Метод Винера-Хопфа и его приложения в физических задачах
Метод
Винера-Хопфа и его приложения в физических задачах.
Демидов Р.А. ,ФТФ, 2105
Введение
Указанный
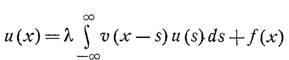
метод подходит для решения интегральных уравнений на полубесконечном промежутке
с ядром, зависящим от разности аргументов – речь идет об уравнениях вида
.
Этот
метод был предложен в совместной работе Н.Винера и Э.Хопфа в 1931 году, и
находит разнообразные применения в теории дифференциальных и интегральных уравнений,
а также в их приложениях в физических задачах.
В
своей работе я опишу сам метод Винера-Хопфа, а также приведу его применение к
решению краевых задач матфизики.
1.
Метод
1.1
Случай бесконечного промежутка
Метод
Винера-Хопфа основан на специальном виде ядра интегрального уравнения – оно
зависит от разности аргументов, а не от самого аргумента. Собственно, для
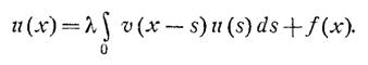
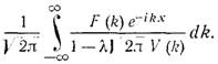
начала рассмотрим уравнение вида
(1)
-
это уравнение с бесконечным промежутком и тем же самым ядром. Решение его
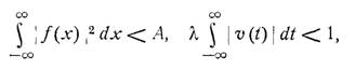
существует ,если выполняются 2 условия:
,
а
также условие сходимости нормы u(x):
.
Эти
условия работают при действительных λ. Мы рассмотрим два способа решения
этого уравнения – один, использующий свойство свертки напрямую, другой – с
помощью резольвенты. Итак,первый.Заметим, что в случае именно бесконечного
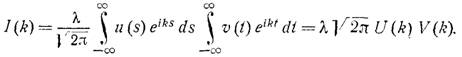
промежутка интеграл представляет собой свертку ядра и функции u(x).
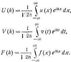
Вспомнив,что Фурье-образы функций u(x),f(x),g(x)
выглядят как, воспользуемся свойством образа свертки двух функций – “образ
свертки есть свертка образов”.Тогда для функций U(k),V(k),F(k)
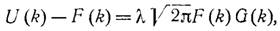
– образов соответствующих функций, получаем алгебраическое уравнение:
(2)
Данное
свойство образа свертки доказывается “в лоб”, а именно – домножением равенства
(1) на
и
интегрированием по всей действительной оси:
Делая
замену во втором интеграле (x-s)=t,
получаем
,
что
и требовалось доказать.
Видим,
что мы свели исходную задачу к алгебраическому уравнению относительно образа
исходной функции u(x).
Выражая его через образы ядра и f(x),производя
обратное преобразование Фурье, получаем в качестве искомого решения:
=>
=>

(3)
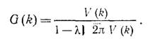
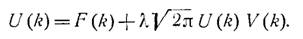
Второй
способ: вычисляем резольвенту уравнения как
(4)
В
виде Фурье - образов это равенство выглядит так:
,
где
G(k)
вычисляется как
(5)
V(k)
– Фурье-образ исходного ядра v(x)
уравнения (1).То есть для решения исходного уравнения необходимо найти функцию g(x),применив
обратное преобразование Фурье к (5),и подставить его в (4). Этот способ не
требует вычисления каждый раз интегралов для F(k)
при смене функции f,она подставляется
в самом конце один раз, поэтому такой способ быстрее.
На
примере этой задачи мы поняли, как решать уравнение с бесконечным промежутком
интегрирования. На этом примере мы будем строить решение уравнения с
полубесконечным промежутком – и опишем метод Винера-Хопфа.
1.2 Полубесконечный промежуток
Понятно,
что в случае, если интегрирование идет не с -∞, а с 0, переходя к
образам, мы не можем воспринимать наш интеграл как свертку – а значит, и не
можем написать наше уравнение. Запишем некоторые свойства преобразования Фурье,
связанные с полубесконечными промежутками, которые нам понадобятся в дальнейшем.
