Унификация и стандартизация управленческих документов
Поволжский Государственный
Университет Телекоммуникаций и Информатики
Кафедра
«ИСТ»
Курсовая работа
Оценка систем на основе
модели ситуационного управления
САМАРА 2010
Содержание
Методы оценивания систем
Методы количественного
оценивания систем
Ситуационное управление
Ситуационная модель
Семиотическая модель
Список используемой литературы
Методы оценивания систем разделяются на:
-
качественные;
-
количественные.
Качественные
методы используются на начальных этапах моделирования, если реальная система не
может быть выражена в количественных характеристиках, отсутствуют описания
закономерностей систем в виде аналитических зависимостей. В результате такого
моделирования разрабатывается концептуальная модель системы.
Качественные
методы можно отнести к категории эвристических. Т.е. они включают в себя приемы
и методы поиска решения задач и вывода доказательств, основанные на учете опыта
решения сходных задач в прошлом, накоплении опыта, учете ошибок и интуиции.
В
качественных методах основное внимание уделяется организации постановки задачи,
новому этапу ее формализации, формированию вариантов, выбору подхода к оценке
вариантов, использованию опыта человека, его предпочтений, которые не всегда
могут быть выражены в количественных оценках.
Эвристические
программы обычно не предназначены для получения точных численных решений, их
главная задача – определение стратегии поиска приблизительных решений.
Количественные
методы используются на последующих этапах моделирования для количественного
анализа вариантов системы.
Количественные
методы связаны с анализом вариантов, с их количественными характеристиками
корректности, точности и т. п. Для постановки задачи эти методы не имеют
средств, почти полностью оставляя осуществление этого этапа за человеком.
Первоначально задача количественного оценивания систем формулировалась в
терминах критерия превосходства в форме:
К прев i → max yi, i=1, …,n.
Однако, поскольку большинство частных показателей качества связаны между
собой так, что повышение качества системы по одному показателю ведет к
понижению качества по другому, такая постановка была признана некорректной для
большинства практически важных приложений.
Действительно, пусть система передачи информации оценивается по двум
показателям:
·
пропускной способности у1;
·
достоверности передачи данных у2.
Известно, что повышение достоверности передачи данных связано с
использованием служебной информации (алгоритмы восстановления после сбоев,
помехоустойчивое кодирование и т.д.), которая приводит к снижению пропускной
способности системы передачи. Поэтому некорректно формулировать задачу
одновременного повышения качества по обоим показателям.
Таким образом, наличие неоднородных связей между отдельными показателями
сложных систем приводит к проблеме корректности критерия превосходства и к
необходимости идти на компромисс и выбирать для каждой характеристики не
оптимальное значение, а меньшее, но такое, при котором и другие показатели тоже
будут иметь приемлемые значения.
Для решения проблемы корректности критерия превосходства были разработаны
методы количественной оценки систем:
·
методы теории полезности;
·
методы векторной оптимизации;
·
методы ситуационного управления, инженерии знаний.
Методы теории полезности основаны на аксиоматическом использовании
отношения предпочтения множества векторных оценок систем.
Методы векторной оптимизации базируются на эвристическом использовании
понятия векторного критерия качества систем (многокритериальные задачи) и
включают методы главного критерия, лексикографической оптимизации, последовательных
уступок, скаляризации, человеко-машинные и другие методы.
Методы ситуационного управления, инженерии знаний основаны на построении
семиотических моделей оценки систем. В таких моделях система предпочтений лица,
принимающего решение (ЛПР), формализуется в виде набора логических правил, по
которым может быть осуществлен выбор альтернатив. При этом понятие векторного
критерия в явном виде не используется.
Рассмотрение указанных подходов в системном анализе основано на трех
важных особенностях:
·
считается, что не существует системы, наилучшей в
независящем от ЛПР смысле. Всегда система может быть наилучшей лишь для данного
ЛПР. Другое ЛПР в данных условиях может предпочесть альтернативную систему.
