Управление стрессами на предприятии

  • Вид работы:
    Тип работы
  • Предмет:
    Финансы, деньги, кредит
  • Язык:
    Русский
    ,
    Формат файла:
    MS Word
    21,42 kb
  • Опубликовано:
    2008-12-09
Вы можете узнать стоимость помощи в написании студенческой работы.
Помощь в написании работы, которую точно примут!

Управление стрессами на предприятии

Подготовка и решение на ПК задач с разветвлением


Цель контрольной работы: приобретение практических навыков по подготовке, отладке и выполнению разветвляющихся программ.

Задача 1. Найти все рациональные корни полинома n-й степени с целыми коэффициентами.

Задание

1.


Для нахождения всех рациональных корней полинома n-й степени с целыми коэффициентами используем теорему

Теорема. Для того чтобы несократимая дробь p/q была корнем уравнения (q¹0)  с целыми коэффициентами, необходимо, чтобы число р было делителем свободного члена а0, а число q - делителем старшего коэффициента an.

                     Алгоритм:


Исходный код программы:

#include <math.h> //подключение библиотек

#include <iostream>//подключение библиотек

#include <conio.h>//подключение библиотек

#include <stdio.h>//подключение библиотек

using namespace std;

int main()//главная функция

{

double x,f;//объявление переменных и их типа

x=1.;//присваение значения

f=24.*pow(x,5)+10.*pow(x,4)-pow(x,3)-19.*pow(x,2)-5.*x+6;//описание формулы

if(f==0.) //проверка условия

printf("f(x)=%6.2f x=%6.2f\n",f,x);//вывод результата

x=-1.; //присваение значения

f=24.*pow(x,5)+10.*pow(x,4)-pow(x,3)-19.*pow(x,2)-5.*x+6;//описание формулы

if(f==0.)//проверка условия

 printf("f(x)=%6.2f x=%6.2f\n",f,x);//вывод результата

x=6./24.; //присваение значения

f=24.*pow(x,5)+10.*pow(x,4)-pow(x,3)-19.*pow(x,2)-5.*x+6;//описание формулы

if(f==0.)//проверка условия

printf("f(x)=%6.2f x=%6.2f\n",f,x);//вывод результата

x=-6./24.; //присваение значения

f=24.*pow(x,5)+10.*pow(x,4)-pow(x,3)-19.*pow(x,2)-5.*x+6;//описание формулы

if(f==0.)//проверка условия

printf("f(x)=%6.2f x=%6.2f\n",f,x);//вывод результата

x=6./12.; //присваение значения

f=24.*pow(x,5)+10.*pow(x,4)-pow(x,3)-19.*pow(x,2)-5.*x+6;//описание формулы

if(f==0.)//проверка условия

printf("f(x)=%6.2f x=%6.2f\n",f,x);//вывод результата

x=-6./12.; //присваение значения

f=24.*pow(x,5)+10.*pow(x,4)-pow(x,3)-19.*pow(x,2)-5.*x+6;//описание формулы

if(f==0.)//проверка условия

printf("f(x)=%6.2f x=%6.2f\n",f,x);//вывод результата

x=6./6.; //присваение значения

f=24.*pow(x,5)+10.*pow(x,4)-pow(x,3)-19.*pow(x,2)-5.*x+6;//описание формулы

if(f==0.)//проверка условия

printf("f(x)=%6.2f x=%6.2f\n",f,x);//вывод результата

x=-6./6.; //присваение значения

f=24.*pow(x,5)+10.*pow(x,4)-pow(x,3)-19.*pow(x,2)-5.*x+6;//описание формулы

if(f==0.)//проверка условия

printf("f(x)=%6.2f x=%6.2f\n",f,x);//вывод результата

getchar();//функция задержки экрана

getchar();//функция задержки экрана

getchar();//функция задержки экрана

getchar();//функция задержки экрана

return 0;

}

Результат роботы:

 

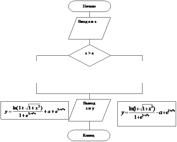
Задача 2. . Вычислить значение функции Y(x) при различных значениях исходных данных x и a.

Исходные данные (по вариантам) находятся в таблице 2.

