Решение математических задач с использованием программного пакета MathCad
Курсовая работа
На тему:
«Решение математических задач
с использованием программного пакета MathCad»
Екатеринбург 2010
1. Краткие теоретические сведения
Дифференциальными
уравнениями называются уравнения, в которых неизвестными являются функции
одного или нескольких переменных, причем в уравнения входят не только сами
функции, но и их производные. Рассмотрим обыкновенное дифференциальное
уравнение n-го
порядка:
y(n) = f (x, y, y’, y’’… y(n-1))
Общее решение
этого уравнения зависит от n-произвольных постоянных.
Точное решение
дифференциального уравнения может быть найдено вручную, либо операторным
методом в пакете MathCad. Также есть приближенные методы решения: решение с помощью рядов,
численные методы и др. Каждый
из этих методов определяет один или несколько бесконечных процессов, с помощью
которых при выполнении определённых условий можно получить точное решение
задачи. Для получения приближенного решения останавливаются на некотором шаге
процесса.
Принцип
операторного метода состоит в том, что при переводе функции дифференциального
уравнения y(n) = f (x, y, y’, y’’… y(n-1)) в пространство Лапласа мы получаем изображение F(s), которое зависит только
от одной переменной s. Отсюда, по теореме о единственности мы можем найти точное
решение дифференциального уравнения.
Если решение
ищется в виде бесконечного ряда, то за приближенное решение принимают конечный
отрезок ряда. Например, пусть требуется найти решение дифференциального
уравнения y' = f (x, у), удовлетворяющее начальным условиям у (х0) =
y0, причём известно, что f (x, у) – аналитическая функция х, у в
некоторой окрестности точки (х0, y0). Тогда решение можно
искать в виде степенного ряда:
y (x) – y (x0) =
Коэффициенты Ak
ряда могут быть найдены либо последовательным дифференцированием, либо с
помощью метода неопределенных коэффициентов, который применяется в курсовой
работе. Метод рядов позволяет находить решение лишь при малых значениях
величины х – х0.
К численным
методам относятся методы, позволяющие находить приближенное решение при
некоторых значениях аргумента (т.е. получать таблицу приближённых значений
искомого решения), пользуясь известными значениями решения в одной или
нескольких точках. Такими методами являются, например, метод Эйлера, метод
Рунге и целый ряд разностных методов (метод Рунге-Кутты).
Если a – точное решение, то
абсолютной погрешностью приближенного значения a* называют величину Д(а*),
которая определяется следующим образом:
|a*-a| ≤ Д(a*)
Относительной
погрешностью Дa
приближенного значения называют некоторую величину, которая определяется следующим
образом:
|(a*-a)/ a* | ≤ д(a*)
Таким
образом, эти две погрешности связаны между собой:
д(a*) = Д(a*) / |a*|
Относительную
погрешность часто выражают в процентах. Числа a* и Дa принято записывать с
одинаковым количеством знаков после запятой.
Получить
точное решение дифференциального уравнения вручную, операторным методом,
приближенное решение с помощью рядов (до 5 элемента ряда) на интервале [0,1],
численное решение методами Эйлера и Рунге-Кутты, представить совместное
графическое решение ДУ всеми способами. Рассчитать локальную погрешность
методов Эйлера и Рунге-Кутты. Рассчитать относительную и абсолютную погрешность
всех методов с использованием точного решения.
Дано:
2x''+5x'=29cos t
x(0)= -1
x'(0)=0
Пусть X(s) изображение, а х(t) оригинал.
Продифференцируем
левую часть уравнения:
2x''+5x'=5*(s2*X-s*x(0) – x'(0))+5*(s*X-x(0))
Подставим
данные значения x(0) и x'(0) в уравнение и получим:
x''-3x'+2x=
2*(s2*X+s)+5*(s*X+1)=X*(2s2+5s)+s*2+5
Преобразуем
правую часть уравнения в пространство Лапласа
Найдем
значение изображения:
Given

Сопоставим
изображению оригинал:
Найдем
значения функции, построим её график:


дифференциальный
уравнение эйлер операторный
Запишем
функцию в виде ряда:
Найдем
производные первого и второго порядков от этой функции:
Разложим в
ряд правую часть уравнения:
Полученные
ряды подставим в исходное уравнение:
Найдем
значения коэффициентов

Подставим
найденные значения в разложение функции в ряд и построим график функции:

Перепишем
условие следующим образом:
x'=z
z'+
5z=29cos
t
z'=29cos t – 5z
Задаём
начальные данные:

Находим
значение x
и x'
Для сравнения
решим это дифференциальное уравнение с шагом 0,01. Построим график.
Определяем
функцию D,
задающую производные и находим значения функции. Строим график функции:


