Ситуаційний аналіз умов збутової діяльності Київського торгівельного представництва ЗАТ "Галичина" на ринку молочних продуктів Київської області
Міністерство освіти і науки України
НАЦІОНАЛЬНИЙ ТЕХНІЧНИЙ УНІВЕРСИТЕТ УКРАЇНИ
«КИЇВСЬКИЙ ПОЛІТЕХНІЧНИЙ ІНСТИТУТ»
Факультет менеджменту та
маркетингу
Кафедра
промислового маркетингу
Спеціальність
“Маркетинг”
До
захисту допущено
Завідувач
кафедри
« »
___________ 2010 р.
ЗВІТ
про переддипломну практику до дипломної роботи освітньо-кваліфікаційного рівня «бакалавр» з напряму підготовки 0501
"Економіка і підприємництво” на тему:
СИТУАЦІЙНИЙ
АНАЛІЗ УМОВ ЗБУТОВОЇ ДІЯЛЬНОСТІ КИЇВСЬКОГО ТОРГІВЕЛЬНОГО ПРЕДСТАВНИЦТВА ЗАТ „ГАЛИЧИНА”
(М.РАДЕХІВ, ЛЬВІВСЬКА ОБЛАСТЬ) НА РИНКУ МОЛОЧНИХ ПРОДУКТІВ КИЇВСЬКОЇ ОБЛАСТІ
Студентка
групи _____________________________ (ПІБ)_____________
Керівник
роботи _____________
Київ 2010
Зміст
1 Аналіз виробничої діяльності
підприємства ЗАТ „Галичина” та збутової діяльності його Киівського
торгівельного представництва (КТП) на ринку молочних продуктів
1.1 Виробнича діяльність підприємства
ЗАТ „Галичина
1.2 Збутова діяльність КТП ЗАТ
„Галичина
2 Аналіз маркетингового середовища
збутової діяльності КТП ЗАТ „Галичина
2.1 Аналіз макросередовища збутової
діяльності КТП ЗАТ „Галичина
2.2 Аналіз мікросередовища діяльності
КТП ЗАТ „Галичина
3 Формулювання управлінської проблеми
в збутовій діяльності КТП ЗАТ „Галичина” за результатами аналізу маркетингового
середовища діяльності
Список використаної літератури
Додатки
1
Аналіз
виробничої діяльності підприємства ЗАТ „Галичина” та збутової діяльності його
Киівського торгівельного представництва (КТП) на ринку молочних продуктів
1.1
Виробнича діяльність підприємства ЗАТ „Галичина”
Виробнича
діяльність підприємства ЗАТ „Галичина” в дипломному дослідженні характеризується
наступним комплексом основних показників:
1. Станом ринку
молочної продукції України, його основними тенденціями та місцем ЗАТ „Галичина”
на ринку;
2. Станом внутрішнього
середовища підприємства ЗАТ „Галичина”;
3. Товарним
асортиментом молочної продукції ЗАТ „Галичина”;
4. Порівняльний
рівнем споживчої якості (конкурентоспроможності) молочної продукції ЗАТ
„Галичина”;
5. Організаційною
моделлю підтримки трьох рівнів товару (молочної продукції) ЗАТ „Галичина”;
6. Організацією
збутової мережі молочної продукції ЗАТ „Галичина”.
В результаті
дипломного дослідження отримані наступні основні показники виробничої
діяльності ЗАТ „Галичина”:
1. Ринок молочних
продуктів України і його основні тенденції
Ринок молока і
молочних продуктів - це система економічних, фінансових і обмінно-торгових
відносин між виробниками та споживачами молока, яка покликана збалансувати
попит і пропозицію та забезпечити споживання молока і молокопродуктів на рівні,
що відповідає життєвим потребам, смакам і платоспроможному попиту населення.
Загальнi
тенденцiї та особливостi розвитку галузi, у якiй здiйснює дiяльнiсть
ЗАТ”Галичина”, сезонний характер виробництва. Молочна промисловiсть України -
одна з провiдних галузей агропромислового комплексу України. Питома вага галузi
в загальних обсягах харчової та переробної промисловостi складає понад 18 %, у
той час як м'ясна - 13 %, тютюнова - 10% i кондитерська - 6 %.
Молочний ринок
України перебуває у станi активного розвитку та є експортоорiєнтованим.
На сьогоднiшнiй
день ще не вiдбувся розподiл молочного ринку мiж лiдерами i ще не надто високi
бар'єри для входження нових гравцiв. Жоден з гравцiв не має власної
нацiональної дистрибуцiї. Оператори ринку розподiленi на два окреслених
сегменти - власники нацiональних брендiв (або таких, що претендують на статус
нацiональних) та регiональнi заводи, орiєнтованi на регiональнi ринки збуту.
Крiм того, активно зростає споживання молочних продуктiв всiх цiнових
категорiй. Завдяки росту доходiв населення, споживач для покупки молочних
продуктiв переходить з ринку до магазину i готовий купувати продукцiю
премiум-класу та новi категорiї продукцiї, серед яких напої на базi молока i
соку, рiзновиди збагачених кефiрiв, творожкiв, сирiв та iн.
В цiлому
українськi виробники не задовольняють попит українського населення на продукцiю
молочної галузi. На сьогоднiшнiй день молокозаводи для того, щоб забезпечити
себе сировиною, почали iнвестувати у будiвництво ферм. За оцiнками експертiв
ринку потреби в молоцi у 1,5-2 рази перевищують обсяги його виробництва в
Українi. Крiм того, за попереднiми оцiнками мiнiстерства агропромислової
полiтики України виробництво молока в Українi у 2007 роцi склало 12,3 мiльйона
тонн, що на один мiльйон тонн менше нiж у попередньому роцi. Загальне ручне
споживання молока в Українi становить 230 л на душу населення.
Світовий ринок
молока та молочної продукції не одне десятиліття характеризується стійкою
тенденцією до зростання обсягів виробництва. Не винятком був і 2008 рік. За
попередніми підсумками, світове виробництво молока становить 692,7 млн т, що на
15 млн т, або на 2,2%, більше, ніж 2007 року.
Збільшилося
виробництво всіх видів молокопродукції, які продають на світовому ринку. Так,
обсяг сухого знежиреного молока збільшився до 24,6 млн т (на 2,1% до рівня 2007
року), сухого незбираного молока — до 23,5 млн т (+6,8%), масла — 63,3 млн т
(+3,1%), сиру — 85,4 млн т (+1,4%). Найбільше додали до зростання світового
виробництва країни Азії, які у 2008 році збільшили власне виробництво молочної
продукції на 8,3 млн. т, або на 3,5%, до попереднього року. Вклад інших країн
був меншим. Країни Латинської Америки збільшили власне виробництво на 3,2 млн
т, Північної Америки — на 1,9, Європи — на 2,1 млн т. Але ці позитивні
тенденції в загальному підсумку були менш відчутними у зв’язку зі зменшенням
виробництва в Австралії (- 4,2%) та Новій Зеландії (- 4,5%).
Частка України в
структурі світового виробництва становить менше двох відсотків. За підсумками
2008 року, в Україні було вироблено 11,8 млн т молока, що на 4,1% менше,
порівняно з 2007 роком: суттєвий вплив мало скорочення поголів’я основного
стада. Так, на початок 2009 року в усіх категоріях господарств було 2,9 млн
корів, що на 5,7% менше за показники попереднього року.
У 2008 році
вітчизняна молочна промисловість зменшила й обсяги виробництва. Масла
вершкового було вироблено 84,7 тис. т — на 15,3% менше, ніж 2007 року,
кисломолочної продукції — 528,6 тис. т (-1%), молока обробленого рідкого —
796,6 тис. т (-8%). А от виробництво жирних сирів зросло до 248 тис. т, або на
0,8% більше проти 2007 року.
Незважаючи на
від’ємну динаміку розвитку галузі, Україна перебуває на десятій сходинці в
світовому рейтингу молочних виробників. Особливістю світового ринку молока та молоко
продукції є те, що для зовнішнього продажу надходить лише невелика частка
виробленої продукції (близько 7%), що різнить його з іншими аграрними ринками.
Таблиця 1.1
Динаміка кількості дійних корів (тис.голів) по країнах
2000 - 2008 р.
|
2000
|
2001
|
2002
|
2003
|
2004
|
2005
|
2006
|
2007
|
2008
|
|
|
|
|
|
|
|
|
|
|
|
Південна Африка
|
545
|
545
|
540
|
536
|
518
|
540
|
540
|
540
|
535
|
|
Австралія
|
2 165
|
2 123
|
2 048
|
2 038
|
2 010
|
1 870
|
1 786
|
1 700
|
1 700
|
|
Китай
|
5 238
|
5 662
|
6 873
|
8 932
|
11 080
|
12 161
|
13 632
|
12 180
|
..
|
|
Індія
|
86 862
|
88 401
|
81 072
|
65 135
|
68 256
|
69 759
|
..
|
..
|
..
|
|
Аргентина
|
2 500
|
2 400
|
2 200
|
2 100
|
2 200
|
2 300
|
2 150
|
2 150
|
..
|
|
Бразилія
|
16 040
|
15 900
|
15 600
|
15 300
|
15 200
|
15 100
|
15 290
|
15 925
|
..
|
|
Австрія
|
621
|
612
|
600
|
573
|
541
|
538
|
533
|
526
|
522
|
|
Бельгія
|
594
|
596
|
577
|
559
|
543
|
523
|
507
|
500
|
495
|
|
Чехія
|
547
|
496
|
477
|
460
|
434
|
439
|
426
|
410
|
405
|
|
Данія
|
644
|
628
|
613
|
589
|
569
|
558
|
555
|
551
|
550
|
|
Франція
|
4 153
|
4 195
|
4 128
|
4 026
|
3 947
|
3 958
|
3 878
|
3 846
|
3 800
|
|
Німеччина
|
4 564
|
4 448
|
4 373
|
4 338
|
4 287
|
4 164
|
4 054
|
4 087
|
4 050
|
|
Ірландія
|
1 153
|
1 148
|
1 164
|
1 156
|
1 156
|
1 122
|
1 101
|
1 087
|
1 088
|
|
Італія
|
2 172
|
2 169
|
1 911
|
1 913
|
1 838
|
1 842
|
1 814
|
1 839
|
..
|
|
Голландія
|
1 532
|
1 546
|
1 486
|
1 478
|
1 471
|
1 433
|
1 420
|
1 413
|
1 406
|
|
Польща
|
3 047
|
2 991
|
2 904
|
2 897
|
2 796
|
2 795
|
2 824
|
2 787
|
2 830
|
|
Великобританія
|
2 339
|
2 208
|
2 229
|
2 207
|
2 152
|
2 007
|
2 005
|
1 977
|
1 960
|
|
Руминія
|
1 692
|
1 692
|
1 684
|
1 509
|
1 566
|
1 587
|
1 639
|
1 573
|
..
|
|
Росія
|
13 100
|
12 700
|
12 200
|
11 100
|
11 000
|
9 647
|
9 647
|
9 405
|
9 210
|
|
Швейцарія
|
714
|
720
|
658
|
638
|
627
|
618
|
618
|
614
|
615
|
|
Україна
|
5 431
|
4 918
|
4 716
|
4 284
|
4 061
|
3 950
|
3 410
|
3 347
|
3 080
|
|
Канада
|
6 800
|
6 800
|
1 084
|
1 065
|
1 041
|
1 019
|
1 005
|
989
|
..
|
|
Мексика
|
6 800
|
6 800
|
6 800
|
|
..
|
2 197
|
2 222
|
..
|
..
|
|
США
|
9 206
|
9 114
|
9 139
|
9 083
|
9 012
|
9 043
|
9 112
|
9 158
|
9 270
|
Рис.1.1. Динаміка
поголів’я корів в Україні та загального обсягу виробництва молока в 1990 – 2009
роках за даними Держкомстата України
Рис.1.2. Частка
областей України у національному виробництві сирого молока (2008)
Проте незважаючи
на дефiцит виробництва молока як сировини, виробництво багатьох молокопродуктів
збільшується. Оператори ринка пояснюють таку ситуацію тим, що офiцiйнi
статистичнi показники по виробництву молока (сирого) не враховують закупівлю
молока у населення, яке завдяки постійному росту закупівельних цин забезпечують
зростання закупок молока для виробництва молокопродуктiв переробними
пiдприємствами. Найбiльш динамiчний темп розвитку має ринок йогуртiв. Другу
позицiю за темпами розвитку має ринок кефiрiв.
Молочна сировина
в Україні має низькі показники якості і не відповідає вимогам міжнародних
стандартів, що, насамперед, пов’язано з невикористанням генетичного потенціалу
молочної худоби, її захворюваннями, низьким забезпеченням повноцінними кормами,
застарілою технікою і технологіями, що використовують сільськогосподарські та
молокопереробні підприємства. У 2008 році сільськогосподарські підприємства
продали на переробку лише 17% молока, яке відповідало стандарту ДСТУ 3662-97,
при цьому лише 14 % було вищого ґатунку, а 78 % зараховано першим ґатунком. У
2008 році вміст білка в молоці рідко відповідав базисному нормативу і в
переважній більшості був на рівні 2,6-2,8%. Лише 10-15% молока, виробленого в
Україні, в зв’язку з невисокою якістю можна використовувати для виробництва
сирів. Тому для збільшення обсягів виробництва та покращання якості сировини
потрібно інвестувати кошти у селекційно-племінну справу, запроваджувати науково
обґрунтовану систему годівлі та енергоощадливі технології, сприяти підвищенню
загальної культури виробництва. Сучасний ціновий механізм стимулює підвищення
якості молока, оскільки передбачає співвідношення вартості жиру та білка у
структурі ціни у пропорції 40:60 відсотків.
Ринок Київської
області належить до найбільш ємних в Україні. Для Київської області характерним
є відносно високий рівень життя населення. Максимальна вартість споживчого
кошика склалась у м. Києві, де спостерігається найвище співвідношення між його
вартістю та рівнем заробітної плати і де досягнуто найвищого рівня споживання
харчових продуктів, у тому числі молока і молочних продуктів.
Сучасні умови та
тенденції функціонування регіонального ринку молока і молочних продуктів
Київської області створюють передумови для підвищення рівня концентрації і
спеціалізації виробництва в галузі. Потужні молокопереробні підприємства мають
сталі, міцні господарські зв’язки з постачальниками матеріально-технічних
ресурсів і споживачами продукції; пропонують продукцію високої якості та
намагаються задовольняти потреби різних прошарків населення. Окремі малі та
середні молочні заводи, які переробляють до 50 тонн молока на добу, починають
працювати як збірні пункти для великих молокозаводів, здійснюючи первинну
обробку сирого молока (збирання та охолодження).
Основні тенденції на
ринку молока і молокопродуктів у січні-квітні 2009 року настпуні:
- зменшення
поголів’я корів станом на 1 травня 2009 року порівняно з 01.05.2008 на 6,8% (у
т.ч.: у сільськогосподарських підприємствах – на 6,4%, господарствах населення
– на 6,9%);
- зменшення у
січні-квітні 2009 року порівняно з аналогічним періодом 2008 року на 0,2%
виробництва молока в усіх категоріях господарств (в сільгосппідприємствах
виробництво молока зросло на 7%, в господарствах населення – зменшилось на
2,1%);
- у січні-квітні
2009 року спостерігалося зменшення виробництва продукції молочної промисловості
порівняно з січнем-квітнем 2008 року на 15,5%;
- індекс
споживчих цін на молоко у січні-квітні 2009 року склав – 100%, індекс цін
виробників молочних продуктів та морозива – 105,9%, індекс закупівельних цін –
92,7%.
Таблиця 1.2
Баланс молочної галузі України у 2007 - 2009 роках
(у перерахунку на
молоко, тис. тонн)
|
№
п/п
|
Показник
|
2007 рік,
звіт
|
2008 рік,
|
2009 рік, прогноз
|
|
I
|
Попит на продукцію
|
12533
|
12000,7
|
12200
|
|
1.1
|
Внутрішнього ринку
– всього
|
11594
|
10834,8
|
11500
|
|
з нього:
|
|
|
|
|
1.1.1.
|
Фонд споживання
|
10448
|
9634,8
|
10300
|
|
1.1.2.
|
Інше споживання
|
1146
|
1200,0
|
1200
|
|
1.2.
|
Зовнішнього ринку
(експорт)
|
939
|
1165,9
|
700
|
|
II
|
Пропозиція
продукції
|
12553
|
12000,7
|
12200
|
|
2.1.
|
Внутрішнього ринку
– всього
|
11761,8
|
11500
|
|
2.1.1.
|
Власне виробництво
|
12262
|
11761,3
|
11500
|
|
2.1.2.
|
Зміна запасів на
кінець року
|
-72
|
0
|
0
|
|
2.2.
|
Зовнішнього ринку
(імпорт)
|
199
|
238,9
|
700
|
|
Споживання на душу
населення, кг на рік
|
224,6
|
208,5
|
224,4
|
За даними
Держкомстату у 2008 році виробництво молока склало 11761,3 тис. тонн, що на
4,1% менше ніж за 2007 рік. Імпорт молока і молокопродуктів за 2008 рік за
оперативними даними склав 238,9 тис. тонн в перерахунку на молоко, експорт –
1165,9 тис. тонн. Це дало змогу забезпечити споживання молока і молокопродуктів
на одну особу на рівні208,5 кг на рік, що на 7,2% менше, ніж у 2007 році.
У 2009 році
очікується зменшення виробництва молока до 11500 тис. тонн, щоз урахуванням
можливих обсягів імпорту у межах 700 тис. тонн дасть змогу збільшити споживання
цієї продукції на одну особу до 224,4 кілограмів (раціональна норма – 380 кг).
Експорт у 2009 році оцінюється в межах700 тис. тонн, тобто менше ніж у минулому
році на 40%.
Сировинна база та
виробництво.
