Вычисление вероятности
1. Задача 1. В урне
четыре белых и пять черных шаров. Из урны наугад вынимают два шара. Найти
вероятность того, что один из этих шаров - белый, а другой - черный.
Решение.
Обозначим через А
событие, состоящее в том, что один из этих шаров - белый, а другой - черный.
Вероятность события А
найдем используя условную вероятность.
= 0,278
– вероятность того, что первый шар
белый. Вероятность вычислена по формуле классической вероятности.
– вероятность того, что второй шар
чнрный. Вероятность вычислена по формуле классической вероятности.
Ответ: 0,278.
2. Задача 2. Приведена
схема соединения элементов, образующих цепь с одним входом и одним выходом.
Предполагается, что отказы элементов являются независимыми в совокупности
событиями. Отказ любого из элементов приводит к прерыванию сигнала в той ветви
цепи, где находится данный элемент. Вероятности отказа элементов 1, 2, 3, 4, 5
соответственно равны q1=0,1;
q2=0,2; q3=0,3; q4=0,4;
q5=0,5. Найти вероятность того, что
сигнал пройдет со входа на выход.
Решение.
Пусть событие
состоит в том, что сигнал пройдет с
входа на выход.
,
где
– событие, состоящие в том, что i-ый элемент находится в рабочем
состоянии.
Т.к. события
- независимые совместные события.
Ответ: 0,994.
3. Задача 3. На трех
автоматических станках изготавливаются одинаковые детали. Известно, что 30%
продукции производится первым станком, 25% - вторым и 45% - третьим.
Вероятность изготовления детали, отвечающей стандарту, на первом станке равна
0,99 , на втором - 0,988 и на третьем - 0,98. Изготовленные в течение дня на
трех станках нерассортированные детали находятся на складе. Определить
вероятность того, что взятая наугад деталь не соответствует стандарту.
Решение. Событие А
состоит в том, что что взятая наугад деталь не соответствует стандарту.
Гипотезы Н1, Н2,
Н3.
– деталь изготовлена на первом
станке;
– деталь изготовлена на втором
станке;
– деталь изготовлена на третьем
станке;
Гипотезы Нi
образуют полную группу событий.
Воспользуемся формулой
полной вероятности:
– полная вероятность.
=
;
=
;
=
;
=
;
=0,45;
=
;
Тогда
. = 0,015.
Ответ: 0,0,015.
4. Задача 4. Игральную
кость подбрасывают 12 раз. Чему равно наивероятнейшее число выпадений 6?
Решение.
Найдем
– наиболее вероятное число выпадений 6.
Наивероятнейшее число
определяют из двойного неравенства:
;
– вероятность появления события в
каждом из
независимых испытаний.
– вероятность того, что при одном
испытании выпадет 6 (по формуле классической вероятности).
.
– по
условию.
;
Так как
– целое число, то наивероятнейшее число
звонков равно
.
Ответ: 2.
5. Задача 5. Дискретная
случайная величина
может принимать одно из пяти
фиксированных значений
,
,
,
,
с вероятностями
,
,
,
,
соответственно.
Вычислить математическое ожидание и дисперсию величины
.
Рассчитать и построить график функции распределения.
Решение.
Таблица 1.
|
|
1
|
4
|
5
|
7
|
8
|
|
|
0,3
|
0,3
|
0,1
|
0,15
|
0,15
|
Найдем числовые
характеристики данного распределения.
Математическое ожидание

= 4,25
Дисперсию определим по
формуле:
.

= 24,55.
Тогда
Найдем функцию
распределения случайной величины.
.
Построим график этой
функции
6. Задача 6. Случайная
величина
задана плотностью вероятности
Определить константу
, математическое ожидание, дисперсию,
функцию распределения величины
, а также вероятность
ее попадания в интервал [0;
]
Решение.
Коэффициент
найдем используя свойство функции
плотности распределения:
. Так как функция
плотности распределения принимает отличные от нуля значения на интервале
, то
.
Вычислим определенный
интеграл:
.
Следовательно,
,
.
Математическое ожидание
найдем по формуле:
.
Т.к. плотность
распределения принимает отличное от нуля значения только на отрезке [0,
], то
=
=
=
=
.
Вычислили интеграл,
используя формулу интегрирования по частям.
Найдем дисперсию
, т.к. плотность распределения принимает
отличное от нуля значения только на отрезке
[0,
], то
.
