Визначення маркерів компенсованих, субкомпенсованих та декомпенсованих станів за кишкової непрохідності
Міністерство
освіти і науки України
Дніпропетровський
національний університет ім. Олеся Гончара
Механіко-математичний
факультет
Кафедра
статистики й теорії ймовірностей
КУРСОВА
РОБОТА
Визначення маркерів компенсованих, субкомпенсованих та декомпенсованих
станів за кишкової непрохідності
Виконавець
студентка
Бондаренко
Наталія Сергіївна
Керівник
роботи
к.ф.-м.н.,
доцент
Турчин
Валерій Миколайович
м.
Дніпропетровськ
2009
р.
Зміст
Вступ
Розділ 1. Перевірка гіпотези про нормальний розподіл параметрів
загального аналізу крові для компенсованого, субкомпенсованого та
декомпенсованого станів за кишкової непрохідності
Розділ 2. Перевірки гіпотези 
про рівність середніх
значень параметрів загального аналізу крові для компенсованого,
субкомпенсованого та декомпенсованого станів за кишкової непрохідності
Розділ 3. Перевірка гіпотези про незалежність параметрів
загального аналізу крові для компенсованого, субкомпенсованого та декомпенсованого
станів за кишкової непрохідності
Висновки
Список використаних джерел
Додатки
Вступ
Товста кишка є одним з найбільш
розповсюджених місць локалізації злоякісного процесу. Незважаючи на можливості
сучасних діагностичних методів, кількість ускладнених форм раку товстої кишки
залишається високою. У структурі ускладненого раку товстої кишки провідне місце
займає товстокишкова непрохідність.
Розрізняють три ступіні
товстокишкові непрохідності.
Компенсована ступінь - це рання
ступінь непрохідності, характеризується посиленою перистальтикою кишечника, при
цьому вміст травного каналу намагається подолати перешкоду, що виникла -
пухлину.
Субкомпенсована ступінь
характеризується частковим порушенням проходження вмісту травного каналу,
зумовленим пухлиною.
Декомпенсована ступінь
характеризується повним порушенням проходження вмісту травного каналу внаслідок
пухлини.
В роботі розглядаються дані 289
хворих з кишковою непрохідністю: у 102 хворих - компенсована ступінь, у 103
хворих - субкомпенсована ступінь, у 84 хворих - декомпенсована ступінь
непрохідності.
Медиками були запропоновано
розглянути такі фактори, що можуть суттєво впливати на диференціацію хворих з
компенсованою та декомпенсованою ступінню, компенсованою та субкомпенсованою
ступінню, субкомпенсованою та декомпенсованою ступінню непрохідності, а, отже,
і на прийняття рішення щодо невідкладної операції: вік хворого та параметри
загального аналізу крові, а саме гемоглобін, еритроцити, кольоровий показник,
гематокрит, лейкоцити, швидкість осідання еритроцитів, еозінофіли, нейтрофіли
палочкоядерні, нейтрофіли сегментоядерні, лімфоцити та моноцити.
Необхідно встановити зв’язок між
значеннями цих факторів та ймовірністю диференціації декомпенсованої
(субкомпенсованої) ступіні кишкової непрохідності у хворого.
При первинній обробці даних було
розглянуто 14 параметрів загального аналізу крові, що могли б диференціювати
(відрізняти) компенсований, субкомпенсований та декомпенсований стани за
кишкової непрохідності. Це гемоглобін, еритроцити, ЦП, Ht, лейкоцити, СОЕ,
базофіли, еозінофіли, міелоцити, юні, нейтрофіли палочкоядерні, нейтрофіли
сегментоядерні, лімфоцити та моноцити.
Крім вищезазначених параметрів
розглядалися також такі параметри як стать, вік, діагноз (1- рак сліпої кишки,
2 - рак висхідної ободової кишки, 3 - рак печінкового вигину ободової кишки, 4
- рак поперечної ободової кишки, 5 - рак селезінкового вигину ободової кишки, 6
- рак низхідної ободової кишки, 7 - рак сигмовидної кишки, 8 - ураження
ободової кишки, яке виходить за межі вищезазначених локалізацій, 9 - рак
ободової кишки, неуточнений, 10 - рак ректосигми), характеристика пухлини (1 -
пухлина інфільтрує підслизову оболонку, 2 - пухлина інфільтрує м’язову
оболонку, 3 - пухлина інфільтрує підсерезну основу або тканину, яка прилягає до
неперитонізованих ділянок ободової кишки, 4 - пухлина поширюється на інші
органи або структури і (або)проростає вісцеральну очеревину, 5 - недостатньо
даних, 6 -первинна пухлина не визначається), наявні метастази (1- N1 -
метастази в 1-3 периколічних ЛВ, 2 - метастази в 4 і більше ЛВ, 3 - метастази в
ЛВ вздовж судинних стовбурів, 4 -недостатньо даних для оцінки ЛВ, 5 - немає
ознак враження ЛВ), віддалені метастази (0 - немає віддалених метастазів, 1 -
наявні віддалені метастази, 2 - недостатньо даних), стадія (1 - стадія 1 -
Т1-2N0M0, 2 - стадія 2 - Т3-4N0M0, 3 - стадія 3 - Т1-4N1-3M0, 4 - стадія 4 -
Т1-4, любі N, M).
При виконанні курсової роботи
застосований програмно-методичний апарат комплексу статистичного аналізу та
побудови графічної інтерпретації результатів “STATISTIKA 6.0”.
Розділ 1. Перевірка гіпотези про
нормальний розподіл параметрів загального аналізу крові для компенсованого,
субкомпенсованого та декомпенсованого станів за кишкової непрохідності
Нехай
-
вибірка з невідомого розподілу
, стосовно якого
висувається гіпотеза
.
Для перевірки гіпотези
скористаємося критерієм
.
Невідомі параметри
і
оцінюються
за вибіркою згідно з методом максимальної правдоподібності.
Спільною щільністю розподілу незалежних випадкових величин
є
Функцією максимальної правдоподібності вибірки
є
диференційована
за
і
.
Точкою
,
в якій функція
набирає
найбільшого значення, є
,
.
Статистикою критерію є величина
,
де
-
імовірність того, що вибіркове значення потрапить до множини
обчислена
за гіпотетичним розподілом
,
-
кількість вибіркових значень, що потрапили до множини
.
Гіпотезу
будемо
відхиляти, якщо
,
і не будемо відхиляти в супротивному разі; при цьому з імовірністю
гіпотеза
буде
відхилятися, коли вона справджується,
- верхня
-межа
-розподілу
з
ступенями
вільності (рівень значущості критерію дорівнює
).
Результати перевірки гіпотези про нормальний розподіл параметрів
загального аналізу крові для компенсованого, субкомпенсованого та
декомпенсованого станів в таблицях 1.1-1.21 (див. також відповідні рисунки при
кожній таблиці).
Невідхилення гіпотези
означає, що далі за
розподіл параметра крові ми можемо розглядати нормальний розподіл.
