|
Внутрифирменная
деятельность
|
Внешние
функции
|
|
Разработка стратегии (концепции)
развития фирмы и конкретизация отдельных направлений
Разработка и осуществление проектов
создания новой продукции (услуги)
Оценка внутреннего
научно-технического, производственного и коммерческого потенциала фирмы и
выявление резервов
Подготовка и осуществление мероприятий
по внедрению новых технологий и приобретению оборудования
Подбор новых и переобучение собственных
рабочих и специалистов
Контроль за финансовыми результатами
деятельности фирмы
Мероприятия по снижению степени
риска в деятельности фирмы
Формирование благоприятного имиджа
фирмы
План мер предупреждения банкротства
и выхода из кризисных ситуаций
|
Привлечения для реализации проектов
инвестиций
Обоснование для включения проектов
в государственные (региональные) программы и получение средств из
централизованных источников
Получение банковских кредитов
Обеспечение успешной реализации
акций фирмы на фондовом рынке
Организационно-финансовое
обоснование необходимости создания совместных производств, предприятий с
использованием иностранного капитала и других форм совместной деятельности
Разработка и осуществление
мероприятий по созданию финансово-промышленных групп
|
Бизнес-план, являясь постоянным документом, систематически обновляется, в
него вносятся изменения, связанные как с переменами, происходящими внутри
фирмы, так и с изменениями на рынке, где действует фирма, и в экономике в
целом.
Бизнес-план является документом, призванным высветить курс, которого намерено
придерживаться предприятие в определенный промежуток времени. Многие предприятия
составляют бизнес-планы на один год. Главное внимание в них уделяется
предстоящим 12 месяцам и менее конкретно рассматривается направление
деятельности в последующие один-четыре года. [18.С.209]
Подготовка и эффективное использование бизнес-плана имеет первостепенное
значение на предприятии. Бизнес-план текущей деятельности состоит из трех основных
частей:
1. Описание
бизнеса (разделы маркетинга и производства).
2. Финансовая
информация (финансовый план, расчеты рентабельности, прогноз объемов реализации
и др.).
3. Сопроводительные
документы (учредительные документы, организационный план, копии контрактов,
лицензии и т.п.).
На рис. 1 представлена схема бизнес-плана предприятия,
а в приложении 1 — примерная структура и перечень задач анализа и оценки бизнеса.
рис. 1. Общая структура, блок-схема бизнес-плана предприятия
В современной экономической литературе по менеджменту представлены
различные методики составления бизнес-планов. Важно то, что, все эти методики
могут быть использованы при написании проекта, но буквальное следование им
нецелесообразно. [14.С.127]
Поскольку разработчик бизнес-плана, которым может быть руководитель,
менеджер, предприниматель, консалтинговая организация, должен самостоятельно
выбирать тот материал, который ему необходим. Ведь бизнес-план — это очень
точный план и самое тонкое в нем — это прогнозы, которые рассчитать очень
трудно, и от которых зависит эффективность бизнес-плана. Поэтому разработчик
бизнес-плана должен учитывать специфику деятельности предприятия, сезонность производства,
региональное положение и другие индивидуальные особенности предприятия. Он
должен осознавать, что работа по бизнес-планированию, по привлечению финансовых
инвестиций — это не просто проекты, они требуют позиции, знания предмета.
Оформление бизнес-плана начинается с подготовки титульного листа, который
не должен содержать излишних подробностей, должен быть лаконичным и
привлекательным.
Формально резюме — первая глава бизнес-плана, а реально — это краткое
итоговое изложение всех последующих глав. Оно пишется в последнюю очередь,
после того как бизнес-план в целом составлен. Резюме должно включать в себя
основные положения и идеи бизнес-плана, выводы, к которым пришел предприниматель.
[17.С.139]
Структура резюме должна состоять из трех частей:
-
введение:
включает цели плана, кратко выраженную суть проекта;
-
основное
содержание: сжатое описание всех ключевых элементов бизнес-плана и его основных
частей (род деятельности, прогноз спроса, стоимость проекта, источники
финансирования и т.д.);
-
заключение:
суммирует факторы будущего успеха предпринимателя, может включать описание
основных способов действий предпринимателя.
В разделе «товар (услуга)» обычно описываются товары и услуги фирмы, которые
предлагаются на рынке покупателям.
В описание товара должно входить как перечисление химических, физических,
механических свойств, так и его дизайн, упаковка. Нужно выявить как основные
методы его применения, так и дополнительные, и перспективные. Необходимо
пояснить, почему покупатели выберут именно данный товар, а не продукт (услугу)
конкурентов, т.е. какие конкретные преимущества применения имеет именно
предлагаемый товар. Также в этом разделе плана можно предложить приблизительное
определение уровня цены, возможности послепродажного технического обслуживания.
Если свойства товара определяют некоторые колебания величины его продаж —
цикличность, сезонность, нужно это специально оговорить.
Бизнес-план, как метод осуществления финансово-экономической деятельности
предприятия
Планирование, бесспорно, необходимый элемент
эффективной деятельности фирмы на рынке. Существует несколько подходов к
разработке бизнес-плана. Между ними очень много общего, однако отдельные
различия все-таки существуют. Возможен, в частности, вариант, характеризуемый
схемой (рис. 2):
КОРРЕКТИВЫ






|
|
|
Имеющиеся
производственно-финансовые ресурсы
|
|
|
Необходимые
производственно-финансовые ресурсы:
- трудовые ресурсы
- финансы
- сырье и материалы
|
|
Рис. 2 Схема разработки бизнес-плана
На первое место в данном случае ставится определение личных целей бизнесмена.
После оценки ситуации как вне, так и внутри компании определяется главная цель.
Затем можно перейти к разработке стратегии, которая представляет собой процесс
конкретизации главной цели, разбивку ее на задачи и подзадачи. На каждом этапе
реализации выбранной стратегии целесообразно вносить в план определенные
коррективы, которые диктует реальный ход событий. Таким образом, вырабатывается
оперативный план. На основе долгосрочных тенденций и оперативного плана
разрабатывается долгосрочный план.
Замысел плана всегда нуждается в тщательном обосновании и проверке на
осуществимость. С этой целью его разворачивают в систему частных стратегий:
товарно-рыночную, НИОКР (научно-исследовательские и опытно-конструкторские
работы), систему развития потенциала и финансовую систему, которая реализуется
на втором этапе планирования. Стратегия НИОКР является ведущей. Она выявляет и
формирует комплекс разработок, наиболее актуальных для потребителя и
соответствующих научно-техническому потенциалу предприятия.
По итогам разработки различных вариантов стратегии уточняются как
ожидаемые размеры прибыли, так и потребности в капитальных вложениях. Эта
информация поступает на вход финансовой стратегии, предназначенной для
окончательного балансирования финансовых потребностей и определения размеров и
форм привлечения заемных средств.
На третьем этапе формирования стратегического плана результатные данные
по каналам обратной связи поступают на вход замысла плана с целью его
корректировки. Окончательный вариант плана вместе с результатами анализа
внешней среды, а также возможностей фирм оформляются в виде глобальной
стратегии развития. [12.С.357]
В целом можно сделать вывод, что перечисленные методики планирования
весьма сходны и в основном дополняют друг друга, рассматривают бизнес-планирование
с разных сторон и выделяет различные этапы планирования в качестве основных.
Особую роль в формировании бизнес-плана играют планы маркетинга. Раздел,
посвященный маркетингу, является одной из важнейших частей бизнес-плана,
поскольку в нем непосредственно говорится о характере намечаемого бизнеса и
способах реализации проекта, благодаря которым можно рассчитывать на успех
предприятия. Иными словами, цель этого раздела – разъяснить как предполагаемый
бизнес намеревается воздействовать на рынок и реагировать на складывающуюся на
нем обстановку, чтобы обеспечить сбыт товара или услуг. Предприниматель должен
представить здесь свой бизнес как привлекательную возможность для инвестиций,
как кредитный риск с заманчивыми перспективами. Маркетинг-план может быть
сформирован по-разному в зависимости от вида бизнеса и сложности рынка.
Планы
маркетинга обязательно включают в себя описание общей стратегии маркетинга,
политики ценообразования, тактики рекламы продукции, ее реализации и
послепродажного обслуживания, а также прогнозы объемов продаж. [3.С.244]
При изложении тактики реализации продукции, целесообразно указать методы
реализации (собственная торговая сеть, торговые представители, посредники),
которые фирма могла бы использовать в ближайшее время и в долгосрочной
перспективе, а также, любые специальные требования для реализации продукции. В
бизнес-плане должно быть указано, как будет проводиться реализация, включая
методы, транспортировку, страхование, кредитование, таможенные сборы и др.
В разделе «Реклама» составитель бизнес-плана должен указать, каким
образом компания собирается привлекать внимание покупателей к выпускаемой
продукции.
Немалое место в бизнес-плане отводится производственному планированию.
Нужно, прежде всего, уделить должное внимание анализу продукции или услуг,
характерных для данного бизнеса, поскольку вне зависимости от стратегических
соображений бизнес не будет успешным, если не обеспечить привлекательность для
рынка его товаров и услуг. Одна из задач этой части плана ¾ характеристика в сжатой форме
основных параметров товаров и услуг, предлагаемых данной фирмой. Важно, чтобы
их привлекательные черты были освещены в простой и ясной форме (использование и
привлекательность товаров и услуг, их разработка и развитие). Иногда бывает
полезно представить список экспертов или потребителей, которые знакомы с
упомянутым товаром или услугами и могут дать о них благоприятный отзыв. Такие
сведения могут быть представлены в форме письма или отчета и включены в виде
приложения. [14.С.289]
Основной
целью производственного плана является предоставление информации по
обеспеченности с производственной стороны выпуска продукции и разработка мер по
поддержанию и развитию производства. В этот раздел необходимо включить такие
сведения, как местоположение предприятия, виды требуемых производственных
мощностей, необходимые производственные помещения, потребность в основных
производственных фондах и рабочей силе.
В финансовом плане рассматриваются вопросы финансового обеспечения
деятельности фирмы и наиболее эффективного использования имеющихся денежных
средств на основе анализа текущей финансовой информации и прогноза объемов
реализации продукции на рынках в последующие периоды. Цель финансового плана –
сформулировать и представить всеобъемлющую систему формулировок и проектировок,
отражающих финансовые результаты деятельности компании. Этот раздел является
наиболее важным для инвестора, т.к. именно из него он узнает, на какую прибыль
он может рассчитывать.
В финансовый план обязательно включается оперативный план, отчет о
доходах, отчет о денежных потоках и балансовый отчет.
1.2 Техника составления бизнес-плана
Титульный лист
Успешная
подготовка бизнес-плана начинается с правильного оформления титульного листа,
который в обязательном порядке должен содержать излагаемые ниже компоненты.
1. Полное официальное название фирмы, под которым она значится в
регистрационных документах. Если у фирмы есть фирменный знак, то следует также
поместить его на титульном листе после названия фирмы.
2. Организационно-правовая форма предприятия.
3. Юридический адрес фирмы, т.е. адрес, указанный в регистрационных
документах предприятия.
4. Почтовый адрес фирмы, который может отличаться от юридического.
5. Телекоммуникационные реквизиты: номера телефонов, факсов, электронной
почты.
6. Фамилии и должности сотрудников фирмы, которые будут выступать как
контактные лица. При этом желательно указать несколько контактных телефонов,
включая домашние.
7. Дата: месяц и год составления и рассылки плана.
8. Порядковый номер экземпляра.
9. Гриф конфиденциального характера документа.
Оглавление бизнес-плана
Каждый бизнес-план должен иметь подробное оглавление с указанием страниц,
что облегчает читателям работу с планом. Считается, что инвесторы, получающие в
день по несколько десятков, если не сотен бизнес-планов, тратят в среднем на
каждый из них не более пяти минут. И только в случае, если при беглом просмотре
что-то в плане привлекло внимание, этот план удостаивается более внимательного
изучения.
Оглавление помогает привлечь внимание к наиболее интересным разделам
плана и быстро их отыскать. Инвесторы, как правило, не вкладывают капитал в
любую внешне выгодную сделку, а специализируются на определенном направлении.
Одни придерживаются отраслевого подхода, других интересует местонахождение
предприятия, третьих — его размеры. Не стоит полагать, что все кредиторы и
инвесторы ищут в бизнес-плане одно и то же. Наоборот, каждый из них ищет что-то
свое, и хорошо составленное оглавление призвано помочь каждому отыскать это
«свое». [14.С.130]
Глоссарий
Трудно представить себе
кредитора или инвестора, который бы разбирался одинаково хорошо во всех
отраслях современного производства, учитывая его все возрастающую сложность и
диверсификацию. Владельцы же предприятия или новой технологии, пытаясь убедить
инвесторов в ее выгодности, часто невольно переходят в тексте бизнес-плана на
техническую и квазитехническую терминологию. Малопонятные термины затрудняют
понимание текста и быстро утомляют читателя. Для того чтобы этого избежать,
целесообразно в приложении к бизнес-плану дать глоссарий специальных терминов и
не забывать в тексте почаще делать ссылки на него. При этом следует помнить,
что малоизвестные термины или выражения могут встречаться не только в технике
или науке, но и в области экономики.
Сопроводительные документы
В ходе составления бизнес-плана его авторы часто ссылаются на различные
документы типа регистрационного свидетельства, устава акционерного общества или
патентную документацию. Включение этих документов в текст бизнес-плана может
неоправданно расширить его и затруднить процесс чтения и восприятия. Однако для
кого-то из работающих с бизнес-планом наличием подлинность этих документов
имеет основное значение при принятии решения о финансировании. Компромиссным вариантом
для таких случаев будет выделение специального приложения в конце бизнес-плана,
которое обычно обозначается подзаголовком «Сопроводительные документы».
К числу сопроводительных документов обычно относят всю документацию,
использованную при составлении бизнес-плана, включая финансовые расчеты. Ниже
перечисляются наиболее распространенные из документов, относимых в раздел
сопроводительных документов:
— описание постов, должностные инструкции, кадровые справки;
— товарные спецификации, буклеты, чертежи, фотографии;
— патентная документация;
— прейскуранты, инвентарные ведомости;
— образцы рекламных материалов;
— копии договоров и контрактов;
— финансовые документы: расчет и анализ валовой прибыли. бюджета, баланса
движения денежных средств за год и за пять лет, анализ финансовых коэффициентов
и расчет точки безубыточности.
Исполнительское резюме
Роль исполнительского резюме (краткого изложения бизнес-плана на 2—3
страницах) сродни роли оглавления: оно должно привлечь внимание читающего.
Учитывая, что это первый раздел, который читает кредитор/инвестор,
исполнительское резюме, возможно, является самым главным элементом
бизнес-плана. В исполнительском резюме составители документа должны коротко и
сжато рассказать о предприятии, его продукции (товаре или услуге), ресурсах,
поставщиках и клиентах, а главное, о его рыночных возможностях и перспективах,
нарисовав полную финансовую картину с расчетом предполагаемой прибыли и ее
использования. При этом весь материал надо донести до читателя так, чтобы у
последнего обязательно возник интерес к предлагаемой сделке.
Исполнительское резюме обычно состоит из ключевых фраз других разделов
бизнес-плана, но чтобы избежать механически-компиляционной формы изложения,
первый вариант резюме рекомендуется написать в самом начале, до работы над
текстом бизнес-плана, когда мысли, чувства и идеи еще свежи, а второй — после
его написания, выбрав из проработанного текста ключевые, «забойные» моменты.
Затем два варианта сравниваются, из них выбираются наиболее удачные места и
составляется один окончательный вариант, который содержит первоначальные идеи,
тщательно отработанные в ходе написания бизнес-плана. [24.С.278]
1.3 Содержание бизнес-плана
Содержание бизнес-плана
включает следующие разделы:
Описание фирмы
Для кредиторов важно получить как можно больше сведений о предприятии
(фирме), поэтому они проявляют большой интерес к его (ее) истории. Их, как
правило, интересует все: начали ли предприниматели новую деятельность или же
купили готовое предприятие (фирму), расширяют ли они производственную
деятельность или отпочковались от более крупной материнской фирмы. Должен быть
указан статус фирмы (акционерное общество, общество с ограниченной
ответственностью и т. п.), дата и место основания (регистрации) фирмы, ее
владельцы и управленческий персонал со всеми изменениями перечисленных позиций
за последние пять лет. Приветствуется даже изложение достижений и анализ ошибок
(разумеется, исправимых) фирмы за весь или обозримый период ее деятельности. [31.С.28]
Описание бизнеса
В начале основного
раздела бизнес-плана дается краткое описание бизнеса: направления деятельности
(производство, торговля, услуги); состояние отрасли в целом, и как данная фирма
вписывается в отрасль, и какое место в ней занимает; кто является потребителем
результатов деятельности фирмы; является ли бизнес сезонным, ориентирован ли он
на производство небольшого количества высококачественных товаров (услуг) или на
массовое производство дешевых. Здесь же обычно кратко излагаются цели
бизнес-плана: какие средства хочет получить предприниматель, на какие цели и в
какие сроки, какая ожидается прибыль от вложений. Составитель плана должен
объяснить, почему он уверен в успехе фирмы и ее прибыльности. Этот раздел дает
еще один шанс обратить внимание инвесторов на наиболее привлекательные черты
данного конкретного предприятия (фирмы).
Описание товара или услуги
В этом маленьком, но важном разделе предприниматель должен рассказать о
продукции своего предприятия (фирмы): описать ее физические свойства,
объяснить, какие потребности удовлетворяют его товары или услуги, что отличает
данный товар или услугу от других, имеющихся на рынке, каковы его (ее)
преимущества и недостатки и что выигрывает потребитель, приобретая именно этот
товар или услугу. Важно указать в данном разделе, какой интеллектуальной
собственностью располагает предприниматель: патенты, лицензии, секреты
производства.
Инвестор почувствует интерес к предприятию (фирме), если увидит, что
производимый им (ею) товар или услуга имеют уникальные свойства, например
существенные преимущества в цене или потребительских качествах. Такие
преимущества обозначаются в мировой коммерческой практике специальным термином
«уникальность товара». Если таких преимуществ нет, то это большой минус для
предприятия (фирмы) и составителям бизнес-плана следует позаботиться об их
разработке.
Производственный (организационный) план
Основной целью составления производственного плана является
доказательство потенциальным партнерам способности предприятия (фирмы)
качественно и в срок производить товар (услугу), т.е. эффективности предприятия
(фирмы). Было бы ошибкой полагать, что инвесторы на слово поверят обещаниям,
даже документированным, возврата денег с прибылью. На самом деле любой
серьезный инвестор лично изучает и оценивает организацию производства на
предприятии (фирме), управленческие методы и управленческий персонал. [25.С.213]
Но степень интереса стороннего вкладчика несоизмерима с интересом
собственника предприятия (фирмы). Поэтому роль производственного плана в
бизнес-плане зависит от ориентации последнего либо на внешних инвесторов, либо
на внутренние потребности. В зависимости от этого производственный план может
быть схематичным или развернутым.
Степень детализации производственного плана связана также с характером
производства: чем выше технологическая сложность производственных процессов,
тем подробнее производственный план.
Обычно производственный план включает разделы с описанием технологии
производства, ресурсов предприятия (фирмы) и менеджмента.
Технология производства
В этом разделе составители бизнес-плана рассказывают о процессе
разработки продукта (товара, услуги или технологии), особенно нового, и его
результатах в виде полученных патентов, лицензий, товарных знаков. Здесь же
можно рассказать о подразделении предприятия, занимающемся разработкой новых
товаров и технологий, и даже об отдельных изобретателях — авторах интересных
разработок.
Можно также описать производственный процесс: последовательность
операций, особенности производства (экологичность, безопасность, экстремальные
условия), структуру издержек производства, перспективу их снижения и
организацию сервиса.
Внешние факторы, оказывающие влияние на производственную деятельность. К
их числу относятся: доступ к экономическим ресурсам, поставщики, клиенты,
изменения в технологии, а также изменения в федеральном и местном
законодательстве.