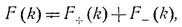
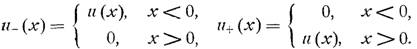
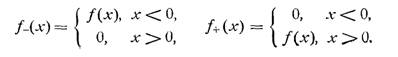
Итак, в случае разбиения функции f
(x)
на два куска – f+(x)
и f-(x),
(f(x)=
f+(x)
+ f-(x)
)представляющих собой правый и левый концы следующим образом:
выражения
для прямых и обратных преобразований Фурье для них будет выглядеть так:
f+:
,
при
причем
здесь
-
комплексная переменная, и выполняется неравенство Im(k)=τ
> τ- . Причем
Обратное
преобразование выглядит так:
,
и
здесь мы интегрируем по любой прямой Im(k)=τ
> τ- .
f-:
При
для
прямого преобразования Фурье имеем
,
к
здесь та же к.п. ,это верно в области с Im(k)=τ
< τ+ . Обратное преобразование для f-
выглядит аналогично:
Интегрирование
идет по той же прямой с Im(k)=τ
< τ+
При
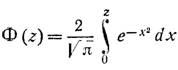
τ- < τ+ образ F(k)
задаётся уравнением
как
раз в полосе τ- < Im(τ)
< τ+ . При τ- < 0,τ+
> 0 функция полоса Im(τ)=0
попадает в границы интегрирования, и интеграл можно взять вещественным, выбрав
мнимую часть τ нулем.
Применим
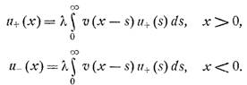
эти соображения к решению искомого уравнения. (6)
(6)
Разложим
неизвестную функцию u(x)
на составляющие u+
, u-
:
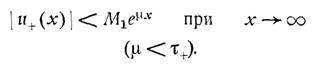
При
подстановке этих функций в уравнение (6) мы получаем два уравнения на каждую
часть u(x).Факт
существование решения мы примем без доказательств. Мы ищем решения,
удовлетворяющие следующим условиям:
,
µ<τ+.
При
их выполнении в полосе µ < Im(k)
< τ+ функции u+
,u-
являются аналитическими.
Переходя
по формулам преобразования Фурье к уравнению для образов, аналогично
проделанному в §1,мы имеем право пользоваться теми же свойствами, по причине
именно такого выбора функций u+
,u-
.Итак,
получаем:
,
что
видно из представления u(x)=
u+(x)+u-(x),
U(k)=U+(k)+U-(k)
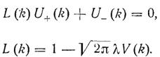
и уравнения (6).Перенося все в левую часть, видим, что
,
если
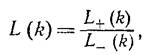
так задать функцию L(k).
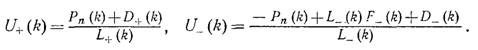
Мы
подошли к сути метода Винера-Хопфа: путем преобразования Фурье свели наше
уравнение к алгебраическому, но уже относительно образов функции. Однако в
нашем случае, в отличие от §1,неизвестныхфункций в нем две, и обе нам нужны.
Грубо говоря, нам позволено найти решение, но оно не будет однозначным, и
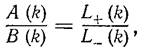
данный метод работает лишь для определенного вида функций.Пусть мы нашу функцию
L(k)
можем представить как частное функций L+(k),L-(k),уравнение
принимает при этом вид
и
известно следующее – “плюсовая” часть есть аналитическая функция к.п. в области
,
“минусовая” часть аналитическая функция в области
,µ <τ+ , а
значит, в полосе
(которая непуста )существует единственная
общая функция U(k),
совпадающая с U+ ,U-
в соответствующих областях. Если дополнительно задать, что функции L+,L-
растут не быстрее степенной функции kn,
то функции можем считать определенными, и приравнять правую и левую часть в
общем случае многочлену Pn(k)
(это получается, если учесть стремление U+,U-
к
нулю по |к|-> ∞.Теперь у нас неопределенности нет, и в общем виде это
выглядит так:
Если
степень роста функций L
есть
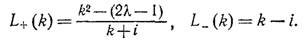
единица(растут не быстрее линейной функции),то мы имеем для кусков функции L(k)
следующее:
,
и
в итоговом решении будет присутствовать произвольная константа C.Приведу
пример последнего случая с n=0.
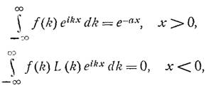
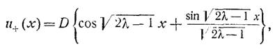
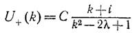
Пример.
-
интегральное уравнение с полубесконечным промежутком и нулевой f
для простоты. Решим его м.В.-Х.