Гемоглобін у стані компенсації
Таблиця 1.1
Результати перевірки гіпотези
про нормальний розподіл
гемоглобіна у стані компенсації
Показник Обсяг вибір-ки n Оцінки
параметрів (a; 
)Значення
Число
ступенів
вільності
Гіпотеза
|
|
|
|
|
|
|
|
|
Гемоглобін
|
104
|
(110,09; 819,83)
|
3,86
|
7
|
14,07
|
Не відхиляється
|
Гемоглобін у стані декомпенсації
Таблиця 1.2
Результати перевірки гіпотези
про нормальний розподіл
гемоглобіна у стані декомпенсації
Показник Обсяг вибір-ки n Оцінки
параметрів (a; 
)Значення
Число
ступенів
вільності
Гіпотеза
|
|
|
|
|
|
|
|
|
Гемоглобін
|
86
|
(124,5; 584,1)
|
0,86
|
3
|
7,82
|
Не відхиляється
|
Гемоглобін у стані субкомпенсації
Таблиця 1.3
Результати перевірки гіпотези
про нормальний розподіл
гемоглобіна у стані субкомпенсації
Показник Обсяг вибір-ки n Оцінки
параметрів (a; 
)Значення
Число
ступенів
вільності
Гіпотеза
|
|
|
|
|
|
|
|
|
Гемоглобін
|
108
|
(107,7; 518,3)
|
3,56
|
3
|
7,82
|
Не відхиляється
|
Еритроцити у стані компенсації
Таблиця 1.4
Результати перевірки гіпотези
про нормальний розподіл
еритроцитів у стані компенсації
Показник Обсяг вибір-ки n Оцінки
параметрів (a; 
)Значення
Число
ступенів
вільності
Гіпотеза
|
|
|
|
|
|
|
|
|
Еритроцити
|
104
|
(3,77; 0,44)
|
0,43
|
1
|
3,84
|
Не відхиляється
|
Еритроцити у стані декомпенсації
Таблиця 1.5
Результати перевірки гіпотези
про нормальний розподіл
еритроцитів у стані декомпенсації
Показник Обсяг вибір-ки n Оцінки
параметрів (a; 
)Значення
Число
ступенів
вільності
Гіпотеза
|
|
|
|
|
|
|
|
|
Еритроцити
|
86
|
(124,5; 584,15)
|
0,86
|
3
|
7,82
|
Не відхиляється
|
Еритроцити у стані субкомпенсації
Таблиця 1.6
Результати перевірки гіпотези
про нормальний розподіл
еритроцитів у стані субкомпенсації
Показник Обсяг вибір-ки n Оцінки
параметрів (a; 
)Значення
Число
ступенів
вільності
Гіпотеза
|
|
|
|
|
|
|
|
|
Еритроцити
|
108
|
(3,59; 0,266)
|
4,32
|
3
|
7,82
|
Не відхиляється
|
7. Ht у стані компенсації
Таблиця 1.7
Результати перевірки гіпотези
про нормальний розподіл
Ht у стані компенсації
Показник Обсяг вибір-ки n Оцінки
параметрів (a; 
)Значення
Число
ступенів
вільності
Гіпотеза
|
|
|
|
|
|
|
|
|
Ht
|
104
|
(31,49; 73,03)
|
3,13
|
1
|
3,84
|
Не відхиляється
|
8. Ht у стані декомпенсації
Таблиця 1.8
Результати перевірки гіпотези
про нормальний розподіл
Ht у стані декомпенсації
ПоказникОбсяг вибір-ки nОцінки параметрів (a; 
)Значення
Число
ступенів
вільності
Гіпотеза
|
|
|
|
|
|
|
|
|
Ht
|
86
|
(34,85; 3839)
|
3,04
|
1
|
3,84
|
Не відхиляється
|
9. Ht у стані субкомпенсації
Таблиця 1.9
Результати перевірки гіпотези
про нормальний розподіл
Ht у стані субкомпенсації
ПоказникОбсяг вибір-ки nОцінки параметрів (a; 
)Значення
Число
ступенів
вільності
Гіпотеза
|
|
|
|
|
|
|
|
|
Ht
|
104
|
(29,02; 42,04)
|
4,583
|
2
|
5,99
|
Не відхиляється
|
10. Лейкоцити у стані компенсації
Таблиця 1.10
Результати перевірки гіпотези
про нормальний розподіл
лейкоцитів у стані компенсації
Показник Обсяг вибір-ки n Оцінки
параметрів (a; 
)Значення
Число
ступенів
вільності
Гіпотеза
|
|
|
|
|
|
|
|
|
Лейкоцити
|
104
|
(6,9; 4,84)
|
13,52
|
1
|
3,84
|
відхиляється
|
11. Лейкоцити у стані декомпенсації
Таблиця 1.11
Результати перевірки гіпотези
про нормальний розподіл
лейкоцитів у стані декомпенсації
ПоказникОбсяг вибір-ки nОцінки параметрів (a; 
)Значення
Число
ступенів
вільності
Гіпотеза
|
|
|
|
|
|
|
|
|
Лейкоцити
|
86
|
(9,28; 11,489)
|
2,43
|
2
|
5,99
|
Не відхиляється
|
12. Лейкоцити у стані субкомпенсації
Таблиця 1.12
Результати перевірки гіпотези
про нормальний розподіл
лейкоцитів у стані субкомпенсації
Показник Обсяг вибір-ки n Оцінки
параметрів (a; 
)Значення
Число
ступенів
вільності
Гіпотеза
|
|
|
|
|
|
|
|
|
Лейкоцити
|
108
|
(7,59; 8,35)
|
9,62
|
1
|
3,84
|
Відхиляється
|
13. Нейтрофіли палочкоядерні у стані
компенсації
Таблиця 1.13
Результати перевірки гіпотези
про нормальний розподіл
нейтрофіли палочкоядерні у стані компенсації
Показник Обсяг вибір-ки n Оцінки
параметрів (a; 
)Значення
Число
ступенів
вільності
Гіпотеза
|
|
|
|
|
|
|
|
|
Нейтрофіли палочкоядерні
|
104
|
(6,; 18,2)
|
5,23
|
2
|
5,99
|
Не відхиляється
|
14. Нейтрофіли палочкоядерні у стані
декомпенсації
Таблиця 1.14
Результати перевірки гіпотези
про нормальний розподіл
нейтрофіли палочкоядерні
у стані декомпенсації
Показник Обсяг вибір-ки n Оцінки
параметрів (a; 
)Значення
Число
ступенів
вільності
Гіпотеза
|
|
|
|
|
|
|
|
|
Палочкоядерні
|
86
|
(12,76,; 75,32)
|
5,56
|
1
|
6,64
|
Не відхиляється
|
15. Нейтрофіли палочкоядерні у стані
субкомпенсації
Таблиця 1.15
Результати перевірки гіпотези
про нормальний розподіл
нейтрофіли палочкоядерні у стані субкомпенсації
ПоказникОбсяг вибір-ки nОцінки параметрів (a; 
)Значення
Число
ступенів
вільності
Гіпотеза
|
|
|
|
|
|
|
|
|
Палочкоядерні
|
108
|
(8,72; 39,02)
|
5,15
|
1
|
6,64
|
Не відхиляється
|
16. Нейтрофіли сегментоядерні у
стані компенсації
Таблиця 1.16
Результати перевірки гіпотези
про нормальний розподіл
нейтрофіли сегментоядерні у стані компенсації
Показник Обсяг вибір-ки n Оцінки
параметрів (a; 
)Значення
Число
ступенів
вільності
Гіпотеза
|
|
|
|
|
|
|
|
|
Сегментоядерні
|
104
|
(59,23; 127,51
|
0,15
|
1
|
3,84
|
Не відхиляється
|
17. Нейтрофіли сегментоядерні у
стані декомпенсації
Таблиця 1.17
Результати перевірки гіпотези
про нормальний розподіл
нейтрофіли сегментоядерні у стані декомпенсації
Показник Обсяг вибір-ки n Оцінки
параметрів (a; 
)Значення
Число
ступенів
вільності
Гіпотеза
|
|
|
|
|
|
|
|
|
Сегментоядерні
|
86
|
(62,95; 110,04)
|
4,94
|
1
|
6,64
|
Не відхиляється
|
18. Нейтрофіли сегментоядерні у
стані субкомпенсації
Таблиця 1.18
Результати перевірки гіпотези
про нормальний розподіл
нейтрофіли сегментоядерні у стані декомпенсації
Показник Обсяг вибір-ки n Оцінки
параметрів (a; 
)Значення
Число
ступенів
вільності
Гіпотеза
|
|
|
|
|
|
|
|
|
Сегментоядерні
|
108
|
(59,89; 85,02)
|
6,17
|
4
|
9,48
|
Не відхиляється
|
19. Лімфоцити у стані компенсації
Таблиця 1.19
Результати перевірки гіпотези
про нормальний розподіл
лімфоцитів у стані компенсації
Показник Обсяг вибір-ки n Оцінки
параметрів (a; 
)Значення
Число
ступенів
вільності
Гіпотеза
|
|
|
|
|
|
|
|
|
Лімфоцити
|
108
|
(29,73; 110,12)
|
7,72
|
5
|
11,07
|
Не відхиляється
|
20. Лімфоцити у стані декомпенсації
Таблиця 1.20
Результати перевірки гіпотези
про нормальний розподіл
лімфоцитів у стані декомпенсації
Показник Обсяг вибір-ки n Оцінки
параметрів (a; 
)Значення
Число
ступенів
вільності
Гіпотеза
|
|
|
|
|
|
|
|
|
Лімфоцити
|
86
|
(20,36; 105,02)
|
1,74
|
3
|
7,82
|
Не відхиляється
|
21. Лімфоцити у стані субкомпенсації
Таблиця 1.21
Результати перевірки гіпотези
про нормальний розподіл
лімфоцитів у стані субкомпенсації
ПоказникОбсяг вибір-ки nОцінки параметрів (a; 
)Значення
Число
ступенів
вільності
Гіпотеза
|
|
|
|
|
|
|
|
|
Лімфоцити
|
108
|
(26,90; 100,25)
|
1,85
|
4
|
9,48
|
Не відхиляється
|
Отже, за розподіл гемоглобіна,
еритроцитів, Ht, лейкоцитів, нейтрофілів палочкоядерних, нейтрофілів
сегментоядерних та лімфоцитів ми можемо розглядати нормальний розподіл.