[29.С.254]
Риски
В этом разделе предприниматель показывает инвестору, насколько его бизнес
рискован и какие меры приняты по защите от рисков. Для этого дается полный
ранжированный перечень рисков, присущих данной отрасли бизнеса, определяется
вероятность каждого из них, дается оценка убытков в случае их наступления,
устанавливается допустимый уровень убытков, ниже которого риски не принимаются
во внимание, и определяются организационные меры по профилактике и
нейтрализации рисков. Перечисляются также все виды страховок с указанием
названий страховых компаний, номеров страховых полисов, сроков и условий
страховки.
Ресурсы
Как правило, в бизнес-планах рассматриваются материальные и людские
ресурсы предприятия.
К материальным ресурсам (фондам) относятся производственные помещения,
транспортные средства, машины и оборудование, сырье и материалы, запасы готовой
продукции. В контексте бизнес-плана рассматриваются местоположение предприятия,
наличие транспортной и коммуникационной инфраструктур, производственные
площади, количество и технический уровень оборудования.
Наибольший интерес для кредиторов и инвесторов представляет анализ
людских ресурсов, и прежде всего, управленческого аппарата. Этот раздел раскрывает
заинтересованным лицам, кто персонально стоит за данным бизнесом. Многие
инвесторы начинают свое знакомство с бизнес-планом именно с этого раздела,
полагая, что, как бы заманчивы ни были идеи, изложенные в документе, успех
предприятия будет зависеть от того, кто их воплощает в жизнь.
Менеджеры/владельцы
В этом разделе не только поименно перечисляется весь управленческий
персонал, но и объясняется, почему эти люди собрались вместе, какова мотивация
их совместной деятельности. Отдельно рассматриваются такие группы, как:
активные инвесторы, предоставившие предприятию капитал, консультации или
экспертизу; сотрудники на ключевых постах (директора по производству,
маркетингу, кадрам, финансам и проч.); юрисконсульт; члены Совета директоров, в
число которых помимо собственных директоров обычно включают известных в кругах
бизнеса деятелей; консультантов из других фирм, в том числе юридических,
банков, бирж, университетов и т. п.
Организационная схема управления предприятием показывает, как
взаимодействуют службы, кто и чем занимается, как осуществляются координация и
контроль за различными видами деятельности. Банкиры и инвесторы обращают на это
особое внимание, поскольку из-за организационной неразберихи нередко терпят
крах даже самые многообещающие проекты.
У малых предприятий, только начинающих свою коммерческую деятельность,
организационная структура, естественно, несложная, но и в ней должны быть
заложены основы для ее дальнейшего роста и усложнения. В любом случае должна
быть обеспечена тесная увязка между разработкой организационной схемы и
остальными частями бизнес-плана: в схеме должны найти отражение стратегия и
методы, изложенные в других разделах. [19.С.133]
Кадровая политика и стратегия должны дать представление о философии,
которой руководствуется фирма при решении кадровых вопросов, что в значительной
степени определяет лицо фирмы, так как оказывает влияние на ее долговременную
эффективность. Здесь рассматриваются условия подбора и найма персонала, размеры
и структура вознаграждения и другие формы стимулирования персонала, включая
участие в прибылях.
Маркетинговый план
В этом разделе фирме необходимо разъяснить потенциальным партнерам, как
она намерена воздействовать на рынок и потребителя, чтобы обеспечить сбыт своей
продукции. В зависимости от товара, региона, размера бизнеса и прочих факторов
маркетинг-план может выглядеть по-разному, но, как правило, в нем содержатся
следующие разделы: маркетинговая стратегия; анализ рынка; ценообразование,
система продвижения товара.
Маркетинговая стратегия. Этот раздел должен строиться исходя из самого
понятия маркетинговой стратегии, означающего планирование и организацию сил и
средств предприятия (фирмы) и использование их в наиболее выгодных и
перспективных направлениях. В этом разделе предприниматель детализирует цели
маркетинга по продаже конкретных товаров (услуг), определяет рынки, на которые
его предприятие (фирма) будет ориентироваться, основные сегменты рынков по
каждому отдельному виду товаров/услуг, тактику конкурентной борьбы, бюджет
маркетинга и т.д. После этого определяется конкретная маркетинговая стратегия
для достижения сформулированных целей. [18.С.39]
Анализ рынка. Этот раздел должен начинаться с анализа состояния отрасли,
к которой относится данное предприятие (фирма). Хороший анализ отрасли выявляет
основных конкурентов и показывает остроту конкуренции, сильные и слабые стороны
конкурентов, а также их предполагаемое воздействие на данное предприятие
(фирму). Результаты сравнительного анализа конкурентов часто бывают
представлены в виде таблиц или диаграмм. Иногда специфика рынка позволяет на
основе анализа не только выявить настоящих конкурентов, но и дать прогноз
развития конкуренции в будущем.
Помимо конкурентов на развитие рынка оказывают влияние и другие внешние
факторы, такие как государственное регулирование, политика поставщиков,
политическое положение в стране и общественное мнение. Если какой-то из этих
факторов играет для данного производства особо важную роль, то его следует
рассмотреть подробнейшим образом.
Здесь также может быть рассчитан предполагаемый объем продаж предприятия
(фирмы), при этом отдельно по периодам с учетом сезонности продаж; товарам и
услугам; группам потребителей.
По каждому из указанных критериев целесообразно рассчитать долю рынка и
сделать не один, а несколько вариантов расчетов и прогнозов: консервативный,
наиболее вероятный и оптимистический.
Ценообразование. При анализе ценообразования в бизнес-плане
рассматривается общий подход фирмы к ценовой политике, ее ценовая стратегия.
Наиболее распространенные варианты обычно включают принцип ценообразования в
зависимости от качества продукции — тем выше качество, тем выше цена; издержек
производства — тем они ниже, тем соответственно ниже цена; цен конкурентов. [36.С.258]
Любая фирма, претендующая на привлечение внешнего финансирования, должна
провести предварительное исследование относительно возможной реакции
потребителей на повышение или понижение цены (рассчитать эластичность спроса по
цене), а также рассмотреть комплекс мер, которые следует принять в случае изменения
цен конкурентов.
При определении ценовой стратегии обычно исходят из целей фирмы, поэтому
для разных фирм или различных стадий жизненного цикла товара ценовая политика
может и должна быть различной. При выходе на новые рынки для привлечения
покупателей устанавливаются заниженные цены.
Новый товар хорошо известной фирмы, наоборот, может претендовать на более
высокие гены в течение периода, когда он находится вне конкуренции. Цена может
быть подчинена достижению совершенно конкретной задачи, выраженной в конкретной
цифре нормы прибыли или сроков окупаемости затрат и т.д. [14.С.259]
Система продвижения товаров/услуг. Сюда относятся разработка оптимальных
схем логистики (вопросы транспортировки и складирования), создание кантов сбыта
(магазинов, фирм-посредников, дилерской сети) и методов стимулирования продаж,
организация послепродажного обслуживания, рекламная кампания и формирование
общественного мнения.
При описании методов стимулирования продаж предприниматель сообщает
будущим инвесторам, что представляет собой его фирменный стиль, использует ли
он товарный знак, организует ли ярмарки и выставки, осуществляет ли продажу в
рассрочку и проч.
В области послепродажного обслуживания в бизнес-плане должна быть
изложена схема гарантийного, обслуживания, приведены расчеты средней стоимости
ремонта и запасных частей, а также средние сроки ремонта.
Относительно рекламной кампании фирмы надо сообщить в плане, сколько
средств выделяется на рекламу, какие виды рекламы используются фирмой и есть ли
связь между затратами на рекламу и прибылью фирмы.
Финансовый план
Это самый сложный раздел бизнес-плана. В финансовом плане все изложенное
в предыдущих разделах словами находит цифровое выражение, позволяющее оценить
выгодность предприятия (фирмы) в конкретных категориях эффективности.
Финансовый план, как никакой другой раздел бизнес-плана, важен не только
для потенциальных инвесторов, но и для внутреннего использования, поэтому
следует относиться с особой тщательностью к его составлению и постоянно его
обновлять. Финансовые аспекты требуют особых знаний, прежде всего знаний
бухгалтерского учета и анализа, поэтому для его подготовки, если предприятие
(фирма) настолько мало, что у него (нее) нет своего бухгалтера (финансовой
службы) или он (она) недостаточно квалифицирован, часто приглашаются
специалисты из фирм по бухгалтерскому учету и финансовому менеджменту. В
зарубежной практике сложились достаточно строго формализованные требования к
подготовке финансового плана, которые включают определенный набор финансовых
плановых и отчетных документов и расчет безубыточной деятельности предприятия
(фирмы). К сожалению, российская система бухгалтерского учета и анализа
отличается от систем, принятых в большинстве зарубежных стран (хотя и между
системами различных стран существуют некоторые отличия), однако начавшийся в
России переход на международную систему учета должен упростить взаимопонимание
во многих вопросах бизнеса, включая подготовку бизнес-планов. Многие российские
банки уже полностью перешли на новую систему, другие находятся на подходе к
ней. В настоящем исследовании будут приведены требования к составлению
финансового раздела бизнес-плана исходя из международных стандартов.
К числу плановых и отчетных форм, упомянутых выше, относятся:
— оперативные планы (отчеты) за каждый период и по каждому товару и
рынку;
— планы (отчеты) о доходах и расходах по производству товаров/услуг,
которые показывают, получает ли предприятие (фирма) прибыль или терпит убытки
от продажи каждого из товаров;
— план (отчет) о движении денежных средств показывает поступление и
расходование денег в процессе производственной деятельности предприятия
(фирмы);
— балансовый отчет, подводящий итог деятельности.
Важным элементом финансового плана является анализ безубыточности
коммерческой деятельности предприятия (фирмы), который может быть произведен
двумя способами: с использованием формулы или посредством построения графика.
Подробный анализ коэффициентов, рассчитываемых на основе финансовых
документов, которые приводятся в финансовом разделе бизнес-плана, и методика их
расчета изложены в специальной литературе по подготовке бизнес-планов. [39.С.255]
На основании вышеизложенного можно сделать следующие выводы:
Бизнес-план почти всегда готовится для использования внешних источников
финансирования инвестиций: заемных финансовых средств от кредитора,
привлеченных средств инвестора, бюджетных инвестиционных ассигнований. Хотя
существует и другая функция бизнес-плана — планирование всей хозяйственной
деятельности предприятия, однако это прежде всего документ, на основании
которого инвестор или кредитор составляют свое мнение о фирме и принимают
решение о предоставлении ей средств.
При оценке бизнес-плана кредитор будет анализировать деятельность
предприятия прежде всего с точки зрения его надежности и устойчивости, а
инвестор — с точки зрения его доходности. Бизнес-план должен убедить кредиторов
в возвратности кредитов, выплате процентов в необходимые сроки и обещать им
первоклассные гарантии, а инвестора — в высокой прибыли на вложенный капитал и
в получении ее в возможно более короткие сроки.
Помимо сопроводительных документов и исполнительского резюме (краткого
изложения содержания) бизнес-план состоит из описания компании, ее бизнеса,
продукции, производственного (организационного) плана, маркетингового и финансового
плана. Последний является наиболее сложным разделом бизнес-плана.
Бизнес-план является одним из первых обобщающих документов обоснования
инвестиций и содержит укрупненные данные о планируемой номенклатуре и объемах
выпуска продукции, характеристики рынков сбыта и сырьевой базы, потребность
производства в земельных, энергетических и трудовых ресурсах, а также содержит
ряд показателей, дающих представление о коммерческой, бюджетной и экономической
эффективности рассматриваемого проекта и в первую очередь представляющих
интерес для участников-инвесторов проекта. Расчеты показателей адаптированы к
требованиям и условиям современного отечественного и зарубежного
инвестирования.
Бизнес-план является объектом интеллектуальной собственности, предметом
коммерческой тайны и подлежит соответствующей защите.
2. РАЗРАБОТКА БИЗНЕС-ПЛАНА ООО
«СТРОЙИНДУСТРИЯ»
2.1 Резюме проекта
Фирма получила название «Стройиндустрия», исходя из рода деятельности
организации.
Основным родом деятельности фирмы является производство, монтаж и продажа
металлических конструкций.
Задачи реализуемого проекта следующие:
-
обеспечить
потребности строительных предприятий и населения Сахалинской области строительными
материалами по доступным ценам;
-
стремиться к
лидерству в секторе строительного рынка;
-
обеспечить выход
на новые географические рынки;
Маркетинговая стратегия предприятия представляет собой детальный
всесторонний комплексный план. Он разрабатываться с точки зрения перспективы
всей организации, а не конкретного индивида. Стратегия данного предприятия
предполагает разработку обоснованных мер и планов достижения намеченных целей,
в которых должны быть учтены научно-технический потенциал фирмы и ее
производственно-сбытовые нужды.
На основании произведенной оценки конкурентов, можно сделать вывод, что
наиболее значительными конкурентами являются крупные оптовые предприятия,
специализирующиеся на продажах строительных материалов.
Основным родом деятельности фирмы является производство, монтаж и продажа
металлических конструкций.
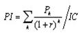
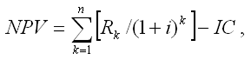
Экономическая эффективность проекта.
·
Длительность
проекта - 36 месяцев (3 года)
·
Общая стоимость
проекта 3 000 тыс. руб.;
·
Чистая приведенная стоимость проекта (NPV) =
8 761 344руб.;
·
индекс
прибыльности (РI)= 3,9;
·
период
окупаемости проекта (PB)= 6
месяцев;
·
дисконтированный
период окупаемости проекта (DPB)=
9 месяцев;
средняя норма рентабельности предприятия (ARR)= 1,93.
Чистая прибыль предприятия от данного вида деятельности в 2007 г. должна
составить 3 903 618 руб., в 2008 г. – 5 657 417 руб., в 2009
г. – 7 835 731 руб., что непосредственно говорит о том, что наиболее
перспективным вариантом является развитие нового вида деятельности предприятия
– оптовая торговля строительными материалами.
Денежные потоки в процессе реализации инвестиционного проекта
(за счет предприятия) уже в первый год имеют положительное значение, что
говорит о прибыльности внедрения нового проекта и незначительных затратах для
предприятия.
2.2
Описание отрасли
В состав
промышленности строительных материалов России входят 23 под-отрасли, которые
объединяют в настоящее время около 10 тыс. предприятий с общей численностью
работников примерно 800 тыс. человек, а также 2,25 тыс. крупных и средних с
общей численностью работников около 550 тыс. человек. Практически все предприятия
отрасли строительных материалов приватизированы. Доля продукции промышленности
строительных материалов в общем объеме внутреннего валового продукта Российской
Федерации составляет более 3 %, а в стоимости основных
промышленно-производственных фондов — около 4 %.
Износ
основных фондов в отрасли приближается к 60 %, в том числе машин и оборудования
— 74 %, причем превышение выбытия основных фондов над вводом в действие новых
приводит к абсолютному сокращению производственных мощностей, большая часть
которых, кроме того, не отвечает современным требованиям, и выпуск
конкурентоспособной продукции на них невозможен. Уровень загрузки мощностей по
производству основных видов строительных материалов составляет 27–85 %.
Неиспользуемые
в течение длительного времени производственные мощности как правило требуют
значительных затрат для поддержания их в рабочем состоянии.
В структуре
производства продукции отрасли преобладают традиционные крупнотоннажные виды
строительных материалов (в стоимостном выражении): сборные железобетонные и
бетонные конструкции и детали (37,8 %), металлические конструкции (22,3 %),
стеновые материалы (13,8 %), цемент (11,7 %) и нерудные строительные материалы
(8,8 %). На долю всех остальных строительных материалов приходится 5,6 %.
Промышленность
строительных материалов потребляет более 20 видов минерального сырья (свыше 100
наименований горных пород) и является крупнейшей горнодобывающей отраслью в
Российской Федерации.
Более 20 % в
структуре затрат отрасли составляют топливно-энергетические ресурсы, причем
очень часто отечественные технологии производства основных видов строительных
материалов в несколько раз более энергоемки, чем используемые в промышленно
развитых странах. В общем объеме российских грузоперевозок железнодорожным,
автомобильным и водным транспортом на долю перевозок строительных грузов
приходится около 30 %.
В 2005 г.
индекс промышленного производства в промышленности строительных материалов
составил около 113,1 %. Увеличилось производство большинства основных видов
строительных материалов и изделий: керамических глазурованных плиток для
внутренней облицовки стен — на 19 %, ванн — на 15,4 %, цемента — на 13,5 %,
асбеста — на 11,5 %, санитарно-керамических изделий — на 10,3 %, линолеума — на
10,1 %,сборных железобетонных конструкций и изделий — на 9,4 %, нерудных
строительных материалов — на 5,4 %.
Одновременно
снизились объемы производства оконного стекла — 99,2 % к предыдущему году,
стеновых материалов (99,6 %), радиаторов и конвекторов отопительных (92 %) — то
есть продукции, мощности по производству которой морально устарели и физически
изношены в наибольшей степени. В 2005 г. тенденция роста объемов производства
большинства видов строительных материалов сохранилась.
Удовлетворение
потребности внутреннего рынка
Доля
импортных строительных материалов в объемах продаж на внутреннем рынке в
отдельных его секторах до недавнего времени достигала 30–50 % (линолеум,
высококачественная керамическая плитка, санитарные керамические изделия и др.),
но на общем состоянии промышленности строительных материалов это практически не
отражалось, так как удельный вес данных материалов и изделий в общем объеме
производства продукции промышленности строительных материалов не велик.
В 2000–2005
гг. на фоне абсолютного роста отечественного производства импортозависимых
видов строительных материалов произошло незначительное снижение их доли в общих
объемах продаж, что можно объяснить ростом после кризиса 1998 г.,
платежеспособного спроса на высококачественные материалы, производство которых
по разным причинам в России недостаточно. В 2005 г. подобная тенденция получила
дальнейшее развитие по многим видам строительных материалов.
В то же время
в 1998–2005 гг. на рынках многих видов строительных материалов, в основном
отделочных, произошли конституциональные изменения — создано крупномасштабное
отечественное производство высококачественных и конкурентоспособных на внешнем
и внутреннем рынках бетона, утеплителей, керамической плитки, линолеума и др. В
больших объемах организован экспорт асбеста.
Все проанализированные
в настоящей работе строительные материалы мы предлагаем сгруппировать по
степени удовлетворения потребности внутреннего рынка за счет собственного
производства в 2000–2005 гг. — в три основные группы:
I — базовые
виды (степень удовлетворения потребности от 98 % до 100 %) — цемент, бетон,
кирпич строительный, мягкие кровельные материалы, шифер;
II — основные
виды (степень удовлетворения потребности от 90 % до 98 %) — стекло листовое,
стекло полированное, вата минеральная и изделия из нее, асбест;
III —
отделочные материалы и санитарно-техническое оборудование (степень
удовлетворения потребности менее 90 %) — санитарная керамика, ванны, плитка
керамическая, радиаторы и конвекторы.
Приведенная в
статье предварительная оценка современного состояния отечественного рынка
основных видов строительных материалов показала, что в 2005 г. наблюдавшийся
после августовского 1998 г. кризиса спад объемов потребления большинства видов
строительных материалов был практически преодолен.
В структуре
потребления отдельных видов строительных материалов произошли
конституциональные изменения: в России организовано собственное производство
высококачественных и конкурентоспособных на внешнем и внутреннем рынках
строительных материалов, в основном отделочных, ранее в массовом количестве
импортируемых.
В отрасли
фактически создано экспортное направление. В структуре внутреннего производства
многих видов продукции доля экспортных поставок по состоянию на 2005 г.
достигает 8–11 %, стекла термически полированного — более 20 %, асбеста — до 50
%. Есть все основания полагать, что процесс создания новых производств
конкурентоспособных строительных материалов будет продолжаться.
