Triple-wave ensembles in a thin cylindrical shell
TRIPLE-WAVE ENSEMBLES IN A
THIN CYLINDRICAL SHELL
Kovriguine
DA, Potapov AI
Introduction
Primitive nonlinear quasi-harmonic triple-wave patterns in a
thin-walled cylindrical shell are investigated. This task is focused on the
resonant properties of the system. The main idea is to trace the propagation of
a quasi-harmonic signal - is the wave stable or not? The stability prediction
is based on the iterative mathematical procedures. First, the lowest-order
nonlinear approximation model is derived and tested. If the wave is unstable
against small perturbations within this approximation, then the corresponding
instability mechanism is fixed and classified. Otherwise, the higher-order
iterations are continued up to obtaining some definite result.
The theory of thin-walled shells based on the Kirhhoff-Love
hypotheses is used to obtain equations governing nonlinear oscillations in a
shell. Then these equations are reduced to simplified mathematical models in the
form of modulation equations describing nonlinear coupling between
quasi-harmonic modes. Physically, the propagation velocity of any mechanical
signal should not exceed the characteristic wave velocity inherent in the
material of the plate. This restriction allows one to define three main types
of elemental resonant ensembles - the triads of quasi-harmonic modes of the
following kinds:
high-frequency
longitudinal and two low-frequency bending waves (
-type triads);
high-frequency
shear and two low-frequency bending waves (
);
high-frequency
bending, low-frequency bending and shear waves (
);
high-frequency
bending and two low-frequency bending waves (
).
Here subscripts
identify the type of modes, namely (
)
- longitudinal, (
) - bending, and (
)
- shear mode. The first one stands for the primary unstable high-frequency
mode, the other two subscripts denote secondary low-frequency modes.
Triads of the
first three kinds (i - iii) can be observed in a flat plate (as the curvature
of the shell goes to zero), while the
-type
triads are inherent in cylindrical shells only.
Notice that the
known Karman-type dynamical governing equations can describe the
-type triple-wave coupling only. The other triple-wave
resonant ensembles,
,
and
, which refer to the nonlinear coupling between
high-frequency shear (longitudinal) mode and low-frequency bending modes,
cannot be described by this model.
Quasi-harmonic
bending waves, whose group velocities do not exceed the typical propagation
velocity of shear waves, are stable against small perturbations within the
lowest-order nonlinear approximation analysis. However amplitude envelopes of
these waves can be unstable with respect to small long-wave perturbations in
the next approximation. Generally, such instability is associated with the
degenerated four-wave resonant interactions. In the present paper the
second-order approximation effects is reduced to consideration of the self-action
phenomenon only. The corresponding mathematical model in the form of
Zakharov-type equations is proposed to describe such high-order nonlinear wave
patterns.
Governing
equations
We consider a
deformed state of a thin-walled cylindrical shell of the length
, thickness
,
radius
, in the frame of references
. The
-coordinate
belongs to a line beginning at the center of curvature, and passing
perpendicularly to the median surface of the shell, while
and
are
in-plane coordinates on this surface (
).
Since the cylindrical shell is an axisymmetric elastic structure, it is
convenient to pass from the actual frame of references to the cylindrical
coordinates, i.e.
, where
and
. Let the vector of displacements of a material point
lying on the median surface be
.
Here
,
and
stand for the longitudinal, circumferential and
transversal components of displacements along the coordinates
and
,
respectively, at the time
. Then the spatial distribution of displacements reads
accordingly to the
geometrical paradigm of the Kirhhoff-Love hypotheses. From the viewpoint of
further mathematical rearrangements it is convenient to pass from the physical
sought variables
to the corresponding dimensionless displacements
. Let the radius and the length of the shell be
comparable values, i.e.
, while the displacements be small enough, i.e.
. Then the components of the deformation tensor can be
written in the form
where
is the small parameter;
;
and
. The expression for the spatial density of the
potential energy of the shell can be obtained using standard stress-straight
relationships accordingly to the dynamical part of the Kirhhoff-Love
hypotheses:
where
is the Young modulus;
denotes
the Poisson ratio;
(the primes indicating the dimensionless variables
have been omitted). Neglecting the cross-section inertia of the shell, the
density of kinetic energy reads
where
is the dimensionless time;
is typical propagation velocity.
Let the Lagrangian
of the system be
.
