Особливості перебігу інфекційних захворювань та туберкульозу у тварин та людини

  • Вид работы:
    Дипломная (ВКР)
  • Предмет:
    Медицина, физкультура, здравоохранение
  • Язык:
    Русский
    ,
    Формат файла:
    MS Word
    5,24 Mb
  • Опубликовано:
    2010-09-19
Вы можете узнать стоимость помощи в написании студенческой работы.
Помощь в написании работы, которую точно примут!

Особливості перебігу інфекційних захворювань та туберкульозу у тварин та людини

ЗМІСТ


Вступ

Розділ І Інфекційні хвороби. Особливості протікання туберкульозу у тварин

1.1 Поняття про інфекційні захворювання

1.2 Класифікації інфекційних хвороб

1.3 Туберкульоз, як інфекційна хвороба та її поширення

1.4 Збудник туберкульозу

1.5 Епізоотологія хвороби

1.6 Патогенез

1.7 Клінічні ознаки та перебіг хвороби у ВХР

1.8 Патологоанатомічні зміни

Розділ ІІ Методи діагностики

2.1 Діагностування хвороби

2.2 Алергічна діагностика

2.3 Патологоанатомічні дослідження

2.4 Лабораторна діагностика

2.5 Диференціальна діагностика

Розділ ІІІ Особливості протіканні туберкульозу у людини

3.1 Туберкульоз, його особливості, етіологія та патогенез

3.2 Основні види клініко – морфологічних проявів туберкульозу у людини

3.2.1 Первинний туберкульоз

3.2.2 Гематогенний туберкульоз

3.2.3 Вторинний туберкульоз

Розділ ІV Лікування та профілактика туберкульозу

4.1 Лікування, профілактика та засоби боротьби з туберкульозом у тварин

4.2 Лікування та профілактичні заходи при захворюванні на туберкульоз людини

4.3 Профілактика туберкульозу

Розділ 5 Аналіз стану захворюваності на туберкульоз ВРХ в Семенівському районі

Висновки

Список використаної літератури

Додатки

 


Вступ


Особливої уваги потребує профілактика та боротьба з інфекційними хворобами, які відзначаються значним поширенням, високим рівнем захворюваності та загибелі, тривалим порушенням виробничої діяльності. Багато інфекційних захворювань передається від хворих тварин людині, що становить суттєву загрозу її життю та здоров'ю.

Епізоотична ситуація в Україні характеризується наявністю різних заразних хвороб, у тому числі й таких, що підлягають обов'язковому обліку за списком Міжнародного епізоотичного бюро, — сказу, сибірки, лептоспірозу, хвороби Ауєскі, туберкульозу, бруцельозу, лейкозу, інфекційного ринотрахеїту великої рогатої худоби, класичної чуми свиней, сальмонельозу, трансмісивного гастроентериту свиней, інфекційної анемії, грипу коней, хвороби Ньюкасла, інфекційного ларинготрахеїту, пастерельозу, віспи, хвороби Гамборо, хвороби Марека, віспи птиці, міксоматозу й геморагічної хвороби кролів, американського та європейського гнильцю бджіл.

Вірусні хвороби різноманітні, про що свідчить перш за все різноманітність вірусів, яким властива висока контагіозність і здатність викликати епідемії та пандемії. Вони можуть бути не тільки гострими і хронічними, але й латентними (прихованими).

Мета нашої роботи – проаналізувати особливості перебігу інфекційних захворювань туберкульоз у тварин та людини.

Предмет дослідження – інфекційні хвороби: туберкульоз тварин та людини.

Об`єкт дослідження – особливості протікання захворювань в організмах тварин та людини.

Завдання:

1. Дати поняття про інфекційні хвороби, різновиди їх класифікацій.

2. Дати клініко-морфологічну характеристику інфекційних захворювань.

3. Охарактеризувати особливості протікання туберкульозу у тварин.

4. Проаналізувати протікання туберкульозу у людини.

5. Вивчити застосування профілактичних та лікувальних заходів для туберкульозу у тварин та людини.

Робоча гіпотеза: туберкульоз досить поширені та часто зустрічні захворювання як серед тварин так і людини, більш детальне вивчення їх особливостей дасть змогу в майбутньому виробити більш досконалі методи щодо їх лікування.

Розділ І

Інфекційні хвороби. Особливості протікання туберкульозу у тварин


1.1 Поняття про інфекційні захворювання


Інфекційними називаються хвороби, які викликаються інфекційними агентами — вірусами, бактеріями, грибами.

Інфекційний процес залежить як від особливостей збудника, так і від стану реактивності макроорганізму. Особливості мікроорганізму - збудника інфекційного захворювання - визначаються не тільки його будовою, хімічною структурою, антигенними особливостями, але й характером взаємодії з організмом хазяїна. Результат цієї взаємодії в значній мірі залежить від стану систем захисту організму - фагоцитарної (нейтрофіли, моноцитарні фагоцити) та імунної, особливо системи гуморального імунітету.

Під впливом різноманітних екзогенних та ендогенних факторів взаємовідношення між мікро-та макроорганізмом можуть бути порушеними на користь мікроорганізму, який набуває патогенних властивостей. В цих умовах індиферентний коменсал, або нешкідливий симбіонт, стає паразитом і спричиняє захворювання.

Більшість збудників хвороб потрапляють в організм із зовнішнього середовища крізь так звані вхідні ворота, наприклад, через кишечник з їжею, через легені з поступаючим повітрям, при укусі комах, через пошкоджену шкіру або слизові оболонки тощо. В таких випадках говорять про екзогенну інфекцію.

Однак зараження може бути ендогенним, тоді мова піде про ендогенну інфекцію, або аутоінфекцію.

Різноманітні інфекційні агенти викликають різні тканинні реакції, що особливо демонстративно при бактеріальних та вірусних інфекціях. Бактерії, що проникли в тканини, викликають запалення. Віруси, підпорядковуючи клітини хазяїна механізмові свого розмноження, можуть призвести до дистрофії та некрозу клітин, а також до їх проліферації та трансформації; при цьому запальна реакція в значній мірі вторинна.

Інфекційні хвороби характеризуються низкою спільних ознак.

1. Кожне інфекційне захворювання має свого збудника, який знаходиться у крові чи екскретах хворого.

2. Збудник інфекційної хвороби має вхідні ворота, характерні для кожної інфекції.

3. При інфекційній хворобі спостерігається утворення первинного афекту (осередку), що виникає у вхідних воротах. Первинний афект являє собою осередок запалення. При лімфогенному розповсюдженні збудника виникає запалення як відвідних лімфатичних судин (лімфангіт), так і регіонарних лімфатичних вузлів (лімфаденіт). Поєднання первинного афекта, лімфангіта і лімфаденіте при інфекційному захворюванні дозволяє говорити про первинний інфекційний комплекс. При одних інфекціях він виражений (туберкульоз, сифіліс, туляремія), при інших - фактично не виникає; процес одразу набуває генералізованого характеру (висипний і зворотний тиф, малярія).

4.   Шляхи розповсюдження збудника із первинного афекта або комплексу можуть бути: лімфогенними, гематогенними, інтраканалікулярними, периневральними або контактними.

5.   Кожна інфекційна хвороба характеризується місцевими змінами, які розвиваються у відповідній тканині чи органі (в товстій кишці при дизентерії, у клітинах передніх рогів спинного мозку при поліомієліті, у стінках дрібних судин при висипному тифі), і в тій чи іншій мірі типові для даної хвороби.

6.   При інфекційних хворобах розвивається ряд загальних змін: висип на шкірі, васкуліти, гіперпластичні процеси у лімфатичних вузлах, селезінці, кістковому мозку, запальні процеси у проміжній тканині та дистрофічні зміни у паренхіматозних органах.

Інфекційна хвороба досить часто перебігає циклічно. При цьому виділяють інкубаційний, продромальний періоди та періодосновних проявів хвороби (фази зростання симптомів хвороби, розпалу та згасання). Інфекційне захворювання може закінчитися видужуванням, набути хронічного перебігу, або стати причиною бацилоносіння. Досить часто воно супроводжується різними ускладненнями, що стають причиною смерті хворих.

1.2 Класифікації інфекційних хвороб


Інфекційні хвороби розподіляють за кількома ознаками.

За біологічною ознакою: 1) антропонози — інфекційні хвороби, що зустрічаються тільки в людей; 2) анропозоонози — інфекційні хвороби, що зустрічаються як серед людей, так і серед тварин; 3) біоценози — група антропонозів і антропозоонозів, що передаються через укуси комах, які є місцем розмноження збудника.

За етіологічною ознакою: 1) вірусні інфекції; 2) рікетсіози; 3) бактеріальні інфекції; 4) грибкові; 5) протозойні; 6) паразитарні. За походженням інфекційні хвороби можуть бути екзогенними або ендогенними. В подальшому всі інфекційні хвороби будуть розглядатися за етіологічною ознакою.

За механізмом передачі збудника: 1) кишкові інфекції, які виникають при проникненні інфекту в травний тракт через рот з їжею або водою; 2) інфекції дихальних шляхів, коли збудники проникають повітряно-крапельним шляхом; 3) «кров'яні інфекції» (трансмісивні), що передаються через кровосисних членистоногих; 4) інфекції поверхневих покривів, жирової клітковини та м'язів тіла (зараження відбувається через взаємодію деяких інфікованих факторів зовнішнього середовища, травми інфікованим предметом); 5) інфекції з різноманітними механізмами передачі.

За характером клініко-анатомічних проявів виділяють інфекції з переважним ураженням: 1) покривів (шкіри та її додатків, поверхневих слизових оболонок), клітковини та м'язів тіла; 2) дихальних шляхів; 3) травного тракту; 4) нервової системи; 5) серцево-судинної системи; 6) системи крові та інших тканин внутрішнього середовища організму; 7) сечостатевих шляхів.

За характером перебігу розрізняють інфекції: 1) гострі; 2) хронічні; 3) латентні (приховані); 4) повільні.

1.3 Туберкульоз, як інфекційна хвороба та її поширення


Туберкульоз (Tuberculosis) — хронічна хвороба домашніх і диких тварин та птиці, що характеризується утворенням у різних органах дрібних специфічних безсудинних вузликів (туберкул), схильних до сирнистого розпаду і звапнення. На туберкульоз хворіє людина.

Історична довідка. Захворювання на туберкульоз знайоме людству з давніх-давен. В історичних рукописах Вавилона, Китаю та Індії є записи, що свідчать про наявність цієї хвороби в ті далекі часи, усвідомлення її заразливості й можливості передавання від людини до людини. У Стародавній Греції туберкульоз був описаний Гіппократом, Галеном, Демокритом, було наведено клінічну картину хвороби та рекомендації з її лікування. Термін «туберкульоз» вперше використав французький лікар Леннек (1819). Інфекційну природу туберкульозу встановлено в 1865 р. Віллеменом, який відтворив експериментальне зараження кролів підшкірним введенням частинок уражених туберкульозом легень від померлої людини. У 1868 р. Шово першим заразив телят шляхом згодовування патологічного матеріалу від хворої на туберкульоз корови. Клебс вперше визначив небезпечність молока хворих корів для дітей, а Шово - м'яса від туберкульозних тварин для людини. Р. Кох у 1882 р. відкрив збудника туберкульозу, а в 1890 р. запропонував для діагностики цього захворювання туберкулін. Кальметт і Герен у 1924 р. виготовили вакцину БЦЖ для профілактики туберкульозу у людей.

Туберкульоз є одним з найпоширеніших захворювань у всьому світі, яке завдає значних економічних збитків тваринництву і становить загрозу для людини. За останні роки клінічна та морфологічна картина туберкульозу в економічно розвинутих країнах значно змінилась. Зміни обумовлені, головним чином, соціальним прогресом, досягненнями лікарської та антибактеріальної терапії й розглядаються як природний та індукований патоморфоз. Спостерігається різке зниження та практичне зникнення

В Україні боротьбі з туберкульозом тварин приділяють винятково велику увагу, завдяки чому за останні роки поширення хвороби припинилось. Значний внесок у вивчення туберкульозу тварин, розробку нових та вдосконалення існуючих методів діагностики й боротьби з цією хворобою зробили відомі вчені Б. Обуховський, О. Пашковський, С. Вишелесський, П. Вишневський, М. Юсковець, І. Лукашов, В. Ротов, О. Говоров, Ю. Кассич, І. Нечваль, А. Завгородній та ін.

1.4 Збудник туберкульозу


Збудник туберкульозу належить до роду Mycobacterium, в якому розрізняють 5 видів патогенних мікобактерій: Мус. tuberculosis - збудник туберкульозу людини; Мус. bovis - збудник туберкульозу великої рогатої худоби; Мус. avium - збудник туберкульозу птахів; Мус. murium - збудник туберкульозу мишей; Мус. poikilotermum - збудник туберкульозу холоднокровних. Видову належність збудника туберкульозу визначають на основі культурально-морфологічних властивостей та вірулентності для різних тварин і людини. Морські свинки чутливі до мікобактерій людського й бичачого видів, які зумовлюють у них генералізований туберкульоз, стійкі до пташиного виду. Кролі сприйнятливі до мікобактерій бичачого та пташиного видів, що спричинюють у них генералізований туберкульоз або туберкульозний сепсис, стійкі до людського виду (можливе місцеве ураження). До збудника мікобактерій людського виду чутливі кролі, а також коні, собаки, свині, коти, кози, вівці, птиця, хутрові звірі, велика рогата худоба.