Согласно данным Госкомстата, в 2005 году по отношению к 2004 году прирост
объемов выпускаемой продукции в промышленности строительных материалов составил
16,4% по данным, приводимым агентством «Symbol маркетинг». (рис. 1)
Рис. 1. Темпы роста производства строительных материалов в России
Согласно
данным статистики, строительный комплекс Российской Федерации, объединяющий
более 140 тыс. организаций и промышленных предприятий и более 10 тыс.
проектно-изыскательных фирм различной формы собственности, обеспечил в первой
половине 2006 года ввод нового жилья в объеме 13,161 тыс. кв.м, что составило
103,6% к аналогичному периоду 2003 года. Активность населения в сфере
строительства и ремонта также остается высокой и, по мнению ряда экспертов,
весьма вероятно продолжит свой рост в будущем.
В последние
годы объем розничных продаж отделочных материалов характеризуется стабильным
ростом – в денежном выражении на 10-15% в год (по материалам журнала
“Эксперт”).
По оценкам
аналитиков агентства Symbol-Marketing, увеличение оборотов рынка отделочных
материалов в России в 2005 году по отношению к 2004 году характеризовалось
более высокими показателями – 30-40 процентов. Объем российского рынка
отделочных материалов составляет порядка 6 млрд. долларов США, из которых порядка
1,5 млрд. долларов США приходится на Москву (по оценке аналитиков ОФГ).
Материалы
исследований, проведенных агентством Symbol Marketing, а также группой “ИНЭК”,
позволяют дать характеристику емкости некоторых основных сегментов рынка
отделочных материалов, выделить в этих сегментах основных отечественных
производителей. Так, емкость российского рынка лакокрасочных материалов
составляет 800-900 тыс. тонн. В России в отрасли лакокрасочных материалов
работают около 100 производственных предприятий, их суммарная мощность более
2,5 млн. тонн в год.
Около 60%
производимой продукции выпускают 12 крупных предприятий. Среди них: ОАО
“Лакокраска” (г. Ярославль), ОАО “Русские краски” (г. Ярославль), ООО “Текс”
(г. Санкт-Петербург), Черкесское ХПО, ЗАО “Эмпилс” (г. Ростов-на-Дону).
Рынок сухих
строительных смесей оценивается в 1 млн. тонн. До недавнего времени на
российском рынке была представлена преимущественно продукция известных мировых
производителей, таких как: Atlas (Польша), EMFI (Франция), Knauf (Германия),
Semin (Франция) и некоторых других. Сегодня сухие строительные смеси
изготавливает и ряд отечественных производителей, среди них: “Альфа-Пол”,
“КРЕПС”, “Мастерок”, “Петромикс”, “Старатели” и другие.
Емкость
российского рынка керамической плитки в 2002 году составила примерно 500 млн.
долларов США. Производство керамической плитки для внутренней облицовки стен в
2002 году составило 39,6 млн. куб.м; производство керамической плитки для полов
– 19,1 млн. куб. м. Ведущими предприятиями в отрасли являются: ЗАО “Велор”, ОАО
“Волгоградский керамический завод”, ОАО “Нефрит-керамика”, ОАО “Сокол”, ОАО
“Стройполимеркерамика”, ОАО “Экспериментальный керамический завод”. Наиболее
крупным предприятием по производству керамической плитки является ЗАО “Велор”
итальянской фирмы “Велко”, производящее 8 млн. куб. метров плитки в год.
Большая часть предприятий находится в Центральном регионе, здесь производится
более 50% отечественной продукции керамической плитки.
Емкость рынка
обоев в 2004 году составила 220-230 млн. стандартных рулонов, в стоимостном
выражении – порядка 1 млрд. долларов США. Эксперты акцентируют тот факт, что в
России спрос на обои характеризуется тенденцией к росту порядка 10% в год,
тогда как в странах Евросоюза большинство потребителей отдает предпочтение
более современным материалам – различным видам штукатурки и краски. По оценкам
ассоциации “Рособои”, объем отечественного производства обоев за 2004 год
снизился на 11,8%, доля импорта на рынке по-прежнему превышает долю
отечественной продукции. Среди ведущих российских производителей обоев: ЗАО
“Декор” (г. Подольск), ЗАО “Московская обойная фабрика”, ОАО
“Мосстройпластмасс”, ЗАО “Ростовбумага”, ООО ПКП “Сыктывкарские бумажные
изделия”, ОАО “Тулабумпром”.
В структуре
продаж отделочных материалов основная доля (около 74%) принадлежит открытым
рынкам, доля специализированных магазинов составляет 20%, на долю сетевых
структур (OBI, “Старик Хоттабыч” и др.) приходится около 6% .
Как сообщает
“Коммерсантъ”, в настоящее время в крупных российских городах наблюдается
активный рост продаж отделочных материалов. В частности, Санкт-Петербург
переживает настоящий бум продаж (рост на 25-30% в год) в магазинах формата DIY
(do it yourself), реализующих отделочные материалы и интерьерные товары для
дома. В Северной столице сетевые структуры формата DIY постепенно вытесняют с
рынка более мелких игроков. Ряд крупных компаний (в частности, ООО “Корпорация
СБР”, корпорация “Искрасофт”, немецкая сеть Obi, британская сеть Kingfisher и
некоторые другие) уже объявил о намерении построить в Санкт-Петербурге
собственные сети DIY, это порядка тридцати магазинов различной площади,
преимущественно - гипермаркетов площадью от 10 тыс. кв. метров. В связи с
подобными масштабными планами многие эксперты высказывают опасения в отношении
того, что в случае успешной реализации всех проектов рынок весьма вероятно ждет
избыток предложения.
Благоприятная
ситуация, сложившаяся на российском рынке строительных материалов, привлекает
внимание зарубежных производителей, которые по многим позициям теснят
отечественную промышленность. По различным оценкам, импорт составляет более 60%
рынка отделочных материалов в России. При этом более половины всех товаров
ввозится с использованием “серых” схем.
Опираясь на
оценки ряда экспертов, дадим характеристику соотношения долей импортных и
отечественных товаров в некоторых основных сегментах российского рынка
отделочных материалов.
По оценкам
аналитиков “ИТКОР”, в сегменте пластиковых панелей доли продукции
отечественного и зарубежного производства примерно равны Основными
странами-экспортерами пластиковых панелей в Россию являются Бельгия и Франция.
В частности, на московском рынке совокупная доля этих стран составляет 88% от
общего объема импорта.
В сегменте
ламинированного паркета до настоящего времени не представлены крупные
российские предприятия, в связи с чем доля отечественного производства
незначительна, не превышая 5% (по материалам журнала “Еврострой”). Основу
предложения на российском рынке составляет ламинированный паркет из Германии и
Польши. На две этих страны-производителя приходится 50 и 21% соответственно от
общего объема импорта в Россию.
В сегменте
МДФ-панелей представлены как отечественные (“Союз”), так и зарубежные (Kronspan
и др.) производители, доля импортной продукции составляет порядка 30% (по
материалам исследований центра “Серебряная грань”).
В других
сегментах рынка отделочных материалов соотношение отечественной и импортной
продукции выглядит следующим образом. В сегменте лакокрасочных материалов доля
импортной продукции в 2002 – 2003 годах составляла около 40% от общего объема
потребления (по материалам исследований агентства Symbol Marketing) (см.
рисунок 3). Наиболее популярными марками зарубежных производителей являются:
Akzo Nobel, Meffert AG, Tikkurila. Основные страны-экспортеры лакокрасочных
материалов в Россию – Германия, Финляндия, Швеция.
В сегменте
керамической плитки доля импорта также оценивается примерно в 20%. Среди стран,
экспортирующих керамическую плитку в Россию, наибольшая доля принадлежит
Италии, Испании и Белоруссии (по данным РИА “РосБизнесКонсалтинг”).
В сегменте
сухих строительных смесей доля импортной продукции составляет порядка 20%.
Наиболее известными зарубежными производителями являются Knauf, Optiros (по
материалам журнала “Красная линия”).
В сегменте
обоев доля импорта составляет до 60%. Среди зарубежных производителей,
продукция которых широко представлена на российском рынке: ОАО “Белорусские
обои”, ОАО “Гомельобои” (Белоруссия); “Корюковская фабрика технических бумаг”
(Украина, марка “Славянские обои”); BG, Imperial Decor, Forbo Lancaster
(Великобритания); AS Creation, Erismann, Coswig, Marburg, Mohr, Rasch
(Германия); Azcoaga (Испания); Emiliana Parati, Limonta, Sirpi (Италия); Essef,
Venilia (Франция) (по данным ассоциации “Рособои”).
Основные
выводы:
Рынок
отделочных материалов в России характеризуется высокими темпами роста, основным
катализатором которого выступает активное развитие строительной отрасли. В
ближайшем будущем можно ожидать сохранения тенденции увеличения потребительской
активности на рынке отделочных материалов, а также достаточной стабильности в
темпах роста рынка.
Российские
производители отделочных материалов активно осваивают рынок, все более тесня
зарубежных конкурентов. Однако в настоящее время сохраняется тенденция к тому,
что, если основным аргументом зарубежных производителей отделочных материалов
является высокое качество товара, то для отечественных производителей такой
аргумент – прежде всего более конкурентоспособная цена.
Проблема
перевооружения производства и обновления технологий сегодня является весьма
актуальной для отечественных производителей, поскольку, как отмечают эксперты,
завтрашний день рынка – это борьба за качество, в которой производители,
делающие ставку на низкокачественную дешевую продукцию, окажутся в аутсайдерах.
Состояние отрасли
производства металлоконструкций
Использование металлических гофрированных конструкций в
строительстве мостов, водопропускных труб, инженерных и защитных сооружений
позволяет существенно снизить капитальные затраты и значительно ускорить
процесс строительства. МГК являются хорошей альтернативой железобетонным трубам
и другим сооружениям из ЖБИ. Благодаря долговечности, высоким эксплуатационным
характеристикам, простоте монтажа и легкости транспортировки гофрированные металлоконструкции
всё чаще используются в современном строительстве.
Одним из
основных признаков возрождения экономики во всех странах считается активизация
строительства. Возведение зданий и сооружений с применением металлоконструкций
– один из наиболее быстрых способов строительства, позволяющий в короткий срок
ввести в эксплуатацию объект и окупить затраты на строительство, используя
объект по прямому назначению.
В условиях
довольно жесткой конкуренции отечественных и зарубежных производителей
российские заводы предлагают высокое качество металлоконструкций при условии,
что изготавливаются они не на базах монтажников, а на производственных
предприятиях с многолетним опытом производства
Основной
составляющей в цене металлоконструкций является стоимость металлопроката. При
этом рентабельность заводов металлоконструкций часто не достигает 10%, то есть
продукция относительно недорогая.
Сегодня в
связи с высоким развитием и массовым использованием средств автоматизированного
проектирования все большее распространение получают облегченные тонкостенные
металлоконструкции, что приводит к уменьшению металлоемкости конструкций и
удешевлению строительства.
Но
использование тонкостенных конструкций требует высокого качества производства и
монтажа. Большое значение имеют также сроки выполнения работ на каждом этапе,
поскольку чем раньше объект будет сдан в эксплуатацию, тем быстрее он начнет
приносить заказчику прибыль.
Для успешной
работы на рынке металлоконструкций в новых условиях приходится комплексно
подходить к поставленной заказчиком задаче. В связи с этим наш завод приобрел
линию по выпуску сэндвич-панелей последнего поколения фирмы Hilleng, которую мы
запустили в производство 1 июля 2004 года.
Линия
позволяет изготавливать как стеновые, так и кровельные панели, что является
логическим завершением существовавшего производства по окраске рулонной
оцинкованной стали, которая применяется для изготовления сэндвич-панелей.
В плане модернизации производства многие заводы
металлоконструкций приобрели автоматические линии ведущих мировых
производителей (итальянская компания FICEP, немецкая Messer и другие) для
раскроя фасонного и листового металлопроката. В производстве металлоконструкций
раскрой металлопроката наиболее полно поддается автоматизации, что позволяет
резко ускорить процесс его обработки.
Но существует, как всегда, и другая сторона медали – автоматический раскрой
хоть и делается с помощью компьютера, приводит к увеличению отходов
металлопроката, что сказывается на себестоимости металлоконструкций не в
сторону уменьшения.
Поскольку при
изготовлении металлоконструкций используется сварка, то модернизация
заключается в том, что на смену ручной сварке приходит автоматическая. Процесс
резки металла также автоматизируется, и это повышает его качество.
Предложения современного рынка по изготовлению и монтажу
металлоконструкций очень обширны, конкуренция огромна. Чтобы быть
востребованной, фирма должна предоставлять весь комплекс услуг, начиная от
проектирования (предпроектные проработки, рабочий проект, деталировочные чертежи).
Для транспортного строительства рынок предлагает широкий
спектр металлостроительных конструкций, кроме того, эстакады, различного рода
объекты для проведения ремонтных работ: крытые терминалы, склады.
Металлоконструкции
востребованы, и спрос на них будет возрастать, что позволит
предприятиям-производителям наращивать обороты и динамично развиваться.
В производстве металлоконструкций есть и перспективы
развития, и перспективы применения новых технологий. На производстве
металлоконструкций востребованы антикоррозийные технологии по очистке металла
от ржавчины. Существует проблема нанесения цинковых покрытий на конструкции
размером до 3х12 метров. Можно повысить качество сварки за счет применения
новых видов оборудования.
Перспективы
заключаются в том, что использование металлоконструкций при возведении объектов
как промышленного, так и общественного назначения, будь то склад, цех или
многоэтажный торговый комплекс, существенно сокращает сроки строительства. Все
монтируется быстро на высокопрочных болтах, так что процесс этот подобен сборке
конструктора. Новые технологии приходят в Россию с Запада. В Европе делается
акцент на алюминий, на изготовление более легких конструкций без ущерба для
прочности.
2.3 Анализ рынка
Рынок
строительных материалов по Сахалинской области продолжает расширяться. Основным
стимулом к этому выступает рост жилищного строительства и общего благосостояния
населения, оказывающие положительное влияние на спрос. Ремонт и строительство
являются актуальными видами деятельности значимой части домохозяйства.
На
основе данных отдела статистики администрации города Южно-Сахалинска за
2004-2005 года, раскроем формирование потребностей в строительной продукции
среди населения города.
Наибольшую
часть потребностей составляют сборные железо-бетонные изделия и
металлоконструкции - около 55 %, строительно-отделочные материалы (т.е. шпаклевка,
различные виды красок, обои, линолеум, кафель, сухие смеси, цемент и т.д.),
около 25 %, остальные 20 % составляют инструменты малой механизации для строительных
работ (т.е. угловые шлифмашинки, электролобзики, электромолотки, дрели,
шуруповерты и т.д.), побочные материалы для строительства (т.е. кисти малярные,
шпатели, малярный каток, метизы и т.д), трубы, металлопластик и т.д.
Продвижение строительных металлоконструкций на рынке.
Реализация будет производится:
Сегментом рынка для товаров, производимых фирмой
"Стройиндустрия", с географической точки зрения будет рынок города
Южно-Сахалинска и близко расположенных к нему городов, в которых не существует фирм,
занимающихся производством аналогичных товаров.
Далее, уже в рамках выделенного сегмента рынка, можно определить
покупателей на товар. Это будут:
1. Государственные строительные фирмы, занимающиеся постройкой зданий
промышленного назначения, жилых многоэтажных зданий, мостов, эстакад и т. п.;
2. Коммерческие строительные фирмы, занимающиеся аналогичной
деятельностью;
3. Люди, ведущие строительство для себя (очень маленький сегмент, как
правило, богатые люди, строящие большие дома).
Главным образом реализация металлоконструкций будет
происходить в Центральной части Сахалинской области 55% (всех реализуемых
строительных материалов), на втором месте города, граничащие с Центральной
частью Сахалинской области, такие как г. Анива, Корсаков, Долинск, Холмск и др.
на них приходится 27,5 %. На Северные районы Сахалинской области, такие как
г.г. Макаров, Углегорск, Поронайск и др., приходится 17 % всех реализуемых
строительных материалов.
2.4 Описание товара
Проводя анализ рынка Сахалинской области, были сделаны
выводы, что наибольшим спросом пользуются строительно-отделочные материалы.
Поэтому было принято решение о производстве и реализации металлоконструкций.
Общие характеристики товара.
Металлические конструкции представляют собой строительные конструкции, применяемые,
как несущие в каркасах зданий и других инженерных сооружениях (стальные
металлические конструкции), в большепролётных покрытиях, обшивках стеновых и
кровельных панелей (алюминиевые металлические конструкции).
Металлические конструкции обладают следующими характеристиками
позволяющими применять их в разнообразных сооружениях:
- надёжность;
- лёгкость;
- индустриальность;
- непроницаемость.
Фирма «Стройиндустрия» обладает:
-
складскими
площадями 250 кв.м;
-
производственными
площадями 1200 кв.м;
-
фирменным
магазином
Необходимо выбрать и организационно-правовую форму создаваемой фирмы. А
как видно из выше сказанного, выбор ни чем не отличается от организационно
правовых форм со 100% российским капиталом. Исходя из этого, организационно
правовой формой совместного предприятия выбираем общество с ограниченной
ответственностью (ООО).
Общество с ограниченной ответственностью является одной из наиболее
популярных во всем мире и в России организационно-правовых форм
предпринимательства. Обществом с ограниченной ответственностью (ООО) признается
учрежденное одним или несколькими лицами общество, уставный капитал которого
разделен на доли, размеры которых определены учредительными документами.
Участники общества с ограниченной ответственностью не отвечают по его
обязательствам и несут риск убытков, связанных с деятельностью ООО, в пределах
стоимости внесенных ими вкладов. Участники общества с ограниченной
ответственностью, внесшие вклады не полностью, несут солидарную ответственность
по обязательствам ООО в пределах стоимости неоплаченной части вкладов каждого
из участников. Участник общества с ограниченной ответственностью вправе в любое
время выйти из данного общества независимо от согласия других его участников,
при этом ему должна быть выплачена стоимость части имущества, соответствующей
его доле в уставном капитале ООО. Он может также продать или уступить свою долю
в уставном капитале общества или ее часть одному или нескольким участникам
данного общества, а также третьим лицам. В случае несостоятельности
(банкротства) общества с ограниченной ответственностью по вине его участников
или по вине других лиц, которые имеют право давать обязательные для общества
указания (или другим образом определять его действия), на указанных участников
или других лиц в случае недостатка имущества ООО может быть возложена
субсидиарная ответственность по его обязательствам.
Прежде чем общество с ограниченной ответственностью начнет свою
деятельность, оно должно быть учреждено. Следовательно, участники такого
общества, договаривающиеся между собой о его создании, становится учредителями
общества с ограниченной ответственностью.
Учредители ООО заключает между собой учредительный договор (если общество
создается одним-единственным учредителем, он учредительный договор сам с собой,
разумеется, не заключает). Принятые в дальнейшем в ООО участники учредителями
данного ООО не становятся ни при каких обстоятельствах, и это рождает
возможность существенного разграничения прав учредителей и участников в
учредительном договоре.
Кроме учредительного договора учредители общества с ограниченной
ответственностью в обязательном порядке утверждают устав ООО. И в уставе, и в
учредительном договоре общества с ограниченной ответственностью, помимо других
сведений, обязательно должно быть указано на условия:
- о размере уставного капитала общества с ограниченной ответственностью;
- о размере долей каждого из участников общества с ограниченной
ответственностью;
- о размере, составе, сроках и порядке внесения ими вкладов в уставный
капитал ООО, а также об ответственности их за нарушение обязанностей по
внесению указанных вкладов;
-
о составе и
компетенции органов управления обществом с ограниченной ответственностью и
порядке принятия ими решений, в том числе о вопросах, решения по которым
принимаются единогласно или квалифицированным большинством голосов. Полное
фирменное наименование общества с ограниченной ответственностью на русском
языке, которое упоминается в уставе общества и в учредительном договоре, должно
содержать слова "общество с ограниченной ответственностью" и полное
название.
