Антипростые числа
Отдел
образования гомельского городского исполнительного комитета
Государственное
учреждение образования
"Гимназия
№71 г. Гомеля"
Конкурсная
работа
"Антипростые
числа"
Исполнитель:
Мурашко Вячеслав Игоревич,
ученик 9 А класса
Руководитель:
Синюто Алла Николаевна,
учитель физики
Государственного учреждения образования
"Гимназия №71 г. Гомеля"
Гомель
2009
Оглавление
Введение
1. Исследование антипростых чисел и их свойств
1.1 Задачи об антипростых числах
1.2 Исследование
количества антипростых чисел среди натуральных чисел
1.3 Исследование
частоты встречаемости антипростых чисел среди натуральных чисел
2. Обобщения
об антипростых числах
Заключение
Список использованных источников и литературы
Приложения
Введение
На XI Республиканском турнире юных математиков, проходившем в
декабре 2009 года в Минске, одной из исследовательских тем была задача об
антипростых числах.
Цель данной работы – изучить антипростые числа и их свойства.
При выполнении работы были решены поставленные на турнире задачи об антипростых
числах, а также предложены и исследованы свои вопросы по данной теме. Объект
исследования – антипростые числа. Назовем натуральное число антипростым, если каждый его
простой делитель входит в его разложение на множители с показателем, большим 1.
Назовем натуральное число антипростым порядка р (р Î N), если каждый его простой делитель входит в его разложение
на множители с показателем не меньшим, чем р. Назовем два натуральных числа взаимно
антипростыми, если их наибольший общий делитель является антипростым числом. Антипростые числа являются
естественным обобщением фигурирующих в проблеме бельгийского математика Э. Каталана
правильных степеней (1844 г.), которую пытались решать такие выдающиеся
математики как Лео Гебракус, Френикль де Бесси, Л. Эйлер, В. А. Лебег, Т. Нагель
и др. В 2003 году румынский математик П. Михайлеску доказал справедливость
гипотезы Каталана. Тематика данной исследовательской работы является достаточно
новой. При проведении анализа источников информации непосредственно ссылок на
задачу об антипростых числах в такой постановке было найдено две – это статья В.
Сендерова, Б. Френкина "Гипотеза Каталана" в журнале "Квант"
№ 4 2007 года и задача М2032 об антипростых числах – близнецах В. Сендерова из
того же журнала. В процессе выполнения данной работы потребовались более
углубленные знания по теории чисел, которые были получены из таких источников информации,
как Оре О. "Приглашение в теорию чисел", Виноградов И.М. "Основы
теории чисел" и др.
1. Исследование
антипростых чисел и их свойств
1.1 Задачи об антипростых
числах
При изучении антипростых
чисел и их свойств были решены ряд следующих задач, поставленных на XI турнире
юных математиков.
1.
Покажите, что в
натуральном ряду не могут идти подряд четыре антипростых числа.
Решение. Среди подряд идущих четырех
натуральных чисел два – чётные. Их разность равна 2, т.е. при делении на 4 одно
из них даёт в остатке 2, другое 0. Следовательно, одно из этих чисел делится на
но не делится на
, т.е. не антипростое. Заметим также,
что эти два четных числа не могут быть взаимноантипростыми и антипростыми
порядка p.
2.
Могут ли три
антипростых числа быть длинами сторон прямоугольного треугольника?
Решение. Три антипростых
числа могут быть длинами сторон прямоугольного треугольника.
Приведем в качестве
примера треугольник со следующими длинами сторон:
,
,
.
Доказательством того, что этот треугольник является прямоугольным, является
выполнимость теоремы Пифагора:


.
Заметим также, что эти
числа взаимноантипросты и антипростые порядка p.
3.
Могут ли три
(четыре, пять, …) антипростых числа быть членами арифметической прогрессии?
Решение. Любое количество антипростых чисел может быть членами
арифметической прогрессии.
Примером являются
следующие n подряд идущие члены арифметической прогрессии:
, 2
, 3
, …,
с
разностью
, где p > 1.
Эти числа также взаимноантипросты
и антипростые порядка
.
4.
Могут ли пять
антипростых чисел составлять множество чисел вида a, a ± b, a ± (b + c) и
т.д.?
Решение. Ответ на этот
вопрос зависит от величины чисел b и c.
Например, если они равны по 1, то из первой задачи следует, что таких пяти
антипростых чисел нет (нет 4 подряд идущих). Но найти такие a, b и c, что
a, a ± b, a ± (b + c) антипростые можно. Например, 2
, 4
, 5
, 6
, 8
, где
n > 8, p > 1. Заметим, что эти числа
взаимноантипросты и антипростые порядка
.
