Теорія систем та системний аналіз

  • Вид работы:
    Контрольная работа
  • Предмет:
    Математика
  • Язык:
    Русский
    ,
    Формат файла:
    MS Word
    61,65 kb
  • Опубликовано:
    2010-07-30
Вы можете узнать стоимость помощи в написании студенческой работы.
Помощь в написании работы, которую точно примут!

Теорія систем та системний аналіз












Контрольна робота

з дисципліни «Теорія систем та системний аналіз»

Варіант 6


Прізвище та ініціали викладача

Чорней Руслан Костянтинович








Київ 2010

1. Вимірювальні шкали

Вимірювання — це алгоритмічна операція, яка заданому спостережуваному стану об'єкта чи процесу ставить у відповідність певне позначення: число, номер або символ. Це забезпечує інформативність результатів вимірювань про спостережуваний об'єкт; кількість же інформації залежить від повноти цієї відповідності та розмаїтості варіантів. Потрібну нам інформацію ми одержуємо з результатів вимірювань за допомогою їх перетворень або обробки експериментальних даних.

Ступінь відповідності між станами та їх позначеннями залежить не тільки від організації вимірювань (тобто від експериментатора), але й від природи досліджуваного явища.

Ми будемо розглядати лише такі об'єкти, про будь-які два стани яких можна сказати, розрізняються вони чи ні, і тільки такі алгоритми вимірювання, які різним станам ставлять у відповідність різні позначення, а нерозрізнюваним станам — однакові. Це означає, що як стан об'єкта, так і його позначення задовольняють таким аксіомам тотожності:

або А = В, або А ≠ В;

якщо А = В, то В = А;

якщо А = В та В = С, то А = С.

1.1 Кількісне визначення та вимірювання

Номер — це матеріальний або квазіматеріальний символ. Номери мають властивість упорядкованості лише внаслідок довільній домовленості. До номерів незастосовні правила додавання та віднімання. Що стосується чисел, то це математичне поняття. Вони мають властивість упорядкованості внаслідок їх "реальності". На відміну від номерів, до чисел застосовні закони додавання та віднімання.

Відмінність між кількістю та якістю пов'язана з різницею між кількістю речовини та її властивостями. Уважають, що кількість речовини в тілі — це щось таке, що збільшується після об'єднання двох тіл, а властивість (якість) речовини — ознаки, які не змінюються внаслідок об'єднання двох однакових тіл. Отже, характеристики речовини, що задовольняють закону додавання (мають властивість адитивності), — це кількісні показники речовини, а ті, для яких закон додавання не діє, — якісні. Наприклад, маса, об'єм, довжина — кількісні характеристики, а питома вага, концентрація — якісні (хоча їх також можна подати за допомогою чисел, тобто кількісно).

Тіла можуть мати властивості, до яких застосовні шкали вимірювання з різним степенем вільності та силою. У разі вимірювання характеристик речовини виконуються такі умови:

існують два види характеристик: кількісні та якісні;

вимірювати можна обидва види характеристик, але, узагалі кажучи, кількісні характеристики припускають вимірювання "вищогорівня", ніж якісні;

"рівень" вимірювання характеристики залежить від її властивостей — транзитивності, симетричності, адитивності тощо, що визначають шкалу вимірювання, яку можна застосовувати.

1.2 Шкали найменувань

Припустімо, що кількість розпізнаваних станів (математичний термін — кількість класів еквівалентності) скінченна. Кожному стану поставимо у відповідність позначення, відмінне від позначень інших класів. Тоді вимірювання полягає в тому, щоб, провівши експеримент над об'єктом, визначити належність результату до того чи іншого класу еквівалентності й записати це за допомогою символу, який позначає цей клас. Такий процес називається вимірюванням у шкалі найменувань (іноді цю шкалу називають також номінальною чи класифікаційною), її утворює зазначена множина символів.

Найприродніше використовувати шкалу найменувань для класифікації дискретних за своєю природою явищ (наприклад, різних об'єктів). Позначати класи можна як словами природної мови (наприклад, географічні назви, власні імена людей тощо), довільними символами (герби та прапори держав, емблеми родів військ, різноманітні значки тощо), номерами (реєстраційні номери автомобілів, офіційних документів, номери на майках спортсменів), так і різноманітними комбінаціями (наприклад, поштові адреси, екслібриси приватних бібліотек, печатки тощо). Усі ці позначення еквівалентні простій нумерації, але на практиці часто віддають перевагу іншим позначенням.