Розділ 2. Перевірки гіпотези 
про рівність середніх
значень параметрів загального аналізу крові для компенсованого,
субкомпенсованого та декомпенсованого станів за кишкової непрохідності
У термінах перевірки статистичних гіпотез цю задачу можна
сформулювати так. Маємо реалізації двох незалежних вибірок 
значень параметра крові
для компенсованого стану та 
значень параметра крові
для субкомпенсованого станів з розподілом 
та 
відповідно. Відносно
параметрів 
і 
висувається гіпотеза 
. Це гіпотеза про
відсутність відмінностей між значеннями параметра для компенсованого та субкомпенсованого
станів.
Якщо 
, то може бути як 
, так 
; тому альтернатива
двобічна. Відхилення гіпотези 
на користь цієї
альтернативи інтерпретується як наявність відмінностей між значеннями
параметрів для компенсованого та субкомпенсованого станів за кишкової
непрохідності, невідхилення - це відсутність відмінностей між значеннями
параметрів для компенсованого та субкомпенсованого станів за кишкової
непрохідності.
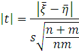
Згідно з критерієм Стьюдента для перевірки гіпотези 
за двобічний
альтернативи треба порівняти значення
з 
- верхньою 
- межею розподілу
Стьюдента з 
ступенями вільності.
Якщо 
, то гіпотеза 
відхиляється, у
супротивному разі - ні (рівень значущості критерію 
).
Порівняємо середні значення факторів для компенсованого та
субкомпенсованого станів хворих за кишкової непрохідності
Фактор n m
комп
субкомп
комп
|
субкомп n+m-2 Гіпотеза
|
|
|
|
|
|
|
|
|
|
|
|
Вік
|
104
|
108
|
62,05
|
64,60
|
9,73
|
10,55
|
1,82
|
210
|
1,652
|
відхиляється
|
|
Діагноз
|
104
|
108
|
5,25
|
6,67
|
3,03
|
2,52
|
3,72
|
210
|
1,652
|
відхиляється
|
|
Характерис- тика пухлини
|
104
|
108
|
3,30
|
3,60
|
0,68
|
0,54
|
3,46
|
210
|
1,652
|
відхиляється
|
|
Наявні Метастази
|
104
|
108
|
0,36
|
0,44
|
0,65
|
0,68
|
0,85
|
210
|
1,652
|
не відхиляється
|
|
Віддалені Метастази
|
104
|
108
|
0,10
|
0,17
|
0,30
|
0,38
|
1,46
|
210
|
1,652
|
не відхиляється
|
|
Гемоглобін
|
104
|
108
|
110,09
|
107,70
|
28,63
|
22,76
|
0,67
|
210
|
1,652
|
не відхиляється
|
|
Еритроцити
|
103
|
104
|
3,77
|
3,59
|
0,66
|
0,51
|
2,11
|
205
|
1,652
|
відхиляється
|
|
ЦП
|
75
|
75
|
0,81
|
0,79
|
0,09
|
0,07
|
1,38
|
148
|
1,655
|
не відхиляється
|
|
Ht
|
74
|
87
|
31,49
|
29,02
|
8,54
|
6,48
|
2,08
|
159
|
1,654
|
відхиляється
|
|
Лейкоцити
|
103
|
104
|
6,90
|
7,59
|
2,20
|
2,89
|
1,93
|
205
|
1,652
|
відхиляється
|
|
СОЭ
|
95
|
100
|
16,68
|
14,92
|
15,44
|
12,30
|
0,88
|
193
|
1,652
|
не відхиляється
|
|
Базофіли
|
2
|
2
|
|
|
|
|
|
|
|
|
|
Еозінофіли
|
75
|
69
|
2,06
|
1,91
|
1,43
|
1,56
|
0,61
|
142
|
1,655
|
не відхиляється
|
|
Міелоцити
|
|
|
|
|
|
|
|
|
|
|
|
1
|
1
|
|
|
|
|
|
|
|
|
|
Нейтрофіли
|
103
|
107
|
6,00
|
8,72
|
4,27
|
6,24
|
3,68
|
208
|
1,652
|
відхиляється
|
|
Нейтрофіли
|
104
|
108
|
59,23
|
59,89
|
11,29
|
9,22
|
0,47
|
210
|
1,652
|
не відхиляється
|
|
Лімфоцити
|
104
|
108
|
29,73
|
26,90
|
10,49
|
10,01
|
2,00
|
210
|
1,652
|
відхиляється
|
|
Моноцити и⟈
|
104
|
107
|
3,52
|
3,05
|
2,84
|
2,28
|
1,33
|
209
|
1,652
|
не відхиляється
|
Згідно з критерієм Стьюдента гіпотеза 
про рівність середніх
значень таких факторів як вік, діагноз, характеристика пухлини, еритроцити, Ht,
лейкоцити, нейтрофіли палочкоядерні, та лімфоцити на рівні значущості 0,05
відхиляється.
Цей результат можна трактувати так. Припущення про відсутність
відмінностей між віком, діагнозом, характеристикою пухлини, еритроцитами, Ht,
лейкоцитами, нейтрофілами палочкоядерними та лімфоцитами хворих компенсованого
стану та субкомпенсованого стану суперечить експериментальним даним. Іншими
словами, експеримент дає підстави говорити про наявність відмінностей між
віком, діагнозом, характеристикою пухлини, еритроцитами, Ht, лейкоцитами,
нейтрофілами палочкоядерними та лімфоцитами хворих у компенсованому та
субкомпенсованому станах.
2.Порівняємо середні значення факторів для cубкомпенсованого та
декомпенсованого станів хворих за кишкової непрохідності
n m
субкомп
декомп
субкомп
|
декомп n+m-2 Гіпотеза
|
|
|
|
|
|
|
|
|
|
|
|
Вік
|
108
|
86
|
64,60
|
65,56
|
10,552
|
11,36
|
0,61
|
192
|
1,652
|
не відхиляється
|
|
Діагноз
|
108
|
86
|
6,67
|
6,22
|
2,52
|
2,26
|
1,30
|
192
|
1,652
|
не відхиляється
|
|
Характерис- тика пухлини
|
108
|
86
|
3,60
|
3,56
|
0,54
|
0,52
|
0,41
|
192
|
1,652
|
не відхиляється
|
|
Наявні метастази
|
108
|
86
|
0,44
|
0,41
|
0,688
|
0,67
|
0,26
|
192
|
1,652
|
не відхиляється
|
|
Віддалені метастази
|
108
|
86
|
0,17
|
0,12
|
0,38
|
0,33
|
0,91
|
192
|
1,652
|
не відхиляється
|
|
Гемоглобін
|
108
|
86
|
107,70
|
124,56
|
22,76
|
24,16
|
4,98
|
192
|
1,652
|
відхиляється
|
|
Еритроцити
|
104
|
83
|
3,59
|
3,77
|
0,51
|
0,57
|
2,28
|
185
|
1,653
|
відхиляється
|
|
ЦП
|
75
|
28
|
0,79
|
0,80
|
0,078
|
0,07
|
0,63
|
101
|
1,660
|
не відхиляється
|
|
Ht
|
87
|
69
|
29,02
|
34,85
|
6,48
|
6,19
|
5,68
|
154
|
1,654
|
відхиляється
|
|
Лейкоцити
|
104
|
85
|
7,59
|
9,28
|
2,89
|
3,38
|
3,6
|
187
|
1,653
|
відхиляється
|
|
СОЭ
|
100
|
66
|
14,92
|
17,10
|
12,30
|
11,19
|
1,16
|
164
|
1,654
|
не відхиляється
|
|
Базофіли
|
2
|
0
|
|
|
|
|
|
|
|
|
|
Еозінофіли
|
69
|
32
|
1,91
|
1,62
|
1,56
|
1,21
|
0,91
|
99
|
1,660
|
не відхиляється
|
|
Міелоцити
|
0
|
1
|
|
|
|
|
|
|
|
|
|
Юні
|
1
|
5
|
|
|
|
|
|
|
|
|
|
Нейтрофіли палочкоядерні
|
107
|
85
|
8,72
|
12,76
|
6,24
|
8,67
|
3,74
|
190
|
1,652
|
|
Нейтрофіли сегментоядерні
|
108
|
85
|
59,89
|
62,95
|
9,22
|
10,49
|
2,14
|
191
|
1,652
|
відхиляється
|
|
Лімфоцити
|
108
|
85
|
26,90
|
20,36
|
10,01
|
10,24
|
4,46
|
191
|
1,652
|
відхиляється
|
|
Моноцити
|
107
|
85
|
3,05
|
2,98
|
2,28
|
1,91
|
0,21
|
190
|
1,652
|
не відхиляється
|
Згідно з критерієм Стьюдента гіпотеза 
про рівність середніх
значень таких факторів як гемоглобін, еритроцити, Ht, лейкоцити, нейтрофіли
палочкоядерні, нейтрофіли сегментоядерні та лімфоцити на рівні значущості 0,05
відхиляється.