Легко получить сколько
угодно слагаемых такого вида, выбирая различные a, b и c, а затем домножая на
с соответствующим n.
5.
Покажите, что во
множестве натуральных чисел существуют тройки подряд идущих чисел, среди
которых два являются антипростыми.
Решение. Во множестве
натуральных чисел существуют тройки подряд идущих чисел, среди которых два
являются антипростыми. Например, (7, 8, 9), (8, 9, 10), (25, 26, 27). В первой тройке второе
число и третье число, во второй тройке первое число и второе число, а в третьей
тройке первое число и третье число являются антипростыми числами.
6.
Покажите, что
таких троек бесконечно много.
Решение. Покажем, что
таких троек бесконечно много.
Рассмотрев первую тройку
(p–1, p, p+1), из которой p и p+1
антипростые числа, получаем тройку (q–1, q, q+1), где числа q = 4×p×(p+1) = (2p+1)2 – 1 и q+1 =
, очевидно, антипростые как
произведение антипростых чисел и квадрат, который всегда антипростое число. Из
тройки (7, 8, 9) получим тройку (287, 288, 289), из нее (332 927, 332 928, 332 929)
и так далее. В результате получим бесконечное число таких троек.
Аналогичный алгоритм
применяется и для троек вида (p, p+1, p+2),
в которой p и p+1 антипростые числа.
В журнале КВАНТ №4 за
2007 год [2] приведен простой алгоритм, как из третьего вида тройки получить
бесконечную серию таких троек. Он опирается на равенство (2n3+3n)2+2=(2n2+1)2(n2+2), которое легко проверяется раскрытием скобок.
Действительно, раскрыв скобки слева и справа, получим 4n6+12n4+9n2+2. Но тогда с тройкой (n2, n2+1, n2+2), в которой n2 и n2+2 являются антипростыми, получаем тройку (k2, k2+1, k2+2), где k = 2n3+3n. Согласно
доказанному выше равенству k2 и k2+2 являются антипростыми числами. Так из (25, 26, 27)
получаем (70 225, 70 226, 70 227) = (2652, 2652+1, 172´35). Взяв n = 265, получим
следующую тройку и так далее.
7.
Могут ли все три
числа n - 1, n, n + 1 быть антипростыми?
Решение. Доказать, что нет трех подряд идущих
антипростых чисел или найти такую тройку не удалось. Однако заметим, что в
журнале КВАНТ №4 за 2007 год [1] также отмечается, что ответ на этот вопрос
авторам неизвестен. Во всяком случае, среди чисел до 2 000 000 таких троек нет.
Мною повышена эта оценка до 3 136 000 000 чисел.
Верно следующее утверждение.
Если существует тройка
анипростых чисел n - 1,
n, n + 1, то существует антипростое число вида
.
Доказательство:
Докажем, что если
существует тройка антипростых чисел вида n - 1, n, n + 1, то число n чётное. Действительно, если числа n - 1, n +1 – чётные, то их разность равна 2, т.е. при делении
на 4 одно из них даёт в остатке 2, другое 0. Следовательно, одно из этих чисел
делится на
, но не делится на
, т.е. не антипростое - противоречие.
Так как
антипростое и чётное, то оно делится на
4, то есть имеет вид
. Тогда
. Антипростое число, умноженное на
антипростое число – анипростое число. То есть число
тоже
антипростое.
Верно и обратное
утверждение.
Если существует
антипростое число вида
(4k – антипростое), то и существует тройка подряд идущих
антипростых чисел.
Доказательство:
, НОД(
)=1. Значит
числа
антипростые, то есть существует тройка
подряд идущих антипростых чисел.
Данное утверждение
равносильно задаче о существовании трёх подряд идущих антиростых чисел. Саму
задачу решить сложно. Но, возможно, проще окажется задача о существовании
антипростого числа вида
. И если такое число
существует, может ли при этом 4k быть
антипростым?
Заметим, что из тройки
анипростых чисел (n2, n2+1, n2+2), в которой n2 и n2+2 являются антипростыми, можно
получить числа
и
,
являющиеся антипростыми (антипростое умноженное на антипростое число –
анипростое число).
Но с помощью данного
алгоритма нельзя получить антипростое число вида
.
Действительно, n2 и n2+2 – нечётны, то есть
–
чётное, так как n2 имеет вид
,
то
делится на 16, но не делится на 4,
следовательно,
не представимо в виде
.
1.2 Исследование
количества антипростых чисел среди натуральных чисел
Будем исследовать
количество антипростых чисел среди натуральных чисел в следующем смысле.