=
.
Найдем
.
Воспользуемся формулой
=
.
=
Найдем функцию
распределения СВ Х.
При
.
При
.
При
.
7. Задача 7. Случайная
величина
распределена равномерно на интервале
. Построить график случайной величины
и определить плотность вероятности
.
Решение.
Найдем плотность
распределения случайной величины
. Случайная величина
распределена равномерно на интервале
, поэтому на этом интервале
, вне этого интервала
.
Построим график функции
на интервале
и
в зависимости от числа обратных функций выделим следующие интервалы:
;
;
Так как на интервалах
и
обратная
функция не существует, то для этих интервалов
.
На интервале
одна обратная функция
, следовательно 
На интервале
две обратных функции
и
,
следовательно
.
Найдем производные
обратных функций
;
.
Учитывая, что
, получим
;
.
В результате получим:
.
Таким образом, плотность
вероятности величины
равна:
8. Задача 8. Двумерный
случайный вектор
равномерно распределен внутри
области В. Двумерная плотность вероятности
о
любой точке этой области В:
Вычислить коэффициент
корреляции между величинами
и
.
Решение.
Построим область
Найдем значение константы
. Воспользуемся свойством функции
Поскольку
принимает отличные от нуля значения
внутри области
, то получим
=
.
Следовательно,
. Значит,
Значение коэффициента
корреляции вычислим по формуле
Корреляционный момент
вычислим по формуле
.
.
.
.
Определим корреляционный
момент
Ответ:
9. Задача 9. По выборке одномерной случайной величины
1.
Получить вариационный
ряд;
2.
Построить
гистограмму равноинтервальным способом;
3.
Построить
гистограмму равновероятностным способом;
4.
Вычислить оценки
математического ожидания и дисперсии;
5.
Выдвинуть
гипотезу о законе распределения случайной величины и проверить ее при помощи
критерия согласия
и критерия Колмогорова (
)
|
0,22
|
0,42
|
0,07
|
1,69
|
0,42
|
0,94
|
1,81
|
2,24
|
0,74
|
0,75
|
|
0,80
|
2,59
|
0,55
|
0,43
|
0,51
|
0,38
|
1,41
|
0,73
|
0,03
|
0,96
|
|
0,63
|
0,17
|
0,10
|
0,09
|
1,09
|
1,52
|
2,97
|
0,91
|
1,53
|
0,55
|
|
1,23
|
1,27
|
0,75
|
1,55
|
0,88
|
0,57
|
0,31
|
1,04
|
1,71
|
1,39
|
|
1,16
|
0,86
|
1,13
|
0,82
|
2,02
|
1,17
|
0,25
|
0,64
|
0,07
|
0,11
|
|
1,99
|
0,71
|
2,17
|
0,23
|
2,68
|
1,82
|
1,19
|
0,05
|
1,23
|
4,70
|
|
0,37
|
0,40
|
1,31
|
0,20
|
0,50
|
2,48
|
0,32
|
1,41
|
0,23
|
1,27
|
|
0,33
|
1,48
|
0,52
|
0,68
|
0,30
|
0,40
|
0,24
|
1,52
|
0,17
|
0,17
|
|
0,83
|
1,20
|
0,65
|
0,05
|
1,45
|
0,23
|
0,37
|
0,09
|
3,66
|
0,28
|
|
0,77
|
0,11
|
1,95
|
0,10
|
0,95
|
0,65
|
4,06
|
3,16
|
0,51
|
2,02
|
Решение.
Найдем размах вариации
.
0,03;
4,70;
4,70–0,03 = 4,67.