By using the
variational procedures of mechanics, one can obtain the following equations
governing the nonlinear vibrations of the cylindrical shell (the Donnell
model):
(1)
(2)
Equations (1) and
(2) are supplemented by the periodicity conditions
Dispersion
of linear waves
At
the linear subset of eqs.(1)-(2) describes a
superposition of harmonic waves
(3)
Here
is the vector of complex-valued wave amplitudes of
the longitudinal, circumferential and bending component, respectively;
is the phase, where
are
the natural frequencies depending upon two integer numbers, namely
(number of half-waves in the longitudinal direction)
and
(number of waves in the circumferential direction).
The dispersion relation defining this dependence
has
the form
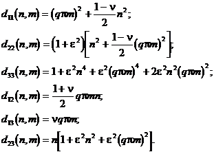
(4)
where
In the general
case this equation possesses three different roots (
) at fixed values of
and
. Graphically, these solutions are represented by a
set of points occupied the three surfaces
.
Their intersections with a plane passing the axis of frequencies are given by
fig.(1). Any natural frequency
corresponds to the three-dimensional vector of amplitudes
. The components of this vector should be proportional
values, e.g.
, where the ratios
and
are obeyed to the
orthogonality conditions
as
.
Assume that
, then the linearized subset of eqs.(1)-(2) describes
planar oscillations in a thin ring. The low-frequency branch corresponding
generally to bending waves is approximated by
and
,
while the high-frequency azimuthal branch -
and
. The bending and azimuthal modes are uncoupled with
the shear modes. The shear modes are polarized in the longitudinal direction
and characterized by the exact dispersion relation
.
Consider now axisymmetric
waves (as
). The axisymmetric shear waves are polarized by
azimuth:
, while the other two modes are uncoupled with the
shear mode. These high- and low-frequency branches are defined by the following
biquadratic equation
.
At the vicinity of
the high-frequency branch is approximated by
,
while the
low-frequency branch is given by
.
Let
, then the high-frequency asymptotic be
,
while the
low-frequency asymptotic:
.
When neglecting
the in-plane inertia of elastic waves, the governing equations (1)-(2) can be
reduced to the following set (the Karman model):
(5)
Here
and
are
the differential operators;
denotes
the Airy stress function defined by the relations
,
and
, where
,
while
,
and
stand for the components of the stress tensor. The
linearized subset of eqs.(5), at
,
is represented by a single equation
defining a single
variable
, whose solutions satisfy the following dispersion
relation
(6)
Notice that the
expression (6) is a good approximation of the low-frequency branch defined by
(4).
Evolution
equations
If
, then the ansatz (3) to the eqs.(1)-(2) can lead at
large times and spatial distances,
,
to a lack of the same order that the linearized solutions are themselves. To
compensate this defect, let us suppose that the amplitudes
be now the slowly varying functions of independent
coordinates
,
and
, although the ansatz to the nonlinear governing
equations conserves formally the same form (3):
Obviously, both
the slow
and the fast
spatio-temporal
scales appear in the problem. The structure of the fast scales is fixed by the
fast rotating phases (
), while the dependence of amplitudes
upon the slow variables is unknown.
This dependence is
defined by the evolution equations describing the slow spatio-temporal
modulation of complex amplitudes.
There are many
routs to obtain the evolution equations. Let us consider a technique based on
the Lagrangian variational procedure. We pass from the density of Lagrangian
function
to its average value
(7)
,
An advantage of
the transform (7) is that the average Lagrangian depends only upon the slowly
varying complex amplitudes and their derivatives on the slow spatio-temporal
scales
,
and
. In turn, the average Lagrangian does not depend upon
the fast variables.
The average
Lagrangian
can be formally represented as power series in
:
(8)
At
the average Lagrangian (8) reads
where the
coefficient
coincides exactly with the dispersion relation (3).
This means that
.
The first-order
approximation average Lagrangian
depends
upon the slowly varying complex amplitudes and their first derivatives on the
slow spatio-temporal scales
,
and
.
The corresponding evolution equations have the following form
Notice that the
second-order approximation evolution equations cannot be directly obtained
using the formal expansion of the average Lagrangian
, since some corrections of the term
are necessary. These corrections are resulted from
unknown additional terms
of order
,
which should generalize the ansatz (3):
provided that the
second-order approximation nonlinear effects are of interest.
Triple-wave
resonant ensembles
The lowest-order nonlinear analysis predicts that eqs.(9)
should describe the evolution of resonant triads in the cylindrical shell,
provided the following phase matching conditions
(10)
,
hold true, plus
the nonlinearity in eqs.(1)-(2) possesses some appropriate structure. Here
is a small phase detuning of order
, i.e.
.
The phase matching conditions (10) can be rewritten in the alternative form
where
is a small frequency detuning;
and
are
the wave numbers of three resonantly coupled quasi-harmonic nonlinear waves in
the circumferential and longitudinal directions, respectively. Then the
evolution equations (9) can be reduced to the form analogous to the classical
Euler equations, describing the motion of a gyro:
(11)
.