-
Обществу с
ограниченной ответственностью необходимо обзавестись круглой печатью,
содержащей полное фирменное наименование данного общества на русском языке и
указание на место его нахождения.
Таким образом, собрав все учредительные документы необходимо их вместе с
заявлением о регистрации отдать в государственную регистрационную палату
города. После того, когда будет получено решение о регистрации и фирма будет
внесена в государственный реестр она становится юридическим лицом. После этого
необходимо зарегистрировать фирму в налоговых и статистических службах города и
купить лицензию на право осуществления предпринимательской деятельности в
данной сфере. После того как фирма полностью оформлена и получены все соответствующие
документы предприятие может начинать осуществление своей деятельности.
2.5 Маркетинговый план
Маркетинговая стратегия предприятия ООО «Стройиндустрия» представляет
собой детальный всесторонний комплексный план. Он разрабатываться с точки
зрения перспективы всей организации, а не конкретного индивида. Стратегия данного
предприятия предполагает разработку обоснованных мер и планов достижения
намеченных целей, в которых должны быть учтены научно-технический потенциал фирмы
и ее производственно-сбытовые нужды. Стратегический план обосновывается
обширными исследованиями и фактическими данными. Для этого маркетолог предприятия
должен постоянно заниматься сбором и анализом информации об изменениях в данной
отрасли хозяйства, рынке, конкуренции и т.п.
Товарная политика
Основным преимуществом
товарной политики данного предприятия при развитии вида деятельности – производстве
и реализации металлоконструкций является то, что предприятие будет приобретать
только высококачественные материалы для их производства. При этом, нужно
отметить, что материалы, необходимые для реализации проекта, будут закупаться не
в Китае или Тайване, а у отечественных заводов изготовителей.
Таким
образом, ООО «Стройиндустрия» выгодно отличается от всех предприятий,
работающих на рынке высоким качеством строительных материалов, предлагаемых к
реализации и гарантийными обязательствами, которые предоставляют российские
заводы производители на изготавливаемые необходимые металлические сплавы.
Для этого налажены партнерские отношения с крупными поставщиками материалов
в регионе, т.е. непосредственно с самими заводами-изготовителями, а именно:
·
ЗАО «Хабаровский
завод строительных алюминиевых конструкций» г. Хабаровск;
·
ЗАО «Завод
металлоизделий» г. Хабаровск
·
ООО «Террако
Восток» г. Хабаровск (завод по производству строительно-отделочных материалов);
·
ОАО
«Теплоозерский цементный завод» п. Теплоозерск, Хабаровский край (завод по
производству цемента, цементно-стружечной плиты);
·
ОАО «Базалит ДВ»
г. Хабаровск (завод по производству теплоизоляционных материалов на основе
базальтового волокна).
Заключение
долгосрочных контрактов с заводами-производителями позволит нашему предприятию,
в соответствии с условиями договоров, получать значительные оптовые скидки и
регулярные поставки материалов на предприятие, т.к. ответственность по срокам
доставки и качеству так же несут заводы-производители строительных материалов.
Ценовая
политика
Цена строительных материалов включает все затраты предприятия на их
реализацию.
Себестоимость строительных материалов складывается из затрат на оплату
результатов прошлого труда (стоимость строительных материалов, электроэнергии и
других материальных ресурсов) и расходов на оплату вновь затраченного труда
(заработная плата персонала, включая начисления).
По структуре затрат стоимость строительных материалов делится на 3
группы: прямые затраты, накладные расходы и плановые накопления. На основе стоимости
производится планирование объемов закупа строительных материалов для реализации
и осуществляются расчеты за их приобретение.
Система ценовых скидок
ООО «Стройиндустрия» планирует
предоставление специальных скидок привилегированным Заказчикам, в заказах
которых особо заинтересовано предприятие. К категории специальных скидок
относятся скидки на заказы, имеющие целью заинтересовать Заказчика и скидки за
длительность отношений, с помощью которых предприятие стремится удержать
постоянных Заказчиков. Скидки планируются накопительные (в зависимости от суммы
приобретений).
Например, приобретение
товара на 100000 руб. гарантирует скидку 5 %, на 150000 руб. – 7 %, на 200000
руб. – 10% и т.д.
Так же планируется
предоставление скидок за платежи наличными в размере 3 % от стоимости
приобретаемых товаров, сезонные скидки для покупателей, совершающих внесезонные
покупки в размере 3-5 % от стоимости приобретаемых товаров.
Стратегию ценообразования металлоконструкций на данном
предприятии, рассмотрим в табл. 2.2:
Таблица 2.2
Структура ценообразования на строительные материалы
|
Статьи затрат
|
Значение показателя, тыс.руб.
|
Изменения
|
|
2007 г.
|
2008 г.
|
2009 г.
|
Абсолютное (+,-)
|
Относительное, %
|
|
|
2008/
2007
|
2009/
2008
|
2008/
2007
|
2009/
2008
|
|
|
Стоимость приобретения материалов у
заводов-изготовителей
|
8 528,11
|
10 788,06
|
13 646,9
|
2 259,9
|
2 858,8
|
126,5
|
126,5
|
|
Аренда склада
|
720
|
792
|
871
|
72,00
|
79,00
|
110,0
|
110,0
|
|
Заработная плата
|
2 268
|
2 494,8
|
2 744,28
|
226,80
|
249,48
|
110,0
|
110,0
|
|
Начисления на заработную плату
|
317,52
|
349,27
|
384,20
|
31,75
|
34,93
|
110,0
|
110,0
|
|
Мебель и оргтехника
|
150
|
0
|
0
|
-150,00
|
|
|
|
|
Представительские расходы
|
120
|
120
|
120
|
0,00
|
0,00
|
100,0
|
100,0
|
|
Общехозяйственные расходы
|
360
|
396
|
396
|
36,00
|
0,00
|
110,0
|
100,0
|
|
Итого затраты
|
12 463,63
|
14 940,14
|
18 162,58
|
2 476,5
|
3 222,4
|
119,9
|
121,6
|
|
Рентабельность , %
|
36,8
|
44,55
|
50,76
|
|
|
|
|
|
|
|
|
|
|
|
|
|
|
Данные, представленные
в таблице, свидетельствует о том, что в формировании цены на строительные
материалы, прежде всего, закладывается стоимость закупаемых материалов у
заводов-производителей, основная заработная плата персонала и начисления на
заработную плату – бухгалтера, маркетолога, специалиста по сбыту, рабочих,
продавцов, без участия которых сбыт данных материалов невозможен.
Единовременные затраты
на приобретение мебели и оргтехники составят 150 тыс.руб., представительские
расходы ежегодно закладываются фиксировано в размере 120 тыс.руб.,
общехозяйственные расходы в 2008 г. возрастут на 36 тыс.руб., что связано с
расширением деятельности в данном направлении, т.к. увеличение
общехозяйственных расходов напрямую связано с объемами производственной
деятельности предприятия.
Доля
рентабельности продаж, закладываемая ежегодно соответственно 36,8 %, 44,55 % и 50,76
%, говорит о грамотной ценовой политике предприятия, конкурентоспособности
продаваемых изделий, т.к. завышение розничной цены более 70 % может привести к
нерентабельности продаж, залеживанию товара на складах, что приведет к
дополнительным затратам на хранение товара, снижению товарооборота, что в
дальнейшем может повлечь снижение прибыли предприятия за счет дополнительных
расходов.
Сбытовая политика
Реализация металлоконструкций планируется оптовым и мелкооптовым
покупателям в г. Южно-Сахалинске и в Сахалинской области.
В табл. 2.3 представим взаимосвязь между клиентами предприятия, их
ожиданиями, выясненными на основе маркетинговых исследований и сбытовой
политикой, направленной на выполнение запросов клиентов:
Таблица 2.3
Планирование сбытовой политики
предприятия
|
Клиенты
|
Ожидания клиента
|
Сбытовая политика предприятия
|
|
Оптовые покупатели
Мелкооптовые покупатели
|
1. Оптовая цена
2. Качество
3. Скидки
|
1. Активная работа менеджера по
продажам с потенциальными покупателями (демонстрации, премии, бесплатные
образцы и.т.д.)
2. Информационная поддержка продавцов по товарам;
3. Презентация товаров для продавцов;
4.Заключение постоянного контракта (договора) с закупщиками;
5.Участие в тендерах
|
Целевой группой являются оптовые и корпоративные покупатели
- строительные предприятия и организации, занимающиеся строительной
деятельностью. Взаимодействие с данной группой планируется на основе длительных
договорных отношений, в которых будут определены объемы заказов потребителей,
примерный объем товаров изначально установлен на основе маркетинговых
исследований.
В результате чего определены объемы и стоимость товаров, которые
необходимо закупить у заводов-производителей для рентабельности проекта.
На основе заказов составляются текущие и
оперативно-календарные планы предприятия. План производства предприятия на
основе полученных заказов формируется специалистом по сбыту.
При этом портфель заказов предположительно будет состоять из
трех разделов:
•
текущие заказы, обеспечивающие безостановочную повседневную работу предприятия;
• среднесрочные заказы (со сроком
исполнения до 1—2 лет и более);
• перспективные заказы (в том числе
прогнозные на 2—5 лет и более).
Текущие заказы в основном
подкрепляются договорами, заключенными предприятием на поставку строительных
материалов. Потенциальные поставщики строительных материалов уже выбраны,
поэтому необходимо только получить реальные заказы от потребителей.
Так же сбытовую политику в данном направлении деятельности планируется
осуществлять в следующих направлениях:
Стимулирование потребителя - распространение бесплатных образцов,
купонов, скидок.
Стимулирование крупных оптовых покупателей – дополнительный товар, различные
скидки.
Стимулирование собственного торгового персонала, нацеленное на усиление
заинтересованности торговых работников и повышение эффективности усилий
торгового персонала предприятия - комиссионные, бонусы, скидки, обучение.
Для наглядности представим затраты на организацию сбыта продукции в
следующей таблице 2.4:
Таблица 2.4
Затраты на организацию сбыта продукции
|
Стимулирование сбыта
|
Инструмент
|
% от выручки
|
2007 г., руб.
|
2008 г., руб.
|
2009 г., руб.
|
|
Стимулирование потребителя
|
Бесплатные образцы
|
0,1 %
|
17056,13
|
21595,92
|
27381,09
|
|
Купоны
|
0,5 %
|
85280,64
|
107979,62
|
136905,45
|
|
Скидки
|
0,3 %
|
51168,38
|
64787,77
|
82143,27
|
|
Стимулирование крупных оптовых
покупателей
|
Допол-
нительный товар
|
0,2 %
|
34112,25
|
43191,85
|
54762,18
|
|
Скидки
|
1 %
|
170561,27
|
215959,23
|
273810,89
|
|
Стимулирование собственного
торгового персонала
|
Комиссионные
|
0,2 %
|
34112,254
|
43191,85
|
54762,18
|
|
Бонусы
|
0,1 %
|
17056,127
|
21595,92
|
27381,09
|
|
Скидки
|
0,5 %
|
85280,635
|
107979,62
|
136905,45
|
|
Обучение
|
1 %
|
170561,27
|
215959,23
|
273810,89
|
|
Всего
|
|
|
665188,95
|
842241,00
|
1067862,47
|
Необходимо отметить, что все планируемые стимулы сбыта изначально
заложены в стоимость, для того, чтобы предприятие было в прибыли даже с учетом
льгот и скидок.
Необходимо провести SWOT-анализ
и определить сильные и слабые стороны данного проекта (табл. 2.5):
Таблица 2.5 Матрица SWOT
|
Сильные стороны (Strengths)
|
Слабые стороны (Weaknesses)
|
|
1. Выход на рынок с товарами, спрос
на которые возрастает с ростом спроса на жилье и производственные помещения;
|
1. Сезонность спроса;
|
|
2. Высокий уровень квалификации и
предприимчивость руководства предприятия;
|
2. Необходимость налаживания системы
сбыта;
|
|
3. Высокое качество реализуемых товаров;
|
|
|
Возможности (Opportunities)
|
Угрозы (Threats)
|
|
1. Организовать систему сбыта оптовым
покупателям;
|
1. Увеличение числа конкурентов;
|
|
2. Выход на рынок г. Южно-
Сахалинска в последствии существует возможность развития торговой сети в Дальневосточном
регионе;
|
2. Рост инфляции.
|
|
3. В дальнейшем возможность
приобретения товаров у поставщиков с рассрочкой платежа и в последствии стать
их дилером по реализации их продукции.
|
|
Продвижение товаров
В ходе проведения политики продвижения товаров будут использоваться такие
методы, как реклама.
Совокупность действий по предприятию рекламы, стимулированию продаж,
отношений с общественностью определяется с учетом следующих целей предприятия:
1)
создание
благоприятного имиджа предприятия;
2)
создание и
укрепление связей с покупателями;
3)
увеличение числа
потребителей, отвоеванных у конкурентов;
4)
привлечение новых
клиентов посредством увеличения начального спроса.
Для выполнения задач маркетинга предприятия, обеспечения его рентабельной
работы, формирования постоянной клиентуры планируется провести рекламные
мероприятия.
Виды рекламы, применимые при реализации данного проекта перечислены
далее:
1.
Реклама в
газетах. Данный вид рекламы позволит передать клиентам конкретную информацию,
такую как цена, скидки, характеристика продаваемого продукта и т.д.
Преимущества
рекламы в газетах:
1) Газета, как правило, имеет
значительный тираж, т.е. доходит до большего числа потребителей, чем другие
СМИ.
2) У читателя рекламных объявлений в
газете больше времени на осмысление содержания объявления, чем в случае рекламы
по радио или телевизору.
3) Газеты эластичны в действии.
Объявление появится в номере через 1-3 дня после подачи, существует возможность
внести изменения в содержание.
4) Поместить объявление в газеты
проще и дешевле, чем в другие СМИ.
Предприятием планируется использовать
данный вид рекламы в рекламно-информационных еженедельниках Сахалина, таких как
журнал «Капитал-Экспресс», «Бизнес-Курьер» и другие.
2.
Реклама на радио.
Реклама на радио выполняет функции представления предприятия клиентам, и
помогает создать ему репутацию. Преимуществами данного вида рекламы являются
сравнительно невысокая стоимость и возможность избирательного воздействия на
потребителей.
Рассмотрим затраты на рекламу для продвижения товара и предприятия на
рынке данной деятельности (табл. 2.6):
Таблица 2.6 Затраты на рекламу
|
СМИ
|
Название
|
2007 г.
|
2008 г.
|
2009 г.
|
|
Реклама на радио
|
Радио «Сахалин»
|
5760
|
6393,6
|
7096,90
|
|
Реклама в прессе
|
Газеты
«Бизнес Курьер»
|
17280
|
19180,8
|
21290,69
|
|
«Капитал Экспресс»
|
20160
|
22377,6
|
24839,14
|
|
«Объявления»
|
3960
|
4395,6
|
4879,12
|
Всего
|
|
47160
|
52347,6
|
58105,84
|
Реклама на радио планируется еженедельно, при этом тариф за 1 неделю
составляет 120 руб., соответственно за месяц – 480 руб. За 2007 год -
480*12=5760 руб. в 2008 г. и 2009 г. – стоимость рассчитывается с учетом
инфляции 11 % в год (по данным Госкомстата).
Стоимость еженедельного объявления в газете «Бизнес курьер» составляет
360 руб., в месяц – 1440 руб., в год – 17280 руб.
Еженедельное объявление в газете «Капитал Экспресс» для ИП стоит 420
руб., в месяц – 1680 руб., в год – 20160 руб.
В газете «Объявления» планируется объявление раз в месяц. Его стоимость –
330 руб., в год - 3960 руб.
Для определения бюджета затрат на маркетинг, необходимо выделить
единовременные и текущие затраты (табл.2.7).
Таблица 2.7
Затраты на маркетинг
|
|
2007 г.
|
2008 г.
|
2009 г.
|
|
Текущие
|
Затраты на приобретение товара и
его реализацию
|
12 313,63
|
14 940,14
|
18 162,58
|
|
Затраты на сбыт
|
665,19
|
842,24
|
1067,86
|
|
СМИ
|
47,16
|
52,35
|
58,1
|
|
Единовременные
|
Затраты на приобретение товара и
его реализацию
(офисная мебель и техника)
|
150
|
|
|
|
Всего затрат
|
|
13 175,98
|
15 834,73
|
19 288,54
|
Представленный объем затрат можно принять для развития проекта, учитывая
значительные объемы прибыли, которую можно будет получить в рамках данного
проекта на основании маркетинговых исследований.
Анализ
конкурентов
Рыночная
экономика – это конкуренция. Чтобы выжить и иметь успех, предприятию необходимо
знать кто ее конкуренты, как они ведут бизнес, по возможности ключевые факторы
их успеха.
На рынке г.
Южно-Сахалинска практически нет компаний, серьезно занимающихся подобного вида
деятельности.
Предприятия,
как правило, стараются выиграть на низких издержках, приобретая материалы для
производства металлоконструкций низкого качества. Поэтому наше предприятие
будет приобретать только высококачественные материалы.
При этом,
нужно отметить, что строительные материалы, необходимые для реализации проекта,
закупаются не в Китае или Тайване, а у отечественных заводов изготовителей.
Таким образом, ООО «Стройиндустрия» выгодно отличается от всех предприятий,
работающих на рынке.
В таблице 2.8
приведены основные конкуренты предприятия, т.е. оптовые продавцы и
производители металлоконструкций на рынке г. Южно-Сахалинска.
Таблица 2.8
Основные конкуренты предприятия
|
Наименование
|
Доля на рынке %
|
|
ООО «Сектор»
|
10
|
|
ООО «СтройЛистКомплект»
|
20
|
|
ОАО «ТоргСтройСервис»
|
35
|
|
ООО «Стройиндустрия»
|
25
|
|
Прочие
|
10
|
|
Всего
|
100
|
Основная доля конкурентов специализируется на
реализации и производстве различных металлоконструкций, основным конкурентным
преимуществом предприятия будет являться цена, качество, исключительность
товара, репутация предприятия и объем поставок.
Для наглядности необходимо сравнить конкурентов по следующим основным
позициям: цена, реклама, каналы продвижения товаров по 10-бальной шкале (табл.
2.9-2.10).
Таблица 2.9
Сравнительная
характеристика конкурентов
|
Наименование
|
Цена
|
Реклама
|
Каналы продвижения
товаров
|
Качество
|
|
ООО «Сектор»
|
рыночные
|
Газеты
|
Оптовые продажи
|
Основной производитель - Россия
|
|
ООО «СтройЛистКомплект»
|
Оптовые
|
Газеты
ТВ
|
Оптовые
Мелкооптовые
Розничные
|
Россия, Италия, Испания
|
|
ОАО «ТоргСтройСервис»
|
Оптовые
|
Газеты
Радио
ТВ
|
Оптовые продажи
|
Россия
Франция
Италия
Испания
|
|
ООО «Стройиндустрия»
|
Оптовые
|
Газеты
Радио
|
Оптовые
Мелкооптовые
продажи
|
Россия
|
|
Прочие
|
Средне-рыночные
|
Газеты
|
Розничные
Мелкооптовые продажи
|
Китай
Тайвань
|
Таблица 2.10
Оценка конкурентов в баллах
|
Наименование
|
Оценка конкурентов в баллах
(по 10-бальной шкале)
|
|
ООО «Сектор»
|
8
|
|
ООО «СтройЛистКомплект»
|
9
|
|
ОАО «ТоргСтройСервис»
|
10
|
|
ООО «Стройиндустрия»
|
7
|
5
|
На основании произведенной оценки конкурентов, можно сделать вывод, что
наиболее значительными конкурентами являются крупные оптовые предприятия,
специализирующиеся на производстве и реализации металлоконструкций.
При этом многие из конкурентов они предлагают металлоконструкции
низкого качества производства – из материалов производства Китая или Тайвань,
при этом цены достаточно высокие в сравнении с предлагаемыми ценами ООО
«Стройиндустрия».
