Стратегии создания конкурентного преимущества

  • Вид работы:
    Курсовая работа (т)
  • Предмет:
    Маркетинг
  • Язык:
    Русский
    ,
    Формат файла:
    MS Word
    91,40 kb
  • Опубликовано:
    2010-10-17
Вы можете узнать стоимость помощи в написании студенческой работы.
Помощь в написании работы, которую точно примут!

Стратегии создания конкурентного преимущества

СОДЕРЖАНИЕ

Введение

1 Теоретические основы управления конкурентными преимуществами

1.1 Конкуренция и конкурентоспособность

1.2 Понятие и сущность конкурентных преимуществ

2 Анализ конкурентных преимуществ фирмы ЗАО «Август»

2.1 Краткая характеристика предприятия

2.2 Анализ показателей финансово-хозяйственной деятельности ЗАО «Август»

3 Основные направления совершенствования системы управления конкурентными преимуществами в ЗАО «Август»

3.1 Основные направления совершенствования

3.2 Оценка экономического эффекта от внедрения внесенных предложений

Заключение

Список использованной литературы

Введение

Решающую роль в успехе экономической деятельности компаний играет стратегический маркетинг. Доказательством тому служат преуспевающие компании, оперирующие в самых разных отраслях и условиях рыночной конкуренции, руководствующиеся в своей деятельности стратегиями рыночной ориентации. Способность добиться конкурентного преимущества и сохранить его во многом зависит от эффективности маркетинговой стратегии компании, обусловленной ориентацией стратегии на создание исключительной потребительской ценности, ее способностью усиливать ключевые компетенции компаний, восприимчивостью к изменяющимся потребностям рынка, нацеленностью на разработку новых товаров и признанием глобального характера экономической конкуренции. В настоящей книге рассматриваются концепции и составляющие такой стратегии — стратегии рыночной ориентации.

Признаком рыночной ориентации маркетинговой стратегии компании является ориентация на потребности рынка корпоративной культуры и внутренних процессов компании. Основная характеристика такой стратегии заключается в признании того факта, что конкурентное преимущество компании зиждется на ее стремлении к созданию исключительной потребительской ценности. Преимущества стратегии рыночной ориентации в решении задач конкурентного превосходства очевидны.

• Стратегия рыночной ориентации обеспечивает достижение конкурентного преимущества за счет стремления компании к предложению исключительной потребительской ценности.

• Функция маркетинга является ключевым процессом экономической деятельности компании, направляя процесс разработки новых товаров и обеспечивая управление взаимоотношениями компании со своими потребителями и участниками цепочки создания ценности.

• Использование межфункциональных рабочих групп для управления основными функциональными процессами компании коренным образом меняет традиционную иерархическую организационную структуру.

• Изменение организационной структуры компании предполагает новый взгляд на характер взаимоотношений компании с ее потребителями, поставщиками, участниками цепочки создания ценности и конкурентами.

• Осознание компанией нужд своих потребителей, действий конкурентов и характера рыночной ситуации предполагает участие в этом процессе всего персонала компании.

• Разработка процедур, способствующих непрерывному процессу изучения рынков, с использованием информации, поступающей от потребителей, конкурентов и других источников, является непреложным условием сохранения конкурентного преимущества.

• Экологические и этические аспекты экономической деятельности необычайно важны и требуют внимания со стороны всего персонала компании.

Успешная экономическая деятельность невозможна без эффективного управления в условиях непрерывно изменяющейся рыночной ситуации. Решающими факторами такого успеха являются разработка и реализация многофункциональных корпоративных и маркетинговых стратегий рыночной ориентации, способных адаптироваться к изменяющимся внешним условиям. Эти задачи требуют от компании развития особых навыков, позволяющих предвидеть постоянно изменяющиеся требования потребителей и рынков.

Многообразие потребительских нужд и новые формы конкуренции открывают небывалые возможности роста для компаний, создающих и реализующих свои рыночные стратегии на принципах стратегического маркетинга. Тенденция к обретению компаниями рыночной ориентации прослеживается в самых разнообразных отраслях как США, так и других стран. Обращение к стратегическому маркетингу становится необходимым условием выживания и развития компаний в стремительно меняющейся рыночной среде XXI века. Необходимость анализа рыночной ситуации и соответствующей адаптации своих стратегий к изменяющимся рыночным условиям предполагает выработку действенных подходов к процессу планирования и реализации маркетинговых стратегий. Необходимость частых корректировок стратегий предъявляет повышенные требования к процессу планирования. Немаловажен при этом и глубокий финансовый анализ. Маркетинговая стратегия, разработанная интуитивно, недостаточно целенаправленна и зачастую неэффективна в современных условиях.

Перечисленными выше факторами обусловлена актуальность темы курсовой работы, целью которой является разработка программы совершенствования системы управления конкурентными преимуществами на ЗАО «Август».

Для достижения поставленной цели в работе решены следующие задачи:

1.   раскрыты теоретические основы управления конкурентными преимуществами в условиях рынка;

2.   проведен анализ деятельности ЗАО «Август» и их конкурентных преимуществ;

3.   разработаны предложения по повышению конкурентных преимуществ ЗАО «Август» и определена их экономическая эффективность.

Таким образом, объектом данного исследования является ЗАО «Август», предметом – конкурентные преимущества предприятия.

Курсовая работа написана на 65 листах и состоит из введения, трех глав, разбитых на параграфы, заключения и списка использованной литературы.

1 Теоретические основы управления конкурентными преимуществами

 

1.1 Конкуренция и конкурентоспособность

Ход рыночных преобразований требует должного учета и целенаправленного использования реальных возможностей конкуренции. Однако связанные с ней проблемы остаются нерешенными и, видимо, всегда будут сложными и далеко не всегда теоретически прозрачными. Как и в прошлом, «одним из наиболее трудных и плохо понимаемых аспектов концепции всеобъемлющих систем является отношение к конкуренции, как к части внешнего окружения организации[1]...».