Необходимо попытаться
найти или оценить количество антипростых чисел на различных отрезках (например,
от 1 до 1000, от 1 до 1000000, от 1 до М (для произвольных натуральных значений
М), от 1000 до 1000000 и т.п.), получить какие-либо общие закономерности.
Обозначим через p(т) количество антипростых чисел
среди всех натуральных чисел от 1 до т.
Обозначим через p(k, т) количество антипростых чисел среди всех натуральных
чисел от k до т.
Для оценки количества
антипростых чисел на различных отрезках была разработана программа на Паскале, которая
находит антипростые числа (см Приложение Б).
Из таблицы (см Приложение
А), которую выводит программа, несложно подсчитать количество антипростых чисел
для различных заданных отрезков. Например, от 1 до 1000 имеется 53 антипростых
числа, от 1001 до 2000 – 24, от 2001 до 3000 – 18, от 3001 до 4000 – 19, от
4001 до 5000 – 13, от 5001 до 6000 – 13, от 6001 до 7000 – 12, от 7001 до 8000
– 11, от 8001 до 9000 – 11, от 9001 до 10 000 – 10 и т.д.
Но чтобы увидеть
некоторую закономерность, попытаемся рассуждать, как и с простыми числами.
Хорошо известен постулат
Бертрана [3, 4, 5, 6]: для любого натурального n
2 на отрезке [n; 2n] лежит как минимум одно
простое число. Такая
гипотеза была выдвинута в 1845 году французским математиком Бертраном
(проверившим её до n=3000000) и доказана в 1850 Чебышёвым. Рамануджан в 1920
году нашёл более простое доказательство, а Эрдёш в 1932 — ещё более простое.
Для антипростых чисел
заметим нечто похожее.
На отрезке [n; n+2∙[
]+1] находится квадрат натурального числа. Действительно,
если n точный квадрат, то и n+2∙[
]+1 точный квадрат. Если n не квадрат
натурального числа, то число ([
]+1)2 –
точный квадрат лежит на отрезке [n; n+2∙[
]+1]. Заметим, что для n > 5 длина отрезка [n; n+2∙[
]+1] меньше n.
По аналогии докажем что на отрезке [n; n+2∙[
]+1+2∙[
]+3] лежит 2 квадрата натуральных чисел (т.е. 2 антипростых
числа). Очевидно, что
и
.
Если n не точный квадрат натурального числа, то число ([
]+1)2
и
– точные квадраты лежат на отрезке [n; n+2∙[
]+1+2∙[
]+3]. Заметим, что для n > 10 длина этого отрезка меньше n.
Рассуждая аналогично, с
учетом
, доказывается, что на отрезке
лежит
k квадратов натуральных чисел (где
– сумма всех
нечётных чисел от 1 до 2k-1, т.е.
). Заметим, что для любого
натурального k найдётся натуральное n такое что,
(например,
n = 9k2), т.е. существует такое n, для которого
. Следовательно, с
возрастанием n минимальное количество антипростых
чисел на отрезках [n; 2n] увеличивается.
Заметим также, что аналог
гипотезы Лежандра [3] о том, что для любого n ≥ 2 найдётся простое число
в интервале [n2; (n+1)2], для антипростых чисел
выполняется. Ведь любой квадрат сам по себе уже антипростое число.
Для оценки количества
чисел на отрезке от 1 до n
построим график, на котором по оси Ox будем откладывать числа от 1 до 1 500 000, а по оси Oy – значение
функции p(n), т.е. количество антипростых чисел на отрезке от [1; n] (см рис. 1).
Рисунок 1 – График
функции p(n)
Сравним график на рис. 1
с графиком функции
(см рис.2).
Рисунок 2 – График
функции
Для сравнения на рисунке
3 представлены одновременно графики функций p(n) и
. Исследования показали, что на отрезке до n=420000
p(n), а далее 
p(n), причём процент
ошибки небольшой (см. таблицу 1 в Приложение В). Так как вначале
p(n), то процент ошибки убывает, после n=420000 он начинает возрастать, и при n=2000000 он
приблизительно равен 2% .
Рисунок 3 – Сравнение
графиков функций p(n) и
1.3 Исследование частоты
встречаемости антипростых чисел среди натуральных чисел
Будем исследовать частоту
встречаемости антипростых чисел среди натуральных чисел в следующем смысле. Необходимо
исследовать свойства частоты встречаемости антипростых чисел на отрезках длины
т, расположенных в ряду натуральных чисел от 1 до 1000000 и др. и получить какие-либо
общие закономерности. Назовем частотой встречаемости антипростых чисел на
отрезке [1, т] число t(т)
= p(т)/т. Аналогично t(k, т) = p(k, т)/(т – k +1) – частота встречаемости антипростых чисел на отрезке [k, т]. Для оценки частоты встречаемости антипростых чисел на
отрезке от 1 до m построим графики
функций t(т) = p(т)/т (см рис. 4).
