызванное сопротивлением костных отломков
и легким их трением с помощью давления по оси поврежденной конечности, по данным
ряда авторов (17; 26) способствует отложению и удержанию солей кальция в новообразованной
костной мозоли.
По данным Коржа А.А., Белоуса А.М., Панкова Е.Я. (1982г.) направление
силовых линий нагрузок ориентирует рост коллагеновых волокон по их направлению,
в этих процессах большую роль играет внешняя сила, способствующая ориентированному
расположению макромолекул.
Таким образом, в третьем периоде, в результате действия механических
нагрузок, возникают остеонизированные костные трабекулы, а избыточные структуры,
находящиеся вне линии нагрузок, подвергаются резорбции.
Четвертый период наиболее продолжительный и характеризуется анатомической
и физиологической адаптацией костной мозоли. Мнение авторов, по вопросу применения
механических факторов, единодушно. Они приходят к выводу, что под влиянием функциональных
нагрузок на поврежденную конечность, мозоль получает свою окончательную структурную
форму.
Усиленная мышечная работа и физическая нагрузка в этом периоде
лежит в основе костной перестройки, которая совершается на территории так называемых
площадок перестройки, располагающихся по сосудистому руслу кости и ведет к увеличению
количества остеонов. Г.С. Самойлов (1951 г.).
Х. Янсон (1975г.) подчеркивает необходимость топографической
адаптации, т.е. целесообразного размещения костного материала по зонам сечения и
стресс адаптации изменения упругих и деформативных свойств кости в процессе максимального
напряжения. Такие изменения необходимы для полного функционального восстановления
травмированной конечности и позволяют без посттравматических осложнений выдерживать
поврежденной кости значительные физические нагрузки.
Подобные изменения могут быть вызваны только путем регулярной,
постепенно нарастающей тренировкой опорности конечности.
Циклическое переменное сжатие и растяжение кости оказывает существенное
влияние на состояние обменно-трофических процессов. В нормальных физиологических
условиях кость подвергается именно переменным усилиям, изменяющимся, как по времени,
так и по величине и направлению, отсутствие или недостаточно эффективное нагружение
кости может быть одной из основных причин понижения метаболической активности кости,
плохой регенерацией, костной или общей деминерализации.
Локальное же чрезмерное сжатие или растяжение кости, например,
при больших искривлениях конечности, вызывают определенные изменения местного питания
кости. Это, в свою очередь, может послужить одной из причин костной гипертрофии
или атрофии кости.
Рост, скорость и сила нагружения вызывают необходимые деформации
в кости, что способствует усилению кровотока в кости и вытекающие от сюда положительные
изменения в её структуре. Столь важное влияние механического воздействия на костно-мышечный
аппарат объясняется тем, что кость лабильная система, тонко реагирующая на все внешние
влияния. Сложившаяся в условиях действия механических сил, кость наиболее тонко
реагирует на их влияния.
Вышеперечисленные экспериментальные факты свидетельствуют об
огромном влиянии механических стимуляторов на регенеративный процесс.
Проблема восстановления трудоспособности больных после переломов
костей голени и их оперативного лечения на современном этапе приобретает все большую
значимость. Однако, как показал анализ научно-методической литературы, работ по
этому вопросу недостаточно. Причем разработки в отношении реабилитации после оперативного
лечения переломов ориентированы лишь на восстановление функции поврежденного сегмента
и не предусматривают целенаправленного воздействия на восстановление функциональных
возможностей организма.
Характеризуя рекомендации по использованию тренировочных нагрузок,
следует отметить, что они носят обобщенный характер. Основные положения, характерные
для построения тренировочного процесса не используются, в связи с чем отсутствуют
и конкретные рекомендации по восстановлению как общей работоспособности, так и определенных
физических качеств после лечения переломов костей голени методом компрессионно-дистракционного
остеосинтеза.
В процессе исследования предстояло решить следующие задачи:
1. Оценить функциональное состояние нервно - мышечного аппарата
у пациентов с переломами костей голени при компрессионно-дистракционном остеосинтезе.
2.Разработать методику лечебной гимнастики с использованием изометрической
гимнастики и осевой нагрузки при переломах костей голени (компрессионно-дистракционном
остеосинтезе первый период).
3. Оценить эффективность предлагаемой методики ЛФК при компрессионно-дистракционном
остеосинтезе (первый период).
2.2 Методы исследования
Для решения поставленных в работе задач были использованы следующие
методы исследования:
1.
Анализ и обобщение данных научно-методической литературы.
1
Опрос
2
Рентгенография
3
Антропометрические исследования
4
Динамометрия (определение давления пораженной нижней конечности по оси)
5
Педагогическое наблюдение
6
Педагогический эксперимент
7
Методы математической статистики
В связи с решением поставленных задач нами были изучены работы,
монографии, статьи, сборники, диссертации, связанные с проблемой восстановления
трудоспособности после травм опорно-двигательного аппарата и, в частности, после
переломов трубчатых костей нижних конечностей. Проанализированы также вопросы, касающиеся
средств, влияющих на течение процесса восстановления после травм опорно-двигательного
аппарата. Всего изучено и проанализировано 75 источников отечественных авторов.
Для выяснения особенностей ведения периода реабилитации проводился
опрос больных, который включал в себя следующие вопросы: какие процедуры получал
больной, находясь в стационаре, их количество; были ли отклонения от нормального
течения болезни. Выяснялись также дата получения травмы, дата проведения операции,
сроки постельного режима, начала хождения с опорой на оперированную конечность,
анкетные данные.
Педагогические наблюдения проводились в ходе процесса реабилитации
на соответствующих этапах как в контрольной, так в экспериментальной группах. При
этом проводился учет и анализ субъективных ощущений больного: самочувствие, сон,
аппетит, желание выполнять физическую нагрузку, наличие болевых опущений в поврежденной
конечности, дискомфорта при обычных локомоциях.
На ряду с полным всесторонним обследованием, лечение больных
всегда начинается и заканчивается рентгенологическим исследованием. Рентгенограмма
создает большие возможности для изучения структурных особенностей костей с тончайшими
её изменениями.
Рентгенографический снимок несет в себе информацию о форме кости,
контрактурах кортикального слоя, структуре губчатого вещества, о форме, ширине суставной
щели, состоянии росткового хряща, видимых мягких тканей. Рентгенологически можно
определить состояние первичной и вторичной костной мозоли, что делает незаменимым
этот метод диагностики травм. Метод рентгенографии использовался при консультациях
с врачом - травматологом.
1.
Окружность бедра (правого и левого) измерялась с целью изучения величины
мышечных атрофий. Сантиметровая лента накладывалась сзади под ягодичной складкой,
спереди горизонтально.
2.
Окружность голени измерялась горизонтальным наложением ленты в месте наибольшего
развития голени. Величина отека, атрофии или гипертрофии мышцы конечности оценивалась
методом линейных измерений всегда на одном уровне от суставной щели коленного сустава.
О степени изменений судили по разнице длин окружностей поврежденной и здоровой конечности.
Измерения проводились через каждые 10 дней.