Here
is the potential of the triple-wave coupling;
are the slowly varying amplitudes of three waves at
the frequencies
and the wave numbers
and
;
are
the group velocities;
is the differential operator;
stand for the lengths of the polarization vectors (
and
);
is the nonlinearity coefficient:
where
.
Solutions to
eqs.(11) describe four main types of resonant triads in the cylindrical shell,
namely
-,
-,
- and
-type
triads. Here subscripts identify the type of modes, namely (
) - longitudinal, (
)
- bending, and (
) - shear mode. The first subscript stands for the
primary unstable high-frequency mode, the other two subscripts denote the
secondary low-frequency modes.
A new type of the
nonlinear resonant wave coupling appears in the cylindrical shell, namely
-type triads, unlike similar processes in bars, rings
and plates. From the viewpoint of mathematical modeling, it is obvious that the
Karman-type equations cannot describe the triple-wave coupling of
-,
-
and
-types, but the
-type
triple-wave coupling only. Since
-type
triads are inherent in both the Karman and Donnell models, these are of
interest in the present study.
-triads
High-frequency
azimuthal waves in the shell can be unstable with respect to small
perturbations of low-frequency bending waves. Figure (2) depicts a projection
of the corresponding resonant manifold of the shell possessing the spatial
dimensions:
and
.
The primary high-frequency azimuthal mode is characterized by the spectral
parameters
and
(the
numerical values of
and
are
given in the captions to the figures). In the example presented the phase
detuning
does not exceed one percent. Notice that the phase
detuning almost always approaches zero at some specially chosen ratios between
and
,
i.e. at some special values of the parameter
.
Almost all the exceptions correspond, as a rule, to the long-wave processes,
since in such cases the parameter
cannot
be small, e.g.
.
NB Notice that
-type triads can be observed in a thin rectilinear
bar, circular ring and in a flat plate.
NBThe wave modes
entering
-type triads can propagate in the same spatial
direction.
-triads
Analogously,
high-frequency shear waves in the shell can be unstable with respect to small
perturbations of low-frequency bending waves. Figure (3) displays the
projection of the
-type resonant manifold of the shell with the same
spatial sizes as in the previous subsection. The wave parameters of primary
high-frequency shear mode are
and
. The phase detuning does not exceed one percent. The
triple-wave resonant coupling cannot be observed in the case of long-wave
processes only, since in such cases the parameter
cannot be small.
NBThe wave modes
entering
-type triads cannot propagate in the same spatial
direction. Otherwise, the nonlinearity parameter
in
eqs.(11) goes to zero, as all the waves propagate in the same direction. This
means that such triads are essentially two-dimensional dynamical objects.
-triads
High-frequency
bending waves in the shell can be unstable with respect to small perturbations
of low-frequency bending and shear waves. Figure (4) displays an example of
projection of the
-type resonant manifold of the shell with the same
sizes as in the previous sections. The spectral parameters of the primary
high-frequency bending mode are
and
. The phase detuning also does not exceed one percent.
The triple-wave resonant coupling can be observed only in the case when the
group velocity of the primary high-frequency bending mode exceeds the typical
velocity of shear waves.
NBEssentially, the
spectral parameters of
-type triads fall near the boundary of the validity
domain predicted by the Kirhhoff-Love theory. This means that the real physical
properties of
-type triads can be different than theoretical ones.
NB
-type triads are essentially two-dimensional dynamical
objects, since the nonlinearity parameter goes to zero, as all the waves
propagate in the same direction.
-triads
High-frequency
bending waves in the shell can be unstable with respect to small perturbations
of low-frequency bending waves. Figure (5) displays an example of the
projection of the
-type resonant manifold of the shell with the same
sizes as in the previous sections. The wave parameters of the primary
high-frequency bending mode are
and
. The phase detuning does not exceed one percent. The
triple-wave resonant coupling cannot also be observed only in the case of
long-wave processes, since in such cases the parameter
cannot be small.
NBThe resonant
interactions of
-type are inherent in cylindrical shells only.
Manly-Rawe
relations
By multiplying each equation of the set (11) with the
corresponding complex conjugate amplitude and then summing the result, one can
reduce eqs.(11) to the following divergent laws
(12)
Notice that the
equations of the set (12) are always linearly dependent. Moreover, these do not
depend upon the nonlinearity potential
.