Широко признано определение конкуренции, данное известным исследователем М. Портером:

«Конкурентная стратегия должна основываться на всестороннем понимании структуры отрасли и процесса ее изменения. В любой отрасли экономики, — неважно, действует она только на внутреннем рынке или на внешнем тоже, — суть конкуренции выражается пятью силами:

1) угрозой появления новых конкурентов;

2) угрозой появления товаров-заменителей;

3) способностью поставщиков комплектующих изделий торговаться;

4) способностью покупателей торговаться;

5) соперничеством уже имеющихся конкурентов между собой.

Значение каждой из пяти сил меняется от отрасли к отрасли и предопределяет, в конечном счете, прибыльность отраслей[2]».

В других исследованиях понятие конкуренции определяется с иных позиций. Так, Р. Макконел и Л. Брю считают, что обязательными условиями конкуренции являются: «наличие на рынке большого числа покупателей и продавцов любого конкретного продукта или ресурса», а также «свобода для покупателей и продавцов выступать на тех или иных рынках или покидать их[3]».

Во втором дополненном издании Толкового словаря рыночной экономики указано: «Конкуренция — это соперничество, соревнование между выступающими на рынке предприятиями, имеющее целью обеспечить лучшие возможности сбыта своей продукции, удовлетворяя разнообразные потребности покупателей. На мировом рынке постоянно существует острая конкуренция товаропроизводителей. Для успешного выступления на внешних рынках требуется существенное повышение конкурентоспособности предлагаемых отечественных товаров. При импорте же использование конкуренции иностранных продавцов позволяет достигать более выгодных условий закупок[4]».

Различные определения конкуренции, как правило, не противоречат, а скорее дополняют друг друга. В то же время каждое из них, взятое в отдельности, невозможно признать достаточным. Это выражается в том, что, характеризуя отдельные весьма важные признаки конкуренции, они обходят вниманием общетеоретический аспект проблемы — суть присущих ей экономических отношений.

Результаты анализа дают основание утверждать, что конкуренция обладает следующими определяющими признаками:

1) проявляет себя в системе воспроизводства технических и экономических параметров продукции на всех стадиях ее проектирования, изготовления, предпродажного и послепродажного обслуживания и потребления (эксплуатации);

2) является системообразующей составляющей рыночных отношений, определяя всю совокупность присущих им элементов (издержки производства, формирование цены, адаптивность предприятий и организаций к требованиям рынка, удовлетворение потребности в товарах и услугах и пр.);

3) служит фундаментом рыночных методов ведения хозяйства, основой формирования и проявления конкурентоспособности продукции, экономического закона, выражающего объективность категорий конкуренции (состязательности) между субъектами рынка, влияет на характер и формы взаимоотношений между ними, обусловливает проблемы федерального и регионального уровней.

«Конкуренция — стимул роста и развития; энтузиазм конкурента к обновлению; поиск, выбор и продвижение к цели; знание соперников, умение подбирать партнеров, жажда успеха[5]».

В переводе с латинского конкурировать означает «сталкиваться». Фактически конкуренция — это борьба.

Ценовая конкуренция — это борьба между товаропроизводителями за получение дополнительной прибыли посредством сокращения издержек производства и соответственно снижения цен на продукцию того же качества. Виды ценовой конкуренции — контроль над ценами, лидерство в ценах, установление доли влияния на рынке, соглашения, в том числе тайные, и др. Виды неценовой конкуренции — повышение технического уровня и качества товара, обеспечение его рыночной новизны, реклама, послепродажное техническое обслуживание (сервис) и др.

Для проведения анализа конкуренции и конкурентов прежде всего необходимо определить всех предпринимателей, которых можно отнести к кругу реальных или потенциальных конкурентов. При этом следует выявить и оценить: возможные цели и стратегии конкурентов, их текущее положение и финансовые возможности, предпринимательскую философию и культуру.

По М. Портеру, сбор информации о конкурентах нужно провести по следующим четырем элементам: цели на будущее; текущие стратегии; представление о возможностях; реальные возможности конкурентов[6]. Эту информацию важно учитывать при принятии решений, затрагивающих наиболее уязвимые позиции соперников.

Исследование деятельности конкурирующих фирм, как и анализ спроса, обычно осуществляется в три этапа:

- выявление действующих и потенциальных конкурентов;

- анализ показателей деятельности конкурентов, их целей и стратегии;

- выявление сильных и слабых сторон деятельности конкурентов.

Анализ конкуренции на рынке проводится в рамках общей системы сбора и обработки информации, действующей на фирме. При этом прежде всего используются открытые источники информации о деятельности конкурирующих фирм — рекламные проспекты, ежегодные отчеты и тексты выступлений руководителей компаний, обзоры, публикуемые в коммерческой периодике, материалы конференций, торговые выставки и ярмарки. Кроме того, исследование деятельности конкурентов должно опираться и на оперативную информацию, в том числе на сведения, полученные от потребителей и экспертов рынка, а также поступающие из государственных правовых и экономических учреждений и с биржи. Важным методом получения данных о деятельности конкурентов являются опросы потребителей и их дилеров по сбыту продукции на рынке[7].

1.2 Понятие и сущность конкурентных преимуществ

Выявление действующих и потенциальных конкурентов, как правило, проводится на основе использования одного из двух подходов:

- первый — оценка потребностей, удовлетворяемых на рынке основными конкурирующими фирмами;

- второй — классификация конкурентов в соответствии с типами применяемой ими рыночной стратегии.

При первом подходе конкурирующие фирмы группируются в соответствии с типом потребностей, которые удовлетворяет их продукция. При этом выделяются основные группы конкурирующих фирм:

- ориентирующихся на удовлетворение всего комплекса требований к данному товару, предъявляемых потребителями;

- специализирующихся на удовлетворении специфических потребностей, характерных для отдельных сегментов рынка;

- намечающих выход на рынок с продукцией, которая аналогична уже поставляемой на него;

- обслуживающих аналогичной продукцией потребителей, выход которых на данный рынок вероятен;

- производящих товары-заменители, способных вытеснить данный продукт с анализируемого рынка.