Поряд з яскраво вираженою видовою патогенністю різні види мікобактерій можуть спричинювати захворювання і в інших видів тварин, а також у людини. Мікобактерії бичачого виду можуть бути збудниками захворювання людини, а також усіх господарських тварин, хутрових звірів. Птахи до мікобактерій обох видів не чутливі. Мікобактерії пташиного виду крім птахів можуть викликати захворювання у свиней, коней, собак, овець та кіз. Зараження великої рогатої худоби пташиним видом супроводжується локалізацією процесу в легенях та вимені. Від птахів люди можуть заразитись під час догляду за нею, а також при вживанні сирих яєць.

За морфологічними та культуральними властивостями мікобактерії різних видів майже не відрізняються один від одного і являють собою прямі або злегка зігнуті нерухомі грампозитивні зернисті палички із заокругленими кінцями, розміром (1,5...5,5) х (0,2...0,5) мкм. Кислото-, спирто- і лугостійкі у зв'язку з наявністю в клітині жиро-воскових речовин. За певних умов мікобактерії здатні утворювати ниткоподібні, гіллясті форми з колбоподібним здуттям на кінцях, що стало підставою для зміни назви «бацили Коха» на «мікобактерії туберкульозу». Спор і капсул мікобактерії не утворюють. Фарбуються за методом Ціля - Нільсена у яскраво-червоний (інші бактерії - в синій) колір. Мікобактерії туберкульозу культивують в аеробнихумовах на елективних живильних середовищах Петраньяні, Гельберга, гліцериновому МЛА та МПБ, середовищі Левенштейна - Йенсена. Ростуть мікобактерії дуже повільно: людського виду - впродовж 20 - 30 діб, бичачого - 20-60 діб, пташиного виду - 11-15 діб. На твердих живильних середовищах мікобактерії ростуть у вигляді крихкуватих, малих або великих, поодиноких блискучих чи матових колоній, іноді суцільних скупчень, а також у вигляді зморшкуватого нальоту білого або біло-жовтого кольору. Утворюють гладенькі S-форми та шорсткі R-форми.

Поряд з патогенними мікобактеріями з організму людей, великої рогатої худоби та об'єктів зовнішнього середовища ізолюються не патогенні, так звані атипові, мікобактерії, які не викликають захворювань на туберкульоз, але зумовлюють сенсибілізацію організму і позитивну реакцію на туберкулін. Атипові мікобактерії важко диференціюються від справжніх мікобактерій туберкульозу, що дуже ускладнює встановлення діагнозу при захворюванні великої рогатої худоби.

1.5 Епізоотологія хвороби


До туберкульозу сприйнятливі понад 55 видів ссавців і близько 25 видів птахів. Із домашніх тварин найбільш чутливою є велика рогата худоба, потім свині, коні; з птахів частіше хворіють кури, фазани. Основним джерелом збудника інфекції є хворі на туберкульоз тварини й птахи, рідше - хворі люди. З організму збудник виділяється з харкотинням, фекаліями, молоком, рідко - із сечею та спермою. Факторами передавання збудника є повітря, корми, вода, підстилка та інші предмети, забруднені виділеннями хворих тварин. Зараження на туберкульоз сприйнятливих тварин відбувається через дихальні шляхи і травний канал. Велика рогата худоба інфікується в основному під час вдихання дрібних крапель, що відкашлюються хворими тваринами, або часточок пилу, в яких міститься збудник. Дуже рідко відбувається внутрішньоутробне зараження, а також через соски вимені, кон'юнктиву, слизові оболонки статевих органів і шкіру. Телята заражаються при згодовуванні їм незнешкодженого молока від хворих корів.

Туберкульоз великої рогатої худоби є типовою стійловою інфекцією, хоча зараження спостерігається і при пасовищному утриманні. Захворювання поширюється в стаді повільно, масове перезараження відбувається впродовж багатьох місяців. Однак у разі скупченого утримання тварин, перебування їх у вологих, погано освітлених чи недостатньо вентильованих приміщеннях, відсутності моціону та неповноцінної годівлі перезараження туберкульозом відбувається значно швидше.

Залежно від епізоотичного стану щодо туберкульозу господарства, населені пункти та адміністративні території поділяють на благополучні та неблагополучні. Неблагополучними вважають господарства, де виявлено хворих на туберкульоз тварин, а також райони й області за наявності в них таких господарств. Ступінь неблагополуччя господарства визначають за рівнем поширення хвороби: обмежений - при виявленні впродовж року менш як 25 % хворих тварин у стаді та значний - при захворюванні на туберкульоз понад 25 % тварин.

1.6 Патогенез


На місці проникнення туберкульозних мікобактерій формується первинний осередок у легенях, глотці, мигдаликах, травному каналі. Водночас відбувається ураження регіонарних лімфовузлів і таким чином формування повного первинного комплексу. У тому разі, якщо туберкульозні мікобактерії не затримуються на місці проникнення в організм, а відразу потрапляють у лімфатичні вузли, формується неповний первинний комплекс. У первинному комплексі відбувається локалізація збудника за допомогою специфічних запальних осередків — туберкульозних вузликів (турберкулів). Запальна реакція при утворенні туберкульозних вузликів має ексудативний або продуктивний характер.

Під час ексудативного запалення, яке спостерігається при туберкульозі великої рогатої худоби, навколо мікобактерій групуються епітеліоїдні та гігантські клітини, які оточуються щільним кільцем лімфоцитів, у результаті чого формуються специфічні вузлики (туберкули). Між клітинами утвореного вузлика випотіває фібринозний ексудат. Внаслідок відмирання клітин, що не отримують живлення в бузсудинних вузликах, а також під дією токсинів збудника в центрі туберкулів утворюється некротична сирниста маса, яка згодом звапнюється.

При продуктивній формі запалення, яке спостерігається у коней і свиней при інфікуванні збудником туберкульозу пташиного виду, відбувається розростання епітеліоїдних, гігантських та лімфоїдних клітин без сирнистого переродження та казеозного некрозу.

Туберкульозний процес залежно від вірулентності збудника й ступеня опірності організму може проходити доброякісно або набувати злоякісного перебігу. Під час доброякісного перебігу туберкульозу звапнований первинний осередок зазнає інкапсуляції і подальший розвиток інфекційного процесу припиняється. У разі різкого зниження резистентності організму процес інкапсуляції збудника в первинному осередку не відбувається. Внаслідок цього настає розплавлення туберкульозного вузлика і вихід мікобактерій у здорову тканину. Це призводить до формування на значних ділянках ураженого органа дрібних вузликів (міліарний туберкульоз), які іноді об'єднуються в туберкульозні осередки. Згодом утворюються великі туберкульозні фокуси та каверни, заповнені гнійно-слизовою масою, звідки мікобактерії лімфогенним та гематогенним шляхами поширюються по всьому організму, зумовлюють генералізацію процесу та формування туберкульозних осередків у різних органах.

1.7 Клінічні ознаки та перебіг хвороби у ВХР


Інкубаційний період триває 2-6 тижнів. Початок захворювання у заражених тварин виявляється появою алергічних реакцій на туберкулін. Клінічні ознаки хвороби з'являються значно пізніше. Розрізняють активний (відкритий) туберкульоз, коли збудник хвороби виділяється з організму в зовнішнє середовище з бронхіальним слизом, молоком та фекаліями, і латентний туберкульоз, коли мікобактерії з організму хворої тварини назовні не виділяються.

Туберкульоз характеризується стадійним розвитком. Розрізняють первинний туберкульоз із стадіями первинного комплексу і ранньої генералізації та вторинний із стадією пізньої генералізації й ізольованого ураження органів.

Для первинного туберкульозу типовим є первинний комплекс, що складається з трьох компонентів: первинний афект (первинне вогнище), туберкульозне запалення регіонарних лімфатичних вузлів (лімфаденіт), туберкульозне запалення відвідних лімфатичних судин (лімфангіт). Первинний комплекс може бути повним, неповним і складним.

Повний первинний комплекс являє собою одночасне ураження органа і регіонарного лімфатичного вузла. Первинний же афект має вигляд одного або декількох туберкулів розміром 1 см і більше, з казеозним розкладом, частковим вапнуванням некротичних ділянок, сірувато-білою облямівкою типової грануляційної тканини і пояском гіперемії та набряку. За сприятливих умов вузлик зменшується, значно обвапновується та інкапсулюється (вогнище Гона).

Дуже швидко розвивається туберкульозний лімфангіт, що проявляється лімфостазом і туберкульозними бугорками в периваскулярній, набряклій тканині.

Ушкоджені регіонарні лімфатичні судини збільшені і мають вогнища казеозного некрозу, звапнення, іноді, представлені казеозноподібною масою. Неповний первинний туберкульозний, комплекс, характеризується також ушкодженням лімфатичних вузлів, первинний афект у відповідних органах не виявляють.

Складний первинний туберкульозний комплекс проявляється одночасною локалізацією повного або неповного комплексу в різних органах, наприклад, легенях і кишечнику, легенях і печінці.

За несприятливих умов хвороба набуває вторинної стадії первинного туберкульозу – ранньої генералізації. При цьому із вогнищ первинних ушкоджень мікобактерії проникають у лімфу, кров, провідні шляхи: гематогенно, лімфогенно, та інтерканалікулярно. В органах утворюються субміліарні, міліарні та великовогнищеві туберкули.

Вторинний туберкульоз виникає після згасання первинного комплексу. в результаті його активації під дією несприятливий умов (стресів, голодування, ослаблення після різних хвороб). Вторинний туберкульоз можливий і при вторинному зараженні мікобактеріями. Морфологічним проявом вторинного туберкульозу е генералізоване ураження різних органів, як і при ранній генералізації; тільки відрізняється від неї відсутністю первинного комплексу.

Іншим проявом вторинного туберкульозу є ізольоване ураження органів, що свідчить про зниження їх резистентності до інфекції при наявності деякого загального імунітету. Особливістю цього прояву є здатність інфекції поширюватись тільки по запальних ходах органів. []

У великої рогатої худоби перебіг хвороби хронічний (латентний), рідше - підгострий. У молодих тварин у разі масивного зараження можливий гострий перебіг. Туберкульоз зазвичай не має яскраво виражених клінічних ознак, а ураження найчастіше виявляють під час післязабійного огляду органів. Залежно від місця локалізації патологічного процесу розрізняють легеневу, кишкову та генералізовану форми хвороби, а також ураження вимені, матки, серозних покривів. У великої рогатої худоби найчастіше трапляється легенева форма туберкульозу. При ураженні легенів спостерігаються непостійна гарячка, кашель, на початку хвороби - сухий, короткий, сильний, а при тривалій хворобі - частий, слабкий, беззвучний, болісний. У тяжких випадках, при сильному руйнуванні легень, спостерігаються різкі зміни в диханні, стогін, зниження вгодованості та продуктивності. Під час аускультації виявляють ослаблення везикулярного дихання, сухі або вологі хрипи. Перкусія може бути безрезультативною, іноді за її допомогою в уражених ділянках легень виявляють притуплення перкуторного звуку. При ураженні плеври спостерігають болісність при натисканні в ділянці міжребрових проміжків. Виявляють збільшення, горбистість, затвердіння, безболісність заглоткових, підщелепових, медіастинальних і перибронхіальних лімфовузлів. У міру розвитку хвороби погіршується апетит, слизові оболонки стають блідими, очі западають, порушується ритм жуйки, періодично відбувається здуття рубця. Наприкінці захворювання дихання стає частим, супроводжується хрипами й стогоном, виділення з носа мають іхорозний характер, тварина гине в стані повільної агонії. При кишковій формі туберкульозу спостерігають швидке виснаження тварини, загальну слабкість, хронічний пронос, що іноді супроводжується виділенням кров'янистих гнійних фекалій з неприємним запахом. Під час ректального дослідження виявляють дуже збільшені брижові та портальні лімфовузли. При кишковій формі швидко настає загибель тварини. Туберкульозні ураження матки та яєчників трапляються дуже рідко, супроводжуються викиднями та яловістю. У бугаїв при ураженні статевих органів розвиваються орхіти, водянка оболонок тестикулів. При туберкульозі молочної залози характерним є значне збільшення надвим'яних лімфовузлів, затвердіння спочатку однієї з двох чвертей вимені, а згодом усієї залози, множинні дрібні вузлики, що виявляються під час пальпації. У зв'язку з тим, що секреція молока, незважаючи на туберкульозний процес, довго залишається незмінною, а уражені частини вимені безболісними, захворювання молочної залози та виділення мікобактерій з молоком може тривалий час бути нерозпізнаним. Захворювання головного та спинного мозку туберкульозної етіології спостерігається дуже рідко. Характеризується появою судом, порушенням координації рухів, парезами, паралічами. Гострий міліарний туберкульоз як початкова стадія захворювання буває рідко. Ця форма виникає внаслідок загострення хронічного перебігу туберкульозу і проявляється гарячкою, пригніченням, порушенням серцевої діяльності та дихання. Туберкульоз серозних покривів грудної та черевної порожнин, так звана «перлова хвороба», клінічно майже не розпізнається. При генералізованій формі туберкульозу визначається збільшення, ущільнення та малорухомість усіх або більшості поверхневих лімфовузлів. Слід мати на увазі, що при всіх формах туберкульозу збудник хвороби завжди виділяється з молоком.