Вариационный ряд распределения имеет вид:
|
|
|
|
|
|
0,03
|
1
|
0,86
|
1
|
|
0,05
|
2
|
0,88
|
1
|
|
0,07
|
2
|
0,91
|
1
|
|
0,09
|
2
|
0,94
|
1
|
|
0,1
|
2
|
0,95
|
1
|
|
0,11
|
2
|
0,96
|
1
|
|
0,17
|
3
|
1,04
|
1
|
|
0,2
|
1
|
1,09
|
1
|
|
0,22
|
1
|
1,13
|
1
|
|
0,23
|
3
|
1,16
|
1
|
|
0,24
|
1
|
1,17
|
1
|
|
0,25
|
1
|
1,19
|
1
|
|
0,28
|
1
|
1,2
|
1
|
|
0,3
|
1
|
1,23
|
2
|
|
0,31
|
1
|
1,27
|
2
|
|
0,32
|
1
|
1,31
|
1
|
|
0,33
|
1
|
1,39
|
1
|
|
0,37
|
2
|
1,41
|
2
|
|
0,38
|
1
|
1,45
|
1
|
|
0,4
|
2
|
1,48
|
1
|
|
0,42
|
2
|
1,52
|
2
|
|
0,43
|
1
|
1,53
|
1
|
|
0,5
|
1
|
1,55
|
1
|
|
0,51
|
2
|
1,69
|
|
0,52
|
1
|
1,71
|
1
|
|
0,55
|
2
|
1,81
|
1
|
|
0,57
|
1
|
1,82
|
1
|
|
0,63
|
1
|
1,95
|
1
|
|
0,64
|
1
|
1,99
|
1
|
|
0,65
|
2
|
2,02
|
2
|
|
0,68
|
1
|
2,17
|
1
|
|
0,71
|
1
|
2,24
|
1
|
|
0,73
|
1
|
2,48
|
1
|
|
0,74
|
1
|
2,59
|
1
|
|
0,75
|
2
|
2,68
|
1
|
|
0,77
|
1
|
2,97
|
1
|
|
0,8
|
1
|
3,16
|
1
|
|
0,82
|
1
|
3,66
|
1
|
|
0,83
|
1
|
4,06
|
1
|
|
|
4,7
|
1
|
Построим гистограмму равноинтервальным способом. Число интервалов рассчитаем по формуле
. Длина частичного
интервала вычисляется по формуле
.
Полученные значения запишем в таблицу
|
№
|
|
|
|
|
|
|
|
1
|
0,03
|
0,497
|
0,467
|
34
|
0,34
|
0,73
|
|
2
|
0,497
|
0,964
|
0,467
|
27
|
0,27
|
0,58
|
|
3
|
0,964
|
1,431
|
0,467
|
15
|
0,15
|
0,32
|
|
4
|
1,431
|
1,898
|
0,467
|
10
|
0,1
|
0,21
|
|
5
|
1,898
|
2,365
|
0,467
|
6
|
0,06
|
0,13
|
|
6
|
2,365
|
2,832
|
0,467
|
3
|
0,03
|
0,06
|
|
7
|
2,832
|
3,299
|
0,467
|
2
|
0,02
|
0,04
|
|
8
|
3,299
|
3,766
|
0,467
|
1
|
0,01
|
0,02
|
|
9
|
3,766
|
4,233
|
0,467
|
1
|
0,01
|
0,02
|
|
10
|
4,233
|
4,7
|
0,467
|
1
|
0,01
|
0,02
|
Равноинтервальная гистограмма имеет вид:
Построим гистограмму равновероятностным способом.
|
№
|
|
|
|
|
|
|
|
1
|
0,03
|
0,17
|
0,14
|
10
|
0,1
|
0,7143
|
|
2
|
0,17
|
0,25
|
0,08
|
10
|
0,1
|
1,2500
|
|
3
|
0,25
|
0,42
|
0,17
|
10
|
0,1
|
0,5882
|
|
4
|
0,42
|
0,57
|
0,15
|
10
|
0,1
|
0,6667
|
|
5
|
0,57
|
0,77
|
0,2
|
10
|
0,1
|
0,5000
|
|
6
|
0,77
|
0,96
|
0,19
|
10
|
0,1
|
0,5263
|
|
7
|
0,96
|
1,27
|
0,31
|
10
|
0,1
|
0,3226
|
|
8
|
1,27
|
1,53
|
0,26
|
10
|
0,1
|
0,3846
|
|
9
|
1,53
|
2,17
|
0,64
|
10
|
0,1
|
0,1563
|
|
10
|
2,17
|
4,7
|
2,53
|
10
|
0,1
|
0,0395
|
Равновероятностная гистограмма имеет вид:
Оценку математического
ожидания вычислим по формуле
1,00.
Оценку дисперсии вычислим
по формуле:
,
0,82,
Построим доверительный
интервал для математического ожидания при неизвестной дисперсии:
В нашем случае
1,00,
0,82,
,
,
.
;
Доверительный интервал
для математического ожидания
.
Доверительный интервал
для дисперсии
,
=1,96
(
).