·
считается, что не существует оптимальной системы для всех
целей и воздействий внешней среды. Система может быть эффективной только для
конкретной цели и в конкретных условиях. В других условиях и для других целей
система может быть неэффективной. Например, конверсия танков в интересах
сельского хозяйства показала, что эта техника по сравнению с тракторами
неэффективна по показателям ресурсоемкости.
·
методы исследования операций (линейное, нелинейное,
динамическое программирование и др.) не удовлетворяют требованиям,
предъявляемым к задачам оценивания сложных организационных систем, поскольку
вид целевой функции или неизвестен, или не задан аналитически, или для нее
отсутствуют средства решения.
В своей работе я буду подробно рассматривать метод ситуационного
управления.
Ситуационное
управление - метод управления сложными техническими и организационными
системами, основанный на идеях теории искусственного интеллекта: представление
знаний об объекте управления и способах управления им на уровне
логико-лингвистических моделей, использование обучения в качестве основных
процедур при построении процедур управления по текущим ситуациям, использование
дедуктивных систем для построения многошаговых решений.
Определим
принципы ситуационного управления. Для этого введем понятие полной ситуации как
совокупности, состоящей из состояния, знаний о состоянии системы управления в
данный момент и знаний о технологии управления. Элементарный акт управления
можно представить в следующем виде:
Si:
Qj ▬Uk ▬ → Qi
Где:
Si -
полная ситуация.
Qj -
текущая ситуация.
Uk
- способы воздействия на объект управления.
Смысл этого
соотношения заключается в следующем. Если на объекте управления сложилась
ситуация Qj, и состояние системы управления и технологическая схема
управления, определяемые Si, допускают использование воздействия
Uk, то оно применяется, и текущая ситуация Qj
превращается в новую ситуацию Qi. Подобные правила преобразования
называются логико-трансформационными правилами или корреляционными правилами,
полный список которых задает возможности системы управления воздействовать на
процессы, протекающие в объекте.
Очевидно, что
в силу конечности числа различных воздействий все множество возможных полных
ситуаций распадается на n классов, каждому из которых будет соответствовать одно
из возможных воздействий на объект управления. Другими словами, должны
существовать такие процедуры, которые позволили бы классифицировать полные ситуации
так, чтобы из них можно было образовать столько классов, сколько различных
одношаговых решений есть в распоряжении системы управления. Эти процедуры можно
назвать процедурами классификации. Если для некоторых полных ситуаций
невозможно указать единственное одношаговое решение, то можно включить эту
ситуацию в несколько классов. Но из – за такого пересечения классов возникает
задача выбора того или иного решения, подходящих для данной полной ситуации.
Для осуществления подобного выбора нужны специальные процедуры экстраполяции
последствий принятия решения. С их помощью можно на основании знаний об объекте
управления и его функционировании заранее оценить результаты применения
выбранного воздействия и сравнить полученные прогнозы всех возможных для данной
полной ситуации воздействий. Процедура экстраполяции ситуаций является основой
ситуационного моделирования.
Описание текущей
ситуации, сложившейся на объекте управления, должно подаваться на вход
Анализатора. Его задача состоит в оценке сообщения и в определении
необходимости вмешательства системы управления в процесс, протекающий в объекте
управления. Если текущая ситуация не требует такого вмешательства, то
Анализатор не передает ее на дальнейшую обработку. В противном случае описание
текущей ситуации поступает в Классификатор.
Классификатор,
используя информацию, хранящуюся в нем, относит ситуацию к одному или
нескольким классам, которым соответствуют одношаговые решения. Эта информация
передается в Коррелятор, в котором хранятся все ЛТП. Коррелятор определяет то
ЛТП, которое, должно быть использовано. Если такое правило единственное, то оно
выдается для исполнения. Если же таких правил несколько, то выбор лучшего из
них производится после обработки предварительных решений в Экстраполяторе,
после чего Коррелятор выдает решение о воздействии на объект.