1.8 Патологоанатомічні зміни


При туберкульозі великої рогатої худоби специфічні ураження виявляються в легенях, бронхіальних та медіастинальних лімфовузлах. Уражені ділянки легень тверді, мають червоно-сірий колір, пронизані дрібними сірувато-жовтими вузликами різної форми та розмірів. При розрізуванні легень знаходять сирнисто-перероджені й кальцифіковані осередки, а також гнійні фокуси (каверни), оточені щільною сполучнотканинною капсулою. Вузлики виявляються і в інших паренхіматозних органах, кістках і кістковому мозку. Бронхіальні й медіастинальні лімфовузли горбисті, різко збільшені в розмірі, тверді, містять сирнисті або гнійні фокуси, які при розрізуванні хрустять внаслідок їх переродження й кальцифікації. При «перловій хворобі» на серозних покривах черевної та грудної порожнин спостерігають дрібні, круглі, щільні, сірувато-червоні розрощення, які з часом звапновуються і гронами висять на сполучній тканині, нагадуючи цвітну капусту. В слизовій оболонці задньої третини тонких кишок, у клубовій і сліпій кишках, солітарних фолікулах і пейєрових бляшках виявляються сірувато-жовті вузлики та виразки. При туберкульозі вимені спостерігається значне розростання сполучної тканини, уражені частки вимені збільшені в об'ємі, тверді, містять багато вузликів, які при розрізуванні сильно хрустять.

 


Розділ ІІ

Методи діагностики


2.1 Діагностування хвороби


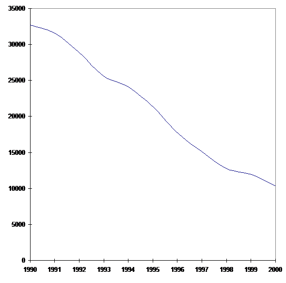
Дослідження проводилися протягом 1990 – 2000 років на базі Семенівської районної ветеринарної служби. Об’єктом дослідження були поголів’я великої рогатої худоби Семенівського району. Дослідження проводилися в декілька етапів:

1. Вивчення наукової у науково-методичної літератури.

2. Опрацювання даних по кількості всього поголів`я в Сєченівському районі. Досліджувались показники по поширенню захворювання серед людей та тварин.

З метою з`ясування сучасного епізоотичного стану туберкульозу в Сєченівському районі Чернігівської області у районній ветеринарній службі буди одержані дані про поширення туберкульозу у ВРХ.

Діагноз на туберкульоз установлюють комплексно, використовуючи основні й допоміжні методи діагностики.

Основні методи діагностики включають: прижиттєвий метод - клінічний огляд тварин, одноразову внутрішньошкірну туберкулінову пробу або офтальмопробу для коней та посмертний (післязабійний) метод - патологоанатомічне і бактеріологічне дослідження.

Допоміжні методи діагностики включають: симультанну алергічну пробу, внутрішньовенну туберкулінову пробу, серологічні дослідження (постановка реакції, зв'язування комплементу), а також дворазову внутрішньошкірну і очну туберкулінові проби, гістологічний метод.

На початку захворювання клінічний і патологоморфологічний методи дослідження мають обмежене значення. Більш надійними в початковій стадії хвороби є алергічний, патологогістологічний та бактеріологічний методи дослідження.

В останні десятиріччя виникла значна проблема з диференціюванням позитивних туберкулінових реакцій у тварин, сенсибілізованих атиповими мікобактеріями, які не мають відношення до захворювання на туберкульоз. В таких випадках проводять симультанну алергічну пробу, при якій тварин одночасно досліджують туберкуліном і комплексним алергеном мікобактерій (КАМ). За відмінностями в інтенсивності прояву алергічної реакції на кожний з цих двох препаратів роблять висновок про стан досліджуваної групи тварин. Достовірно висока інтенсивність реакції на туберкулін свідчить про зараження тварин туберкульозом. І навпаки, при достовірно більш вираженій алергічній реакції на КАМ вважають, що має місце сенсибілізація організму тварин атиповими мікобактеріями. Для встановлення остаточного діагнозу проводять контрольний забій позитивно реагуючих на туберкулін тварин і лабораторні дослідження відібраного від них патологічного матеріалу.

Алергічна діагностика туберкульозу тварин великої рогатої худоби передбачає проведення в благополучних господарствах планових одноразових діагностичних досліджень при епізоотичних (епідемічних) показниках, а також перед продажем тварин з племінною чи виробничою метою. Для своєчасного з'ясування епізоотичного стану на туберкульоз у благополучних господарствах неблагополучних районів велику рогату худобу досліджують на туберкульоз поголовно, починаючи з 2-місячного віку, двічі на рік. Після оздоровлення всіх господарств району впродовж перших чотирьох років досліджують усе поголів'я худоби, починаючи з двомісячного віку, один раз на рік, а маточне поголів'я — двічі на рік.

У разі благополучного щодо туберкульозу стану району впродовж чотирьох років і більше все поголів'я худоби, починаючи з двомісячного віку, досліджують один раз на рік. Якщо стадо благополучне понад 10 років, контроль може здійснюватись на м'ясопереробних підприємствах за результатами післязабійної експертизи. В усіх племінних господарствах незалежно від тривалості благополуччя маточне поголів'я (корів, бугаїв, нетелей) і весь молодняк, починаючи з 2-місячного віку, досліджують один раз на рік. Тварин обов'язково досліджують на туберкульоз у період карантину при реалізації їх в інші господарства або при завезенні для комплектування власного стада. В усіх господарствах, що постачають молоко в дитячі та медичні заклади, санаторії або безпосередньо в торговельну мережу, продуктивне стадо досліджують двічі на рік.

У благополучних господарствах незалежно від форм власності, де вивчається епізоотична ситуація, корів, які реагують на туберкулін, ізолюють, а молоко від них знезаражують кип'ятінням і використовують для годівлі тварин відгодівельної групи або перероблюють на топлене масло.

У разі виявлення до десяти реагуючих на туберкулін тварин їх усіх піддають діагностичному забою з подальшим патологоанатомічним та бактеріологічним дослідженням на туберкульоз. Якщо виявлено понад десять реагуючих на туберкулін тварин, з діагностичною метою забивають не менш як 10 голів кожного гурту, де їх виявлено.

2.2 Алергічна діагностика


Для алергічної діагностики застосовують: у ссавців (крім свиней та мавп) - сухий очищений туберкулін - протеїн пуріфієд дериват (ППД) для ссавців або альт-туберкулін для ссавців; у свиней - сухий очищений туберкулін (ППД) для птиці і (одночасно) сухий очищений туберкулін (ППД) для ссавців; у птиці - сухий очищений туберкулін (ППД) для птиці; у мавп - сухий очищений туберкулін для ссавців. Туберкулін вводять внутрішньошкірно, одноразово, в дозі 0,2 мл усім тваринам, крім мавп, норок, птиці, яким вводять по 0,1 мл. Великій рогатій худобі туберкулін вводять у ділянці середньої третини шиї. Облік та оцінку алергічної реакції великої рогатої худоби, буйволів, зебу, верблюдів здійснюють через 72 год., після введення туберкуліну.

Реакція вважається позитивною в разі наявності у великої рогатої худоби, буйволів, зебу, верблюдів, оленів на місці введення туберкуліну розлитого набряку без чітких меж, тістоподібної консистенції, підвищеної чутливості на дотик та потовщення складки шкіри на 3 мм і більше.

Реакція вважається негативною в разі відсутності на місці введення туберкуліну запальних явищ.

2.3 Патологоанатомічні дослідження


Проводять при встановленні первинного діагнозу в раніше благополучних господарствах, де під час планових досліджень виявлено тварин, що реагують на туберкулін. У типових випадках Патологоанатомічні зміни при туберкульозі виявляють насамперед у легенях. Уражені ділянки легенів пронизані дрібними вузликами жовтуватого кольору, різної форми та розмірів. Старі осередки ураження ущільнені, оточені сполучнотканинною капсулою, сильно хрустять під час розрізання внаслідок сирнистого переродження і звапнення. У легенях іноді виявляють каверни, заповнені розплавленими казеозними масами. Крім легень, туберкульозні вузлики виявляються в регіонарних лімфовузлах, різних паренхіматозних органах, а також у кістковому мозку та кістках. При туберкульозі кишок у слизовій оболонці задньої третини тонкого відділу, у клубовій та сліпій кишках, у ділянці пейєрових бляшок виявляються сірувато-жовті вузлики та виразки. Регіонарні лімфовузли тверді, горбисті, містять сирнисті або гнійні фокуси, хрустять при розрізуванні. Туберкульоз серозних оболонок визначають за «перловою хворобою» — наявністю на плеврі, очеревині й перикарді значних розрощень твердих вузликів, які пронизані казеозними звапненими осередками і хрустять при розрізуванні. Лімфатичні вузли брижі збільшені, на розрізі мають сірувато-жовтий колір, містять казеозні маси. При туберкульозі птиці часто спостерігається генералізована форма хвороби. Численні туберкульозні вузлики виявляються в печінці, кістковому мозку й селезінці, рідше — в кишках, легенях і нирках.

Патологоанатомічні й гістологічні зміни при туберкульозі є настільки типовими, що знаходження їх під час розтину тварин, які позитивно реагували на туберкулін, дає підставу для встановлення позитивного діагнозу і робить необов'язковими бактеріологічні дослідження. Разом з цим типові туберкульозні ураження у хворих тварин і птиці можуть бути слабо вираженими або зовсім відсутніми, що не дає підстави виключити туберкульоз. У такому разі діагноз обов'язково потрібно підтвердити бактеріологічними дослідженнями.

2.4 Лабораторна діагностика


В лабораторію для прижиттєвої бактеріологічної діагностики надсилають молоко з кожної дійки (по 150 - 200 мл), а також мокротиння, фекалії, сечу. В разі підозри на туберкульозне ураження кишок в лабораторію надсилають відібрані з прямої кишки проби фекалій, що містять слиз і прожилки крові. Від свіжих трупів або від забитих з діагностичною метою тварин, які позитивно реагували на туберкулін, надсилають парні лімфатичні вузли (заглоткові, підщелепові, бронхіальні, середостінні, клубової кишки), а також частини органів з патологічними змінами. Тушки (трупи) птиці й дрібних тварин доставляють цілими в свіжому вигляді.

Для серологічного дослідження в лабораторію направляють по 2 - 3 мл сироваток крові від підозрюваних щодо захворювання на туберкульоз великої рогатої худоби та свиней. Відібраний для дослідження матеріал доставляють у свіжому вигляді або консервованому в 30 %-му стерильному водному розчині гліцерину, а для гістологічного дослідження — в 10 %-му водному розчині нейтрального 40 %-го формаліну.

У лабораторії патологічний матеріал відмивають від консерванту фізіологічним розчином, з уражених органів і окремо лімфовузлів вирізають шматочки розміром 0,5 - 1 см3 (не менш ніж по 12 г), які очищають від супутньої мікрофлори за методом Гона або Алікаєвої і концентрують флотацією. Перед флотацією патологічний матеріал відповідним чином підготовляють. Фекалії розтирають з дистильованою водою, фільтрують крізь марлевий фільтр, для досліджень використовують фільтрат; сечу центрифугують упродовж 30 хв. при З тис. об/хв, для досліджень використовують осад. Мокротиння, слиз, гній розбавляють 3 - 6-кратним об'ємом 0,5 - 2 %-го розчину їдкого натру. Підготовлені у такий спосіб проби патологічного матеріалу з метою концентрації мікобактерій піддають флотації. З флотаційного кільця готують мазки для мікроскопічного дослідження. Після добавляння до флотаційного кільця такого самого об'єму 3-6 %-го розчину сульфатної (сірчаної) кислоти і 10-хвилинного відстоювання з нього роблять посіви на елективні середовища Петраньяні, Левенштейна - Йєнсена, Гельберга для виділення мікобактерій. Ріст мікобактерій виявляють через 10 - 30 діб, нерідко пізніше (до 3 міс).

Для індикації збудника туберкульозу в патологічному матеріалі, визначення його виду та встановлення вірулентності проводять біологічні дослідження. Біопробу ставлять на 3 - 5 морських свинках масою по 300 - 350 г, 3 - 5 кролях масою не менш ніж по 2 кг, 3 - 5 курках віком не менш як 5 міс. Патологічний матеріал після спеціальної обробки вводять кролям по 1 -2 мл у крайову вену вуха, морським свинкам - підшкірно в ділянці паху, курям - у підкрильцеву вену. За зараженими тваринами ведуть спостереження впродовж 3 міс. Через 30 діб після зараження проводять туберкулінову пробу. В разі встановлення позитивної алергічної реакції піддослідну тварину забивають, патологічний матеріал досліджують бактеріологічним методом.