Рисунок 4 – График
функции
Изучив график частоты t(т) = p(т)/т встречаемости антипростых чисел на отрезке от 1 до m, получим, что при
малых значениях m он колеблется, то возрастая, то убывая (максимумы при
антипростых m), но достигнув своего наибольшего значения
при m = 9 приобретает тенденцию к убыванию.
На рисунке 5 представлен
графики функций t(т)
и y(x)=
(
) для
.
Рисунок 5 - График
функции t(т) и y(x)=
Из графика на рис. 5 и из
предыдущего пункта при больших m получаем гипотезу t(т)
.
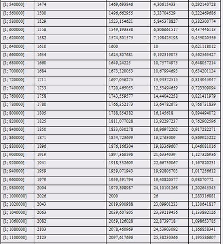
В таблице 2 (см
Приложение Г) приведено сравнение значений функций t(m), f(m)=
и y(x)=
до m= 1500000 и вычислена
средняя ошибка приближения.
Средняя ошибка
приближения функции t(m) к функции f(m)=
составила 1,185812%, а к функции y(x)=
– 0,280031%.
Исследование функции t(k, т) = p(k, т)/(т – k +1) – частоты встречаемости антипростых чисел на отрезке [k, т], не позволило выявить
закономерностей. Ясно лишь, что она при любом m принимает значения от 0 до 1.
Всего различных значений не более m+1, а при m > 3 не более m и среди них
будет 1. Есть гипотеза (строго это не доказано), что t(k, т) не периодическая функция. Это также будет следовать из
доказанной ниже теоремы 5.
2 Обобщения об
антипростых числах
Цель данной работы не
только решить поставленные на турнире задачи, но и предложить свои вопросы для
исследования задачи об антипростых числах и исследовать их.
Докажем ряд теорем,
которые могут представлять интерес при исследовании антипростых чисел.
Теорема 1. Любое нечетное
число можно представить как разность двух антипростых чисел.
Доказательство:
Заметим, что 1 = 9 – 8 и
3 = 128 – 125. Пусть теперь 2p + 1 –
произвольное нечетное число и p > 1. Тогда числа p2 и (p + 1)2
– антипростые. Их разность, как легко заметить, равна 2p + 1.
Теорема 2. Любое натуральное
число, делящееся на 4, можно представить как разность двух антипростых чисел.
Доказательство: Заметим,
что 4 = 8 – 4 и 8 = 16 – 8. Пусть теперь 4p – произвольное число, делящееся на 4 и p > 2. Тогда числа
(p – 1)2 и (p + 1)2 – антипростые. Их разность, как легко
заметить, равна 4p.
Теорема 3 . Существует отрезок любой длины в
натуральном ряду, на котором нет антипростых чисел.
Доказательство: Рассмотрим
систему сравнений:
(
–простые числа и
).
Если данная система имеет
решения, то тогда получим последовательность чисел длины
такую, что каждый её член делится на
(
), но
не делится на
, то есть не является
антипростым числом. Но данная система имеет решения по Китайской теореме об
остатках (числа
попарно взаимно простые).
Значит существует отрезок
любой длины в натуральном ряду, на котором нет антипростых чисел.
Примечание. Китайская
теорема об остатках[6].
Если
–
попарно взаимно простые числа,
– такие числа, что
, то существует такое
число
, что
при
всех
.
Также нам понадобиться
следующий известный факт:
Лемма. Пусть НОД(b;d) = 1. Тогда найдется бесконечно много членов арифметической
(геометрической) прогрессии с начальным членом 1 и разностью (знаменателем) b
сравнимых с 1 по модулю d.
Теорема 4. В любой арифметической прогрессии (a0,d Î N, a0 > 0), у которой НОД(a0;d) – антипростое
или 1, бесконечно много антипростых чисел.
Доказательство:
Пусть НОД(a0;d) = 1.
Рассмотрим арифметическую прогрессию с членами вида a0 + a0kd.
Каждый ее член является членом исходной арифметической прогрессии. При
члены этой прогрессии антипростые
числа. Но согласно лемме, найдется бесконечно много таких k. Следовательно,
прогрессия содержит бесконечно много антипростых чисел.