Если
коррелятор или Классификатор не могут принять решения по поступившему описанию
текущей ситуации, то срабатывает Блок случайного выбора и выбирается одно из
воздействий, оказывающих не слишком большое влияние на объект, или же система
отказывается от какого-либо воздействия на объект. Это говорит о том, что
система управления не располагает необходимой информацией о своем поведении в
данной ситуации (рисунок 1).
Рис. 1 Схема
решения задачи управления.
Теория
ситуационного управления является наиболее стройной концепцией в области
формализации систем предпочтений ЛПР (лицо принимающее решение). В подходе к
формализации систем предпочтений, состоящем в построении семиотических моделей
принятия решений, система предпочтений ЛПР формализуется в виде набора
логических правил в определенном языке, по которым может быть осуществлен выбор
альтернатив.
В основе
метода ситуационного управления лежат два главных предположения:
1)функционирования,
множестве возможных решений и критериях их выбора могут быть сообщены
управляющей системе в виде набора фраз естественного языка;
2) модель
управления принципиально открыта, и процесс ее обучения (формирования) никогда
не завершается созданием окончательной формализованной модели.
Иными
словами, метод ситуационного управления есть метод автоматизации решения задач
управления такими системами, для которых, с одной стороны, невозможна или
нецелесообразна формализация критерия оценки в виде систем математических уравнений,
а с другой - возможно описание критерия в виде правила принятия решений как
совокупности фраз естественного языка. Понятно, что источником такого описания
являются ЛПР или эксперт.
Решение задач
оценки и управления ситуационным методом предполагает построение ситуационных
моделей (имитирующих процесс, протекающие в объекте управления и управляющей системе)
на базе следующих основных принципов:
1) создание
моделей среды, объекта управления и управляющей системы в памяти ЭВМ;
2) построение
моделей объекта управления и управляющей системы, а также описание состояния
объекта в классе семиотических моделей;
3)
формирование иерархической системы обобщенных описаний состояния объекта
управления;
4)
классификация состояний для вывода возможных решений;
5)
прогнозирование последствий принимаемых решений;
6) обучение и
самообучение.
Необходимость
принципа 1 обусловливается потребностью включения ЭВМ в контур управления на
возможно более ранних этапах оценки и поиска управляющего воздействия для
повышения эффективности деятельности ЛПР. Данный принцип обеспечивает представление
знаний о системе управления, их накопление в процессе функционирования системы
моделей и использование для решения задач управления.
Содержание
принципа 2, дополняющего первый, состоит в том, что представление всех
необходимых моделей осуществляется с помощью элементов того языка, на котором
ЛПР описывает систему управления и ее функционирование.
Семиотической
будем называть модель управления, которая представлена с помощью элементов
языка, используемого ЛПР при описании соответствующего процесса управления, и
отображает закономерности процесса управления.
Отличия
семиотических систем от формальных, как следует из определения, состоят в
следующем:
•
семиотические системы в отличие от формальных могут самостоятельно изменять
свой синтаксис и семантику;
•
семиотические системы являются открытыми, а не замкнутыми, как формальные.
Под
семантической сетью подразумевается граф, отражающий смысл целостного образа.
Узлы графа соответствуют понятиям и объектам, а дуги отношениям между
объектами.
Основные
этапы оценки системы на основе ситуационных моделей включают:
• получение
описания текущей ситуации, имеющейся на анализируемом объекте управления;
• пополнение
микроописания ситуации;
•
классификацию ситуации и выявление классов возможных решений по оценке систем
(при этом движение осуществляется от микро- к макроописанию);
• вывод
допустимых оценок (при этом происходит обратное движение по иерархическим
уровням представления знаний ситуационной модели);
•
прогнозирование последствий принятия допустимых решений
в качестве
окончательных оценок;
• принятие
решения по оценке.
Ситуационная
модель
Процесс
моделирования разделяется на две составные части:
1)
проектирование
модели системы;
2)
Симулирование
модели.
Результатом
проектирования является модель, представленная на соответствующем языке
описания знаний, основным элементом которой является понятие ситуации.
