Незалежні випробування
Курсова робота
з дисциплини: Теорема
ймовірності
на тему: Незалежні
випробування
Введення
При практичному застосуванні
теорії ймовірностей часто доводиться зустрічатися із задачами, у яких те саме
випробування повторюється неодноразово. У результаті кожного випробування може
з'явитися або не з'явитися деяка подія А, причому нас не цікавить результат
кожного окремого випробування, а загальне число появ події А в результаті серії
досвідів. Наприклад, якщо виробляється група пострілів по однієї й тій же меті,
нас, як правило, не цікавить результат кожного пострілу, а загальне число
влучень. У подібних задачах потрібно вміти визначати ймовірність будь-якого
заданого числа появ події в результаті серії досвідів. Такі задачі й будуть
розглянуті. Вони вирішуються досить просто у випадку, коли випробування є
незалежними.
Визначення. Випробування називаються незалежними, якщо
ймовірність того або іншого результату кожного з випробувань не залежить від
того, які результати мали інші випробування.
Наприклад, кілька кидань
монети являють собою незалежні випробування.
1. Формула Бернуллі
Нехай зроблено два
випробування(n=2). У результаті можливе настання одного з наступних подій:
Відповідні ймовірності даних
подій такі:
.
або
- настання події тільки в одному випробуванні.
- імовірність настання події два рази.
- імовірність настання події тільки один раз.
- імовірність настання події нуль раз.
Нехай тепер n=3. Тоді можливе
настання одного з наступних варіантів подій:
.
Відповідні ймовірності рівні
.
Очевидно, що отримані
результати при n=2 і n=3 є елементами
и.
Тепер допустимо, зроблено n
випробувань. Подія А може наступити n раз, 0 разів, n-1 раз і т.д. Напишемо
подію, що складається в настанні події А m раз
Необхідно знайти число
випробувань, у яких подія А наступить m раз. Для цього треба знайти число
комбінацій з n елементів, у яких А повторюється m раз, а
n-m раз.
- імовірність настання події А.
(1)
Остання формула називається
формулою Бернуллі і являє собою загальний член розкладання
:
.
З формули (1) видно, що її
зручно використовувати, коли число випробувань не занадто велике.
Приклади
№1. Кидається монета 7 разів.
Знайти ймовірність настання орла три рази.
Рішення.
n=7, m=3
.
№2. Щодня акції корпорації
АВС піднімаються в ціні або падають у ціні на один пункт із ймовірностями
відповідно 0,75 і 0,25. Знайти ймовірність того, що акції після шести днів
повернуться до своєї первісної ціни. Прийняти умову, що зміни ціни акції нагору
й долілиць - незалежні події.
Рішення. Для того, щоб акції
повернулися за 6 днів до своєї первісної ціни, потрібно, щоб за цей час вони 3
рази піднялися в ціні й три рази опустилися в ціні. Шукана ймовірність
розраховується по формулі Бернуллі
№3. Мотори багатомоторного
літака виходять із ладу під час польоту незалежно один від іншого з імовірністю
р. Багатомоторний літак продовжує летіти, якщо працює не менш половини його
моторів. При яких значеннях р двомоторний літак надійніше чотиримоторного
літака?
Рішення. Двомоторний літак
терпить аварію, якщо відмовляють обоє його мотора. Це відбувається з
імовірністю р2. Чотиримоторний літак терпить аварію, якщо виходять із ладу всі
4 мотори а це відбувається з імовірністю р4, або виходять із ладу три мотори з
4-х. Імовірність останньої події обчислюється по формулі Бернуллі:
. Щоб двомоторний літак був
надійніше, ніж чотиримоторний, потрібно, щоб виконувалася нерівність
р2<р4+4p3(1–p)
Ця нерівність зводиться до
нерівності (3 р-р-1)( р-р-1)<0. Другий співмножник у лівій частині цієї
нерівності завжди негативний (за умовою задачі). Отже, величина 3 р-р-1 повинна
бути позитивної, звідки треба, що повинне виконуватися умову р>1/3. Слід
зазначити, що якби ймовірність виходу з ладу мотора літака перевищувала одну
третину, сама ідея використання авіації для пасажирських перевезень була б дуже
сумнівною.