Таблица 1 –
Значения функции
|
Заданный интервал
|
Точное решение
|
Приближенное с помощью
рядов
|
Метод Эйлера (шаг 0,1)
|
Метод Эйлера (шаг 0,01)
|
Метод Рунге Кутты
|
|
0
|
-1,000000
|
-1,000000
|
-1,000000
|
-1,000000
|
-1,000000
|
|
0,1
|
-0,933240
|
-0,933240
|
-1,000000
|
-0,938953
|
-0,933221
|
|
0,2
|
-0,753725
|
-0,753766
|
-0,855000
|
-0,762488
|
-0,753695
|
|
0,3
|
-0,488339
|
-0,488787
|
-0,601974
|
-0,498255
|
-0,488302
|
|
0,4
|
-0,159271
|
-0,161707
|
-0,270096
|
-0,168991
|
-0,159232
|
|
0,5
|
0,214972
|
0,205973
|
0,117337
|
0,206412
|
0,215012
|
|
0,6
|
0,618801
|
0,592753
|
0,541466
|
0,612091
|
0,618840
|
|
0,7
|
1,038952
|
0,975227
|
0,986812
|
1,034588
|
1,038989
|
|
0,8
|
1,464038
|
1,326187
|
1,440495
|
1,462384
|
1,464072
|
1,884213
|
1,612712
|
1,891659
|
1,885536
|
1,884245
|
|
1
|
2,290920
|
1,794271
|
2,331055
|
2,295416
|
2,290950
|
Таблица 2 –
Локальная, абсолютная и относительная погрешность
|
Абсолютная погрешность
|
Относительная
погрешность
|
|
Решения с помощью рядов
|
метода Эйлера (шаг 0,1)
|
метода Эйлера (шаг
0,01)
|
метода Рунге Кутты
|
Решения с помощью рядов
|
метода Эйлера (шаг 0,1)
|
метода Эйлера (шаг
0,01)
|
метода Рунге Кутты
|
|
Локальная погрешность
|
0,000000
|
0,000000
|
0,000000
|
0,000000
|
0,0
|
0,0
|
0,0
|
0,000
|
|
0,000000
|
0,066760
|
0,005713
|
-0,000019
|
0,0
|
-6,7
|
-0,6
|
0,002
|
|
0,000041
|
0,101275
|
0,008763
|
-0,000030
|
0,0
|
-11,8
|
-1,1
|
0,004
|
|
0,000448
|
0,113635
|
0,009916
|
-0,000037
|
-0,1
|
-18,9
|
-2,0
|
0,008
|
|
0,002436
|
0,110825
|
0,009720
|
-0,000039
|
-1,5
|
-41,0
|
-5,8
|
0,024
|
|
0,008999
|
0,097635
|
0,008560
|
-0,000040
|
4,4
|
83,2
|
4,1
|
|
0,026048
|
0,077335
|
0,006710
|
-0,000039
|
4,4
|
14,3
|
1,1
|
-0,006
|
|
0,063725
|
0,052140
|
0,004364
|
-0,000037
|
6,5
|
5,3
|
0,4
|
-0,004
|
|
0,137851
|
0,023543
|
0,001654
|
-0,000034
|
10,4
|
1,6
|
0,1
|
-0,002
|
|
0,271501
|
-0,007446
|
-0,001323
|
-0,000032
|
16,8
|
-0,4
|
-0,1
|
-0,002
|
|
0,496649
|
-0,040135
|
-0,004496
|
-0,000030
|
27,7
|
-1,7
|
-0,2
|
-0,001
|
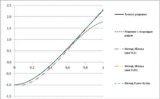
Рисунок 1 –
Совместное графическое решение
Из всех
методов наиболее точным оказался метод Рунге-Кутты, его максимальная
относительная погрешность 0,024%, относительная погрешность приближенного
метода составила 27,7%. Метод Эйлера с шагом 0,1 имеет наибольшую погрешность 83,2%,
однако при уменьшении шага в до 0,01 его погрешность составляет всего 5,8%. Это
подтверждает то, что погрешность метода Эйлера сильно зависит от принятого
шага. Проанализировав графическое решение делаем вывод о том, что методы Эйлера
и Рунге-Кутты повторяют форму кривой точного решения, а график приближенного
решения с увеличением аргумента всё сильнее отклоняется от искомого графика – свидетельство
того, что погрешность решения с помощью рядов зависит от количества членов
ряда. Характер кривой также говорит о том, что точность приближенного решения с
помощью рядов удовлетворительна только вблизи некоторой точки.
Решить
систему дифференциальных уравнений, получить точное решение вручную,
операторным методом, приближенное решение с помощью рядов (до 5 элемента),
численное решение методом Эйлера, Рунге-Кутты. Представить графическое
совместное решение, рассчитать локальную, относительную и абсолютную погрешность
решения.
Дано:
dx/dt=3x
+ y
dy/dt=5/2x
– y + 2
x(0)=0
y(0)=1
Пусть X(s) изображение, для
оригинала x(t), Y(s) изображение для
оригинала y(t). Перейдем от оригинала
к изображению:
Найдем
значения изображений:
Найдем
значения функции и построим её график:

Преобразуем систему
таким образом что, получим дифференциальное уравнение второго порядка,
зависящее только от x:
x''-2x'-11/2x-2=0
Алгоритм
решения такой же, как и при решении дифференциального уравнения с правой частью
специального вида, но без необходимости раскладывать правую часть.