В практике врачебного контроля методом динамометрии пользуются
давно, используя при этом динамометры и весы различных конструкций. Но для определения
состояния костного аппарата стали пользоваться недавно.
Наиболее подробно методику использования динамометрии в диагностике
и лечении переломов трубчатых костей, по нашим литературным данным, разработал Миносян
Г.А. Но в отличия от предложенной им методики для регистрации показателей мы пользовались
удобными в эксплуатации портативными напольными весами.
В процессе лечения переломов трубчатых костей, при помощи динамометрии
обеспечивается возможность получения объективных показателей, иллюстрирующих динамику
опорной функции поврежденной конечности, что особенно важно на ранних этапах лечения.
Переломы трубчатых костей сопровождаются глубокой психологической
травмой. Метод определения давления по оси помогает больному самому следить за нарастанием
опорной силы и быть заинтересованным в получении лучших результатов. Для этого весы
могут быть использованы в процессе тренировки, давая возможность строго дозировать
нагрузку.
Больным в положении стоя, опираясь на здоровую ногу, предлагали
приступать на больную, стоящую на площадке весов, до появления больных ощущений
в области перелома. По мере возрастания опороспособности поврежденной конечности,
испытуемые на последних обследованиях доводили нагрузку по оси до собственного веса.
Сопоставление данных динамометрии и рентгенографии выявляет закономерность
нарастания опорной функции от степени консолидации перелома. Сравнительный педагогический
эксперимент проводился с целью сравнения эффективности разработанной нами методики
комплексного восстановления трудоспособности после лечения переломов костей голени
методом КДО и традиционными методами реабилитации. С целью определения функционального
состояния организма больного в процессе педагогического эксперимента нами использовался
комплекс физиологических методов исследования, отражающих функциональное состояние
НМА. Объективные данные позволили проследить динамику восстановления поврежденной
конечности по этапам и сравнить эффективность предлагаемой нами методики реабилитации
с традиционной.
В качестве методов математической статистики применялся статистический
анализ данных по Т-критерию Стьюдента и среднеквадратичное отклонение. Результаты
обрабатывались при помощи компьютерной программы Статистика 6.
Организация
исследования
Вся программа исследований была выполнена в два этапа. Первый
этап проводился с 2007 по 2008 гг. Основной целью исследований было уточнение методик
рационального использования физических упражнений, способных направленно воздействовать
на восстановление функциональных возможностей нервно-мышечного и суставного аппарата,
периферического кровообращения и общей работоспособности больных. Второй этап (2008
- 2009) предусматривал проведение сравнительного педагогического эксперимента. Условиями
эксперимента предполагалось, что реабилитация больных и наблюдения за ними после
лечения переломов костей голени методом КДО будет проводится по 4 этапам:
1 этап - до 10 дней после операции;
2 этап - до 20 дней после операции;
3 этап - до 30 дней после операции;
4 этап - до 40 - 45 дней после операции.
Этапы реабилитации сориентированы на стадии регенерации костной
ткани, закономерности построения тренировочного процесса и использования физических
средств восстановления.
Наши наблюдения и апробация методики восстановления после лечения
переломов костей голени методом КДО проводились на больных, оперированных в травматологическом
отделении на базе БСМП №.1.
Под наблюдением находилось 25 больных. Из них 15 человек составили
экспериментальную группу, 10 - контрольную. Больные экспериментальной группы проходили
восстановление с использованием разработанной нами методики изометрической гимнастики
и осевой нагрузки при переломах костей голени. Контрольная группа оперированных
больных осуществляла восстановление по общепринятой методике лечебной физкультуры.
Таблица 1. Состав контрольной и экспериментальной групп
|
Группа
|
Пол, возраст (количество человек)
|
|
муж.
|
Возраст, лет
|
|
Экспериментальная
|
15
|
20-31
|
|
Контрольная
|
10
|
23-38
|
Фиксация сравнительных результатов функционального состояния
больных экспериментальной и контрольной групп проводилась нами через определенные
промежутки времени, предусмотренные педагогическим экспериментом.
Контрольную и экспериментальную группы составляли больные с закрытыми
переломами костей голени. В экспериментальную группу вошли: 15 больных с диагнозом
- оскольчатые переломы костей голени, 2 больных - винтообразные переломы, 4 больных
- косые переломы, 3 больных - поперечные переломы. Контрольную группу составляли
5 больных с оскольчатыми переломами, по 1 больному с винтообразным и поперечным
переломами и 3 больных с косыми переломами костей голени. Формирование контрольной
и экспериментальной групп проходило по мере поступления больных в стационар.
При обращении у больных как контрольной, так и экспериментальной
групп наблюдалась идентичная симптоматика оперированной конечности: ограничение
и болезненность движений в голеностопном суставе, нарушение опорной функции. При
пальпации голеностопного сустава определялись отек, болезненность, гипотермия сустава
и всей конечности. При объективном исследовании у всех оперированных больных контрольной
и экспериментальной групп было отмечено значительное повышение мышечного тонуса
оперированной конечности, зафиксировано падение силовых и скоростно-силовых возможностей
по сравнению с моделью.
Таким образом, существенных различий между испытуемыми экспериментальной
и контрольной групп по клинической симптоматике, степени физической подготовленности
не отмечалось, что позволило сопоставить результаты восстановления больных обеих
групп.
ГЛАВА III. Методика реабилитационных
мероприятий при переломах костей голени в иммобилизационном периоде
Основой в реабилитации травматологических больных является борьба
с травматической болезнью, которая сопровождается вторичными общими и местными патологическими
сдвигами. Наиболее оптимальным в восстановлении после переломов является комплексное
использование средств, предусматривающих одновременное восстановление поврежденного
сегмента и общей работоспособности. Использование физических упражнений в соответствии
с основными положениями и методическими принципами построения тренировочного процесса
(непрерывность, систематическое чередование нагрузки и отдыха, постепенность, адаптивное
сбалансирование динамики нагрузок, волнообразность, цикличность, возрастная адекватность)
позволяют оптимизировать процесс восстановления, как определенных физических качеств,
так и общей работоспособности больного (7, 6, 10, 17, 19).
В тоже время восстановление после оперативного лечения переломов
костей голени представляет большие методические трудности. Иммобилизация и нестабильность
в суставах не позволяют проводить глобальные по характеру, большие по объему и интенсивности
традиционные физические упражнения (ходьба, бег, прыжки), включающие весь НМА поврежденной
конечности. В связи с этим нами предлагалось применение изометрической гимнастики
и осевой нагрузки, способствующей профилактике атрофии и контрактур, а также восстановлению
таких двигательных качеств, как сила, быстрота, выносливость и координация. Педагогические
наблюдения показали, что проведение изометрической гимнастики и осевой нагрузки
не вызывает осложнений со стороны нервно-мышечного и суставного аппарата и возможно,
начиная с иммобилизационного периода после лечения переломов костей голени методом
компрессионно-дистракционного остеосинтеза.
Весь цикл восстановления больного был ориентирован на три периода:
первый - иммобилизационный, который разделен нами на три этапа.