Цей результат можна трактувати так. Припущення про відсутність
відмінностей між гемоглобіном, еритроцитами, Ht, лейкоцитами, нейтрофілами
палочкоядерними, нейтрофілами сегментоядерними та лімфоцитами хворих
субкомпенсованого стану та декомпенсованого стану суперечить експериментальним
даним. Іншими словами, експеримент дає підстави говорити про наявність
відмінностей між гемоглобіном, еритроцитами, Ht, лейкоцитами, нейтрофілами
палочкоядерними, нейтрофілами сегментоядерними та лімфоцитами хворих у
субкомпенсованому та декомпенсованому станах.
3. Порівняємо середні значення факторів для компенсованого та
декомпенсованого станів хворих за кишкової непрохідності
n m
комп
декомп
комп
|
декомп n+m-2 Гіпотеза
|
|
|
|
|
|
|
|
|
|
|
|
Вік
|
104
|
86
|
62,06
|
65,57
|
9,74
|
11,36
|
2,29
|
188
|
1,653
|
відхиляється
|
|
Діагноз
|
104
|
86
|
5,25
|
6,22
|
3,04
|
2,26
|
2,45
|
188
|
1,653
|
відхиляється
|
|
Характерис- тика пухлини
|
104
|
86
|
3,31
|
3,57
|
0,68
|
0,52
|
2,92
|
188
|
1,653
|
відхиляється
|
|
Наявні метастази
|
104
|
86
|
0,37
|
0,42
|
0,65
|
0,68
|
0,55
|
188
|
1,653
|
не відхиляється
|
|
Віддалені метастази
|
104
|
86
|
0,11
|
0,13
|
0,31
|
0,34
|
0,47
|
188
|
1,653
|
не відхиляється
|
|
Гемоглобін
|
104
|
86
|
110,10
|
124,57
|
28,63
|
24,17
|
3,72
|
188
|
1,653
|
відхиляється
|
|
Еритроцити
|
103
|
83
|
3,77
|
3,78
|
0,66
|
0,58
|
0,09
|
184
|
1,653
|
не відхиляється
|
|
ЦП
|
75
|
28
|
0,82
|
0,81
|
0,09
|
0,07
|
0,45
|
101
|
1,660
|
не відхиляється
|
|
Ht
|
74
|
69
|
31,49
|
34,86
|
8,55
|
6,20
|
2,68
|
141
|
1,656
|
відхиляється
|
|
Лейкоцити
|
103
|
85
|
6,90
|
9,28
|
2,20
|
3,39
|
5,80
|
186
|
1,653
|
відхиляється
|
|
СОЭ
|
95
|
66
|
16,68
|
17,11
|
15,45
|
11,20
|
0,19
|
159
|
1,654
|
не відхиляється
|
|
Базофіли
|
2
|
0
|
|
|
|
|
|
|
|
|
|
Еозінофіли
|
75
|
32
|
2,07
|
1,63
|
1,44
|
1,21
|
1,52
|
105
|
1,659
|
не відхиляється
|
|
Міелоцити
|
0
|
1
|
|
|
|
|
|
|
|
|
|
Юні
|
1
|
5
|
|
|
|
|
|
|
|
|
|
Нейтрофіли палочкоядерні
|
103
|
85
|
6,00
|
12,76
|
4,27
|
8,68
|
6,96
|
186
|
1,653
|
відхиляється
|
|
Нейтрофіли сегментоядерні
|
104
|
85
|
59,23
|
62,95
|
11,29
|
10,49
|
2,33
|
187
|
1,653
|
відхиляється
|
|
Лімфоцити
|
104
|
85
|
29,73
|
20,36
|
10,49
|
10,25
|
6,17
|
187
|
1,653
|
відхиляється
|
|
Моноцити
|
104
|
85
|
3,53
|
2,99
|
2,84
|
1,91
|
1,50
|
187
|
1,653
|
не відхиляється
|
Згідно з критерієм Стьюдента гіпотеза 
про рівність середніх
значень таких факторів як вік, діагноз, характеристика пухлини, гемоглобін, Ht,
лейкоцити, нейтрофіли палочкоядерні, нейтрофіли сегментоядерні та лімфоцити на
рівні значущості 0,05 відхиляється.
Цей результат можна трактувати так. Припущення про відсутність
відмінностей між віком, діагнозом, характеристикою пухлини, Ht, лейкоцитами,
нейтрофілами палочкоядерними, нейтрофілами сегментоядерними та лімфоцитами
хворих компенсованого стану та декомпенсованого стану суперечить
експериментальним даним. Іншими словами, експеримент дає підстави говорити про
наявність відмінностей між віком, діагнозом, характеристикою пухлини, Ht,
лейкоцитами, нейтрофілами палочкоядерними, нейтрофілами сегментоядерними та
лімфоцитами хворих у компенсованому та декомпенсованому станах.
Розділ 3. Перевірка гіпотези про незалежність параметрів
загального аналізу крові для компенсованого, субкомпенсованого та
декомпенсованого станів за кишкової непрохідності
Гіпотеза про незалежність факторів нейтрофіли палочкоядерні та
нейтрофіли сегментоядерні.
Висувається гіпотеза 
про незалежність
нейтрофілів палочкоядерних та нейтрофілів сегментоядерних.
Таблиця спряженості ознак
|
Нейтрофіли палочкоядерні
|
Нейтрофіли сегментоядерні
|
Разом
|
|
16-60,53
|
60,53-86
|
|
|
1-6
|
54
|
78
|
132
|
|
6-46
|
79
|
87
|
166
|
|
Разом
|
133
|
165
|
298
|
Перевіримо необхідну умову використання критерію
незалежності:
|
Нейтрофіли палочкоядерні
|
Нейтрофіли сегментоядерні
|
Разом
|
|
16-60,53
|
60,53-86
|
|
|
1-6
|
74,09
|
91,91
|
132
|
|
6-46
|
58,91
|
73,09
|
166
|
|
Разом
|
133
|
165
|
298
|
Отже, необхідна умова використання критерію
незалежності
виконується. Обчислимо відхилення:
За таблицями математичної статистики знаходимо: 
.
Оскільки 1,328<3,84, то гіпотеза про незалежність нейтрофілів
палочкоядерних і нейтрофілів сегментоядерних не відхиляється.
Гіпотеза про незалежність факторів Ht і нейтрофіли палочкоядерні.
Висувається гіпотеза 
про незалежність
нейтрофілів палочкоядерних та Ht.
Таблиця спряженості ознак
|
Ht
|
Нейтрофіли палочкоядерні
|
Разом
|
|
1-6
|
6-46
|
|
|
18-31
|
59
|
62
|
121
|
|
31-50
|
42
|
66
|
108
|
|
Разом
|
101
|
128
|
229
|
Перевіримо необхідну умову використання критерію
незалежності:
|
Ht
|
Нейтрофіли палочкоядерні
|
Разом
|
|
1-6
|
6-46
|
|
|
18-31
|
53,36
|
67,63
|
121
|
|
31-50
|
47,63
|
60,36
|
108
|
|
Разом
|
101
|
128
|
229
|
Отже, необхідна умова використання критерію
незалежності
виконується. Обчислимо відхилення:
За таблицями математичної статистики знаходимо: 
.
Оскільки 2,255<3,84, то гіпотеза про незалежність нейтрофілів
палочкоядерних і Ht не відхиляється.
Гіпотеза про незалежність факторів Ht і нейтрофіли сегментоядерні.
Висувається гіпотеза 
про незалежність
нейтрофілів сегментоядерних та Ht.
Таблиця спряженості ознак
|
Ht
|
Нейтрофіли сегментоядерні
|
Разом
|
|
16-60,53
|
60,53-86
|
|
|
18-31
|
59
|
62
|
121
|
|
31-50
|
46
|
62
|
108
|
|
Разом
|
105
|
124
|
229
|
Перевіримо необхідну умову використання критерію
незалежності:
|
Ht
|
Нейтрофіли сегментоядерні
|
Разом
|
|
16-60,53
|
60,53-86
|
|
|
18-31
|
65,52
|
121
|
|
31-50
|
49,52
|
58,48
|
108
|
|
Разом
|
105
|
124
|
229
|
Отже, необхідна умова використання критерію
незалежності
виконується. Обчислимо відхилення:
За таблицями математичної статистики знаходимо: 
.