2.5 Диференціальна діагностика


Передбачає необхідність виключення у великої рогатої худоби паратуберкульозу — за даними розтину, бактеріологічних і алергічних досліджень; лейкозу — за відсутністю туберкульозних вузликових уражень у легенях і паренхіматозних органах, а також за результатами алергічних і серологічних досліджень. Сап у коней виключають за результатами алергічної реакції та реакції зв'язування комплементу; інфекційну анемію — за даними гематологічного дослідження і розтину.

Діагноз на туберкульоз вважається встановленим, якщо під час забою хоча б в однієї тварини були виявлені патологоанатомічні зміни, властиві туберкульозу, або якщо при бактеріологічному дослідженні матеріалу, взятого після забою реагуючих на туберкулін тварин, виділено збудника туберкульозу.

Тварин у господарстві вважають благополучними щодо захворювання на туберкульоз, якщо в усіх тварин, досліджуваних алергічним, патологоморфологічним та бактеріологічним методами, було одержано негативні результати; якщо результати патоморфологічних досліджень на туберкульоз негативні, а за допомогою бактеріологічних досліджень виділено культури непатогенних мікобактерій.

У разі виявлення патологоанатомічних змін, властивих туберкульозу, під час планового забою тварин з благополучного господарства на м'ясопереробному підприємстві про це терміново повідомляють головного лікаря ветеринарної медицини району та господарства для вжиття заходів згідно з чинною інструкцією.

Розділ ІІІ

Особливості протіканні туберкульозу у людини


3.1 Туберкульоз, його особливості, етіологія та патогенез


Туберкульоз — хронічне інфекційне захворювання, котре уражає всі органи людини, але найчастіше — легені.

Туберкульоз залишається досить поширеним захворюванням. В усьому світі кожен рік захворюють на туберкульоз 2—3 млн., а помирають 3—5 млн. чоловік; загальна кількість хворих досягає 15—20 млн., причому половина з них у віці понад 45 років. 75% хворих та померлих від туберкульозу припадає на країни Азії, Африки, Південної Америки, де туберкульоз віднесений до епідемічних захворювань без тенденції до зменшення. Боротьбу з туберкульозом здійснює Всесвітня Організація Охорони Здоров'я в межах міжнародного співробітництва.

Туберкульоз має ряд особливостей, які відрізняють його від інших інфекцій. Вони представлені: 1) убіквітарністю інфекції в епідемічному, клінічному та морфологічному відношенні; 2) дволикістю туберкульозу, який в залежності, від співвідношення імунітету та алергії може бути проявом інфікування або хвороби; 3) поліморфізмом клініко-морфологічних проявів; 4) хронічним хвилеподібним перебігом — чергуванням загострень та ремісії хвороби.

Етіологія та патогенез. Збудником туберкульозу є мікобактерія туберкульозу, відкрита Р. Кохом у 1882 році. Розрізняють чотири типи мікобактерій туберкульозу: людський, бичачий, пташиний та холоднокровних. Для людини патогенні два перших типи. Для мікобактерій туберкульозу характерні: оптимальний ріст в умовах значного насичення тканини киснем і разом з тим можливість росту у безкисневому середовищі (факультативний анаероб); виражена мінливість збудника — гілчасті, коковидні, L-форми, які під впливом хіміопрепаратів можуть втрачати клітинну оболонку та довгий час персистувати в організмі.

Проникнення мікобактерій в організм та взаємодія з ним, його тканинами, органами становлять патогенез туберкульозу. Виникнення, перебіг і наслідок хвороби у значній мірі залежать від імунологічного стану і реактивності організму. Реактивність визначає значну різноманітність клініко-морфологічних проявів туберкульозу.

3.2 Основні види клініко – морфологічних проявів туберкульозу у людини


Розрізняють три основних види клініко-морфологічних проявів туберкульозу: первинний, гематогенний та вторинний туберкульоз.

3.2.1 Первинний туберкульоз

Первинний туберкульоз характеризується: 1) розвитком захворювання в період інфікування, тобто при першій зустрічі організму з інфектом; 2) сенсибілізацією та алергією, реакціями гіперчутливості негайного типу; 3) перевагою ексудативно-некротичних змін; 4) нахилом до гематогенної, та лімфогенної (лімфозалозистої) генералізації; 5) параспецифічними реакціями у вигляді васкулитів, артритів, серозитів і т. д. Як правило, спостерігається аерогенний шлях зараження, можливий також аліментарний шлях. Хворіють переважно діти, але зараз завдяки успішній профілактиці туберкульозу у дитячому віці первинний туберкульоз розвивається у підлітків та дорослих.

Патологічна анатомія. Морфологічним проявом первинного туберкульозу є первинний туберкульозний комплекс (схема 1.).

Він складається з трьох компонентів: осередку ураження в органі (первинний осередок, або афект), туберкульозного запалення відвідних лімфатичних судин (лімфангіт) та туберкульозного запалення регіонарних лімфатичних вузлів (лімфаденіт). При аерогенному зараженні в легенях первинний туберкульозний осередок (афект) виникає субплеврально в найбільш насичених киснем сегментах, найчастіше правої легені — III, VIII, IX, X (особливо часто в III). Він являє собою фокус ексудативного запалення, причому ексудат швидко підлягає некрозу. Виникає осередок казеозної пневмонії, оточеної зоною перифокального запалення.

Схема 1. Варіанти перебігу первинного туберкульозу

Розміри афекту різні: від ледве помітного мікроскопічне альвеоліта до запалення ацинуса чи часточки, а можливо сегмента чи частки. В казеозних масах первинного афекту довгий час зберігаються еластичні та аргірофільні волокна каркасу легень. Запальний процес захоплює плевру з подальшим розвитком фібринозного або серозно-фібринозного плевриту.

Дуже швидко специфічний запальний процес поширюється на прилеглі до первинного афекту лімфатичні судини — розвивається туберкульозний лімфангіт. Він представлений лімфостазом та формуванням за ходом лімфатичних судин у периваскулярній набряклій тканині туберкульозних вузликів. Формується доріжка від первинного осередку до прикореневих лімфатичних вузлів.

Далі запальний процес досить швидко переходить на регіональні бронхопульмональні, бронхіальні та біфуркаційні лімфатичні вузли, в яких розвивається специфічний запальний процес з швидко виникаючим казеозним некрозом. Це тотальний туберкульозний лімфаденіт. Лімфатичні вузли збільшуються в декілька разів і на розтині представлені казеозними масами. Зміни в регіональних лімфатичних вузлах завжди більш значні в порівнянні з первинним афектом.

В клітковині середостіння, прилеглій до казеозно-змінених лімфатичних вузлів, розвивається виражене в тому чи іншому ступені перифокальне запалення, в найбільш важких випадках зустрічаються навіть осередки сирнистого некрозу.

При аліментарному зараженні первинний туберкульозний комплекс розвивається в кишечнику і складається також із трьох компонентів. У лімфоїдній тканині нижнього відділу порожньої або сліпої кишки формуються туберкульозні вузлики з некрозом та наступним утворенням у слизовій оболонці виразки, які і розглядається як первинний афект. Далі виникає туберкульозний лімфангіт з утворенням вузликів вздовж лімфатичних судин та казеозний лімфаденіт регіонарних у відношенні до первинного афекту лімфатичних вузлів. Аналогічно утворюється первинний туберкульозний комплекс у мигдалику (первинний афект у мигдалику, лімфангіт та казеозний некроз лімфатичних вузлів шиї), шкіри (виразка шкіри, лімфангіт, регіонарний казеозний лімфаденіт).

Можливі три варіанти перебігу первинного туберкульозу: 1) згасання первинного туберкульозу і загоєння осередків первинного комплексу; 2) прогресування первинного туберкульозу з генералізацією процесу; 3) хронічний перебіг (схема 1).

Згасання первинного туберкульозу та загоєння осередків первинного комплексу починається у первинному легеневому осередку. По-перше, розсмоктується перифокальне запалення, ексудативна тканинна реакція замінюється продуктивною: навколо осередка казеозної пневмонії формується вал із епітеліоїдних та лімфоїдних клітин, наче відгороджуючи осередок від оточуючої легеневої тканини. Назовні від цього валу з'являються фіброзуючі туберкульозні гранульоми. Навколо первинного афекту формується капсула, поверхневі шари якої складаються з пухкої сполучної тканини з дрібними судинами, оточеними клітинами лімфоїдного типу. Внутрішній шар капсули, прилеглий безпосередньо до казеозних мас, поступово збагачується волокнистими структурами і зливається з поверхневим. З боку поверхневого шару капсули первинного афекту вростають судини, які можуть досягати внутрішніх шарів капсули і безпосередньо контактувати з казеозними масами. Останні поступово збезводнюються, стають щільними, обвапнюються (петрифікація). З часом у внутрішньому шарі, який торкається звапнених казеозних мас, з'являються багатоядерні клітини, які розсмоктують ці маси. На їх місці шляхом метаплазії утворюються кісткові балки з клітинами кісткового мозку в міжбалкових просторах. Так, петрифікований первинний осередок перетворюється на осифікований. Такий загоєний первинний осередок має назву осередка Гона, названий за ім'ям чеського патолога, який його описав.

На місці туберкульозного лімфангіту в результаті фіброзування туберкульозних гранульом утворюється фіброзний тяж.

Загоєння у лімфатичних вузлах перебігає так, як і в легеневому осередку. Але у зв'язку із значними розмірами ураження в лімфатичних вузлах воно набуває більш повільного характеру, ніж в легеневому осередку. Осередок казеозу в лімфатичному вузлі збезводнюється, обвапнюється та костеніє.

Кальцифіковані осередки в легенях знаходяться у багатьох практично здорових осіб. У віці до 10 років їх знаходять у 6% розтинів; від 10 до 15 років — в 25%; від 20 до 30 років — у 45%; а після 40 років — майже в кожної людини. Таким чином, проникнення мікобактерій туберкульозу до організму людини призводить не тільки до захворювання, а й до інфікування, яке має сприятливий вплив на становлення імунітету та попереджає нове зараження. Доведено, що протитуберкульозний імунітет є інфекційним, нестерильним, тобто він здійснюється в організмі при наявності слабковірулентних мікобактерій, їх вдається виділити навіть із кальцифікованих осередків первинного туберкульозного комплексу. Практично вже давно проводиться вакцинація немовлят та дітей молодшого віку вакциною БЦЖ, виготовленою із ослаблених туберкульозних мікобактерій. Обов'язкове щеплення проти туберкульозу призвело в останні роки до різкого зниження інфікованості в дитячому віці, що відсунуло строк зараження осіб більш старших за віком, захисні сили яких виражені у більшій мірі. Але слід мати на увазі, що у казеозних кальцифікованих та навіть частково осифікованих масах накопичуються маловірулентні мікобактерії або їх b-форми, які можуть проявляти свою життєдіяльність при зниженні захисних сил організму.

В кишечнику на місці первинної виразки при загоєнні утворюється рубчик, а в лімфатичних вузлах — петрифікати. Осифікація їх має дуже повільний перебіг.

Прогресування первинного туберкульозу з генералізацією процесу проявляється у вигляді чотирьох форм: гематогенної, лімфогенної (лімфозалозистої), ріст первинного афекту та змішаної.

Гематогенна форма прогресування (генералізація) набуває розвитку в зв'язку з раннім попаданням мікобактерій у кров (дисемінація) із первинного афекту або з казеозно-змінених лімфовузлів. Мікобактерії осідають в різних органах та викликають утворення в них вузликів розміром від міліарних (просоподібних) — міліарний туберкульоз — до великих осередків розміром з горошину і більше. В зв'язку з цим розрізняють міліарну та великоосередкову форми гематогенної генералізації. Особливо небезпечне обсипання м'яких мозкових оболонок міліарними туберкульозними вузликами з розвитком туберкульозного лептоменінгіту. Інколи при гематогенній генералізації з'являються поодинокі різних розмірів відсіви в різних органах, у тому числі в верхівці легень (осередки Симина), Які через багато років після згасання первинної інфекції дають початок туберкульозного ураження в місці локалізації цього осередку відсіву.

При первинному кишковому туберкульозі лімфогенна (лімфозалозиста) генералізація веде до збільшення всіх груп мезентеріальних лімфовузлів. Розвивається туберкульозний мезаденіт, домінуючий у клінічній картині захворювання.

Ріст первинного афекту — найтяжча форма прогресування первинного туберкульозу. При ній настає казеозний некроз зони перифокального запалення, навколо первинного афекта утворюються свіжі ділянки ексудативного запалення, які підлягають некрозу та зливаються між собою. Первинний осередок із ацинозного перевтілюється на лобулярний, потім на зливний лобулярний, сегментарний, лобарний — виникає лобарно-казеозна пневмонія. Це найважча форма первинного туберкульозу, яка швидко закінчується смертю хворого («швидкоплинна сухота»). В інших випадках первинний осередок лобулярної чи сегментарної казеозної пневмонії розплавляється і на його місці утворюється первинна легенева каверна. Процес набуває хронічного перебігу, розвивається первинна легенева сухота, яка східна з вторинним фіброзно-казеозним туберкульозом, але різниться з ним наявністю казеозного бронхоаденіту.

Первинний кишковий афект зростає за рахунок збільшення туберкульозної виразки, як правило, в області сліпої кишки. З'являються обмежений туберкульозний перитоніт, спайки, пакети казеозно-змінених ілеоцекальних лімфовузлів. Утворюється щільний конгломерат тканин, який клінічно інколи сприймається як пухлина (пухлиноподібний первинний кишковий туберкульоз) з хронічним перебігом.