В период проведения эксперимента с пациентами один раз в день
занимался методист. В контрольной группе проводилась лечебная гимнастика по общепринятой
методике, в которой применялись общеразвивающие упражнения для мелких, крупных и
средних мышечных групп, дыхательные и идеомоторные упражнения. Также пациентам предлагались
самостоятельные занятия 3 - 4 раза в день.
В экспериментальной группе один раз в день проводилась лечебная
гимнастика по экспериментальному комплексу и 3 - 4 раза в день пациенты занимались
самостоятельно.
Через два дня после операции проводилось первое обследование
травмированной конечности. К этому времени пациентам разрешалось вставать, ходить
при помощи костылей. Далее обследования проводились через каждые 10 дней.
МЕТОДИКА РЕАБИЛИТАЦИИ В ЭКСПЕРИМЕНТАЛЬНОЙ ГРУППЕ.
ЗАДАЧИ:
1.
Предупреждение тугоподвижности в смежных участках оперированной конечности.
2.
Ускорение сроков консолидации костной мозоли.
3.
Стимуляция восстановления функциональных возможностей сердечно - сосудистой
системы, дыхательной системы, аэробных возможностей организма.
4.
Профилактика развития осложнений со стороны жизнеобеспечивающих органов
и систем (ССС., ДС., НС., ЖКТ), т.е. вторичных общих проявлений травматической болезни.
5.
Профилактика развития контрактур, мышечных атрофий, остеопороза, нарушение
функции периферического кровообращения, снижения уровня физических качеств.
В первые сутки после операции применялись дыхательные упражнения
статического характера, диафрагмальное дыхание (для профилактики застойных явлений
в легких). Идеомоторные упражнения - отведение и приведение стопы, движения в иммобилизированном
суставе (для сохранения стереотипа движений). Все упражнения пациент выполняет в
исходном положении лежа.
I период (1-10
день). На второй день после операции для предупреждения тугоподвижности в смежных
участках оперированной конечности в процедуру включали сгибание - разгибание стопы,
идеомоторные упражнения, отведение - приведение ноги с помощью методиста. Возможно
проведение активного сгибания и разгибания оперированной ноги в коленном суставе
(вначале с помощью методиста). Для увеличения амплитуды движений в суставе, под
конечность подводили скользящую плоскость для уменьшения силы трения. Каждое упражнение
повторяли 4 - 6 раз, амплитуда средняя, темп медленный. В комплексе пациентам предлагалось
выполнять изометрические, ритмические, статические напряжения четырехглавой мышцы
бедра (для профилактики мышечных атрофий).
Применение изометрических, статических напряжений выполнялось
в соответствии с методикой представленной Атаевым З.М. (1). В первом занятии продолжительность
статических напряжений составила 2-3 секунды (для обучения пациента) и количество
повторений доходило до 5-10 раз в комплексе, в зависимости от самочувствия пациента.
В день упражнения повторялись 2-3 раза.
Малая травматичность после лечения переломов костей голени методом
КДО позволяют переводить пациента в вертикальное положение уже на 2-4 день после
операции. В этот период задачей лечебной гимнастики является освоение новых навыков
ходьбы с помощью костылей, с этой целью в процедуру вводили более сложные динамические
упражнения, упражнения с сопротивлением и отягощением, изометрические напряжения
мышц бедра и голени.
На 3-4 день после операции в комплекс включали постукивания подушечками
пальцев по пяточной кости и давление по оси конечности рукой методиста. Давление
по оси выполнялось от 5-10 раз в комплексе, 2-3 раза в день.
К 6-7 дню время одиночного статического напряжения составляло
4-5 секунд и выполнялось 10-15 раз в комплексе. Количество занятий в день увеличивалось
до 3-4 раз.
Существенным моментом в комплексном лечении являются функциональные
нагрузки на оперированную конечность. Подходить к этому нужно строго дифференцированно.
На 7-8 день пациенты самостоятельно выполняли давление по оси
на ящик в положении лежа, с усилием 5-10 кг. В комплексе упражнение проводилось 10-15 раз. Время одиночного статического напряжения выполнялось в течении 5-7
секунд до 10-20 серий, в день повторялось 8-10 раз. Изометрические ритмические напряжения
выполнялись на обеих ногах в пропорции 1: 1, в комплексе 10-15 раз по количеству
в день в соответствии с изометрическими напряжениями.
В том числе в комплекс включалась имитация ходьбы с опорой на
ящик, прикрепленный к спинке кровати (это упражнение применяли для сохранения стереотипа
движения). При выполнении этого упражнения пациенты усиливали нагрузку на здоровую
ногу, фиксируя туловище в статическом положении. Это упражнение выполнялось вместе
с изометрическими напряжениями, пациентам разрешалось выполнять упражнения. В положении
сидя, наклоны и повороты туловища, упражнения с гимнастической палкой и медицинболом.
Весь комплекс проводили 15-20 минут в спокойном темпе, в средней амплитуде, до порога
болевой чувствительности. Каждое упражнение повторяли 10-15 раз. 40-50 % времени
занятия составляли специальные упражнения. В день проводилось одно комплексное занятие
с методистом, 3 - 4 занятия - самостоятельно и 5 - 6 раз самостоятельные занятия,
состоящие из изометрических упражнений и упражнений на давление по оси (комплекс
№ 1).
В зависимости от общесоматического состояния пациента, степени
тренированности мышц и степени адаптации костных отломков при отсутствии воспалительных
явлений мягких тканей вокруг спиц, разрешалось приступать на стопу в процессе репозиции.
Обычно это совпадало с 11 - 13 днем после операции (второй период).
Таблица № 2. Соотношение
упражнений лечебной гимнастики в экспериментальной группе первый период (1-10 день)
|
% соотношение
|
Применяемые упражнения
|
|
40%
|
общеразвивающие упражнения
|
|
40%
|
дыхательные упражнения
|
|
10%
|
идеомоторные упражнения
|
|
10%
|
специальные упражнения
|
II период (с
10 по 20 день) см.табл. № 3
Изометрические ритмические напряжения выполнялись в течении 7-10
секунд по 20-25 серий, в день повторялись 10-15 раз. Самостоятельные давления по
оси в положении лежа и стоя с усилием 10-15 кг. Также в комплекс включалась ходьба на костылях с легким приступанием на больную ногу и перенос центра тяжести со
здоровой на больную ногу и обратно, полуприсяды на здоровой ноге и обеих ногах в
упоре на руках о спинки двух стульев. Кроме этого, выполнялись элементарные упражнения
на координацию: стойка на одной ноге, стойка на обеих с закрытыми глазами и др.
Большое внимание уделялось упражнениям на движения в суставах (для предупреждения
развития контрактур) и изометрическим упражнениям. Нагрузка дозировалась по самочувствию.
Комплекс проводился в течении 25-30 минут и выполнялся один раз под контролем методиста
и самостоятельно два - три раза в течении дня.
Таблица № 3. Соотношение
упражнений лечебной гимнастики в экспериментальной группе первый период (10-20 день)
|
% соотношение
|
Применяемые упражнения
|
|
30%
|
общеразвивающие упражнения
|
|
25%
|
дыхательные упражнения
|
|
20%
|
идеомоторные упражнения
|
|
25%
|
специальные упражнения
|
В III и IV периодах нагрузка постепенно повышалась
за счет увеличения количества повторений и включения в комплекс новых упражнений.