Перейдемо до питання про допустимі операції над даними, вираженими в номінальній шкалі. Ще раз наголосимо, що позначення класів — це лише символи, навіть якщо для цього використано номери. Номери лише зовні мають вигляд чисел, але не мають їх властивостей. Якщо в одного спортсмена на спині номер 4, а в іншого — 8, то можна тільки дійти висновку, що це різні учасники змагань; не можна сказати, наприклад, що один із них удвічі кращий чи що в одного форма новіша. З номерами не можна поводитись як Із числами, за винятком визначення їх рівності чи нерівності: тільки ці відношення визначено між елементами номінальної шкали.

Тому в процесі обробки експериментальних даних, зафіксованих у номінальній шкалі, безпосередньо із самими даними можна виконувати лише операцію перевірки їх збігу чи розбіжності. Зобразимо цю операцію за допомогою символу Кронекера


де хі й х3записи результатів різних вимірювань.

Із результатами цієї операції можна виконувати складніші перетворення: рахувати кількість збігів (наприклад, кількість спостережень &-го класу дорівнює

,

де п — загальна кількість спостережень), обчислювати відносні частоти класів (наприклад, відносну частоту k-го класу ωk= nk/n), порівнювати ці частоти між собою (визначаючи, наприклад, моду — номер класу, який зустрічається найчастіше, — Мо = argmax ωk), виконувати різні статистичні процедури, слідкуючи, однак, щоб у цих процедурах із вихідними даними не було виконано ніяких операцій, крім перевірки їх на збіг (наприклад, можна застосовувати χ2-тест, інші тести на відносних частотах, критерій згоди тощо).

1.3 Порядкові шкали

Якщо природа спостережуваної (вимірюваної) ознаки стану дає змогу не тільки ототожнити його з одним із класів еквівалентності, але й якось порівнювати різні класи, то для вимірювання можна вибрати "сильнішу" шкалу, ніж номінальна.

Наступна за "силою" після номінальної порядкова пікала (її називають також ранговою), її можна застосувати, якщо крім аксіом тотожності 1-3 класи задовольняють таким аксіомам упорядкованості:

4)   якщо А > В, то В < А (антисиметричність);

5)   якщо А > В та В > С, то А > С (транзитивність). Позначивши такі класи символами й установивши між цими символами ті самі відношення порядку, отримаємо шкалу простого порядку. Приклади її застосування — нумерація черговості, військові звання, призові місця в конкурсі.

Іноді виявляється, що не кожну пару класів можна впорядкувати за перевагою: деякі пари вважаються рівними. Тоді аксіоми 4 та 5 видозмінюють:

4') якщо АВ, то ВА;

5') якщо А В та В С, то АС.

Шкала, що задовольняє аксіомам 4' і 5', називається шкалою слабкого порядку. Приклад такої шкали — упорядкування за ступенем близькості з конкретною особою (мати = батько > син = дочка, дядько = тітка < брат = сестра тощо).

Інша ситуація виникає, коли є пари класів, непорівнянні між собою, тобто ні А В, ні В А. Тоді говорять про шкалу часткового порядку. Такі шкали часто виникають у соціологічних дослідженнях суб'єктивних переваг. Наприклад, у разі вивчення купівельного попиту суб'єкт часто не в змозі оцінити, який саме з двох різнорідних товарів йому більше подобається; людині може бути складно також упорядкувати за перевагою улюблені заняття (читання літератури, плавання, смачна їжа, слухання музики тощо).

Характерна риса порядкових (у строгому розумінні) шкал — те, що відношення порядку нічого не говорить про "дистанцію" між порівнюваними класами. Тому порядкові експериментальні дані, навіть зображені цифрами, не можна розглядати як числа. Над ними не можна виконувати дії, що дають різні результати в разі перетворення шкали, яке не порушує порядку. Наприклад, не можна обчислювати вибіркове середнє порядкових вимірів, тобто, тому що перехід до монотонне перетвореної шкали х' = f(х) у разі усереднення дає

.