За даними
Держкомстату України станом на 1 травня 2009 року у порівнянні з аналогічною
датою 2008 року в усіх категоріях господарств поголів’я корів зменшилося на
6,8% і склало 2883,4 тис. голів, в тому числі у сільськогосподарських
підприємствах – на 6,4% (625,9 тис. гол.), у господарствах населення – на 6,9 %
(2257,5 тис. гол.).
За січень-квітень
2009 року середній надій молока на одну корову в сільськогосподарських
підприємствах склав 1179 кг, що на 15,2% більше ніж за аналогічний період 2008
року.
Довідково: за
2008 рік середній надій на одну корову в сільгосппідприємствах України склав
3366 кг, що на 7,5% більше ніж за 2007 рік. В Німеччині – 6439 кг, в Польщі –
4541 кг, в США – 8896 кг.
За рахунок
зменшення чисельності поголів’я корів обсяги виробництва молока в усіх
категоріях господарств у січні-квітні 2009 року в порівнянні з січнем-квітнем
2008 року зменшилися на 0,2% і склали 3074,5 тис. тонн, в тому числі у
сільськогосподарських підприємствах – 674,3 тис. тонн (зростання на 7%), у
господарствах населення – 2400,2 тис. тонн (зменшення на 2,1%). У господарствах
населення зосереджено близько 80% загального обсягу виробництва молока.
У січні-березні
2009 року на переробні підприємства надійшло 884,7 тис. тонн молока, що на
20,9% менше ніж за аналогічний період 2008 року. Середня ціна закупівлі
знизилась порівняно із січнем-березнем 2008 року на 14,2% і склала 1675,7
грн./тонну, проте це пов'язано не із ситуацією на ринку, а зі зміною порядку
виплати ПДВ сільгосптоваровиробникам.
Довідково: за
2008 рік на переробні підприємства надійшло 5396,7 тис. тонн молока, що на
10,5% менше показника 2007 року. При цьому середня ціна закупівлі молока
переробними підприємствами підвищилась порівняно 2007 роком на 9,3% і склала
без врахування ПДВ 1631,9 грн./т (2107,4 грн./т - від сільгосппідприємств,
1386,4 грн./т – від господарств населення).
У січні-квітні
2009 року промислове виробництво молочних продуктів скоротилось на 15,5%.
Зокрема зменшилось виробництво вершкового масла – на 22,2%, сирів кисломолочних
та неферментованих – на 10,8%, сирів жирних – на 7,1%.
Зовнішня торгівля.
За даними
Держкомстату у 2008 році найбільшу частку в експорті молока і молочних
продуктів займали сири всіх видів, яких було вивезено близько 77,4 тис. тонн
(на 25% більше ніж за 2007 рік) та молоко і вершки згущені – вивезено близько
80,3 тис. тонн (на 9,6% більше), також майже в 1,6 рази збільшились обсяги
експорту масла вершкового. Основними імпортерами української молочної продукції
є країни СНД.
За оперативними
даними Держмитслужби у січні-квітні 2009 року було експортовано молока і
молочних продуктів близько 255 тис. тонн в перерахунку на молоко, що приблизно
на 34% менше ніж у січні-квітні 2008 року. За цей же період в Україну було
ввезено близько 215 тис. тонн молокопродуктів в перерахунку на молоко. Зокрема
було ввезено близько 8,1 тис. тонн вершкового масла та близько 2,7 тис. тонн
сирів.
Цінова ситуація.
Впродовж останніх
років на ринку спостерігається зростання закупівельних цін, що пов'язано із
зменшенням пропозиції сировини на ринку. Крім того слід зазначити, що для ринку
молока притаманний сезонний характер виробництва, що значною мірою впливає на
рівень закупівельних цін впродовж року.
Основні цінові
тенденції на внутрішньому ринку молока у січні-квітні 2009 року виглядали
наступним чином:
- індекс
закупівельних цін на склав 92,7%; індекс цін виробників молокопродуктів і
морозива - 105,9% (у квітні – 100,2%); індекс споживчих цін на молоко - 100% (у
квітні – 98,2%), на сири тверді – 105,7% (101,3%), на масло вершкове – 117,6%
(100,7%).
Довідково: за
2008 рік індекс закупівельних цін на молоко склав 95,4%, індекс цін виробників
молока і молокопродуктів – 104,1%. Індекс споживчих цін на молоко за 2008 рік
склав 114,6%, сир твердий – 107,9%, масло – 110,2%. У структурі витрат
домогосподарств на продовольство витрати на молоко і молочні продукти складають
близько 10%.
Таблиця 1.3
Закупівельні
ціни на молоко станом на 10.02.2009
|
Назва молокозаводу
|
Регіон
|
Ціна за 1 літр
молока, грн.
|
Минулий тиждень
|
|
ВАТ
"Вімм-Білль-Данн"
|
Київська обл.
|
2,1–2,6
|
|
|
ВАТ"Шосткинський
міськмолкомбінат"
|
Сумська обл.
|
1,4–2,4
|
|
|
ТОВ
"Вімм-Білль-Данн-Україна" — "Харківський молочний
комбінат"
|
Харківська обл.
|
2,1–2,6
|
|
|
ТОВ
"Люстдорф"
|
Вінницька обл.
|
2–2,5
|
|
Таблиця 1.4
Закупівельні ціни
на молоко станом на 01.09.2009
|
Назва молокозаводу
|
Регіон
|
Ціна за 1 літр
молока, грн.
|
Минулий тиждень
|
|
ВАТ
"Вімм-Білль-Данн"
|
Київська обл.
|
1,6–1,85*
|
1,6–1,85*
|
|
ВАТ
"Канівський маслосирзавод"
|
Черкаська обл.
|
1,7–2
|
1,7–2
|
|
ВАТ"Шосткинський
міськмолкомбінат"
|
Сумська обл.
|
1,3–2,3
|
1,3–2,3
|
|
Сакський
молокозавод
|
АР Крим
|
2
|
2
|
|
ТОВ
"Вімм-Білль-Данн-Україна" — "Харківський молочний
комбінат"
|
Харківська обл.
|
1,6–1,85*
|
1,6–1,85*
|
|
ТОВ
"Люстдорф"
|
Вінницька обл.
|
1,8–2,3
|
1,8–2,3
|
|
Закупівельна ціна
на молоко від населення
|
Регіон
|
Ціна за 1 літр
молока, грн.
|
Минулий тиждень
|
|
ВАТ
"Буринський завод сухого молока"
|
Сумська обл.
|
1,1
|
1,1
|
|
ВАТ
"Канівський маслосирзавод"
|
Черкаська обл.
|
1
|
1
|
|
ВАТ"Шосткинський
міськмолкомбінат"
|
Сумська обл.
|
1
|
1
|
|
ДК
"Мегатрейд-Юг"
|
АР Крим
|
1,4
|
1,4
|
|
ПП "
Молокозавод - Олком"
|
Запорізькаобл.
|
1,05–1,2
|
1,05–1,2
|
|
ТОВ
"Люстдорф"
|
Вінницька обл.
|
1,1
|
1,1
|
Таблиця 1.5
Закупівельні
ціни на молоко станом на 12.01.2010
|
Назва молокозаводу
|
Регіон
|
Ціна за 1 літр
молока, грн.
|
Минулий тиждень
|
|
ВАТ
"Канівський маслосирзавод"
|
Черкаська обл.
|
2,9–4
|
2,7–4,1
|
|
ВАТ"Шосткинський
міськмолкомбінат"
|
Сумська обл.
|
2,8–3,9
|
|
|
ЗАТ
"Тернопільський молокозавод"
|
Тернопільська обл.
|
3,5
|
3,5
|
|
Сакський
молокозавод
|
АР Крим
|
2,5
|
2,6
|
|
ТОВ
"Люстдорф"
|
Вінницька обл.
|
3,5
|
3,5
|
|
Закупівельна ціна
на молоко від населення
|
Регіон
|
Ціна за 1 літр
молока, грн.
|
Минулий тиждень
|
|
ВАТ
"Канівський маслосирзавод"
|
Черкаська обл.
|
2–2,5
|
2,2–2,8
|
|
ВАТ"Шосткинський
міськмолкомбінат"
|
Сумська обл.
|
2–2,5
|
|
|
ДК "Мегатрейд-Юг"
|
АР Крим
|
2,3
|
2,1
|
|
ЗАТ
"Тернопільський молокозавод"
|
Тернопільська обл.
|
3
|
2,4
|
|
ПП "
Молокозавод - Олком"
|
Запорізька обл.
|
3,15–3,25
|
3,15–3,2
|
|
ТОВ
"Люстдорф"
|
Вінницька обл.
|
2,85
|
3
|
2. Аналіз
внутрішнього середовища підприємства ЗАТ „Галичина”
Форма власності
та організації підприємства - Закрите акціонерне товариство
"Галичина" ( Україна, Львівська область, місто Радехів, вулиця Б.
Хмельницького, 120, код ЕДРПОУ 25553579, вид економічної діяльності – КВЕД
15.51.0 - Виробництво молочних продуктів).
Таблиця 1.6
Основні акціонери
ЗАТ „Галичина” станом на 01.01.2009
|
Найменування
юридичної особи засновника та/або учасника
|
Код за ЄДРПОУ
засновника та/або учасника
|
Місцезнаходження
|
Відсоток акцій
(часток, паїв), які належать засновнику та/або учаснику (від загальної
кількості)
|
|
ТзОВ
"Галмолторг"
|
31215183
|
Україна Львівська
Сихiвський 79035 м.Львiв Зелена,147
|
8.06452
|
|
ВАТ "Буський
молокозавод"
|
22341836
|
Україна Львівська
Буський 80530 с.Ожидiв
|
8.3871
|
|
ТзОВ
"Люс-три"
|
33981224
|
Україна Львівська
Сихiвський 79035 м.Львiв Зелена,147
|
75.48387
|
|
ВАТ "Шумський
маслозавод"
|
00447155
|
Україна
Тернопільська Шумський 47100 м.Шумськ I.Франка,10
|
8.06452
|
ЗАТ „Галичина”
створено на базi Радехiвського маслозаводу 1 червня 1998 року. На сьогоднiшнiй
день ЗАТ "Галичина" входить до п'ятiрки лiдерiв серед виробникiв
цiльномолочної продукцiї в Українi та є одним з основних постачальникiв молоко
продукцiї Захiдного регiону України та має за мету розширити сферу свого впливу
на iншi регiони.
Основним видом
дiяльностi ЗАТ "Галичина" є виробництво цiльномолочної продукцiї. Але
крiм цього, в асортиментному портфелi є масло, сухе молоко.
Асортимент:
молоко, сметана, кефiр, йогурт, маслянка, масло, сухе молоко. Упаковки: плiвка,
стакан, пюр-пак, ПЕТ. Новим продуктом, який ТМ "Галичина" представила
на молочному ринку України у 2008 роцi, є ряжанка, десерти, чотири види
енергетичних напоїв "12 вiтамiнiв".
Виробничi
потужностi ЗАТ "Галичина" зосередженi на Радехiвському молокозаводi,
де встановленi лiнiї з виробництва рiзних видiв цiльномолочної продукцiї. На
сьогоднi вони дозволяють переробляти 300 тонн молока на добу, а пiсля
реконструкцiї та будiвництва нових цехiв переробка збiльшить-ся до 600 т.
Продукцiя, яка
виробляється ЗАТ "Галичина" реалiзується комiсiонером ТзОВ
"Галмолторг" (один із акціонерів) - компанiєю, яка є ексклюзивним
дистриб'ютором ТМ "Галичина" та управляє збутовою мережею групи.
Дистрибуцiйна мережа складається з 26 торгових представництв в захiднiй,
центральнiй, пiвденнiй та схiднiй Українi. Основними споживачами молочної продукцiї,
яку реалiзує ТзОВ "Галмолторг", є суб'єкти пiдприємницької дiяльностi
- невеликi компанiї (за результати 2008 року питома вага склала близько 60%),
тодi як частка мережевих супермаркетiв серед споживачiв продукцiї Підприємства
склала 27%.
Фiнансовий стан
ЗАТ "Галичина" у 2006 -2009 роках характеризується нижченаведеними
показниками (табл.1.1 на основі фінансової звітності підприємства за 2006 -2009
рр., наведеній в Додатку А), які свідчать про високу прибутковість бізнесу для
акціонерів підприємства на рівні дивідендної доходності 200 - 300% річних на
номінал акції, що на порядок вище альтернативної доходності інвестицій на
фінансовому ринку України:
Таблиця 1.7
Основні фінансові
показники діяльності ЗАТ „Галичина” у 2006 -2009 рр.
|
Показникик діяльності
|
2006
|
2007
|
2008
|
2009 (3 квартали)
|
|
1. Обсяг валюти
балансу, тис.гн.
|
83 452
|
188 521
|
330 365
|
319 723
|
|
2. Обсяг статутного
капіталу, тис.грн.
|
310
|
1 860
|
1 860
|
1 860
|
|
3. Обсяг власного
капіталу, тис.грн.
|
17 389
|
26 499
|
38 802
|
44 359
|
|
4. Обсяг чистого
валового доходу, тис.грн.
|
160 269
|
270 032
|
411 161
|
346 261
|
|
5. Обсяг чистого
прибутку після оподаткування, тис.грн.
|
3 826
|
9 110
|
12 302
|
5 557
|
|
6. Кількість акцій
|
310
|
310
|
310
|
310
|
|
7. Номінал акції в
грн.
|
1 000
|
6 000
|
6 000
|
6 000
|
|
8. Акціонерний
прибуток на 1 акцію, грн.
|
12 343
|
29 386
|
39 687
|
23 900
|
|
9. Дивідендна
доходність акції при 50% розподілі дивідендів акціонерам, в %
|
617,15
|
244,88
|
330,73
|
199,17
|
Організаційна
структура - сьогоднi органiзацiйна структура ЗАТ "Га-личина" включає
наступнi рiвнi управлiння:
1. Загальне
управлiння фiрмою здiйснює Генеральний директор. Безпосереднє управлiння
пiдприємством здiйснюють заступники генерального директора: директор з
виробництва, фiнансовий директор, директор з логiстики, комерцiйний директор,
директор з питань заготiвлi сировини, директор з питань якостi, директор по
роботi з персоналом, директор з розвитку кожен з яких є директором вiдповiдного
департаменту.
2. Основними
структурними одиницями ЗАТ "Галичина" є вiддiли, вiддiлення, служби.
Пiдроздiли здiйснюють управлiння одним з напрямiв дiяльностi заводу. Загальне
управлiння роботою структурних одиниць здiйснюють заступники генерального
директора. Безпосереднє управлiння роботою пiдроздiлу здiйснює його керiвник.
Керiвник пiдроздiлу призначається та звiльняється з посади наказом генерального
директора.
3. У
вiдповiдностi з поточними напрямками дiяльностi та функцiями, що забезпечують
цю дiяльнiсть, в структуру органiзацiї входять:
3.1. Департамент
логiстики:
1) вiддiл
транспортної логiстики
2) вiддiл
постачання
3) диспетчерська
служба
3.2. Департамент
фiнансiв
4) фiнансова
служба
5) бухгалтерська
служба
6)
контрольно-ревiзiйний вiддiл;
3.3. Департамент
маркетингу та продажу:
7) дистрибуцiя;
8) гуртовий
продаж
9) вiддiл
маркетингу;
3.4. Департамент
питань виробництва:
10) молокозавод
3.5. Департамент
питань сировини:
11) вiддiл
заготiвлi сировини;
3.6. Департамент роботи
з персоналом HR:
12) вiддiл роботи
з персоналом;
13) вiддiл
кадрiв;
3.7. Департамент
розвитку:
14) технiчний
вiддiл;
3.8. Департамент
забезпечення дiяльностi:
15)
адмiнiстративно-господарська служба
16) служба
безпеки
17) юридичний
вiддiл;
18) вiддiл IТ.
3.9. Департамент
з якостi
Кадрова політика .
На 01.01.2007р.
на пiдприємствi працює 1035 чоловiк, з них безпосередньо зайнято у виробництвi
276 чол., в сировиннiй дiльницi 468 чол., транспортнiй дiльницi 184, чол.,
механiчнiй дiльницi 42 чол., тарному вiддiленнi 14 чол., лабораторiї 34 чол., i
вiддiлi логiстики 17 чол., решта працює в адмi-нiстрацiї, бухгалтерiї, охоронi та
господарському вiддiленнi.
Ринкова вартість
та маркетингова стратегія.
Визначальними
чинниками ринкової вартостi Підприємства є прибут-ковiсть та частка ринку.
Прибутковiсть Підприємства формується трьома центрами прибутковостi -
кисломолочна продукцiя, жирна продукцiя (сири та масло), сухi продукти (казеїн,
СЗМ). Бiльш стабiльними i прогнозованими є першi два напрямки, оскiльки вони
орiєнтованi на внутрiшнiй ринок.
Виробництво та
реалiзацiя кисломолочної групи товарiв забезпечує стабiльнiсть фiнансових
потокiв Підприємства протягом найближчих двох-трьох рокiв. Підприємство має
обсяги виробництва та реалiзацiї продукцiї до 75,0 тис. тонн на рiк, включаючи
молоко, протягом 2008 року, 97,5 тис. тонн на рiк, включаючи молоко, протягом
2009 року, планує 115,3 тис. тонн на рiк, включаючи молоко, протягом 2010 року.
Підприємство має на метi досягти понад 12 % українського ринку молокопродуктiв.
Маркетингова
стратегiя будується на створеннi нацiонального бренду "Галичина". Має
вiдбутися кардинальна диференцiацiя брендiв "Галичина" та "Двi
корiвки", "12 вiтамiнiв". Маркетинговий бюджет витрачається на
просування ключового асортименту у торгових мережах категорiї А та на
пiдготовку першого запуску телереклами. Так, маркетинговий бюджет 2008 року склав
розмiр 28,4 млн. гривень.