В случае, когда НОД(a0;d) –
антипростое, рассуждения аналогичны.
Теорема 5. Не существует арифметической
прогрессии (
,
)
состоящей только из антипростых чисел или такой у которой после n-ого члена все члены – антипростые
числа.
Доказательство:
Если все члены
арифметической прогрессии (разность
,
) после
-ого
члена (
) – антипростые числа, то взяв
арифметическую прогрессию с
и разностью
, получим арифметическую прогрессию,
состоящую только из антипростых чисел.
Пусть существует
арифметическая прогрессия, состоящая только из антипростых чисел (
).
Рассмотрим
, и простое число
.
Если
представимо в виде
(то есть сравнение
имеет решение), то тогда
не антипростое число (делится на
, но
не делится на
).
Но сравнение
имеет решение согласно лемме, так как
НОД(
)=1. Значит
не антипростое число – противоречие.
Значит не существует
арифметической прогрессии, состоящей только из антипростых чисел.
Следствие. В любой
арифметической прогрессии(
,
) бесконечно много не антипростых чисел (если
, то и
).
Одно из примечательных в
теории чисел понятий – совершенное число. Это натуральное число, равное сумме
своих натуральных делителей, исключая само число. На октябрь 2008 г. известно только 46 чётных совершенных чисел, нечетных
совершенных чисел найдено не было. Встает вопрос, а могут ли антипростые числа
быть совершенными? В этой связи интересны следующие две теоремы.
Теорема 6. Число вида
не
совершенно (
– простое,
–
натуральное).
Действительно, если
– совершенно, то верно следующее:
Следовательно
– не совершенно.
Теорема 7. Число вида
не
совершенно (
– целое).
Доказательство:
Пусть
совершенно. Рассмотрим два случая:
1.
– чётно. Представим
в виде произведения простых множителей:
. Количество натуральных делителей
числа
равно
,
притом количество чётных
их сумма чётна,
нечётных
их сумма нечётна, сумма всех
натуральных делителей
– нечётна, но их сумма равна
– противоречие.
2.
– нечётно. Представим
в виде произведения простых множителей:
. Количество натуральных делителей
числа
равно
,
сумма их нечётна, но она же равна
– противоречие.
Сложным оказался вопрос о
существовании трёх подряд идущих антипростых числах, пытаясь его ослабить, мы
попытались рассмотреть совместное расположение последовательно расположенных
простых и антипростых чисел. При этом нами был поставлен ряд вопросов, на
которые удалось получить ответы.
Вопрос 1. Существуют ли
три подряд идущих натуральных числа, каждое из которых является либо простым,
либо антипростым?
Ответ. Рассмотрим тройки
вида (p1; p2; a) (a; p1; p2): Одно из чисел p1 или p2
чётное, то есть 2,
так как 1 не антипростое и не простое, то троек (a; p1; p2) нет. А тройка (p1; p2; a) всего
одна (2;3;4).
Рассмотрим тройки вида (
).
–
нечётные (иначе одно не анипростое по задачи 1 пункта 1.1), тогда
– чётно, то есть 2, но 1 не
антипростое, то есть данной тройки не существует.
Очевидно, что тройки (p1; p2; p3 ) не существует.
Тройки (p; a1; a2), (p1; a; p2), (
) существуют: (7; 8;
9), (3; 4; 5), (675;676;677) но доказать их конечность или бесконечность не
удалось.
Примечание. В приведенных
обозначениях p – простое число, a – антипростое число.
Вопрос 2. Существуют ли
четыре подряд идущих натуральных числа, каждое из которых является либо
простым, либо антипростым?
Ответ. Среди четырёх
подряд идущих натуральных чисел два чётных, но из задачи 1 пункта 1.1, следует
что они одновременно не могут быть антипростыми, также как и простыми. Значит,
если существует четвёрка, то одно из них простое. Так как 1 не антипростое, то
имеем только одну четвёрку: (2;3;4;5).
Вопрос 3. Существуют ли
пять или более подряд идущих натуральных чисел, каждое из которых является либо
простым, либо антипростым?
Ответ. Как показано выше,
существует только одна четверка подряд идущих натуральных числа, каждое из
которых является либо простым, либо антипростым. Если бы существовало пять или
более подряд идущих натуральных чисел, удовлетворяющих условию, то они содержали
бы эти четыре числа. Но 6 и 1 не простое и не антипростое. Значит, таких чисел
нет.
Заключение
В процессе выполнения
данной работы были решены задачи, предлагаемые на XI турнире юных математиков, и получены следующие результаты.