Можно сделать вывод, что ООО «Стройиндустрия» предлагает верную
конкурентную политику – сочетание оптовых цен и высокого качества.
2.6
Производственный план
Назначение и производство металлоконструкций
Металлические конструкции сегодня применяются во всех видах зданий и
инженерных сооружений, особенно если необходимы значительные пролёты, высота и
нагрузки.
Применение металлических конструкций по виду конструктивной
формы и назначению можно разбить на восемь областей:
1. Промышленные здания. Конструкции выполняются в виде
цельнометаллических или смешанных каркасов. (Применяются в зданиях с большими
пролётами, высотами и оборудованных мостовыми кранами большой
грузоподъёмности.);
2. Большепролётные покрытия зданий. Балочные, рамные, арочные, висячие, комбинированные,
причём как плоские, так и пространственные системы. К этим конструкциям
предъявляют высокие эстетические требования;
3. Мосты, эстакады. Балочные, арочные, висячие, комбинированные системы;
4. Листовые конструкции. В виде резервуаров, газгольдеров, бункеров,
трубопроводов большого диаметра и различных сооружений доменного комплекса;
5. Башни и мачты. Применение стали обеспечивает этим конструкциям
необходимую лёгкость;
6. Каркасы многоэтажных зданий;
7. Крановые и другие подвижные конструкции. Выполняются из металла
позволяющего максимально уменьшить их массу;
8. Прочие конструкции.
Металлические конструкции обладают многими достоинствами,
позволяющим употреблять их в разнообразных областях строительства.
·
Надёжность
металлических конструкций обеспечивается сходством их действительной работы (распределение
напряжений и деформаций) с расчётными предположениями. Материал металлических
конструкций (сталь, алюминиевые сплавы) обладают большой однородностью
структуры и достаточно близко соответствует расчётным предпосылкам об упругой
или упругопластической работе материала.
·
Лёгкость. Из всех
изготовляемых в настоящее время несущих конструкций (железобетонные, каменные,
деревянные) металлические конструкции являются наиболее лёгкими.
·
Индустриальность.
Металлические конструкции в основной своей массе изготовляются на заводах,
оснащённых современным оборудованием, что обеспечивает высокую степень
индустриальности их изготовления. Монтаж металлических конструкций также весьма
индустриален, так как производится специализированными организациями по мощи
высокопроизводительной техники.
·
Непроницаемость.
Металлы обладают не только значительной прочностью, но и высокой плотностью -
непроницаемостью для газов и жидкостей. Плотность металла и его соединений,
осуществляемых при помощи сварки, является необходимым условием, для
изготовления и возведения листовых конструкций.
При применении металлических конструкций должны учитываться следующие
основные требования, которые выполняются на производстве:
·
Экономия металла.
Требование экономии металла определяется его относительно высокой стоимостью;
·
Транспортабельность.
В связи с изготовлением металлических конструкций на заводе с последующей
перевозкой на место строительства в проекте предусматривается возможность их
перевозки целиком или по частям (отправочными элементами) с применение
соответствующих транспортных средств;
·
Технологичность.
Конструкции проектируются с учётом требований технологии изготовления и монтажа
с ориентацией на наиболее современные и производительные технологические
приёмы, обеспечивающие максимальное снижение трудоёмкости;
·
Скоростной
монтаж. Конструкции соответствуют возможностям сборки их в наименьшие сроки с
учётом имеющегося монтажного оборудования;
·
Долговечность
конструкции определяется сроками её физического и морального износа. Физический
износ металлических конструкций связан главным образом с процессами коррозии,
для избежания этого применяются новейшие технологии обработки металла,
предохраняющей его от коррозии.
·
Моральный износ
связан с изменениями условий эксплуатации;
·
Эстетичность.
Конструкции независимо от их назначения должны обладать гармоничными формами.
Особенно существенно это требование при проектировании металлоконструкций для
общественных зданий и сооружений.
·
Все эти
требования удовлетворяются конструкторами нашей фирмы на основе выработанных
наукой и практикой принципов проектирования.
Экономия металла в металлических конструкциях достигается на основе
реализации следующих основных направлений:
ü
применение в
строительных конструкциях низколегированных и высокопрочных сталей;
ü
использование
наиболее экономичных прокатных и гнутых профилей;
ü
изыскания и
внедрения в строительство современных эффективных конструктивных форм и систем
(предварительно-напряжённых, висячих, трубчатых и т. п.);
ü
совершенствования
методов расчёта с использованием ЭВМ.
Помимо производства металлических конструкций фирма также будет
заниматься производством нестандартных изделий из металла. К ним будут
относиться кованные решётки с всевозможными рисунками (по желанию заказчика),
нестандартные элементы строительных конструкций (винтовые декоративные
лестницы, изящные перила всевозможных размеров и т. п.). Производство
нестандартных изделий будет осуществляться на участке металлоизделий и
нестандартного оборудования.
Также фирма "Стройиндустрия" будет осуществлять доставку товара
(по желанию заказчика). Эта дополнительная услуга (разумеется, платная) будет
приносить свою долю прибыли. Для доставки металлических конструкций большого размера
требуется соответствующий автотранспорт (трейлер, автопоезд и т.д.). Издержки
на содержания небольшого гаража будут окупаться с лихвой.
Сегмент рынка, для которого предназначен товар
Основными заказчиками металлоконструкций будут всевозможные
строительные фирмы, ведущие строительство в г. Южно-Са-халинске, и использующие
в строительстве металлические конструкции.
Были произведены различного рода исследования, с целью полностью
попытаться охарактеризовать сегмент рынка сбыта. В последнее время имеет место
быстрый рост проводимых строительных компаний. В основном строятся жилые дома,
причём в последнее время, такие в которых квартиры могут себе позволить в
основном состоятельные люди, особой популярностью пользуются дома с квартирами
улучшенной планировки. Это, как правило, двухуровневые квартиры большой
площади.
Строительство таких квартир невозможно без использования металлических
конструкций (всевозможные декоративные лестницы, нестандартные дверные проёмы,
арки, изящные балконы и лоджии и пр.). фирма полностью может удовлетворить
потребности такого рода. "Стройиндустрия" готова производить любые,
нужные заказчикам металлические конструкции.
На строительство одного, среднего по размерам, дома уходит около двух
лет, причём использование металлических конструкций необходимо на каждом этаже,
поэтому заказы от строительной компании, ведущей строительство этого дома,
будут поступать регулярно в течение всего срока строительства. Основными
металлическими конструкциями, используемыми в строительстве такого дома,
являются несущие балки. В среднем на один этаж требуется тридцать таких балок.
В Южно-Сахалинске на данный момент строится примерно пятнадцать таких домов. В
основном строятся 9 этажные дома.
Планируемый объём выпуска.
При планировании объёма выпуска на 2007 год фирма
"Стройиндустрия" будет учитывать следующее:
1)
Потенциальную
ёмкость рынка;
2)
Ёмкость рынка
увеличивается;
3)
Производство при
полной загрузки может выпускать продукции, примерно, в два раза больше.
При выполнении этого условия фирме выгоднее всего выпускать продукции
столько, сколько требуется заказчику, то есть 3600 т. балок в 2007 году, 4320
балок в 2008 году и 6048 балок в 2009 году.
При отрицательном влиянии факторов макросреды фирма
"Стройиндустрия" практически не сможет ничего поделать. Если наличие,
каких - либо отрицательных факторов существует постоянно можно сменить вид
деятельности.
Предлагаемый товар является товаром промышленного
назначения. У фирмы "Стройиндустрия" строго определённые покупатели.
Это, прежде всего, строительные фирмы (государственные или частные) и, совсем
маленький сегмент покупателей, которые строят дома сами себе. Поэтому рекламную
компанию будут, прежде всего, ориентировать на строительные фирмы.
Фирма "Стройиндустрия" будет распространять товар по каналу прямого
маркетинга, так как производимые фирмой металлоконструкции делаются на заказ
(по чертежам заказчика).
Для готовой продукции, которую заказчик сразу забрать не
может, потребуются складские помещения. Для этого нужно около 3000 квадратных
метров площади. Для этих целей "Стройиндустрия" будет использовать
часть производственных площадей (производство на полную мощность не работает,
поэтому места будет достаточно).
Также потребуются производственные запасы для бесперебойной работы. Фирма
"Стройиндустрия" будет хранить их там же, где и готовую продукцию.
Производственный план (по объему приобретения строительных материалов у
поставщиков и смете затрат) формируется на основе плана сбыта продукции
(товара) и расчета производственных мощностей предприятия.
Для реализации проекта планируется взять в аренду складское помещение для
хранения строительных материалов. Площадь помещения 200 м2, в ходе
реализации проекта будут рассмотрены варианты помещений.
Офисное помещение будет находиться вместе со складскими помещениями.
Расход электроэнергии планируется для помещения 200 м2 - 1000
кВт в месяц, по цене 1,81 кВт.
Стоимость отопления помещений от городской системы коммуникаций входит в
арендную плату.
Арендованное складское помещение оборудовано:
-
пандусом для погрузки и разгрузки автотранспорта;
-
в наличие отсеки для хранения различных по свойствам
строительных материалов;
-
подведены соответствующие инженерные коммуникации;
-
помещение находиться в близи основных транспортных
развязок.
В связи с чем, дополнительного переоборудования или приобретения каких
либо средств для хранения строительных материалов не требуется, что позволит
снизить затраты в данном аспекте.
Рассмотрим затраты на производство металлоконструкций и их реализацию в
табл. 2.11:
Таблица 2.11
Затраты
на производство металлоконструкций и их реализацию
|
Затраты на товар и его реализацию
|
2007 г., тыс.руб.
|
2008 г.
тыс.руб.
|
2009 г.
тыс.руб.
|
|
Стоимость оплаты за аренду
складских помещений и офисного помещения
|
720
|
792
|
871
|
|
Оплата электроэнергии
|
21,72
|
24,2
|
26,76
|
|
Приобретение мебели и оргтехники
для офисного помещения
|
150
|
|
|
|
Затраты на приобретение
строительных материалов и их реализацию
|
12 313,63
|
14 940,14
|
18 162,58
|
|
Затраты на утилизацию отходов и
охрану окружающей среды
|
19,3
|
22,4
|
24,6
|
|
Всего затрат
|
13224,65
|
15778,74
|
19084,94
|
Аренда складского помещения составляет 60 000 руб. в месяц, в год
сумма аренды составит 720 000 руб.
Мебель и оргтехника будет приобретаться в 2007 году, в последующие периоды
данные затраты отсутствуют. Сумма затрат на оргтехнику составляет 150 000
руб.
Представительские затраты определены из расчета 10 000 руб. в месяц
для проведения переговоров с покупателями и поставщиками и для командировок.
Общехозяйственные расходы составляют 30 000 руб. в месяц. В них входят канцелярские
принадлежности, расходные материалы для оргтехники, а так же прочие расходы.
Общие затраты на реализацию составляют в 2007 году - 12 463 635
руб., в 2008 году - 14 940 138 руб., в 2009 году –
18 162 582 руб.
2.7 Организационный план
В процессе
организационного планирования формируется организационная структура
предприятия, направленная на установление четких взаимосвязей между его
отдельными подразделениями: определяются размеры и организационная структура
обслуживающих и управленческих подразделений (маркетинг, материального
обеспечения, сбыта и т.д.).
Также здесь
дается прогнозная оценка кадрового потенциала (профессии, уровень квалификации,
требования к заработной плате и т.д.).
Рассмотрим планируемую организационную структуру ООО «
стройиндустрия», представленную на рис.2:
Рис.2. Организационная структура ООО «Стройиндустрия»
Предлагается линейно-функциональная организационная
структура, которая позволит полноценно функционировать предприятию во всех
аспектах его деятельности.
Руководить предприятием будет генеральный директор в
соответствии с действующим законодательством производственно-хозяйственной и
финансово-экономической деятельностью предприятия, неся всю полноту
ответственности и последствия принимаемых решений, сохранность и эффективное
использование имущества предприятия, а также финансово-хозяйственные результаты
его деятельности. Будет осуществлять организацию работы и эффективное
взаимодействие всех структурных подразделений, цеха и производственных единиц,
направляет их деятельность на развитие и совершенствование производства с
учетом социальных и рыночных приоритетов.
Главный бухгалтер организует работу по постановке и ведению бухгалтерского
учета организации в целях получения заинтересованными внутренними и внешними
пользователями полной и достоверной информации о ее финансово-хозяйственной
деятельности и финансовом положении. Руководит формированием информационной
системы бухгалтерского учета и отчетности в соответствии с требованиями
бухгалтерского, налогового, статистического и управленческого учета, обеспечивает
предоставление необходимой бухгалтерской информации внутренним и внешним
пользователям. Главному бухгалтеру подчиняется бухгалтерия предприятия.
Главный инженер определяет техническую политику и правления
технического развития предприятия, пути реконструкции и технического
перевооружения действующего производства, обеспечивает необходимый уровень
технической подготовки производства и его постоянный рост, повышение
эффективности производства и производительности труда, сокращение издержек
(материальных, финансовых, трудовых), рациональное использование
производственных ресурсов. Организует разработку и реализацию планов внедрения
новой техники и технологии, проведения организационно-технических мероприятий.
Главному инженеру предприятия подчиняется главный механик и
ремонтно-механический цех.
Главный конструктор предприятия руководит созданием новых и
модернизацией конструкций изделий (комплексов, машин, аппаратов, прибор
механизмов) действующего производства, обеспечивая их высокий технический
уровень, конкурентоспособность и платежеспособность, соответствие временным
достижениям науки и техники, требованиям экономичной технологии производства.
Принимает меры по ускорению освоения в производстве перспективных разработок,
новейших материалов, широкому внедрению научно-технических достижений.
Организует разработку проектов нестандартного оборудования и приспособлений в
связи с реконструкцией объектов, автоматизации производства и механизацией
трудоемких процессов. Главному конструктору на предприятии подчиняется отдел
стандартизации и сертификации строительных работ и опытно-экспериментальный
цех.
Заместитель по коммерческим вопросам предприятия осуществляет
руководство финансово-хозяйственной деятельностью предприятия в области
материально-технического обеспечения, заготовки и хранения сырья, сбыта
продукции на рынке и по договорам поставки, обеспечивает эффективное и целевое
использование материальных и финансовых ресурсов, снижение их потерь, ускорение
оборачиваемости оборотных средств. В его подчинении на предприятии находится
отдел сбыта и рекламы.
Заместитель по капитальному строительству и ремонту
осуществляет руководство непосредственным выполнением работ по производству
металлоконструкций. Организует разработку проектов долгосрочных, среднесрочных
и текущих планов капитального строительств, составление титульных
списков на все объекты капитального строительства, заявок на строительные
материалы и оборудование . Принимает участие в заключении договоров с
проектными организациями и с генеральными подрядчиками. Следит за выполнением
проектными и строительными организациями договорных обязательств, в необходимых
случаях предъявляет санкции, предусмотренные договорами. В его подчинение
входит строительный цех предприятия.
В следующей таблице представим планируемую численность
персонала для полноценной деятельности предприятия:
Таблица 2.12
Планируемая
численность персонала
Показатель
|
Значение показателя
|
Изменение
|
2007 г.
|
2008 г.
|
2009 г.
|
Абсолютное
|
Относительное,%
|
|
2008/
2007
|
2009/
2008
|
2008/
2007
|
2009/
2008
|
|
Среднесписочная численность:
|
14
|
17
|
20
|
3
|
3
|
121,43
|
117,65
|
|
Управленческого персонала
|
3
|
4
|
5
|
1
|
1
|
133,33
|
125,00
|
|
Производственных рабочих
|
11
|
13
|
15
|
2
|
2
|
118,18
|
115,38
|
Численность управленческого персонала и рабочих планируется ежегодно
увеличивать, что обусловлено плановым увеличением освоения мощностей
предприятия и увеличением объемов производства, для чего необходимо будет
внедрение дополнительного персонала.
В следующий таблице представим планируемый квалификационный состав работников
предприятия:
Таблица 2.13
Анализ
квалификационного состава работников
Показатель
|
Значение показателя
|
Изменение
|
2007 г.
|
2008 г.
|
2009 г.
|
Абсолютное
|
Относительное, %
|
|
2008/
2007
|
2009/
2008
|
2008/
2007
|
2009/
2008
|
|
1. Образование
|
|
|
|
|
|
|
|
|
1.1. руководители, начальники отделов, специалисты,
служащие
|
16
|
19
|
24
|
3
|
5
|
118,8
|
126,3
|
|
- высшее
|
16
|
19
|
24
|
3
|
5
|
118,8
|
126,3
|
|
- средне-специальное
|
-
|
-
|
-
|
-
|
-
|
-
|
-
|
|
профессионально-техническое
|
-
|
-
|
-
|
-
|
-
|
-
|
-
|
|
1.2. рабочие
|
47
|
53
|
60
|
|
7
|
112,8
|
113,2
|
|
- высшее
|
-
|
-
|
-
|
-
|
-
|
-
|
-
|
|
средне-специальное
|
18
|
24
|
29
|
6
|
5
|
133,3
|
120,8
|
|
профессионально-техническое
|
29
|
29
|
31
|
0
|
2
|
100,0
|
106,9
|
|
2. Квалификационные разряды рабочих
|
|
|
|
|
|
|
|
|
2
|
4
|
2
|
1
|
-2
|
-1
|
50,0
|
50,0
|
|
3
|
16
|
13
|
11
|
-3
|
-2
|
81,3
|
84,6
|
|
4
|
19
|
21
|
24
|
2,2
|
3
|
111,7
|
114,3
|
|
5
|
6
|
10
|
16
|
4
|
6
|
166,7
|
160,0
|
|
6
|
2
|
7
|
8
|
5
|
1
|
350,0
|
114,3
|
|
Средний квалификационный разряд
рабочих
|
3,7
|
4,13
|
4,32
|
|
|
|
|
|
|
|
|
|
|
|
|
|
Показатели таблицы говорят о том, что планируется ежегодное повышение
квалификационных разрядов рабочих, при этом 100 % управленческого состава при
приеме на работу изначально должны иметь высшее образование.