Таблица № 4. Соотношение
упражнений лечебной гимнастики в экспериментальной группе первый период (20-30 день)
|
% соотношение
|
Применяемые упражнения
|
|
30%
|
общеразвивающие упражнения
|
|
25%
|
дыхательные упражнения
|
|
20%
|
идеомоторные упражнения
|
|
25%
|
специальные упражнения
|
Таблица № 5. Соотношение
упражнений лечебной гимнастики в экспериментальной группе первый период (30-40 день)
|
% соотношение
|
Применяемые упражнения
|
|
30%
|
общеразвивающие упражнения
|
|
15%
|
дыхательные упражнения
|
|
5%
|
идеомоторные упражнения
|
|
50%
|
специальные упражнения
|
К моменту выписки пациентов из стационара, это совпадало по времени
с окончанием закрытой репозиции и стабильной фиксацией отломков, нагрузка на оперированную
ногу составляла 100% и тренировочный максимум составлял 35 - 40 кг. и более. По времени специальные упражнения занимали 50 - 60 % (комплекс № 2).
МЕТОДИКА ЛФК В КОНТРОЛЬНОЙ ГРУППЕ
В контрольной группе занимались 10 человек, им была предложена
следующая методика и поставлены задачи:
1.
профилактика мышечных атрофий
2.
ускорение регенеративных процессов
3.
профилактика тугоподвижности
В первые сутки использовались статические дыхательные упражнения,
диафрагмальное дыхание, небольшие по амплитуде движения головой и верхними конечностями.
Упражнения с сопротивлениям на выходе. Эти упражнения выполнялись 2-4 раза в день.
Длительность процедуры 10 минут. После каждой процедуры ЛФК ногу укладывали в возвышенном
положении и на непродолжительное время (10-15 минут) удерживали в этом положении.
На второй третий день общеразвивающие упражнения для здоровой
конечности, упражнения для верхних конечностей, для мышц туловища, идеомоторные
упражнения и дыхательные. Каждое упражнение выполнялось 3-6 раз. Амплитуда средняя,
темп медленный. Длительность процедуры 15 минут. После процедуры ногу укладывали
в возвышенное положение.
На 5-7 день к вышеуказанным упражнениям добавлялось поднимание
прямой ноги. Длительность процедуры 17 минут.
С 14-ого дня разрешается частично нагружать больную конечность.
Уделяется внимание улучшению условий периферического кровообращения. К упражнениям,
отвечающим данной цели, относятся активные движения, совершаемые без большого усилия,
в суставах пальцев и голеностопных суставах. В комплекс включалась ходьба на костылях.
Темп упражнений средний, амплитуда движений средняя. Постепенно
увеличивается физическая нагрузка и плотность занятий. Длительность процедуры увеличилась
до 25 минут.
Глава IV. Результаты
исследования
Для оценки эффективности предлагаемой методики рассматривались
показатели:
1.
объем здорового бедра
2.
объем больного бедра
3.
объем здоровой голени
4.
объем больной голени
5.
динамометрия нижней конечности (измерение давления по оси).
Измерения проводились через каждые 10 дней.
1.
Показатели окружности здорового бедра.
Первое обследование проводилось после наложения иммобилизации
на первый - второй день.
Контрольная группа - 56,4 ± 3,6 см
Экспериментальная группа - 56,7 ± 4,7 см (Р>0,05)
Второе обследование (спустя 10 дней)
Контрольная группа - 55,4 ± 3,4 см
Экспериментальная группа - 57,0 ± 4,5 см (Р>0,05)
В контрольной группе наблюдается снижение объема здорового бедра.
Это связано с атрофией мышц бедра, снижением физической нагрузки и недостаточным
применением изометрических упражнений. Однако в экспериментальной группе изменений
практически нет - 0,3 см.
Третье обследование (спустя 20 дней)
Контрольная группа - 54,5 ± 3,5 см
Экспериментальная группа - 56,0 ± 4,9 см (Р>0,05)
Как в контрольной группе, так и в экспериментальной так же произошли
изменения в сторону снижения показателей. Происходит распределение нагрузки на обе
конечности, тем самым уменьшается нагрузка на здоровое бедро. Но в контрольной группе,
по нашему мнению, из за отсутствия изометрических упражнений и нагрузки по оси происходит
дальнейшая атрофия мышц.
Четвертое обследование (спустя 30 дней)
Контрольная группа - 54,5 ± 1,2 см
Экспериментальная группа - 56,0 ± 1,3 см (Р>0,05)
В этом периоде, как в контрольной, так и в экспериментальной
группах, изменений не произошло.
Рис.1 Динамика изменений объема здорового бедра, см.
2
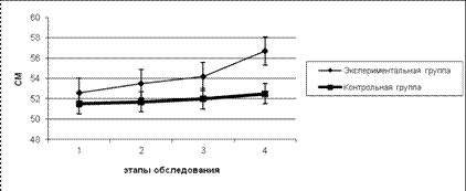
Показатели окружности больного бедра
Первое обследование
Контрольная группа - 51,5 ± 4,4 см
Экспериментальная группа - 52,6 ± 4,9 см (Р>0,05)
Второе обследование (спустя 10 дней)
Контрольная группа - 51,7 ± 4,6 см
Экспериментальная группа - 53,5 ± 5,9 см (Р>0,05)
Изучение полученных данных в контрольной группе говорит об уменьшении
объема бедра, тем самым увеличивается атрофия мышц конечности. По нашему мнению
это связано с отсутствием в комплексе ЛФК изометрических упражнений и осевой нагрузки.
Однако в экспериментальной группе происходит увеличение объема бедра, что говорит
о прекращении атрофии мышц. Если сравнить данные больной и здоровой конечности,
то увидим ассиметрию, которая связана не только с изменениями в травмированной конечности,
но и из за рабочей гипертрофии мышц здоровой ноги. Возникновение её можно объяснить
особенностями компенсаторной нагрузки на здоровую конечность при переломе другой,
а так же дополнительным отягощением, которое создается при наложении аппарата Илизарова.
Третье обследование (спустя 20 дней)
Контрольная группа - 52,0 ± 1,1 см
Экспериментальная группа - 54,2 ± 1,0 см (Р>0,05)
Из полученных данных мы видим, что в контрольной группе происходит
снижение объема бедра, что связано с продолжением атрофии мышц конечности. Однако
в экспериментальной группе наоборот происходит увеличение объема бедра, что указывает
на эффективность применения изометрических упражнений и осевой нагрузки.
Четвертое обследование (спустя 30 дней)
Контрольная группа - 52,5 ± 1,2 см
Экспериментальная группа - 56,7 ± 1,0 см (Р<0,05)
После четвертого обследования разница окружности сегментов здоровой
и больной конечности в контрольной группе составила 2,0 см., а в экспериментальной группе значительно уменьшилась и составила 0,7 см., что свидетельствует о приближении объема травмированной конечности к объему здоровой.