Однак операція, що дає змогу виявити, яке з двох спостережень, хг чи х}, має перевагу, допустима. Уведемо індикатор невід'ємних чисел — функцію


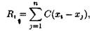
Тоді якщо хi > х} і ми ввели цифрову шкалу порядку, то С(хi —х}) = 1, а С(х} хi) = 0, що дає змогу виявити перевагу хi перед х}. Число


де п — кількість порівнюваних об'єктів (1≤ Ri ≤ 0), називається рангом i-го об'єкта. (Звідси походить інша назва порядкових шкал — рангові.) Якщо існує слабкий порядок, то частина спостережень збігається (у статистиці така група спостережень називається зв'язкою), і всі члени зв'язки одержують однаковий (старший для них) ранг. Коли це незручно, членам зв'язки присвоюють або ранг, середній для зв'язки (мідранг), або випадково — від молодшого до старшого.

Отже, у разі вимірювань у порядкових (у строгому розумінні) шкалах обробка даних має ґрунтуватися тільки на допустимих для цих шкал операціях — обчисленні δij i Ri. Із цими числами можна працювати далі вже довільно: крім обчислення частот і мод (як і для номінальної шкали), з'являється можливість визначити вибіркову медіану (тобто спостереження з рангом Ri, найближчим до числа n/2); можна розбити всю вибірку на частини в будь-якій пропорції, обчислюючи вибіркові квантилі будь-якого рівня р, 0 < р < 1 (тобто спостереження з рангом Ri, найближчим до величини пр); можна визначити коефіцієнти рангової кореляції між двома серіями порядкових спостережень (rs Спірмена, τ Кендалла); будувати за допомогою отриманих величин інші статистичні процедури.

1.4 Модифіковані порядкові шкали

Досвід роботи з сильними шкалами та бажання зменшити відносність порядкових шкал, додати їм хоча б зовнішньої незалежності від вимірюваних величин спонукають дослідників до різних модифікацій, які дещо посилюють порядкові шкали. Іще одна важлива причина спроб посилити шкали полягає в тому, що багато вимірюваних у порядкових (принципово дискретних) шкалах величин мають дійсний або уявний неперервний характер: сила вітру чи землетрусу, твердість речовини, глибина та міцність знань, оволодіння навичками тощо. Сама можливість уведення між двома значеннями третього сприяє тому, щоб намагатися підсилити шкалу.

Усе це зумовило появу та використання на практиці низки порядкових шкал, але не в такому строгому розумінні, як ті, про які йшлося вище. При цьому іноді з отриманими даними поводяться як із числами, що спричиняє помилки та неправильні рішення. Розглянемо деякі з відомих модифікацій.

Шкала твердості за Моосом. Із двох мінералів твердіший той, котрий залишає на іншому подряпини чи вм'ятини після досить сильного зіткнення. Відношення "А твердіше ніж 5" — типове відношення порядку. У 1811 р. німецький мінералог Ф. Моос запропонував запровадити стандартну шкалу для визначення відносної твердості методом дряпання. Як еталони взято 10 мінералів, розміщених у порядку висхідної твердості: 1 — тальк, 2 — гіпс, 3 — кальцит, 4 — флюорит, 5 — апатит, 6 — ортоклаз, 7 — кварц, 8 — топаз, 9 — корунд, 10 — алмаз.

Шкала сили вітру за Ботфортом. У 1806 р. Ф. Ботфорт запропонував умовну 12-бальну шкалу для оцінки сили вітру за його дією на наземні предмети та за хвилюванням моря: 0 — штиль(затишшя), 4 — помірний вітер, 6 — сильний вітер, 10 — буря (шторм), 12 балів — ураган.

Шкала магнітуд землетрусів за Ріхтером. Американський сейсмолог Ч. Ріхтер у 1935 р. запропонував класифікацію землетрусів за магнітудами, що базується на оцінці енергії сейсмічних хвиль, які виникають під час землетрусів, і разом із Б. Гуттенбергом теоретично обґрунтував її в 1941-1945 рр. Співвідношення між магні-тудою землетрусу за шкалою Ріхтера та його силою в епіцентрі за 12-бальною шкалою залежить від глибини поштовху.