Рассмотрим систему оплаты труда, планируемую на предприятии:
Таблица 2.13
Планируемая организация заработной платы на предприятии
Показатель,
тыс.руб.
|
Значение показателя
|
Изменение
|
2007 г.
|
2008 г.
|
2009 г.
|
Абсолютное
|
Относительное,%
|
|
2008 к
2007
|
2009 к
2008
|
2008 к
2007
|
2009 к
2008
|
|
Фонд оплаты труда рабочих, в т.ч.:
|
1748,20
|
1867,8
|
1977,36
|
119,59
|
109,56
|
106,84
|
105,87
|
|
1. Переменная часть оплаты труда
рабочего персонала
|
961,51
|
971,26
|
1 127,10
|
9,74
|
155,84
|
101,01
|
116,05
|
|
1.1 По сдельным расценкам
|
673,06
|
728,44
|
901,68
|
55,38
|
173,23
|
108,23
|
123,78
|
|
1.2 Премии за производственные
результаты
|
288,45
|
242,81
|
225,42
|
-45,64
|
-17,39
|
84,18
|
92,84
|
|
2. Постоянная часть оплаты труда
|
786,69
|
896,54
|
850,26
|
109,85
|
-46,28
|
113,96
|
94,84
|
|
2.1 Повременная оплата труда по
тарифным ставкам
|
629
|
744
|
723
|
114,78
|
-21,41
|
97,12
|
|
2.2 Доплаты
|
157,34
|
152,41
|
127,54
|
-4,93
|
-24,87
|
96,87
|
83,68
|
|
2.2.1 Материальная помощь
|
23,60
|
38
|
36,99
|
14,50
|
-1,12
|
161,45
|
97,07
|
|
2.2.2 Прочие премии
|
51,92
|
53,34
|
48,47
|
1,42
|
-4,88
|
102,74
|
90,85
|
|
3. Оплата отпусков рабочих
|
94,40
|
134,48
|
144,55
|
40,08
|
10,06
|
142,45
|
107,48
|
|
4. Оплата труда руководителей,
специалистов, служащих
|
5155,128
|
5400,768
|
6017,1
|
245,64
|
616,33
|
104,76
|
111,41
|
|
4.1 Премии за производственные
результаты
|
773,2692
|
918,13
|
1083,078
|
144,86
|
164,95
|
118,73
|
117,97
|
|
5. Постоянная часть оплаты труда
руководителей, специалистов, служащих
|
4 381,86
|
4 482,64
|
4 934,02
|
100,78
|
451,38
|
102,30
|
110,07
|
|
5.1 Повременная оплата труда по
тарифным ставкам
|
1314,56
|
1748,23
|
1973,61
|
433,67
|
225,38
|
132,99
|
112,89
|
|
5.2 Доплаты
|
197,18
|
297,20
|
414,46
|
100,02
|
117,26
|
150,72
|
139,45
|
|
5.2.2 Материальная помощь
|
19,72
|
35,66
|
62,17
|
15,95
|
26,50
|
180,87
|
174,32
|
|
5.2.3 Прочие премии
|
41,41
|
83,22
|
145,06
|
41,81
|
61,84
|
200,96
|
174,32
|
|
6. Оплата отпусков служащих
|
136,06
|
178,32
|
207,23
|
42,26
|
28,91
|
131,06
|
116,21
|
|
7. Общий фонд заработной платы
|
6903,336
|
7268,568
|
7994,46
|
365,23
|
725,89
|
105,29
|
109,99
|
|
В том числе
|
|
|
|
|
|
|
|
|
Переменная часть
|
1 734,78
|
1 889,39
|
2 210,17
|
154,60
|
320,79
|
108,91
|
116,98
|
|
Постоянная часть
|
5 168,55
|
5 379,18
|
5 784,29
|
210,63
|
405,11
|
104,08
|
107,53
|
|
8. Удельный вес в общем фонде
зарплаты, %
|
|
|
|
|
|
|
|
|
Переменной части
|
25,13
|
25,99
|
27,65
|
0,86
|
1,65
|
103,44
|
106,36
|
|
Постоянной части
|
74,87
|
74,01
|
72,35
|
-0,86
|
-1,65
|
98,85
|
97,77
|
|
Средняя з/п по предприятию
|
17,43
|
17,82
|
18,51
|
0,38
|
0,69
|
102,19
|
103,88
|
|
|
|
|
|
|
|
|
|
В
ООО «Стройиндустрия» предусмотрена сдельно – премиальная оплата труда рабочих и
оклад для административно – управленческого персонала. В таблице 2.12
представлены данные по оплате труда за рассматриваемый период. Заработная плата
рабочих представляет собой переменную часть фонда оплаты труда, следовательно,
зависящую от объема работ, удельной трудоемкости и уровня среднечасовой оплаты
труда. Фонд оплаты труда сдельщиков определяется произведением следующих
факторов: численности рабочих, количества отработанных одним рабочим дней,
средней продолжительности рабочего дня и среднечасовой оплаты труда данной категории
работников.
2.8 Правовое
обеспечение проекта
Правовым обеспечением проекта являются законодательные, нормативные и
другие документы, имеющие правовую силу и отношение к данному проекту, в том
числе:
·
сертификаты
качества продукции;
·
международная,
федеральная, региональная или местная программы;
·
законодательные
акты и другие решения органов власти;
·
особенности
налогообложения;
·
договора, в том
числе аренды, купли-продажи;
·
гарантийные
письма, заявки.
2.9 Оценка рисков проекта и
меры по их минимизации
Связаны с нестабильностью хозяйственного, налогового, банковского,
земельного и других законодательств в РФ, отсутствием поддержки или
противодействием правительства и т.п.
Меры по снижению
риска:
·
выработка
внутренней налоговой политики;
·
формирование
деловой внешней среды (партнеры, консорциумы, финансово-промышленные группы);
·
активное
участие учредителей во взаимодействии с властными структурами;
·
придание
учреждению статуса медицинского.
Связаны с несовершенством законодательства, нечетко оформленными
документами, неясностью судебных мер в случае разногласий учредителей
(например, в иностранном суде и т.п.), затягивание сроков Подрядчиком.
Меры по снижению
риска:
·
четкая
и однозначная формулировка соответствующих статей в документах;
·
привлечение для
оформления документов специалистов, имеющих практический опыт в этой области;
·
выделение
необходимых финансовых средств для оплаты высококлассных юристов и
переводчиков.
Связаны со сложностью проведения работ и отсутствием на настоящий момент
технического проекта.
Возможно неполное использование оборудования и задержка во вводе
технических систем.
Меры по снижению
риска:
·
ускоренная
проработка (или получение гарантий от поставщиков) технической увязки
оборудования и технических комплексов;
·
заключение
контрактов на условии «под ключ» с санкциями за неувязки и срывы сроков;
·
страхование
технических рисков.
Связаны в первую очередь с возможностью задержек ввода в эксплуатацию
новых технических средств и недостаточно высокого качества предоставляемых
услуг.
Оценку качества и рейтинга оказываемых услуг невозможно сделать с
достаточной степенью точности и поэтому есть риск, что она может быть
недостаточно высокой.
Потенциал выпуска качественной продукции в перспективе высок.
Существенным риском может явиться отсутствие высоко квалифицированного
персонала (по производству металлоконструкций).
Меры по снижению
рисков:
·
четкое
календарное планирование и управление реализацией проекта;
·
ускоренная
разработка дизайн концепции, включая критерии качества;
·
разработка и
использование продуманной системы контроля качества услуг на всех этапах ее
создания;
·
обоснование и
выделение достаточных финансовых средств для приобретения высококачественного
оборудования;
·
подготовка
квалифицированных кадров (в том числе за рубежом).
При становлении данного вида бизнеса могут возникнуть следующие социально-психологические
риски:
·
социальная
напряженность в коллективе;
·
дефицит,
текучесть профессиональных кадров;
·
наличие
деструктивной позиции.
Меры по снижению
риска:
·
подбор
профессиональных кадров (включая тестирование), при необходимости – обучение;
·
выработка механизма стимулирования
работников, включая участие в результатах работы Компании;
·
система сквозной
многоуровневой информированности коллектива и управленцев;
·
разработка
эффективного подхода к формированию и распределению фонда оплаты труда.
Связаны с возможными задержками выхода на рынок, неправильным (без учета
потребностей рынка) выбором услуг, ошибочным выбором маркетинговой стратегии,
ошибками в ценовой политике и т.п.
Задержки выхода на рынок могут быть вызваны как
производственно-техническими причинами, рассмотренными выше, так и
неготовностью компании эффективно реализовать и продвинуть на рынок свой
технический, производственный, художественный и другой потенциал, что требует соответствующей
мировым стандартам маркетинговой программы и реализующей ее службы.
Поскольку в настоящий момент не имеется полномасштабной программы
маркетинговых мероприятий, то оценка степени решения маркетинговых задач
низкая. В то время как для фирмы, ставящей целью отвоевать часть рынка у
конкурирующих фирм, маркетинговые задачи должны быть первоприоритетными.
Анализ конкурентов показывает, что конкурентная борьба будет жесткой,
конкуренты имеют ряд преимуществ. В связи с этим необходимо тщательно осознать
свои главные преимущества и сфокусировать на них основные усилия и ресурсы.
Меры по снижению
риска:
·
создание
сильной маркетинговой службы;
·
разработка
маркетинговой стратегии;
·
разработка и
реализация продуктовой (ассортиментной) политики и подчинение ей деятельности
всех подразделений (например, путем разработки и использования технологии
управления по результатам);
·
разработка и
реализация программы маркетинговых мероприятий;
·
проведение
полного комплекса маркетинговых исследований и т.п.
Связаны в первую очередь с обеспечением доходов, зависящих в первую
очередь от рекламы, а также с привлечением инвестиций.
Меры по снижению
риска:
·
неотложное
проведение исследований требований заказчиков
·
разработка и
использование продуманной системы контроля качества услуг на всех этапах их
создания;
·
обоснование и
выделение достаточных финансовых средств для создания и приобретения
высококачественного оборудования;
·
использование
подхода диверсификации источников дохода;
·
выход на фондовый
рынок.
Другим важнейшим фактором финансового риска является
необходимость своевременного получения крупных инвестиций.
Наличие инвестиций является необходимым условием начала проекта:
насколько они задержатся, настолько задержится начало проекта.
Таким образом, инвестиции – это самый жесткий и жизненно
важный фактор.
В следующей таблице представим методы страхования вышеуказанных
видов рисков.
Таблица 2.14
Методы страхования рисков
|
Вид риска
|
Степень риска
|
Методы страхования от риска
|
|
1
|
2
|
3
|
|
1.Неблагоприятные изменения
рыночной конъюнктуры
|
Неизбежный
|
1.Глубокое маркетинговое
исследование рынка, проводимое систематически;
2.Применение прогрессивных методов
обслуживания клиентов
|
|
2.Противодействие конкурентов.
Недобросовестная конкуренция
|
Допустимый
|
1.Использование методов судебной
защиты;
2.Отслеживание конъюнктуры рынка;
3.Использование аппарата маркетинга
|
|
3.Инфляционные процессы
|
Допустимый
|
1.Проведение разумно обоснованной
ценовой политики: рост цен не отстаёт от уровня инфляции
|
|
4.Форс-мажорные обстоятельства
|
Чрезмерный
|
1.Страхование имущества и клиентов
|
|
5.Финансовые риски
|
Неизбежный
|
1.Создание высокого
финансово-кредитного потенциала
|
Меры по снижению
риска:
·
разнообразие
предлагаемых схем финансирования проекта;
·
разработка
инвестиционно-финансовой стратегии, целью которой является попадание в зону
прибыльного функционирования;
·
проведение
комплекса мер по поиску инвестиционных и кредитных ресурсов.
Ближайшие шаги разработчиков и собственников проекта:
·
проведение
углубленной проблемной диагностики проекта;
·
проведение
комплекса мер по поиску инвестиционных и кредитных ресурсов;
·
организация
коллективной работы руководства верхнего и среднего уровня с консультантами по
выработке стратегии и конкретной программы мероприятий, в первую очередь,
связанных с маркетингом, рекламой и диверсификацией и обеспечивающих:
·
установление ООО;
·
высокую
экономическую эффективность проекта;
·
минимизацию
риска;
·
формирование и
организационное оформление команд для реализации выработанных мероприятий;
·
поиск
стратегических зарубежных партнеров, имеющих опыт в создании подобных
учреждений и способных оказать техническую и инвестиционную поддержку.
Любое предприятие стремится обезопасить себя от случайных потерь, поэтому
необходимо застраховать наиболее вероятные риски:
·
Страхование
имущества фирмы от пожара (6600 руб. в год);
·
Страхование
стоимости возможных убытков от небрежности работников фирмы (2500 руб. в год).
Общие расходы в год на страхование: 6600+2500 = 9100 руб.
2.10 Финансовый план
Цель этого раздела - выявить, каковы будут доходы от продаж и прибыль за
первый, и последующие годы как результат выбранной финансовой стратегии. В
бизнес-плане он представляется в виде расписания по финансированию (для вновь
начатого проекта все оценки являются прогнозными).
Для нового проекта предсказание поступления денежных средств является
более важным, чем предсказание прибылей, так как оно детализирует сумму и время
притока и оттока денег. Обычно уровень прибылей (особенно в стартовый период)
недостаточен для финансирования потребностей по операциям. Прогноз уровня
продаж и расходов, предсказание поступления денег укажут требования к капиталу,
определят необходимость в возможных изменениях в некоторых критических
обстоятельствах, дополнительном финансировании, как и на каких условиях, может
быть получено дополнительное финансирование, как может быть возвращен кредит.
Эта информация становится частью прогноза поступления денег.
Финансовые прогнозы составляются на несколько лет.
В бизнес-плане отражаются названные направления финансовой деятельности,
включая предварительную оценку эффективности инвестиций.
Разработка финансового плана позволяет оценить финансовую устойчивость будущего
предприятия и выработать стратегию финансирования, включая определение
источников финансирования и их изменения в будущем, с учетом стратегии роста
производства.
Предполагается, что предприятие будет использовать упрощенную систему налогообложения
и будет уплачивать единый налог в размере 15% от полученного дохода,
уменьшенного на величину расходов.
Для финансового анализа определяется объем реализации. Сумма выручки в
2007 г. составит 17 056 127 рублей в 2008 г. - 21 595 923 рубля
и в 2009 г. она составит 27 381 089 рублей.
Для полного понимания изменения выручки, необходимо рассмотреть, каким
образом изменяется динамика роста объемов продаж и почему.
Таблица 2.15
Динамика роста объемов продаж
|
наименование
|
2007 г.
|
2008 г.
|
2009 г.
|
|
Кол-во
|
Выручка
|
Кол-во
|
Выручка
|
Кол-во
|
Выручка
|
|
Металло-
конструкции
|
316345
|
17056127
|
400545,93
|
21595923
|
507845,1
|
27381089
|
|
Относительное
изменение роста объемов продаж, %
|
100
|
|
127
|
|
161
|
|
Данное изменение динамики роста продаж обусловлено
изученной динамикой производства в отдельных подотраслях промышленности строительных
материалов (по данным Госкомстата) в настоящее время и маркетинговыми
исследованиями потребительского спроса конкурирующих предприятий в данной сфере
деятельности г. Южно-Сахалинска в 3-х летнем периоде.
Рассмотрим планирование денежных потоков предприятия в
процессе оценки инвестиционного проекта в табл. 2.16.
Таблица 2.16
Планирование денежных потоков предприятия в процессе оценки
инвестиционного проекта
|
1. Притоки (+) и оттоки (-) денежных средств от
операционной деятельности предприятия (тыс.руб)
|
|
Показатель
|
2007 г.
|
2008 г.
|
2009 г.
|
|
Доход от строительных работ (+)
|
-
|
-
|
-
|
|
Себестоимость строительных работ (-)
|
-
|
-
|
-
|
|
Прочие операционные доходы (+)
|
-
|
-
|
-
|
|
Прочие операционные расходы(-)
|
-
|
-
|
-
|
|
Внереализационные доходы (+)
|
-
|
-
|
-
|
|
Внереализационные расходы (-)
|
-
|
-
|
-
|
|
Текущий налог на прибыль (-)
|
-
|
-
|
-
|
|
1.1.Денежные потоки от операционной деятельности
|
-
|
-
|
-
|
2. Притоки и оттоки денежных средств от инвестиционной
деятельности предприятия
|
|
Приобретение материалов(-)
|
8 528,11
|
10 788,06
|
13 646,9
|
|
Выручка от реализации металлоконструкций (+)
|
17 056, 13
|
21 595,93
|
27 381,09
|
|
Затраты на реализацию металлоконструкций (-)
|
978,65
|
658,77
|
388,04
|
|
Приобретение, аренда, установка и монтаж нового
оборудования (-)
|
150
|
-
|
-
|
|
Введение новых основных фондов (т.к. новое оборудование
становится собственностью предприятия) (+)
|
150
|
-
|
-
|
688,87
|
998,37
|
1 382,78
|
|
ФОТ персонала (-)
|
2 268
|
2 494,8
|
2 744,28
|
|
2.1.Денежные потоки от внедренного инвестиционного проекта
|
4 592,50
|
6 655,93
|
9 219,09
|
3. Потоки денежных средств от финансовой деятельности
|
|
Процент к получению(+)
|
-
|
-
|
-
|
|
Процент к уплате (-)
|
-
|
-
|
-
|
|
Доходы от участия в других
организациях (+)
|
-
|
-
|
-
|
|
Денежные потоки от финансовой деятельности
|
-
|
-
|
-
|
|
3.1.Денежные потоки предприятия по всем видам деятельности
(1.1+2.1+3.1)
|
-
|
-
|
-
|
|
|
|
|
|
|
|
На основании расчета планируемых денежных потоков предприятия,
в период 2007-2009 г.г., можно сделать следующий вывод: все денежные потоки,
предприятия, формирующиеся под влиянием денежных притоков и оттоков, имеют
положительное значение.
Наблюдается ежегодный прогнозируемый рост денежных потоков предприятия от
инвестиционной деятельности.
Денежные потоки в процессе реализации инвестиционного проекта (за счет
предприятия) уже в первый год имеют положительное значение, что говорит о
прибыльности внедрения нового проекта и незначительных затратах для
предприятия. Поэтому такой проект необходимо принять к исполнению для
увеличения доли прибыли предприятия и улучшения его финансового положения.
График безубыточности и расчет точки безубыточности представлен в прил.2
Сформируем отчет о прибылях и убытках в табл. 2.17:
Таблица 2.17
Отчет о прибылях и убытках
|
Показатель
|
2007 г.
|
2008 г.
|
2009 г.
|
|
Выручка
|
17 056 127
|
21 595 923
|
27 381 089
|
|
Себестоимость металлоконструкций
|
12 463 635
|
14 940 138
|
18 162 582
|
|
Прибыль от продаж
|
4 592 492
|
6 655 785
|
9 218 507
|
|
Операционные доходы и расходы
|
-
|
-
|
-
|
|
Внереализационные доходы и расходы
|
-
|
-
|
-
|
|
Прибыль до налогообложения
|
4 592 492
|
6 655 785
|
9 218 507
|
|
Налоги
|
688 874
|
998 368
|
1 382 776
|
|
Чистая прибыль
|
3 903
618
|
5 657
417
|
7 835
731
|
Данные отчета о прибылях и убытках проекта, в частности,
ежегодно увеличивающаяся чистая прибыль проекта, говорит о его рентабельности,
что позволит предприятию быть рентабельным и финансово устойчивым.
Произведем анализ чувствительности проекта.
Данный анализ проводится на основе оценки пессимистичных и
оптимистичных прогнозов бухгалтера предприятия и маркетолога (табл. 2.18).
Таблица 2.18
Анализ чувствительности проекта
|
Показатели
|
Пессимистические оценки
|
Ожидаемые значения
|
Оптимистические оценки
|
|
1.
Исходные данные
|
|
Выручка от продаж,
|
13644,9
|
17 056, 13
|
20808,47
|
|
Себестоимость производства металлоконструкций
|
15205,63
|
12 463,64
|
9970,90
|
|
Годовые постоянные расходы, в т.ч.:
|
2644,4
|
3305,52
|
4032,73
|
|
ФЗП производственного персонала
|
1814,4
|
2268
|
2766,96
|
|
Отчисления от ФЗП
|
254,0
|
317,52
|
387,37
|
|
Аренда
|
576,0
|
720
|
878,4
|
|
Переменные расходы, в.т.ч.:
|
6849
|
8549,83
|
10421,69
|
|
Приобретение материалов для производства металлоконструкций
|
6822,5
|
8528,11
|
10404,29
|
|
Эл.энергия
|
26,5
|
21,72
|
17,4
|
|
Срок реализации проекта, лет
|
1
|
2
|
3
|
|
Единовременные инвестиционные затраты
|
3000
|
|
|
|
Проектная дисконтная ставка, коэф.
|
0,25
|
0,2
|
0,2
|
|
Ставка налога на прибыль, %
|
15
|
15
|
15
|
|
2.
Расчетные
показатели
|
|
Чистая текущая стоимость (NPV), тыс. руб.
Относительное отклонение от базовой величины, %
|
6973,07
1743,27
20
|
8716,34
|
10633,93
1917,59
22
|
|
NPV по выручке от продаж, тыс. руб.
Абсолютное влияние на NPV изменения выручки от продаж, тыс. руб. Относительное
отклонение, %
|
44025,46
15468,18
26
|
59493,64
|
73772,11
14278,47
24
|
|
NPV по себестоимости, тыс. руб.
Абсолютное влияние на NPV изменения себестоимости, тыс. руб.