Дистрибуцiйна
стратегiя у поточному та наступному роках нацiлена на забезпечення присутностi
продукцiї у значних торгових центрах у великих мiстах України, створення
вiддiлу по роботi iз VIP -клiєнтами, набiр терито-рiальних менеджерiв та мерчандайзерiв.
Стратегiчним проектом Підприєм-ства на 2008-2010 роки передбачається
будiвництво тваринницької ферми у Карпатському регiонi, яке дозволить уникнути
дефiциту сировини та, вiдповiдно, мiнiмiзує витрати.
Ринкова позиція.
Рейтинг
найбiльших виробникiв кисломолочних продуктiв за 2007 -2009 рік очолює
"Галактон", який входить до групи компанiй "Юнiмiлк". Серед
iнших лiдерiв, якi входять в ТОР-5, експерти видiляють ВАТ "Харкiвський
мiськмолкомбiнат" (Wimm-Bill-Dann), ЗАТ "Донецький мiськмолзавод №2",
молочну фабрику "Рейнфорд" та ВАТ "Кременчуцький
мiськмолзавод" ("Юнiмiлк"). Питома вага даних пiдприємств у
сумарному виробництвi кисломолочних продуктiв оцiнюється на рiвнi майже 40%.
ЗАТ
"Галичина" є один з лiдерiв ринка молока Захiдної України.
Сезонний характер
проявляється не стiльки в виробництвi, скiльки в коливаннi цiн на молочну
продукцiю протягом року. Так у листопадi-груднi та у квiтнi-липнi зазвичай
спостерiгається зниження цiн на продукцiю молочної галузi на 10-15 %, що
вiдповiдає аналогiчної тенденцiї свiтового ринку. Водночас в iншi мiсяцi цiни
на молочну продукцiю пiдвищуються внаслiдок зростання закупiвельних цiн на
молоко, яке помiж iншим стимулюється збiльшенням експорту сировини в Росiю та
до iнших країн-сусiдiв.
Основними
споживачами послуг ЗАТ "Галичина" є ТК "Iнтермаркет",
"Метро", ТОВ "Еталонмолпродукт", ВАТ "Шумський
маслозавод", Холодокомбiнат Львiв, Агро ЛТД, ТзОВ "Ременiвський
молокозавод", "Сiльпо", "Фуршет",
"Волиньпак", "Агроконтракт", "Велика кишеня", ПП
"Релiквiя", "Еко", ПП "Тиверiя", "Хлiбна
хата", Рiвненськi торгiвельнi мережi, ТзОВ "Станiславська торгова
компанiя", ПП "Дем'ян-сервiс", ВКФ "Нектар", ТОВ
"ДАСТОР", ЗАТ "Трускавецькурорт", ТзОВ
"Львiвхолод", Агрокорн-Кiровоград, ПП "Продекспорт",
"Добротвiрська" ТЕС та iншi.
Основнi
конкуренти ЗАТ „Галичина” - " ВАТ "Wimm-Bill-Dann", " ВАТ
"Галактон", " ТОВ "Молочний дiм" (корпорацiя
"Фаннi"), " ЗАТ "Лакталiс-Миколаїв", " ТОВ
"Молочна фабрика "Rainford", " ТОВ "Торговий дiм
"Захiдна молочна група". Щодо львiвського ринку молочних продуктiв,
то загалом вiн формується завдяки двом основним чинникам - потужностi роботи підприємств
молокопереробної галуза Львівщини i завозу цієї продукцiї з iнших областей
рiзними фiрмами. На Львiвщинi нараховується майже 25 пiдприємств молочної
галузi рiзних форм власностi. Серед найпотужнiших окрiм ЗАТ
"Галичина" - ВАТ "Львiвський мiський молокозавод" (торгова
марка "Комо"), ТзОВ "Львiвський мiський молочний комбiнат"
(торгова марка "Добряна"), ВАТ "Бродiвський завод сухого
знежиреного молока", ВАТ "Рава-Руський молокозавод", ВАТ
"Жидачiвський сир завод", ВАТ "Самбiрський молокозавод".
Крiм того, на молочному ринку Львiвського регiону реалiзується молочна
продукцiя корпорацiї "Фаннi", ООО "ТД "Ласуня", ТОВ
"Люстдорф Україна", ВАТ "Галактон" та iншi.
Можливi фактори
ризику в господарськiй дiяльностi Підприємства.
Завдяки
налагодженiй системi внутрiшнього контролю за дiяльнiстю, що здiйснюється
керiвними органами Підприємства, вiдпрацьованiй технологiї роботи, впровадженiй
схемi розмежування повноважень та контролю за роботою, коло факторiв ризику Підприємства
у господарськiй дiяльностi значно звужено.
Інтелектуальні
ресурси. На підприємстві існує власний маркетинговий відділ, що займається
розробкою політики збуту нової продукції компанії, надає виробничим
підпрозділам компанії пропозиції по удосконаленню технічних показників уже
існуючих товарів.
3. Аналіз
товарного асортименту молочної продукції ЗАТ „Галичина”
Як товар за
задумом - молочна продукція ЗАТ „Галичина” - це продукти, які виробляються з
чистого карпатського молока. Екологічно чиста сировина Галичини, висока
культура молочарства, традиційна для цього регіону, та сучасні західні
технології дозволяють створити продукт високої якості зі справжнім молочним
смаком.
Основні торгові
марки компанії асоціюються з мальовничим ландшафтом Прикарпаття та Закарпаття:
„Галичина“, „Молочар“ та „Чабани“. Асортимент продукції: молоко, сметана,
кефір, йогурт, маслянка, сир кисломолочний, сир твердий, сир натурального
копчення, масло. Упаковки: ПЕТ, стакан, пюрпак, плівка. Нова категорія на
молочному ринку України від ТМ „Галичина“ — традиційна карпатська маслянка.
Як товар в
реальному виконанні – молочна продукція ЗАТ „Галичина” представлена наступними
сегментами молочної продукції:
1.Живі йогурти
“Галичина” виготовлені із чистого карпатського молока. Йогурти багаті на
вітаміни, мінерали та корисні молочнокислі бактерії.
До складу питних
йогуртів „Галичина“ входять цінні для організму людини молочнокислі бактерії
L.casei, L.acidophilus та Bifidobacterium. Вони покращують травлення та
пригнічують розвиток хвороботворних мікроорганізмів. Набір цих трьох бактерій
не лише забезпечує потрійний захист, а і модулює захисні сили організму.
Окрім корисних
молочнокислих бактерій та натурального молока, йогурти „Галичина“ містять
шматочки фруктів, злаків чи шоколаду. А натуральний йогурт без цукру та
наповнювачів дозволяє створити свій унікальний смак, або ж використати його для
заправки салатів.
2.Карпатська
маслянка — це традиційний кисломолочний продукт Галичини. З давніх часів у
Карпатах готують цей напій, високо цінуючи його за багатий смак та корисність.
Господиня після
приготування масла до первинної маслянки додавала молоко і витримувала напій
кілька годин. Молочна компанія „Галичина” відродила старовинний галицький
рецепт, поширивши культуру споживання цього напою по всій Україні.
Маслянка ТМ
„Галичина“ містить вітаміни В1, В2, В6, В12, Е та аскорбінову кислоту. З
мінеральних речовин у маслянці є кальцій, магній, калій, натрій, мідь.
3. „Галичина“
виготовляється там, де до природи ставляться як до святині, а культуру
молочарства плекають віками.
„Галичина“ — це
традиційні молочні продукти у сучасній ПЕТ-упаковці. Вони наповнені енергетикою
Карпат, плекають народні традиції та звичаї, високу культуру молочарства,
пританну Галичині здавна. Продукцію ТМ„Галичина“ високо цінують споживачі, які
знають справжній смак карпатського молока, з ароматом гірських трав і лісів.
4. Нова лінія йогуртів
«12 вітамінів» — це джерело життєвої енергії, здоров’я та молодості. Йогурт
містить 25% денної норми основних життєво важливих вітамінів, необхідних для
організму людини.
«12 вітамінів»
від молочної компанії «Галичина» — це продукт, створений для активних людей.
Завдяки комплексу вітамінів, він заряджає енергією на весь день, додає
бадьорості, допомагає відновити сили, зберегти молодість та красу.
Вітаміни групи В,
які містяться в йогурті, зберігають здоровою шкіру та волосся, зменшують
негативний вплив стресів. Вітамін С — стимулює захисні сили організму, зміцнює
імунну систему. Фолієва кислота необхідна для поділу клітин, росту і розвитку
всіх органів та тканин. Особливо важлива вона під час вагітності для здорового
розвитку плоду. Вітамін Е – природний антиоксидант, який сповільнює процес
старіння клітин.
Як товар, який
має надійне підкріплення – молочна продукція „Галичина” має наступні показники:
- товарна марка
„Галичина” є зареєстрованим брендом, за яким легко відрізнити продукцію
підприємства від продукції конкурентів (брендовий герб фірми та стилізований
формат напису „Галичина”);
- проводяться
спеціальні майстер-тренінги для спеціалістів 28 торгівельних представництв у
всіх областях України;
- на головному
підприємстві існує штат маркетинг - консультантів, які пройшли спеціальний курс
навчання в Європі та США, та здійснюють підтримку маркетингових планів розвитку
збуту в регіональнихї представництвах ЗАТ „Галичина” по Україні;
- ЗАТ „Галичина”
має свій офіційний Інтернет-сайт, який працює в режимі інформаційно-рекламного
цілодобового представника –консультанта продукції ЗАТ „Галичина”;
- торгівельні
представництва в областях проводять самостійно доставку продукції з свого
великооптового складу-холодильнику в обласному центрі своїм
автотранспортом(холодильник) заказаними міні-партіями по графіку в торгові
точки клієнтів роздрібної мережі області;
- торгівельні
представництва ЗАТ „Галичина” в областях проводять консультаційні семінари з
представниками роздрібних торгівельних мереж в областях по рекламі продукції
ЗАТ „Галичина” та забезпечують оперативне вирішення рекламаційних питань по
якості продукції, напрвленої в торгівельні мережі клієнтів.
1.2
Збутова діяльність КТП ЗАТ „Галичина”
Київське
торгівельне представництво (КТП) ЗАТ „Галичина” є орга-нізаційно структурним
підрозділом всеукраїнської дистрибуційної мережі, створеної одним із акціонерів
підприємства комiсiонером ТОВ "Галмолторг" (один із акціонерів) -
компанiєю, яка є ексклюзивним дистриб'ютором ТМ "Галичина" та
управляє збутовою мережею групи.
Кількість обслуговуємих клієнтів – роздрібних торгових точок (ТТ) по Київській області - 340, кількість торгових представників у КТП - 6.
У середньому за день КТП обслуговує 25-30 ТТ в області (рис.1.1).
Поставка молочної продукції ЗАТ „Галичина” із заводу в м.Радехів Львівської області здійснюється автофурами кожний день на обладнаний холодильниками склад, орендований КТП за адресою Київ, вул.Бутлерова,6, база "Хозімпекс".
Торгові представники КТП виїжджають щоранку на маршрут з молочною продукцією на автомобілях- холодильниках ГАЗ - 33021 (така система продажів називається "вентселинг").
Щодня денний виторг КТП (філії ТОВ "Галмолторг"), перерахову-ється по банку Аваль у центральний офіс ТОВ „Галмолторг” у Львові (у середньому по 55-65 тис. грн.) .
Таблиця 1.8
Структура та
характеристики районів та міст Київської області, обслуговуємих КТП ЗАТ
„Галичина”
Рис.1.8. Динаміка
щомісячної реалізації молочної продукції дистриб’ютером КТП Хохловим у 2008 -
2009 роках
Рис.1.9. Динаміка
щомісячної реалізації молочної продукції дистриб’ютером КТП Яровою у 2006 -
2009 роках
Рис.1.10.
Динаміка щомісячної реалізації молочної продукції дистриб’ютером КТП Потієнко у
2007 - 2009 роках
Рис.1.7. Динаміка
щомісячної реалізації молочної продукції дистриб’ютером КТП Балковський у 2007
- 2009
Рис.1.11.
Динаміка щомісячної реалізації молочної продукції дистриб’ютером КТП Мельник у
2008 - 2009 роках
Рис.1.12.
Динаміка щомісячної реалізації молочної продукції дистриб’ютером КТП VIP-Бровари
у 2008 – 2009 рр.
Таблиця 1.9
Типовий договір
КТП на постачання продукції
Таблиця 1.10
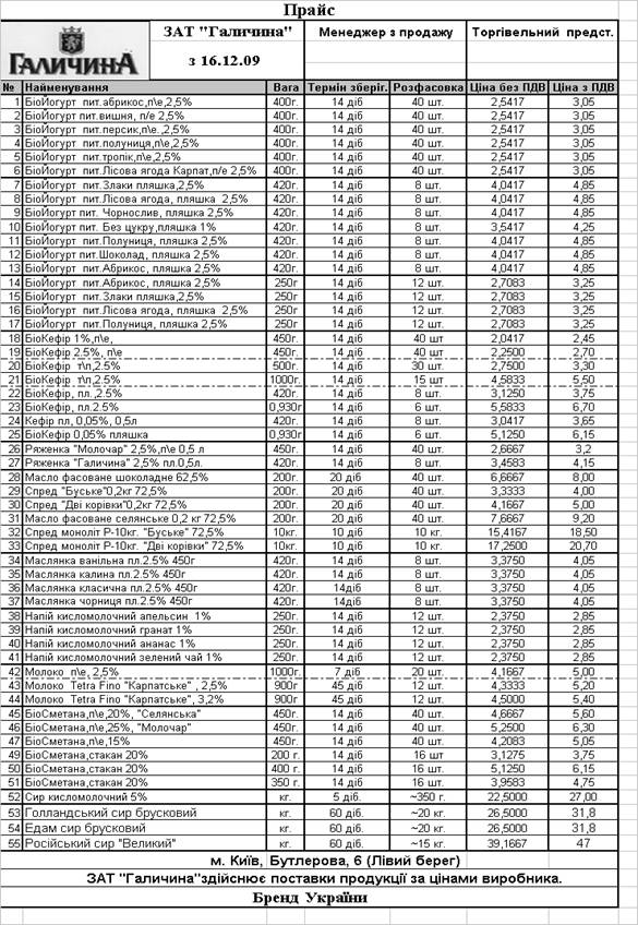
Прайс –лист для
дистриб’юторів КТП ЗАТ „Галичина”
2
Аналіз маркетингового середовища збутової діяльності КТП ЗАТ „Галичина”
2.1Аналіз
макросередовища збутової діяльності КТП ЗАТ „Галичина”
Таблиця 2.1
Попередня таблиця
основних факторів впливу політико-правового середовища в Україні на діяльність
підприємства
Фактор
|
Загроза
|
Можливість
|
|
1
|
Введення державних
норм ДСТУ, що регламентують впровадження европейських стандартів на якість
вхідної сировини (сире молоко)
|
|
+
|
|
2
|
Політична
нестабільність, що негативно впливає на інвестиційну привабливість країни
|
-
|
|
|
3
|
Наслідки вступу
України у Світову організацію торгівлі
|
|
+
|
|
4
|
Адміністративні
бар’єри для ведення господарської діяльності
|
-
|
|
|
5
|
Наслідки світової
фінансової кризи та їх вплив на політико-правове становище в країні
|
-
|
|
Політична
ситуація, яка зараз склалася в країні має негативний вплив на притік до країни
іноземних інвестицій. Інвестори, вкладаючи гроші ризикують, і тому
непорозуміння між верхівками влади не сприяють інвестиційній привабливості
країни.
Наслідки впровадження європейських стандартів для молочної
галузі України:
1. Характерною рисою
молочної галузі є те, що вона функціонує у надзвичайно великому діапазоні - від
натурального виробництва в особистих селянських господарств до сучасних
спеціалізованих молочних підприємств. Однак при цьому, за даними Держкомстату
України, основні обсяги виробництва молока зосереджені в особистих селянських
господарствах, з яких майже 90% утримують одну-дві корови. У загальних
заготівлях переробних підприємств молоко з особистих селянських господарств
становить близько 65%, тоді як із сільськогосподарських підприємств - лише 35%.
Через це якість первинної молочної сировини є низькою, а українська молочна
продукція є недостатньо конкурентоспроможною.
За результатами оцінки
контролю ветеринарної та санітарно-епідеміологічної служб над виробництвом та
переробкою молочних продуктів для екс-порту до ЄС, проведеної в 2008 році,
експертами було встановлено, що більшість положень Програми з розвитку молочної
індустрії в Україні до 2015 року щодо покращення якості сирого молока не мають
практичного впровадження, а саме:
§ контроль за виробництвом сирого
молока в Україні покладено на ветеринарну та санітарно-епідеміологічну службу,
але в законодавстві відсутні чітке розмежування обов’язків та методика
координації роботи між обома службами;
§ значні повноваження, ресурси,
досвідчений та кваліфікований персонал цих служб не завжди ефективно
використовуються;
§ ветеринарні служби не вживають ніяких
заходів у разі виявлення незадовільних бактеріологічних результатів у сирому
молоці і не здійснюють ніяких процедур з усунення незадовільних результатів;
§ затвердження підприємств для експорту
здійснюється на базі законодавства України, але вимоги не відповідають змісту
Статті 4 Регламенту (ЕС) № 853/2004. Підприємства розглядаються як цілісні
об’єкти, навіть якщо цехи розташовані у різних місцевостях. Відділам з
незадовільною структурою та умовами утримання приміщення дозволяється
експортувати, не зважаючи на недоліки, навіть якщо ці недоліки були виявлені
компетентним органом та вимагалися коригувальні дії;
§ система реєстрації господарств,
ідентифікації тварин та контроль пересування тварин є задовільною в Україні,
однак програма ліквідації туберкульозу, не повністю відповідає відповідним
вимогам ЄС, а гарантії, що для виробництва молочних продуктів використано
молоко лише від офіційно вільного поголів’я від туберкульозу, відсутні
§ існують підтвердження порушень
гігієнічних умов під час надходження збирання, охолодження, зберігання та
транспортування сирого молока у господарствах та пунктах збору сирого молока
(відповідно до Регламенту (ЄС) № 853/2004, відповідність з цими критеріями була
перевірена під час офіційного контролю);
§ гігієнічні норми на молочних підприємствах
та в окремих їх цехах, коливаються від задовільного (дуже хороша структура,
умови утримання приміщення та обладнання) до прийнятного (старі структури та
обладнання, що було у хорошому стані або успішно замінялося та обновлювалося);
§ дослідження води, яка
використовується у молочних господарствах та підприємствах, запропонованих для
експорту до ЄС не відповідали вимогам, зазначеним у Додатку І Директиви Ради
98/83/2С
§ сертифікат на експорт видається
офіційною особою, яка не має доступу до повної інформації необхідної для
сертифікату (що суперечить Статті 3 Директиви Ради 96/93/ЕС).