Оскільки 0,874<3,84, то гіпотеза про незалежність нейтрофілів
сегментоядерних і Ht не відхиляється.
Гіпотеза про незалежність факторів лейкоцити і Ht.
Висувається гіпотеза 
про незалежність
лейкоцитів та Ht.
Таблиця спряженості ознак
|
Лейкоцити
|
Ht
|
Разом
|
|
18-31
|
31-50
|
|
|
2,8 - 8
|
77
|
61
|
138
|
|
8 - 19,2
|
43
|
43
|
86
|
|
Разом
|
120
|
104
|
224
|
Перевіримо необхідну умову використання критерію
незалежності:
|
Лейкоцити
|
Ht
|
Разом
|
|
18-31
|
31-50
|
|
|
2,8 - 8
|
73,93
|
64,07
|
138
|
|
8 - 19,2
|
46,07
|
39,93
|
86
|
|
Разом
|
120
|
104
|
224
|
Отже, необхідна умова використання критерію
незалежності
виконується. Обчислимо відхилення:
.
Оскільки
0,716<
,
то гіпотеза про незалежність Ht і лейкоцитів не відхиляється.
Гіпотеза про незалежність факторів лейкоцити і нейтрофіли
палочкоядерні.
Висувається гіпотеза 
про незалежність
нейтрофілів палочкоядерн та лейкоцитів.
Таблиця спряженості ознак
|
Лейкоцити
|
Нейтрофіли палочкоядерні
|
Разом
|
|
1-6
|
6-46
|
|
|
2,8-4,5
|
15
|
9
|
24
|
|
4,5-19,2
|
114
|
151
|
265
|
|
Разом
|
129
|
160
|
289
|
Перевіримо необхідну умову використання критерію
незалежності:
|
Лейкоцити
|
Нейтрофіли палочкоядерні
|
Разом
|
|
1-6
|
6-46
|
|
|
2,8-4,5
|
10,71
|
13,29
|
24
|
|
4,5-19,2
|
118,29
|
146,71
|
265
|
|
Разом
|
129
|
160
|
289
|
Отже, необхідна умова використання критерію
незалежності
виконується. Обчислимо відхилення:
Оскільки 3,379<
, то гіпотеза про
незалежність лейкоцитів і нейтрофілів палочкоядерних не відхиляється.
Гіпотеза про незалежність факторів лейкоцити і нейтрофіли
сегментоядерні.
Висувається гіпотеза 
про незалежність
лейкоцитів та нейтрофілів сегментоядерних.
Таблиця спряженості ознак
|
Лейкоцити
|
Нейтрофіли сегментоядерні
|
Разом
|
|
16-60,53
|
60,53-86
|
|
|
2,8 - 7
|
74
|
73
|
147
|
|
7 - 19,2
|
57
|
87
|
144
|
|
Разом
|
131
|
160
|
291
|
Перевіримо необхідну умову використання критерію
незалежності:
|
Лейкоцити
|
Нейтрофіли сегментоядерні
|
Разом
|
|
16-60,53
|
60,53-86
|
|
|
2,8 - 7
|
66,18
|
80,82
|
147
|
|
7 - 19,2
|
64,82
|
79,18
|
144
|
|
Разом
|
131
|
160
|
291
|
Отже, необхідна умова використання критерію
незалежності
виконується. Обчислимо відхилення:
Оскільки 3,4<
, то гіпотеза про
незалежність лейкоцитів і нейтрофілів сегментоядерних не відхиляється.
Гіпотеза про незалежність факторів еритроцити і нейтрофіли
сегментоядерні.
Висувається гіпотеза 
про незалежність
еритроцитів та нейтрофілів сегментоядерних.
Таблиця спряженості ознак
|
Еритроцити
|
Нейтрофіли сегментоядерні
|
Разом
|
|
16-60,53
|
60,53-86
|
|
|
1,3-3,7
|
72
|
89
|
161
|
|
3,7-5,85
|
59
|
70
|
129
|
|
Разом
|
131
|
159
|
290
|
Перевіримо необхідну умову використання критерію
незалежності:
|
Еритроцити
|
Нейтрофіли сегментоядерні
|
Разом
|
|
16-60,53
|
60,53-86
|
|
|
1,3-3,7
|
72,73
|
88,27
|
161
|
|
3,7-5,85
|
58,27
|
70,73
|
129
|
|
Разом
|
131
|
159
|
290
|
Отже, необхідна умова використання критерію
незалежності
виконується. Обчислимо відхилення:
Оскільки 0,029<
3,84, то гіпотеза про
незалежність еритроцитів і нейтрофілів сегментоядерних не відхиляється.
Гіпотеза про незалежність факторів еритроцити і нейтрофіли
палочкоядерні.
Висувається гіпотеза 
про незалежність
еритроцитів та нейтрофілів палочкоядерних.
Таблиця спряженості ознак
|
Еритроцити
|
Нейтрофіли палочкоядерні
|
Разом
|
|
1-6
|
6-46
|
|
|
1,3-3,7
|
71
|
90
|
161
|
|
3,7-5,85
|
57
|
69
|
126
|
|
Разом
|
128
|
159
|
287
|
Перевіримо необхідну умову використання критерію
незалежності:
|
Лейкоцити
|
Нейтрофіли палочкоядерні
|
Разом
|
|
1-6
|
6-46
|
|
|
1,3-3,7
|
71,80
|
89,20
|
161
|
|
3,7-5,85
|
59,20
|
69,80
|
126
|
|
Разом
|
128
|
159
|
287
|
Отже, необхідна умова використання критерію
незалежності
виконується. Обчислимо відхилення:
.
Оскільки 0,037<
, то гіпотеза про
незалежність еритроцитів і нейтрофілів палочкоядерних не відхиляється.
Гіпотеза про незалежність факторів еритроцити і Ht.
Висувається гіпотеза 
про незалежність
еритроцитів та Ht.
Таблиця спряженості ознак
|
Еритроцити
|
Ht
|
Разом
|
|
18-27
|
27-50
|
|
|
1,3-3,6
|
31
|
68
|
99
|
|
3,6-5,85
|
30
|
99
|
129
|
|
Разом
|
61
|
167
|
228
|
Перевіримо необхідну умову використання критерію
незалежності:
|
Лейкоцити
|
Ht
|
Разом
|
|
18-27
|
27-50
|
|
|
1,3-3,6
|
26,49
|
72,51
|
99
|
|
3,6-5,85
|
34,51
|
94,49
|
129
|
|
Разом
|
61
|
167
|
228
|
Отже, необхідна умова використання критерію
незалежності
виконується. Обчислимо відхилення:
За таблицями математичної статистики знаходимо:
Оскільки
1,855<
,
то гіпотеза про незалежність еритроцитів і Ht не відхиляється.
Гіпотеза про незалежність факторів еритроцити і лейкоцити.
Висувається гіпотеза 
про незалежність
еритроцитів та лейкоцитів.
Таблиця спряженості ознак
|
Еритроцити
|
Лейкоцити
|
Разом
|
|
2,8-8
|
8-19,2
|
|
|
1,3-3,7
|
101
|
58
|
159
|
|
3,7-5,85
|
77
|
49
|
126
|
|
Разом
|
178
|
107
|
285
|
Перевіримо необхідну умову використання критерію
незалежності:
|
Еритроцити
|
Лейкоцити
|
Разом
|
|
2,8-8
|
8-19,2
|
|
|
1,3-3,7
|
99,30
|
59,70
|
159
|
|
3,7-5,85
|
78,70
|
47,30
|
126
|
|
Разом
|
178
|
107
|
285
|
Отже, необхідна умова використання критерію
незалежності
виконується. Обчислимо відхилення:
Оскільки 0,174<
, то гіпотеза про
незалежність еритроцитів і лейкоцитів не відхиляється.
Гіпотеза про незалежність факторів гемоглобін і лімфоцити.
Висувається гіпотеза 
про незалежність
гемоглобін та лімфоцити.