Относительное отклонение, %
|
49090,63
9818,13
25
|
39272,5
|
34559,8
4712,7
12
|
|
NPV по переменным расходам, тыс. руб.
Абсолютное влияние на NPV изменения переменных расходов, тыс. руб.
Относительное отклонение, %
|
32576,15
4249,06
15
|
28327,09
|
25494,38
2832,71
10
|
NPV
по выручке от продаж =
=
(13644,9/(1+0,25)+17056,13/(1+0,2)+20808,47/(1+0,2))-3000=17056,13+20467,35+24970,16-3000=59493,64
тыс. руб.
NPV
по себестоимости =
=(15205,63/(1+0,25)+12463,64/(1+0,2)+9970,9/(1+0,2))-3000=19007,04
+14956,37+8309,08-3000=39272,5 тыс. руб.
NPV
по перемен. расходам =
= (6849/(1+0,25)+8549,83/(1+0,2)+10421,69/(1+0,2))-3000=
8561,25+10259,8+12506,04-3000=28327,09 тыс. руб.
Анализируя чувствительность проекта, можно сделать
следующие выводы: как при пессимистичных оценках проекта, так и при
оптимистичных отрицательных значений чисто текущей стоимости не выявлено, что
говорит о высокой рентабельности проекта в разных вариантах его осуществления.
3. ОЦЕНКА ЭФФЕКТИВНОСТИ БИЗНЕС-ПЛАНА
Для того чтобы принять окончательное решение о реализации данного проекта
нужно оценить его экономическую эффективность. Экономическая эффективность
проекта - это результативность экономической деятельности, определяемая
отношением полученного экономического эффекта (результата) к затратам,
обусловившим получение этого эффекта.
Экономическая эффективность проекта оценивается в течение расчетного
периода, охватывающего временной интервал от начала проекта до его реализации.
Начало расчетного периода рекомендуется определять как дату начала вложения
средств в проект.
В качестве основных показателей, используемых для расчета экономической
эффективности инвестиционного проекта, применяются:
1) РВ (Payback Рeriod) - период окупаемости проекта;
2) DPB (Discounted payback period) - дисконтированный период окупаемости;
3) ARR (Average rate of return) - средняя норма рентабельности;
4) NPV (Net Present Value)- чистая приведенная стоимость;
5) IRR (Internal Rate of Return) - внутренняя норма доходности
6) PI (Profitability Index) - доходности инвестиций;
Рассмотрим методику расчета данных показателей.
1.
Периода
окупаемости проекта:
Период окупаемости - это время, требуемое для покрытия начальных инвестиций
за счет чистого денежного потока, генерируемого инвестиционным проектом.
Расчет показателя:
где Investments - начальные инвестиции;
CFt - чистый денежный поток месяца;
PB - период окупаемости.
Для того, что бы проект мог быть принят, необходимо чтобы срок окупаемости
был меньше длительности проекта.
РВ = 3 000 000 : (( 3 903 618 + 5 657 417 + 7 835
731) : 36)) = 3 000 000 : 483243,50 = 6,2
Как видим из расчета, период окупаемости проекта составляет 6 месяцев.
Именно за этот период окупятся первоначальные инвестиции в сумме 3 млн. руб.
Срок проекта составляет 36 месяцев, соответственно окупаемость проекта
гарантированная, что позволяет сделать выводы о привлекательности данного
проекта.
Однако реализация бизнес-плана осуществляется во времени (в течение 3-х
лет), поэтому установлена годовая ставка дисконтирования в размере 20 %. Для
определения окупаемости проекта с учетом ставки дисконтирования нам необходимо
рассчитать дисконтированный период окупаемости.
Дисконтированный период окупаемости рассчитывается аналогично простому
периоду окупаемости, однако при суммировании чистого денежного потока
производится его дисконтирование.
Расчет показателя:
где Investments - начальные инвестиции;
CFt - чистый денежный поток месяца;
r - годовая ставка дисконтирования;
DPB - дисконтированный период окупаемости.
DPB = 3000000
: ((3903618 : (1+0,20) + 5657417 : (1+0,2)+7835731 : (1+0,2) / 36 ) = 3000000 :
((3253015+3928762+4534567) /36) = 3000000: 325454 = 9,2
Как видим из расчета, дисконтированный период окупаемости проекта
составляет 9 месяцев, что на 2 месяца больше простого периода окупаемости,
однако дисконтированный период окупаемости проекта так же меньше общего срока
проекта (36 мес.), соответственно проект имеет экономическую целесообразность.
Еще один показатель, определяющий экономическую эффективность проекта,
является средняя норма рентабельности.
Средняя
норма рентабельности представляет доходность проекта как отношение между
среднегодовыми поступлениями от его реализациями и величиной начальных
инвестиций.
Расчет показателя:
где Investments - начальные инвестиции
CFt - чистый денежный поток проекта
N - длительность проекта (в годах);
ARR-
средняя норма рентабельности.
ARR =
(3903618+5657417+7835731): (3 * 3000000) = 17396766 : 9000000 = =1,93
Получили среднюю норму рентабельности равную 193 %. Этот показатель
определяет норму дохода на каждый вложенный рубль. Как видим по нашему проекту
предприятие (инвестор) получает 93% доходности от вложений в проект. Полученная
норма очень высокая, что позволяет сделать вывод о высокой доходности данного
проекта и не только быстрой окупаемости, но и о дальнейшей эффективной работе
по данному направлению торговли.
Поскольку денежные средства распределены во времени, то и здесь фактор
времени играет важную роль.
При оценке инвестиционных проектов используется метод расчета чистого приведенного дохода, который
предусматривает дисконтирование денежных потоков: все доходы и затраты приводятся
к одному моменту времени.
Центральным показателем в рассматриваемом методе является показатель NPV (Net Present
Value) чистой приведенной стоимости –
текущая стоимость денежных потоков за вычетом текущей стоимости денежных
оттоков. Это обобщенный конечный результат инвестиционной деятельности в
абсолютном измерении.
При разовой инвестиции расчет чистого приведенного
дохода можно представить следующим выражением:
где Rk –
годовые денежные поступления в течение n
лет, k = 1, 2, …, n;
IC – стартовые инвестиции;
i – ставка дисконтирования;
NPV-
чистая приведенная стоимость.
Важным моментом является выбор ставки дисконтирования, которая должна
отражать ожидаемый усредненный уровень ссудного процента на финансовом рынке.
Для определения эффективности инвестиционного проекта в качестве ставки
дисконтирования используется средневзвешенная цена капитала, используемого
предприятием для финансирования данного инвестиционного проекта. В нашем случае
чистая приведенная стоимость составит:
NPV =
(3903618/ (1+0,2) + 5657417/ (1+0,2) + 7835731/(1+0,2)) - 3000000= 3253015+
3928762+4534567-3000000=8 716 344
Показатель NPV является абсолютным приростом, поскольку оценивает, на
сколько приведенный доход перекрывает приведенные затраты:
·
при NPV > 0 проект следует принять;
·
при NPV < 0 проект не принимается,
·
при NPV = 0 проект не имеет ни прибыли, ни
убытков.
По данным расчетам можно сделать вывод, что NPV проекта больше 0, то есть приведенный доход покрывает общую
сумму приведенных затрат и в абсолютном показателе составил +
8 716 344 руб.
Необходимо отметить, что показатель NPV
отражает прогнозную оценку изменения экономического потенциала предприятия
в случае принятия данного проекта. Одно из важных свойств данного критерия, что
показатель NPV различных
проектов можно суммировать, поскольку он аддитивен во времени. Это позволяет
использовать его при анализе оптимальности инвестиционного портфеля.
Для дальнейшего определения целесообразности нашего проекта рассчитываем
внутреннюю доходность проекта. Под Внутренней доходностью (нормой рентабельности инвестиции - IRR)
понимают значение коэффициента дисконтирования, при котором NPV проекта равен нулю.
Смысл расчета этого коэффициента при анализе эффективности планируемых
инвестиций заключается в следующем: IRR показывает максимально
допустимый относительный уровень расходов, которые могут быть ассоциированы с данным
проектом. Например, если проект полностью финансируется за счет ссуды
коммерческого банка, то значение IRR показывает
верхнюю границу допустимого уровня банковской процентной ставки, превышение
которого делает проект убыточным.
На практике любое предприятие финансирует свою деятельность, в том числе
и инвестиционную, из различных источников. В качестве платы за пользование
авансированными в деятельность предприятия финансовыми ресурсами оно уплачивает
проценты, дивиденды, вознаграждения и т.п., т.е. несет некоторые обоснованные
расходы на поддержание своего экономического потенциала.
Показатель, характеризующий относительный уровень этих расходов, можно
назвать "ценой" авансированного капитала (CC).
Определим
норму рентабельности инвестиций нашего проекта. Для этого выбираются два
значения коэффициента дисконтирования r1<r2 таким образом, чтобы в интервале
(r1,r2) функция NPV=f(r) меняла свое значение с "+" на "-"
или с "-" на "+". Далее применяют формулу:
,
где r1 — значение
табулированного коэффициента дисконтирования, при котором f(r1)>0
(f(r1)<0);
r2 — значение табулированного
коэффициента дисконтирования, при котором f(r2)<О (f(r2)>0)
Таблица 34
Расчет ставки
дисконтирования
|
Ставка дисконтирования ( r )
|
NPV ( f ( r ))
|
|
0,1
|
11 111 395,55
|
|
0,2
|
8 716 343,36
|
|
0,3
|
6 916 926,50
|
|
0,4
|
5 530 322,92
|
|
0,5
|
4 438 517,63
|
|
0,6
|
3 562 710,03
|
|
0,7
|
2 848 727,03
|
|
0,8
|
2 258 368,30
|
|
0,9
|
1 764 088,68
|
|
1
|
1 345 629,63
|
Рис.1. Чистый
приведенный доход
Для расчета
берем значения r1 = 0,2 r2=0,7
IRR=
0,2+(8716343,36/(8716343,36-2848727,03))* (0,7-0,2) = 0,2+ 0,74=0,94 или 94%.
где Investments - начальные инвестиции;
CFt - чистый денежный поток месяца;
IRR - внутренняя норма рентабельности.
(3903618/(1+0,94)+5657417/(1+0,94)+7835731/(1+0,94)-3000000
= 0
4589154,48-3000000 >0
По сути IRR характеризует
ожидаемую доходность проекта. Если
IRR превышает цену капитала, используемого для финансирования
проекта, это означает, что после расчетов за пользование капиталом появится
излишек, который достается предприятию. В проекте IRR превышает цену капитала и следовательно, принятие
проекта, в котором IRR больше цены капитала, повышает благосостояние
предприятия. Так, если:
IRR > CC.
то проект следует принять;
IRR < CC,
то проект следует отвергнуть;
IRR = CC, то
проект ни прибыльный, ни убыточный.
По расчетам
проекта IRR >CC, следовательно, проект следует принять.
Заключительным этапом оценки
эффективности проекта является определение Индекса рентабельности (Profitability Index, PI) Индекс рентабельности (PI) рассчитывается
по формуле:
PI= ((3903618/(1+0,2) +
5657417/(1+0,2)+ 7835731/(1+0,2))/3000000=
=
11716344/3000000 = 3,9
Очевидно, что данный проект имеет высокий индекс рентабельности
3,9 так как нормативные данные при РI > 1, то проект следует принять;
РI < 1, то проект следует отвергнуть;
РI = 1, то проект ни прибыльный, ни убыточный.
В отличие от
чистого приведенного эффекта индекс
рентабельности является относительным показателем. Благодаря
этому он очень удобен при выборе одного проекта из ряда альтернативных, имеющих
примерно одинаковые значения NPV,
либо при комплектовании портфеля инвестиций с максимальным суммарным значением
NPV.
Следовательно,
расчет индекса рентабельности так же подтверждает не только экономическую
целесообразность проекта, но и существенные экономические выгоды для инвесторов
данного предприятия.
Cведем
все расчеты в таблицу 3.1
Таблица 3.1
Расчет показателей эффективности
|
Показатель
|
Обозначение
|
Полученное значение
|
|
Период Окупаемости
|
PB
|
6 мес.
|
|
Дисконтированный период окупаемости
|
DPB
|
9 мес.
|
|
Средняя норма рентабельности
|
ARR
|
1,93
|
|
Чистый приведенный доход
|
NPV
|
8 761 344 руб.
|
|
Внутренняя доходность
|
IRR
|
94%
|
|
Индекс
рентабельности
|
PI
|
3,9
|
Оценка эффективности проекта показывает, что все
экономические показатели выше нормы. Таким образом, можно сделать вывод, что
решение о развитии нового вида деятельности экономически обосновано.
4.
ОСНОВЫ БЕЗОПАСНОСТИ ЖИЗНЕДЕЯТЕЛЬНОСТИ В ООО «СТРОЙИНДУСТРИЯ»
Промышленная экология и безопасность производства
Промышленная экология и безопасность производства – это система
законодательных актов, социально-экономических, организационных, технических и
лечебно-профилактических мероприятий и средств, задачей которых является
обеспечить безопасность человека в процессе его деятельности и свести к
минимуму загрязнения окружающей среды.
В процессе трудовой деятельности каждый человек подвергается
воздействию комплекса производственных факторов, которые оказывают вредное
влияние на его работоспособность и состояние здоровья. Этот комплекс
производственных факторов называется условиями труда. Реальные производственные
условия характеризуются наличием некоторых опасных и вредных факторов.
Опасным фактором называется такой фактор, воздействие которого
на работающего в определенных условиях приводит к травме или другому внезапному
ухудшению здоровья.
Вредным фактором называется такой фактор, воздействие
которого на работающего приводит к заболеванию или снижению трудоспособности.
Между опасными и вредными факторами зачастую нельзя провести четкой границы.
Один и тот же фактор может привести к несчастному случаю.
Задачей исследования, которое проводится в этом разделе дипломного
проекта, является выявление опасных и вредных факторов, которые встречаются в цеху
по производству металлоконструкций, их опасное влияние на человека и окружающую
среду. Для этого проведен сравнительный анализ наличия вредных факторов,
имеющих место в цеху ООО «Стройиндустрия» с предельно допустимыми значениями
(ПДЗ).
Определены качественные и количественные показатели опасных и вредных
факторов, которые встречаются в процессе работы цеха, степень их воздействия на
человека и окружающую среду, оценка опасности возникновения чрезвычайных
ситуаций и меры защиты от этих факторов. Предложены мероприятия по
предотвращению ЧС.
Проводим исследование условий труда с целью выявления опасных и вредных
факторов, которые имеются в процессе работы (табл.4.1)
Таблица
4.1
Опасные
и вредные факторы, влияющие на состояние работника предприятия и окружающую среду
|
№
|
наименование операции
|
материал
|
вид
оборудования
|
производственная среда
|
окружающая среда
|
|
1.
|
закалка
|
ЭП-817Ш
ВМЛ-3
ВМС-5
ЭП-288
ЭИ-878
12Х18Н9Т
12Х18Н10Т
|
электрическая печь СМ.311.22.7/12
|
электроопасность, тепловое
излучение
|
воздух + тепловое загрязнение
|
отпуск
|
ЭП-817Ш
ВМС-5
ЭП-288
|
электрическая печь СМ.311.22.7/4
|
тепловое излучение, ожоги при загрузке
|
воздух + тепловое загрязнение
|
|
3.
|
промывка изделий
|
ВМС-5
|
моечная машина
ММ-400К
|
шум, электроопасность
|
вода
|
|
4.
|
очистка от окалины
|
ВМЛ-3
ВМС-5
|
пескоструйная камера
|
вибрация, металлическая пыль и
песок, электроопасность
|
воздух + песок, металличес-
кая пыль
|
|
5.
|
обработка холодом
|
ВМС-5
ЭП-288
|
ВХУ-7
|
воздух
|
воздух
|
|
6.
|
разгрузочно-погрузочные работы
|
ЭП-288
ЭИ-848
ЭП-817Ш
ВМС-2
ВМЛ-3
ВМС-5
12Х18Н9Т
12Х18Н10Т
|
мостовой кран, электрокар
|
шум
|
–
|
|
7.
|
измерение твердости
|
ЭП-288
ЭИ-848
ЭП-817Ш
ВМС-2
ВМЛ-3
ВМС-5
12Х18Н9Т
12Х18Н10Т
|
пресс ТШ
|
воздух
|
–
|
В результате исследования выявлено, что в процессе работы
цеха присутствуют опасные и вредные факторы. Наличие этих факторов может
привести к чрезвычайным ситуациям и несчастным случаям.
Произведем количественный анализ сравнения вредных
факторов, которые присутствуют в цеху предприятия с нормативными (табл. 4.2):
Таблица
4.2
Количественный
анализ вредных факторов и их влияние на производственную среду
|
№
|
опасные
факторы
|
операции
|
фактическое
значение
|
ПДЗ, ПДК, ПДУ
|
вредные
действия
|
|
1.
|
механические опасности
|
1; 2; 4; 6; 7
|
–
|
–
|
14 часов
|
|
2.
|
шум
|
3; 4; 6
|
f = 31.5 Гц
L < 107 Дб
f = 800 Гц
L < 69 Дб
|
класс помещения «5»
f = 31.5 Гц
L < 107 Дб
f = 1000 Гц
L < 69 Дб
|
6 часов
|
|
3.
|
термоопасность
|
1; 2
|
tвозд. > 20°C
относительная влажность > 40 %
температура окружающей поверхности
> 35°C
Vв = 0.2 – 0.3 м/с
|
tвозд. > 17-23°C
относительная влажность 40-60 %
температура окружающей поверхности £ 35°C
Vв = 0.2 – 0.3 м/с
|
6 часов
|
|
4.
|
опасность поражения электрическим током
|
1; 2; 3; 6; 7
|
U = 380 В
I ³ 10 мА
|
U = 380 В
I £ 10 мА
|
6 часов
|
|
5.
|
повышенная запыленность воздуха
|
4
|
|
класс опасности 3
класс опасности 4
|
5 часов
|
|
6.
|
производственная освещенность
|
7
|
в норме при соблюдении требований
|
фон – светлый
контраст – средний
освещенность 500, 600 лк
разряд работ III, II
|
14 часов
|
|
7.
|
вибрация
|
4
|
f = 11 Гц
L ³ 115 Дб
|
локальная
f = 8 Гц
L ³ 115 Дб
|
3 часа
|
Количественный анализ вредных факторов (табл. 4.2)
показывает, что не все фактические значения производственных факторов находятся
в пределах допустимых значений. Для устранения всех вышеизложенных вредных
факторов в ООО «Стройиндустрия» предусмотрены следующие мероприятия:
1.
Опасность
поражения электрическим током – всё оборудование заземлено, все работы должны
проводиться только в специальной одежде и рукавицах, возле электрических печей
должны быть постелены резиновые коврики.
2.
Производственный
шум и вибрация – все трущиеся механизмы должны быть хорошо смазаны, где
необходимо должны быть установлены детали из неметаллических материалов.
Ослабление шума от вытяжной вентиляции достигается плавностью движения
воздушного потока, плавными переходами в местах изменения направления трубопровода.
3.
Запыленность
воздуха – для предотвращения распространения пыли шлифовальный станок
оборудован защитообеспечивающим кожухом, работы в пескоструйной камере должны
проводиться рабочими только в специальных средствах защиты.
4.
Выброс
вредных веществ в окружающую среду осуществляется через герметичную вентиляцию.
Вентиляция снабжена фильтрами ФВГ-Т. Эффективность очистки – 92-98 % (фильтры
устанавливаются на выходе).
5.
Очищение
воздуха рабочей зоны от пыли осуществляется вентиляционным и пылеулавливающим
устройством – циклон.
В цехе предприятия производство железобетонных конструкций
по пожарной опасности относится к категории «Г», которая включает обработку
несгораемых веществ в горячем состоянии. Основными причинами возникновения пожара
являются:
–
нарушение технологического режима;
–
неисправность электрооборудования;
–
плохая подготовка оборудования к
ремонту;
–
самовозгорание;
–
конструкционные недостатки
оборудования.