Для исследования
антипростых чисел была разработана программа на Паскале, которая вычисляет
антипростые числа. В Приложении А представлена таблица антипростых чисел на
отрезке до
. В принципе программа позволяет
повысить значение n до большей
величины, а также дает
ответ, что среди чисел на отрезке до
3136000000 троек
антипростых чисел вида n
- 1, n, n + 1 не найдено.
При исследовании
количества антипростых чисел были проведены сравнения значений функции p(n) с функцией
, которые показали,
на отрезке до n=420000
p(n), а далее
p(n), причём процент
ошибки небольшой. Так как вначале
p(n), то процент ошибки убывает, после n=420000 он начинает возрастать, и при n=2000000 он
приблизительно равен 2%.
При исследовании частоты
встречаемости антипростых чисел среди натуральных чисел были проведены
сравнения значений функции t(m) с функцией f(m)=
и t(m) с полученной функцией
y(x)=
(
) до m= 1500000. Вычислена средняя
ошибка приближения. Средняя ошибка приближения функции t(m) к функции f(m)=
составила 1,185812%,
а к функции y(x)=
- 0,280031%.
В обобщениях об
антипростых числах были сформулированы и доказаны семь теорем, а также три
вопроса.
В заключении следует
отметить, что тематика данной исследовательской работы является достаточно
новой и поэтому и достаточно интересной.
В дальнейшем планирую
продолжать исследовать антипростые числа.
Список
использованных источников и литературы
1.
Сендеров В.,
Френкин Б. Гипотеза Каталана. - журнал "Квант",
2007, №4. – С. 8-10.
2.
Сендеров В.
Решение задачи М2032. – журнал Квант", 2007, №4. – С. 19-21.
3.
Оре О.
Приглашение в теорию чисел – Серия "Библиотечка "Квант"",
М. 1980. – 128 с.
4.
Виноградов И.М.
Основы теории чисел. – М.: Наука, 1972. – 168 с.
5.
Нестеренко Ю.В.
Теория чисел. – М.: Академия, 2008. -273 с.
6.
Манин Ю.И.,
Панчишкин А.А. Теория чисел I. Введение в теорию чисел. – М.: ВИНИТИ, 1989.-
402 с.
Приложение A - +Таблица антипростых чисел
Приложение Б – Программа
нахождения антипростых чисел
program
Project2;
var
k:real;
b,t,i,j,m,n:longint;
a:array[1..2000000]
of longint;
begin
assign(output,'output.txt');
rewrite(output);
m:=3;
a[1]:=2;
a[2]:=3;
for i:=4 to
2000000 do begin
t:=1;
k:=sqrt(i);
b:=trunc(k);
for j:=2 to b
do
if(i mod j)=0
then
t:=t+1;
if t=1 then
begin
a[m]:=i;
m:=m+1;
end;
end;
n:=1;
for i:=1 to
2000000 do begin
t:=1;
for j:=1 to
m-1 do
if(i mod
a[j])=0 then begin
b:=i div a[j];
if (b mod
a[j])=0 then
t:=t+1
else
begin
t:=1;
break;
end;
end;
if t>1 then
begin
writeln(i);
end;
end;
readln;
close(output);
end.
Приложение В – Таблица сравнения значений функций p(n) и
Таблица 1 – Сравнение значений
функций p(n) и
Приложение Г – Таблица
сравнения значений функций t(m), f(m)=
и y(x)=
Таблица 2 – Сравнение значений
функций t(m), f(m)=
и y(x)=
|
Отрезок
[1; m]
|
Количество антипростых чисел p(n)
|
Значение функции
t(m)
|
Значение функции
f(m)=
|
Значение функции
y(x)=
|
|
|
|
[1; 20000]
|
266
|
0,0133
|
0,014142
|
0,0134
|
6,331847
|
0,75188
|
|
[1; 40000]
|
382
|
0,00955
|
0,01