 №

Функции

Исходные данные

вар.


x

a

 

15

6

4.5

 


 















Исходный код программы

#include <math.h>//подключение библиотек

#include <conio.h>//подключение библиотек

#include <stdio.h>//подключение библиотек

#include <iostream>//подключение библиотек

using namespace std; //подключение библиотек

int main()//главная функция

{

cout<<"\n\n";//отступ двух строк (для красоты:-)

double x,y,a,b;//объявление переменных и их типа

cout<<"Vvedite X: ";//вывод сообщеня пользователю

cin>>x;//считывание значения, введенного пользователем

a=4.5;//приcваение значений

b=1/2;//приcваение значений

if (x>=a)//проверка условия

{

y=(log(1+pow(1+pow(x,2),b)))/(1+exp(1+x*x))+(a+exp(1+x*x));//описание формулы

}

else

y=(log(1+pow(1+pow(x,2),2)))/1+exp(1+x*x)+(a-exp(1+x*x));//описание формулы

printf("f(x)=%2.2f",y);//вывод результата

getchar();//функция задержки экрана

getchar();//функция задержки экрана

getchar();//функция задержки экрана

getchar();//функция задержки экрана

return 0;

}

Результат роботы:


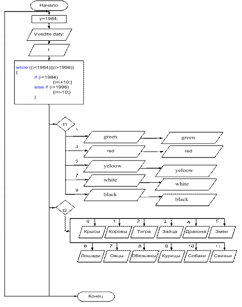
Задача 3. В восточном календаре принят 60-летний цикл, состоящий из 12- летних подциклов, обозначаемых названиями цвета: зеленый, красный, желтый, белый и черный. В каждом подцикле годы носят названия животных: крысы, коровы, тигра, зайца, дракона, змеи, лошади, овцы, обезьяны, курицы, собаки и свиньи.

По номеру года вывести его название, если 1984 год был началом цикла годом зеленой крысы. Написать программу с использованием оператора switch/case.

Схема алгоритма


Исходный код программы:

#include <iostream>//подключение библиотек

#include <math.h>//подключение библиотек

#include <conio.h>//подключение библиотек

#include <stdio.h>//подключение библиотек

#include <string.h>//подключение библиотек

#include <windows.h>//подключение библиотек

using namespace std;

char buf[256];// функция для использования

char* rus(const char* text)// русского языка в программе

{ AnsiToOem(text,buf);

return buf; }

int main()//главная функция

{

int i; //объявление переменных и их типа

cout<<rus("Введите год: ");//вывод сообщеня пользователю

cin>>i; //считывание значения, введенного пользователем

cout<<rus("\nГод ");//вывод сообщеня пользователю

while ((i<1984)||(i>1996))//запуск цикла

{

if (i<1984) //проверка условия

{i=i+10;}

else if (i>1996) //проверка условия

{i=i-10;}

}

switch (i)

{

case 1984: cout<<rus("зелен"); break;

case 1985: cout<<rus("зелен"); break;

case 1986: cout<<rus("красн"); break;

case 1987: cout<<rus("красн"); break;

case 1988: cout<<rus("жолт"); break;

case 1989: cout<<rus("жолт"); break;

case 1990: cout<<rus("бел"); break;

case 1991: cout<<rus("бел"); break;

case 1993: cout<<rus("черн"); break;

case 1994: cout<<rus("зелен"); break;

case 1995: cout<<rus("зелен"); break;

}

while ((i<1984)||(i>1996))

{

if (i<1984) //проверка условия

{i=i+12;}

else if (i>1996) //проверка условия

{i=i-12;}

}

switch (i)

{

case 1986: cout<<rus("ого "); break;

case 1987: cout<<rus("ого "); break;

case 1988: cout<<rus("ого "); break;

default: cout<<rus("ой "); break;

}

switch (i)

{

case 1984: cout<<rus("крысы"); break;

case 1985: cout<<rus("коровы"); break;

case 1986: cout<<rus("тигра"); break;

case 1987: cout<<rus("зайца"); break;

case 1988: cout<<rus("дракона"); break;

case 1989: cout<<rus("змеи"); break;

case 1990: cout<<rus("лошади"); break;

case 1991: cout<<rus("овцы"); break;

case 1992: cout<<rus("обезьяны"); break;

case 1993: cout<<rus("курицы"); break;

case 1994: cout<<rus("собаки "); break;

case 1995: cout<<rus("свиньи"); break;

}

getchar();//функция задержки экрана

getchar();//функция задержки экрана

getchar();//функция задержки экрана

return 0;

}

Результат роботы:

 

Вывод: выполняя контрольную работу я ознакомился со средствами решения задач разветвляющихся программ на ЭВМ, изучил основные разветвляющиеся конструкции языка С++, функции стандартных библиотек. Я приобрел практические навыки решения задач разветвляющегося характера, их тестирования и отладки.

Похожие работы на - Управление стрессами на предприятии

 

Не нашли материал для своей работы?
Поможем написать уникальную работу
Без плагиата!
Без нейросетей!