В основе подобного группирования конкурирующих фирм лежит соответствующая классификация товаров, удовлетворяющих ту или иную потребность.

Определение степени комплектности поставляемых фирмами-конкурентами товаров и услуг обычно осуществляется путем оценки развития сети фирм, специализирующихся на их производстве.

Для выявления наиболее важных конкурентов и оценки их роли на рынке сбыта может использоваться так называемый «ассоциативный» опрос потребителей. Он проводится с целью выявления таких полезных качеств товаров и условий их потребления, с какими покупатели ассоциируют тот или иной товар известного на рынке конкурента.

Метод выявления конкурентов путем анализа их группировок по типу стратегии производственно-сбытовой деятельности широко применяется не только фирмами, производящими потребительские товары, но и компаниями по производству и сбыту средств производства. При этом имеются в виду стратегии в области:

- экспансии на рынке (рост/поддержание);

- ценовой политики и политики качества;

- технологии.

Одной из основных задач анализа является выявление наиболее опасных потенциальных конкурентов, к которым чаще всего относятся фирмы:

- склонные к рыночной экспансии и действующие на географически смежных рынках;

- следующие стратегии диверсификации;

- крупные покупатели продукции данной компании;

- крупные поставщики материалов, сырья и оборудования для данной компании;

- мелкие, которые в результате поглощения крупной компанией становятся сильными конкурентами на рынке.

2 Анализ конкурентных преимуществ фирмы ЗАО «Август»

 

2.1 Краткая характеристика предприятия

ЗАО Фирма «Август» было создано 31 августа 1990 года. Генеральный директор компании А. М. Усков является ее основным акционером и руководителем.

Объем продаж фирмы в 2006 году составил более 3,8 млрд. руб. (с НДС). На протяжении девяти последних лет «Август» является лидером российского рынка химических средств защиты растений, занимая на нем долю в 20%. Продукция фирмы поставляется также в Беларусь (около 12 % рынка), на Украину, в Казахстан, Узбекистан, Азербайджан, Молдову.

С 1996 года «Август» развивает собственное производство на Вурнарском заводе смесевых препаратов (Чувашская Республика). Сегодня Вурнарский завод – самое современное и наиболее специализированное российское предприятие по производству химических средств защиты растений. Имеющиеся технологические возможности позволяют нарабатывать здесь практически все известные препаративные формы пестицидов. В ближайших планах компании – запуск производства в странах СНГ, а также развитие производственных мощностей на совместном предприятии в Китае.

Значительные средства были инвестированы фирмой в создание собственного научного центра, занимающегося разработкой новых формуляций препаратов. Собственная научно-производственная база и высокая квалификация специалистов позволяют «Августу» успешно разрабатывать и внедрять прогрессивные препаративные формы пестицидов, расширять и совершенствовать их ассортимент. Фирма осуществляет строгий контроль за качеством производимой продукции, которое обеспечивается передовыми технологиями. Сертификационный аудит, проведенный в апреле 2007 года аудиторами международного органа сертификации «Бюро Веритас Сертификейшн», подтвердил, что система менеджмента качества компании соответствует требованиям международного стандарта ИСО 9001:2000.

Это подтверждено сертификатом «Бюро Веритас Сертификейшн» № 213843 от 30 апреля 2007 года.

Ассортимент выпускаемых фирмой препаратов насчитывает более 40 наименований гербицидов, инсектицидов, фунгицидов и протравителей семян. Они поставляются сельхозтоваропроизводителям через собственную сбытовую сеть, которая состоит из 39 представительств в важнейших аграрных регионах, а также через дистрибьюторов. В целом продукция компании поступает в 74 региона Российской Федерации. В 2006 году аграриям было поставлено 8,8 тысяч тонн пестицидов. Кроме того, «Август» производит и постоянно расширяет выпуск препаратов в мелкой фасовке для личных подсобных хозяйств.

Ежегодно компания становится призером и дипломантом крупнейших российских выставок и форумов, что является безусловным свидетельством высокого уровня профессионализма более чем 700 ее сотрудников. В 2001 году фирма стала обладателем золотой медали Ассоциации промышленности Франции. В июле 2004 года «Август» признан Агентством РБК. Рейтинг одним из 300 крупнейших предприятий России. А в 2005 году Межрегиональный общественный Российский фонд защиты прав потребителей впервые отметил роль фирмы на рынке средств защиты растений Дипломом за активное участие в формировании цивилизованного потребительского рынка в России.

С декабря 2002 года «Август» является членом Российского Союза производителей химических средств защиты растений, а генеральный директор «Августа» А. М. Усков – президентом Союза.

Миссия компании

Знание потребностей наших клиентов и многолетний опыт работы позволяет нам предлагать лучшие комплексные решения в области сельскохозяйственного производства, что обеспечивает нам устойчивую позицию лидера на рынке средств защиты растений.

2.2 Анализ показателей финансово-хозяйственной деятельности ЗАО «Август»

По данным баланса динамика активов и пассивов ЗАО «Август» за два отчетных года может быть охарактеризована следующим образом. Данные баланса представлены в таблицах 2.1, 2.2.

Таблица 2.1

Состав и размещение активов баланса

АКТИВ

2006г.

2007г.

Отклонение

млн. руб.

удельный вес, %

млн. руб.

удельный вес, %

абсолютное, млн. руб.