Враховуючи вище
зазначене, можна зробити висновок, що впровадження європейських стандартів у
діяльність молочної галузі України потребуватиме від виробників молока і
молочної сировини здійснення наступних заходів:
§ здійснення реконструкції існуючих і
побудови нових молочних ферм, які відповідали б стандартам ЄС;
§ приведення методів і процедур
контролю за безпечністю і якістю молочної сировини у відповідність з вимогами
ЄС;
§ збільшення частки молока ґатунку
«екстра» у загальному обсязі молочної продукції;
§ удосконалення системи професійного
навчання персоналу, задіяного у виробництві молочної сировини, молока і
молокопродуктів;
§ адаптації процедури дослідження води
на підприємствах молочної галузі для забезпечення параметрів ЄС.
Крім того, для
відповідності вимогам європейського законодавства низку заходів мають здійснити
державні органи. Зокрема, необхідно:
§ чітко визначити правовий статус
ветеринарної та санітарно-епідеміологічної служб з метою уникнення дублювання
їх функцій та поліпшення координації між ними;
§ підвищити рівень відповідальності
виробників молочної сировини за недодержання встановлених вимог;
§ привести у відповідність дослідження
туберкульозу та програму ліквідації захворювання у господарствах, що постачають
молоко для експорту до ЄС до вимог Додатку І Директиви Ради 64/432/ЕЕС;
§ забезпечити офіційних осіб, залучених
до контролю експортуючих підприємств, належними знаннями стосовно вимог ЄС щодо
імпорту молочних продуктів з третіх країн.
Готовність чи
неготовність виробників молочної продукції та державних органів до здійснення
кроків у напрямку імплементації європейських вимог впливатиме не лише на
можливість вітчизняних виробників вийти на європейський ринок. Від додержання
вимог до якості і безпечності молочної продукції у майбутньому будуть залежати
і конкурентні переваги на внутрішньому ринку.
Соціально – економічне
становище в Україні за 11 місяців 2009 року за даними Держкомстату України характеризується
наступними показниками[ ]:
1) Промисловість.
У листопаді
2009р. індекс промислової продукції порівняно з попереднім місяцем та
листопадом 2008р. становив відповідно 98,1% та 108,6%, за 11 місяців 2009р. –
76%.
На підприємствах із виробництва харчових продуктів, напоїв та
тютюнових виробів індекс промислової продукції у січні–листопаді 2009р.
становив 93,3%, зокрема у кондитерській, молочній та м’ясній промисловості –
відповід-но 95%, 90,4% та 87% , у виробництві напоїв – 91,9%, хліба і
хлібобулочних виробів – 90,4%, у переробленні та консервуванні овочів та
фруктів – 83,6%. Водночас спостерігається приріст обсягів у виробництві олії та
жирів (31,9%), готових кормів для тварин (11%), виноградних вин (3,8%).
За 11 місяців 2009р. вироблено 698 тис.т молока обробленого
рідкого, 70,8 тис.т вершкового масла, 216 тис.т сирів жирних, 456 тис.т
продуктів кисломолочних, 77,9 тис.т сиру свіжого неферментованого та
кисломолочного.
2) Сільське господарство.
Загальний обсяг
виробництва продукції сільського господарства в усіх категоріях господарств за
січень–листопад 2009р. залишився на рівні відповідного періоду 2008р., у тому
числі в сільськогосподарських підприємствах – скоротився на 0,7%, у
господарствах населення – зріс на 0,4%.
За січень–листопад 2009р. загальний обсяг виробництва
продукції тваринництва порівняно з відповідним періодом 2008р. збільшився на
3,5%, у тому числі у сільськогосподарських підприємствах – на 10,2%, у
господарствах населення – зменшено на 0,9%.
Господарствами усіх категорій у січні–листопаді 2009р.
реалізовано на забій 2,4 млн.т худоби та птиці (у живій вазі), що на 0,4% менше
порівняно з відповідним періодом 2008р., вироблено 10,9 млн.т молока (на 1,4%
менше) та 14,7 млрд.шт. яєць (на 6,0% більше). В аграрних підприємствах
відбулося зростання реалізації худоби та птиці на забій (на 5,0%), виробництва
молока (на 7,1%) та яєць (на 9,3%). У господарствах населення скорочено
виробництво м’яса (на 5,9%), молока (на 3,2%), але зросло виробництво яєць (на
2,0%). Частка господарств населення у загальному виробництві цих продуктів
тваринництва у січні–листопаді 2009р. становила відповідно 47%, 81% та 43%.
За
розрахунками, на 1 грудня 2009р. загальне поголів’я великої рогатої худоби
становило 5,3 млн. голів (на 3,3% менше, ніж на 1 грудня 2008р.), у тому числі
корів – 2,8 млн. (на 5,1% менше), свиней – 7,5 млн. (на 9,0% більше), овець і
кіз – 1,9 млн. (на 4,6% більше), птиці всіх видів – 201,3 млн. голів (на 6,5%
більше).
Поголів’я великої
рогатої худоби, що утримувалося населенням на 1 грудня 2009р., порівняно з
минулорічним скоротилося на 2,2%, у тому числі корів – на 5,4%; зросло
поголів’я свиней (на 1,7%), овець і кіз (на 5,1%), птиці всіх видів (на 2,0%).
У домогосподарствах на початок грудня 2009р. Утримувалось 69% загальної чисельності
великої рогатої худоби, у тому числі корів – 78%, свиней – 55%, овець і кіз –
83%, птиці всіх видів – 51%.
У
сільськогосподарських підприємствах порівняно з 1 грудня 2008р. Відбулося
скорочення чисельності великої рогатої худоби на 5,5%, у тому числі корів - на
3,9%; зросло поголів’я свиней (на 19,5%), овець і кіз (на 2,1%) та птиці всіх
видів (на 11,7%).
Загальний обсяг
реалізованої аграрними підприємствами власно виробленої продукції за
січень–листопад 2009р. порівняно з відповідним періодом 2008р. збільшився на
27% у тому числі продукції рослинництва – на 42%, тваринництва – на 8%.
Середні ціни
продажу аграрної продукції сільськогосподарськими підприємствами за всіма
напрямами реалізації за січень–листопад 2009р. Порівняно з відповідним періодом
2008р. зросли на 2%, у тому числі на продукцію рослинництва – на 2%,
тваринництва – на 1%. У листопаді 2009р. порівняно з жовтнем середні ціни
реалізації сільськогосподарської продукції зросли на 7%, у тому числі продукції
рослинництва – на 10%, тваринництва – на 2%.
3)
Зовнішня торгівля товарами
Обсяг
експорту товарів за січень–жовтень 2009р. становив 31651,6 млн. дол. США,
імпорту – 35907,6 млн.дол., що складало 53,5% та 47,6% від обсягів відповідного
періоду попереднього року. Від’ємне сальдо зовнішньої торгівлі товарами
становило 4256 млн.дол. (за 10 місяців 2008р. – мінус 16298,1 млн. дол.).
4) Ціни і тарифи
Індекс споживчих
цін (індекс інфляції) у січні–листопаді 2009р. становив 111,3% (у
січні–листопаді 2008р. – 119,8%).
Продукти
харчування та безалкогольні напої подорожчали на 9,1%. Най більше (в 1,8 раза)
подорожчав цукор. На 24,6% та 23,9% зросли в ціні масло та молочні продукти. На
13,8–6,3% подорожчали риба та продукти з риби, олія, хліб, м’ясо та
м’ясопродукти. В той же час на 11,0% та 10,5% подешевшали овочі та яйця.
5)
Доходи населення
Середньомісячна
номінальна заробітна плата штатних працівників (без урахування найманих
працівників статистично малих підприємств і у фізичних осіб-підприємців) у
січні–жовтні 2009р. становила 1870 грн., що у 2,9 раза перевищує рівень
мінімальної заробітної плати (650 грн.). Порівняно з відповідним періодом
2008р. розмір середньомісячної заробітної плати збільшився на 4,6%.
Найнижчий рівень
заробітної плати спостерігався у рибальстві та рибництві, сільському
господарстві, мисливстві та пов’язаних із ними послугах, а також на
підприємствах з виробництва текстилю, одягу, хутра та виробів з хутра, шкіри та
виробів зі шкіри і не перевищував 64% від середнього по економіці.
Середній розмір
оплати праці в усіх регіонах був вищим за прожитковий мінімум для працездатної
особи (669 грн.), разом з тим лише у 4 з них заробітна плата перевищила середню
по країні: м.Київ – 3108 грн., Донецька область – 2074 грн., Київська – 1949
грн. і Дніпропетровська – 1925грн. Найнижчий рівень заробітної плати
спостерігався у Тернопільській, Волинській, Чернігівській та Херсонській
областях і не перевищував 78% від середнього по економіці.
Індекс
реальної заробітної плати у січні–жовтні 2009р. порівняно з відповідним
періодом 2008р. становив 89,6%, а в жовтні 2009р. по відношенню до попе-реднього
місяця – 98,4%.
6) Демографічна ситуація
На
1 листопада 2009р. в Україні, за оцінкою, проживало 45999,9 тис. осіб. Упродовж
січня–жовтня 2009р. чисельність населення зменшилася на 143,8 тис. осіб, або на
3,7 особи у розрахунку на 1000 жителів.
Рис.2.1. Динаміка
виробництва продукції тваринництва в сільському господарстві України у 1990–2009
рр. [ ]
Рис.2.2. –
Динаміка макропоказників економіки України у 2009 році [ ]
Таблиця 2.2
Попередня
таблиця факторів впливу демографічного середовища на діяльність підприємства
|
№
|
Фактор
|
Загроза
|
Можли-вість
|
|
1
|
Скорочення за
останні 10 років кількості населення України на 6 млн. чол.
|
-
|
|
|
2
|
Старіння населення
|
-
|
|
|
3
|
Відтік основної
частини населення у великі міста (2/3 населення проживає у містах)
|
|
+
|
|
4
|
Міграційні процеси
(відтік значної частини кваліфікованих кадрів за кордон)
|
-
|
|
Таблиця 2.3
Динаміка
населення України за даними Держкомстата України у 1990 -2009 роках (на 1
січня) [ ]
|
Кількість наявного населення
|
|
всього, тис.осіб
|
у тому числі
|
|
міське
|
сільське
|
|
1990
|
51838,5
|
34869,2
|
16969,3
|
|
1991
|
51944,4
|
35085,2
|
16859,2
|
|
1992
|
52056,6
|
35296,9
|
16759,7
|
|
1993
|
52244,1
|
35471,0
|
16773,1
|
|
1994
|
52114,4
|
35400,7
|
16713,7
|
|
1995
|
51728,4
|
35118,8
|
16609,6
|
|
1996
|
51297,1
|
34767,9
|
16529,2
|
|
1997
|
50818,4
|
34387,5
|
16430,9
|
|
1998
|
50370,8
|
34048,2
|
16322,6
|
|
1999
|
49918,1
|
33702,1
|
16216,0
|
|
2000
|
49429,8
|
33338,6
|
16091,2
|
|
2001
|
48923,2
|
32951,7
|
15971,5
|
|
2002*
|
48457,1
|
32574,4
|
15882,7
|
|
2003
|
48003,5
|
32328,4
|
15675,1
|
|
2004
|
47622,4
|
32146,4
|
15476,0
|
|
2005
|
47280,8
|
32009,3
|
15271,5
|
|
2006
|
46929,5
|
31877,7
|
15051,8
|
|
2007
|
46646,0
|
31777,4
|
14868,6
|
|
2008
|
46372,7
|
31668,8
|
14703,9
|
|
2009
|
46143,7
|
31587,2
|
14556,5
|
Таблиця 2.4
Чисельність населення на 1 листопада 2009 року та середня за
січень–жовтень 2009 року по областях України [ ](осіб)
|
На 1 листопада 2009
року
|
Середня чисельність
за січень–жовтень 2009 року
|
|
все населення
|
міське
|
сільське
|
все населення
|
міське
|
сільське
|
|
Україна
|
45999934
|
31536444
|
14463490
|
46071824
|
31561823
|
14510001
|
|
Автономна
Республіка Крим
|
1965939
|
1236259
|
729680
|
1966600
|
1236986
|
729614
|
|
області
|
|
|
|
|
|
|
|
Вінницька
|
1652836
|
814215
|
838621
|
1656405
|
813410
|
842995
|
|
Волинська
|
1036878
|
535132
|
501746
|
1036550
|
533927
|
502623
|
|
Дніпропетровська
|
3358370
|
2802820
|
555550
|
3366299
|
2809494
|
556805
|
|
Донецька
|
4473083
|
4048453
|
424630
|
4486780
|
4060281
|
426499
|
|
Житомирська
|
1287745
|
742772
|
544973
|
1290985
|
743491
|
547494
|
|
Закарпатська
|
1244841
|
462525
|
782316
|
1244102
|
462198
|
781904
|
|
Запорізька
|
1813634
|
1392758
|
420876
|
1817463
|
1394914
|
422549
|
|
Івано–Франківська
|
1381043
|
596104
|
784939
|
1381053
|
595414
|
785639
|
|
Київська
|
1722951
|
1051881
|
671070
|
1725412
|
1050822
|
674590
|
|
Кіровоградська
|
1019616
|
628736
|
390880
|
1023321
|
630217
|
393104
|
|
Луганська
|
2315418
|
2006363
|
309055
|
2323606
|
2012959
|
310647
|
|
Львівська
|
2550928
|
1548407
|
1002521
|
2551928
|
1547810
|
1004118
|
|
Миколаївська
|
1190802
|
805427
|
385375
|
1193320
|
807150
|
386170
|
|
Одеська
|
2391316
|
1593974
|
797342
|
2391746
|
1593142
|
798604
|
|
Полтавська
|
1501604
|
912915
|
588689
|
1506509
|
914508
|
592001
|
|
Рівненська
|
1151576
|
549957
|
601619
|
1151269
|
549265
|
602004
|
|
Сумська
|
1174402
|
788560
|
385842
|
1179218
|
790486
|
388732
|
|
Тернопільська
|
1089926
|
474592
|
615334
|
1091629
|
474324
|
617305
|
|
Харківська
|
2771750
|
2215669
|
556081
|
2777086
|
2218610
|
558476
|
|
Херсонська
|
1094765
|
669329
|
425436
|
1096983
|
670678
|
426305
|
|
Хмельницька
|
1335541
|
725504
|
610037
|
1338456
|
724640
|
613816
|
|
Черкаська
|
1297185
|
572433
|
1300717
|
725762
|
574955
|
|
Чернівецька
|
904527
|
378991
|
525536
|
904294
|
378070
|
526224
|
|
Чернігівська
|
1112160
|
692483
|
419677
|
1116745
|
693093
|
423652
|
|
м.Київ
|
2780659
|
2780659
|
х
|
2773095
|
2773095
|
х
|
|
Севастополь
(міськрада)
|
380439
|
357207
|
23232
|
380253
|
357077
|
23176
|
Таблиця 2.5
Динаміка структури
населення за віком у 1990 - 2009 роках
|
Розподіл населення
за віком на початок року, тис.осіб
|
у тому числі у
віці:
|
|
0-14 років
|
15-24 років
|
25-44 років
|
45-64 років
|
65 і понад років
|
|
1990
|
51556,5
|
11084,2
|
6935,2
|
14513,2
|
12849,3
|
6174,6
|
|
1991
|
51623,5
|
11029,5
|
7002,9
|
14764,5
|
12497,5
|
6329,1
|
|
1992
|
51708,2
|
10951,4
|
7055,0
|
14879,3
|
12314,3
|
6508,2
|
|
1993
|
51870,4
|
10915,4
|
7118,7
|
15006,7
|
12139,3
|
6690,3
|
|
1994
|
51715,4
|
10767,7
|
7146,1
|
14973,0
|
11965,3
|
6863,3
|
|
1995
|
51300,4
|
10528,7
|
7159,6
|
14727,0
|
11924,0
|
6961,1
|
|
1996
|
50874,1
|
10246,0
|
7164,4
|
14578,3
|
11826,4
|
7059,0
|
|
1997
|
50400,0
|
9952,4
|
7131,7
|
14435,2
|
11827,9
|
7052,8
|
|
1998
|
49973,5
|
9624,5
|
7117,9
|
14325,9
|
11878,6
|
7026,6
|
|
1999
|
49544,8
|
9206,0
|
7202,0
|
14226,8
|
12008,4
|
6901,6
|
|
2000
|
49115,0
|
8781,0
|
7275,9
|
14092,2
|
12147,0
|
6818,9
|
|
2001
|
48663,6
|
8373,3
|
7325,5
|
13992,0
|
12128,8
|
6844,0
|
|
2002*
|
48240,9
|
7949,9
|
7381,2
|
13851,5
|
12079,7
|
6978,6
|
|
2003
|
47823,1
|
7569,5
|
7457,8
|
13726,8
|
11875,5
|
7193,5
|
|
2004
|
47442,1
|
7246,3
|
7478,6
|
13590,9
|
11757,0
|
7369,3
|
|
2005
|
47100,5
|
6989,8
|
7455,7
|
13460,6
|
11687,2
|
7507,2
|
|
2006
|
46749,2
|
6764,7
|
7366,7
|
13342,8
|
11707,8
|
7567,2
|
|
2007
|
46465,7
|
6606,4
|
7266,8
|
13249,5
|
11739,9
|
7603,1
|
|
2008
|
46192,3
|
6501,1
|
7103,1
|
13206,6
|
11874,8
|
7506,7
|
|
2009
|
45963,4
|
6476,2
|
6829,9
|
13255,5
|
12084,4
|
7317,4
|
Таблиця 2.6
Чисельність
пенсіонерів та середній розмір пенсії в Україні у 1991 – 2009 роках [ ___ ]
|
Одиниці виміру
|
Роки
|
Середній розмір призначеної місячної пенсії пенсіонерам, які
перебувають на обліку в органах Пенсійного фонду
|
Кількість пенсіонерів (млн.)