Бальні шкали оцінки знань учнів. Потреба суспільства в офіційному визначенні ступеня кваліфікованості тих, хто вчиться, незалежно від того, де, коли та як вони здобувають освіту, сприяла запровадженню загальноприйнятих шкал оцінювання знань учнів у балах. Усі відчувають, зокрема й на власному досвіді, неточність, приблизність цієї шкали. Один із методів поліпшення шкали балів полягає в збільшенні кількості градацій. Однак і це не розв'язує проблеми, і викладачі неофіційно (для себе) уводять додаткові градації — додають до балів плюси, мінуси, крапки. Навіть застосовуючи 100-бальну шкалу, деякі викладачі використовують дробові бали. Усе це відбувається тому, що не існує ні абсолютного взірця, єдиного для всіх людей, ні навіть умовного загальнодоступного стандарту на зразок еталонів твердості чи висоти хвиль, і знання можна оцінювати тільки в порядковій шкалі. Проте мало хто (не тільки з учнів, але й з викладачів) розуміє, що бальна шкала належить до класу порядкових. Доходить до того, що навіть в офіційних питаннях, що впливають на долі людей, підраховують середньоарифметичний бал — величину, що не має змісту в порядковій шкалі! Порядкова шкала Черчмена й Акоффа. У соціологічних дослідженнях часто виявляється корисним запропонувати опитуваному не тільки впорядкувати заданий перелік альтернатив, але й зазначити, хоча б грубо, силу переваги. Проілюструємо цей метод вимірювання на прикладі.

Нехай є чотири предмети. Спочатку опитуваний упорядковує їх за перевагою: А ВС D ). Потім його просять поставити у відповідність (приписати) предметам будь-які числа між нулем і одиницею, грубо виразивши "силу" переваги. Нехай результат такий:

A

B

C

D

1.00

0.85

0.75

0.20

 

За допомогою подальших запитань намагаються отримати дійсну шкалу переваг опитуваного. Наприклад, виявляють, що для нього переважає — А чи В, С та D разом узяті. Результат потрібно відобразити у вагових коефіцієнтах. Роблять припущення, що ваговий коефіцієнт сукупності альтернатив дорівнює сумі їх вагових коефіцієнтів. Якщо, наприклад, А > В С D, приписують нові коефіцієнти:

A

B

C

D

1.00

0.65

0.20

0.10


Далі запитують, як можна впорядкувати В та С D. Якщо, на думку опитуваного, С D > В, то зменшують вагу В так, щоб вона була меншою ніж сума ваг С та D:

 

A

B

C

D

1.00

0.25

0.20

0.10


Інші початкові ваги для тих самих запитань і відповідей можуть залишатися незмінними, якщо вони відразу відповідали зазначеним вимогам. Щоб зменшити кількість перебраних комбінацій під час уточнення шкали, автори методу пропонують приписувати найкращій альтернативі одиничну вагу, а інші групувати по три та діяти за описаною методикою.

Основний предмет критики порядкової шкали Черчмена й Акоффа — припущення про адитивність ваг переваги. У психології ця умова нерідко не виконується: опитуваний може оцінювати хліб із маслом інакше, ніж сумою ваг хліба та масла окремо.

1.5 Шкали інтервалів

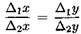
Якщо можна впорядкувати об'єкти настільки точно, що відомі відстані між будь-якими двома з них, то вимірювання виявиться помітно сильнішим, ніж у шкалі порядку. Природно виражати всі відстані хоча й у довільних одиницях, але однакових уздовж усієї шкали. Це означає, що рівні інтервали вимірюють однаковими за довжиною відрізками шкали, хоч де вони розміщені. Наслідок такої рівномірності шкал цього класу — незалежність відношення двох інтервалів від того, у якій шкалі їх вимірювали (тобто яка одиниця довжини інтервалу та яке значення взято як початок відліку). Справді, якщо два інтервали в одній шкалі виражаються числами Δ1х і Δ2х, а за іншого вибору нуля й одиниці — числами Δ1у і Δ2у, то, оскільки це ті самі інтервали, маємо, звідки випливає, що введені шкали можуть мати довільні початки відліку й одиниці довжини, а зв'язок між показниками в них лінійний:

 

Це відношення можна виразити словами: "шкала інтервалів єдина з точністю до лінійних перетворень". Побудовані таким способом шкали називаються інтервальними.

Назва "шкала інтервалів" свідчить про те, що в цій шкалі тільки Інтервали мають зміст дійсних чисел і тільки над ними можна виконувати арифметичні операції: якщо виконати операції над самими відліками на шкалі, забувши про їх відносність, то можна одержати безглузді результати. Наприклад, якщо сказати, що температура води збільшилася вдвічі після її нагрівання від 9 до 18° за шкалою Цельсія, то для тих, хто звик користуватися шкалою Фаренгейта, це буде звучати дуже дивно, тому що в цій шкалі температура води в тому самому досліді змінилася від 37 до 42°.