Змішана форма прогресування при первинному туберкульозі спостерігається при знесиленні організму після перенесених гострих інфекцій, наприклад, після кору, при авітамінозах, голодуванні і та ін. У таких випадках виявляється великий первинний афект, казеозний бронхоаденіт, нерідко ускладнений розплавленням некротичних мас і утворенням фістул (свищів). У легенях та всіх органах спостерігаються багаточисленні туберкульозні висипання.

Загострення туберкульозу з боку загоєних петрифікованих лімфатичних вузлів виявляється при довгочасному застосуванні стероїдних гормонів та імунодепресантів, які знижують опірність організму. Розвивається масивний туберкульозний бронхоаденіт з лімфогенною та гематогенною генералізацією, дуже слабко вираженими загальними ознаками та незначною клітинною реакцією. Цей так званий лікарський (стероїдний) туберкульоз розглядається як прояв ендогенної інфекції.

Наслідки прогресуючого первинного туберкульозу різні.

У несприятливих випадках смерть хворого настає від загального генералізованого процесу та туберкульозного менінгіту. При сприятливому перебігу захворювання та застосуванні ефективних лікарських препаратів прогресування первинного туберкульозу може бути припинено, вдається перевести ексудативну реакцію у продуктивну, стимулювати інкапсуляцію, кальцифікацію осередків первинного комплексу та рубцювання його відсівів.

Хронічний перебіг первинного туберкульозу з'являється перш за все у випадках повільного прогресування специфічного запального процесу в лімфозалозистому компоненті первинного комплексу із чергуванням спалахів та ремісій при загоєному первинному афекті. При цьому настає сенсибілізація організму— збільшення чутливості до чужерідних неспецифічних впливів. Підвищена реактивність організму клінічно виявляється шкірними туберкуліновими пробами і появою в тканинах та органах параспецифічнихзмін (А. І. Струков, 1948), під якими розуміють різні мезенхімальні клітинні реакції у вигляді дифузної та вузликової проліферації лімфоцитів та макрофагів, гіперпластичних процесів у кровотворній тканині, фібриноїдних змін сполучної тканини і стінок артеріол у органах, диспротеїноз, інколи навіть розвиток амілоїдозу.

Параспецифічні реакції, що перебігають за типом гіперчутливості негайного або сповільненого типу, в суглобах надають хронічному первинному туберкульозу схожості з ревматизмом і описані під назвою ревматизму Понсе.

Про хронічний перебіг первинного туберкульозу говорять і у випадках утворення первинно-легеневої каверни й розвитку первинної легеневої сухоти (схема 1).

3.2.2 Гематогенний туберкульоз

Гематогенний туберкульоз об'єднує ряд проявів захворювання, яке виникає й розвивається в організмі людини через значний строк після перенесеної первинної інфекції — післяпервинний туберкульоз. У цих випадках мова йде про людей клінічно здорових, але у яких збереглася підвищена чутливість до туберкуліну і які мають значний імунітет щодо туберкульозної мікобактерії. Гематогенний туберкульоз виникає в хворих із змінами у вигляді осередків відсівів у різні органи або не зовсім загоєних фокусів у лімфовузлах після первинної інфекції. Ці осередки довгий час можуть залишатися латентними, їх загострення виникає під впливом будь-яких несприятливих факторів при наявності підвищеної реактивності (підвищена чутливість до туберкуліну на фоні виробленого імунітету до мікобактерій). Так, при гематогенному туберкульозі переважає продуктивна тканинна реакція (гранульома), виражений нахил до гематогенної генералізації, що призводить до ураження різних органів та тканин.

Виділяють три різновиди гематогенного туберкульозу (схема 2): 1) генералізований гематогенний туберкульоз; 2) гематогенний туберкульоз з переважним ураженням легень; 3) гематогенний туберкульоз з переважними нелегеневими ураженнями.

Генералізований гематогенний туберкульоз, який зустрічається в наш час дуже рідко, є найбільш тяжкою формою захворювання, з рівномірним висипанням у багатьох органах туберкульозних вузликів та осередків. У деяких випадках у всіх органах формуються некротичні осередки без проліферативної або із слабкою ексудативною реакцією (так званий некротичний вид генералізованого туберкульозу).

Схема 2. Основні різновиди гематогенного туберкульозу

Це найгостріший туберкульозний сепсис. У інших випадках з'являються дрібні (міліарні) продуктивні вузлики. Цю форму позначають як гострий загальний міліарний туберкульоз. Вона часто закінчується менінгітом. Іноді зустрічається гострий загальний великоосередковий туберкульоз, який найчастіше спостерігається у знесилених хворих і характеризується розвитком у різних органах великих (діаметром до 1 см) туберкульозних осередків.

У кожному випадку генералізованого гематогенного туберкульозу необхідно знайти осередок — джерело обсіменіння, звичайно їм може бути незагоєний осередок первинної інфекції у лімфовузлі, статевих органах, кістках та інших органах.

Гематогенний туберкульоз з переважним ураженням легень характеризується багаточисленним обсіменінням в них, у той час як у інших органах вони відсутні або поодинокі. При наявності в легенях багатьох дрібних (міліарних) вузликів говорять про міліарний туберкульоз легень, який за перебігом може бути як гострим, так і хронічним.

При гострому міліарному туберкульозі, який зустрічається рідко, легені роздуті, пухнасті, в них як піщинки прощупуються дрібні вузлики, густіше розсіяні у верхніх сегментах. Нерідко ця форма туберкульозу закінчується менінгітом. При хронічному міліарному туберкульозі можливе рубцювання вузликів та розвиток стійкої емфіземи легень, у зв'язку з чим посилюється навантаження на серце та відбувається гіпертрофія правого шлуночка (легеневе серце). Крім того, виділяють хронічний велико-осередковий, або гематогенно-дисемінований, туберкульоз легень, який зустрічається в дорослих. Для нього характерні переважно кортикоплевральна локалізація осередків у обох легенях та продуктивна тканинна реакція, розвиток сітчастого пневмосклерозу, емфіземи, легеневого серця та наявність нелегеневого туберкульозного осередку.

Гематогенний туберкульоз переважно з позалегеневими ураженнями виникає з осередків-відсівів, занесених у той чи інший орган гематогенним шляхом, у періоді первинної інфекції. Уражаються переважно кістки скелету (кістково-суглобовий туберкульоз) та сечостатева система (туберкульоз нирок, статевих органів), шкіра та інші органи. Розрізняють осередкову та деструктивну форми, які мають гострий або хронічний перебіг (схема 2), тобто форми туберкульозу стають фазами його розвитку.

Туберкульоз кісток та суглобів зустрічається частіше у дітей, рідше — у дорослих. Розвивається з осередків відсіву в кістковому мозку (туберкульозний остеомієліт). Найбільш частою локалізацією є тіла хребців, епіфізи кісток, що утворюють тазостегновий (туберкульозний коксит) та колінний (туберкульозний гоніт) суглоби. Діафізи уражаються рідко. Синовіальні оболонки втягуються в процес вторинно при переході його з епіфіза кістки на тканини суглоба. Найбільш небезпечним при туберкульозі кісток та суглобів є утворення секвестрів, тобто ділянок омертвілої кістки, її руйнування, утворення горба та деформація суглобів. З кістки специфічний процес поширюється на прилеглі до суглобів м'які тканини, що супроводжується появою натічних абсцесів та свищів.

Туберкульоз нирок буває звичайно однобічним, частіше розвивається у молодих людей в період статевого созрівання, а також у людей похилого віку. Ранні осередки виникають у корковому шарі, при прогресуванні процесу вони з'являються у сосочках пірамід, тут починається деструктивний процес з утворенням порожнин. Поза кавернами інтерстицій ниркової тканини інфільтрований лімфоцитами, гістіоцитами з домішкою епітеліоїдних клітин. Закриття просвіту сечоводу ка-зеозними масами спричиняє розвиток піонефрозу. Поступово специфічний запальний процес переходить на сечовивідні шляхи, сечовий міхур, передміхурову залозу, додаток яєчка. У жінок уражаються слизова оболонка матки, труби, рідко — яєчники.

При гематогенному туберкульозі уражаються також ендокринні залози, ЦНС, печінка, серозні оболонки (у цих випадках туберкульоз може виникати внаслідок переходу специфічного процесу з уражених лімфатичних вузлів).

3.2.3 Вторинний туберкульоз


Вторинний, реінфекційний, туберкульоз розвивається в організмі дорослої людини після первинної інфекції, яка забезпечила йому відносний імунітет, але не відгородила від можливості повторного захворювання (післяпервинний туберкульоз ). Для нього характерні: 1) переважно легенева локалізація процесу; 2) контактне та інтраканалікулярне (бронхіальне дерево, шлунково-кишковий тракт) розповсюдження; 3) зміна клініко-морфологічних форм, що є фазами туберкульозного процесу в легенях.

Щодо походження вторинного туберкульозу існують дві теорії: екзогенного походження, тобто нового зараження, та ендогенного походження. Той факт, що анатомічні знахідки дають можливість прослідкувати довгий ланцюжок випадків, починаючи від осередків первинної інфекції до утворення свіжих осередків реінфектів, надають можливість більшості дослідникам приєднатися до теорії їх ендогенного походження.

Патологічна анатомія. Розрізняють вісім форм вторинного туберкульозу, кожна з них є подальшим розвитком попередньої форми (схема 3). У зв'язку з цим форми вторинного туберкульозу є одночасно й фазами його розвитку (форми-фази). Серед форм-фаз вторинного туберкульозу розрізняють: 1) гострий осередковий; 2) фіброзно-осередковий; 3) інфільтративний; 4) туберкулому; 5) казеозну пневмонію; 6) гострий кавернозний; 7) фіброзно-кавернозний; 8) циротичний.

Гострий осередковий туберкульоз зустрічається у людей віком 20-26 років і старше. Морфологічно він характеризується наявністю у І та II сегментах правої (рідше лівої) легені одного або двох осередків. Вони одержали назву осередків реінфекта Абрикосова.

Схема 3. Форми-фази вторинного туберкульозу легень

А.І.Абрикосов у 1904 році вперше показав, що ці початкові прояви вторинного туберкульозу складаються із специфічного ендобронхіту, мезобронхіту, панбронхіту внутрішньо-часточкового бронха. Специфічний процес по бронхіолах переходить на легеневу паренхіму, внаслідок чого розвивається ацинозна або лобулярна сирниста бронхопневмонія, навколо якої швидко формується вал із епітеліоїдних клітин з домішкою лімфоїдних та гігантських клітин Пирогова—Лангханса. В лімфатичних вузлах кореня легень розвивається реактивний неспецифічний процес. При своєчасному лікуванні хворого, а в великій кількості випадків спонтанно, процес затухає, ексудативна тканинна реакція замінюється продуктивною, осередки казеозного некрозу інкапсулюються та петрифікуються, з'являються ашофпулевські осередки реінфекта і процес на цьому може скінчитися.

Фіброзно-осередковий туберкульоз — це фаза перебігу гострого осередкового туберкульозу, коли після періоду затухання хвороби (загоєння осередків Абрикосова) процес знову спалахує. При загоєнні осередків Абрикосова з'являються достатньо великі інкапсульовані і частково петрифіковані осередки, описані німецькими вченими Ашофом та Пулем (ашофпулевські осередки), їм надається значення при загоєнні процесу, яке характеризується виникненням ацинозних, лобулярних осередків казеозної пневмонії, що знову інкапсулюються, частково петрифікуються та перетворюються на ашофпулевські. Однак нахил до загострення зберігається. Процес залишається однобічним, не виходить за межі І та II сегментів. Слід пам'ятати, що в І та II сегментах серед обсумкованих та кальцифікованих осередків туберкульозу є, крім ашофпулевських, ще такі, які утворилися з гематогенних відсівів у період первинної інфекції. Вони описані Симоном і носять його ім'я. Симоновські осередки менші за ашофпулевські й у верхівках легень розташовуються симетрично.

Інфільтративний туберкульоз розвивається при прогресуванні гострого осередкового або загостренні фіброзно-осередкового туберкульозу, причому ексудативні зміни навколо казеозних осередків виходять за межі часточки чи сегменту. Перифокальнє запалення переважає над казеозними змінами, які можуть бути незначними. Такий осередок називають осередком-інфільтратом Асмяна—Редекера (ім'ям вчених, що вперше описали рентгенологічну картину). Неспецифічне перифокальне запалення може розсмоктуватися, і тоді в період загоєння залишаються тільки один або два, що не розсмокталися, невеликих казеозних фокуси, які подалі інкапсулюються, і захворювання знову набуває характеру фіброзно-осередкового туберкульозу. У тихвипадках, коли перифокальне запалення охоплює всю частку, говорять про лобіт, як особливу форму інфільтративного туберкульозу.

Туберкулема — форма вторинного туберкульозу, виникаюча як своєрідна фаза еволюції інфільтративного туберкульозу, коли перифокальне запалення розсмоктується і залишається осередок сирного некрозу, оточений капсулою. Туберкулема досягає 2—5 см у діаметрі, розташована у І або II сегменті, частіше справа. Нерідко при рентгенологічному обстеженні внаслідок чітко окреслених меж її помилково приймають за периферичний рак легені.