|
|
всього
|
у тому числі:
|
|
за віком
|
за інвалідністю
|
у разі втрати годувальника
|
|
Крб.
|
1991
|
103,6
|
109,7
|
…
|
58,0
|
13,1
|
|
1992
|
539,6
|
554,8
|
…
|
423,6
|
13,6
|
|
1993
|
9735
|
10204
|
10469
|
6304
|
14,2
|
|
Тис. крб.
|
1994
|
292,1
|
306,9
|
317,4
|
185,5
|
14,5
|
|
1995
|
1156
|
1174
|
1368
|
809
|
14,5
|
|
Грн.
|
1996
|
38,7
|
38,8
|
45,6
|
33,2
|
14,5
|
|
1997
|
51,9
|
50,8
|
67,3
|
43,6
|
14,5
|
|
1998
|
52,2
|
50,9
|
68,6
|
43,5
|
14,5
|
|
1999
|
60,7
|
60,1
|
75,9
|
47,8
|
14,5
|
|
2000
|
68,9
|
69,3
|
82,3
|
52,0
|
14,5
|
|
2001
|
83,7
|
85,2
|
94,5
|
61,0
|
14,4
|
|
2002
|
122,5
|
127,1
|
129,7
|
85,5
|
14,4
|
|
2003
|
136,6
|
141,8
|
142,4
|
95,9
|
14,4
|
|
2004
|
182,2
|
194,2
|
170,9
|
120,2
|
14,3
|
|
2005
|
316,2
|
323,8
|
305,2
|
262,9
|
14,1
|
|
2006
|
406,8
|
417,7
|
393,2
|
302,8
|
14,0
|
|
2007
|
478,4
|
497,0
|
435,8
|
339,3
|
13,9
|
|
2008
|
751,4
|
798,9
|
598,2
|
474,3
|
13,8
|
|
2009
|
898,4
|
942,7
|
742,7
|
647,0
|
13,7
|
В
табл.2.1 – 2.6 та на графіках рис.2.2 наведені основні дані, які характеризують
демографічну ситуацію та купівельну спроможність населення України [___].
Згідно наведеним даним:
на протязі 2009 року рівень
середньої пенсії зріс на 19,5%;
на протязі 2009 року рівень
середньомісячної заробітної плати зріс на 11,9% у Київській області та на 11,2%
у м.Києві.
При
зростанні роздрібних цін у 2009 році на молоко та кефір на 29,4%, на сири
тверді на 44,3%, на масло вершкове на 32,1% - товарна інфляція значно перевищує
темп зростання заробітної плати, таким чином купівельна спроможність населення
по купівлі молочних продуктів станом на 01.01.2010 року за 2009 рік значно
знизилась.
Рис.2.2.
Динаміка та рівні середньомісячних заробітних плат в м.Києві, Київській області
та Львівській області у 2008 – 2009 роках
Як
показує аналіз даних, наведених в табл.1.12 – 1.15 та на рис.1.15:
-
на
кожного працюючого в Україні приходиться 1 пенсіонер та 1 непрацюючий (діти та
студенти);
-
зберігається
регіональний розрив між Львіською областю(рівень 1642 грн./міс станом на кінець
2009 року), де розташований завод ЗАТ «Гали-чина», Київською областю (рівень
1958 грн./міс станом на кінець 2009 року) та м.Києвом (рівень 3115 грн./міс
станом на кінець 2009 року).
Таким чином,
рівень купівельної спроможності населення Київської області на 19,24% вище
купівельної спроможності населення Львівської області, а рівень купівельної
спроможності населення м.Києва на 89,7% вище купівельної спроможності населення
Львівської області,
2.2.
Аналіз мікросередовища діяльності КТП ЗАТ „Галичина”
Потенційним
ринком для молочної продукції ЗАТ “Галичина» є ринок приватних підприємців – власників
торгових точок в сільській місцевості Київської області, для яких доставка
продукції автотранспортом КТП ЗАТ «Галичина» дрібнооптовими партіями по
договорному графіку є основною перевагою проти пропозицій «самовивозу» інших
виробників молочної продукції в Київській області (табл.2.7).
Таблиця 2.7
Клієнтурна база
КТП ЗАТ „Галичина” (вибірковий витяг 2010 р. повної бази на 340 клієнтів – ТТ)
Продовження табл.2.7
Продовження табл.2.7
Продовження табл.2.17
Конкуренція.
На внутрішньому
ринку України змінилася структура виробників молочної продукції. Якщо раніше в
Україні було 25 молочних об’єднань, сформованих за територіальним принципом, і
виробляли вони майже весь спектр — від продукції з незбираного молока до сирів
і молочних консервів, — то сьогодні відбувається формування нових молочних
об’єднань, заснованих на новому принципі — спеціалізації. Станом на 2008 рік в
Україні діє десять таких нових об’єднань: п’ять у галузі продукції з
незбираного молока і п’ять — у виробництві твердих сирів. Перша група об’єднань
(сектор продукції з незбираного молока) виробляє приблизно 35% обсягів
виробництва всієї молочної продукції, частка другої групи (виробники твердих
сирів) — 34%.
Надалі розвиток
української молочної галузі йтиме саме шляхом утворення нових спеціалізованих
об’єднань, відбуватиметься поглинання невеликих районних заводів.
А на сьогодні
розклад сил у галузі такий:
1. Перша група —
це об’єднання, які ставлять завдання стати національними гравцями: в секторі
продукції з незбираного молока — російські компанії “Юнімілк Україна” (володіє
двома підприємствами: ВАТ “Галактон” та Кременчуцький міський молочний завод) і
“Вімм-білль-данн” із трьома підприємствами (Київський міський молочний завод №
3, Харківський молочний комбінат та Буринський завод сухого молока), а також
французька компанія “Лактоліс” — власник двох переробних підприємств
(Миколаївський та Уманський міські молокозаводи); в секторі виробництва твердих
сирів українські корпорації: “Клуб сиру”, “Гадячсир”, “Мілкіленд”,
“Ковельмолоко”.
2. Друга група —
поодинокі молокопереробні підприємства з часткою ринку від 1 до 6%. Це
підприємства, які нині є регіональними лідерами: комбінат “Придніпровський”,
Куп’янський молочноконсервний завод, компанія “Галичина” та інші.
3. Третя група —
локальні оператори, низові молокозаводи, які майже всі виробляють молочну
продукцію в середньому в мінусціновому сегменті.
Серед основних
проблем молочної галузі насамперед називають сировинну, бо на внутрішньому
ринку є дефіцит молока, що спричинено низкою чинників. Зокрема, сезонність
виробництва. Влітку молока виробляють у 2,5–3 рази більше, ніж узимку, і
молокопереробні підприємства змушені переробляти надлишки сировини на
промислову групу товарів. А взимку сировини не вистачає. До того ж, як
зазначалося вище, поголів’я молочних корів різко зменшилось, і тенденції до
збільшення не спостерігається.
Є велика
проблема, пов’язана з якістю молока, практично неможливо за один день провести
велику кількість аналізів, коли на одне підприємство припадає від 10 до 15 тис.
здавачів, які здають молоко по три літри. Весь цей продукт просто фізично
неможливо перевірити й провести необхідну кількість аналізів. Тому за якістю наша
молочна сировина сьогодні не відповідає ні новому державному стандарту на
молоко, ні навіть старому, який діяв ще за часів СРСР.
З розвитком ринку
молокопродуктів виникла конкуренція між його учасниками, але незалежні експерти
констатують, що держава не створила умови для нормальних умов добросовісної
конкуренції. Своєю чергою, це призвело до того, що на ринку є багато
фальсифікату молочної продукції та невідповідності її прийнятим стандартам.
Окреме питання,
що потребує розгляду, — випуск подібних продуктів. Наприклад, на ринку
тваринного масла, яке в нас називають вершковим, 70% обсягів того, що
виробляють та реалізують, лиш умовно можна назвати вершковим, бо воно на 90%
складається із замінників молочного жиру: кулінарні, рослинні та навіть дезодоровані
рибні жири.
Аналіз
основних виробників на ринку молочної продукції свідчить, що лідером ринку
центрального регіону є ВАТ „Галактон" (торгові марки «Баланс»,
«Біо-Баланс»), з 2002р. належить російській компанії „Планета
Менеджмент". Компанія „Планета Менеджмент" в 2003р. придбала
контрольний пакет акцій ВАТ „Кременчуцький міськмолзавод" („Кремез"),
який займає 13% ринку. Російська компанія „Вимм - Билль - Данн" володіє
такими українськими підприємствами: ВАТ „Київський міськмолзавод" №3
(„Славяночка", „рижий Ап", „Чудо", „Домик в деревне",
„Фругурт", „Доктор БиФи") - 4% ринку; ВАТ „Харськівський
молочний комбінат" („Веселий молочник", „Ромол") - 8,7% ринку.
Існує також ЗАТ „Лакталіс - Україна" (President) - 8% українського ринку,
90% акцій якої належить французькій компанії Lactalis. Важливе місце на ринку
займає ЗАТ „Павлоградський молочний комбінат" („Фанні") - 5%
загального ринку. Продукція під торговою маркою „Фанні" визнана самим
відомим „молочним" брендом 2003 року. Молочна фабрика „Rainford" та
Комбінат „Придніпровський" („Злагода", „Любимчик", „Линия
жизни") займають по 5% ринку молочного бізнесу. Комбінат
„Придніпровський" веде підготовку до розширення асортименту та збільшення
об'ємів виробництва дитячої цільно- і кисломолочної продукції та планує
розпочати виробництво аєрірованої творожної продукції, яка в Україну
завозиться із-за кордону. Набирає темпи і ВАТ „Ковельмолоко"
(„Гурманіка", „Комо"), підприємство входить до „західної молочної
групи", яку контролює компанія „Континуум" і є лідером молочного
ринку західного регіону.
Вертикальна
організація виробництва стала одним із ключових чинників успішної конкурентної
боротьби операторів ринку. Значна увага приділяється організації постачань
сировини, хоча вкладати інвестиції в розвиток сировинної бази навіть великі
виробники не поспішають, що може привести в масла, дані продукти виробляються
із екологічно чистого молока.
Просування
продукції та реклама являються головними факторами в конкурентній боротьбі за
долю ринку. Велику роль також відіграє наявність у компаній брендів та власної
системи дистриб'юції. Для ефективнішого використання потужностей шляхом
спеціалізації підприємств на певному виді продукції підприємства молочної
галузі об'єднують свої зусилля.
Таблиця 2.8
Основні
конкуренти продукції ЗАТ «Галичина» в Київській області
Продовження табл.2.8
Основними
конкурентами підприємства ЗАТ «Галичина» на ринках Київської області є
наступні:
-
на
регіональному ринку районів Київської області основними конкурентами є
Яготинський молочний комбінат (Яготинський район Київської області) та новітній
Білоцерковський молочний комбінат (м. Біла Церков, запущений у 2008 на новітніх
західних технологіях та імпортному обладнанні), які випускають весь
асортиментний ряд молочної продукції
Товари-субститути
для молочної продукції ЗАТ «Галичина» відсутні,в районах Київської області
працюють на регіональному рівні ще 8 невеликих молокозаводів, які займають
районні ринки з своєю продукцією.
Фактори
конкурентоспроможності:
1.
Споживчі
характеристики. Висока якість вихідної сировини (екологічно чиста місцевість
для відкормлення корів, висока якість натуральних кормів, формування сучасних
високоякісних молочних порід), спеціальні рецепти технологічної обробки, які
створюють комплекс високої споживчої вартості продукції.
2.
Технологічні
показники. Продукція виготовлена на сучасному обладнанні з використанням
новітніх технологій первинної обробки молока згідно стандартів СОТ, що визначає
гарантійну пригодність продукції при транспортуванні із Львівської в Київську
область.
3.
Доля
ринку. Частка ринку, яку займає підприємство показує конкурентну силу комісіонера
– КТП ЗАТ «Галичина», величину його можливостей.
4.
Ціна.
Всі виробники працюють з однаковим асортиментом молочної продукцією і
намагаються знизити вартість своєї продукції за рахунок зниження вартості
вихідної сировини (сирого молока) та технологічного обладнання обробки молока.
5.
Розфасовка.
Розфасовка молочної продукції визначає зручність і економічність використання, Найзручніші
середні упакування по 0,4 кг в ПЕТ – тару, яка допускає підвищенну
герметичність, естетичне рекламне оформлення продукції та нульові збитки при
віддаленому транспортуванні.
6.
Кваліфікація
персоналу. Від ступеня кваліфікації працівників залежить робота і розвиток
підприємства.
7.
Технічний
супровід товару. Наявність у компанії відділу, який надає різноманітні послуги:
оцінка стану продукції, розробка технічних рішень під конкретну продукцію,
проведення майстер-класів тощо (товар з підкріпленням).
8.
Імідж
торгової марки. Кількість виробників і споживачів активно зростає, вхідні
бар’єри відносно невисокі, технологія не є унікальною, тому прибутковість
визначається степенем диференціації торгової марки – цінова премія бренду.
9.
Наявність
інвестицій для розширення збуту. Для швидкого оновлення технології, розширення
виробництва компанії необхідні великі кошти, тому інвестиції дають змогу швидко
збільшувати кредитний механізм пропозицій.
10.
Час
необхідний для розробки нових товарів. Цей показник напряму залежить від
наявності в компанії достатніх коштів, науково-дослідницького персоналу,
відповідних лабораторій.
11.
Наявність
каналів збуту. Чим більше у компанії каналів збуту, тим швидше вона реалізує
свій товар.
12.
Маркетингові
дослідження. Дозволяють компанії швидко реагувати на зміни в попиті, виявляти нові
можливості і загрози для розвитку.
Таблиця 2.9
Аналіз сильних і
слабких сторін ЗАТ «Галичина» в порівнянні з конкурентами на регіональному
ринку Київської області
|
№
п/п
|
Фактори
конкурентоспро-можності
|
Бали
1-20
|
Рейтинг
товарів-конкурентів в порівнянні з ЗАТ “Галичина”
|
|
-3
|
-2
|
-1
|
0
|
1
|
2
|
3
|
|
1
|
Споживчі
характеристики
|
17
|

|
|
&
|
#$
|
|
|
|
|
2
|
Якість сировини
(сирого молока)
|
20
|
 &#
|
$
|
|
|
|
|
|
|
3
|
Технологічні
показники
|
20
|
|
&
|
|
|
|
#S
|
|
|
4
|
Доля ринку
|
18
|
&
|
#
|
|
|
|
|
$
|
|
5
|
Ціна
|
20
|
|
|
  #$
|
&
|
|
|
|
|
6
|
Розфасовка
|
13
|
|
|
&
|
 $ #
|
|
|
|
|
7
|
Кваліфікація
персоналу
|
19
|
|
|
&
|
#
|
|
$
|
|
|
8
|
Технічний супровід
товару
|
19
|
&
|
|
#
|
|
|
$
|
|
|
9
|
Імідж торгової
марки
|
18
|
|
|
&
|
#
|
|
|
$
|
|
10
|
Наявність
інвестицій для розширення виробництва і збуту
|
19
|
|

|
&
|
|
#
|
$
|
|
|
11
|
Час необхідний для
розробки нових товарів
|
14
|

|
&
|
|
#
|
$
|
|
|
|
12
|
Наявність власних
каналів збуту в Київській області
|
15
|
 & #
|
$
|
|
|
|
|
|
|
13
|
Маркетингові
дослідження
|
18
|
|
&
|
|
|
#
|
|
$
|
& - “Яготинський
ММК”, # - “Білоцерковський ММК”, $ - “Юнімілк”
Контактні
аудиторії в цілому позитивно впливають на діяльність ЗАТ „Галичина”.
Журнал «Фокус»
опублікував національний рейтинг найпопулярніших українських брендів. До
золотої 30-ки кращих увійшла і ТМ «Галичина».
У рейтингу
представлені товари народного споживання, які продемонстрували найвищі
показники за об’ємами роздрібних продажів на внутрішньому ринку України.
Експерти оцінювали популярність виключно українських торгових марок. Варто
відзначити, що «Галичина» на сьогодні — це фактично єдина українська компанія,
яка входить до першого ешелону найпотужніших гравців молочного ринку
Продукція
підприємства на основі незалежних досліджень, проведених Всеукраїнським центром
досліджень, відзначена знаком якості “Вища проба”. Компанія також отримала такі
нагороди, як: “Золота якість” .