Рис.2 Динамика изменений объема больного бедра, см.
3. Показатели окружности здоровой голени.
Первое обследование
Контрольная группа - 37,6 ± 2,1 см
Экспериментальная группа - 37,7 ± 2,3 см (Р>0,05)
Второе обследование (спустя 10 дней)
Контрольная группа - 37,6 ± 1,8 см
Экспериментальная группа - 38,2 ± 3,0 см (Р>0,05)
В контрольной группе изменений не произошло, в экспериментальной
немного увеличился объем мышц голени, что связано с применением осевой нагрузки
и изометрических упражнений.
Третье обследование (спустя 20 дней)
Контрольная группа - 37,4 ± 1,8 см
Экспериментальная группа - 38,0 ± 2,9 см (Р>0,05)
Как в контрольной, так и в экспериментальной группах происходит
незначительное уменьшение объема голени.
Четвертое обследование (спустя 30 дней)
Контрольная группа - 37,3 ± 2,0 см
Экспериментальная группа - 38,0 ± 2,9 см (Р>0,05)
При измерении окружности здоровой голени, как в контрольной,
так и в экспериментальной группах, разница окружностей составила примерно 0,1-0,2 см.
Рис.3 Динамика изменений объема здоровой голени, см.
4.
Показатели окружности травмированной голени.
Первое обследование
Контрольная группа - 40,8 ± 1,6 см
Экспериментальная группа - 40,7 ± 1,8 см (Р>0,05)
Увеличение окружности голени при переломе костей голени указывает
на наличие посттравматического отека, который при данной патологии значительный
и составляет в контрольной группе 3,2 см., в экспериментальной - 3,0 см.
Второе обследование
Контрольная группа - 40,5 ± 1,7 см
Экспериментальная группа - 39,5 ± 3,2 см (Р>0,05)
В контрольной группе произошло незначительное снижение объема
голени - 0,3 см., а в экспериментальной группе уменьшение объема голени составило
- 1,2 см. Следовательно в экспериментальной группе отек на больной голени уменьшился
за счет улучшения лимфооттока.
Третье обследование
Контрольная группа - 40,2 ± 1,8 см
Экспериментальная группа - 38,8 ± 3,5 см (Р>0,05)
В этом исследовании так же наблюдается в контрольной группе незначительное
уменьшение объема голени на 0,3 см., а в экспериментальной группе на 0,7 см., но значительно отличается от исходного уровня (голень уменьшилась в объеме на 1,9 см.), что говорит о снижении отека.
Четвертое обследование
Контрольная группа - 39,3 ± 2,1 см
Экспериментальная группа - 38,5 ± 3,3 см (Р>0,05)
В данном исследовании видна значительная разница объемов сегментов
между экспериментальной и контрольными группами, которая составляет 0,8 см. Если сравнить в контрольной группе разницу окружностей сегментов здоровой и больной конечностей,
то она составляет 2,0 см. В экспериментальной группе разница окружностей между здоровой
и больной голенями составила 0,5 см., что свидетельствует о значительном уменьшении
отека голени и приближении объема больной голени к объему здоровой.
Рис.4 Динамика изменения объема больной голени, см.
5.
Динамометрия (измерение давления по оси)
Первое обследование
Контрольная группа - 5,2 ± 0,8 кг
Экспериментальная группа - 5,0± 0,8 кг (Р>0,05)
Из вышеуказанных данных мы видим, что опороспособность у всех
пациентов достигала величины 5 - 6 кг, что приблизительно соответствует весу ноги.
Этот результат говорит о недостаточности функциональных возможностей всего костно
- мышечного аппарата травмированной конечности.
Второе обследование
Контрольная группа - 17,2 ± 2,1 кг
Экспериментальная группа - 24,6± 3,8 кг (Р<0,05)
К моменту начала процессов ассификации с костной мозоли (20
- 24 день) опороспособность увеличивается в контрольной группе на 12 кг от исходного уровня, в экспериментальной на 19,4 кг, что свидетельствует об увеличении тренированности
мышечно-связочного аппарата и о начале образования белковой структуры мозоли.
Третье обследование.
Контрольная группа - 32,8 ± 1,9 кг
Экспериментальная группа - 45,8± 10,0 кг (Р<0,05)
К 30 - 32 дню отмечалось увеличение опороспособности: в контрольной
группе на 27,6 кг, в экспериментальной на 40,8 кг от исходных уровней. Здесь мы видим значительную разницу между контрольной и экспериментальной
группами, которая составляет 13,2 кг. Это указывает на то, что в контрольной группе
происходит более замедленное восстановление функциональных возможностей мышечно
- связочного аппарата.
Четвертое обследование
Контрольная группа - 45,2 ± 7,4 кг
Экспериментальная группа - 61,6± 8,5 кг (Р<0,05)
К 40 - 42 дню нагрузка по оси в экспериментальной группе достигает
до 100% от веса тела - это свидетельствует о начавшихся процессах минерализации
мозоли. Мы обнаружили некоторое замедление нарастания опороспособности у женщин
в контрольной и экспериментальной группах по сравнению с мужчинами. Это связано
с более слабым, нетренированным мышечно-связочным аппаратом.

Вывод: после проведенного эксперимента в контрольной группе объем
здорового бедра 54,5 ± 1,2см, объем больного бедра 52,5 ± 1,2 см, объем здоровой голени 37,3 ± 2,0 см, объем больной голени 39,3 ± 2,1 см, динамометрия 45,2 ± 7,4 кг. В экспериментальной группе объем здорового бедра 56,0 ± 1,3 см, объем больного бедра 56,7 ± 1,0 см, объем здоровой голени 38,0 ± 2,9 см, объем больной голени 38,5 ± 3,3 см, динамометрия 61,6 ± 8,5 кг. Таким образом объемные размеры в экспериментальной группе здоровой и больной ноги после проведенного
эксперимента были примерно одинаковы, чего не отмечается в контрольной группе. Кроме
этого в экспериментальной группе осевая нагрузка на оперированную конечность к концу
эксперимента приблизилась к 100% от массы тела.
1. Анализ научно-методической литературы показал, что на реабилитацию
больных после переломов костей голени требуется до 6 месяцев, а инвалидность составляет
14-15%. В связи с этим вопросы совершенствования методики восстановления трудоспособности
после лечения переломов голени методом компрессионно-дистракционного остеосинтеза
являются актуальными.
2. В процессе педагогического эксперимента выявлено, что у травматологических
больных имеются как вторичные общие проявления травматической болезни, выражающиеся
в значительном снижении общей работоспособности, так и местные, проявляющиеся в
снижении функциональных возможностей поврежденной конечности.
3. Наиболее эффективным в реабилитации больных с переломами костей
голени будет специальная методика изометрической гимнастики и осевой нагрузки, преимущественно
устраняющий вторичные проявления травматической болезни, направленное на изменение
функционального состояния поврежденной конечности.
4. Экспериментальные исследования и педагогические наблюдения
позволили разработать методику изометрической гимнастики и осевой нагрузки при переломах
костей голени по 4 этапам: 1 этап - до 10 дней после операции; 2 этап - до 20 дней
после операции; 3 этап - до 30 дней; 4 этап - до 40 дней.