№4. Бригада з десяти чоловік
іде обідати. Є дві однакові їдальні, і кожний член бригади незалежно один від
іншого йде обідати в кожну із цих їдалень. Якщо в одну з їдалень випадково
прийде більше відвідувачів, чим у ній є місць, то виникає черга. Яке найменше
число місць повинне бути в кожній з їдалень, щоб імовірність виникнення черги
була менше 0,15?
Рішення. Рішення задачі
прийде шукати перебором можливих варіантів. Спочатку помітимо, що якщо в кожній
їдальні по 10 місць, то виникнення черги неможливо. Якщо в кожній їдальні по 9
місць, то черга виникне тільки у випадку, якщо всі 10 відвідувачів потраплять в
одну їдальню. З умови задачі треба, що кожний член бригади вибирає дану їдальню
з імовірністю 1/2. Виходить, усі зберуться в одній їдальні з імовірністю
2(1/2)10=1/512. Це число багато менше, ніж 0,15, і варто провести розрахунок
для їдалень. Якщо в кожній їдальні по 8 місць, то черга виникне, якщо всі члени
бригади прийдуть в одну їдальню, імовірність цієї події вже обчислена, або 9
чоловік підуть в одну їдальню, а 1 чоловік вибере іншу їдальню. Імовірність
цієї події розраховується за допомогою формули Бернуллі
.
Таким чином, якщо в їдальнях по 8
місць, то черга виникає з імовірністю 11/512, що поки ще менше, ніж 0,15. Нехай
тепер у кожній з їдалень по 7 місць. Крім двох розглянутих варіантів, у цьому
випадку черга виникне, якщо в одну з їдалень прийде 8 чоловік, а в іншу 2
чоловік. Це може відбутися з імовірністю
.
Виходить, у цьому випадку
черга виникає з імовірністю 56/512=0,109375<0,15. Діючи аналогічним образом,
обчислюємо, що якщо в кожній їдальні 6 місць, то черга виникає з імовірністю
56/512+120/512=176/512=0,34375. Звідси одержуємо, що найменше число місць у
кожній їдальні повинне рівнятися семи.
№5. В урні 20 білих і 10 чорних куль. Вийняли 4
кулі, причому кожну вийняту кулю повертають в урну перед добуванням наступні й
кулі в урні перемішують. Знайти ймовірність того, що із чотирьох вийнятих куль
виявиться 2 білих.
Рішення. Подія А – дістали білу кулю. Тоді ймовірності
,
.
По формулі Бернуллі необхідна
ймовірність дорівнює
.
№6. Визначити ймовірність того, що в родині, що
має 5 дітей, буде не більше трьох дівчинок. Імовірності народження хлопчика й
дівчинки передбачаються однаковими.
Рішення. Імовірність народження дівчинки
, тоді
.
Знайдемо ймовірності того, що
в родині немає дівчинок, народилася одна, дві або три дівчинки:
бернуллі формула лаплас
ймовірність
,
,
,
.
Отже, шукана ймовірність
.
№7. Серед деталей, оброблюваних робітником,
буває в середньому 4% нестандартні. Знайти ймовірність того, що серед узятих на
випробування 30 деталей дві будуть нестандартними.
Рішення. Тут досвід полягає в перевірці кожної з 30
деталей на якість. Подія А - "поява нестандартної деталі", його
ймовірність
, тоді
. Звідси по формулі Бернуллі
знаходимо
.
№8. При кожному окремому пострілі зі знаряддя
ймовірність поразки мети дорівнює 0,9. Знайти ймовірність того, що з 20
пострілів число вдалих буде не менш 16 і не більше 19.
Рішення. Обчислюємо по формулі Бернуллі:
№9. Незалежні випробування тривають доти, поки
подія А не відбудеться k раз.
Знайти ймовірність того, що буде потрібно n випробувань (n і k), якщо в кожному з них
.
Рішення. Подія В – рівно n випробувань до k-го появи події А –
є добуток двох наступних подій:
D – в n-ом випробуванні А відбулося;
С – у перші (n–1)-ом випробуваннях А з'явилося (до-1) раз.
Теорема множення й формула
Бернуллі дають необхідну ймовірність:
.
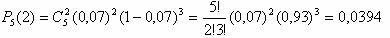
№10. З
n акумуляторів за рік зберігання k виходить із ладу. Вибирають m акумуляторів.
Визначити ймовірність того, що серед них l справних n = 100, k = 7, m = 5, l = 3.