3 Формулювання
управлінської проблеми в збутовій діяльності КТП ЗАТ „Галичина” за результатами
аналізу маркетингового середовища діяльності
Управлінська
проблема в збутовій діяльності КТП ЗАТ «Галичина» за результатами аналізу
впливу факторів маркетингового середовища на діяльність підприємства
формулюється як утримання позицій на ринку збуту Київської області та пошук
шляхів розширення ринків збуту (пошук «ніш ринку») в наступних напрямах:
- розширення
мережі клієнтів («торгових точок») у малих містах та селищах Київської області
за рахунок власної збутової мережі;
- відкриття
спеціалізованих фірмових магазинів ЗАТ «Галичина» в малих містах Київської
області;
- відкриття
спеціалізованого магазину ЗАТ «Галичина» в м.Києві;
- відкриття
спеціалізованих стендів продукції ЗАТ «Галичина» в продуктових гіпермаркетах
«Метро», «Фуршет» та інш.
Як показав аналіз
маркетингового середовища діяльності КТП ЗАТ «Галичина»:
1. Виробничi
потужностi ЗАТ "Галичина" зосередженi на Радехiвському молокозаводi,
де встановленi лiнiї з виробництва рiзних видiв цiльномолочної продукцiї. На
сьогоднi вони дозволяють переробляти 300 тонн молока на добу, а пiсля
реконструкцiї та будiвництва нових цехiв переробка збільшилась у 2009 році до
600 т на добу.
2. Продукцiя, яка
виробляється ЗАТ "Галичина" реалiзується комiсiонером ТзОВ
"Галмолторг" (один із акціонерів) - компанiєю, яка є ексклюзивним
дистриб'ютором ТМ "Галичина" та управляє збутовою мережею групи.
Дистрибуцiйна мережа складається з 26 торгових представництв в захiднiй,
центральнiй, пiвденнiй та схiднiй Українi. Основними споживачами молочної
продукцiї, яку реалiзує ТзОВ "Галмолторг", є суб'єкти пiдприємницької
дiяльностi - невеликi компанiї (за результати 2008 року питома вага склала
близько 60%), тодi як частка мережевих супермаркетiв серед споживачiв продукцiї
Підприємства склала 27%.
Таблиця 3.1
Результати
SWOT-аналіз для КТП ЗАТ «Галичина»
|
Сильні сторони
·
Реалізація продукції по системі «вентселінг»
·
Імідж торгової марки
·
Кваліфікований персонал
·
Фінансове забезпечення
·
Виробничі потужності
·
Конкурентна ціна
|
Слабкі сторони
·
Велика відстань від заводу
·
Великі витрати на «вентселінг»
·
Неоптимізовані канали збуту
·
Відсутній місцевий логіст на філії
·
Збій поставок продукції через велику к-сть
філіалів
|
|
Можливості
·
Виведення на ринок нової «дешевої» ТМ для жителів
Київської обл.
·
Підвищення вхідних бар’єрів на продукцію
конкурентів за рахунок введення в Україні державних норм ДСТУ, що
регламентують європейські вимоги до якості сирого молока по нормам СОТ
·
Відкриття власної молочної ферми в Карпатському
високо- гірному регіоні для отримання високоякісної молочної сировини
·
Об’єднання з компанією – конкурентом (КОМО)
|
Загрози
·
Подорожчення молочної продукції за рахунок
систематичного зменшення поголів’я молочного стада корів в Україні та
катастрофічного обвалу курсу гривні по відношенню до курсу долара США та євро
у листопаді- грудні 2009 року і унеможливлення імпорту сировини з
Европейського Союзу
·
Падіння попиту на продукцію за рахунок зниження
рівня доходів споживачів на фоні світової фінансової кризи 2008 -2009 років
·
Захват все більшої частини ринку конкурентною
продукцією за рахунок поставок продукції з новітнього Білоцерковського ММК
Київської області.
·
Підвищення виплат кредиту по відсоткам, вз’язку з
подорожчанням валюти.
|
3. Київське
торгівельне представництво (КТП) ЗАТ „Галичина” є організаційно структурним
підрозділом всеукраїнської дистрибуційної мережі, створеної одним із акціонерів
підприємства комiсiонером ТОВ "Галмолторг" (один із акціонерів) -
компанiєю, яка є ексклюзивним дистриб'ютором ТМ "Галичина" та
управляє збутовою мережею групи.
Кількість обслуговуємих клієнтів – роздрібних торгових точок (ТТ) по Київській області - 340, кількість торгових представників у КТП - 6.
У середньому за день КТП обслуговує 25-30 ТТ в області.
Поставка молочної продукції ЗАТ „Галичина” із заводу в м.Радехів Львівської області здійснюється автофурами кожний день на обладнаний холодильниками склад, орендований КТП за адресою Київ, вул.Бутлерова,6, база "Хозімпекс".
Торгові представники КТП виїжджають щоранку на маршрут з молочною продукцією на автомобілях- холодильниках ГАЗ - 33021 (така система продажів називається "вентселинг").
4. Основними
конкурентами підприємства ЗАТ «Галичина» на ринках Київської області є
наступні:
- столичний ринок
практично є закритим для продукції ЗАТ «Галичина»;
- на
регіональному ринку районів Київської області основними конкурентами є
Яготинський молочний комбінат (Яготинський район Київської області) та новітній
Білоцерковський молочний комбінат (м. Біла Церков, запущений у 2008 на новітніх
західних технологіях та імпортному обладнанні), які випускають весь
асортиментний ряд молочної продукції
Таким чином,
управлінська проблема в збутовій діяльності КТП ЗАТ „Галичина” за результатами
аналізу маркетингового середовища діяльності, яка є предметом дипломного
дослідження є оптимізація економіко –географічної мапи «ніш попиту» для КТП ЗАТ
«Галичина» на районних ринках молочних продуктів в Київській області.
Список використаної літератури
1.
Старостіна А.О., Зозульов О.В. Маркетинг: Навч.
пос. — 3-тє вид., перероб. —К.: Знання, 2006. — 327 с.
2.
Зозульов О.В. Промышленный маркетинг:
стратегический аспект: Учеб. пос. — Харьков: Студцентр, 2005. — 328 с.: ил.;
табл.; библиогр. 86 наим.
3.
Зозульов А.В. Сегментирование рынка: Учеб. пос. —
К.: Студцентр, 2003. — 232 с.
4.
Портер М. Стратегія конкуренції: Методика аналізу
галузей і діяльності конкурентів/ Переклад з англ. А.Олійника та Р.
Скіпальського — К.: Основи, 2000. — 410 с.
5.
Портер М. Конкуренція — К.: ВД “Вільямс”, 2001.—
495 с.
6.
Котлер Ф. Основы маркетинга: Пер. з англ.— М.: ВД
“Вильямс”, 2006.— 656 с.
7.
Азарян О.М. Маркетинг: принципи та функції: Навч.
пос. — 3-тє вид., перероб. І доп. — Харків: Стуцентр, 2002. — 320 с.: іл..;
табл.. Бібліогр.: 94 назви.
8.
Ламбен Ж.Ж. Стратегический маркетинг. — СПб.:
Наука, 1999.—589 с.
9.
Ковалев А.И., Войтенко В.В. Маркетинговый аналіз. —
М.: Центр экономики и маркетинга, 1998. — 254 с.
10.
Кудлай Віра Григорівна. Ринок молока і
молокопродуктів: стан, тенденції та перспективи розвитку (на прикладі Київської
області): дис... канд. екон. наук: 08.07.02 / Київський національний
економічний ун-т. - К., 2004. - 19 с.
11.
Савицька В.Г. (Кудлай В.Г.) Шляхи вдосконалення
функціонування молокопродуктового підкомплексу // Проблеми ефективного
функціонування АПК в умовах нових форм власності та господарювання:
Кол.монографія у двох томах. Т.2 / За ред. П.Т.Саблука, В.Я.Амбросова,
Г.Є.Мазнєва. – К.: ІАЕ, - 2001.- С.147-149. (0,13 д.а.)
12.
Савицька В.Г. (Кудлай В.Г.) Підприємства
молокопродуктового підкомплексу в умовах ринкової трансформації економіки
України // Організаційно – економічні проблеми розвитку АПК: Наукове видання в
4 частинах / За ред. П.Т.Саблука. Частина 4: Ціноутворення, інфраструктура
аграрного ринку та виробничий потенціал в АПК. - К.: ІАЕ, - 2001.- С. 189 –
193. (0,23 д.а.)
13.
Савицька В.Г. (Кудлай В.Г.) Основні засади
маркетингу молочних продуктів // Вісник Львівського державного аграрного
університету: Економіка АПК №5.-Львів: Львів. держагроуніверситет, 1999. -
С.54-60. ( 0,43 д.а.)
14.
Савицька В.Г. (Кудлай В.Г.) Основні аспекти
маркетингу молочних продуктів // Економіка та підприємництво: Зб. Наук. Праць
молодих учених та аспірантів. - Вип.3./ Відп. ред. С.І.Дем’яненко. -К.: КНЕУ,
1999.-С.110-115. (0,31д.а.)
Додаток
А
Фінансова
звітність ЗАТ „Галичина” за 2006 – 2009 роки
Річна фінансова звітність за 2006-2007 роки
|
Коди
|
|
|
Дата
|
31.12.2007
|
|
Підприємство
|
Закрите акцiонерне
товариство "Галичина"
|
за ЄДРПОУ
|
25553579
|
|
Територія
|
|
за КОАТУУ
|
4623910100
|
|
Форма власності
|
ПРИВАТНА ВЛАСНIСТЬ
|
за КФВ
|
10
|
|
Орган державного
управління
|
|
за СПОДУ
|
|
|
Галузь
|
ХАРЧОВА
ПРОМИСЛОВIСТЬ
|
за ЗКГНГ
|
18000
|
|
Вид економічної
діяльності
|
Харчова
промисловість
|
за КВЕД
|
15
|
|
Одиниця виміру:
|
тис. грн.
|
Контрольна сума
|
|
|
Адреса:
|
Україна Львівська
Радехiвський 80200 Радехiв Б. Хмельницького, 120
|
Баланс на 31.12.2007
|
Актив
|
Код рядка
|
На початок звітного
періоду
|
На кінець звітного
періоду
|
|
1
|
2
|
3
|
4
|
|
I. Необоротні
активи
|
|
Нематеріальні
активи:
|
|
- залишкова
вартість
|
010
|
0
|
0
|
|
- первісна вартість
|
011
|
40
|
40
|
|
- накопичена
амортизація
|
012
|
( 40 )
|
( 40 )
|
|
Незавершене
будівництво
|
020
|
7890
|
38405
|
|
Основні засоби:
|
|
- залишкова
вартість
|
030
|
|
|
|
- первісна вартість
|
031
|
|
|
|
- знос
|
032
|
( 11939 )
|
( 21019 )
|
|
Довгострокові
біологічні активи::
|
|
- справедлива
(залишкова) вартість
|
035
|
0
|
0
|
|
- первісна вартість
|
036
|
0
|
0
|
|
- накопичена
амортизація
|
037
|
( 0 )
|
( 0 )
|
|
Довгострокові
фінансові інвестиції:
|
|
- які обліковуються
за методом участі в капіталі інших підприємств
|
040
|
0
|
0
|
|
- інші фінансові
інвестиції
|
045
|
660
|
660
|
|
Довгострокова
дебіторська заборгованість
|
050
|
0
|
0
|
|
Відстрочені
податкові активи
|
060
|
0
|
0
|
|
Інші необоротні
активи
|
070
|
0
|
1868
|
|
Усього за розділом
I
|
080
|
52706
|
119822
|
|
II. Оборотні активи
|
|
Виробничі запаси
|
100
|
4122
|
8319
|
|
Поточні біологічні
активи
|
110
|
0
|
0
|
|
Незавершене
виробництво
|
120
|
0
|
0
|
|
Готова продукція
|
130
|
3930
|
6581
|
|
Товари
|
140
|
185
|
1451
|
|
Векселі одержані
|
150
|
0
|
0
|
|
Дебіторська
заборгованість за товари, роботи, послуги:
|
|
- чиста
реалізаційна вартість
|
160
|
3166
|
19036
|
|
- первісна вартість
|
161
|
3166
|
19036
|
|
- резерв сумнівних
боргів
|
162
|
( 0 )
|
( 0 )
|
|
Дебіторська
заборгованість за рахунками:
|
|
- за бюджетом
|
170
|
0
|
682
|
|
- за виданими
авансами
|
180
|
284
|
6656
|
|
- з нарахованих
доходів
|
190
|
0
|
0
|
|
- із внутрішніх
розрахунків
|
200
|
0
|
0
|
|
Інша поточна
дебіторська заборгованість
|
210
|
18417
|
19993
|
|
Поточні фінансові
інвестиції
|
220
|
0
|
0
|
|
Грошові кошти та їх
еквіваленти:
|
|
- в національній
валюті
|
230
|
9
|
|
- в іноземній
валюті
|
240
|
0
|
0
|
|
Інші оборотні
активи
|
250
|
0
|
1783
|
|
Усього за розділом
II
|
260
|
30180
|
64510
|
|
III. Витрати
майбутніх періодів
|
270
|
566
|
4189
|
|
Баланс
|
280
|
83452
|
188521
|
Пасив
|
Код рядка
|
На початок звітного
періоду
|
На кінець звітного
періоду
|
|
1
|
2
|
3
|
4
|
|
I. Власний капітал
|
|
Статутний капітал
|
300
|
310
|
1860
|
|
Пайовий капітал
|
310
|
0
|
0
|
|
Додатковий
вкладений капітал
|
320
|
0
|
0
|
|
Інший додатковий
капітал
|
330
|
2647
|
2647
|
|
Резервний капітал
|
340
|
0
|
12882
|
|
Нерозподілений
прибуток (непокритий збиток)
|
350
|
14432
|
9110
|
|
Неоплачений капітал
|
360
|
( 0 )
|
( 0 )
|
|
Вилучений капітал
|
370
|
( 0 )
|
( 0 )
|
|
Усього за розділом
I
|
380
|
17389
|
26499
|
|
II. Забезпечення
наступних виплат та платежів
|
|
Забезпечення виплат
персоналу
|
400
|
0
|
0
|
|
Інші забезпечення
|
410
|
0
|
0
|
|
Сума страхових
резервів
|
415
|
0
|
0
|
|
Сума часток
перестраховиків у страхових резервах
|
416
|
0
|
0
|
|
Цільове
фінансування
|
420
|
0
|
0
|
|
Усього за розділом
II
|
430
|
0
|
0
|
|
ІІІ. Довгострокові
зобов’язання
|
|
Довгострокові
кредити банків
|
440
|
21228
|
52119
|
|
Інші довгострокові
фінансові зобов’язання
|
450
|
0
|
30000
|
|
Відстрочені
податкові зобов’язання
|
460
|
0
|
0
|
|
Інші довгострокові
зобов’язання
|
470
|
0
|
0
|
|
Усього за розділом
III
|
480
|
21228
|
82119
|
|
ІV. Поточні
зобов’язання
|
|
Короткострокові
кредити банків
|
500
|
17621
|
34392
|
|
Поточна
заборгованість за довгостроковими зобов’язаннями
|
510
|
0
|
0
|
|
Векселі видані
|
520
|
384
|
1301
|
|
Кредиторська
заборгованість за товари, роботи, послуги
|
530
|
18009
|
34376
|
|
Поточні
зобов’язання за розрахунками:
|
|
- з одержаних
авансів
|
540
|
0
|
5998
|
|
- з бюджетом
|
550
|
2852
|
2864
|
|
- з позабюджетних
платежів
|
560
|
0
|
0
|
|
- зі страхування
|
570
|
159
|
267
|
|
- з оплати праці
|
580
|
363
|
618
|
|
- з учасниками
|
590
|
0
|
0
|
|
- із внутрішніх
розрахунків
|
600
|
0
|
0
|
|
Інші поточні
зобов'язання
|
610
|
5447
|
87
|
|
Усього за розділом
IV
|
620
|
44835
|
79903
|
|
V. Доходи майбутніх
періодів
|
630
|
0
|
0
|
|
Баланс
|
640
|
83452
|
188521
|
Звіт про фінансові результати за 2007 рік
I. ФІНАНСОВІ
РЕЗУЛЬТАТИ
|
Стаття
|
Код рядка
|
За звітний період
|
За попередній
період
|
|
1
|
2
|
3
|
4
|
|
Доход (виручка) від
реалізації продукції (товарів, робіт, послуг)
|
010
|
|
|
|
Податок на додану
вартість
|
015
|
( 54007 )
|
( 35693 )
|
|
Акцизний збір
|
020
|
( 0 )
|
( 0 )
|
|
025
|
( 0 )
|
( 0 )
|
|
Інші вирахування з
доходу
|
030
|
( 0 )
|
( 18196 )
|
|
Чистий доход
(виручка) від реалізації продукції (товарів, робіт, послуг)
|
035
|
|
|
|
Собівартість
реалізації продукції (товарів, робіт, послуг)
|
040
|
( 194795 )
|
( 113929 )
|
|
Валовий прибуток:
|
|
- прибуток
|
050
|
75237
|
46340
|
|
- збиток
|
055
|
( 0 )
|
( 0 )
|
|
Інші операційні
доходи
|
060
|
18105
|
3311
|
|
Адміністративні
витрати
|
070
|
( 7691 )
|
( 9438 )
|
|
Витрати на збут
|
080
|
( 48761 )
|
( 21219 )
