|
Криптографія
Криптографія – вивчає методи,
алгоритми і засоби здійснення криптографічного захисту інформації.
Криптоаналіз – вивчає методи,
алгоритми і засоби розкриття криптографічної системи при невідомій частині ключа.
Криптографічне перетворення
інформації – здійснюється з використанням симетричних, несиметричних
криптосистем. Криптографічна система називається симетричною, якщо ключ прямого
перетворення збігається з ключем зворотного перетворення чи обчислюється один з
іншого не вище чим з поліноміальною складністю (не більш 1 секунди).
Криптосистема (алгоритм)
називається симетричною, якщо ключ прямого перетворення збігається з ключем
зворотного перетворення:
(7)
Криптосистема (алгоритм)
називається асиметричний, якщо ключ прямого перетворення не збігається з ключем
зворотного перетворення:
(8)
або може бути обчислений один при
знанні іншого не нижче ніж з субекспоненціальною складністю.
1. Для захисту інформації, як
правило, використовуються криптоперетворення.
2. Стійкість перетворень забезпечується
використанням ключових даних.
3. Ключові дані можна розділити на
два класи відносно симетричності та асиметричності.
4. В асиметричних
криптоперетвореннях один із ключів може бути відкритим.
В Європейському проекті
NESSIE–2000-2003 визначено 10 видів криптоперетворень.
Симетричні – розробка блокового симетричного
шифрування, потоковий шифр, автентифікація (процедура встановлення дійсності
джерела, приймача повідомлень).
Несиметричні – функції гешування
(обчислення криптографічних контрольних сум) односпрямованої геш (стиску з
великого простору в малий), ключова геш з використанням ключа.
Направлене шифрування (виконується
умова (2)).
Ідентифікація (автентифікація) -
(1),(2).
Криптопротокол – рішення
розподіленої задачі, багатоетапно.
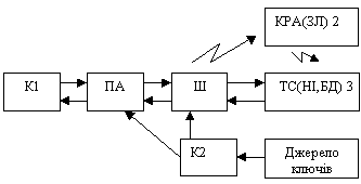
4. Модель крипто аналітика
Рисунок 3
Користувач К1 – джерело
інформаційних повідомлень Mi, розмір джерела (кількість повідомлень)
. Розмір ймовірності появлення
повідомлення Р(Mi) апріорна ентропія Н(Mi) джерела
інформації. З метою забезпечення цілісності і дійсності повідомлення Mi
піддається криптоперетворенню – автентифікації, на виході формується Mi.
(9)
Для забезпечення конфіденційності,
повідомлення 2 піддається
зашифровуванню, на виході формується Сj – криптограма.
(10)
Кj ключ (обраний із
простору ключів, розмірність ) з’являється
випадково, тому на виході шифратора з’являється під його дією криптограма.
Сj передається К2 через
ТС по відкритому каналу, чи записується на носій інформації.
Задачі, що ставить криптоаналіз:
1) визначити яке повідомлення
міститься в криптограмі;
2) відновити Kj ключ.
При криптоаналізі вважають, що
криптоаналітик знає все систему (апріорну статистику, режими роботи, загальні
характеристики). При імовірнісному підході криптоаналітик можде будувати модель
апостеріорного ряду
, (11)
Перший імовірнісний підхід до криптоаналізу:
обчислюється . Недолік такого підходу в тому, що ряд дуже великий і його практично розв’язати
неможливо.
На визначеність криптоаналітиком
того, яке повідомлення Мі міститься в криптограмі Сі
можна задати через умовну ентропію . Таку ентропію можна
обчислити як:
(12)
На початку криптоаналізу відома
ентропія Н(М), після того, як ведеться криптоаналіз ентропія зменшується .
Будемо вважати, що криптоаналітик
отримав від джерела інформації
(13)
Граничні ситуації:
якщо = 0, ;
якщо , .
Реальна ситуація:
Аналізуючи криптоаналітик або
рішає задачу криптоаналізу, або ні. обчислюється за
допомогою (12)
В якості оцінки стійкості, як
правило, використовуються:
1)
Nk – кількість
ключів, що дозволені в системі.
2)
H(k) – ентропія джерела
ключів:
, (14)
де -
імовірність появи Кj ключа в системі.
3)
tб – безпечний
час (математичне сподівання часу розкриття криптосистеми із використанням
конкретного методу):
, (15)
де Nk – кількість
групових операцій, які повинен розглянути криптоаналітик;
γ – потужність
криптоаналітичної системи (вар/с)
К – кількість секунд у році: (с/рік)
 – імовірність розкриття.
4)
l0- відстань
єдності шифру.
Множина параметрів, за якою буде
оцінена складність криптоаналізу:
(16)
В залежності від складності задачі
криптоаналізу, шифри розподіляються на чотири класи:
1) безумовно стійкі або теоретично
недешифруємі (відносно яких криптоаналітик ніколи не зможе виконати
криптоаналіз);
2) обчислювально стійкі (в
принципі розкрити можна, але не достатньо ресурсів для розкриття);
3) ймовірностійкі;
4) обчислювально нестійкі.
В безумовно та обчислювально стійких
шифрах безпечний час набагато більше за цілісність інформації:
, (17)
а в обчислювально нестійких
шифрах:
. (18)
5. Умови реалізації безумовно
стійких криптосистем
Теорема Необхідною і достатньою
умовами забезпечення безумовної стійкості є:
, (19)
тобто імовірність появи Сj
на виході шифратора не повинно залежати від того, яке Мі
повідомлення з’явилось на виході джерела повідомлення.
Доведення: визначимо імовірність , що може обчислити криптоаналітик:
. (20)
Криптоаналітик не одержить ніякої
інформації відносно джерела повідомлення, якщо:
, (21)
. (22)
Умову безумовної стійкості можна
вважати (20) або (21).
З виразу (22):
.
Теорему доведено.
Похожие работы на - Миссия и цели организации
|