Рішення: Маємо схему Бернуллі з параметрами
p=7/100=0,07 (імовірність того, що акумулятор вийде з ладу), n = 5 (число
випробувань), k = 5-3 =2 (число "успіхів", несправних акумуляторів).
Будемо використовувати формулу Бернуллі (імовірність того, що в n випробуваннях
подія відбудеться k раз).
Одержуємо
№11. Пристрій, що складається з п'яти незалежно
працюючих елементів, включається за час Т. Імовірність відмови кожного з них за
цей час дорівнює 0,2. Знайти ймовірність того, що відмовлять: а) три елементи;
б) не менш чотирьох елементів; в) хоча б один елемент.
Рішення: Маємо схему Бернуллі з параметрами p = 0,2
(імовірність того, що елемент відмовить), n = 5 (число випробувань, тобто число
елементів), k (число "успіхів", що відмовили елементів). Будемо
використовувати формулу Бернуллі (імовірність того, що для n елементів відмова
відбудеться в k елементах):
. Одержуємо а)
-
імовірність того, що відмовлять рівно три елементи з п'яти. б)
- імовірність того, що відмовлять не менш
чотирьох елементів з п'яти (тобто або чотири, або п'ять). в)
-
імовірність того, що відмовить хоча б один елемент (знайшли через імовірність
протилежної події - жоден елемент не відмовить).
№12. Скільки варто зіграти партій у шахи з
імовірністю перемоги в одній партії, рівної 1/3, щоб число перемог було дорівнює
5?
Рішення: Число перемог k визначається з формули
Тут p =1/3 (імовірність перемоги), q = 2/3
(імовірність програшу), n - невідоме число партій. Підставляючи даного
значення, одержуємо:
Одержуємо, що n = 15, 16 або
17.
2. Локальна формула Муавра-Лапласа
Легко бачити, що
користуватися формулою Бернуллі при більших значеннях n досить важко, тому що
формула вимагає виконання дій над величезними числами. Природно, виникає
питання: чи не можна обчислити ймовірність, що цікавить нас,, не прибігаючи до
формули Бернуллі.
В 1730 р. інший метод рішення
при p=1/2 знайшов Муавр; в 1783 р. Лаплас узагальнив формулу Муавра для
довільного p, відмінного від 0 і 1.
Ця формула застосовується при
необмеженому зростанні числа випробувань, коли ймовірність настання події не
занадто близька до нуля або одиниці. Тому
теорему, про яку мова йде, називають теоремою Муавра-Лапласа.
Теорема Муавра-Лапласа. Якщо ймовірність p появи події А в кожному
випробуванні постійне й відмінна від нуля й одиниці, то ймовірність
того, що подія А з'явиться
в n випробуваннях рівно k раз, приблизно дорівнює(тим точніше, чим більше n)
значенню функції
При
.
Є таблиці, у яких поміщені значення функції
,
відповідним позитивним значенням аргументу x(див. додаток 1). Для
негативних значень аргументу користуються тими ж таблицями, тому що функція
парна, тобто
.
Отже, імовірність того, що подія A з'явиться в n незалежних випробуваннях
рівно k раз, приблизно дорівнює
,
де
.
№13. Знайти ймовірність того, що подія А наступить рівно
80 разів в 400 випробуваннях, якщо ймовірність появи цієї події в кожному
випробуванні дорівнює 0,2.
Рішення. За умовою n=400; k=80; p=0,2; q=0,8. Скористаємося
формулою Лапласа:
.
Обчислимо обумовлене даними задачі значення x:
.
По таблиці додатка 1 знаходимо
.
Шукана ймовірність
.
№14. Імовірність поразки мішені стрільцем при одному
пострілі p=0,75.
Знайти ймовірність того, що при 10 пострілах стрілок уразить мішень 8
разів.
Рішення. За умовою n=10; k=8; p=0,75; q=0,25.
Скористаємося формулою Лапласа:
.
Обчислимо обумовлене даними задачі значення x:
.
По таблиці додатка 1 знаходимо
Шукана ймовірність
.
№15. Знайти ймовірність того, що подія А наступить рівно
70 разів в 243 випробуваннях, якщо ймовірність появи цієї події в кожному
випробуванні дорівнює 0,25.
Рішення. За умовою n=243; k=70; p=0,25; q=0,75. Скористаємося
формулою Лапласа:
.