Крім обчислення значення символу Кронекера та рангу спостереження єдина нова допустима операція над спостереженнями в інтер-вальній шкалі — визначення інтервалу між ними. Над інтервалами ж можна виконувати будь-які арифметичні операції, а також застосовувати всі придатні способи статистичної й іншої обробки даних.

Приклади величин, які за фізичною природою не мають абсолютного нуля чи допускають свободу вибору в установленні початку відліку й тому вимірюються в інтервальних шкалах, — температура, час, висота місцевості.

1.6 Шкали відношень

Нехай спостережувані величини задовольняють не тільки аксіомам 4 та 5, але й аксіомам адитивності:

якщо А = Р та В > 0, то А + В > Р;

А + В = В + А;

якщо А = Р та ,В = Q, то А + В = Р + Q;

(А + В) + С = А + (В + С).

Це істотно посилює шкалу: результати вимірювань у ній — "повноправні" числа; над ними можна виконувати будь-які арифметичні дії, тому що віднімання, множення та ділення — лише частинні випадки додавання. Запроваджена таким способом шкала називається шкалою відношень. Цей клас шкал має таку особливість: відношення двох значень вимірюваної величини не залежить від того, у якій шкалі зроблено вимірювання: x1/x2 =y1/y2.

Цій вимозі задовольняє співвідношення вигляду у = ах (а ≠ 0). Отже, величини, вимірювані в шкалі відношень, мають природний, абсолютний нуль, хоча залишається свобода у виборі одиниць. Приклади таких величин — довжина, маса, електричний опір, вартість.

1.7 Шкали різниць

До шкал, єдиних з точністю до лінійних перетворень, належать шкала інтервалів

(у = ах + b, а > 0, - ∞< b < +∞

і шкала відношень = ах, а ≠ 0). Розглянемо особливості шкал, інваріантних до зміщення

 

у = х + b.

Повторно застосовуючи зміщення до у (z = у + b = х + 2b), а потім до z і так далі, виявляємо, що в такій шкалі значення не змінюється після будь-якої кількості зміщень:

у = х + пb, п = 0,1,2,....

Стала величина b — це параметр шкали, який називається її періодом. Отриману шкалу називають шкалою різниць (іноді — також циклічною чи періодичною). У таких шкалах вимірюють напрямок з однієї точки (шкала компаса, роза вітрів тощо), час доби (циферблат годинника), фазу коливань (у градусах або радіанах).

Циклічні шкали — частинний випадок інтервальних. Однак угода про хоча й довільний, але єдиний для нас початок відліку шкали дає змогу розглядати показання в цій шкалі як числа, застосовувати до них арифметичні дії (доти, доки хтось не забуде про умовність нуля, наприклад у разі переходу на літній час або навпаки).

1.8 Абсолютна шкала

Розглянемо шкалу з абсолютним нулем і абсолютною одиницею. Вона не єдина з точністю до якогось перетворення, а просто єдина, унікальна. Саме такі якості має числова вісь, яку природно назвати абсолютною шкалою. Важлива особливість абсолютної шкали порівняно з усіма іншими — абстрагованість (безрозмірність) і абсолютність її одиниці. Це дає змогу виконувати над показаннями абсолютної шкали операції, неприпустимі дА показань інших шкал, — використовувати їх як показник степеня й аргумент логарифма. Числову вісь явно використовують як вимірювальну шкалу для лічби предметів, а також як допоміжний засіб — у всіх інших шкалах. Внутрішні властивості числової осі, попри ілюзорну її простоту, надзвичайно різноманітні, і теорія чисел дотепер не вичерпала їх.

Основні відомості про всі розглянуті нами вимірювальні шкали наведено в табл. 2. Можна сказати, що чим сильніша шкала, у якій виконують вимірювання, тим більше інформації про досліджуваний об'єкт, явище чи процес можна отримати. Тому природним є прагнення кожного дослідника провести вимірювання в якнайсильнішій шкалі.

Вибираючи шкалу вимірювання, слід орієнтуватися на об'єктивні відношення, яким підпорядкована спостережувана величина, і найкраще робити вимірювання в шкалі, яка максимально погоджена з цими відношеннями. Можна вимірювати й у слабшій шкалі, ніж узгоджена, але застосовувати сильнішу шкалу небезпечно: отримані дані не матимуть тієї сили, на яку орієнтовано їх обробку.

