Оптимизация организационных решений
КОНТРОЛЬНАЯ
РАБОТА
по дисциплине
« ОПТИМИЗАЦИЯ
ОРГАНИЗАЦИОННЫХ РЕШЕНИЙ»
Задание №1
Решение задачи
об оптимальном направлении капиталовложений в строительную отрасль и
оптимизации поставки строительных грузов
Определить
наиболее экономичный вариант прироста мощности (строительства или
реконструкции) и одновременно рассчитать оптимальный план перевозок
строительной продукции до потребителя.
Решение
Составим
базисные планы:
а)
метод
северо-западного угла
Значение целевой
функции:
L1 =
160 х 15 + 20 х 3 + 60 х 10 + 180 х 5 + 40 х 16 + 40 х 0 =
= 2 400 + 60 + 600
+ 900 + 640 + 0 = 4 600 у. е.
б)
метод
двойного предпочтения
Значение целевой
функции:
L2 = 180
х 3 + 160 х 3 + 60 х 5 + 20 х 0 + 40 х 5 + 20 х 13 + 20 х 0 =
= 540 + 480 + 300
+ 0 + 200 + 260 + 0 = 1 780 у. е.
в)
метод
аппроксимации Фогеля
Значение целевой
функции:
L3 = 160
х 3 + 180 х 3 + 20 х 10 + 60 х 5 + 40 х 5 + 40 х 0 =
= 480 + 540 + 200
+ 300 + 200 + 0 = 1 720 у. е.
Проведем
проверку матрицы на вырождение:
N – число занятых
клеток матрицы, N = 6.
N = m + n – 1 = 4 + 4 – 1
= 7.
6 ≠ 7.
Следовательно,
матрица – вырожденная, поэтому в одну из свободных ячеек в зоне вырождения
вводим условную нулевую поставку груза.
Оптимальный план
находим на основании базисного плана, построенного методом аппроксимации
Фогеля, так как этот план имеет минимальную целевую функцию.
Проверим матрицу
на оптимальность с помощью потенциалов строк u и столбцов v.
Потенциалы
определим по занятым клеткам матрицы, тем самым соблюдая условие оптимальности
(cij = uij + vij).
Произведем
проверку свободных клеток базисного плана на оптимальность.
|
Коды
свободных клеток
|
Δ
= cij – (vij + uij)
|
Примечание
|
|
A-I
|
15
– (1 + 0) = 15
|
>0
|
|
A-II
|
18
– (8 + 0) = 10
|
>0
|
|
A-IV
|
0
– (-2 + 0) = 2
|
>0
|
|
B-I
|
12
– (1 – 3) = 14
|
>0
|
|
B-III
|
16
– (3 – 3) = 16
|
>0
|
|
B-IV
|
0
– (-2 + 2) = 0
|
=0
|
|
Г-I
|
17
– (1 + 2) = 14
|
>0
|
|
Г-II
|
13
– (8 + 2) = 3
|
>0
|
|
Г-III
|
15
– (3 + 2) = 10
|
>0
|
В данном случае
все значения Δ ≥ 0, следовательно,
составленный план неоптимален, переходим к улучшенному плану перевозок. В этом
случае среди незагруженных клеток, для которых Δ ≥ 0,
находим клетку с наибольшей величиной превышения стоимости (B-III).
Строим замкнутый
контур, начиная перемещаться из потенциальной клетки.

Составим новый
план распределения.
Его целевая
функция:
L4 =
160 х 3 + 180 х 3 + 60 х 10 + 20 х 5 + 40 х 16 + 40 х 0 =
= 480 + 540 + 600
+ 100 + 640 + 0 = 2 360 у. е.
Проверяем
полученную матрицу на оптимальность.
|
Коды свободных
клеток
|
Δ
= cij – (vij + uij)
|
Примечание
|
|
A-I
|
15
– (1 + 0) = 15
|
>0
|
|
A-II
|
18
– (8 + 0) = 10
|
>0
|
|
A-IV
|
0
– (-2 + 0) = 2
|
>0
|
|
B-I
|
12
– (1 – 3) = 14
|
>0
|
|
B-II
|
5
– (8
+
13)
= -16
|
<0
|
|
B-IV
|
0
– (-2 + 13) = -11
|
<0
|
|
Г-I
|
17
– (1 + 2) = 14
|
>0
|
|
Г-II
|
13
– (8 + 2) = 3
|
>0
|
|
Г-III
|
15
– (3 + 2) = 10
|
>0
|
Наибольшее
превышение стоимости наблюдаем в клетке А-I.
Контур
распределения:
Новый план
распределения:
Его целевая
функция:
L4 =
160 х 15 + 20 х 3 + 60 х 10 + 180 х 5 + 40 х 16 + 40 х 0 =
= 2 400 + 60 +
600 + 900 + 640 + 0 = 4 600 у. е.