Казеозна пневмонія, як правило, спостерігається при прогресуванні інфільтративного туберкульозу, внаслідок чого казеозні зміни починають переважати над перифокальними. Утворюються ацинозні, лобулярні, сегментарні казеозно-пневмонійні осередки, які при злитті можуть займати більш великі ділянки легень, навіть усю частку. Лобарний характер має казеозна пневмонія, яка розвивається на фоні лобіта. Казеозна пневмонія спостерігається здебільше у знесилених хворих і завжди на фоні більш старіших змін (фіброзно-осередкового, інфільтративно-пневмонійного туберкульозу, або туберкулеми). Вона нерідко виникає у термінальному періоді кожної форми туберкульозу завдяки послабленню захисних сил організму. Легеня при казеозній пневмонії збільшена, щільна, на розтині — жовтого кольору, на плеврі — фібринозні накладання. В наш час казеозна пневмонія зустрічається рідко.

Гострий кавернозний туберкульоз — форма вторинного туберкульозу, для якої характерне швидке утворення порожнини розпаду, а потім каверни на місці осередка-інфільтрата або туберкулеми. Порожнина розпаду виникає після гнійного розплавлення та розрідження казеозних мас, що виділяються з мікобактеріями разом з мокротою. Це завдає небезпеку бронхогенного обсіменіння легень, а також виділення мікобактерій в оточуюче середовище. Утворена при цьому каверна локалізується як правило в І або II сегменті (на місці осередків, з яких вона утворилася), має овальну або круглу форму, діаметром 2— 5 см, сполучається з просвітом сегментарного бронху. Стінка каверни неоднорідна: внутрішній шар складається з казеозних мас, зовнішній — із щільної внаслідок запалення легеневої тканини.

Фіброзно-кавернозний туберкульоз, або хронічна легенева сухота, виникає з гострого кавернозного туберкульозу в випадках хронічного перебігу процесу. Стінка каверни щільна, має три шари: внутрішній — піогенний (некротичний), багатий на лейкоцити, що розпадаються; середній — шар туберкульозної грануляційної тканини; зовнішній — сполучнотканинний, причому серед прошарків сполучної тканини є ділянки ателектазів легені. Внутрішня поверхня нерівна, з перетинаючими порожнину каверни балками; кожна балка — це облітерованний бронх або тромбована судина. Зміни найбільш виражені в одній, частіше правій, легені. У І та II сегментах зміни більш старі, плевра потовщені. Каверна займає один або два сегменти. Навколо неї знаходяться різноманітні осередки (в залежності від типу тканинної реакції), бронхоектази. Процес поступово поширюється в апікокаудальному напрямку, спускається з верхніх сегментів на нижні як контактним шляхом, так і за бронхами, займаючи все нові ділянки легені. Тому більш старіші зміни при фіброзно-кавернозному туберкульозі спостерігаються у верхніх відділах легень, а більш свіжі — нижніх. З перебігом часу процес переходить бронхами на протилежну легеню. Раніше всього бронхогенні метастатичні осередки в ній виникають у III сегменті, де з'являються ацинозні, лобулярні туберкульозні осередки. При їх розпаді можливе утворення каверн й подальше бронхогенне поширення процесу.

Циротичний туберкульоз розглядається як варіант розвитку фіброзно-кавернозного туберкульозу, коли в уражених легенях навколо каверн набуває розвитку сполучна тканина, на місці загоєної каверни утворюється лінійний рубець, з'являються плевральні зростання, легені деформуються, стають щільними, малорухомими, з'являються багаточисленні бронхоектази.

При вторинному легеневому туберкульозі при інтраканалікулярному або контактному шляху поширення може розвинутися специфічне ураження бронхів, трахеї, гортані, ротової порожнини, кишечника. Гематогенне розповсюдження відмічається рідко, воно можливе в термінальному періоді хвороби при зниженні захисних сил організму. В цих випадках знаходять туберкульозний менінгіт, органні позалегеневі та інші ураження.

Ускладнення туберкульозу різноманітні й згадувалися вже при описуванні деяких його форм. При первинному туберкульозі можливий розвиток туберкульозного менінгіту, плевриту, перикардиту, перитоніту. При кістковому туберкульозі можливий розвиток секвестрів, деформацій, ураження м'яких тканин, абсцеси, свищі. При вторинному туберкульозі найбільша кількість ускладнень пов'язана з каверною: кровотеча, прорив вмісту каверни у плевральну порожнину, що призводить до пневмотораксу та гнійного плевриту (емпієма плеври). У зв'язку з тривалим перебігом захворювання кожна форма туберкульозу може ускладнюватися амілоїдозом (особливо часто при фіброзно-кавернозному туберкульозі).

Причиною смерті хворих на легеневий туберкульоз у наш час є легенево-серцева недостатність, кровотеча, амілоїдоз та ускладнення післяопераційного періоду у хворих з тяжким кавернозним процесом.

Розділ ІV

Лікування та профілактика туберкульозу


4.1 Лікування, профілактика та засоби боротьби з туберкульозом у тварин


Лікування. Хворих на туберкульоз тварин не лікують, їх забивають на м'ясопереробних підприємствах.

Імунітет. При туберкульозі нестерильний. Звільнення організму від збудника призводить до втрати імунітету і можливості повторного реінфікування. Для специфічної профілактики туберкульозу сільськогосподарських тварин вакцини не запропоновано.

Вакцину БЦЖ не використовують для щеплення багатьох видів тварин у зв'язку з неможливістю впродовж тривалого часу диференціювати поствакцинальні імунологічні реакції від інфекційних.

Профілактика та заходи боротьби. Передбачають охорону тваринницьких господарств від туберкульозу, своєчасне виявлення хворих на туберкульоз тварин і негайне здавання їх для забою; ветеринарно-санітарні заходи в неблагополучних щодо туберкульозу господарствах; проведення оздоровчих протитуберкульозних заходів; охорону людей від захворювання на туберкульоз.

Охорона тваринницьких господарств від туберкульозу здійснюється шляхом суворого контролю за завезенням тварин з інших господарств, переміщенням їх у межах господарства, заготівлею та реалізацією тваринницької продукції. Ферми і приватні господарства комплектують лише здоровими, перевіреними на туберкульоз тваринами, з благополучних щодо інфекційних захворювань господарств.

У благополучних щодо туберкульозу господарствах потрібно забезпечувати нормативні умови утримання, годівлі та використання сільськогосподарських тварин, а також ізольоване вирощування молодняку. В літній період слід своєчасно виводити худобу в літні табори, не допускати її контактів на випасах і водопоях з худобою інших господарств та приватних власників. Треба регулярно проводити ремонт, дезінфекцію та дератизазацію тваринницьких приміщень, систематично вивозити й знезаражувати гній, здійснювати ветеринарно-санітарний контроль за використанням відвійок, молока та інших продуктів тваринництва для годівлі тварин. Для обслуговування тварин допускають лише осіб, які пройшли медичне обстеження і за станом здоров'я мають дозвіл працювати на тваринницьких фермах. Без дозволу ветеринарних спеціалістів не допускається завезення тварин з інших господарств для комплектування стада або з виробничою метою. До загального стада завезених тварин переводять лише після закінчення терміну карантину і одержання негативних результатів алергічних досліджень.

Заходи в разі встановлення туберкульозу у сільськогосподарських тварин. За поданням головного лікаря ветеринарної медицини району та рішенням органів місцевого самоврядування господарство, населений пункт чи окремий двір оголошують неблагополучним щодо захворювання на туберкульоз, запроваджують карантинні обмеження, затверджують і реалізують комплекс організацій-но-господарських та спеціальних ветеринарно-санітарних заходів, спрямованих на ліквідацію туберкульозу. За умовами карантинних обмежень забороняється вхід і в'їзд сторонніх осіб і транспорту в приміщення та на територію ферми; вивезення з неблагополучної ферми (двору) тварин без дозволу головного ветеринарного лікаря; продаж тварин, кормів, проведення на неблагополучних територіях ярмарків, базарів, виставок, екскурсій; використання хворих на туберкульоз тварин з метою одержання від них молока й приплоду для відтворення стада; продаж населенню для вирощування та відгодівлі тварин з неблагополучних ферм; спільне випасання, водопій та інші контакти хворих тварин з благополучним щодо туберкульозу поголів'ям; вивезення на молокопереробні підприємства, у роздрібну торгівлю, використання в господарстві для харчових цілей та на корм для тварин незнезараженого молока від корів з неблагополучних ферм; використання для годівлі звірів непровареного м'яса та інших м'ясних продуктів, одержаних після забою хворих на туберкульоз тварин; використання гною, підстилки, залишків кормів від неблагополучної щодо туберкульозу худоби без попереднього їх знезараження. Хворих на туберкульоз тварин перевозять на м'ясокомбінат для забою у спеціально обладнаному автомобільному транспорті під контролем ветеринарного спеціаліста.

Оздоровлення великої рогатої худоби від туберкульозу здійснюється різними методами залежно від рівня поширення хвороби серед тварин, тривалості неблагополучного стану тваринницької ферми та спеціалізації виробництва. В разі обмеженого поширення хвороби (ступінь ураження до 25 % поголів'я) ферма (стадо) може бути оздоровлена за допомогою систематичних алергічних досліджень, видалення зі стада хворих тварин та забою їх на м'ясопереробних підприємствах. Поголів'я великої рогатої худоби з 2-місячного віку досліджують одноразово через кожні 45 - 60 діб за допомогою внутрішньошкірної проби. Тварин, які реагують на туберкулін або мають клінічні ознаки захворювання на туберкульоз, негайно видаляють із стада, таврують літерою «Т» на шкірі щоки, ізолюють і не пізніше як через 15 діб здають на забій. У тому разі, якщо на фермі великої рогатої худоби неблагополучного господарства під час планового дослідження двічі поспіль не виявлено тварин, що реагують на туберкулін, цю ферму (бригаду) ставлять на 6-місячний профілактичний контроль. За цей час тварин двічі, з інтервалом 3 міс досліджують на туберкульоз алергічним та клінічним методами. Якщо тварини не реагували на туберкулін і не виявлялось клінічних ознак хвороби, то після проведення комплексу оздоровчих заходів ферму вважають оздоровленою від туберкульозу. У разі виявлення під час першого чи другого діагностичного контролю тварин, що реагують на туберкулін, їх усіх піддають діагностичному забою. За умови Відсутності у них туберкульозних уражень і одержання негативних результатів бактеріологічного дослідження матеріалу, відібраного від забитих тварин, ферму вважають оздоровленою від туберкульозу. Якщо виявлено патологоанатомічні зміни або виділено збудника туберкульозу з відібраного матеріалу, всю групу тварин вважають неблагополучною і продовжують оздоровлення. Телят, народжених від умовно здорових корів, вирощують ізольовано. Телят, одержаних від Корів, у яких упродовж 90 діб після отелення встановлено захворювання на туберкульоз, здають на забій упродовж 15 діб.

У разі значного поширення хвороби в неблагополучному господарстві (ступінь ураження 25 % і більше), а також тривалого (понад 3 роки) неблагополучного стану господарства і виявлення значної кількості тварин, що реагують на туберкулін, оздоровлення господарства здійснюється методом повної заміни неблагополучного поголів'я Здоровими тваринами, вирощеними в благополучних щодо туберкульозу господарствах. Методом повної заміни поголів'я здійснюється оздоровлення від туберкульозу окремих господарств, якщо раніше туберкульоз там не реєструвався, а також у господарствах з відгодівлі великої рогатої худоби. При оздоровленні методом заміни все поголів'я неблагополучно'! ферми вважають хворим, у ньому припиняють алергічні дослідження, всю худобу вивозять на м'ясокомбінат для забою. У звільнених від худоби тваринницьких приміщеннях та на території ферми проводять механічне очищення, санітарний ремонт, дератизацію та остаточну дезінфекцію. На території ферми вживають заходів, спрямованих на знищення збудника туберкульозу в навколишньому середовищі. Тварин, придбаних у благополучних щодо туберкульозу господарствах для заміни неблагополучного поголів'я, влітку утримують у спеціально побудованих для них ізольованих літніх таборах, узимку - в приміщеннях благополучних ферм.

Для дезінфекції тваринницьких приміщень, загонів, обладнання, інвентарю застосовують 5 %-й просвітлений розчин хлорного вапна, 10 %-й розчин нейтрального гіпохлориту кальцію з вмістом активного хлору не менш як 5 %; 1 %-й водний розчин глутарового альдегіду; 2 %-й розчин метафору; 5 %-й розчин технічного феноляту натрію; лужний розчин формальдегіду з вмістом формальдегіду 3 % і їдкого натру - 3%; 20%-ну суміш свіжогашеного вапна; 3%-ну емульсію феносмоліну; креолін фенольний. Для аерозольної дезінфекції використовують 40 %-й розчин формальдегіду з розрахунку 40 мл/м3 при експозиції 48 год. Для дезінфекції поверхні ґрунту застосовують лужний розчин формальдегіду з розрахунку 10 л/м , хлорне вапно з розрахунку 5 кг на 1 м площі або 10%-ну емульсію феносмоліну. Гній знезаражують біотермічним способом або спалюють. Підстилковий гній і тверду фракцію рідкого гною вологістю до 70 % знезаражують, складаючи їх у бурти (штабелі) на майданчиках з твердим водонепроникним покриттям на шар підстилки з соломи, торфу, тирси завтовшки 30 - 40 см при витримуванні влітку 2 міс, взимку - 3 міс, а гній вологістю від 70 до 88 % - компостуючи і витримуючи в бурті впродовж 6 міс. Гній вологістю не більш як 88 % компостують у співвідношенні 1 : 2 з торфом, подрібненою соломою або тирсою. При цьому вологість компостної суміші має становити не більш як 70 %. Гноївка та сеча знезаражуються формальдегідом.