Знайдемо значення x:
.
По таблиці додатка 1 знаходимо
.
Шукана ймовірність
.
№16. Знайти ймовірність того, що подія А наступить 1400
разів в 2400 випробуваннях, якщо ймовірність появи цієї події в кожному
випробуванні дорівнює 0,6.
Рішення. За умовою n=2400; k=1400; p=0,6; q=0,4. Як і в
попередньому прикладі, скористаємося формулою Лапласа:
Обчислимо x:
.
По таблиці додатка 1 знаходимо
Шукана ймовірність
.
3. Формула
Пуассона
Ця формула застосовується при необмеженому зростанні числа випробувань,
коли ймовірність настання події досить близька до 0 або 1.
,
.
Доказ.
.
.
У такий спосіб одержали формулу:
.
Приклади
№17. Імовірність виготовлення негідної деталі дорівнює
0,0002. Знайти ймовірність того, що серед 10000 деталей тільки 2 деталі будуть
негідними.
Рішення. n=10000; k=2; p=0,0002.
.
№18. Імовірність виготовлення бракованої деталі дорівнює
0,0004. Знайти ймовірність того, що серед 1000 деталей тільки 5 деталі будуть
бракованими.
Рішення. n=1000; k=5; p=0,0004.
Шукана ймовірність
.
№19. Імовірність виграшу лотереї дорівнює 0,0001. Знайти
ймовірність того, що з 5000 спроб виграти вдасться 3 рази.
Рішення. n=5000; k=3; p=0,0001.
Шукана ймовірність
.
4. Теорема
Бернуллі про частоту ймовірності
Теорема. Імовірність того, що в n незалежних випробуваннях, у кожному з
яких імовірність появи події дорівнює p, абсолютна величина відхилення
відносної частоти появи події від імовірності появи події не перевищить
позитивного числа
,
приблизно дорівнює подвоєної функції Лапласа при
:
.
Доказ. Будемо вважати, що виробляється n незалежних випробувань, у
кожному з яких імовірність появи події А постійна й дорівнює p. Поставимо перед
собою задачу знайти ймовірність того, що відхилення відносної частоти
від постійної ймовірності p
по абсолютній величині не перевищує заданого числа
. Інакше кажучи, знайдемо ймовірність
здійснення нерівності
. (*)
Замінимо нерівність (*) йому рівносильними:
.
Множачи ці нерівності на позитивний множник
, одержимо нерівності, рівносильні вихідному:
.
Тоді ймовірність знайдемо в такий спосіб:
.
Значення функції
перебуває
по таблиці(див. додаток 2).
Приклади
№20. Імовірність того, що деталь не стандартна, p=0,1.
Знайти ймовірність того, що серед випадково відібраних 400 деталей відносна
частота появи нестандартних деталей відхилиться від імовірності p=0,1 по
абсолютній величині не більш, ніж на 0,03.
Рішення. n=400; p=0,1; q=0,9;
=0,03. Потрібно знайти ймовірність
. Користуючись формулою
,
маємо
.
По таблиці додатка 2 знаходимо
. Отже,
. Отже, шукана ймовірність дорівнює 0,9544.
№21. Імовірність того, що деталь не стандартна, p=0,1.
Знайти, скільки деталей треба відібрати, щоб з імовірністю, рівної 0,9544,
можна було затверджувати, що відносна частота появи нестандартних деталей(серед
відібраних) відхилиться від постійної ймовірності p по абсолютній величині не
більше ніж на 0,03.
Рішення. За умовою, p=0,1; q=0,9;
=0,03;
. Потрібно знайти n. Скористаємося формулою
.
У силу умови
Отже,
По таблиці додатка 2 знаходимо
. Для відшукання числа n одержуємо рівняння
. Звідси шукане число
деталей n=400.
№22. Імовірність появи події в кожному з незалежних
випробувань дорівнює 0,2. Знайти, яке відхилення відносної частоти появи події
від його ймовірності можна чекати з імовірністю 0,9128 при 5000 випробуваннях.
Рішення. Скористаємося тією же формулою, з якої треба:
.
Література
1. Гмурман
Е.В. Теорія ймовірностей і математична статистика. – К., 2003
2. Гмурман
Е.В. Керівництво до рішення задач по теорії ймовірностей і математичній
статистиці. – К., 2004.