Стены цеха изготовлены из железобетонных плит. Внутри цеха
стены окрашены огнеупорной краской. Перегородки изготовлены из несгораемых
веществ. В цехе предусмотрены: пожарный проезд шириной 5 метров, ворота, двери,
которые открываются из помещения и обеспечивают пожарных средств к очагу
пожара.
Также предусмотрена сиринклерная система пожаротушения,
датчики которой реагируют либо на повышение температуры, либо на повышение
задымленности. Для тушения пожара используются такие индивидуальные средства:
огнетушители, песок. Для тушения начинающихся пожаров применяются огнетушители
марки Ю-5, который специально предназначены для тушения очагов пожаров всех видов
горючих веществ и электроустановок. Пожарная безопасность обеспечивается
согласно ГОСТ 12.1.007-76.
Очистка воздуха перед выбросом в атмосферу проходит двух ступенчато.
Поскольку металлическая пыль может быть крупной (больше 10 мкм) необходимо
отделить от мелкой – первая степень очистки для этого в цеху применяют циклоны
– действие основано на принципе центробежной сепарации. Степень очистки до 90
%. Очищенный в циклоне воздух подаётся в ячейковые фильтры, представляющие
собой каркасы с фильтрующими элементами, выполненными из набора металлических сеток.
Степень очистки до 80 %. Концентрация в пределах 3-5 мг/м3 марка
фильтра ФИАП.
1.
Для очистки
воздуха от паров и щелочи на предприятии используют волоконные и сетчатые
туманоуловители. Принцип действия основан на осаждении капель смачивающей
жидкости поверхности пор с последующим стеканием жидкости под действием силы
тяжести.
2.
Так как в цеху
много воды целесообразно используется водооборотная система с отстойниками и
водонасосной станцией.
Улучшение условий труда и отдыха персонала
Применительно к научной организации труда под условиями труда
понимается совокупность факторов производственной среды, оказывающих влияние на
функциональное состояние человека (работоспособность, здоровье, отношение к
труду) и на эффективность производства. Вообще факторы, формирующие условия
труда, делятся на две большие группы: факторы, не зависящие от особенностей
производства, и факторы, определяемые особенностями производства. К первой
группе относятся естественно-природные, социально-экономические и другие
факторы. Факторы, относящиеся ко второй группе, подразделяются на
производственные и социально-психологические.
Основными мерами по снижению физической и нервно-психической
напряженности являются следующие:
·
Повышение уровня
механизации и автоматизации трудоемких производственных процессов, использование
современной высокопроизводительной техники;
·
Совершенствование
организации рабочих мест;
·
Организация
приемов и методов труда;
·
Оптимизация темпа
работы;
·
Оптимизация
режима труда и отдыха;
·
Улучшение
транспортного обслуживания рабочих мест, связанных с тяжелыми предметами труда;
·
Научно
обоснованное установление норм обслуживания оборудования и норм времени его
обслуживания с учетом объема информации, который работник может правильно
воспринять, переработать и принять своевременное и правильное решение;
·
Чередование
работ, требующих участия разных анализаторов (слуха, зрения, осязания и др.);
·
Чередования
работ, требующих преимущественно умственных нагрузок с работами физическими;
·
Чередование работ
разной сложности и интенсивности;
·
Оптимизация
режимов труда и отдыха;
·
Предупреждение и
снижение монотонности труда путем повышения содержательности труда;
·
Ритмизация труда
(работа по графику с пониженной на 10-15% нагрузкой в первый и последний часы
рабочей смены);
·
Компьютеризация
вычислительных и аналитических работ, широкое использование персональных
компьютеров в практике управления производством, организация компьютерных
банков данных по разным аспектам производственной деятельности и другие.
Необходимо следить за санитарно-гигиеническим уровнем
производственной среды предприятия, что оказывает значительное влияние на
производительность труда персонала.
Санитарно-гигиенические факторы – это внешняя
производственная среда, а именно, микроклимат (температура, относительная влажность,
скорость движения воздуха), чистота воздушной среды (наличие паров, газов,
аэрозолей), освещенность, шум, вибрация, ультразвук, различные излучения,
биологические и другие воздействия. Почти все они нормируются путем
установления стандартов, санитарных норм и требований и количественно
оцениваются с помощью методов санитарно-гигиенических исследований.
Особое внимание целесообразно уделять влиянию адаптируемых факторов
внешней среды (метеорологическим условиям, шуму, вибрации, освещенности), отрицательное
воздействие которых можно в значительной степени уменьшить за счет применения
активных средств совершенствования трудового процесса.
Создание нормальных
условий труда заключается в обеспечении благоприятной обстановки на рабочем
месте – устранение тяжелых физических работ, труда во вредных и аварийных
условиях, снижении его монотонности, нервной напряженности и т.д.
Условия труда на
предприятии как условия жизни работников в процессе их деятельности, являются
одновременно элементом производственной системы и объектом организации,
планирования и управления. Поэтому изменение условий труда невозможно без
вмешательства в производственный процесс. То есть необходимо сочетать, с одной
стороны, условия труда, с другой – технологию производственных процессов.
ЗАКЛЮЧЕНИЕ
Бизнес-план почти всегда готовится для использования внешних источников
финансирования инвестиций: заемных финансовых средств от кредитора,
привлеченных средств инвестора, бюджетных инвестиционных ассигнований. Хотя
существует и другая функция бизнес-плана — планирование всей хозяйственной
деятельности предприятия, однако это прежде всего документ, на основании
которого инвестор или кредитор составляют свое мнение о фирме и принимают
решение о предоставлении ей средств.
При оценке бизнес-плана кредитор будет анализировать деятельность
предприятия прежде всего с точки зрения его надежности и устойчивости, а
инвестор — с точки зрения его доходности. Бизнес-план должен убедить кредиторов
в возвратности кредитов, выплате процентов в необходимые сроки и обещать им
первоклассные гарантии, а инвестора — в высокой прибыли на вложенный капитал и
в получении ее в возможно более короткие сроки.
Помимо сопроводительных документов и исполнительского резюме (краткого
изложения содержания) бизнес-план состоит из описания компании, ее бизнеса,
продукции, производственного (организационного) плана, маркетингового и
финансового плана. Последний является наиболее сложным разделом бизнес-плана.
Бизнес-план является одним из первых обобщающих документов обоснования
инвестиций и содержит укрупненные данные о планируемой номенклатуре и объемах
выпуска продукции, характеристики рынков сбыта и сырьевой базы, потребность
производства в земельных, энергетических и трудовых ресурсах, а также содержит
ряд показателей, дающих представление о коммерческой, бюджетной и экономической
эффективности рассматриваемого проекта и в первую очередь представляющих
интерес для участников-инвесторов проекта. Расчеты показателей адаптированы к
требованиям и условиям современного отечественного и зарубежного
инвестирования.
Бизнес-план является объектом интеллектуальной собственности, предметом
коммерческой тайны и подлежит соответствующей защите.
Фирма, на примере которой разрабатывался бизнес-план, получила название
«Стройиндустрия», исходя из рода деятельности организации.
Основным родом деятельности фирмы будет являться производство, монтаж и
продажа металлических конструкций.
Задачи реализуемого проекта следующие:
-
обеспечить
потребности строительных предприятий и населения Сахалинской области строительными
материалами по доступным ценам;
-
стремиться к
лидерству в секторе строительного рынка;
-
обеспечить выход
на новые географические рынки;
Маркетинговая стратегия предприятия представляет собой детальный
всесторонний комплексный план. Он разрабатываться с точки зрения перспективы
всей организации, а не конкретного индивида. Стратегия данного предприятия
предполагает разработку обоснованных мер и планов достижения намеченных целей,
в которых должны быть учтены научно-технический потенциал фирмы и ее
производственно-сбытовые нужды.
Основным преимуществом товарной политики данного предприятия при развитии
вида деятельности – производстве и реализации металлоконструкций является то,
что предприятие будет приобретать только высококачественные материалы для их
производства.
ООО «Стройиндустрия» планирует предоставление специальных скидок
привилегированным Заказчикам, в заказах которых особо заинтересовано
предприятие.
Реализация металлоконструкций планируется оптовым и мелкооптовым
покупателям в г. Южно-Сахалинске и в Сахалинской области.
В ходе проведения политики продвижения товаров будут использоваться такие
методы, как реклама в рекламно-информационных еженедельниках Сахалина.
Основная доля конкурентов специализируется на
реализации и производстве различных металлоконструкций, основным конкурентным
преимуществом предприятия будет являться цена, качество, исключительность
товара, репутация предприятия и объем поставок.
Основными заказчиками металлоконструкций будут всевозможные
строительные фирмы, ведущие строительство в г. Южно-Са-халинске, и использующие
в строительстве металлические конструкции.
Денежные потоки в процессе реализации инвестиционного проекта (за счет
предприятия) уже в первый год имеют положительное значение, что говорит о
прибыльности внедрения нового проекта и незначительных затратах для
предприятия. Поэтому такой проект необходимо принять к исполнению для
увеличения доли прибыли предприятия и улучшения его финансового положения.
Дисконтированный период окупаемости проекта составляет 9 месяцев, что на
2 месяца больше простого периода окупаемости, однако дисконтированный период
окупаемости проекта так же меньше общего срока проекта (36 мес.),
соответственно проект имеет экономическую целесообразность.
Расчет индекса
рентабельности так же подтверждает не только экономическую целесообразность
проекта, но и существенные экономические выгоды для инвесторов данного
предприятия.
Оценка эффективности проекта показывает, что все
экономические показатели выше нормы. Таким образом, можно сделать вывод, что
решение о развитии нового вида деятельности экономически обосновано.
1.
Акуленок Д. Н.,
Юбуров В.П., Морошкин В.А., Новиков О.К. Бизнес-план фирмы: Комментарий к
методике составления. Реальный пример. – М.: ООО “ГНОМ – ПРЕСС”, 2002. – 458 с.
2.
Балабанов И.Т.
Основы финансового менеджмента: Учеб. пособие. – М.: Финансы и статистика,
2001. – 312 с.
3.
Бизнес – план. /
Методические материалы. /Под ред.: Р.Г. Маниловского – М.: Финансы и
статистика, 2000. – с.259
4.
Белолипетский
В.Г. Финансы фирмы: Учеб. пособие. – М.: Инфра –
М., 2002. – с.567
5.
Блеквелл Э. «Как
составить бизнес-план».- М: ИНФРА-М, 2003. – 547 с.
6.
Валдайцев С.В.
Оценка бизнеса и инноваций. – М.: Филинъ, 2005. – 428 с.
7.
Глазунов В.Н.
Финансовый анализ и оценка риска реальных инвестиций. – М.: Финстатинформ,
2001. – 322 с.
8.
Горохов М.Ю.,
Малев В.В. Бизнес-планирование и инвестиционный анализ: Как привлечь деньги. –
М.: Филинъ, 2005. – 204 с.
9.
Дашков Л.П.
Тютюкина Е.Б. Как преуспеть в бизнесе. - М.: Центр Маркетинг, 2002. –
261 с.
10.
Деловое
планирование (Методы. Организация. Современная практика): Учеб. пособие/ Под
ред. В.М. Попова. – М.: Финансы и статистика, 2004. – 299 с.
11.
Кэссон Г. Аксиомы
бизнеса.- Минск.: Парадокс, 2003. – 305 с.
12.
Попов В.М.,
Кураков Л.П., Ляпунов С.И., Мингазов Х.Х. Бизнес-план - отечественный и
зарубежный опыт. Современная практика и документация”. – М.; Финансы и
статистика, 2001. – 529 с.
13.
Попов В.М.
Сборник бизнес-планов с комментариями и рекомендациями – М.: Финансы и
статистика, 2004. – 407 с.
14.
Сухова
Л.Ф.,Чернова Н.А. Практикум по разработке Бизнес-плана и финансовому анализу
предприятия. – М.: Финансы и статистика, 2003. – 327 с.
15.
Уткин Э.А.,
Кочеткова А.И. Бизнес-план .- М:АКАЛИС, 2005. – 422 с.
16.
Алексеева М. М.
Планирование деятельности фирмы. - М.: Финансы и статистика, 2001. - 248 с.
17.
Артеменко В.Г.,
Беллендир М.В. Финансовый анализ: Учебное пособие. - М.: “ДИС”, НГАЭ и У, 2002.
– 385 с.
18.
Балабанов И.Т.
Основы финансового менеджмента. // Учебное пособие. – М.: Финансы и статистика,
2003. – 478 с.
19.
Басапов М.И.
Анализ хозяйственной деятельности. - М.: Экономика, 2001. – 256 с.
20.
Большаков С.В.
Проблемы укрепления финансов предприятий // Финансы, 2002. - №2. - С. 30 – 35.
21.
Вартанов А. С.
Экономическая диагностика деятельности предприятия: организация и методология.
– М.: Финансы и статистика, 2004. – 235 с.
22.
Волков О.И.
Экономика предприятия. - М.: ИНФРА-М, 2004. – 255 с.
23.
Гуляев В.Г. Организация
бизнеса. - М.: Нолидж, 2001. – 372 с.
24.
Ефимова О.П.
Экономика общественного питания. – Мн.: ООО «Новое знание», 2004. – 304 с.
25.
Кадацкий В.Т.
Затраты и прибыль. // Экономист. - 2005. - №7. - С. 83.
26.
Ковалев А.И.,
Привалов В.П. Анализ финансового состояния предприятия. Издание 2-е,
переработанное и дополненное. - М.: ЗАО “Центр экономики и маркетинга”, 2002. –
511 с.
27.
Ковалев В.В.
Финансовый анализ. – 2-е изд., перераб. и доп. – М.: Финансы и статистика,
2005. – 512 с.
28.
Крейнина М.Н.
Финансовое состояние предприятия. Методы оценки. – М.: ИКЦ «Дис», 2001. – 390
с.
29.
Менеджмент
гостиничного и ресторанного обслуживания. – М.: РМАТ, 2003. – 460 с.
30.
Палли М. 100 идей
для достижения превосходства в конкурентной борьбе. – М.: Альтаир, 2004. – 148
с.
31.
Панкратов Ф.Г.,
Серегина Т.К. Коммерческая деятельность: Учебник для студентов высших и средних
учебных заведений. М.: ИВУ «Маркетинг», 2002. - 328 с.
32.
Савицкая Г.В. Анализ
хозяйственной деятельности предприятия. - М.: ИНФРА-М, 2003. - 336 с.
33.
Слепов В.А.,
Щеглова Н.В. Финансовая и ценовая адаптация российских предприятий к рыночной
среде. // Финансы. - 2004. - №3. - С. 14 – 21.
34.
Усов В.В.
Организация обслуживания в ресторанах. - М.: Высшая школа, 1990 г. – 385 с.
35.
Федцов В.Г.
Культура сервиса. – М.: ПРИОР, 2005. – 208 с.
36.
Финансовое
управление фирмой // Под ред. В. И. Терехина. - М.: Экономика, 2003. – 260 с.
37.
Финансовый
менеджмент: теория и практика: Учебник // Под ред. Е.С. Столповой. – 3-е изд.,
перераб. и доп. – М.: Перспектива, 2004. – 656 с.
38.
Финансы
предприятий. // Под ред. Е. И. Бородиной. – М.: Банки и биржи, ЮНИТИ, 2005. –
380 с.
39.
Финансы
предприятий. Учебное пособие // Под ред. Н. В. Колчиной. - М.: Финансы, ЮНИТИ,
2002. - 413 с.
40.
Ценовая политика.
Как заставить клиента заплатить вашу цену. – М.:ЮНИТИ , 2003. – 134 с.
41.
Эгертон-Томас
Кристофер. Как успешно управлять бизнесом. – М.: Рос Консульт, 2002. – 272 с.
ПРИЛОЖЕНИЕ 1
Примерный
перечень разделов бизнес-плана, задач экономического анализа и оценки бизнеса
|
№
п/п
|
Название
раздела
|
Содержание раздела
|
Задача анализа и оценки
|
|
1
|
2
|
3
|
4
|
|
Титульный лист
|
Название и адрес фирмы.
Имена и адреса учредителей.
Суть предлагаемого проекта
Стоимость проекта
Ссылка на секретность
|
|
|
1.
|
Резюме
(вводная часть)
|
Основные положения предлагаемого
проекта.
Цель предлагаемого производства.
Новизна предлагаемой продукции.
Сведения об объеме продаж, выручке,
затратах, прибыли, срок возврата кредитов.
|
Анализ и оценка объема продаж.
Анализ затрат.
Оценка риска.
Оценка прибыли.
|
|
II.
|
Товар
(услуга)
|
Описание продукта (услуги);
потребительские свойства товара, отличие от товаров конкурентов, степень
защитности патентами, прогноз цены и затрат на производство, организацию
сервиса.
|
Оценка потребительских свойств
товара.
Анализ товаров конкурентов.
Анализ цен и затрат на производство
продукции.
|
|
III.
|
Рынок сбыта
|
Положение дел в отрасли.
Потенциальные потребители.
Рыночная конъюнктура.
|
Оценка положения дел в отрасли.
Анализ темпов прироста по отрасли.
Анализ потенциальных потребителей.
Анализ рыночной конъюнктуры.
|
|
1
|
2
|
3
|
4
|
|
IV.
|
Конкуренция
|
Потенциальные конкуренты: оценка
объема их продаж, доходов, перспектив внедрения моделей, основных
характеристик, уровня качества и дизайна их продукции, политики цен
конкурентов.
|
Сравнительный анализ (отдельных
групп показателей деятельности конкурентов).
Анализ цели, стратегии конкурентов.
Анализ сильных и слабых сторон
деятельности конкурентов.
|
|
План маркетинга
|
Цены.
Каналы сбыта.
Реклама.
Прогноз новой продукции.
Ценообразование.
Ценовые показатели.
|
Анализ состояния рынка.
Анализ изменения цен.
Анализ внешних и внутренних
факторов.
Анализ эффективности рекламы.
Анализ сильных и слабых сторон
фирмы.
Анализ производственных
возможностей фирмы.
|
|
VI.
|
План
производства
|
Производственный процесс (его
описание).
Перечень базовых операций по
обработке и сборке.
Поставка сырья, материалов,
комплектующих изделий с полным перечнем условий (по цене, количеству,
качеству).
Оборудование, здания, сооружения.
Трудовые ресурсы.
Затраты на производство продукции.
|
|
|
VII
|
Оценка риска и страхование
|
Слабые стороны предприятия.
Вероятность появления новых
технологий.
Альтернативные стратегии.
Меры профилактики рисков. Программа
страхования и внешнего страхования от рисков.
|
Анализ риска по источника и
причинам.
Анализ риска статистическим,
экспертным и комбинированным методами.
Анализ выбора инвестиционных
решений.
|
|
1
|
2
|
3
|
4
|
|
VIII
|
Финансовый план
|
Прогноз объемов реализации.
Баланс денежных расходов
поступлений.
Таблица доходов и затрат.
Сводный баланс активов и пассивов
предприятий.
График достижения безубыточности.
|
Финансовый анализ деятельности
предприятий.
Анализ баланса денежных расходов и
поступлений.
Анализ безубыточности.
Анализ доходов и затрат.
Выявление внутрихозяйственных
резервов для укрепления финансового положения.
|
|
IX.
|
Стратегия финансирова-ния
|
Определение величины и источников
получения средств.
Обоснование полного возврата
средств и получение доходов.
|
Анализ средств по источникам.
Анализ платежеспособности
предприятия.
Анализ сроков окупаемости вложений.
|
ПРИЛОЖЕНИЕ 2

Доход
Расход(тыс.руб) 17056,13
т.р. Д

8528,11
т.р. Э пер.

Q
Точка безубыточности




Убытки

3935,49 т.р.
Э пост.
699 т
Критический объем продаж Р ( объем производства), тонн
КОП = 3935,49:
(8-(8528,11:3600) = 699 т.