Таблиця спряженості ознак
|
Гемоглобін
|
Лімфоцити
|
Разом
|
|
3-26
|
26-64
|
|
|
50-113
|
72
|
67
|
139
|
|
113-178
|
81
|
78
|
159
|
|
Разом
|
153
|
145
|
298
|
Перевіримо необхідну умову використання критерію
незалежності:
|
Гемоглобін
|
Лімфоцити
|
Разом
|
|
3-26
|
26-64
|
|
|
50-113
|
71,37
|
67,63
|
139
|
|
113-178
|
81,63
|
159
|
|
Разом
|
153
|
145
|
298
|
Отже, необхідна умова використання критерію
незалежності
виконується. Обчислимо відхилення:
Оскільки 0,022<
3,84, то гіпотеза про
незалежність гемоглобіна і лімфоцитів не відхиляється.
Гіпотеза про незалежність факторів гемоглобін і нейтрофіли
палочкоядерні.
Висувається гіпотеза 
про незалежність
гемоглобін та нейтрофіли палочкоядерні.
Таблиця спряженості ознак
|
Гемоглобін
|
Нейтрофіли палочкоядерні
|
Разом
|
|
1-5
|
5-46
|
|
|
50-113
|
50
|
89
|
139
|
|
113-178
|
50
|
106
|
156
|
|
Разом
|
100
|
195
|
295
|
Перевіримо необхідну умову використання критерію
незалежності:
|
Гемоглобін
|
Нейтрофіли палочкоядерні
|
Разом
|
|
1-5
|
5-46
|
|
|
50-113
|
47,12
|
91,88
|
139
|
|
113-178
|
52,88
|
103,12
|
156
|
|
Разом
|
100
|
195
|
295
|
Отже, необхідна умова використання критерію
незалежності
виконується. Обчислимо відхилення:
Оскільки 0,504<
, то гіпотеза про
незалежність гемоглобіна і нейтрофілів палочкоядерних не відхиляється.
Гіпотеза про незалежність факторів гемоглобін і нейтрофіли
сегментоядерні.
Висувається гіпотеза 
про незалежність
гемоглобіна та нейтрофіли сегментоядерні.
Таблиця спряженості ознак
|
Гемоглобін
|
Нейтрофіли сегментоядерні
|
Разом
|
|
16-60,53
|
60,53-86
|
|
|
50-113
|
60
|
79
|
139
|
|
113-178
|
73
|
85
|
158
|
|
Разом
|
133
|
164
|
297
|
Перевіримо необхідну умову використання критерію
незалежності:
|
Гемоглобін
|
Нейтрофіли сегментоядерні
|
Разом
|
|
16-60,53
|
60,53-86
|
|
|
50-113
|
62,25
|
76,75
|
139
|
|
113-178
|
70,75
|
87,25
|
158
|
|
Разом
|
133
|
164
|
297
|
Отже, необхідна умова використання критерію
незалежності
виконується. Обчислимо відхилення:
Оскільки 0,275<
, то гіпотеза про
незалежність гемоглобіна і нейтрофілів сегментоядерних не відхиляється.
Гіпотеза про незалежність факторів гемоглобін і лейкоцити.
Висувається гіпотеза 
про незалежність
гемоглобіна та лейкоцитів.
Таблиця спряженості ознак
|
Гемоглобін
|
Лейкоцити
|
Разом
|
|
2,8-7
|
7-19,2
|
|
|
50-113
|
76
|
60
|
136
|
|
113-178
|
71
|
85
|
156
|
|
Разом
|
147
|
145
|
292
|
Перевіримо необхідну умову використання критерію
незалежності:
|
Гемоглобін
|
Лейкоцити
|
Разом
|
|
2,8-7
|
7-19,2
|
|
|
50-113
|
68,47
|
67,53
|
136
|
|
113-178
|
78,53
|
77,47
|
156
|
|
Разом
|
147
|
145
|
292
|
Отже, необхідна умова використання критерію
незалежності
виконується. Обчислимо відхилення:
За таблицями математичної статистики знаходимо: 
.
Оскільки 3,125<3,84, то гіпотеза про незалежність гемоглобіна і
лейкоцитів не відхиляється.
Гіпотеза про незалежність факторів
лімфоцити і еритроцити.
Висувається гіпотеза 
про незалежність
лімфоцитів та еритроцитів.
Таблиця спряженості ознак
|
Лімфоцити
|
Еритроцити
|
Разом
|
|
1,3-3,7
|
3,7-5,85
|
|
|
3-26
|
88
|
60
|
148
|
|
26-64
|
73
|
68
|
141
|
|
Разом
|
161
|
128
|
289
|
Перевіримо необхідну умову використання критерію
незалежності:
|
Лімфоцити
|
Еритроцити
|
Разом
|
|
1,3-3,7
|
3,7-5,85
|
|
|
3-26
|
82,45
|
65,55
|
148
|
|
26-64
|
78,55
|
62,45
|
141
|
|
Разом
|
161
|
128
|
289
|
Отже, необхідна умова використання критерію
незалежності
виконується. Обчислимо відхилення:
За таблицями математичної статистики знаходимо: 
.
Оскільки 1,728<3,84, то гіпотеза про незалежність лімфоцитів і
еритроцитів не відхиляється.
Гіпотеза про незалежність факторів
лімфоцити і Ht.
Висувається гіпотеза 
про незалежність
лімфоцитів та Ht.
Таблиця спряженості ознак
|
Лімфоцити
|
Ht
|
Разом
|
|
18-31
|
31-50
|
|
|
3-26
|
56
|
63
|
119
|
|
26-64
|
65
|
45
|
110
|
|
Разом
|
121
|
108
|
229
|
Перевіримо необхідну умову використання критерію
незалежності:
|
Лімфоцити
|
Ht
|
Разом 18-31
|
|
18-31
|
31-50
|
|
|
3-26
|
62,88
|
56,12
|
56
|
|
26-64
|
58,12
|
51,88
|
65
|
|
Разом
|
121
|
108
|
121
|
Отже, необхідна умова використання критерію
незалежності
виконується. Обчислимо відхилення:
За таблицями математичної статистики знаходимо: 
.
Оскільки 3,321<3,84, то гіпотеза про незалежність лімфоцитів і
Ht не відхиляється.
Гіпотеза про незалежність факторів
гемоглобін і еритроцити.
Оскільки еритроцити насичені
гемоглобіном, то фактори гемоглобін та
еритроцити залежні. Між гемоглобіном
і еритроцитами існує залежність, яка описується лінійною регресією
.
Модель виявилася адекватною, регресія значуща.
Гіпотеза про незалежність факторів
гемоглобін і Ht.
Між гемоглобіном і Ht існує
залежність, яка описується лінійною регресією
.
Модель виявилася адекватною, регресія значуща.
Таблиця 3
|
Фактори
|
Гемоглобін
|
Еритроцити
|
Лейкоцити
|
Нейтрофіли палочкоядерні
|
Нейтрофіли сегментоядерні
|
Лімфоцити
|
|
Гемоглобін
|
-----
|
відхиляється
|
не відхиляється
|
не відхиляється
|
не відхиляється
|
не відхиляється
|
|
Еритроцити
|
відхиляється
|
-----
|
не відхиляється
|
не відхиляється
|
не відхиляється
|
не відхиляється
|
|
Ht
|
відхиляється
|
не відхиляється
|
не відхиляється
|
не відхиляється
|
не відхиляється
|
не відхиляється
|
|
Лейкоцити
|
не відхиляється
|
не відхиляється
|
-----
|
не відхиляється
|
не відхиляється
|
відхиляється
|
|
Нейтрофіли палочкоядерні
|
не відхиляється
|
не відхиляється
|
не відхиляється
|
-----
|
не відхиляється
|
відхиляється
|
|
Нейтрофіли сегментоядерні
|
не відхиляється
|
не відхиляється
|
не відхиляється
|
не відхиляється
|
-----
|
відхиляється
|
|
Лімфоцити
|
не відхиляється
|
не відхиляється
|
відхиляється
|
відхиляється
|
відхиляється
|
-----
|
Перевірка гіпотези про незалежність
параметрів загального аналізу крові
Висновки
Товста кишка є одним з найбільш
розповсюджених місць локалізації злоякісного процесу. Незважаючи на можливості
сучасних діагностичних методів, кількість ускладнених форм раку товстої кишки
залишається високою. У структурі ускладненого раку товстої кишки провідне місце
займає товстокишкова непрохідність.
Розрізняють три ступіні
товстокишкові непрохідності.
Компенсована ступінь - це рання
ступінь непрохідності, характеризується посиленою перистальтикою кишечника, при
цьому вміст травного каналу намагається подолати перешкоду, що виникла -
пухлину. Групу хворих з компенсованою ступенню непрохідністю будемо позначати
через А.
Субкомпенсована ступінь
характеризується частковим порушенням проходження вмісту травного каналу,
зумовленим пухлиною. Групу хворих з субкомпенсованою ступенню непрохідності
будемо позначати через В.