3. Гнеденко
Б.В. Курс теорії ймовірностей. – К., 2007.
4. Колемаєв
В.А., Калініна В.Н., Соловйов В.И., Малихин В.І., Курочкин О.П. Теорія
ймовірностей у прикладах і задачах. – К., 2004.
5. Вентцель
Е.С. Теорія ймовірностей. – К., 2004
Додатки
Додаток 1
Таблиця значень функції
|
0
|
1
|
2
|
3
|
4
|
5
|
6
|
7
|
8
|
9
|
|
1.6
|
1109
|
1092
|
1074
|
1057
|
1040
|
1023
|
1006
|
0989
|
0973
|
0957
|
|
1.7
|
0940
|
0925
|
0909
|
0893
|
0878
|
0863
|
0648
|
0833
|
0818
|
0804
|
|
1.8
|
0790
|
0775
|
0761
|
0748
|
0734
|
0721
|
0707
|
0694
|
0681
|
0669
|
|
1.9
|
0656
|
0644
|
0632
|
0620
|
0608
|
0596
|
0584
|
0573
|
0562
|
0551
|
|
2,0
|
0540
|
0529
|
0519
|
0508
|
0498
|
0488
|
0478
|
0468
|
0459
|
0449
|
|
2.1
|
0440
|
0431
|
0422
|
0413
|
0404
|
0396
|
0387
|
0379
|
0371
|
0363
|
|
2.2
|
0355
|
0347
|
0339
|
0332
|
0325
|
0317
|
0310
|
0303
|
0297
|
0290
|
|
2.3
|
0283
|
0277
|
0270
|
0264
|
0258
|
0252
|
0246
|
0241
|
0235
|
0229
|
|
2,4
|
0224
|
0219
|
0213
|
0208
|
0203
|
0198
|
0194
|
0189
|
0184
|
0180
|
|
2.5
|
0175
|
0171
|
0167
|
0163
|
0158
|
0154
|
0151
|
0147
|
0143
|
0139
|
|
2.6
|
0136
|
0132
|
0129
|
0126
|
0122
|
0119
|
0116
|
0113
|
0110
|
0107
|
|
2,7
|
0104
|
0101
|
0099
|
0096
|
0093
|
0091
|
0088
|
0086
|
0084
|
0081
|
|
2,8
|
0079
|
0077
|
0075
|
0073
|
0071
|
0069
|
0067
|
0065
|
0063
|
0061
|
0060
|
0058
|
0056
|
0055
|
0053
|
0051
|
0050
|
0048
|
0047
|
0043
|
|
3,0
|
0044
|
0043
|
0042
|
0040
|
0039
|
0038
|
0037
|
0036
|
0035
|
0034
|
|
3,1
|
0033
|
0032
|
0031
|
0030
|
0029
|
0028.
|
0027
|
0026
|
0025
|
0025
|
|
3,2
|
0024
|
0023
|
0622
|
0022
|
0021
|
0020
|
0020
|
0019
|
0018
|
0018
|
|
3,3
|
0017
|
0017
|
0016
|
0016
|
0015
|
0015
|
0014
|
0014
|
0013
|
0013
|
|
3,4
|
0012
|
0012
|
0012
|
0011
|
0011
|
0010
|
0010
|
0010
|
0009
|
0009
|
|
3,5
|
0009
|
0008
|
0008
|
0008
|
0008
|
0007
|
0007
|
0007
|
0007
|
0006
|
|
3,6
|
0006
|
0006
|
0006
|
0005
|
0005
|
0005
|
0005
|
0005
|
0005
|
0004
|
|
3,7
|
0004
|
0004
|
0004
|
0004
|
0004
|
0004
|
0003
|
0003
|
0003
|
0003
|
|
3,8
|
0003
|
0003
|
0003
|
0003
|
0003
|
0002
|
0002
|
0002
|
0002
|
0002
|
|
3,9
|
0002
|
0002
|
0002
|
0002
|
0002
|
0002
|
0002
|
0002
|
0001
|