Проверяем
полученную матрицу на оптимальность.
|
Коды свободных
клеток
|
Δ
= cij – (vij + uij)
|
Примечание
|
|
A-II
|
18
– (22 + 0) = -4
|
<0
|
|
A-III
|
3
– (17 + 0) = -14
|
<0
|
|
A-IV
|
0
– (12 + 0) = -12
|
<0
|
|
B-I
|
12
– (15 + 13) = -16
|
<0
|
|
B-II
|
5
– (22 +
13)
= -30
|
<0
|
|
B-IV
|
0
– (12 + 13) = -25
|
<0
|
|
Г-I
|
>0
|
|
Г-II
|
13
– (22 - 12) = 3
|
>0
|
|
Г-III
|
15
– (17 - 12) = 10
|
>0
|
Данный план
распределения продукции является наиболее эффективным из представленных, хотя
не до конца оптимальным.
Вывод
Поскольку в
оптимальном плане прирост мощности 40 тыс. у. е. продукции за счет
строительства отнесен на фиктивного потребителя, то строительство нового цеха
или пристройку цеха к действующему следует считать нецелесообразным, и
капитальные вложения необходимо направить на реконструкцию действующего
предприятия.
Задание №2
Применение
симплекс-метода для оптимальной организации
ремонтно-строительных
работ
Определить максимальное
количество квартир в домах кирпичных и крупнопанельных, которые можно
отремонтировать из имеющихся ресурсов.
|
Ресурсы
|
Потребность в
ресурсах на одну квартиру
|
|
Наименование
|
Количество
|
кирпичный дом
|
панельный дом
|
|
Арматура, т
|
900
|
0,6
|
1,3
|
|
Пиломатериалы,
м3
|
520
|
0,8
|
0,3
|
|
Цемент, т
|
7 000
|
5
|
9
|
|
Керамическая
плитка, тыс. шт.
|
400
|
0,5
|
--
|
|
Трудозатраты,
чел. дн.
|
55 000
|
70
|
50
|
|
|
|
|
|
Решение
Для решения
данной задачи применим симплекс-метод.
Обозначим:
Х1 – искомое
количество квартир в кирпичном доме;
Х2 – искомое
количество квартир в панельном доме.
Целевая функция:
L = Х1
+ Х2
max
Ограничениями
будут неравенства, полученные на основании исходных данных:
1.
Арматура
0,6Х1 + 1,3 Х2 ≤ 900;
2.
Пиломатериалы
0,8Х1 + 0,3 Х2 ≤ 520;
3.
Цемент
5Х1 + 9Х2 ≤ 7 000;
4.
Керамическая
плитка 0,5Х1 ≤ 400;
5.
Трудозатраты
70Х1 + 50Х2 ≤ 55 000;
6.
Х1
≥ 0;
7.
Х2
≥ 0.
Поскольку
имеется только два неизвестных, то применим геометрическое решение. Для
удобства построений преобразуем не равенства.
1.
6Х1
+ 13 Х2 ≤ 9 000;
2.
8Х1
+ 3 Х2 ≤ 5 200;
3.
5Х1
+ 9Х2 ≤ 7 000;
4.
5Х1
≤ 4 000;
5.
7Х1
+ 5Х2 ≤ 5 500;
6.
Х1
≥ 0;
7.
Х2
≥ 0.
Геометрически
ограничения неравенств выражаются в виде открытых полуплоскостей, ограниченных
осями координат и линиями, описываемыми равенствами, полученными из выражений
ограничений:
1.
6Х1
+ 13 Х2 = 9 000;
2.
8Х1
+ 3 Х2 = 5 200;
3.
5Х1
+ 9Х2 = 7 000;
5.
7Х1
+ 5Х2 = 5 500.
Нанесем эти
линии на график.
В целом условиям
неравенств удовлетворяет заштрихованная область. Оптимальное решение находится
на контуре этой фигуры в одной из узловых точек и определяется совместным
рассмотрением выражений:
L = Х1
+ Х2
max
6Х1 +
13 Х2 = 9 000;
8Х1 +
3 Х2 = 5 200;
5Х1 +
9Х2 = 7 000;
5Х1 =
4 000;
7Х1 +
5Х2 = 5 500.
Возрастание
целевой функции направлено слева вверх под углом 45°, и последней точкой в
допустимой области будет точка 1 или 2.
Точка 1 получена
пересечением прямых, описываемых равенствами:
6Х1 +
13 Х2 = 9 000;
7Х1 +
5Х2 = 5 500.
Решая эти
равенства, найдем координаты точки 1: Х1 = 200; Х2 = 600.
