Матрицы, действия с ними

  • Вид работы:
    Контрольная работа
  • Предмет:
    Математика
  • Язык:
    Русский
    ,
    Формат файла:
    MS Word
    91,62 kb
  • Опубликовано:
    2010-06-05
Вы можете узнать стоимость помощи в написании студенческой работы.
Помощь в написании работы, которую точно примут!

Матрицы, действия с ними














Контрольная работа на тему:

«Матрицы, действия с ними»


1.   Историческая справка

Понятие Матрица (в математике) было введено в работах У. Гамильтона и А. Кэли в середине 19 века. Основы теории созданы К. Вейерштрассом и Ф. Фробениусом (2-я половина 19 века и начало 20 века). И.А. Лаппо-Данилевский разработал теорию аналитических функций от многих матричных аргументов и применил эту теорию к исследованию систем дифференциальных уравнений с аналитическими коэффициентами. Матричные обозначения получили распространение в современной математике и её приложениях. Исчисление Матрица (в математике) развивается в направлении построения эффективных алгоритмов для численного решения основных задач.

2.   Раскрытие темы

Понятие о матрице

Матрица – множество чисел, образующих прямоугольную таблицу, которая содержит m-строк и n-столбцов. Для обозначения матрицы используется надпись:

aij, I – номер строки, j – номер столбца.

Элементы матрицы, стоящие на диагонали, идущие из верхнего левого угла называют главной диагональю, другую диагональ называют побочной.

Formula пример 1.

 

Элементы главной диагонали: 1,6,5. Побочной диагонали: 3,6,3. (пример 1)

Formula пример 2.

 

Если количество строк m матрицы не равно количеству столбцов n, то матрица называется прямоугольной (пример 2).

Если количество столбцов матрицы совпадают с количеством строк, то матрица называется квадратной (пример 1).

Количество строк или столбцов в квадратной матрице называются ее порядком.

Если все элементы квадратной матрицы, кроме элементов главной диагонали, равны нулю, то матрица называется диагональной (пример 3).

Formulaпример3


Formulaпример 4

Если в прямоугольной матрице m*n m=1, то получается матрица-строка (пример 5).

 

xT = (2 3 5). пример 5.

 

Если n=1, то получается матрица-столбец (пример 6).

Formulaпример 6.

Матрицы-строки матрицы-столбцы называются векторами.

Свойства матриц:

§   A + (B + C) = (A + B) + C

§   A + B = B + A

§   A(BC) = (AB) C

§   A (B + C) = AB + AC

§   (B + C) A = BA + CA

§   (AT) T = A

§   (A * B) T = BT * AT

Действия с матрицами

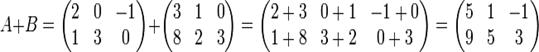
1. Сложение матриц

Матрицы одинакового размера можно складывать.

Суммой двух таких матриц А и В называется матрица С, элементы которой равны сумме соответствующих элементов матриц А и В. Символически будем записывать так: А+В=С.



Легко видеть, что сложение матриц подчиняется переместительному и сочетательному законам:

А+В=В+А

(А+В)+С=А+(В+С).

Нулевая матрица при сложении матриц выполняет роль обычного нуля при сложении чисел: А+0=А.

2. Вычитание матриц.

Разностью двух матриц А и В одинакового размера называется матрица С, такая, что

С+В=А

Из этого определения следует, что элементы матрицы С равны разности соответствующих элементов матриц А и В.

Обозначается разность матриц А и В так: С=А – В.

Пример.

 


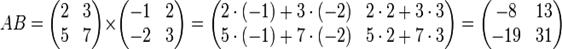
3. Умножение матриц

Рассмотрим правило умножения двух квадратных матриц второго порядка.


Произведением матрицы А на матрицу В называется матрица С=АВ.

Правила умножения прямоугольных матриц:

- Умножение матрицы А на матрицу В имеет смысл в том случае, когда число столбцов матрицы А совпадает с числом строк в матрице В.

- В результате умножения двух прямоугольных матриц получается матрица, содержащая столько строк, сколько строк было в первой матрице и столько столбцов, сколько столбцов было во второй матрице.


4. Умножение матрицы на число

При умножении матрицы A на число a все числа, составляющие матрицу A, умножаются на число a. Например, умножим матрицу  на число 2. Получим , т.е. при умножении матрицы на число множитель «вносится» под знак матрицы.

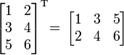
5.   Транспонирование матрицы

Транспонированная матрица – матрица AТ, полученная из исходной матрицы A заменой строк на столбцы.

Формально, транспонированная матрица для матрицы A размеров m*n – матрица AT размеров n*m, определённая как AT[i, j] = A [j, i].

Например,


Свойства транспонированных матриц

1. (AT)T = A

2. (A + B)T = AT + BT

3. (AB)T = BTAT

4. detA = detAT


Список литературы

1. Баврин, Матросов В.Л. Высшая математика: Учебник для студентов ВУЗов – М.: 2002.

2. Беллман Р. Введение в теорию матриц. – М.: Мир, 1969

3. Дж. Голуб, Ч. Ван Лоун Матричные вычисления. – М.: Мир, 1999.


Не нашли материал для своей работы?
Поможем написать уникальную работу
Без плагиата!
Без нейросетей!