Декомпенсована ступінь характеризується
повним порушенням проходження вмісту травного каналу внаслідок пухлини. Групу
хворих з декомпенсованою ступенню непрохідності будемо позначати через С.
В роботі розглядаються дані 289
хворих, кожний з яких належить одній з груп: 102 - у групі А, 103 - у групі B,
84 - у групі C.
При первинній обробці даних було
розглянуто 14 параметрів загального аналізу крові, що могли б диференціювати
(могли б допомогти відрізнити) компенсований, субкомпенсований та
декомпенсований стани 298 хворих з кишковою непрохідністю.
Це гемоглобін, еритроцити, ЦП, Ht,
лейкоцити, СОЕ, базофіли, еозінофіли, міелоцити, юні, нейтрофіли палочкоядерні,
нейтрофіли сегментоядерні, лімфоцити та моноцити.
Крім вищезазначених параметрів
розглядалися також такі параметри як
вік, діагноз, характеристика
пухлини, наявні метастази, віддалені метастази.
Фактори, що можуть суттєво впливати на диференціацію хворих групи
А та групи В, групи В та групи С, групи А та групи С, а, отже, і на прийняття
рішення щодо невідкладної операції були запропоновані такі: вік хворого (
)
та параметри загального аналізу крові, а саме гемоглобін (
),
еритроцити (
),
кольоровий показник (
),
гематокрит (
),
лейкоцити (
),
швидкість осідання еритроцитів (
), еозінофіли (
),
нейтрофіли палочкоядерні (
),
нейтрофіли сегментоядерні (
), лімфоцити (
)
та моноцити (
).
З них незалежними факторами виявилися наступні: вік хворого (
),
еритроцити (
),
кольоровий показник (
),
гематокрит (
),
лейкоцити (
),
швидкість осідання еритроцитів (
), еозінофіли (
),
нейтрофіли палочкоядерні (
),
нейтрофіли сегментоядерні (
), моноцити (
).
Гіпотези про незалежність факторів перевірялися за допомогою критерія
незалежності
ознак.
Незалежні фактори загального аналізу крові хворих та вік нормально
розподілені. Гіпотези про нормальний розподіл факторів перевірено за допомогою
критерія
(гіпотетичний
розподіл залежить від невідомих параметрів).
Для хворих груп А та С була виявлена суттєва відмінність таких
факторів: вік, гематокрит, лейкоцити, нейтрофіли палочкоядерні та
сегментоядерні.
Для хворих груп А та В була виявлена суттєва відмінність таких
факторів: вік, еритроцити, гематокрит, лейкоцити, нейтрофіли палочкоядерні.
Для хворих груп В та С була виявлена суттєва відмінність таких
факторів: еритроцити, гематокрит, лейкоцити, нейтрофіли палочкоядерні та
сегментоядерні.
Гіпотези про рівність середніх значень перевірялися за допомогою
критерія Стьюдента.
За допомогою критерію Стьюдента була виявлена суттєва відмінність
8 параметрів загального аналізу крові для компенсованого й субкомпенсованого
станів, а саме вік, діагноз, характеристика пухлини, еритроцити, Ht, лейкоцити,
нейтрофіли палочкоядерні та лімфоцити. Згідно з критерієм Стьюдента гіпотеза 
про рівність середніх
значень на рівні значущості 0,05 відхиляється.
За допомогою критерію Стьюдента була виявлена суттєва відмінність
7 параметрів загального аналізу крові для субкомпенсованого й декомпенсованого
станів, а саме гемоглобін, еритроцити, Ht, лейкоцити, нейтрофіли палочкоядерні,
нейтрофіли сегментоядерні та лімфоцити. Згідно з критерієм Стьюдента гіпотеза 
про рівність середніх
значень на рівні значущості 0,05 відхиляється.
За допомогою критерію Стьюдента була виявлена суттєва відмінність
8 параметрів загального аналізу крові для компенсованого й декомпенсованого
станів, а саме вік, діагноз, характеристика пухлини, гемоглобін, Ht, лейкоцити,
нейтрофіли палочкоядерні, нейтрофіли сегментоядерні та лімфоцити. Згідно з
критерієм Стьюдента гіпотеза 
про рівність середніх
значень на рівні значущості 0,05 відхиляється.
За допомогою критерія
перевірено гіпотезу про
нормальний розподіл параметрів загального аналізу крові для компенсованого,
субкомпенсованого та декомпенсованого станів. За розподіл гемоглобіна,
еритроцитів, Ht, лейкоцитів, нейтрофілів палочкоядерних, нейтрофілів
сегментоядерних та лімфоцитів ми можемо розглядати нормальний розподіл.
Також встановлено незалежність параметрів загального аналізу крові
(див. табл. А.4 Додатку А).
Список використаних джерел
1. Тутубалин В.Н. Теория вероятностей и случайных процессов:
Учеб. пособие. - М.:Изд-во МГУ, 1992. - 400 с.
2. Прикладная статистика: Классификация и снижение
размерности: Справ. изд./Айвазян С.А., Бухштабер В.М., Енюков И.С., Мешалкин
Л.Д.: Под ред. С.А. Айвазяна. - М.:Финансы и статистика, 1989. - 607 с.
3. Ивченко Г.И., Медведев Ю.И. Математическая статистика:
Учеб. пособие для втузов. - М.:Высш.шк., 1984. - 248 с.
4. Юнкеров В.И., Григорьев С.Г. Математико-статистическая
обработка данных медицинских исследований. - СПб.:ВмедА, 2002. - 266 с.
5. Турчин В.Н. Теория вероятностей и математическая
статистика. Учебник. Д.:Изд-во Днепропетр. нац. ун-та, 2008. - 656 с.
Додаток А
Визначення маркерів компенсованих,
субкомпенсованих та декомпенсованих станів за кишкової непрохідності
Гемоглобін, еритроцити, кольоровий
показник (ступінь насиченості еритроцитів гемоглобіном), Ht, лейкоцити, СОЕ,
базофіли, еозинофіли, мієлоцити, юні, нейтрофіли палочкоядерні, нейтрофіли
сегментоядерні, лімфоцити, моноцити
Вік
Діагноз 1 - рак сліпої кишки
2 - рак висхідної ободової кишки,
3 - рак печінкового вигину ободової
кишки,
4 - рак поперечної ободової кишки,
5 - рак селезінкового вигину
ободової кишки,
6 - рак низхідної ободової кишки,
7 - рак сигмовидної кишки,
8 - ураження ободової кишки, яке
виходить за межі
вищезазначених локалізацій,
9 - рак ободової кишки, неуточнений,
10 - рак ректосигми
Характеристика пухлини
1 - пухлина інфільтрує підслизову
оболонку
2 - пухлина інфільтрує м’язову
оболонку
3 - пухлина інфільтрує підсерозну
основу або тканину, яка прилягає до неперитонізованих ділянок ободової кишки
4 - пухлина поширюється на інші
органи або структури і (або)проростає вісцеральну очеревину
5 - недостатньо даних