относительное, %

I.Внеоборотные активы, всего

15526,2

45,02

17318,4

43,10

1792

11,5

Основные средства

13263,5

38,46

15891,8

39,55

2628

19,8

Здания, машины и оборудование

13263,6

38,46

15891,8

39,55

2628

19,8

Незавершенное строительство

2232,3

6,47

1247,9

3,11

-984

-44,1

Прочие основные средства

30,37

0,09

178,7

0,44

148

488,4

Итого по разделу


0,00


0,00

0


II. Оборотные активы всего

18958,7

54,98

22865,9

56,90

3907

20,6

Запасы:

7119,6

20,65

7619,8

18,96

500

7,0

НДС по приобретенным ценностям

1592,9

4,62

2041,7

5,08

449

28,2

Дебиторская задолженность

9454,3

27,42

11523,7

28,68

2069

21,9

Краткосрочные финансовые вложения


0,00

1105,6

2,75

1106


Денежные средства

791,8

2,30

574,9

1,43

-217

-27,4

Всего активов

34484,8

100

40184,4

100

5700

16,5


За исследуемый период сумма имущества увеличилась на 5699 млн.руб. или 16%, за счет увеличения мобильных активов на 3900 млн.руб. или 20%. Это связано прежде всего с увеличением запасов на 500 млн. руб. или 7% и значительным увеличением дебиторской задолженности до – 11523,7 млн. руб. или на 21,9%.

При этом произошло уменьшение доли иммобилизованных активов с 45,02 до 43,10% при общем увеличении их на 11,5%.

Активы, вложенные в денежные средства, уменьшились на 217 млн. руб. или на 27,4%.

Вместе с тем доля мобильного имущества в валюте баланса увеличилась с 54,98% до 56,9%.

Таблица 2.2

Состав и размещение пассивов баланса

 ПАССИВ

2006г.

2007г.

Отклонение

млн.руб.

уд вес %

млн.руб.

уд вес

%

абсолютное, млн.руб.

относительное, %

3. Капитал и резервы, всего

18405,6

53,4

18521,6

46,1

116,0

0,6

Уставный капитал

7,2

0,0

7,2

0,0

0,0

0,0

Добавочный капитал

9162,5

26,6

9162,5

22,8

0,0

0,0

Резервный капитал

0,4

0,0

0,4

0,0

0,0

0,0

Нераспределенная прибыль (непокрытый убыток) прошлых лет

9235,5

26,8

9235,5

23,0

0,0

0,0

Нераспределенная прибыль (убыток) отчетного года

0,0

0,0

116,0

0,3

116,0


IV. Долгосрочные обязательства, всего

8070,8

23,4

6641,5

16,5

-1429,3

-17,7

Займы и кредиты

8026,6

23,3

6567,8

16,3

-1458,9

-18,2

Отсроченные налоговые обязательства

44,2

0,1

73,7

0,2

29,5

66,8

V. Краткосрочные обязательства, всего

8008,5

23,2

15021,3

37,4

7012,9

87,6

Кредиторская задолженность

8008,5

23,2

15021,3

37,4

7012,9

87,6

Всего пассивов

34484,8

100,0

40184,4

100,0

5699,6

16,5


Анализ источников имущества показывает, что собственный капитал уменьшился незначительно, и удельный вес уменьшился с 53% до 46%.

Долгосрочные обязательства в рассматриваемый период снизились на 17,7%

Краткосрочные обязательства за 2007 год резко возросли на 7012,9 тыс. руб. или почти на 50%. Увеличение произошло за счет роста кредиторской задолженности. Соответственно доля заемного капитала также увеличилась с 47% до 54% .

Такой резкий скачок заемного капитала, связан с неспособностью предприятия, погасить свою задолженность перед поставщиками, своими работниками, государственными внебюджетными фондами и перед бюджетом.

Итак, соотношение мобильных и иммобилизованных (внеоборотных) имущества отклоняется в сторону мобильных. При этом увеличение внеоборотных активов связано с вводом в производство новых фондов и уменьшением незавершенного строительства. А увеличение оборотных активов связано с увеличением запасов и дебиторской задолженности. В современных условиях «запас» является резервом, повышающим финансовую надежность предприятия при условии возможности маневрировать этим резервом. Высокий рост дебиторской задолженности свидетельствует о том, что произошло снижение оплаты выполненных работ и поэтому дебиторы, покупатели продукции компании, не могут расплатиться с предприятием. Конечно, можно ждать пока изменится ситуация и будут налажены поступления денежных средств, тогда пойдет снижение дебиторской задолженности. Однако предприятие должно вести свой внутренний контроль. Это немаловажно, т.к. это позволит увеличить финансовые возможности для его технического развития.

Соотношение собственного и заемного капиталов незначительно склонилось в сторону заемного. Увеличение заемного капитала свидетельствует об увеличении кредиторской задолженности, которая связана с неспособностью предприятия погасить за данный период свою задолженность по предъявленным счетам и требованиям.

Выводы:

Проведенный анализ позволил определить общие тенденции развития исследуемой организации, более полно изучить и выявить резервы не только для текущей работы, но и для дальнейшего развития предприятия, а также дать общие рекомендации по увеличению доходности и улучшению финансового положения.

Характерными чертами ЗАО «Август» в рассматриваемый период стали — рост прибыли, рост доли себестоимости в выручке от реализации, рост показателей материалоотдачи, снижение показателей рентабельности на конец периода. Все это свидетельствует о некоторых неудовлетворительных моментах функционирования предприятия.

Все это свидетельствует о недостаточных конкурентных преимуществах ЗАО «Август» и необходимости внедрения системы управления ими.

3 Основные направления совершенствования системы управления конкурентными преимуществами в ЗАО «Август»

 

3.1 Основные направления совершенствования

Так как наибольшую долю в структуре себестоимости занимают запасы, то необходимо внедрение системы управления запасами, что позволит в ближайшее время снизить эту часть расходов в себестоимости производимой продукции.

Кроме того, необходимо решение проблем с соотношением между наиболее срочными пассивами и наиболее ликвидными активами, которое на предприятии стабильно не соблюдается. При этом необходимо отметить тот факт, что краткосрочных пассивов на предприятии нет, то есть предприятие не использует краткосрочные кредиты и займы. В настоящей ситуации представляется возможным привлечение краткосрочного кредита банка для пополнения оборотных средств, что изменит структуру пассива баланса и позволит достичь высокой степени ликвидности баланса.