ПРАКТИЧЕСКИЕ РЕКОМЕНДАЦИИ.
Существующие рекомендации по поддержанию и восстановлению функциональных
возможностей как поврежденной конечности, так и организма после переломов костей
голени посредством использования традиционных средств, методов и форм явно недостаточны
для достижения желаемого эффекта - быстрого восстановления трудоспособности. Только
целенаправленно спланированное использование физических упражнений в соответствии
с методическими принципами построения тренировочного процесса (непрерывность, систематическое
чередование нагрузки и отдыха, постепенность, адаптивное сбалансирование динамики
нагрузок, волнообразность, цикличность, возрастная адекватность) дает возможность
оптимально воздействовать на функции и системы организма больного и, тем самым,
добиваться качественного восстановления физических возможностей в ходе процесса
реабилитации. Процесс восстановления течения переломов костей голени методом компрессионно-дистракционного
остеосинтеза предусматривает использование не только общепринятых методик, действующих
глобально на организм, но предложенной нами методики восстановления, воздействующей
локально на поврежденную конечность.
Приложение 1
|
|
|
|
|
|
|
|
|
|
|
|
|
Показатели объемов здорового, больного бедра см, голени см, и динамометрии
нижней конечности кг
|
|
|
|
|
|
|
|
|
|
|
|
|
|
|
этапы
|
|
здоровое
|
Р
|
здоровая
|
Р
|
больное
|
Р
|
больная
|
Р
|
динамометрия
|
Р
|
|
|
|
бедро
|
|
Голень
|
|
бедро
|
|
голень
|
|
|
|
|
|
|
X,±δ,
см
|
|
X,±δ,
см
|
|
X,±δ,
см
|
|
X,±δ,
см
|
|
X,±δ,
кг
|
|
|
|
|
|
|
|
|
|
|
|
|
|
|
|
I
|
КГ
|
56,4±3,6
|
|
37,6±2,1
|
|
51,5±4,4
|
|
40,8±1,6
|
|
5,2±0,8
|
|
|
|
ЭГ
|
56,7±4,7
|
P>0,05
|
37,7±2,3
|
P>0,05
|
52,6±4,9
|
P>0,05
|
40,7±1,8
|
P>0,05
|
5,0±0,8
|
P>0,05
|
|
|
|
|
|
|
|
|
|
|
|
|
|
|
II
|
КГ
|
55,4±3,4
|
|
37,6±1,8
|
|
51,7±4,6
|
|
40,5±1,7
|
|
17,2±2,1
|
|
|
|
ЭГ
|
57,0±4,5
|
P>0,05
|
38,2±3,0
|
P>0,05
|
53,5±5,9
|
P>0,05
|
39,5±3,2
|
P>0,05
|
24,6±3,8
|
P<0,05
|
|
|
|
|
|
|
|
|
|
|
|
|
|
|
III
|
КГ
|
54,5±3,5
|
|
37,4±1,8
|
|
52,0±1,1
|
|
40,2±1,8
|
|
32,8±1,9
|
|
|
|
ЭГ
|
56,0±4,9
|
P>0,05
|
38,0±2,9
|
P>0,05
|
54,2±1,0
|
P>0,05
|
38,8±3,5
|
P>0,05
|
45,8±10,0
|
P<0,05
|
|
|
|
|
|
|
|
|
|
|
|
|
|
|
IV
|
КГ
|
54,5±1,2
|
|
37,3±2,0
|
|
52,5±1,2
|
|
39,3±2,1
|
|
45,2±7,4
|
|
|
|
ЭГ
|
56,0±1,3
|
P>0,05
|
38,0±2,9
|
P>0,05
|
56,7±1,0
|
P<0,05
|
38,5±3,3
|
P>0,05
|
61,6±8,5
|
P<0,05
|
Приложение 2
КОМПЛЕКС УРОКА В ЭКСПЕРИМЕНТАЛЬНОЙ ГРУППЕ НА ПЕРВОМ ЭТАПЕ.
ЗАДАЧИ:
1.
Поднятие эмоционального тонуса.
2.
Профилактика развития осложнений со стороны жизнеобеспечивающих органов и
систем (ССС, ДС, ЦНС, ЖКТ), т.е. вторичных общих проявлений травматической болезни.
3.
Стимуляция восстановления функциональных возможностей ССС, ДС, нервно - мышечного
аппарата, аэробных возможностей организма.
4.
Подготовка пациентов к более сложной физической работе.
ОБОРУДОВАНИЕ:
1.
Весы.
2.
Гимнастическая палка.
|
№
|
СОДЕРЖНАНИЕ
|
ДОЗИРОВКА
|
Общие методические указания
|
|
ВВОДНАЯ
|
И.П. лежа на спине.
Руки вверх - вдох
Руки вниз - выдох
И.П. то же. Вращательные движения в суставах запястья
И.П. то же. Руки в стороны - вдох, дотянуться правой рукой до левой
- выдох. То же в другую сторону.
Пауза отдыха
|
3 - 4 раза
8 - 10 раз
4 - 6 раз
|
Статическое дыхание с углубленным выдохом
Амплитуда полная
Вдох через нос, выдох через рот
|
ОСНОВНАЯ
|
5. И.П. то же. Сокращение четырехглавой мышцы бедра здоровой и поврежденной
конечности.
6. И.П. то же. Прогнуться, опираясь на лопатки и здоровую конечность.
7. И.П. то же. Поочередное поднимание ног вверх.
8. И.П. то же. Поочередное отведение прямых ног в сторону.
9. И.П. то же. Постукивание подушечками пальцев по пяточной кости
10. Пауза отдыха
11. И.П. то же. Давление пораженной конечностью на весы.
12. Супинация, пронация стоп.
13. Имитация ходьбы с опорой на ящик, прикрепленный к спинке кровати.
14. И.П. сидя на кровати, в руках гимнастическая палка. Руки перед
грудью на 1 поворот корпуса влево, на 2 поворот корпуса вправо
|
5 - 10 сек.
2 - 3 раза
2 - 4 раза
2 - 4 раза
5 - 10 раз
2 - 4 раза
4 - 6 раз
4 - 8 раз
4 - 6 раз
|
Дыхание свободное, сократив мышцу, задержать конечность в этом положении
на 5 сек., затем максимально расслабиться.
На больной конечности работаем на уровне порога болевой чувствительности.
Если боль выражена, то поднимать, только здоровую конечность.
Давление на уровне порога болевой чувствительности (6 - 10 кг.). Дыхание свободное
Дыхание свободное, темп медленный.
Усиливаем нагрузку на здоровую ногу, фиксируя туловище в статическом
положении.
Темп медленный, поворот вправо - вдох, поворот влево - выдох.
|
|
ЗАКЛЮЧИТЕЛЬНАЯ
|
15. И.П. лежа на спине. Плечи вверх - вдох, плечи вниз - выдох
16. Пауза отдыха.