Аналогично
найдем координаты точки 2 из выражений:
7Х1 +
5Х2 = 5 500;
8Х1 +
3 Х2 = 5 200.
Координаты точки
2: Х1 = 498; Х2 = 406.
Найдем, какая из
указанных точек дает большее значение целевой функции.
L1 = Х1
+ Х2 =
200 + 600 = 800;
L2 = Х1
+ Х2 =
498 + 406 = 904.
Оптимальной
является точка 2, дающая 498 квартир в кирпичных домах и 406 в панельных. При
этом будут полностью исчерпаны такие ресурсы как пиломатериалы и трудозатраты.
Использование
остальных ресурсов найдем, решая вышеуказанные равенства при зафиксированных
значениях Х1 = 498; Х2 = 406.
0,6 х 498 + 1,3
х 406 = 299 + 528 = 827 (арматура), неиспользовано 73 т арматуры.
5 х 498 + 9 х
406 = 2 490 + 3 654 = 6 144 (цемент), неиспользовано 856 т.
0,5 х 498 = 249
тыс. шт. (керамическая плитка), неиспользовано 151 тыс. шт.
Полученные
результаты занесем в таблицу:
|
Ресурсы
|
Количество
ресурсов
|
|
Наименование
|
в наличии
|
использованных
|
неиспользованных
|
|
Арматура, т
|
900
|
827
|
73
|
|
Пиломатериалы,
м3
|
520
|
520
|
-
|
|
Цемент, т
|
7 000
|
6 144
|
856
|
|
Керамическая
плитка, тыс. шт.
|
400
|
249
|
151
|
|
Трудозатраты,
чел. дн.
|
55 000
|
55 000
|
--
|
|
|
|
|
|
Вывод: Максимальное
количество домов, которые можно отремонтировать, используя данные ресурсы – 498
шт. (кирпичные) и 406 шт. (панельные). При ремонте пиломатериалы и трудозатраты
используются полностью, остальные ресурсы – с остатком.
Задание №3
Применение
методов динамического программирования
(принципа
оптимальности Р. Беллмана)
при календарном
планировании в строительстве
Выбрать такую
очередность включения объектов в строительный поток, чтобы длина суммарного
пути перебазирования оказалась минимальной.
Исходные данные
– расстояние между пунктами, км
|
Индекс пунктов
(объектов)
|
А0
|
А1
|
А2
|
А4
|
|
А0
|
0
|
20
|
5
|
10
|
40
|
|
А1
|
20
|
0
|
10
|
25
|
30
|
|
А2
|
5
|
10
|
0
|
35
|
15
|
|
А3
|
10
|
25
|
35
|
0
|
50
|
|
А4
|
40
|
30
|
15
|
50
|
0
|
Составим таблицу
вариантов, состоящих лишь из трех участков перебазирования. Сгруппируем эти
варианты по одинаковым объектам, стоящим на последнем месте.
|
Вариант
|
Суммарное
расстояние, км
|
|
Вариант
|
Суммарное
расстояние, км
|
|
А0 А2
А3 А1
А0 А3
А2 А1
|
5 + 35 + 25 = 65
10 + 35 + 25 =
70
|
|
А0 А1
А2 А3
А0 А2
А1 А3
|
20 + 10 + 35 =
65
5 + 10 + 25 = 40
|
|
А0 А2
А4 А1
А0 А4
А2 А1
|
5 + 15 + 30 = 50
40 + 15 + 10 =
65
|
|
А0 А1
А4 А3
А0 А4
А1 А3
|
20 + 30 + 50 =
100
40 + 30 + 25 =
95
|
|
А0 А3
А4 А1
А0 А4
А3 А1
|
10 + 50 + 30 =
90
40 + 50 + 25 =
115
|
|
А0 А2
А4 А3
А0 А4
А2 А3
|
5 + 15 + 50 = 70
40 + 15 + 35 =
90
|
|
А0 А1
А3 А2
А0 А3
А1 А2
|
20 + 25 + 35 =
80
10 + 25 + 10 =
45
|
|
А0 А1
А2 А4
А0 А2
А1 А4
|
20 + 10 + 15 =
45
5 + 10 + 30 =
45
|
|
А0 А1
А4 А2
А0 А4
А1 А2
40 + 30 + 10 =
80
|
|
А0 А1
А3 А4
А0 А3
А1 А4
|
20 + 25 + 50 =
95
10 + 25 + 30 =
65
|
|
А0 А3
А4 А2
А0 А4
А3 А2
|
10 + 50 + 15 =
75
40 + 50 + 35 =
125
|
|
А0 А2
А3 А4
А0 А3
А2 А4
|
5 + 35 + 50 = 90
10 + 35 + 15 =
60
|
Из каждой пары
вариантов выберем наиболее перспективные (с меньшим значением). Затем развиваем
и сопоставляем лишь перспективные варианты.