Как
видим, мы имеем дело с ядром вида exp(-|x|).Найдем
его Фурье-образ, и далее, функцию L(k):
-
является аналитической в области -1 < Im(k)
< 1. Разложим ее как частное двух так:
При
0 < λ < 0.5 условия одновременной аналитичности выполняются в полосе
µ < Im(k)
< 1, при λ > 0.5 условия выполняются в полосе 0 < Im(k)
< 1. Эти выводы получаются из изучения особых точек функций L+(k),L-(k).
Далее – обе функции растут на бесконечности к по модулю не быстрее многочленов
первой степени. Наш полином в числителе – это константа, полином нулевой
степени, иначе не выполняется условие сходимости произведения L+U+
,L-U-
.Значит
,
и,
применяя обратное преобразование Фурье, находим u+(x):
,
что
верно для
Решение в квадратурах найдено, этот интеграл
подлежит простому подсчету. На выходе получим:
Как
видим, решение получено с точностью до константы.
1.3
В общем виде
Изложим
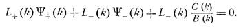
метод Винера-Хопфа в общем виде. Возьмем обобщенное уравнение
и
поставим задачу: найти функции Ψ1, Ψ2,удовлетворяющие
нашему уравнению в полосе
,стремящихся к нулю при
.A,B,C
– аналитические в нашей полосе функции, для ограничения вырожденного случая A,B
не равны в полосе нулю. Идею решения такого уравнения мы в основном уже
излагали, здесь она немного расширена. Итак, представляем A/B
как частное функций L+
,L-
,
,
причем
L+
аналитическая в области Im(k)
> τ-, L-
аналитическая в области Im(k)
< τ+ .Подставляя это в уравнение, и приводя
к общему знаменателю, получаем:
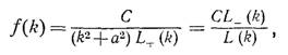
Теперь,
если удается разбить слагаемое, не содержащее Ψ,на два, как
,
что
будет верно в некоторой подполосе нашей полосы, и сгруппировать идентичные
слагаемые, то получаем:
-
это чуть более общее равенство, чем то, что мы получали ранее для частного
случая. Как и ранее – из сходимости обоих пси к нулю при стремлении k
по модулю к бесконечности, сходимости L+
L-
не быстрее многочлена степени n,
а также учитывая, что существует единственная пси в нашей полосе, составленная
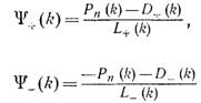
из Ψ1, Ψ2, мы получаем следующие соотношения:
Рn(k)
– многочлен, коэффициенты которого определяются из доп.условий. Далее – решение
будет равно обратному преобразованию Фурье от суммы Ψ1, Ψ2.
Что
осталось выяснить, так это саму возможность так раскладывать функции. Приведем
нескольку лемм, обосновывающих возможность такой работы с нашими функциями.
Лемма1:
Пусть образ F(k)
аналитический в полосе
,F(k)
равномерно стремится к 0 при |k|->
∞ Тогда в этой полосе возможно разбиение функции F
как
,F+(k)
аналитическая в Im(k)>τ-
, F-(k)
аналитическая в Im(k)<τ+
.
Доказательство:
Рассмотрим
систему отсчета так, как это изображено на картинке. Посчитаем значение F(k0)
– в точке, лежащей внутри прямоугольного контура abcd.По
формуле Коши расписали в интеграл по контуру.Перейдем к пределу A
->∞,и устремим контур к полосе.
Тогда
в пределе получаем
,
где
эти части есть
Каждая
функция задана в своей области, а на их пересечении в нашей полосе мы имеем
равенство. Что и требовалось доказать, в общем то. Очевидно, что из их
сходимости следует и ограниченность F+(k),F-(k)
в рассматриваемой полосе.
Лемма2:Пусть
функция Ф(k) является
аналитической и не равной нулю в полосе
,причем Ф(k)
равномерно стремится к 1 при |k|->∞.Тогда
,где
функции Ф+,Ф- соответственно аналитические в
и
Доказательство:
Заметим,
что для функции
выполнены условия леммы1,значит,мы имеем право
ее представить суммой F+
,
F-
, а Ф – произведением:
,Ф=Ф+*Ф-
.
Условия
на границы по мнимой оси для функций Ф+,Ф- сохранятся
=> лемма доказана.