«Ситуация –
сочитание условий и обстаятельств, создающих определенную обстановку, положение».
Большинство
специалистов такое определение ключегого понятия не устраивает, поэтому они
стремились его уточнить и переопределить. Вот некоторые из них.
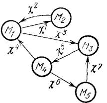
М.Ш. Цаленко,
ссылаясь на работу Падучева, определяет ситуацию как синоним слова взаимосвязь.
Рассматривая разновидности ситуаций, он приводит классификацию, представленную
на рисунке 2. Классификация является спорной и противоречивой, но, тем не
менее, указывает основные элементы, через которые может быть определена
ситуация. Можно считать, что ситуация системы есть совокупность состояний
подсистем, действующих процессов и произошедших событий.

Рис. 2
«Классификация разновидности ситуаций»
Рассмотрим
определение ситуаций, даваемые основоположниками ситуационного управления:
«Назовем далее, дискретной совокупностью (ситуацией) множество оперативных
элементов, расположенных в определенных точках статистической системы». Под
оперативным элементом понимается такой, который может перемещаться по
неподвижным элементам.
В работе
понятие ситуации явно отождествляется с понятием состояния. В имитационном
моделировании под состоянием понимается значение всех характеристик объема в
заданный момент времени. В ситуационном управлении понятие состояния расширено:
в него также включается набор связей между элементами объекта и их значения.
Фактически ситуационный подход моделируется не объектами, а системами и
подсистемами.
Следует так
же заметить, что в современном объектно – ориентированном программировании
активно используется понятия вложенных объектов. Вложенность объектов может
достигать большого числа уровней, что приводит к неудобству использования таких
понятий, как подсистема, метасистема, миниобъект, максиобъект и т.д.
Суммируя все
приведенные определения, ситуацию можно определить следующим образом: Ситуация
системы есть совокупность характеристик объектов и связей между ними, которые
состоят из постоянных причинно-следственных отношений (событий или процессов).
Необходимость
использования ситуационного подхода для моделирования и управления определяется
следующими свойствами сложных систем:
1.
Уникальность.
Каждый объект обладает такой структурой и функционирует так, что система
управления им должна строиться с учетом всех его качеств и к нему нельзя
применить какую – либо стандартную типовую процедуру управления.
2.
Отсутствие
формализуемой цели существования. Не для всех объектов можно четко
сформулировать цель их существования.
3.
Отсутствие
оптимальности. Следствием первых пунктов является неправомочность постановки
классической задачи оптимизации. Из – за отсутствия цели существования для
рассматриваемых объектов нельзя построить объективный критерий управления.
Критерий управления становится субъективным, целиком зависящим от лица, принимающего
решение (ЛПР).
4.
Динамичность.
С течением времени структура и функционирование объектов изменяется.
5.
Неполнота
описания. Как правило, коллектив экспертов, знающих объект управления, не в
состоянии сразу сформировать такую информацию, которой бы заведомо хватило для
создания системы управления объектом.
6.
Значительное
количество субъектов. Во многих объектах управления люди являются элементами их
структуры. Их индивидуальное поведение практически невозможно учесть при
создании системы управления, и требуются специальные приемы для нейтрализации
их воздействия на функционирование объекта управления.
7.
Большая
размерность. Сложная система, характеризуется большой размерностью, что не
позволяет осуществлять ее имитационное моделирование за короткий срок.
8.
Неформализованная
информация. Часто для принятия решения необходимо учитывать плохоформализуемые
понятия.
При
ситуационном моделировании активно используются имитационные модели,
следовательно, ситуационный язык должен включать некоторые средства, присущие
языкам моделирования: Системное время, очереди событий, организацию
квазипараллельных процессов и т.д.
Для
ситуационного моделирования можно использовать два метода:
1.
задание
исходных данных и расчет возникающих ситуаций
2.
моделирование
взаимосвязей ситуаций.