In the case of spatially uniform wave processes (
)
eqs.(12) are reduced to the well-known Manly-Rawe algebraic relations
(13)
where
are the portion of energy stored by the
quasi-harmonic mode number
;
are the integration constants dependent only upon the
initial conditions. The Manly-Rawe relations (13) describe the laws of energy
partition between the modes of the triad. Equations (13), being linearly
dependent, can be always reduced to the law of energy conservation
(14)
.
Equation (14) predicts
that the total energy of the resonant triad is always a constant value
, while the triad components can exchange by the
portions of energy
, accordingly to the laws (13). In turn, eqs.(13)-(14)
represent the two independent first integrals to the evolution equations (11)
with spatially uniform initial conditions. These first integrals describe an
unstable hyperbolic orbit behavior of triads near the stationary point
, or a stable motion near the two stationary elliptic
points
, and
.
In the case of
spatially uniform dynamical processes eqs.(11), with the help of the first
integrals, are integrated in terms of Jacobian elliptic functions [1,2]. In the
particular case, as
or
,
the general analytic solutions to eqs.(11), within an appropriate Cauchy
problem, can be obtained using a technique of the inverse scattering transform
[3]. In the general case eqs.(11) cannot be integrated analytically.
Break-up
instability of axisymmetric waves
Stability prediction of axisymmetric waves in cylindrical
shells subject to small perturbations is of primary interest, since such waves
are inherent in axisymmetric elastic structures. In the linear approximation
the axisymmetric waves are of three types, namely bending, shear and
longitudinal ones. These are the axisymmetric shear waves propagating without
dispersion along the symmetry axis of the shell, i.e. modes polarized in the
circumferential direction, and linearly coupled longitudinal and bending waves.
It was established experimentally and theoretically that
axisymmetric waves lose the symmetry when propagating along the axis of the
shell. From the theoretical viewpoint this phenomenon can be treated within
several independent scenarios.
The simplest
scenario of the dynamical instability is associated with the triple-wave resonant
coupling, when the high-frequency mode breaks up into some pairs of secondary
waves. For instance, let us suppose that an axisymmetric quasi-harmonic
longitudinal wave (
and
)
travels along the shell. Figure (6) represents a projection of the triple-wave
resonant manifold of the shell, with the geometrical sizes
m;
m;
m, on the plane of wave numbers. One can see the
appearance of six secondary wave pairs nonlinearly coupled with the primary
wave. Moreover, in the particular case the triple-wave phase matching is
reduced to the so-called resonance 2:1. This one can be proposed as the main
instability mechanism explaining some experimentally observed patterns in
shells subject to periodic cinematic excitations [4].
It was pointed out
in the paper [5] that the resonance 2:1 is a rarely observed in shells. The
so-called resonance 1:1 was proposed instead as the instability mechanism. This
means that the primary axisymmetric mode (with
)
can be unstable one with respect to small perturbations of the asymmetric mode
(with
) possessing a natural frequency closed to that of the
primary one. From the viewpoint of theory of waves this situation is treated as
the degenerated four-wave resonant interaction.
In turn, one more
mechanism explaining the loss of stability of axisymmetric waves in shells
based on a paradigm of the so-called nonresonant interactions can be proposed
[6,7,8]. By the way, it was underlined in the paper [6] that theoretical
prognoses relevant to the modulation instability are extremely sensible upon the
model explored. This means that the Karman-type equations and Donnell-type
equations lead to different predictions related the stability properties of
axisymmetric waves.
Self-action
The propagation of any intense bending waves in a long
cylindrical shell is accompanied by the excitation of long-wave displacements
related to the in-plane tensions and rotations. In turn, these long-wave fields
can influence on the theoretically predicted dependence between the amplitude
and frequency of the intense bending wave.
Moreover, quasi-harmonic bending waves, whose group
velocities do not exceed the typical propagation velocity of shear waves, are
stable against small perturbations within the lowest-order nonlinear
approximation analysis. However amplitude envelopes of these waves can be
unstable with respect to small long-wave perturbations in the next
approximation.
Amplitude-frequency
curve
Let us consider a stationary wave
traveling along
the single direction characterized by the ''companion'' coordinate
. By substituting this expression into the first and
second equations of the set (1)-(2), one obtains the following differential
relations
(15)
Here
while
where
and
.
Using (15) one can
get the following nonlinear ordinary differential equation of the fourth order:
(16)
,
which describes
simple stationary waves in the cylindrical shell (primes denote
differentiation). Here
where
and
are
the integration constants.
If the small
parameter
, and
,
,
satisfies
the dispersion relation (4), then a periodic solution to the linearized
equation (16) reads
where
are arbitrary constants, since
.