Теперь
сделаем еще одно обобщение – покажем, как в общих чертах работает этот метод
для неоднородного уравнения
(7)
Проводя
аналогичные рассуждения, разбивая u(x)
на две вспомогательные функции, замечаем, что при выполнении условий для модуля
в
полосе
мы
можем переходить к образам функций и мы получим
предварительно
разбив F на две. Принимая за
функцию L(x)
ф-ю
,
аналитическую
в стандартной полосе
и равномерно стремящуюся к 1 при
наше
алгебраическое уравнение перепишется как
Далее,
точно также разделяем L
на две части как
,
И
L+
- аналитическая в
, L-
- аналитическая в
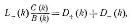
. По аналогии приводя к общему знаменателю,
получаем уравнение на U+,U-
:
При
успешном разложении последнего члена как
где
по все той же аналогии D+
и
D-
аналитические в областях
соответственно, мы записываем решения в виде
.
При
этом мы воспользовались той же сходимостью – L+,L-
растут не быстрее чем kn,
а значит, для выполнения условий необходим полином в числителе.
Как
видим, и эта, неоднородная задача, успешно решилась методом Винера-Хопфа. Как
таковой, метод основан на некой аналогии разделения переменных – мы разделяем
одну функцию на сумму двух, каждая из которых закрывает свою зону комплексной
плоскости, и с каждой половиной работаем отдельно.
Метод
мы рассмотрели, поняли, как он работает, теперь рассмотрим его конкретное
применение – в краевых задачах математической физики.
2.
Применение метода Винера-Хопфа
До
этого мы рассматривали наш метод для решения интегральных уравнений, однородных
и неоднородных, с специальным ядром. Сейчас же рассмотрим уравнение Лапласа и
краевую задачу на нем, тем самым обобщив м. В.-Х. и на дифференциальные
уравнения в частных производных.
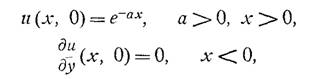
Итак,
задача: в верхней полуплоскости найти гармоническую функцию, удовлетворяющую
следующим условиям:
Для
этого решим к. задачу на уравнении
,
,и перейдем уже в решении к пределу в нуле по
каппа.
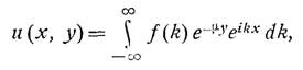
Разделяя
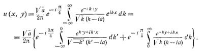
переменные, и применяя метод Фурье, в общем виде находим решение:
,
где
f(k)
- произвольная функция комплексного параметра k,
Для
удовлетворения функции u
граничным условиям должны выполняться 2 условия на f(очевидно
из представления u):
Решение
строится, если L(k)
аналитическая в полосе τ- < Im(k)
< τ+,если при этом τ- < 0, τ+
> 0. Тогда
,
где
L+ аналитическая
в верхней полуплоскости τ- < Im(k),
L-
аналитическая в нижней п.п Im(k)
< τ+.Если мы так представили L,
несложно убедится в истинности решения
,
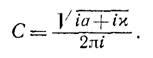
где
константа определяется как
Эти
результаты мы получаем, замыкая контур интегрирования и пользуясь леммами
Жордана об интегрировании по верхней/нижней полуплоскости. Убеждаемся, что вид
функции L
нам
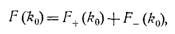
подходит. Подставляя его в предыдущие равенства, получаем
и
,
что
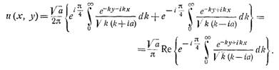
решает задачу. Теперь, как мы в самом начале говорили, перейдем к пределу по
каппа к нулю и в пределе получаем гармоническую функцию:
вычисляя
интеграл, получаем
Дальнейшие
вычисления приводят нас к следующему результату:
-
если
вводим вспомогательную функцию так, то
,z=x+iy.
Получили
ответ задачи.
Вывод
В
работе мы рассмотрели метод на примере интегральных уравнений ,и обосновали его
правильность. После мы применили его к решению краевой задачи матфизики, используя
представления о методе Винера-Хопфа из области специальных интегральных
уравнений.
В
общем то, мы применили небанальный переход, когда устремляли каппа к 0,и
получали гармоническое уравнение.
В
общем и целом, метод Винера-Хопфа, хоть и является достаточно узким методом,
направленным на решение конкретного И.У. с определенным ядром, позволяет решать
многие математические задачи помимо своего прямого предназначения.
Список
использованной литературы
1.
Б.Нобл. “Применение Метода Винера-Хопфа для решения дифференциальных уравнений
в частных производных.”
2.
Свешников, Тихонов, “Теория функций комплексного переменного.”