Второй метод
аналогичен структурному подходу в СИМ. В роле вершин сети выступают ситуации.
Основоположником
нового подхода к разработке интеллектуальных систем как семиотических систем моделирования
является академик РАЕН, д.т.н. Д.А. Поспелов.
Семиотическая
модель обладает жестким синтаксисом, жесткой семантикой и жесткой прагматикой.
Все эти свойства становятся доступными для изменения. Такими же свойствами
обладают и знаки – элементы знаковых, или семиотических, систем, изучаемых в
семиотике. Такие системы тесно связаны со всей человеческой деятельностью.
Именно изменчивость и условность знаков делают эту деятельность эффективней.
Пояснить сказанное можно на простом примере. Сигнал звонка может означать, что
кому то надо поднять трубку телефона. Но прагматика звонка для человека может
быть различной в зависимости от того, ждет ли он с кем-то разговора или знает
ли он, что в соседней комнате должны взять трубку. Вместо звонка человека могут
позвать к телефону стуком в перегородку. Синтаксис знака изменился, но
прагматика и семантика сохранились. И точно такой же звонок может означать
конец работы, что при неизменном синтаксисе знака дает другую семантику. А в
странах, где берут деньги за каждое соединение абонентов, люди договариваются о
том, что если телефон прозвонит четыре раза, то встреча состоится, а если пять
– то нет. Сохраняя синтаксис телефонных звонков, прагматика и семантика
остаются неизменными.
Человек
постоянно окружен знаковыми системами, его деятельность пронизана ими. Он
постоянно творит такие системы, договариваясь с другими партнерами о
синтаксисе, семантике и прагматике знаков.
Семиотическую
модель можно представить в виде сети, изображенной на рисунке 3. Каждая вершина
сети представляет собой некоторую формальную систему, а связи между вершинами
определяют переходы от одной формальной системы к другой под влиянием
изменений. За один такт работы семиотическая модель в зависимости от
содержимого Ii модель либо останавливается в том же состоянии (в
рамках той же формальной системы), что и ранее, либо перейдет в новое
состояние.
Рис. 3. Семиотическая модель.
Для описания
ситуаций используются семиотические языки и модели, среди которых можно
выделить следующие основные подходы:
- дискретные
ситуационные сети (ДСС);
- RX – коды;
- логика
предикатов;
-
универсальный семантический код.
Ситуационная
сеть представляет собой сложную семантическую сеть. Каждая ситуация описывается
ориентированным графом (сетью), а для представления вложенности («ситуации
ситуаций») используются гиперграфы, т.е. некоторый фрагмент семантический сети,
определяющий ситуацию, может рассматриваться как одна вершина сети. На заре
ситуационного управления понятие гиперграфа не использовалось, вместо этого
каждый автор вводил заменяющие обозначения.
RX-коды
представляют собой язык бинарных отношений и имеют в качестве ядерной
конструкции запись следующего вида:
Х1 =
Х2R2X3
Где: Х –
объект или ситуация, R – отношение.
Универсальный
семантический код использует в качестве ядерной конструкции тройку SAO, которая
соответствует субъекту S, совершающему действие А над объектом О.
Для
реализации в ЭВМ семиотических языков используют языки представления знаний.
Наиболее близким подходом к описанию семиотических конструкций является
семантическая сеть. Однако сети очень медлительны при использовании операций
поиска, поэтому конструкции часто представляют с помощью логики предикатов,
фреймов и продукций.
1. Лекции по предмету
ТИПиС Моисеевой Т.В.
2. Поспелов Д.А.
«Ситуационное управление. Теория и практика».
3. Филиппович А.Ю.
«Интеграция систем ситуационного, имитационного и экспертного моделирования».
4. Клыков Ю.И., Горьков
Л.Н. «Банки данных для принятия решений».
5. Системный анализ в
управлении: Учеб. пособие / В.С.Анфилатов, А.А. Емельянов, А.А. Кукушкин; Под
ред. А.А. Емельянова. – М.: Финансы и статистика