0001
|
Додаток 2
Таблиця значень функції
|
x
|
|
x
|
|
x
|
|
x
|
|
|
0900
|
0,0000
|
0,32
|
0,1255
|
0,64
|
0,2389
|
0,96
|
0,3315
|
|
0,01
|
0,0040
|
0,33
|
0,1293
|
0,65
|
0,2422
|
0,97
|
0,3340
|
|
0,02
|
0,0080
|
0,34
|
0,1331
|
0,66
|
0,2454
|
0,98
|
0,3365
|
|
0,03
|
0,0120
|
0,35
|
0,1368
|
0,67
|
0,2486
|
0.99
|
0,3389
|
|
0,04
|
0,0160
|
0,36
|
0,1406
|
0,68
|
0,2517
|
1,00
|
0,3413
|
|
0,05
|
0,0199
|
0,37
|
0,1443
|
0,69
|
0,2549
|
1,01
|
0,3438
|
|
0,06
|
0,0239
|
0,38
|
0,1480
|
0,70
|
0,2580
|
1,02
|
0,3461
|
|
0,07
|
0,0279
|
0,39
|
0,1517
|
0,71
|
0,2611
|
1,03
|
0,3485
|
|
0,08
|
0,0319
|
0,40
|
0,1554
|
0,72
|
0,2642
|
1,04
|
0,3508
|
|
0,09
|
0,0359
|
0,41
|
0,1591
|
0,73
|
0,2673
|
1,05
|
0,3531
|
|
0,10
|
0,0398
|
0,42
|
0,1628
|
0,74
|
0,2703
|
1,06
|
0,3554
|
|
0,11
|
0,0438
|
0,43
|
0,1664
|
0,75
|
0,2734
|
1,07
|
0,3577
|
|
0,12
|
0,0478
|
0,44
|
0,1700
|
0,76
|
0,2764
|
1,08
|
0,3599
|
|
0,13
|
0,0517
|
0,45
|
0,1736
|
0,77
|
0,2794
|
1.09
|
0,3621
|
|
0,14
|
0,0557
|
0,46
|
0,1772
|
0,78
|
0,2823
|
1.10
|
0,3643
|
|
0,15
|
0,0596
|
0,47
|
0,1808
|
0,79
|
0,2852
|
3665
|
0,3665
|
|
0,16
|
0,0636
|
0,48
|
0,1844
|
0,80
|
0,2881
|
3686
|
0,3686
|
|
0,17
|
0,0675
|
0,49
|
01879
|
0,81
|
0,2910
|
1,13
|
0,3708.
|
|
0,18
|
0,0714
|
0,50
|
0,1915
|
0,82
|
0,2939
|
1,14
|
0,3729
|
|
0,19
|
0,0753
|
0,51
|
0,1950
|
0,83
|
0,2967
|
1,15
|
0,3749
|
|
0,20
|
0,0793
|
0,52
|
0,1985
|
0,84
|
0,2995
|
1,16
|
0,3770
|
|
0,21
|
0,0832
|
0,53
|
0,2019
|
0,85
|
0,3023
|
1,17
|
0,3790
|
|
0,22
|
0,0871
|
0,54
|
0,2054
|
0,86
|
0,3051
|
1,18
|
0,3810
|
|
0,23
|
0,0910
|
0,55
|
0,2088
|
0,87
|
0,3078
|
1,19
|
0,3830
|
|
0,24
|
0,0948
|
0,56
|
0,2123
|
0,88
|
0,3106
|
1,20
|
0,3849
|
|
0,25
|
0,0987
|
0,57
|
0,2157
|
0,89
|
0,3133
|
1.21
|
0,3869
|
|
0,26
|
0,1026
|
0,58
|
0,2190
|
0,90
|
0,3159
|
1,22
|
0/3883
|
|
0,27
|
0,1064
|
0,59
|
0,2224
|
0,3186
|
1,23
|
0,3907
|
|
0,28
|
0,1103
|
0,60
|
0,2257
|
0,92
|
0,3212
|
1.24
|
0,3925
|
|
0,29
|
0,1141
|
0,61
|
0,2291
|
0,93
|
0,3238
|
1,25
|
0,3944
|
|
0,30
|
0,1179
|
0,62
|
0,2324
|
0,94
|
0,3264
|
|
|
|
0,31
|
0,1217
|
0,63
|
0,2357
|
0,95
|
0,3289
|
|
|
x
|
|
x
|
|
x
|
|
x
|
|
|
1,26