Исследование показало, что на предприятии удельный вес кредиторской задолженности в структуре финансирования оборотных активов остается высоким (при норме 20-25%), поэтому дальнейшее увеличение кредиторской задолженности с целью снижения финансового цикла может привести к неплатежеспособности предприятия. В этих условиях для сокращения финансового цикла необходимо рациональное управление оборотными активами, в частности снижение запасов и повышение инкассации дебиторской задолженности.

В условиях наметившейся стабилизации экономики и снижения внешних рисков, по нашему мнению, оптимальным для предприятия является переход от консервативной к умеренной политике формирования оборотных активов, которая характеризуется средним уровнем риска и рентабельности. Это позволит предприятию повысить эффективность использования оборотных активов, следовательно, и рентабельность.

Для оптимизации размера запасов целесообразно использовать метод разработки научно обоснованных нормативов запасов (нормирование), основанный на планировании и анализе деятельности прошлых лет.

С целью снижения общих затрат (на хранение, размещение и связанных с нехваткой запасов для производства) на обеспечение предприятий пищевой промышленности запасами предлагается использовать логистические системы управления запасами в совокупности с моделью экономически обоснованного размера заказа (модель EOQ) и системой «АВС», согласно которой запасы необходимо разделить на три группы «А, В и С» в зависимости от их стоимости и степени важности для производства. На основании изучения преимуществ и недостатков логистических систем управления запасами предлагается следующая схема оптимизации запасов на предприятии (Таблица 3.1).

Таблица 3.1

Схема оптимизации запасов

Группа запасов

Приоритет

Разработка нормативов

Система управления запасами

Группа «А»

Максимальный

Используется

Система с установленной периодичностью пополнения запасов до постоянного уровня

Группа «В»

Средний

Используется

Система с фиксированным интервалом времени между заказами

Группа «С»

Низкий

Не целесообразно

Контролировать раз в месяц, квартал


Наибольшее внимание необходимо уделить запасам группам «А» и «В», для которых целесообразно разрабатывать научно-обоснованные нормативы. Для запасов группы «В» предлагается использовать систему с фиксированным интервалом времени между заказами, суть которой заключается в том, что заказы производятся в строго равные промежутки времени в текущем периоде. Для группы «А» предлагается использовать систему с установленной периодичностью пополнения запасов до постоянного уровня. Отличие данной системы от предыдущей в том, что заказы производятся не только с установленной периодичностью, но и при достижении ими страхового уровня, поэтому данная система позволяет не только избежать завышения запасов, но и их дефицит в случае достижения ими порогового уровня. Данная система эффективна при значительных колебаниях в поставке и потреблении запасов.

При создании сезонных запасов необходимо учитывать следующие факторы (Таблица 3.2).

Таблица 3.2

Факторы, влияющие на создание сезонных запасов

Первичная обработка сырья и материалов

Вторичная обработка сырья и материалов

Внешние факторы

1

Стоимость отвлечения средств в запасы (равна % по краткосрочным кредитам)

Стоимость отвлечения средств в запасы (равна % по краткосрочным кредитам)

2

Изменение цен на готовую продукцию

Изменение цен на сырье и материалы

Внутренние факторы

3

Стоимость хранения единицы сырья и материалов

4


Объем потребления сырья и материалов


Обобщение современной практики по управлению дебиторской задолженностью позволило выявить целесообразную схему взаимодействия между подразделениями предприятия, согласно которой за продажи и поступления несет ответственность коммерческий отдел, финансовый отдел обеспечивает информационно-аналитическое обслуживание, а юридическая служба – юридическое сопровождение (оформление договоров и обращения в суд). С учетом данной схемы разработан вариант регламента действий персонала по инкассации дебиторской задолженности на предприятиях строительной промышленности (Таблица 3.3).

Таблица 3.3

Регламент действия персонала по инкассации дебиторской задолженности

Период

Действие

Подразделение

3 дня до срока оплаты

Звонок с напоминанием о сроке платежа

Финансовая служба

Просрочка до 5 дней

Звонок или факс с напоминанием о сроке платежа

Коммерческий отдел

Просрочка до 10 дней

Звонок с выяснением причин задержки оплаты

Коммерческий отдел


Согласование графика оплаты

Коммерческий отдел

Просрочка от 10 до 20 дней

Переговоры с ответственными лицами

Коммерческий отдел


Отправка предупредительного письма о начислении штрафа

Финансовая служба

Просрочка от 20 до 30 дней

Прекращение поставок

Коммерческий отдел


Начисление штрафа

Финансовая служба


Досудебное предупреждение

Юридическая служба

Просрочка от 30 до 60 дней

Командировка менеджера и принятие попыток досудебного урегулирования

Коммерческий отдел


Отправка официальных претензий

Юридическая служба

Просрочка более 60 дней

Обращение в официальные организации по взысканию задолженности

Финансовая служба


Подача иска в суд

Юридическая служба


Исследование распространенных моделей управления денежными средствами Баумоля и Миллера-Орра выявил их общий недостаток, это отсутствие расчетов параметра страхового запаса денежных средств, ориентируясь на который предприятия смогут поддерживать необходимый уровень платежеспособности.

В связи с этим можно предложить расчет размера страхового запаса денежных средств исходя из ожидаемого однодневного расходования денежных средств, умноженный на период (Д), необходимый для конвертации ценных бумаг в денежные средства (3.1):

 (3.1)

где Н – страховой размер денежных средств;

КСО – краткосрочные обязательства;

ПОКСО – период оборота краткосрочных обязательств;

С целью недопущения «кассового разрыва» на предприятии предлагается составлять бюджеты движения денежных средств с разбивкой на месяц, квартал, полугодие и год, суть которых заключается в разнесении крупных расходов и доходов равномерно на весь период.

Управление структурой капитала на предприятии предлагается проводить по следующим этапам:

1. определение средневзвешенной стоимости капитала предприятия;

2. расчет эффекта финансового левериджа;

3. определение допустимого уровня финансового риска;

4. определение схемы финансирования (полное самофинансирование, смешанное финансирования);

5. минимизация средневзвешенной стоимости капитала и поддержание ее оптимальной структуры в процессе деятельности предприятия.