|
|
Інші операційні
витрати
|
090
|
( 15787 )
|
( 9521 )
|
|
Фінансові
результати від операційної діяльності:
|
|
- прибуток
|
100
|
21103
|
9473
|
|
- збиток
|
105
|
( 0 )
|
( 0 )
|
|
Доход від участі в
капіталі
|
110
|
0
|
0
|
|
Інші фінансові
доходи
|
120
|
1040
|
566
|
|
Інші доходи
|
130
|
189
|
222
|
|
Фінансові витрати
|
140
|
( 11117 )
|
( 5343 )
|
|
Втрати від участі в
капіталі
|
150
|
( 0 )
|
( 0 )
|
|
Інші витрати
|
160
|
( 1036 )
|
( 471 )
|
|
Фінансові
результати від звичайної діяльності до оподаткування:
|
|
- прибуток
|
170
|
10179
|
4447
|
|
- збиток
|
175
|
( 0 )
|
( 0 )
|
|
Податок на прибуток
від звичайної діяльності
|
180
|
( 1069 )
|
( 621 )
|
|
Дохід з податку на
прибуток від звичайної діяльності
|
185
|
0
|
0
|
|
Фінансові
результати від звичайної діяльності:
|
|
- прибуток
|
190
|
|
|
|
- збиток
|
195
|
|
|
|
Надзвичайні:
|
|
- доходи
|
200
|
0
|
0
|
|
- витрати
|
205
|
( 0 )
|
( 0 )
|
|
Податки з
надзвичайного прибутку
|
210
|
( 0 )
|
( 0 )
|
|
Чистий:
|
|
- прибуток
|
220
|
9110
|
3826
|
|
- збиток
|
225
|
( 0 )
|
( 0 )
|
II. ЕЛЕМЕНТИ
ОПЕРАЦІЙНИХ ВИТРАТ
|
Найменування
показника
|
Код рядка
|
За звітний період
|
За попередній
період
|
|
1
|
2
|
3
|
4
|
|
Матеріальні затрати
|
230
|
231365
|
117071
|
|
Витрати на оплату
праці
|
240
|
7725
|
4441
|
|
Відрахування на
соціальні заходи
|
250
|
2826
|
1627
|
|
Амортизація
|
260
|
9330
|
7088
|
|
Інші операційни
витрати
|
270
|
15611
|
23879
|
|
Разом
|
280
|
266857
|
III. РОЗРАХУНОК
ПОКАЗНИКІВ ПРИБУТКОВОСТІ АКЦІЙ
|
Назва статті
|
Код рядка
|
За звітний період
|
За попередній
період
|
|
1
|
2
|
3
|
4
|
|
Середньорічна
кількість простих акцій
|
300
|
310
|
310
|
|
Скоригована
середньорічна кількість простих акцій
|
310
|
310
|
310
|
|
Чистий прибуток,
(збиток) на одну просту акцію
|
320
|
29386
|
12343
|
|
Скоригований чистий
прибуток, (збиток) на одну просту акцію
|
330
|
29386
|
12343
|
|
Дивіденди на одну
просту акцію
|
340
|
0
|
0
|
Квартальна фінансова звітність емітента
Баланс на 30.09.2009
|
Актив
|
Код рядка
|
На початок звітного
періоду
|
На кінець звітного
періоду
|
|
I. Необоротні
активи
|
|
Нематеріальні
активи:
|
|
- залишкова
вартість
|
010
|
6403
|
7231
|
|
- первісна вартість
|
011
|
6799
|
9477
|
|
- накопичена амортизація
|
012
|
( 396 )
|
( 2246 )
|
|
Незавершене
будівництво
|
020
|
24080
|
23147
|
|
Основні засоби:
|
|
- залишкова
вартість
|
030
|
147459
|
162240
|
|
- первісна вартість
|
031
|
185365
|
218770
|
|
- знос
|
032
|
( 37906 )
|
( 56530 )
|
|
Довгострокові
біологічні активи:
|
|
- справедлива
(залишкова) вартість
|
035
|
0
|
0
|
|
- первісна вартість
|
036
|
0
|
0
|
|
- накопичена
амортизація
|
037
|
( 0 )
|
( 0 )
|
|
Довгострокові
фінансові інвестиції:
|
|
- які обліковуються
за методом участі в капіталі інших підприємств
|
040
|
0
|
0
|
|
- інші фінансові
інвестиції
|
045
|
660
|
660
|
|
Довгострокова
дебіторська заборгованість
|
050
|
0
|
0
|
|
Справедлива
(залишкова) вартість інвестиційної нерухомості
|
055
|
0
|
0
|
|
Первісна вартість
інвестиційної нерухомості
|
056
|
0
|
0
|
|
Знос інвестиційної
нерухомості
|
057
|
( 0 )
|
( 0 )
|
|
Відстрочені
податкові активи
|
060
|
0
|
0
|
|
Гудвіл
|
065
|
0
|
0
|
|
Інші необоротні
активи
|
070
|
3951
|
0
|
|
Гудвіл при
консолідації
|
075
|
0
|
0
|
|
Усього за розділом
I
|
080
|
182553
|
193278
|
|
II. Оборотні активи
|
|
Запаси:
|
|
Виробничі запаси
|
100
|
10367
|
12080
|
|
Поточні біологічні
активи
|
110
|
0
|
0
|
|
Незавершене
виробництво
|
120
|
0
|
0
|
|
Готова продукція
|
130
|
7239
|
5653
|
|
Товари
|
140
|
2126
|
1128
|
|
Векселі одержані
|
150
|
0
|
0
|
|
Дебіторська
заборгованість за товари, роботи, послуги:
|
|
- чиста
реалізаційна вартість
|
160
|
42350
|
54849
|
|
- первісна вартість
|
161
|
42350
|
54849
|
|
- резерв сумнівних
боргів
|
162
|
( 0 )
|
( 0 )
|
|
Дебіторська
заборгованість за рахунками:
|
|
- за бюджетом
|
170
|
4
|
0
|
|
- за виданими
авансами
|
180
|
5971
|
7950
|
|
- з нарахованих
доходів
|
190
|
755
|
0
|
|
- із внутрішніх
розрахунків
|
200
|
0
|
0
|
|
Інша поточна
дебіторська заборгованість
|
210
|
40841
|
36278
|
|
Поточні фінансові
інвестиції
|
220
|
32375
|
0
|
|
Грошові кошти та їх
еквіваленти:
|
|
- в національній
валюті
|
230
|
1715
|
4133
|
|
- у т.ч. в касі
|
231
|
228
|
466
|
|
- в іноземній
валюті
|
240
|
0
|
0
|
|
Інші оборотні
активи
|
250
|
4069
|
4374
|
|
Усього за розділом
II
|
260
|
147812
|
126445
|
|
III. Витрати
майбутніх періодів
|
270
|
0
|
0
|
|
IV. Необоротні
активи та групи вибуття
|
275
|
0
|
0
|
|
Баланс
|
280
|
330365
|
319723
|
|
Пасив
|
Код рядка
|
На початок звітного
періоду
|
На кінець звітного
періоду
|
|
I. Власний капітал
|
|
Статутний капітал
|
300
|
1860
|
1860
|
|
Пайовий капітал
|
310
|
0
|
0
|
|
Додатковий
вкладений капітал
|
320
|
0
|
0
|
|
Інший додатковий
капітал
|
330
|
2647
|
2647
|
|
Резервний капітал
|
340
|
21992
|
34295
|
|
Нерозподілений
прибуток (непокритий збиток)
|
350
|
12303
|
5557
|
|
Неоплачений капітал
|
360
|
( 0 )
|
( 0 )
|
|
Вилучений капітал
|
370
|
( 0 )
|
( 0 )
|
|
Накопичена курсова
різниця
|
375
|
0
|
0
|
|
Усього за розділом
I
|
380
|
38802
|
44359
|
|
Частка меншості
|
385
|
0
|
0
|
|
II. Забезпечення
наступних виплат та платежів
|
|
Забезпечення виплат
персоналу
|
400
|
0
|
0
|
|
Інші забезпечення
|
410
|
0
|
0
|
|
Сума страхових
резервів
|
415
|
0
|
0
|
|
Сума часток пере
страховиків у страхових резервах
|
416
|
0
|
0
|
|
Цільове
фінансування
|
420
|
0
|
0
|
|
Усього за розділом
II
|
430
|
0
|
0
|
|
ІІІ. Довгострокові
зобов’язання
|
|
Довгострокові
кредити банків
|
440
|
76204
|
65092
|
|
Інші довгострокові
фінансові зобов’язання
|
450
|
60000
|
45719
|
|
Відстрочені
податкові зобов’язання
|
460
|
0
|
0
|
|
Інші довгострокові
зобов’язання
|
470
|
0
|
0
|
|
Усього за розділом
III
|
480
|
136204
|
110811
|
|
ІV. Поточні
зобов’язання
|
|
Короткострокові
кредити банків
|
500
|
65548
|
39258
|
|
Поточна
заборгованість за довгостроковими зобов’язаннями
|
510
|
0
|
0
|
|
Векселі видані
|
520
|
1304
|
1949
|
|
Кредиторська
заборгованість за товари, роботи, послуги
|
530
|
63826
|
95158
|
|
Поточні
зобов’язання за розрахунками:
|
|
- з одержаних
авансів
|
540
|
14435
|
14518
|
|
- з бюджетом
|
550
|
5324
|
6650
|
|
- з позабюджетних
платежів
|
560
|
0
|
0
|
|
- зі страхування
|
570
|
588
|
468
|
|
- з оплати праці
|
1100
|
1801
|
|
- з учасниками
|
590
|
0
|
0
|
|
- із внутрішніх
розрахунків
|
600
|
0
|
0
|
|
Зобов'язання,
пов'язані з необоротними активами та групами вибуття, утримуваними для
продажу
|
605
|
0
|
0
|
|
Інші поточні
зобов'язання
|
610
|
3234
|
4751
|
|
Усього за розділом
IV
|
620
|
155359
|
164553
|
|
V. Доходи майбутніх
періодів
|
630
|
0
|
0
|
|
Баланс
|
640
|
330365
|
319723
|
|
Звіт про фінансові
результати за 3 квартал 2009 року
|
|
I. ФІНАНСОВІ
РЕЗУЛЬТАТИ
|
|
Стаття
|
Код рядка
|
За звітний період
|
За попередній
період
|
|
Доход (виручка) від
реалізації продукції (товарів, робіт, послуг)
|
010
|
415381
|
369589
|
|
Податок на додану
вартість
|
015
|
( 69120 )
|
( 60955 )
|
|
Акцизний збір
|
020
|
( 0 )
|
( 0 )
|
|
025
|
( 0 )
|
( 0 )
|
|
Інші вирахування з
доходу
|
030
|
( 0 )
|
( 0 )
|
|
Чистий доход
(виручка) від реалізації продукції (товарів, робіт, послуг)
|
035
|
346261
|
308634
|
|
Собівартість
реалізації продукції (товарів, робіт, послуг)
|
040
|
( 246995 )
|
( 220296 )
|
|
Валовий прибуток:
|
|
- прибуток
|
050
|
99266
|
88338
|
|
- збиток
|
055
|
( 0 )
|
( 0 )
|
|
Інші операційні
доходи
|
060
|
2789
|
17547
|
|
У т.ч. дохід від
первісного визнання біологічних активів і сільськогосподарської продукції,
одержаних у наслідок сільськогосподарської діяльності
|
061
|
0
|
0
|
|
Адміністративні
витрати
|
070
|
( 8345 )
|
( 6865 )
|
|
Витрати на збут
|
080
|
( 56400 )
|
( 62062 )
|
|
Інші операційні
витрати
|
090
|
( 5158 )
|
( 13839 )
|
|
У т.ч. витрати від
первісного визнання біологічних активів і сільськогосподарської продукції,
одержаних у наслідок сільськогосподарської діяльності
|
091
|
( 0 )
|
( 0 )
|
|
Фінансові
результати від операційної діяльності:
|
|
- прибуток
|
100
|
32152
|
23119
|
|
- збиток
|
105
|
( 0 )
|
( 0 )
|
|
Доход від участі в
капіталі
|
110
|
0
|
0
|
|
Інші фінансові
доходи
|
120
|
2271
|
2746
|
|
Інші доходи
|
130
|
754
|
61
|
|
Фінансові витрати
|
140
|
( 27565 )
|
( 18988 )
|
|
Втрати від участі в
капіталі
|
150
|
( 0 )
|
( 0 )
|
|
Інші витрати
|
160
|
( 1591 )
|
( 116 )
|
|
Прибуток (збиток)
від впливу інфляції на монетарні статті
|
165
|
0
|
0
|
|
Фінансові
результати від звичайної діяльності до оподаткування:
|
|
- прибуток
|
170
|
6021
|
6822
|
|
- збиток
|
175
|
( 0 )
|
( 0 )
|
|
У т.ч. прибуток від
припиненої діяльності та/або прибуток від переоцінки необоротних активів та
групи вибуття у наслідок припинення діяльності
|
176
|
0
|
0
|
|
У т.ч. збиток від
припиненої діяльності та/або збиток від переоцінки необоротних активів та
групи вибуття у наслідок припинення діяльності
|
177
|
0
|
0
|
|
Податок на прибуток
від звичайної діяльності
|
180
|
( 464 )
|
( 1972 )
|
|
Дохід з податку на
прибуток від звичайної діяльності
|
185
|
0
|
0
|
|
Фінансові
результати від звичайної діяльності:
|
|
- прибуток
|
190
|
5557
|
4850
|
|
- збиток
|
195
|
( 0 )
|
( 0 )
|
|
Надзвичайні:
|
|
- доходи
|
200
|
0
|
0
|
|
- витрати
|
205
|
( 0 )
|
( 0 )
|
|
Податки з надзвичайного
прибутку
|
210
|
( 0 )
|
( 0 )
|
|
Частка меншості
|
215
|
0
|
0
|
|
Чистий:
|
|
- прибуток
|
220
|
5557
|
4850
|
|
- збиток
|
225
|
( 0 )
|
( 0 )
|
|
Забезпечення
матеріального заохочення
|
226
|
0
|
0
|
|
II. ЕЛЕМЕНТИ
ОПЕРАЦІЙНИХ ВИТРАТ
|
|
Найменування
показника
|
Код рядка
|
За звітний період
|
За попередній
період
|
|
Матеріальні затрати
|
230
|
252772
|
230796
|
|
Витрати на оплату
праці
|
240
|
10444
|
8283
|
|
Відрахування на
соціальні заходи
|
250
|
3750
|
3030
|
|
Амортизація
|
260
|
21210
|
11644
|
|
Інші операційни
витрати
|
270
|
30307
|
51872
|
|
Разом
|
280
|
318483
|
305625
|
|
III. РОЗРАХУНОК ПОКАЗНИКІВ
ПРИБУТКОВОСТІ АКЦІЙ
|
|
Назва статті
|
Код рядка
|
За звітний період
|
За попередній
період
|
|
Середньорічна
кількість простих акцій
|
300
|
310
|
310
|
|
Скоригована
середньорічна кількість простих акцій
|
310
|
310
|
310
|
|
Чистий прибуток,
(збиток) на одну просту акцію
|
320
|
17925
|
15645
|
|
Скоригований чистий
прибуток, (збиток) на одну просту акцію
|
330
|
17925
|
15645
|
|
Дивіденди на одну
просту акцію
|
340
|
0
|
0
|
|
|
|
|
|
|
|
Додаток Б
Вихідні дані
маркетингового цінового дослідження конкурентних цін на молочну продукцію в
Київському регіоні за даними Інтернет- магазину «Фуршет» (www.furshet.ua) станом на 22.01.2010
Таблиця Б.1
Порівняльний
аналіз конкурентних цін на молоко
|
Вид молочної продукції, об’єм упаковки
|
Ціна упаковки в грн..
|
|
Молоко 2,5% Молочар п/е 1л
|
5,45
|
|
Молоко 2.5% ПЭТ Словяночка 0.950л
|
5,45
|
|
Молоко 2.5% т/ф Білосвіт 900г
|
4,80
|
|
Молоко 2.5% тетракласик Віта 0.5л
|
2,94
|
|
Молоко 3.2% п/пл.Яготинське 0.92л х6
|
6,98
|
|
Молоко Буренка 2,5% 1,5л
|
10,86
|
|
Молоко Буренка 2,5% 1л
|
7,32
|
|
Молоко Буренка 3,2% 1,5л
|
13,06
|
|
Молоко Буренка 3,2% 1л
|
8,96
|
|
Молоко Галактон 1,5% 1л
|
7,48
|
|
Молоко Галактон Простоквашино 2,5% 1027г
|
6,93
|
|
Молоко Галактон Простоквашино 2.5% п/бут 0.93л
|
6,19
|
|
Молоко Галактон Простоквашино 3,2% п/бут 0.93л
|
8,44
|
|
Молоко Галактон Простоквашино 3,5% 1027г
|
9,93
|
|
Молоко Галактон Простоквашино топленое 2.5% п/бут
0,930л
|
7,47
|
|
Молоко Галактон Украинское 3.2% 1л
|
8,13
|
|
Молоко дит.від6міс3.2%Вітамін.абет.200мл
|
4,31
|
|
Молоко Домашнє 2.5% Білосвіт 1л
|
6,85
|
|
Молоко Ласуня 0,5% 1л
|
7,13
|
|
Молоко Ласуня 2.5% 1л
|
7,59
|
|
Молоко Ласуня 3.5% 1л
|
8,76
|
|
Молоко Ласуня детское 2,5% 1л
|
8,44
|
|
Молоко Ласуня детское 3,2% 1л
|
8,62
|
|
Молоко Любимчик витаминизированое 3,2% с/б 0,2л
|
3,92
|
|
Молоко Молочар 2.5% 1000г х10
|
5,45
|
|
Молоко На здоровье 2,5% 1л
|
7,91
|
|
Молоко На здоровье 3,2% 1л
|
9,10
|
|
Молоко На здоровье 6% 1л
|
11,22
|
|
Молоко На здоровье детское 3,2% 0,5л
|
5,27
|
|
Молоко На Здоровье Клубника 1.5% 1л
|
10,02
|
|
Молоко На здоровье Т 0,5% 1л
|
7,46
|
|
Молоко На Здоровье Шоколад 1.5% 1л
|
10,02
|
|
Молоко пастер.Відбірн.2.7% Premialle750г
|
7,93
|
|
Молоко пастеризоване 2.5% Вита 1л х16
|
4,77
|
|
Молоко Селянське 1.5% суперпаст На здоровье 1л
|
5,76
|
|
Молоко Селянське 2,5%
|
5,99
|
|
Молоко Селянське 2,5% суперпаст На здоровье 1л
|
5,99
|
|
Молоко Селянське 3,2% суперпаст На здоровье 1л
|
6,98
|
|
Молоко Селянське 3.2% 1л
|
6,98
|
|
Молоко справжне 2.5% Ласуня 900г
|
4,99
|
|
Молоко суперпастеризованное 1.5% Люстдорф 1000г
|
5,76
|
|
Молоко Т 2.5% Фуршет 1л
|
4,94
|
|
Молоко Т 3.2% Фуршет 1л
|
5,20
|
|
Молоко топленое Галактон 4% 0.5л
|
5,16
|
|
Молоко топленое Словяночка 4% 500г
|
4,51
|
|
Молоко Українське ПЕТ Літній день 1л
|
6,13
|
|
Молоко Українське2.5% ПЕТ Біл.лінія 920г
|
|
Молоко Українське2.5% ПЕТ Біл.лінія1000г
|
6,15
|
|
Молоко Яготинское 2.5% 1л
|
5,23
|
|
Т-Молоко 2.5% т-слім Тема 1л х12
|
9,76
|
Таблиця Б.2
Порівняльний
аналіз конкурентних цін на кефір
|
Вид молочної продукції, об’єм упаковки
|
Ціна упаковки в грн..