2. Емерджентність

Операція агрегування, тобто об'єднання декількох елементів у єдине ціле, протилежна до декомпозиції. Агрегування може бути потрібне для різних цілей і супроводжуватися різними обставинами, тому є різні (іноді принципово різні) його способи. Однак у всіх агрегатів (так називають результат агрегування) є одна загальна властивість, яка одержала назву емерджентності. Вона притаманна всім системам, і внаслідок її важливості зупинімося на ній докладніше.

2.1 Емерджентність як прояв внутрішньої цілісності системи

Об'єднані елементи, що взаємодіють, утворюють систему, якій властиві не тільки зовнішня цілісність, відокремленість від навколишнього середовища, але й внутрішня цілісність, природна єдність. Якщо зовнішню цілісність відображає модель "чорного ящика", то внутрішня пов'язана зі структурою системи. Найяскравіший прояв внутрішньої цілісності системи полягає в тому, що властивості системи — не лише сума властивостей її складових. Система — це щось більше; вона має такі властивості, яких немає в жодної з її частин, узятої окремо.

2.2 Емерджентність як результат агрегування

Таке "раптове" виникнення нових якостей системи дало підставу назвати цю властивість емерджентністю. Властивість емерджентності визнано й офіційно: під час державної експертизи винаходів патентоспроможним визнають і нове, раніше невідоме поєднання добре відомих елементів, якщо при цьому виникають нові корисні властивості.

Виникнення якісно нових властивостей у разі агрегування елементів — частинний, але яскравий прояв загального закону діалектики — переходу кількості в якість. Чим більше відрізняються властивості сукупності від суми властивостей елементів, тим вища організованість системи. Так, фізик А. Еддінгтон писав: "Нерідко думають, що, вивчивши один якийсь об'єкт, знають уже все про два точно таких самих об'єкти, тому що "два" — це "один і один". При цьому, однак, забувають, що потрібно досліджувати ще й те, що криється за цим "і". Вивченням цього "і", тобто розглядом організації, займається, можна сказати, вторинна фізика".

Кібернетик У. Ешбі показав, що в системи тим більше можливостей у виборі поведінки, чим вищий ступінь погодженості поводження її частин.

Отже, агрегування частин у єдине ціле зумовлює виникнення нових якостей, які не зводяться до якостей окремих частин. Ця властивість — прояв внутрішньої цілісності систем, чи, як іще говорять, системотвірний фактор. Нові якості систем дуже сильно залежать від характеру зв'язків між частинами й можуть варіюватися в дуже широкому діапазоні – від повного узгодження до повної незалежності частин.

3. Практична частина

Задача 1

За заданими значеннями восьми критеріїв для п'яти можливих альтернатив визначити множину Парето недомінантних альтернатив.

Альтернативи

Критерії

1

2

3

4

5

6

7

8

А

56

73

34

71

29

37

81

17

Б

33

79

45

52

30

41

71

23

В

41

72

33

67

29

36

78

16

Г

36

82

48

55

31

42

74

25

Д

51

73

34

69

27

33

80

15


Одним з найбільш застосовуваних способів розв’язання багатокритеріальних задач є спосіб багатокритеріального вибору, який можна повністю формалізувати, полягає у відмові від виокремлення єдиної "найкращої" альтернативи та дотримуванні угоди про те, що перевагу одній альтернативі перед другою можна віддавати тільки тоді, коли перша за всіма критеріями краща, ніж друга. Якщо ж перевага хоча б за одним критерієм не збігається з перевагою за іншим, то такі альтернативи визнають непорівнянними. У результаті попарного порівняння альтернатив усі гірші за всіма критеріями альтернативи відкидають, а ті, що залишилися, — непорівнянні між собою (недомінантні) — приймають. Якщо всі максимально досяжні значення частинних критеріїв не належать одній і тій самій альтернативі, то прийняті альтернативи утворюють множину Парето, і на цьому вибір закінчується.

Порівняємо альтернативу А попарно з іншими альтернативами:

А і Б: за першим критерієм альтернатива А краща за Б, за другим критерієм альтернатива Б краща за А. Тому альтернативи А і Б визнаємо непорівнянними.

А і В: за 1, 2, 3, 4, 6, 7, 8 критеріями альтернатива А краща за В, за 5 критерієм альтернативи А і В - рівноцінні. Тому альтернативу В відкидаємо.