Таким образом, мы обосновали расчет нормального размера кредиторской задолженности, ориентируясь на который предприятие сможет поддерживать рекомендованный уровень платежеспособности и финансовой устойчивости, а также выявлять резервы «безопасного» увеличения кредиторской задолженности.

Платежеспособность и финансовая устойчивость предприятия возможна при значении коэффициентов абсолютной ликвидности – от 0,2 до 0,25, текущей ликвидности – от 1 до 2, и обеспеченности текущей деятельности собственными оборотными средствами - от 0,1 до 0,5. Пределы значений коэффициентов определены на основе нормативных документов и практики применения коэффициентов, как в России, так и за рубежом.

Реальная величина значения коэффициента определяется с учетом финансового состояния предприятия и его текущих целей и задач. Для предприятия предлагается использовать значение коэффициента абсолютной ликвидности на уровне - 0,2, текущей ликвидности – 2 и обеспеченности текущей деятельности собственными оборотными средствами – 0,1. При проведении расчетов автор исходил из данных ограничений.

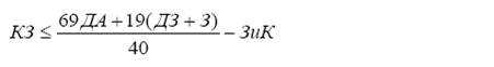
В основу расчета положена система неравенств (4.5) для нахождения размера кредиторской задолженности:

 (3.2)

где ОА - оборотные активы; КСО - краткосрочные обязательства;

ДА - денежные средства и краткосрочные финансовые вложения;

ДЗ – дебиторская задолженность; З - запасы с НДС;

ЗиК - краткосрочные займы и кредиты; КЗ - кредиторская задолженность;

С учетом того, что ОА = (ДЗ + З + ДА) и КСО = (КЗ + ЗиК), решение данной системы в виде ограничения на размер кредиторской задолженности будет выглядеть так (форм. 3.3):

В качестве нормативных значений для вышеперечисленных коэффициентов использованы среднеотраслевые показатели, что позволит оценить положение анализируемого предприятия по сравнению со средним в отрасли.

Согласно методу динамической рейтинговой экспресс-оценки, комплексный показатель рассчитывается следующим образом (форм. 3.4):

 (3.3)

 (3.4)

Таким образом, выявлена прямая зависимость размера нормальной кредиторской задолженности от размера оборотных активов и обратная зависимость от размеров краткосрочных займов и кредитов.

Оценку эффективности управления конкурентными преимуществами предлагается проводить по следующей последовательности шагов:

1. построение прогнозного баланса;

2. расчет прогнозных показателей финансового состояния;

3. расчет комплексного показателя оценки финансового состояния.

Для комплексной оценки изменения финансового состояния исследуемого предприятия предлагается использовать метод динамической рейтинговой экспресс-оценки. Расчет комплексного показателя целесообразно проводить на основе небольшого количества показателей, были определены пять из них: коэффициент текущей ликвидности (Кт.л.), автономии (Кавт.), обеспеченности текущей деятельности СОС (Косос), рентабельности активов (Кра) и оборачиваемости активов (Коа). Данный набор коэффициентов, по нашему мнению, отражает наиболее важные характеристики финансового состояния предприятия как платежеспособность, финансовая устойчивость, рентабельность и деловая активность.

3.2 Оценка экономического эффекта от внедрения внесенных предложений

Следует проанализировать экономический эффект от внедрения предложенных мероприятий.

Таблица 3.4

Расчет экономического эффекта от внедрения предложений по созданию систем управления запасами и дебиторской задолженностью

Показатель

Обозначение

Ед. измерения

Без внедрения решения

В случае внедрения решения (прогноз)

Выручка от реализации


Млн. руб.

243292

290000

Расходы, связанные с торговой деятельностью


Млн. руб.

221338

260000

Годовая валовая прибыль

П.

Млн. руб.

21954

30000

Текущий эффект

Этек.

Млн. руб.

21954

30000

Коэффициент дисконтирования

1/(1+Е)

Тыс.руб.

0,909

0,909

Дисконтированный (приведенный) текущий эффект

Этек.1* (1+Е)

Тыс.руб.

19956,2

27270


Таким образом, при внедрении предложений в ЗАО «Август» экономический эффект составит 27270 тыс. руб. против убытка 19956,2 тыс. руб. при отсутствии внедренных мероприятий.

Этек. = 27270 – 19956,2= 7313,8 тыс. руб.

Таким образом, текущий эффект от внедрения предложений составит 7313,8 тыс. руб.

В табл. 3.5 представлена структура единовременных затрат на внедрение отдела внутреннего контроля на предприятии.

Таблица 3.5

Расчет дисконтированных единовременных затрат при внедрении предложений

Вид единовременных затрат

Обозначение

Единица измерения

В случае внедрения

1. обследование

-

тыс. руб.

-

2. разработка решения

-

тыс. руб.

-

3. приобретение оборудования

-

тыс. руб.

40

4. приобретение программного обеспечения

-

тыс. руб.

150

5. создание информационного обеспечения

-

тыс. руб.

100

6. подготовка кадров

-

тыс. руб.

60

7. прочие

-

тыс. руб.

20

8. всего единовременных затрат

К1

тыс. руб.

370

9. коэффициент дисконтирования

1/(1+Е)

тыс. руб.

0,909

10. дисконтируемые единовременные затраты

К/(1+Е)

тыс. руб.

336,3

11. всего дисконтированных единовременных затрат

К2

тыс. руб.

336,3


Таким образом, затраты на внедрение предложений составят 370,0 тыс. руб., дисконтируемые затраты - 336,3 тыс. руб.

Эффект, достигаемый на 1 году внедрения проекта, определяется разностью достигнутых результатов и понесенных затрат

Э t = R t - З t = (R t - Зтек t ) - К t = Этек t - К t (3.5)

где R t - результат, достигаемый на t-м шаге, руб.;

З t - затраты, производимые на t-м шаге, руб.;

Зтек t - текущие затраты, производимые на t-м шаге, руб.;

К t - единовременные затраты, производимые на t-м шаге, руб.;

Этек t - текущий эффект (без учета единовременных затрат), достигаемый на t-м шаге, руб.