17. Расслабление всех мышц.
|
2 - 3 раза
|
|
Приложение 3
КОМПЛЕКС УРОКА В ЭКСПЕРИМЕНТАЛЬНОЙ ГРУППЕ НА ВТОРОМ ЭТАПЕ
ЗАДАЧИ:
1.
Профилактика развития контрактур, мышечных атрофий, остеопороза, нарушения
функции периферического кровообращения, снижения уровня физических качеств.
2.
Ускорение сроков регенерации костной мозоли.
3.
Стимуляция обменно-трофических процессов.
4.
Совершенствование функции периферического кровообращения, повышение функциональных
возможностей нервно - мышечного аппарата оперированной конечности, увеличение подвижности
в голеностопном суставе.
ОБОРУДОВАНИЕ:
1.
Весы.
2.
Гимнастическая палка
3.
Волейбольный мяч
|
№
|
СОДЕРЖНАНИЕ
|
ДОЗИРОВКА
|
Общие методические указания
|
|
ВВОДНАЯ
|
И.П. сидя на кровати, свести лопатки, прогнуться - вдох, и.п. - выдох.
И.П. то же. Вращательные движения в лучезапястных суставах.
|
2 - 3 раза
6 - 8 раз
|
Вдох через нос, выдох через рот.
Амплитуда полная. Темп средний.
|
ОСНОВНАЯ
|
И.П. то же. Наклоны головы вперед, назад.
И.П. то же. Наклоны головы влево, вправо.
Руки к плечам, вращательные движения в плечевых суставах.
Руки в стороны, повороты туловища вправо, влево.
Руки на голове, пальцы переплетены. Вытягивание рук вверх "потягивание"
- вдох, возвращение в и.п. - выдох.
Руки к плечам. Вытягивание рук вверх - вдох, опускание через стороны
- выдох.
Палка на лопатках. Наклон вперед с вытягиванием рук вверх (вынос палки)
и возвращение в и.п.
И.П. лежа на спине. Изометрическое напряжение четырехглавой мышцы
здоровой конечности.
То же с оперированной конечностью.
И.П. то же. Поочередное сгибание ног в коленных суставах.
Пауза отдыха.
Вращательные движения в голеностопных суставах.
Попытка разогнуть согнутую в коленном суставе ногу. То же со здоровой
ногой.
Поочередное поднимание прямых ног.
И.П. лежа на животе. Попытка сгибания ноги в коленном суставе. То
же с оперированной ногой.
И.П. то же. Руки согнуты в локтевых суставах. Опираясь на предплечья,
прогнуться в грудном отделе - вдох, и.п. - выдох.
И.П. то же. Руки согнуты в локтевых суставах, фиксируют гимнастическую
палку, разгибание корпуса через гимнастическую палку.
И.П. лежа на спине. Давим оперированной конечностью на весы.
Пауза отдыха.
|
4 - 6 раз
4 - 6 раз
6 - 8 раз
4 - 6 раз
3 - 4 раза
3 - 4 раза
4 - 6 раз
7 - 20 сек
7 - 20 сек
6 - 8 раз
10 - 20 сек
6 - 8 раз
15 - 30 сек
6 - 8 раз
4 - 6 раз
2 - 3 раза
4 - 6 раз
4 - 6 раз
|
Темп медленный.
При наклонах влево, левой рукой надавить вниз, то же с правой рукой.
Темп средний. Амплитуда полная.
Дыхание произвольное
ДЫХАНИЕ НЕ ЗАДЕРЖИВАТЬ
Темп медленный. Под оперированную конечность положить скользящую поверхность.
Темп медленный
Упражнение с сопротивлением. Дыхание не задерживать.
Темп медленный.
Упражнение с сопротивлением. Напряжение на уровне порога болевой чувствительности.
Дыхание произвольное
Давление на уровне порога болевой чувствительности. Дыхание произвольное.
|
|
ЗАКЛЮЧИТЕЛЬНАЯ
|
И.П. сидя. Бросок, ловля мяча.
И.П. то же. Руки на затылке. Вытягивание рук вверх - вдох, и.п. -
выдох.
И.П. лежа на спине. Расслабить мышцы ног.
|
1 - 2 мин.
3 - 4 раза
|
Вдох через нос, выдох через рот
|
КОМПЛЕКС УРОКА В ЭКСПЕРИМЕНТАЛЬНОЙ ГРУППЕ НА ТРЕТЬЕМ ЭТАПЕ
ЗАДАЧИ:
1.
Повышение функциональных возможностей ССС и ДС.
2.
Ускорение процессов костной регенерации.
3.
Уменьшение отека в оперированной конечности.
4.
Дальнейшее увеличение подвижности в голеностопном суставе.
ОБОРУДОВАНИЕ:
1.
Весы.
|
№
|
СОДЕРЖНАНИЕ
|
ДОЗИРОВКА
|
Общие методические указания
|
|
ВВОДНАЯ
|
И.П. сидя. Прогнуться, свести лопатки - вдох, и.п. - выдох.
И.П. то же. Наклоны головы вправо, влево.
И.П. то же. Полукруг головой вперед, назад.
|
2 - 3 раза
4 - 6 раз
4 - 6 раз
|
Темп медленный
|
ОСНОВНАЯ
|
И.П. лежа на спине. Изометрическое напряжение четырехглавой мышцы
бедра.
И.П. то же. Имитация ходьбы с опорой на ящик.
И.П. сидя, руки вверх - вдох, вниз - выдох.
И.П. то же. Ходьба на месте с продвижением вперед - назад, с приступанием
на оперированную конечность.
Ходьба на костылях с опорой на больную ногу.
И.П. стойка ноги врозь. Полуприсяды на здоровой и обеих ногах.
И.П. то же. Согнутую в коленном суставе оперированную ногу вынести
вперед до угла 90º и держать на весу.
И.П. то же. Руками опереться о спинки стульев. Свободные махи оперированной
ногой вперед - назад
И.П. лежа на спине. Сгибание - разгибание ног в коленных суставах.
И.П. то же. Разведение - сведение стоп
И.П. то же. Круговые вращения стоп во внутрь и наружу.
Пауза отдыха
И.П. то же. Поочередное поднимание ног.
И.П. то же. Поочередное и одновременное разведение и сведение прямых
ног.
И.П. то же. Поднять прямые ноги вверх под углом 90º. Пружинящие
разведения ног в стороны.
И.П. то же. Согнуть ноги в коленных суставах, стремиться разогнуть
ноги поочередно.
|
30 - 50 сек.
60 - 90 сек.
2 - 3 раза
8 - 10 раз
8 - 10 шагов
60 - 120 сек.
5 - 6 раз
10 - 20 сек.
8 - 10 раз
6 - 8 раз.
6 - 8 раз.
8 - 10 раз.
8 - 10 раз.
8 - 10 раз.
6 - 8 раз.
6 - 8 раз.
|
Усилие 30 - 40 кг на уровне порога болевой чувствительности.
Дыхание свободное
Темп медленный
Давление до 30 - 40 кг
И.П. вдох, полуприсяд - выдох.
Сделать 2 - 3 подхода
Темп медленный.
Темп средний
Амплитуда полная. Темп средний.