Протитуберкульозні заходи залежно від спеціалізації господарства. Спеціалізовані племінні господарства та ферми з вирощування племінних телиць (нетелей) у разі виникнення туберкульозу втрачають статус племінних. У господарствах з відгодівлі великої рогатої худоби оздоровлення від туберкульозу проводять методом повної заміни всього поголів'я. У разі виявлення великої рогатої худоби, що реагує на туберкулін, у приватних господарствах або в окремих громадян проводять епізоотичне та епідеміологічне -обстеження, власникам рекомендується здати тварин на забій, у господарстві (дворі) проводяться остаточні оздоровчі заходи. У разі, коли худоба, що реагує на туберкулін, залишається в господарстві (дворі), проводяться чергові алергічні дослідження, використовуються допоміжні методи діагностики. За результатами досліджень приймається відповідне рішення.

Захист людей від туберкульозу. Ґрунтується на соціальній, санітарній та специфічній профілактиці хвороби. Працівники тваринницької ферми повинні дотримуватись правил особистої гігієни, з якими їх ознайомлюють керівники ферм (господарств), медичні працівники та спеціалісти ветеринарної медицини. Керівники сільськогосподарських підприємств мають забезпечувати працівників ферм своєчасним медичним обстеженням на туберкульоз, відповідними побутовими умовами, спеціальним одягом та взуттям, а також дезінфекційними засобами для знезараження рук, взуття, одягу. У неблагополучних щодо туберкульозу господарствах працівникам ферм віком до 30 років слід робити щеплення вакциною БЦЖ.

4.2 Лікування та профілактичні заходи при захворюванні на туберкульоз людини


Лікування хворих на туберкульоз повинно бути комплексним, патогенетично обґрунтованим, тривалим (до повного видужання). За принципом етапного спостереження—стаціонар, санаторій, диспансер.

Лікування туберкульозу у дітей включає такі заходи: 1) виведення хворої дитини із несприятливих умов навколишнього середовища, ізоляція від тих, хто виділяє мікобактерії; 2) застосування загально зміцнювальних гіпосенсибілізуючих засобів; 3) загартовування дитини в період реконвалесценції (затихання патологічного процесу).

Гігієнодієтичний режим передбачає перебування на свіжому повітрі, приймання сонячних ванн, раціональне харчування, гігієнічні навички, психічну гігієну, яка здійснюється завдяки правильній педагогічній роботі з дітьми.

Максимальне перебування хворого туберкульозом на свіжому повітрі — основний фактор загального терапевтичного впливу. Охолоджене повітря поліпшує апетит, самопочуття, настрій, веде до зменшення кашлю і кращого виділення харкотиння. В осінньо-зимовий період хворі повинні перебувати на свіжому повітрі не менш як 4—5 год.

Аерації приміщень у лікувальних закладах сприяють відкриті веранди.

Водні процедури (обтирання, обливаня тощо) стимулюють процеси обміну, тонізують нервову систему. Щоденні обливання починають при температурі води 35°С, поступово знижувати її щодня на 1-2 до 20 °С 1 нижче (залежно від індивідуальної витривалості дитини). У період загострення і в ослаблених хворих обливання замінюють обтиранням з негайним обсушуванням і розтиранням.

Повітряні і сонячні ванни показані при загальному доброму самопочутті, нормальних температурі тіла і гемограмі. Геліотерапію слід починати з 5 хв. і доводити до 45-60 хв. Найкращий час геліо-і аеротерапії - 10 год. ранку. Лікування сонцем протипоказане при деструктивних процесах з утворенням каверн, гематогенно-дисемінованих формах туберкульозу, гострому спалаху захворювання в будь-якому його клініко-рентгенологічному прояві, вираженому гарячковому стані.

Правильне харчування — одна з головних умов успішного лікування хворого на туберкульоз. Денний раціон повинен становити для школярів 13398 кДж (3200 ккал), з них 15 - 20 % білків (до 100 г), стільки ж жирів і 300 — 400 г вуглеводів, для дошкільнят - 7536 кДж (1800 ккал), для підлітків 16 747 кДж (до 4000 ккал), тобто перевищувати вікову норму на 15 - 20 %.

Рекомендуються сиропи шипшини, чорної смородини, натуральні соки, пивні дріжджі. Доцільним є 4 - 5-разове приймання їжі. Ранній сніданок повинен становити 20 %, легкий другий сніданок - 10 - 15, обід - 40, підвечірок - 10, вечеря - 20 % енергетичної цінності.

Навчання хворих на туберкульоз у лісових школах і школах-Інтернатах здійснює спеціально підготовлений медико-педагогічний персоналом.

Антибактеріальна терапія

У лікуванні хворого на туберкульоз провідну роль відіграє хіміотерапія. Протитуберкульозні препарати мають бактеріостатичну (туберкулостатичну) дію. Для повного виліковування від туберкульозу потрібна антибактеріальна терапія протягом 1 - 1,5 - 2 років.

Протитуберкульозні препарати поділяють на: 1) основні антибактеріальні препарати; 2) кращі їхні партнери (головні партнери); 3) резервні препарати; 4) слабкі препарати.

Основні препарати високоефективні і малотоксичні, проте до них організм швидко звикає. Препарати — головні партнери І резервні слабші за дією, під час лікування ними частіше виникають ускладнення, проте вони ефективні у хворих, резистентних до основних препаратів.

Принципи лікування хворих на активну форму туберкульозу. Комбіноване лікування проводять трьома-чотирма основними препаратами протягом 6 міс до триразової відсутності БК у харкотинні і закриття каверни, надалі, у період затихання процесу, переходять на терапію двома препаратами протягом 6 — 8 міс. У період переходу затихання в клінічне видужання діти одержують один препарат з групи гідразиду ізонікотинової кислоти (ізоніазид, рідше фтивазид) одноразово на ніч протягом 6— 8 міс.

Протирецидивні курси терапії провадять по 3 міс навесні і восени. При гострих інфекційних захворюваннях (грип, кір, коклюш тощо), при операції, в період приймання преднізолону додатково дають препарати групи ГІНК.

Використовують 4 основних методи хіміотерапії туберкульозу; 1) звичайний триразовий прийом препаратів; 2) одноразовий прийом добової дози; 3) переривчастий — 2-3 рази на тиждень одноразово добова доза для доліковування в амбулаторних умовах і з профілактичною метою; 4) метод внутрішньовенного (краплинного) введення бактеріостатичних засобів.

Дози туберкулостатичних препаратів для лікування дітей і підлітків наведено у табл. 1.

Нерідкими проявами алергічної реакції є дерматит, головний біль, підвищення температури тіла. При застосуванні ізоніазиду, ПАСК-натрію і етіонаміду, піразинаміду можуть спостерігатися біль у животі, нудота, втрата апетиту, метеоризм, диспепсичні явища, еозинофілія. Стрептоміцину сульфат, канаміцин, віо-міцин зумовлюють порушення слуху, алергічні реакції, мають ототоксичну і нефротоксичну дію.

Специфічна і антибактеріальна терапія поєднується з гіпо-сенсибілізуючою, вітамінотерапією. Кортикостероїди є показаними при інфільтративно-пневмонічних процесах у легенях, ексудативному плевриті, туберкульозному менінгіті, полісерозиті. Призначають преднізолон по 0,5 мг/кг маси тіла на добу (не більше 25 мг/добу) на час від 3 тижнів до 1,5—2 міс. Відмінять препарат поступово, знижуючи дозу протягом 1—2 тижнів.

Таблиця 1

Дози туберкулостатичних препаратів для дітей і підлітків

Препарат

Добова доза

Спосіб застосування !

Основні препарати

Ізоніазид(тубазид)

10 — 20 мг/кг маси тіла (не більше 0,5г)

Усередину незалежно від їди

Риміфон

5—10 мг/кг

Те саме

Рифампіцин

8 — 10 мг/кг (не більше 0,45 г)

Усередину за 30 хв до їди

Головні препарати

Стрептоміцин

1 5 — 20 мг/кг (не більше 1 г)

Внутрішньом'язово

Етамбутол

15 — 20 мг (не більше 1 г)

Усередину 1 раз на добу, після сніданку

Ріразинамід

15 — 20 мг/кг (не більше 1,5 г)

Усередину після їди

Резервні препарати

Етіонамід

10 - 20 мг/кг (не більше 0,75 г)

Всередину після їжі

Протіонамід

10 - 20 мг/кг

Усередину після їди

Циклосерин

10 - 20 мг/кг (не більше 0,75 г)

Усередину після їди

Канаміцин

15 - 20 мг/кг (не більше 0,75 г)

Внутрішньом'язово

Біоміцин (флориміцину сульфат)

15 - 20 мг/кг (не більше 0,5 г для дітей і 0,75 г для підлітків)

Внутрішньовенне краплинне 1 — 2 рази на добу протягом 6 днів, на 7-й день роблять перерву

Циклосерин

10 — 20 мг/кг (не більше 0,75 г)

Всередину після їди

Слабкі препарати

Натрієва сіль парааміносаліцилової кислоти (ПАСК)

150—200 мг/кг (не більше 8 — 10 г)

Усередину після їди, запивати молоком або мінеральною водою

Тіацетазон (тибон)

0,5 — 1 мг/кг (не більше 0,05 г)

Усередину після їди

Примітка. Зменшені добові дози застосовують при хіміопрофілактиці, вищі — при гострому і тяжкому перебігу туберкульозного процесу.

Застосовують гіпосенсибілізуючі засоби у вікових дозах, аскорбінову кислоту всередину або внутрішньовенно, унітіол усередину по 0,5 г 2 рази на день, 1 % розчин глютамінової кислоти по чайній ложці 3-4 рази на день, кокарбоксилазу по 50 - 100 мг на добу, 1 % розчин АТФ по 1 мл внутрішньом'язово протягом 20 - 30 днів, тіамін, піридоксин, нікотинову кислоту всередину.

З метою профілактики дисбактеріозу призначають ціаноко-баламін по 200 мкг 2 рази на тиждень протягом 2 міс, апілак по 0,01 г під язик 2-3 рази на добу, екстракт алое по 1 мл підшкірне протягом 15-20 днів, всередину приймають ністатин по 1 - 2 млн. ОД на добу протягом 3 тижнів або леворин по 500 000 ОД 2 - 3 рази на добу протягом 2 тижнів. У разі розвитку анафілактичного шоку проводять внутрішньовенні краплинні вливання 500 мл 5 % розчину глюкози, 0,5 - 1,0 мл 0,2 % розчину норадреналіну, 100 - 150 мг гідрокортизону, 0,3 - 0,5 мл 0,06 % розчину корглікону. Розвиток бронхоспазму потребує внутрішньовенного введення 3 - 5 мл 2,4 % розчину еуфіліну (повільно, струминне в ізотонічному розчині натрію хлориду). Застосовують по 5 — 10 мл 10 % розчину кальцію глюконату внутрішньом'язово або по 0,5 г 3 рази всередину. Проводять внутрішньовенні вливання гемодезу по 100 - 200 мл.

4.3 Профілактика туберкульозу


Профілактика туберкульозу має соціальний, санітарний і специфічний аспекти. У плані соціальної і санітарної профілактики загальнодержавні заходи спрямовані на підвищення життєвого рівня населення, забезпечення житловою площею і створення культурно-освітніх закладів, розвиток спорту, мережі санаторіїв, захист водоймищ і атмосфери від забруднення токсичними речовинами. Вживаються широкі загальнооздоровчі заходи в дитячих колективах і сім'ях, мета яких полягає у зміцненні імунної реактивності хворої дитини, поліпшення її побутових умов, ізоляції від хворих на туберкульоз.

Профілактичні заходи включають раннє виявлення інфікованих і хворих дітей, оберігання їх від контактної додаткової інфекції, організацію диспансерного спостереження за хворими, які інфіковані туберкульозом, і контактними.

Специфічна профілактика туберкульозу полягає у проведенні специфічної вакцинації БЦЖ і хіміопрофілактики. Вакцинація БЦЖ здійснюється дітям 4 — 7-денного віку в пологовому відділенні.

Протипоказаннями до вакцинації є виражені клінічні симптоми родової травми, диспепсія, шкірні захворювання, отит, грип, пневмонія, різка жовтяниця, недоношеність з масою меншою за 2500 г (недоношеним з масою тіла 2300 г і вище роблять БЦЖ-М). Вакцинація сприяє зниженню інфікованості, захворюваності дітей на туберкульоз, запобігає розвитку гострик інфільтративних і генералізованих форм. Захворюваність на туберкульоз серед вакцинованих дітей у 8—10 разів нижча, ніж серед нещеплених. В основі протитуберкульозної вакцинації лежить набутий імунітет. Імунологічна перебудова організму внаслідок вакцинації БЦЖ супроводжується появою позитивної туберкулінової проби.