Let the parameter
be small enough, then a solution to eq.(16) can be
represented in the following form
(17)
where the
amplitude
depends upon the slow variables
, while
are
small nonresonant corrections. After the substitution (17) into eq.( 16) one
obtains the expression of the first-order nonresonant correction
and the following
modulation equation
(18)
,
where the
nonlinearity coefficient is given by
.
Suppose that the
wave vector
is conserved in the nonlinear solution. Taking into
account that the following relation

or
,
where the point
denotes differentiation on the slow temporal scale
. This equation has a simple solution for spatially
uniform and time-periodic waves of constant amplitude
:
,
which
characterizes the amplitude-frequency response curve of the shell or the Stocks
addition to the natural frequency of linear oscillations:
(19)
.
Spatio-temporal
modulation of waves
Relation (19) cannot provide information related to the
modulation instability of quasi-harmonic waves. To obtain this, one should
slightly modify the ansatz (17):
(20)
where
and
denote
the long-wave slowly varying fields being the functions of arguments
and
(these
turn in constants in the linear theory);
is
the amplitude of the bending wave;
,
and
are
small nonresonant corrections. By substituting the expression (20) into the
governing equations (1)-(2), one obtains, after some rearranging, the following
modulation equations
(21)
where
is the group velocity, and
. Notice that eqs.(21) have a form of Zakharov-type
equations.
Consider the
stationary quasi-harmonic bending wave packets. Let the propagation velocity be
, then eqs.(21) can be reduced to the nonlinear
Schrцdinger equation
(22)
,
where the
nonlinearity coefficient is equal to
,
while the non-oscillatory
in-plane wave fields are defined by the following relations
and
.
The theory of
modulated waves predicts that the amplitude envelope of a wavetrain governed by
eq.(22) will be unstable one provided the following Lighthill criterion
(23)
is satisfied.
Envelope
solitons
The experiments
described in the paper [7] arise from an effort to uncover wave systems in
solids which exhibit soliton behavior. The thin open-ended nickel cylindrical
shell, having the dimensions
cm,
cm and
cm,
was made by an electroplating process. An acoustic beam generated by a horn
driver was aimed at the shell. The elastic waves generated were flexural waves
which propagated in the axial,
,
and circumferential,
, direction. Let
and
, respectively, be the eigen numbers of the mode. The
modes in which
is always one and
ranges
from 6 to 32 were investigated. The only modes which we failed to excite (for
unknown reasons) were
= 9,10,19. A flexural wave pulse was generated by
blasting the shell with an acoustic wave train typically 15 waves long. At any
given frequency the displacement would be given by a standing wave component
and a traveling wave component. If the pickup transducer is placed at a node in
the standing wave its response will be limited to the traveling wave whose
amplitude is constant as it propagates.
The wave pulse at
frequency of 1120 Hz was generated. The measured speed of the clockwise pulse
was 23 m/s and that of the counter-clockwise pulse was 26 m/s, which are
consistent with the value calculated from the dispersion curve (6) within ten
percents. The experimentally observed bending wavetrains were best fitting
plots of the theoretical hyperbolic functions, which characterizes the envelope
solitons. The drop in amplitude, in 105/69 times, was believed due to
attenuation of the wave. The shape was independent of the initial shape of the
input pulse envelope.
The agreement
between the experimental data and the theoretical curve is excellent. Figure 7
displays the dependence of the nonlinearity coefficient
and eigen frequencies
versus
the wave number
of the cylindrical shell with the same geometrical
dimensions as in the work [7]. Evidently, the envelope solitons in the shell
should arise accordingly to the Lighthill criterion (23) in the range of wave
numbers
=6,7,..,32, as
.
REFERENCES
1
Bretherton
FP (1964), Resonant interactions between waves, J. Fluid Mech., 20, 457-472.
2
Bloembergen
K. (1965), Nonlinear optics, New York-Amsterdam.
3
Ablowitz
MJ, H Segur (1981), Solitons and the Inverse Scattering Transform, SIAM,
Philadelphia.
4
Kubenko
VD, Kovalchuk PS, Krasnopolskaya TS (1984), Nonlinear interaction of flexible
modes of oscillation in cylindrical shells, Kiev: Naukova dumka publisher (in
Russian).
5
Ginsberg
JM (1974), Dynamic stability of transverse waves in circular cylindrical shell,
Trans. ASME J. Appl. Mech., 41(1), 77-82.
6
Bagdoev
AG, Movsisyan LA (1980), Equations of modulation in nonlinear dispersive media
and their application to waves in thin bodies, .Izv. AN Arm.SSR, 3, 29-40 (in
Russian).
7
Kovriguine
DA, Potapov AI (1998), Nonlinear oscillations in a thin ring - I(II), Acta
Mechanica, 126, 189-212.