А і Г: за першим критерієм альтернатива А краща за Г, за другим критерієм альтернатива Г краща за А. Тому альтернативи А і Г визнаємо непорівнянними.

А і Д: за 1, 4, 5, 6, 7, 8 критеріями альтернатива А краща за Д, за 2 і 3 критеріями альтернативи А і Д - рівноцінні. Тому альтернативу Д відкидаємо.

Б і Г: за всіма критеріями альтернатива Г краща за Б, Тому альтернативу Б відкидаємо.

Таким чином, альтернативи А і Г утворюють множину Парето.

Задача 2

За заданим профілем переваг для голосування 21 виборця за чотири альтернативи визначити альтернативу-переможця за правилами:

• відносної більшості;

• Кондорсе;

• де Борда;

• Копленда;

• Сімпсона.

Кількість балів

Кількість виборців

2

5

6

8

3

a

d

d

c

2

b

a

c

b

1

c

b

b

a

0

d

c

a

d


Згідно з правилом відносної більшості кожен виборець вибирає лише одну альтернативу. Перемагає та з них, яка набирає найбільшу кількість голосів.

В голосуванні прийняв участь 2+5+6+8 = 21 виборець. Із них 5+6 = 11 виборців віддали перевагу альтернативі d , а 10 іншім альтернативам.

Доля виборців, які віддали перевагу альтернативі d дорівнює:

11/21*100% = 52, 38% > 51%.

Тому, альтернатива d складає відносну більшість.

Згідно з правилом Кондорсе перемагає альтернатива (обов'язково єдина), яка переважає будь-яку іншу за правилом відносної більшості. Недолік цього правила полягає в тому, що можлива така конфігурація переваг, за якої не буде переможця (парадокс Кондорсе). Така ситуація виникає тоді, коли парні порівняння за правилом відносної більшості утворюють цикл.

З 21 виборця 2 віддали перевагу альтернативі a, 8 віддали перевагу альтернативі c, 11 віддали перевагу альтернативі d, альтернативі c не віддав перевагу жоден виборець.

Альтернативі d переважає будь-яку іншу за правилом відносної більшості. Тому, згідно з правилом Кондорсе перемагає альтернатива d.

Згідно з правилом де Борда кожен виборець проголошує свої переваги, ранжуючи n альтернатив від найкращої до найгіршої (байдужість заборонена). Альтернатива має 0 балів за останнє, 1 бал — за передостаннє і так далі, n — 1 бал — за перше місце. Перемагає альтернатива з найбільшою сумою балів.

Альтернативи набрали наступну кількість балів:

 

a: 3*2+2*5+1*8+0*6 = 24;

b: 3*0+2*10+1*11+0*0 = 33;

c: 3*8+2*6+1*2+0*5 = 38;

d: 3*11+2*8+1*0+0*10 = 49.

За правилом де Борда перемагає альтернатива d (вона має 49 балів, альтернатива а — 24, b – 33; с — 38 балів).

Згідно з правилом Копленда порівняємо альтернативу а з будь-якою іншою альтернативою х. Додамо до балів альтернативи а одиницю, якщо для більшості а переважає х: а > х; віднімемо одиницю, якщо для більшості х переважає а: х > а; у разі рівності голосів нічого не робимо. Підсумовуючи кількість балів для всіх альтернатив, отримаємо оцінку Копленда. Перемагає альтернатива з найбільшою кількістю балів.

Альтернатива a переважає b в 7 випадках, b переважає a в 14 випадках: для a -1, для b+1;

Альтернатива a переважає c в 7 випадках, c переважає a в 14 випадках: для a -1, для c +1;

Альтернатива a переважає d в 10 випадках, d переважає a в 11 випадках: для a -1, для d +1;

Альтернатива b переважає c в 7 випадках, c переважає b в 14 випадках: для b -1, для c +1;

Альтернатива b переважає d в 10 випадках, d переважає b в 11 випадках: для b -1, для d +1;

Альтернатива c переважає d в 10 випадках, d переважає c в 11 випадках: для c -1, для d +1

Підсумовуючи кількість балів для всіх альтернатив, отримаємо оцінку Копленда. Перемагає альтернатива d (вона має 3 бали, альтернатива а — мінус 3 бали, b— мінус 2 бали, а с — плюс 2 бали).