По виду равноинтервальной
гистограммы выдвигаем гипотезу о том, что случайная величина X распределена по
показательному закону:
H0 :
H1 :
Определим оценку
неизвестного параметра
Предполагаемый закон
распределения
. Найдем вероятности попадания
в каждый из интервалов
Теоретические частоты
найдем по формуле
|
№
|
Интервалы
[xi; xi+1)
|
|
|
|
|
|
|
1
|
0,03
|
0,497
|
0,36
|
36,00
|
-2,00
|
4,00
|
0,1111
|
|
2
|
0,497
|
0,964
|
0,23
|
23,00
|
4,00
|
16,00
|
0,6957
|
|
3
|
0,964
|
1,431
|
0,14
|
14,00
|
1,00
|
1,00
|
0,0714
|
|
4
|
1,431
|
1,898
|
0,09
|
9,00
|
1,00
|
1,00
|
0,1111
|
|
5
|
1,898
|
2,365
|
0,06
|
6,00
|
0,00
|
0,00
|
0,0000
|
|
6
|
2,365
|
2,832
|
0,04
|
4,00
|
-1,00
|
1,00
|
0,2500
|
|
7
|
2,832
|
3,299
|
0,02
|
2,00
|
0,00
|
0,00
|
0,0000
|
|
8
|
3,299
|
3,766
|
0,01
|
1,00
|
0,00
|
0,00
|
0,0000
|
|
9
|
3,766
|
4,233
|
0,01
|
1,00
|
0,00
|
0,00
|
0,0000
|
|
10
|
4,233
|
4,7
|
0,01
|
1,00
|
0,00
|
0,00
|
0,0000
|
|
|
|
|
|
|
НАБЛ=
|
1,24
|
Число степеней свободы
определяют по формуле
. По таблице критерия Пирсона находим:
. Так как
, то
нет оснований отвергать гипотезу о показательном распределении. Проверим
гипотезу о показательном распределении с помощью
-критерия
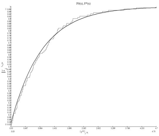
Колмогорова. Теоретическая функция распределения F0(x)
показательного закона равна
Проверим гипотезу о
нормальном распределении с помощью
-критерия
Колмогорова. Все вспомогательные расчеты сведем в таблицу.
|
№
|
Интервалы
[xi; xi+1)
|
частота в интервале
|
|
|
|
|
1
|
-2,951
|
34
|
0,34
|
0,36
|
0,02
|
|
2
|
-2,513
|
10
|
27
|
0,61
|
0,59
|
0,02
|
|
3
|
-2,075
|
8
|
15
|
0,76
|
0,73
|
0,03
|
|
4
|
-1,637
|
12
|
10
|
0,86
|
0,82
|
0,04
|
|
5
|
-1,199
|
14
|
6
|
0,92
|
0,88
|
0,04
|
|
6
|
-0,761
|
11
|
3
|
0,95
|
0,91
|
0,04
|
|
7
|
-0,323
|
9
|
2
|
0,97
|
0,93
|
0,04
|
|
8
|
0,115
|
4
|
1
|
0,98
|
0,95
|
0,03
|
|
9
|
0,553
|
16
|
1
|
0,99
|
0,96
|
0,03
|
|
10
|
0,991
|
9
|
1
|
1,00
|
0,97
|
0,03
|
;
.
То таблице квантилей
распределения Колмогорова по уровню значимости
находим
критическое значение
.
Так как
, то нет оснований отвергать гипотезу о
нормальном распределении.
10. Задача 10. По выборке
двумерной случайной величины
1.
Вычислить оценку
коэффициента корреляции;
2.
Вычислить
параметры линии регрессии
и
;
3.
Построить
диаграмму рассеивания и линию регрессии;
Решение
Найдем числовые
характеристики величин
и
.
0,88;
0,10.
1,59;
.
1,76;
.
Корреляционный момент
равен:
–0,23
Найдем уравнения
регрессии
где
;
Уравнение регрессии имеет
вид:
.
Коэффициент корреляции
равен:
.
Найдем интервальную
оценку.
.
,
Проверим гипотезу об
отсутствии корреляционной зависимости
.
Проверим нулевую гипотезу
: о равенстве нулю генерального
коэффициента корреляции, при конкурирующей гипотезе
.
.
По таблице критических
точек распределения Стьюдента, по заданному уровню
и
числу степеней свободы
найдем критическую точку
двусторонней критической области.
.
Так как
– нулевую гипотезу принимаем.