Дыхание не задерживать.
Упражнение с сопротивлением на уровне порога болевой чувствительности.
|
|
ЗАКЛЮЧИТЕЛЬНАЯ
|
И.П. то же. Оттянуть носки вниз, руки вверх, и.п. выдох
И.П. то же. Правой рукой потянуться влево и задержаться, то же в другую
сторону.
И.П. то же. Расслабить мышцы ног и рук.
|
1 - 2 раза.
2 - 3 раза.
|
Потянуть боковые мышцы туловища.
|
КОМПЛЕКС УРОКА В ЭКСПЕРИМЕНТАЛЬНОЙ ГРУППЕ НА ЧЕТВЕРТОМ ЭТАПЕ
ЗАДАЧИ:
1.
Восстановление амплитудных характеристик оперированной конечности.
2.
Восстановление опорной функции оперированной конечности.
3.
Содействие полноценному формированию костной мозоли.
4.
Подготовка пациентов к более высокой физической нагрузке.
ОБОРУДОВАНИЕ:
1.
Весы.
2.
Мяч.
3.
Гимнастическая стенка.
|
№
|
СОДЕРЖНАНИЕ
|
ДОЗИРОВКА
|
Общие методические указания
|
|
ВВОДНАЯ
|
Ходьба на костылях
И.П. стоя. Плечи вверх - вдох, и.п. - выдох.
И.П. то же. Наклоны головы вправо - влево.
И.П. то же. Полукруг головой вперед - назад, поочередно.
|
1 - 2 мин.
1 - 2 раза.
4 - 6 раз.
4 - 6 раз.
|
Дыхание произвольное
|
ОСНОВНАЯ
|
И.П. то же. Ноги врозь. Наклоны туловища вперед - назад.
И.П. стоя у гимнастической стенки, держась за рейку. Наклон туловища
вперед, прогнуться в спине.
И.П. то же. Полуприсяды на здоровой и обеих ногах.
И.П. то же. Махи оперированной конечностью вперед - назад.
И.П. стоя боком у гимнастической стенки. Махи вверх - вниз оперированной
конечностью.
И.П. стойка ноги врозь, держась за рейку. Перенос центра тяжести на
правую и левую ноги.
Ходьба на костылях на месте, с передвижением вперед - назад, с приступанием
на оперированную ногу.
И.П. стоя боком к гимнастической стенке. Вынести вперед согнутую оперированную
ногу в коленном суставе под углом 90º, задержать в этом положении.
И.П. сидя ноги врозь. Наклоны к левой и правой ногам.
И.П. то же. Подошвенное сгибание и разгибание стоп.
И.П. то же с опорой на согнутые в локтевых суставах руки - упражнение
"ножницы".
И.П. то же. Поднять прямые ноги вверх, повороты ног вправо - влево.
И.П. лежа на здоровом боку. Махи ногой вверх - вниз.
И.П. то же. Мах вперед - назад.
И.П. сидя, согнув ноги в коленных суставах и опираясь на поставленные
руки сзади, поднимать таз одновременно разгибая ногу в коленном суставе.
И.П. лежа на животе, согнув ноги в коленных суставах. Носки на себя,
поочередно поднимать ноги вверх.
И.П. то же. Пытаться разогнуть согнутую в коленном суставе ногу поочередно.
Упор лежа на руках, согнутых в локтевых суставах. Прогнуться, руки
выпрямить - вдох, и.п. - выдох.
И.П. лежа на спине. Имитация ходьбы.
И.П. сидя. Перебрасывание волейбольного мяча друг другу.
|
4 - 6 раз.
4 - 6 раз.
7 - 8 раз.
8 - 10 раз.
8 - 10 раз.
14 - 16 раз.
1 - 2 мин.
20 - 30 сек.
4 - 6 раз.
8 - 10 раз.
6 - 8 раз.
6 - 8 раз.
8 - 10 раз.
8 - 10 раз
4 - 6 раз.
6 - 8 раз.
8 - 10 раз.
2 - 3 раза.
4 - 6 раз.
1 - 2 мин.
|
Руки ставим на рейку перед грудью.
Темп средний.
Напрягать все мышцы конечности, акцент на четырехглавую.
Дыхание не задерживать.
Руками дотянуться до носков.
Темп средний.
АМПЛИТУДА ПОЛНАЯ
Поочередно правой и левой ногами.
Упражнение с сопротивлением на уровне порога болевой чувствительности.
Поднимать и опускать прямые ноги, дыхание не задерживать.
|
|
ЗАКЛЮЧИТЕЛЬНАЯ
|
Пауза отдыха
И.П.то же. Руки перед грудью, согнутые в локтевых суставах, ладонями
давить на встречу друг другу.
Плечи вверх - вдох, и.п. - выдох
|
6 - 8 раз
2 - 3 раза.
|
Дыхание не задерживать.
|
КОМПЛЕКС УРОКА В КОНТРОЛЬНОЙ ГРУППЕ
ЗАДАЧИ:
1.
Профилактика мышечных атрофий.
2.
Ускорение сроков костной регенерации.
3.
Профилактика тугоподвижности.
|
№
|
СОДЕРЖНАНИЕ
|
ДОЗИРОВКА
|
Общие методические указания
|
|
ВВОДНАЯ
|
И.П. лежа на спине. Повороты головы вправо - влево.
И.П. то же. Правая рука на груди, левая на животе. Вдох грудью, выдох
животом.
|
4 - 6 раз.
2 - 3 раза.
|
Дыхание свободное
Вдох через нос, выдох через рот.
|
ОСНОВНАЯ
|
И.П. то же. Вращательные движения в суставах запястья.
И.П. то же. Прогнуться опираясь на лопатки и стопы.
Поочередное отведение ног в стороны.
Поочередное сгибание и разгибание в коленных суставах здоровой и пораженной
конечности.
Круговые движения в голеностопных суставах здоровой и пораженной конечностями.
Подошвенное сгибание и разгибание стоп.
И.П. лежа на боку. Пораженной ногой махи вперед - назад.
И.П. то же. Круговые вращения прямой ногой в тазобедренном суставе.
И.П. лежа на животе, руки в стороны. Поднимать плечи вверх.
И.П. лежа на спине. Поочередное поднимание прямых ног вверх.
|
8 - 10 раз.
3 - 4 раза.
6 - 8 раз.
4 - 6 раз.
4 - 6 раз.
4 - 6 раз.
4 - 6 раз.
4 - 6 раз.
4 - 6 раз.
4 - 6 раз.
|
Амплитуда полная.
Темп средний.
На уровне порога болевой чувствительности.
Под больную ногу положить скользящую поверхность.
Амплитуда полная
Темп медленный
Темп медленный.
Амплитуда полная
Темп медленный
Максимально поднимать туловище вверх.
Дыхание не задерживать.
|
|
ЗАКЛЮЧИТЕЛЬНАЯ
|
Пауза отдыха.
И.П. то же. Плечи вверх - вдох, и.п. - выдох.
И.П. то же, руки в стороны. Правой рукой дотянуться до левой.
|
2 - 3 раза.
2 - 4 раза.
|
|