6 - первинна пухлина не визначається
Наявні метастази 1 -
метастази в 1-3 периколічних ЛВ
2 - метастази в 4 і більше ЛВ
4 - недостатньо даних для оцінки ЛВ
5 - немає ознак враження ЛВ
Віддалені метастази 0 - немає
віддалених метастазів
1 - наявні віддалені метастази
2 - недостатньо даних
Таблиця А.1
Перевірки гіпотези 
про рівність середніх
значень факторів для компенсованого та субкомпенсованого станів за кишкової
непрохідності
Фактор n m
комп
субкомп
комп
|
субкомп n+m-2 Гіпотеза
|
|
|
|
|
|
|
|
|
|
|
|
Вік
|
104
|
108
|
62,05
|
64,60
|
9,73
|
10,55
|
1,82
|
210
|
1,652
|
відхиляється
|
|
Діагноз
|
104
|
108
|
5,25
|
6,67
|
3,03
|
2,52
|
3,72
|
210
|
1,652
|
відхиляється
|
|
Характерис- тика пухлини
|
104
|
108
|
3,30
|
3,60
|
0,68
|
0,54
|
3,46
|
210
|
1,652
|
відхиляється
|
|
Наявні метастази
|
104
|
108
|
0,36
|
0,44
|
0,65
|
0,68
|
0,85
|
210
|
1,652
|
не відхиляється
|
|
Віддалені метастази
|
104
|
108
|
0,10
|
0,17
|
0,30
|
0,38
|
1,46
|
210
|
1,652
|
не відхиляється
|
|
Гемоглобін
|
104
|
108
|
110,09
|
107,70
|
28,63
|
22,76
|
0,67
|
210
|
1,652
|
не відхиляється
|
|
Еритроцити
|
103
|
104
|
3,77
|
3,59
|
0,66
|
0,51
|
2,11
|
205
|
1,652
|
відхиляється
|
|
ЦП
|
75
|
75
|
0,81
|
0,79
|
0,09
|
0,07
|
1,38
|
148
|
1,655
|
не відхиляється
|
|
Ht
|
74
|
87
|
31,49
|
29,02
|
8,54
|
6,48
|
2,08
|
159
|
1,654
|
відхиляється
|
|
Лейкоцити
|
103
|
104
|
6,90
|
7,59
|
2,20
|
2,89
|
1,93
|
205
|
1,652
|
відхиляється
|
|
СОЭ
|
95
|
100
|
16,68
|
14,92
|
15,44
|
12,30
|
0,88
|
193
|
1,652
|
не відхиляється
|
|
Базофіли
|
2
|
2
|
|
|
|
|
|
|
|
|
|
Еозінофіли
|
75
|
69
|
2,06
|
1,91
|
1,43
|
1,56
|
0,61
|
142
|
1,655
|
не відхиляється
|
|
Міелоцити
|
|
|
|
|
|
|
|
|
|
|
|
Юні ер Нейтрофіли палочк
|
1
|
1
|
|
|
|
|
|
|
|
|
|
Нейтрофіли палочк ядерні
|
103
|
107
|
6,00
|
8,72
|
4,27
|
6,24
|
3,68
|
208
|
1,652
|
відхиляється
|
|
Нейтрофіли сегмент ядерні
|
104
|
108
|
59,23
|
59,89
|
11,29
|
9,22
|
0,47
|
210
|
1,652
|
не відхиляється
|
|
Лімфоцити
|
104
|
108
|
29,73
|
26,90
|
10,49
|
10,01
|
2,00
|
210
|
1,652
|
відхиляється
|
|
Моноцити и⟈
|
104
|
107
|
3,52
|
3,05
|
2,84
|
2,28
|
1,33
|
209
|
1,652
|
не відхиляється
|
Таблиця А.2
Перевірки гіпотези 
про рівність середніх
значень факторів для субкомпенсованого та декомпенсованого станів за кишкової
непрохідності
n m
субкомп
декомп
субкомп
|
декомп n+m-2 Гіпотеза
|
|
|
|
|
|
|
|
|
|
|
|
Вік
|
108
|
86
|
64,60
|
65,56
|
10,552
|
11,36
|
0,61
|
192
|
1,652
|
не відхиляється
|
|
Діагноз
|
108
|
86
|
6,67
|
6,22
|
2,52
|
2,26
|
1,30
|
192
|
1,652
|
не відхиляється
|
|
Характерис- тика пухлини
|
108
|
86
|
3,60
|
3,56
|
0,54
|
0,52
|
0,41
|
192
|
1,652
|
не відхиляється
|
|
Наявні метастази
|
108
|
86
|
0,44
|
0,41
|
0,688
|
0,67
|
0,26
|
192
|
1,652
|
не відхиляється
|
|
Віддалені метастази
|
108
|
86
|
0,17
|
0,12
|
0,38
|
0,33
|
0,91
|
192
|
1,652
|
не відхиляється
|
|
Гемоглобін
|
108
|
86
|
107,70
|
124,56
|
22,76
|
24,16
|
4,98
|
192
|
1,652
|
відхиляється
|
|
Еритроцити
|
104
|
83
|
3,59
|
3,77
|
0,51
|
0,57
|
2,28
|
185
|
1,653
|
відхиляється
|
|
ЦП
|
75
|
28
|
0,79
|
0,80
|
0,078
|
0,07
|
0,63
|
101
|
1,660
|
не відхиляється
|
|
Ht
|
87
|
69
|
29,02
|
34,85
|
6,48
|
6,19
|
5,68
|
154
|
1,654
|
відхиляється
|
|
Лейкоцити
|
104
|
85
|
7,59
|
9,28
|
2,89
|
3,38
|
3,6
|
187
|
1,653
|
відхиляється
|
|
СОЭ
|
100
|
66
|
14,92
|
17,10
|
12,30
|
11,19
|
1,16
|
164
|
1,654
|
не відхиляється
|
|
Базофіли
|
2
|
0
|
|
|
|
|
|
|
|
|
|
Еозінофіли
|
69
|
32
|
1,91
|
1,62
|
1,56
|
1,21
|
0,91
|
99
|
1,660
|
не відхиляється
|
|
Міелоцити
|
0
|
1
|
|
|
|
|
|
|
|
|
|
Юні
|
1
|
5
|
|
|
|
|
|
|
|
|
|
Нейтрофіли палочко ядерні
|
107
|
85
|
8,72
|
6,24
|
8,67
|
3,74
|
190
|
1,652
|
відхиляється
|
|
Нейтрофіли сегменто ядерні
|
108
|
85
|
59,89
|
62,95
|
9,22
|
10,49
|
2,14
|
191
|
1,652
|
відхиляється
|
|
Лімфоцити
|
108
|
85
|
26,90
|
20,36
|
10,01
|
10,24
|
4,46
|
191
|
1,652
|
відхиляється
|
|
Моноцити
|
107
|
85
|
3,05
|
2,98
|
2,28
|
1,91
|
0,21
|
190
|
1,652
|
не відхиляється
|
Таблиця А.3
Перевірки гіпотези 
про рівність середніх
значень факторів для компенсованого та декомпенсованого станів за кишкової
непрохідності
n m
комп
декомп
комп
|
декомп n+m-2 Гіпотеза
|
|
|
|
|
|
|
|
|
|
|
|
Вік
|
104
|
86
|
62,06
|
65,57
|
9,74
|
11,36
|
2,29
|
188
|
1,653
|
відхиляється
|
|
Діагноз
|
104
|
86
|
5,25
|
6,22
|
3,04
|
2,26
|
2,45
|
188
|
1,653
|
відхиляється
|
|
Характерис- тика пухлини
|
104
|
86
|
3,31
|
3,57
|
0,68
|
0,52
|
2,92
|
188
|
1,653
|
відхиляється
|
|
Наявні метастази
|
104
|
86
|
0,37
|
0,42
|
0,65
|
0,68
|
0,55
|
188
|
1,653
|
не відхиляється
|
|
Віддалені метастази
|
104
|
86
|
0,11
|
0,13
|
0,31
|
0,34
|
0,47
|
188
|
1,653
|
не відхиляється
|
|
Гемоглобін
|
104
|
86
|
110,10
|
124,57
|
28,63
|
24,17
|
3,72
|
188
|
1,653
|
відхиляється
|
|
Еритроцити
|
103
|
83
|
3,77
|
3,78
|
0,66
|
0,58
|
0,09
|
184
|
1,653
|
не відхиляється
|
|
ЦП
|
75
|
28
|
0,82
|
0,81
|
0,09
|
0,07
|
0,45
|
101
|
1,660
|
не відхиляється
|
|
Ht
|
74
|
69
|
31,49
|
34,86
|
8,55
|
6,20
|
2,68
|
141
|
1,656
|
відхиляється
|
|
Лейкоцити
|
103
|
85
|
6,90
|
9,28
|
2,20
|
3,39
|
5,80
|
186
|
1,653
|
відхиляється
|
|
СОЭ
|
95
|
66
|
16,68
|
17,11
|
15,45
|
11,20
|
0,19
|
159
|
1,654
|
не відхиляється
|
|
Базофіли
|
2
|
0
|
|
|
|
|
|
|
|
|
|
Еозінофіли
|
75
|
32
|
2,07
|
1,63
|
1,44
|
1,21
|
1,52
|
105
|
1,659
|
не відхиляється
|
|
Міелоцити
|
0
|
1
|
|
|
|
|
|
|
|
|
|
Юні
|
1
|
5
|
|
|
|
|
|
|
|
|
|
Нейтрофіли палочкоядерні
|
103
|
85
|
6,00
|
12,76
|
4,27
|
8,68
|
6,96
|
186
|
1,653
|
відхиляється
|
|
Нейтрофіли сегментоядерні
|
104
|
85
|
59,23
|
62,95
|
11,29
|
10,49
|
2,33
|
187
|
1,653
|
відхиляється
|
|
Лімфоцити
|
104
|
85
|
29,73
|
20,36
|
10,49
|
10,25
|
6,17
|
187
|
1,653
|
відхиляється
|
|
Моноцити
|
104
|
85
|
3,53
|
2,99
|
2,84
|
1,91
|
1,50
|
187
|
1,653
|
не відхиляється
|