|
0,009582228
|
4,712042
|
0,337463
|
|
[1; 60000]
|
473
|
0,007883
|
0,008165
|
0,007875417
|
3,572505
|
0,100424
|
|
[1; 80000]
|
551
|
0,006888
|
0,007071
|
0,006852171
|
2,665231
|
0,512948
|
|
[1; 100000]
|
618
|
0,00618
|
0,006325
|
0,006150963
|
2,339083
|
0,469855
|
|
[1; 120000]
|
677
|
0,005642
|
0,005774
|
0,005631644
|
2,336828
|
0,177647
|
|
[1; 140000]
|
734
|
0,005243
|
0,005345
|
0,005226926
|
1,952517
|
0,30386
|
|
[1; 160000]
|
785
|
0,004906
|
0,005
|
0,00489993
|
1,910828
|
0,128818
|
|
[1; 180000]
|
837
|
0,00465
|
0,004714
|
0,004628521
|
1,377316
|
0,461906
|
|
[1; 200000]
|
885
|
0,004425
|
0,004472
|
0,004398502
|
1,065219
|
0,598824
|
|
[1; 220000]
|
927
|
0,004214
|
0,004264
|
0,004200287
|
1,195594
|
0,316802
|
|
[1; 240000]
|
971
|
0,004046
|
0,004082
|
0,004027142
|
0,90586
|
0,461997
|
|
[1; 260000]
|
1010
|
0,003885
|
0,003922
|
0,003874173
|
0,970683
|
0,268815
|
|
[1; 280000]
|
1053
|
0,003761
|
0,00378
|
0,003737731
|
0,503374
|
0,611139
|
|
[1; 300000]
|
1089
|
0,00363
|
0,003651
|
0,00361503
|
0,591838
|
0,41241
|
|
[1; 320000]
|
0,003519
|
0,003536
|
0,003503899
|
0,476985
|
0,42206
|
|
[1; 340000]
|
1165
|
0,003426
|
0,00343
|
0,003402621
|
0,102178
|
0,696032
|
|
[1; 360000]
|
1198
|
0,003328
|
0,003333
|
0,003309817
|
0,166945
|
0,539728
|
|
[1; 380000]
|
1228
|
0,003232
|
0,003244
|
0,003224362
|
0,397622
|
0,223323
|
|
[1; 400000]
|
1266
|
0,003165
|
0,003162
|
0,003145332
|
0,086014
|
0,621423
|
|
[1; 420000]
|
1296
|
0,003086
|
0,003086
|
0,003071957
|
0,011431
|
0,445845
|
|
[1; 440000]
|
1329
|
0,00302
|
0,003015
|
0,00300359
|
0,176831
|
0,558332
|
|
[1; 460000]
|
1359
|
0,002954
|
0,002949
|
0,002939686
|
0,186461
|
0,496296
|
|
[1; 480000]
|
1387
|
0,00289
|
0,002887
|
0,002879775
|
0,098007
|
0,339428
|
|
[1; 500000]
|
1422
|
0,002844
|
0,002828
|
0,002823459
|
0,547569
|
0,722272
|
|
[1; 520000]
|
1444
|
0,002777
|
0,002774
|
0,002770389
|
0,123233
|
0,235313
|
|
[1; 540000]
|
1474
|
0,00273
|
0,002722
|
0,002720264
|
0,292141
|
0,34312
|
|
[1; 560000]
|
1500
|
0,002679
|
0,002673
|
0,00267282
|
0,22247
|
0,214713
|
|
[1; 580000]
|
1529
|
0,002636
|
0,002626
|
0,002627826
|
0,382301
|
0,317905
|
|
[1; 600000]
|
1556
|
0,002593
|
0,002582
|
0,002585077
|
0,437446
|
0,318356
|
|
[1; 620000]
|
1582
|
0,002552
|
0,00254
|
0,002544392
|
0,455021
|
0,282996
|
|
[1; 640000]
|
1610
|
0,002516
|
0,0025
|
0,002505609
|
0,621118
|
0,398166
|
|
[1; 660000]
|
1634
|
0,002476
|
0,002462
|
0,002468583
|
0,562565
|
0,289788
|
|
[1; 680000]
|
1660
|
0,002441
|
0,002425
|
0,002433186
|
0,648057
|
0,327323
|
|
[1; 700000]
|
1684
|
0,002406
|
0,00239
|
0,002399301
|
0,634201
|
0,266598
|
|
[1; 720000]
|
1711
|
0,002376
|
0,002357
|
0,002366822
|
0,814946
|
0,402569
|
|
[1; 740000]
|
1733
|
0,002342
|
0,002325
|
0,002335656
|
0,723309
|
0,266293
|
|
[1; 760000]
|
1758
|
0,002313
|
0,002294
|
0,002305714
|
0,821412
|
0,321793
|
|
[1; 780000]
|
1780
|
0,002282
|
0,002265
|
0,00227692
|
0,766732
|