|
Вариант
|
Суммарное
расстояние, км
|
|
Вариант
|
Суммарное
расстояние, км
|
|
А0 А2
А3 А1 А4
А0 А2
А4 А1 А3
А0 А3
А4 А1 А2
А0 А3
А1 А2 А4
А0 А1
А4 А2 А3
А0 А3
А4 А2 А1
|
65 + 30 = 95
50 + 25 = 75
90 + 10 = 100
45 + 15 = 60
65 + 35 = 110
75 + 10 = 85
|
|
А0 А2
А1 А3 А4
А0 А4
А1 А3 А2
А0 А2
А4 А3 А1
А0 А2
А1 А4 А3
А0 А3
А1 А4 А2
А0 А3
А2 А4 А1
|
40 + 50 = 90
95 + 35 = 130
70 + 25 = 95
45 + 50 = 95
65 + 15 = 80
60 + 30 = 90
|
Составляем
таблицу, в которую внесем перспективные варианты из предыдущей таблицы и
добавим к каждому из них А0 (возвращение мехколонны на исходную
базу).
|
Вариант
|
Суммарное
расстояние, км
|
|
А0 А2
А4 А1 А3 А0
А0 А3
А1 А2 А4 А0
А0 А3
А4 А2 А1 А0
А0 А3
А1 А4 А2 А0
|
75 + 10 = 85
60 + 40 = 100
85 + 20 = 105
80 + 5 = 85
|
Таким образом,
устанавливаем, что есть два равноценных оптимальных варианта последовательности
строительства объектов.
Задание №4
Оптимизация
очередности строительства объектов
в неритмичных
потоках
Определить
оптимальную очередность строительства нескольких объектов, при которой
достигается минимальная общая продолжительность строительства, а также величину
общей продолжительности строительства при исходной и оптимальной очередности
строительства объектов.
Выделяем поток
№3 как поток наибольшей продолжительности. Затем по каждому объекту находим
общее рабочее время, предшествующее потоку наибольшей продолжительности и общее
рабочее время, последующее за потоком наибольшей продолжительности.
В третью строку
под матрицей записываем со своим знаком разницу между продолжительностью работы
на данном объекте последней и первой бригад.
На основе данных
дополнительных строк устанавливается рациональная очередность строительства
объектов из следующих соображений:
а)
на
первом месте располагается объект с наибольшим значением Σапос.
Остальные объекты располагаются так, чтобы Σапр
постепенно возрастало, а Σапос снижалась к концу
матрицы;
б)
на
первом месте располагается объект с наибольшим значением (аm - а1), на последнем –
с минимальным значением (аm - а1); остальные
объекты располагаются так, чтобы (аm - а1) изменялось
постепенно от максимального значения к минимальному.
Принятая
очередность строительства объектов по п. а:
Принятая
очередность строительства объектов по п. б:
Найдем общую
продолжительность строительства комплекса:
Т1 =
(8 + 8 + 5 + 0 + 4) + (6 + 5 + 4) + (5 + 4) = 49;
б)
при
очередности объектов 5-2-1-4-3
Т2 =
(4 + 8 + 8 + 0 + 5) + (5 + 2 + 0) + (2 + 0) = 34;
в)
при
очередности объектов 4-5-3-2-1
Т3 =
(0 + 4 + 5 + 8 + 8) + (2 + 1 + 9) + (1 + 9) = 47.
Наименьшую
продолжительность имеет очередность объектов 5-2-1-4-3.
Задание №5
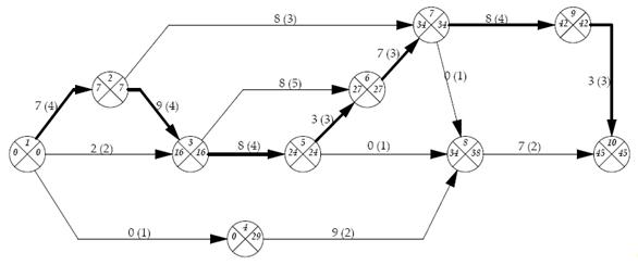
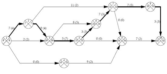
Оптимизация сетевого
графика по рабочим ресурсам
и по срокам
строительства
Решить
оптимизационные задачи управления строительством по сетевым моделям.
Тобщ
= 45 дней
Данную сетевую
модель можно оптимизировать. Для этого на критические пути увеличиваем
количество рабочих, снимая их с менее загруженных участков. Таким образом,
сокращаются сроки выполнения работ.
Тобщ.
= 41 день