|
|
Био Кефир 2,5% Галичина 1000г
|
7,90
|
|
Био кефир Веселый Молочник 1% 450г
|
4,60
|
|
Био кефир Веселый Молочник 2,5% 450г
|
4,91
|
|
Біо-кефір 1% п/пл Веселий молочник 0.87л
|
7,55
|
|
Біо-кефір 2.5% п/б Веселий молочник0.87л
|
8,07
|
|
Біо-кефір 2.5% ПЕТ Біла лінія 1000г
|
8,13
|
|
Біо-кефір 2.5% ПЕТ Біла лінія 920г
|
8,13
|
|
Кефир 2.5% ПЭТ Словяночка 0.45л
|
2,98
|
|
Кефир 2.5% ПЭТ Словяночка 0.95л
|
5,81
|
|
Кефир Био Баланс йогуртовый нежирный 930г
|
6,75
|
|
Кефир Галактон Баланс 2.5% 1000г
|
7,59
|
|
Кефир Галактон Баланс 2.5% 500г
|
4,50
|
|
Кефир Галактон Баланс 2.5% 500г
|
3,98
|
|
Кефир Галактон Простоквашино 2.5% п/бут0,930л
|
7,94
|
|
Кефир Галактон Простоквашино 3,2% п/бут 0,930л
|
8,55
|
|
Кефир Галичина 1% 500г
|
2,89
|
|
Кефир Любимчик 2,5% с/б 0,2л
|
3,99
|
|
Кефир Словяночка 1% п/п 450г
|
2,79
|
|
Кефир Яготинский 2.5% 1000мл
|
6,16
|
|
Кефір 1% ПЕТ 1КМЗ 1000г
|
5,74
|
|
Кефір 2,5% п/пак Галактон 500г
|
3,98
|
|
Кефір 2.5% Вита 1000г х8
|
4,94
|
|
Кефір 2.5% п/пак Галактон 1000г
|
7,59
|
|
Кефір 2.5% п/пл.Яготинське 0.45л х12
|
4,65
|
|
Кефір 2.5% п/пляш.Яготинське 0.92л х6
|
7,55
|
|
Кефір 3.2% скло Premialle 750г х6
|
9,44
|
|
Кефір дит.2.5%від 8міс.Вітам.абетка200мл
|
4,14
|
|
Кефір дит.Біфі3.2%від8місВітам.абет200мл
|
4,94
|
|
Кефір дит.від 8міс.3.2%Вітам.абетка200мл
|
4,49
|
|
Кефір з лактул.0% п/б Лактонія 900г
|
7,64
|
|
Продукт к/м 2.5 % т/т Біо-баланс 0.5л
|
4,86
|
|
Продукт кислом.з кал.1% Біо-баланс 0.5л
|
5,39
|
|
Продукт кислом.з кал.2.5% Біо-баланс0.5л
|
5,39
|
|
Продукт кисломол.2.5 % т/т Біо-баланс 1л
|
8,26
|
Таблиця Б.3
Порівняльний
аналіз конкурентних цін на йогурти
|
Вид молочної продукції, об’єм упаковки
|
Ціна упаковки в грн..
|
|
Биойогурт Чудо Малина-гранат, 2.5%, 430 г
|
5,98
|
|
Биойогурт Чудо Манго-дыня, 2.5%, 430 г
|
5,98
|
|
Биойогурт Чудо Персик-абрикос, 2.5%, 430 г
|
5,98
|
|
Биойогурт Чудо Черника-черная смородина, 2.5%, 430 г
|
5,98
|
|
Біо-йогурт абр/морк.3.2% Біо-баланс 0.5л
|
6,80
|
|
Біойогурт Біо Баланс Ананас, 3.2%, 500 г
|
6,80
|
|
Біойогурт Біо Баланс Полуниця, 3.2%, 500 г
|
6,80
|
|
Біойогурт Біо Баланс Чорна смородина, 3.2%, 500 г
|
6,80
|
|
Біопродукт йогуртний Біо Баланс, н/ж, п/б, 930 г
|
7,51
|
|
Біфідойогурт Актив.Ків.мюсл.Danone4х125г
|
10,70
|
|
Біфідойогурт Актив.Полуниц.Danone 4х125г
|
10,70
|
|
Біфідойогурт Активіа Полуниця-суниця, Danone, 1.5%,
290 г
|
6,11
|
|
Біфідойогурт Активіа Ананас, Danone, 1.5%, 290 г
|
6,11
|
|
Біфідойогурт Активіа Вишня-чорна смородина, Danone,
1.5%, 290 г
|
6,11
|
|
Біфідойогурт Активіа Злаки, Danone, 2.2%, 290 г
|
6,11
|
|
Біфідойогурт Активіа Класичний, Danone, 2.4%, 290 г
|
6,11
|
|
Біфідойогурт Активіа Малина-злаки, Danone, 1.5%, 290
г
|
6,11
|
|
Біфідойогурт Активіа Яблуко-злаки, Danone, 2.2%, 290
г
|
6,11
|
|
Біфідойогурт класич.Активіа Danone4х125г
|
10,70
|
|
Біфідопродукт кефір.Активіа Danone 465г
|
4,85
|
|
Йогурт Daniss.Перс/абр.слив.Danone 115г
|
2,79
|
|
Йогурт Danissimo пол./сун.Danone 115г х6
|
2,79
|
|
Йогурт Danone Actimel гранат 1*100г
|
3,91
|
|
Йогурт Danone Actimel клубника 1*100г
|
3,91
|
|
Йогурт Danone Actimel клюква-малина 1*100г
|
3,91
|
|
Йогурт Danone Actimel мультифрукт1*100г
|
3,91
|
|
Йогурт Danone Actimel натуральный 1*100г
|
3,91
|
|
Йогурт Danone Actimel черника-ежевика 1*100г
|
3,91
|
|
Йогурт Danone Активиа абрикос 125г
|
3,08
|
|
Йогурт Danone Активиа клубника 125г
|
3,08
|
|
Йогурт Danone Активиа мюсли 125г
|
3,08
|
|
Йогурт Danone Активиа мюсли-киви 125г
|
3,08
|
|
Йогурт Danone Активиа мюсли-персик 125г
|
3,08
|
|
Йогурт Danone Активиа отруби и злаки 125г
|
3,08
|
|
Йогурт Danone Растишка абрикос/персик питьевой 200г
|
6,30
|
|
Йогурт Danone Растишка абрикос/персик питьевой 4*90г
|
16,86
|
|
Йогурт Danone Растишка клубника питьевой 200г
|
6,30
|
|
Йогурт Danone Растишка клубника питьевой 4*90г
|
16,86
|
|
Йогурт Danone Растишка лесные ягоды питьевой 4*90г
|
16,86
|
|
Йогурт Raiford персик п/б 2,5% 500г
|
6,17
|
|
Йогурт Rainford Чернослив+грецкий орех 2.5% 500г
|
6,17
|
|
Йогурт Белая линия Клубника, 2.5%, 450 г
|
6,46
|
|
Йогурт Белая линия Персик, 2.5%, 450 г
|
6,46
|
|
Йогурт Белая Линия Черешня, 2.5%, 450 г
|
6,46
|
|
Йогурт біф.Активія Ніж.персик Danone350г
|
6,69
|
|
Йогурт біф.Активія Ніж.полун.Danone 350г
|
6,69
|
|
Йогурт Галактон Баланс диня 3.2% 500г
|
5,98
|
|
Йогурт Галактон Баланс зеленый чай-лимон 1,5% 330г
|
4,81
|
|
Йогурт Галактон Баланс с абрикосом морковкой 3.2%
500г
|
5,98
|
|
Йогурт Галактон Простоквашино клубника 2.5% 330г
|
5,29
|
|
Йогурт Галактон Простоквашино персик 2.5% 330г
|
5,29
|
|
Йогурт Галактон Простоквашино черника 2.5% 330г
|
5,29
|
|
Йогурт двошар.Полуниця 3.2% Presid.120г
|
2,70
|
|
Йогурт Дольче ківі 3.2% President 120г
|
2,70
|
|
Йогурт Дольче перс/марак.3.2%Presid.120г
|
2,70
|
|
Йогурт Живинка Персик-марак.Danone4х120г
|
7,29
|
|
Йогурт Злагода персик-маракуйя 1000г
|
7,62
|
|
Йогурт Летний день вишня 1,5% 500г
|
4,53
|
|
Йогурт Летний день персик 1,5% 500г
|
4,53
|
|
Йогурт Лісова ягода 1.5% Імун Плюс 100г
|
3,86
|
|
Йогурт мол.Вишня Живинка 120г
|
1,74
|
|
Йогурт мол.Черника Живинка 120г
|
1,93
|
|
Йогурт мол.Яблоко Живинка 120г
|
1,93
|
|
Йогурт Натуральний 1.5% Імун Плюс 100г
|
3,86
|
|
Йогурт Новая сила Клубника-мюсли, Rainford, 2.5%,
500 г
|
6,17
|
|
Йогурт Персик Активіа ніжна Danone 115г
|
2,50
|
|
Йогурт Персик Діно-сюрприз Danone 115г
|
9,23
|
|
Йогурт питний Живинка Полуниця, 1.2%, 290 г
|
5,43
|
|
Йогурт питний Живинка Яблуко, 1.2%, 290 г
|
5,43
|
|
Йогурт питьевой Галичина Абрикос, 2,5%, 500 г
|
5,87
|
|
Йогурт питьевой Галичина Злаки, 2.5%, 500 г
|
5,87
|
|
Йогурт питьевой Галичина Клубника, 2.5%, 420 г
|
5,87
|
|
Йогурт питьевой Галичина Лесная ягода, 2.5%, 420 г
|
5,87
|
|
Йогурт питьевой Галичина низкой жирности без сахара,
1%, 500 г
|
5,14
|
|
Йогурт питьевой Живия Клубника-шиповник-женьшень,
2.5%, 350 г
|
5,37
|
|
Йогурт питьевой Живия Курага-миндаль, 2.5%, 350 г
|
5,37
|
|
Йогурт питьевой Живия Чернослив-грецкий орех, 2.5%,
350 г
|
5,37
|
|
Йогурт Полун.2.5% бут.Простоквашино 930г
|
10,86
|
|
Йогурт Полуниця 1.5% Імун Плюс 100г
|
3,19
|
|
Йогурт Полуниця Активіа ніжна Danone115г
|
2,50
|
|
Йогурт Полуниця Діно-сюрприз Danone 115г
|
9,23
|
|
Йогурт Простоквашино Персик, 2.5%, бут., 930 г
|
10,86
|
|
Йогурт Растишка Банан.печивоDanone2х117г
|
11,86
|
|
Йогурт Растишка Полун.печивоDanone2х117г
|
11,86
|
|
Йогурт Растишка Полуниця Danone 115г
|
2,41
|
|
Йогурт с клюквой 2.5%Простоквашино 220мл
|
5,29
|
|
Йогурт снід.пласт.полуниця Активіа 200г
|
5,81
|
|
Йогурт снід.пластівц.натур Активіа 200г
|
5,81
|
|
Йогурт Фреш Полуниця 1.4% Фанні 300г
|
3,56
|
|
Йогурт Чудо 2,5% Вишня-черешня 430г
|
5,98
|
|
Йогурт Чудо 2,5% Клубника-земляника 430г
|
5,98
|
|
Йогурт Элитный 2.5%ЧерносливГаличина450г
|
5,33
|
|
Йогурт-бiо Лiс.ягод.2.5%Віт.Абетка 200мл
|
4,99
|
|
Йогурт-бiо Персик 2.5% Вітам.Абетка200мл
|
4,99
|
|
Йогурт-десерт Персик 6мес.Humana 4х100г
|
27,90
|
|
Йогурт-десерт Ябл-абрик.6месHumana4х100г
|
27,90
|
|
Йогурт-десерт Ябл-черн.6мес.Humana4х100г
|
27,90
|
Таблиця Б.4
Порівняльний
аналіз конкурентних цін на сметану
|
Вид молочної продукції, об’єм упаковки
|
Ціна упаковкигрн..
|
|
Сметана Кремез 20% 450г п/э
|
6,97
|
|
Сметана Кремез 25% 450г п/э
|
9,98
|
|
Сметана 15% Галактон Баланс 350г
|
5,77
|
|
Сметана 15% ПЕТ Вита 450г х32
|
4,77
|
|
Сметана 15% пл.Rainford Щодня 400г
|
5,49
|
|
Сметана 15% ПЭТ Славяночка 0.45л
|
5,56
|
|
Сметана 15% стакан President 200г
|
3,47
|
|
Сметана 15% стакан President 400г
|
6,83
|
|
Сметана 15% стакан Біла лінія 200г х12
|
3,47
|
|
Сметана 20% Галактон Баланс 350г
|
6,64
|
|
Сметана 20% Галичина п/е 450г
|
6,11
|
|
Сметана 20% ПЕТ Вита 450г х32
|
5,49
|
|
Сметана 20% ПЕТ Літній День 450г
|
7,15
|
|
Сметана 20% пл.Rainford Щодня 400г
|
6,15
|
|
Сметана 20% плівка Яготин 500г
|
6,54
|
|
Сметана 20% ПЭТ Славяночка 0.45л
|
6,96
|
|
Сметана 20% стакан President 200
|
4,12
|
|
Сметана 20% стакан President 400г
|
7,99
|
|
Сметана 20% стакан Біла лінія 200г х12
|
3,99
|
|
Сметана 20% стакан Простоквашино 250г
|
5,27
|
|
Сметана 30% стакан President 200г
|
5,88
|
|
Сметана 30% стакан President 400г
|
11,49
|
|
Сметана Веселый молочник 20% 450г
|
7,69
|
|
Сметана Галактон 25% 350г
|
9,45
|
|
Сметана Простоквашино 15% 250г
|
4,64
|
|
Сметана Простоквашино 15% 380г
|
6,21
|
|
Сметана Простоквашино 20% 380г
|
7,19
|
|
Сметана Простоквашино 25% 250г
|
7,36
|
|
Сметана Простоквашино 25% 380г
|
10,30
|
|
Сметана Яготинська 20%Яготин 250г
|
4,45
|
Таблиця Б.5
Порівняльний
аналіз конкурентних цін на особливі види молочної продукції
|
Вид молочної продукції, об’єм упаковки
|
Ціна упаковки в грн..
|
|
Закваска 2,5% Яготин 500г
|
4,72
|
|
Закваска п/пляшка Яготин 450г
|
5,15
|
|
Закваска п/пляшка Яготин 920г
|
8,71
|
6,32
|
|
Закваска Яготинська Полуниця, 450 г
|
6,32
|
|
Закваска Яготиньска Персик-маракуйя, 450 г
|
6,32
|
|
Запіканка Традиція Ваніль9%President350г
|
12,28
|
|
Запіканка Традиція Вишня 9%President350г
|
13,54
|
|
Запіканка Традиція Родз,9% President350г
|
13,54
|
|
Напиток к/м Имунеле 0,9% вишня Neo 100г
|
3,24
|
|
Напиток к/м Имунеле Земляника0,9%Neo100г
|
2,93
|
|
Напиток к/мИмунелеМультифрукт0,9%Neo100г
|
3,24
|
|
Напиток кисломолочный Маслянка Ванильная, 2,5%,
Галичина, 420 г
|
4,79
|
|
Напиток кисломолочный Маслянка Классическая, 2,5%,
Галичина, 420 г
|
4,79
|
|
Напиток кисломолочный Маслянка Черника, 2,5 %,
Галичина, 420 г
|
4,91
|
|
Напиток молочный Тотоша со вкусом какао 1,5% 150г
|
2,32
|
|
Напій кисломол,Тан 1,9% Біо-баланс 930г
|
7,70
|
|
Наринэ детский персик 2,5% 205г
|
4,32
|
|
Наринэ Омик банан 2,5% 125г
|
2,81
|
|
Наринэ Омик манго 2,5% 125г
|
2,81
|
|
Наринэ Омик с персиком 2,5% 500г
|
5,43
|
|
Паста кисломол, сирк,клас,Активіа130гх16
|
5,66
|
|
Паста кисломол,сирк, курага Активіа130г
|
5,66
|
|
Паста кисломол,сирк,вис,злакиАктивіа130г
|
5,66
|
|
Паста кисломол,сирк,полуниця Активіа130г
|
5,66
|
|
Паста кисломол,сиркова мюслі Активіа130г
|
5,66
|
|
Паста сырковая груша Тема 50г
|
2,68
|
|
Паста сырковая черника Тема 50г
|
2,68
|