Ревакцинації підлягають усі клінічно здорові неінфікованї діти у віці 7, 12 і 17 років і вакциновані діти при відсутності поствакцинального рубчика. З метою відбору дітей і підлітків для ревакцинації БЦЖ проводять пробу Манту з 2 ТО.

При негативному результаті або інфільтраті не більше 4 мм у діаметрі здійснюють ревакцинацію. Проміжок між пробою і ревакцинацією повинен становити не менше 3 діб і не більше 2 тижнів. Інші профілактичні щеплення можна проводити з інтервалом у 2 міс (до і після специфічної ревакцинації).

Протипоказаннями до ревакцинації є позитивна внутрішньошкірка проба Манту (інфільтрат 5 мм і більше), захворювання на туберкульоз, гострі і хронічні інфекційні процеси, включаючи період реконвалесценції, не менше 2 міс після зникнення клінічних симптомів, шкірні захворювання,, схильність до кровоточивості (ревматизм у гострій і підгострій фазах, бронхіальна астма та інші алергічні стани, спазмофілія, харчова ідіосинкразія, перенесений енцефаліт, менінгіт, епілепсія, гіпотрофія II—III ступеня).

Вакцину для внутрішньошкірного введення випускають в ампулах, які містять 1 мг культури БЦЖ, що становить 20 доз по 0,05 мг. Суху вакцину розводять ізотонічним розчином натрію хлориду. Одна прищепна доза міститься в 0,1 мл розведеної вакцини і становить 0,05 мг культури БЦЖ.

Місцеві реакції після щеплення, у новонароджених дітей появляються: через 4—б тижнів на місці введення вакцини:, інфільтрат має розміри 4—15 мм у діаметрі із вузликом у центрі (пустуляція) з утворенням кірочки, некрозу з незначним серозно-гнійним виділенням. Ці реакції зберігаються 2—3 міс і більше. Можуть бути виразки, холодні абсцеси в шкірі, лімфаденіт, бецежит. Місцеве застосовують присипки ізоніазиду, рифампіцину, примочки стрептоміцину, 2 % гідрокортизонову мазь.

Після ревакцинації місцеві патологічні реакції можливі протягом першого тижня після щеплення, розвивається пустула, іноді некроз з серозно-гнійним виділенням. Місцеві реакції зазнають зворотного розвитку протягом 3—4 міс, залишаючи після себе рубчик або пігментацію.

Протягом 2 міс дитина, вакцинована внаслідок туберкульозних контактів, повинна бути ізольована від хворих, що виділяють мікобактерії. Дітям, які народилися від хворих на туберкульоз матерів, треба зробити вакцинацію з наступним роз'єднанням їх на 3 — 12 міс.

Другим методом специфічної профілактики туберкульозу у дітей є хіміопрофілактика — призначення туберкулостатичних препаратів здоровим дітям, щоб запобігти захворювання на туберкульоз. Вона не потрібна дітям безпосередньо після вакцинації.

Розрізняють первинну хіміопрофілактику (проводять у не інфікованих раніше дітей з негативною туберкуліновою пробою);і вторинну (проводять у інфікованих дітей, але без клінічно-рентгенологічних проявів захворювання).

Хіміопрофілактики потребує такий контингент дітей: 1) усі контактні з хворими, які виділяють мікобактерії туберкульозу — двомісячні курси 2 рази на рік (навесні і восени); 2) діти з віражем туберкулінових проб без явищ інтоксикації—щоденне одноразове вживання препаратів протягом 3 міс; 3) діти з позитивними туберкуліновими реакціями, що перенесли кір, коклюш,— одноразовий прийом щодня протягом 2 міс; 4) діти з гіперергічними реакціями на туберкулін (діаметр інфільтрату 17 мм і більше або везикулонекротична реакція морфологічних проявів туберкульозу, що складає одну із яскравих його особливостей як хвороби та завдає труднощів в клінічній діагностиці.

Станом на 1.01.2000. р. в сільськогосподарських підприємствах району налічувалося 10320 голів, в тому числі 3680 корів.

Таблиця 1

Кількість голів ВРХ по Семенівському району на період 1990-2000 роки

Рік

Кількість голів ВРХ по Семенівському району

1990

32743

1991

31584

1992

28917

1993

25603

1994

24101

1995

21340

1996

17713

1997

15068

1998

12734

1999

11981

2000

10320


Графік 1. Зміна чисельності поголів`я ВРХ в Семенівському районі

Таблиця 2

Стан захворюваності ВРХ по Семенівському району на період 1990 – 2000 роки

Рік

Кількість голів ВРХ, що захворіли на туберкульоз/ 1000 голів

1990

18

1991

22

1992

25

1993

23

1994

29

1995

31

1996

26

1997

19

1998

8

1999

5

2000

3

Кількість хворих тварин

 

Роки

 


Графік 2. Зміна чисельності хворих тварин в період з 1990 по 2000 роки

Таблиця 3

Загальна кількість населення по Семенівському району за період 1990 – 2000 роки

Рік

Кількість населення

1990

25531

1991

25517

1992

25469

25298

1994

25069

1995

24816

1996

24541

1997

24212

1998

23810

1999

23384

2000

23215

Графік 3. Зміна чисельності населення в Семенівському районі

Таблиця 4

Стан захворюваності ВРХ по Семенівському району на період 1990 – 2000 роки

Рік

Кількість людей, що захворіли на туберкульоз

1990

3

1991

4

1992

7

1993

7

1994

9

1995

10

1996

4

1997

8

1998

6

1999

5

2000

5


Рис. 4. Зміна чисельності хворих людей в період з 1990 по 2000 роки

 


Висновки


1. Інфекційні хвороби являють собою захворювання, які викликаються інфекційними агентами — вірусами, бактеріями, грибами. Інфекційний процес дуже складний; його розвиток залежить як від особливостей збудника, так і від стану реактивності макроорганізму. Особливості мікроорганізму — збудника інфекційного захворювання — визначаються не тільки його будовою, хімічною структурою, антигенними особливостями, але й характером взаємодії з організмом хазяїна. Туберкульоз є одним з найпоширеніших захворювань у всьому світі, яке завдає значних економічних збитків тваринництву і становить загрозу для людини. Збудник туберкульозу належить до роду Mycobacterium. Видову належність збудника туберкульозу визначають на основі культурально-морфологічних властивостей та вірулентності для різних тварин і людини. Завдяки вмісту ліпідів мікобактерії дуже стійкі проти дії фізичних і хімічних факторів.

2. Діагноз на туберкульоз установлюють комплексно, використовуючи основні й допоміжні методи діагностики. Основні методи діагностики включають: прижиттєвий метод — клінічний огляд тварин, одноразову внутрішньошкірну туберкулінову пробу або офтальмопробу для коней та посмертний (післязабійний) метод — патологоанатомічне і бактеріологічне дослідження. Допоміжні методи діагностики включають: симультанну алергічну пробу, внутрішньовенну туберкулінову пробу, серологічні дослідження (постановка реакції, зв'язування комплементу), а також дворазову внутрішньошкірну і очну туберкулінові проби, гістологічний метод. Хворих на туберкульоз тварин не лікують, їх забивають на м'ясопереробних підприємствах.

3. Для специфічної профілактики туберкульозу сільськогосподарських тварин вакцини не запропоновано. Профілактика та заходи боротьби з туберкульозом передбачають охорону тваринницьких господарств від туберкульозу, своєчасне виявлення хворих на туберкульоз тварин і негайне здавання їх для забою; ветеринарно-санітарні заходи в неблагополучних щодо туберкульозу господарствах; проведення оздоровчих протитуберкульозних заходів; охорону людей від захворювання на туберкульоз.

4. У людини розрізняють три основних види клініко-морфологічних проявів туберкульозу: первинний, гематогенний та вторинний туберкульоз. Захист людей від туберкульозу ґрунтується на соціальній, санітарній та специфічній профілактиці хвороби.

5. На основі проведеного дослідження було засвоєно методики діагностування туберкульозу у ВРХ.

6. Аналіз епізотичного стану по даному захворюванню в Семенівському районі в період 1990 – 2000 років свідчить про покращення ситуації по туберкульозу в зв`язку зі зменшенням поголів`я ВРХ та проведення своєчасних профілактичних заходів.

7. Аналіз стану захворюваності на туберкульоз серед людей в Семенівському районі в період 1990 – 2000 років свідчить про стабілізацію процесу поширення захворювання.

 


Список використаної літератури


1. Давыдовский. И.В. Общая патология человека. Изд. 2-е; М.: Медицина, 1969.

2. Дитячі хнороби. / За ред. С.К. Ткаченко. — К.: Вища шк., І991. - 442 с.

3. Калитеевский П.Ф. Макроскопическая дифференциальная диагностика патологических процессов. М.: Медицина, 1987.

4. Каришева А.Ф. Спеціальна епізоотологія. - К.: Вища школа, 2002. — 703 с.

5. Ковальчук Г.В. Зоологія з основами екології. - Суми: ВТД "Університетська книга", 2003. -592 с.

6. Наумов Н.П.. Карташев Н.Н. Зоология позвоночных: В 2 ч. — М.: Высш. школа, 1979 - 333 с.

7. Паталогічиа фізіологія: Підручник. / За ред. М.Н. Зайки, Ю.В. Биця. - К., 1995. - 670 с.

8. Петрик О.І., Валецька Р.О. Основи загальної патології. – Львів, 1996. 228 с.

9. Саркнсов Д.С. Очерки, истории общей патологии. М.: Медицина, 1988.

10.  Серов В.В., Ярыгин Н.Е. Пауков В.С. Патологическая анатомия // Атлас. М.: Медицина, 1986.

11.  Серов В.В., Дрозд Т.Н., Варшавский В.А. Руководство к практическим

1. занятиям по патологической анатомии. М.: Медицина. 1987.

12.  Cтруков А.І, Сєров В.В. Патологічна анатомія. - X.: Основа, 2000. - 650 с.

13.  Ветеринария. Большой энциклопедический словарь /Гл. ред. В.П.Шишков.- М.: НИ "Большая Российская энциклопедия", 1998.— С. 102—115.

14.  Забелло Є.М. Патологічна анатомія інфекційних хвороб тварин.- К.: Аграрна наука, 1997.— С. 60 - 71.

15.  Кокуричев П.И. Атлас патологической анатомии сельскохозяйственных животных.— Л.: Колос, Ленингр. отд-ние, 1973.- С. 39-53.

16.  Кокуричев П.И., Домнин Б.Г., Кокуричева М.П. Патологическая анатомия сельскохозяйственных животных: Альбом. - СПб.: Агропромиздат, 1994.— С. 33—47.

17.  Ротов В.И., Кокуричев П.И., Савченко П.Е. Туберкулез сельскохозяйственных животных.— К.: Урожай, 1973.— 384 с.

19.  Туберкулез животных и меры борьбы с ним / Ю.Я.Кассич, А.Т.Борзяк, А.Ф.Кочмарский и др.; Под ред. Ю.Я.Кассича.— К: Урожай, 1990.— 304 с.

20.  Тузова Р.В. Туберкулез сельскохозяйственных животных и птицы.— Минск: Ураджай, 1983.— 263 с.

21.  Шишков В.П., Налетов Н.А. Туберкулез // Патологическая анатомия сельскохозяйственных животных / А.В.Жаров, В.П.Шишков, М.С.Жаков и др.; Под ред. В.П.Шишкова и А.В.Жарова.— 4-е изд., перераб. и доп.— М.: Колос, 1999.— С. 372-380.

22.  Юсковец М.К. Туберкулез домашних животных и методы борьбы с ним.— М.: Сельхозгиз, 1948.— 240 с.

23.  Ветеринария. Большой энциклопедический словарь /Гл. ред. В.П.Шишков.- М.: НИ "Большая Российская энциклопедия", 1998.— С. 102—115.

Додатки


Первинний туберкульозний вузлик в легенях телят

Первинні свіжі туберкульозні вогнища в лімфатичних вузлах теляти

Міліарний туберкульоз легень великої рогатої худоби

Старе туберкульозне вогнище з дочірніми вузликами в легенях корови

Зливна туберкульозна казеозна пневмонія у ВРХ

Казеозна пневмонія і каверни у ВРХ

Ацинозний туберкульоз легень у ВРХ

Глобулярна калеозна пневмонія у ВРХ

Дифузні калеозні ураження середостінних лімфатичних вузлів у ВРХ

Калеозний некроз ретнофаренгіального вузла ВРХ (розріз)

Множинні туберкульозні некрози під капсулою мезентеріальних лімфовузлів ВРХ

Туберкульозні ураження порожньої кишки у ВРХ: а – норма, б - патологія

Велико вогнищевий туберкульоз нирки ВРХ

Вузликовий некроз матки у корови

Туберкульозні виразки в кишечнику у ВРХ

Туберкульозні ураження частки вим`я і надвис`яного лімфовузла у корови


Похожие работы на - Особливості перебігу інфекційних захворювань та туберкульозу у тварин та людини

 

Не нашли материал для своей работы?
Поможем написать уникальную работу
Без плагиата!
Без нейросетей!