Таким образом, интегральный эффект может быть представлен как разность между суммой приведенных текущих эффектов (Этек) и приведенным единовременными затратами (К).

инт = å (R t - Зтек t ) / (1 + E) t - å К t / (1 + E) t = Этек – К (3.6)

t=0

Э = 27270- 336,3= 26933,7 тыс. руб.

Индекс доходности (ИД) представляет отношение суммы приведенных текущих эффектов к величине приведенных единовременных затрат

ИД = Этек / К (3.7)

ИД= 27270 : 336,3= 81,1

Таким образом, экономический эффект от внедрения проекта составит 26933,7 тыс. руб., индекс доходности составляет 81,1.

Заключение

Проведенный анализ позволил сделать следующие выводы:

Главными факторами, влияющими на повышение конкурентоспособности предприятия являются: внутренний макроэкономический потенциал; уровень управления с позиции нововведений; прибыльность и ответственность; научно-технический потенциал; степень участия в международном разделении труда, в торговле и потоке инвестиций; степень влияния правительственной политики на создание конкурентной среды; качество и эффективность финансовой системы; состояние инфраструктуры; состояние и квалификация трудовых ресурсов; социально-экономическая и внутриполитическая ситуация.

Конкурентная стратегия должна основываться на всестороннем понимании структуры отрасли и процесса ее изменения. В любой отрасли экономики, — неважно, действует она только на внутреннем рынке или на внешнем тоже, — суть конкуренции выражается пятью силами:

1) угрозой появления новых конкурентов;

2) угрозой появления товаров-заменителей;

3) способностью поставщиков комплектующих изделий торговаться;

4) способностью покупателей торговаться;

5) соперничеством уже имеющихся конкурентов между собой.

Значение каждой из пяти сил меняется от отрасли к отрасли и предопределяет, в конечном счете, прибыльность отраслей

Четыре детерминанта конкурентных преимуществ, сформулированных
М. Портером, таковы: параметры производственных факторов; параметры внутреннего спроса; наличие конкурентоспособных на мировых рынках родственных или поддерживающих отраслей; стратегия фирм, их структура и соперничество. При этом необходимо учитывать условия в стране, определяющие как характер создания фирм и управления ими, так и особенности конкуренции на внутреннем рынке, наличие конкурентной среды, обеспечивающей возможность прорывных изобретений и технологий, а также политику правительства и ее соответствие стадии развития конкурентных преимуществ.

Процесс управления деятельностью предприятия базируется на определенном рыночном механизме, который целесообразно трактовать как совокупность конкретных экономических отношений и связей между покупателями и продавцами, а также торговыми посредниками, между спросом и предложением по поводу движения товаров и денег, отражающая экономические интересы указанных субъектов и обеспечивающая обмен продуктами труда. Действие данного механизма проявляется прежде всего в сфере потребительского рынка: спрос и предложение товаров на потребительском рынке формируют уровень цен на них, определяют возможности нахождения новой рыночной ниши или расширения объемов деятельности коммерческого предприятия в рамках выбранного товарного сегмента, позволяют формировать новые конфигурации хозяйственных связей с поставщиками.

К основным целям стратегического мониторинга рыночного пространства относятся: выявление возможностей расширения сегмента потребительского рынка, охватываемого деятельностью торговой фирмы; поиск и мобильное занятие новых рыночных ниш; существенное повышение уровня сервиса, усиление его многоаспектности; рост прибыли и уровня рентабельности торговой деятельности; снижение уровня хозяйственных рисков; рост капитала фирмы и повышение ее рыночной стоимости.

Анализ состояния фирмы через оценку технологических, финансовых и сбытовых возможностей фирмы, ее имиджа и ряда других аспектов позволяет судить о ее конкурентных преимуществах (активах) и потенциальных возможностях

Полученные в ходе всестороннего анализа состояния фирмы характеристики позволяют оценить и ее потенциал. Этот потенциал обычно дифференцируется по нескольким направлениям. Вот основные из них:

o показатели, характеризующие экономический потенциал;

o показатели, характеризующие хозяйственную деятельность;

o показатели эффективности финансовой деятельности;

o показатели финансового положения фирмы.

При анализе перечисленных показателей обычно пытаются определить не только и не столько состояние фирмы, но и возможные тенденции его изменения, а также возможности их достижения. Для этого показатели фиксируются за различные периоды времени и затем группируются по ним. Затем применяются известные математические методы.

Методика SWOT – анализа позволяет выявить сильные и слабые стороны предприятия, возможности и угрозы со стороны внешней среды (strength, weaknesses, opportunities and threats).

В процессе эволюции концепций управления произошла смена критериев оценки деятельности организации и в настоящее время во главу угла ставится не продукт, а поток. Вследствие этого наиболее рациональной и эффективной является логистическая концепция управления организацией.

Обобщение мирового опыта внедрения систем управления предприятием позволяет говорить о том, что использование инновационных информационно-аналитических систем, основанных на методологии ССП, поддерживающих цепочку «анализ – синтез – принятие решения», уже сегодня может привести к повышению доходности логистического бизнеса, а в будущем станет необходимым условием успешного функционирования компаний и победы в конкурентной борьбе.

Использование инструментария логистики позволяет адаптировать деятельность организации к условиям «рынка покупателя». В настоящее время на отечественном рынке наблюдается именно такая ситуация. Кроме того, применение логистической концепции позволяет улучшить такие показатели деятельности организации как оборачиваемость оборотных средств, уровень использования основных фондов, доля вспомогательных рабочих в общей численности персонала. Это все показатели, которые являются одними из основных при оценке эффективности деятельности организации. Следовательно, применение логистического подхода позволит повысить эффективность деятельности фирмы, ее финансовую устойчивость, а это прямо влияет на возможность получения кредитов, заключения долгосрочных договоров с поставщиками и заказчиками продукции. То есть при применении логистической концепции управления организации позволит значительно улучшить положение фирмы на рынке.