Згідно з правилом Сімпсона позначимо як N(а,x) кількість виборців, для яких а > х. Оцінкою Сімпсона для альтернативи а називається число min N(а,x). Перемагає альтернатива з найбільшою х: х≠а оцінкою Сімпсона.

Кількість виборців, для яких а > b : 7; а > с : 7; а > d : 10; min N(а,x)=7.

Кількість виборців, для яких b > а: 14; b > с : 7; b > d : 10; min N(а,x)=7.

Кількість виборців, для яких с > а: 14; с > b: 14; с > d : 10; min N(а,x)=10.

Кількість виборців, для яких d > а: 11; d > b: 11; d > с: 11; min N(а,x)=11.

Для профілю переваг за правилом Сімпсона перемагає альтернатива d (її оцінка Сімпсона дорівнює 11 балам, оцінка альтернативи а — 7, b — 7, а с 10 балів).

Задача 3

Методом попарних порівнянь для нестрогого ранжування на підставі зазначених чотирма експертами переваг упорядкувати вісім альтернатив.

Експерт

Переваги

Е1

а1 < а2 < а3 < а4 < а5 < а6 < а7 < а8

Е2

а6 < а8 < а4 < а1 < а3 < а2 < а7 < а5

Е3

а2 < а1 < а5 < а7 < а8 < а6 < а4 < а3

Е4

а3 < а7 < а1 < а6 < а5 < а2 < а4 < а8


Метод парних порівнянь для нестрогого ранжування полягає в тому, що на підставі зазначених експертом переваг будують матриці


Очевидно, що  Далі обчислюють матрицю

 

А =

Альтернативи впорядковують відповідно до значень аs.

Альтернатива з найменшим аs отримує ранг 1 і т. д.

На підставі зазначених кожним експертом переваг побудуємо матриці:


0

1

1

1

1

1

1

1



0

0

1

1

1

1

1

1



0

0

0

1

1

1

1

1


A1=

0

0

0

0

1

1

1

1



0

0

0

0

0

1

1

1



0

0

0

0

0

0

1

1



0

0

0

0

0

0

0

1



0

0

0

0

0

0

0

0




0

0

0

1

0

1

0

1


1

0

1

1

1

0

1


1

0

0

1

0

1

0

1

A2=

0

0

0

0

0

1

0

1


1

1

1

1

0

1

1

1


0

0

0

0

0

0

0

0


1

1

1

1

0

1

0

1


0

0

0

0

0

1

0

0



0

1

0

0

0

0

0

0


0

0

0

0

0

0

0

0


1

1

0

1

1

1

1

1

A3=

1

1

0

0

1

1

1

1


1

1

0

0

0

0

0

0


1

1

0

0

1

0

1

1


1

1

0

0

1

0

0

0


1

1

0

0

1

0

1

0



0

0

1

0

0

0

1

0


1

0

1

0

1

1

1

0


0

0

0

0

0

0

0

0

A4=

1

1

1

0

1

1

1

0


1

0

1

0

0

1

1

0


1

0

1

0

0

0

1

0


0

0

1

0

0

0

0

0


1

1

1

1

1

1

1

0


Обчислюємо матрицю А = А1 + А2 + А3 + А4 :


0

2

2

2

1

2

2

2


2

0

3

2

2

3

2

2


2

1

0

3

2

3

2

3

A =

2

2

1

0

3

4

3

3


3

2

2

1

0

3

3

2


2

1

1

0

0

0

3

2


2

2

2

1

1

1

0

2


2

2

1

1

2

2

2

0


Обчислимо as за формулою :

as=

15

12

10

10

15

18

17

16


Альтернативи впорядкуємо відповідно до значень аs присвоивши альтернативі з найменшим аs ранг 1 і т. д.

Результат нестрогого ранжування методом парних порівнянь :

а3 ~ а4 < а2 < а1 ~ а5 < а8 < а7 < а6

Список літератури

1. Чорней Н.Б., Чорней Р.К. Теорія систем і системний аналіз. – Київ; МАУП, 2005 – 256с.

2. Игнатьевна А.В., Максимцов М.М. Исследование систем управления: Учебное пособие для вузов. – М.: ЮНИТИ-ДАНА, 2001

3. Квейд Э. Анализ сложных систем. – М.: Сов. радио, 1969.

Похожие работы на - Теорія систем та системний аналіз

 

Не нашли материал для своей работы?
Поможем написать уникальную работу
Без плагиата!
Без нейросетей!