0,224861
|
|
[1; 800000]
|
1805
|
0,002256
|
0,002236
|
0,002249201
|
0,894494
|
0,312442
|
|
[1; 820000]
|
1825
|
0,002226
|
0,002209
|
0,002222491
|
0,762903
|
0,14014
|
|
[1; 840000]
|
1850
|
0,002202
|
0,002182
|
0,002196731
|
0,917282
|
0,256558
|
|
[1; 860000]
|
1871
|
0,002176
|
0,002157
|
0,002171865
|
0,869925
|
0,170839
|
|
[1; 880000]
|
1896
|
0,002155
|
0,002132
|
0,002147842
|
1,046081
|
0,311116
|
|
[1; 900000]
|
1919
|
0,002132
|
0,002108
|
0,002124617
|
1,127327
|
0,356696
|
|
[1; 920000]
|
1941
|
0,00211
|
0,002085
|
0,002102144
|
1,16782
|
0,362034
|
|
[1; 940000]
|
1959
|
0,002084
|
0,002063
|
0,002080386
|
1,017257
|
0,17547
|
|
[1; 960000]
|
1979
|
0,002061
|
0,002041
|
0,002059303
|
0,980708
|
0,104546
|
|
[1; 980000]
|
2004
|
0,002045
|
0,00202
|
0,002038862
|
1,202645
|
0,295148
|
|
[1; 1000000]
|
2026
|
0,002026
|
0,002
|
0,002019032
|
1,283317
|
0,34395
|
|
[1; 1020000]
|
2043
|
0,002003
|
0,00198
|
0,001999781
|
1,130642
|
0,157798
|
|
[1; 1040000]
|
2063
|
0,001984
|
0,001961
|
0,001981082
|
1,133892
|
0,129668
|
|
[1; 1060000]
|
2082
|
0,001964
|
0,001943
|
0,001962909
|
1,098654
|
0,063238
|
|
[1; 1080000]
|
2103
|
0,001947
|
0,001925
|
0,001945238
|
1,166858
|
0,101911
|
|
[1; 1100000]
|
2123
|
0,00193
|
0,001907
|
0,001928046
|
1,195587
|
0,101258
|
|
[1; 1120000]
|
2145
|
0,001915
|
0,00189
|
0,001911311
|
1,32396
|
0,201927
|
|
[1; 1140000]
|
2162
|
0,001896
|
0,001873
|
0,001895015
|
1,229618
|
0,077865
|
|
[1; 1160000]
|
2184
|
0,001883
|
0,001857
|
0,001879137
|
1,370608
|
0,192382
|
|
[1; 1180000]
|
2202
|
0,001866
|
0,001841
|
0,00186366
|
1,337144
|
0,130865
|
|
[1; 1200000]
|
2221
|
0,001851
|
0,001826
|
0,001848567
|
1,355685
|
0,122443
|
|
[1; 1220000]
|
2241
|
0,001837
|
0,001811
|
0,001833843
|
1,424712
|
0,165603
|
|
[1; 1240000]
|
2259
|
0,001822
|
0,001796
|
0,001819473
|
1,411875
|
0,126297
|
|
[1; 1260000]
|
2276
|
0,001806
|
0,001782
|
0,001805443
|
1,362283
|
0,050154
|
|
[1; 1280000]
|
2296
|
0,001794
|
0,001768
|
0,00179174
|
1,448532
|
0,11207
|
|
[1; 1300000]
|
2315
|
0,001781
|
0,001754
|
0,00177835
|
1,496724
|
0,135835
|
|
[1; 1320000]
|
2332
|
0,001741
|
0,001765263
|
1,465478
|
0,079447
|
|
[1; 1340000]
|
2351
|
0,001754
|
0,001728
|
0,001752467
|
1,524144
|
0,114608
|
|
[1; 1360000]
|
2369
|
0,001742
|
0,001715
|
0,001739951
|
1,545768
|
0,112571
|
|
[1; 1380000]
|
2390
|
0,001732
|
0,001703
|
0,001727705
|
1,695899
|
0,241297
|
|
[1; 1400000]
|
2404
|
0,001717
|
0,00169
|
0,00171572
|
1,562732
|
0,082873
|
|
[1; 1420000]
|
2422
|
0,001706
|
0,001678
|
0,001703986
|
1,598883
|
0,096612
|
|
[1; 1440000]
|
2437
|
0,001692
|
0,001667
|
0,001692495
|
1,51826
|
0,007898
|
|
[1; 1460000]
|
2459
|
0,001684
|
0,001655
|
0,001681238
|
1,723904
|
0,17863
|
|
[1; 1480000]
|
2473
|
0,001671
|
0,001644
|
0,001670208
|
1,613222
|
0,044179
|
|
[1; 1500000]
|
2493
|
0,001662
|
0,001633
|
0,001659396
|
1,745297
|
0,156651
|
|
Средняя ошибка
|
|
1,185812
|
|
|
Средняя ошибка
|
|
0,280031
|