Проведенный анализ позволил определить общие тенденции развития исследуемой организации, более полно изучить и выявить резервы не только для текущей работы, но и для дальнейшего развития предприятия, а также дать общие рекомендации по увеличению доходности и улучшению финансового положения.

Характерными чертами ЗАО «Август» в рассматриваемый период стали — рост прибыли, рост доли себестоимости в выручке от реализации, рост показателей материалоотдачи, снижение показателей рентабельности на конец периода. Все это свидетельствует о некоторых неудовлетворительных моментах функционирования предприятия.

Все это свидетельствует о недостаточных конкурентных преимуществах ЗАО «Август» и необходимости внедрения системы управления ими.

В результате проведенного исследования определено, что необходимо внедрение в деятельность компании системы управления запасами и дебиторской задолженностью, что позволит сократить запасы на складах, сократить издержки на хранение готовой продукции, оптимизировать процесс поставок.

Экономический эффект от внедрения проекта составит 26933,7 тыс. руб., индекс доходности составляет 81,1.

Список использованной литературы

1.   Баринов В.А., Синельников А.В. Развитие организации в конкурентной среде // Менеджмент в России и за рубежом, 2000, №6.

2.   Бурцев В.В. Внутренний контроль сбытовой деятельности в современных условиях хозяйствования // Менеджмент в России и за рубежом. – 2001. - №6

3.   Горев А.Э. Информационные технологии в управлении логистическими системами. – СПб.: СПбГАСУ, 2004. – 193 с.

4.   Григорьев А.Г. Проблемы совершенствования логистических систем в производственных структурах. Волгоград, 2002.

5.   Дрожжин А.И. Логистика. М., 2007.

6.   Ковалев А.И., Войленко В.В. Маркетинговый анализ. Кн. 2. — М.: АОЭТ, 2006. – 256 с.

7.   Котлер Ф. Маркетинг менеджмент. Анализ, планирование, внедрение, контроль.- СПб. Питер.- 2000 – 896 с.

8.   Котлер Ф. Основы маркетинга. М.: Дело, 2003

9.   Кревенс Д. Стратегический маркетинг. М.: Вильямс, 2003.

10. Методические рекомендации по определению факторов конкурентоспособности продукции отрасли. — М.: НИММАШ, 1986. – 113 с.

11. Мильнер Б.З. Управление знаниями — вызов XXI века//Вопросы экономики. — 1999. — № 9.

12. Мишин Ю. Слагаемые конкурентоспособности: Рекомендации по выработке стратегии развития производственных структур. //Риск, 2003. - №1. – с.41 – 45.

13. Попадюк К.Н. Влияние жизненного цикла товара на изменение параметров цепи поставок // Маркетинг в России и за рубежом, 2005, №2.

14. Пригожин А. И. Методы развития организаций. М.: МЦФЭР, 2003. – 864 с.

15. Самочкин В.Н. Гибкое развитие предприятия. Анализ и планирование. — М.: Дело, 2003. – 336 с.

16. Сафронова И.И. Формирование и развитие конкурентных преимуществ организаций сферы услуг на основе принципов маркетинга взаимодействия. Дисс. канд. эк. наук. Орел, 2006.

17. Синецкий Б.И. Основы коммерческой деятельности. М., 2000

18. Современные концепции управления производством и их реализация в корпоративных информационных системах / Конспект лекций. М., 2002

19. Стаханов В.Н.Стаханов, В.Н. Теоретические основы логистики/ В.Н. Стаханов,, В.Б. Украинцев,. -Ростов н/Д: Феникс, 2001.

20. Уотерс Д. Логистика. Управление цепью поставок: Пер. с англ. – М.: ЮНИТИ-ДАНА, 2003.

21. Управление цепями поставок / Под ред. Дж.Гатторны. М.: ИНФРА-М, 2008. – 670 с.

22. Фатфутдинов Р. А. Конкурентоспособность: экономика, стратегия, управление. – М.: ИНФРА-М, 2000. – 312 с.

23. Федько В.П. и др. Основы маркетинга для студентов вузов, Ростов-на-Дону: Феникс, 2005. – 479 с.

24. Филюрин А.С. Российские особенности продвижения торговой марки и управления ею. // ЭКО. – 2000.- № 5

25. Финансовый менеджмент/Под ред. Е.С.Стояновой – М.: Изд-во «Перспектива», 2000

26. Функции и структура службы маркетинга предприятия. // «Бухгалтерский учет в торговле», №5 – 2000

27. Хруцкий В.Е., Сизова Т.В., Гамаюнов В.В. Внутрифирменное бюджетирование: Настольная книга по постановке финансового планирования. – М.: Финансы и статистика, 2002 г.

28. Чеботарев А.А., Чеботарев А.Д. Логистика и маркетинг. Маркетологистика. М.: «Экономика», 2005.

29. Шапиро Дж. Моделирование цепи поставок. СПб.: Питер, 2006. – 720 с.


[1] Ковалев А.И., Войленко В.В. Маркетинговый анализ. Кн. 2. — М.: АОЭТ, 2006. – 256 с.

[2] Пригожин А. И. Методы развития организаций. М.: МЦФЭР, 2003. – 864 с.

[3] Методические рекомендации по определению факторов конкурентоспособности продукции отрасли. — М.: НИММАШ, 1986. – 113 с.

[4] Фатфутдинов Р. А. Конкурентоспособность: экономика, стратегия, управление. – М.: ИНФРА-М, 2000. – 312 с.

[5] Самочкин В.Н. Гибкое развитие предприятия. Анализ и планирование. — М.: Дело, 2003. – 336 с.

[6] Пригожин А. И. Методы развития организаций. М.: МЦФЭР, 2003. – 864 с.

[7] Котлер Ф. Маркетинг менеджмент. Анализ, планирование, внедрение, контроль.- СПб. Питер.- 2000 – 896 с.

Похожие работы на - Стратегии создания конкурентного преимущества

 

Не нашли материал для своей работы?
Поможем написать уникальную работу
Без плагиата!
Без нейросетей!