|
0,3962
|
1,59
|
0,4441
|
1,92
|
0,4726
|
2,50
|
0,4938
|
|
1,27
|
0,3980
|
1,60
|
0,4452
|
1,93
|
0,4732
|
2,52
|
0,4941
|
|
1,28
|
0,3997
|
1,61
|
0,4463
|
1,94
|
0,4738
|
2,54
|
0,4945
|
|
1,29
|
0.4015
|
1,62
|
0,4474
|
1,95
|
0,4744
|
2,56
|
0,4948
|
|
1,30
|
0,4032
|
1,63
|
0.4484
|
1.96
|
0,4750
|
2,58
|
0,4951
|
|
1,31
|
0,4049
|
1,64
|
0,4495
|
1,97
|
0,4756
|
2,60
|
0,4953
|
|
1,32
|
0.4066
|
1,65
|
0,4505
|
1,98
|
0,4761
|
2,62
|
0,4956
|
|
1,33
|
0,4082
|
1,66
|
0,4515
|
1,99
|
0,4767
|
2,64
|
0,4959
|
|
1,34
|
0.4099
|
1,67
|
0.4525
|
2.00
|
0,4772
|
2,66
|
0,4961
|
|
1.3S
|
0.4115
|
1,68
|
0,4535
|
2,02
|
0,4783
|
2,68
|
0,4963
|
|
1,36
|
0.4131
|
1,69
|
0,4545
|
2,04
|
0,4793
|
2,70
|
0,4965
|
|
1,37
|
0.4147
|
1,70
|
0,4554
|
2,06
|
0,4803
|
2,72
|
0,4967
|
|
1,38
|
0.4162
|
1.71
|
0,4564
|
2,08
|
0,4812
|
2,74
|
0,4969
|
|
1,39
|
0.4177
|
1,72
|
0,4573
|
2,10
|
0,4821
|
2,76
|
0,4971
|
|
1.40
|
0,4192
|
1,73
|
0,4582
|
2,12
|
0,4830
|
2,78
|
0,4973
|
|
1.41
|
0,4207
|
1.74
|
0,4591
|
2,14
|
0,4838
|
2,80
|
0,4974
|
|
1.42
|
0.4222
|
1,75
|
0.4599
|
2,16
|
0,4846
|
2,82
|
0,4976
|
|
1.43
|
0.4236
|
1,76
|
0,4608
|
2,18
|
0,4854
|
2,84
|
0,4977
|
|
1.44
|
0,4251
|
1.77
|
0,4616
|
2,20
|
0,4861
|
2,86
|
0,4979
|
|
1,45
|
0.4265
|
1,78
|
0.4625
|
2,22
|
0,4868
|
2,88
|
0,4980
|
|
1.46
|
0,4279
|
1,79
|
0,4633
|
2,24
|
0,4875
|
2,90
|
0,4981
|
|
1.47
|
0,4292
|
1,80
|
0,4641
|
2,26
|
0,4881
|
2,92
|
0,4982
|
|
1,48
|
0,4306
|
1.81
|
0,4649
|
2,28
|
0,4887
|
2,94
|
0,4984
|
|
1,49
|
0.4319
|
1,82
|
0,4656
|
2,30
|
0,4893
|
2,96
|
0,4985
|
|
1.50
|
0,4332
|
1,83
|
0,4664
|
2,32
|
0,4898
|
2.98
|
0,4986
|
|
1,51
|
0,4345
|
1,84
|
0,4671
|
2,34
|
0,4904
|
3,00
|
0,49865
|
|
1.52
|
0,4357
|
1,85
|
0,4678
|
2,36
|
0,4909
|
3,20
|
0,49931
|
|
1.53
|
0,4370
|
1,86
|
0,4686
|
2,38
|
0,4913
|
3.40
|
0,49966
|
|
1.54
|
0,4382
|
1,87
|
0,4693
|
2,40
|
0,4918
|
3,60
|
0,49984
|
|
1,55
|
0,4394
|
1.88
|
0,4699
|
2,42
|
0,4922
|
3,80
|
0,49992
|
|
1.S6
|
0,4406
|
1.89
|
0,4706
|
2,44
|
0,4927
|
4,00
|
0,49996
|
|
1,57
|
0,4418
|
1,90
|
0,4713
|
2,46
|
0,4931
|
4,50
|
0,49999
|
|
1,58
|
0,4429
|
1,91
|
0,4719
|
2,48
|
0,4934
|
5,00
|
0,49999
|