Моделювання конкурентних стратегій фармацевтичних підприємств

  • Вид работы:
    Курсовая работа (т)
  • Предмет:
    Маркетинг
  • Язык:
    Русский
    ,
    Формат файла:
    MS Word
    2,01 Mb
  • Опубликовано:
    2010-09-23
Вы можете узнать стоимость помощи в написании студенческой работы.
Помощь в написании работы, которую точно примут!

Моделювання конкурентних стратегій фармацевтичних підприємств

Зміст


Вступ

Розділ 1. Конкурентоспроможність лікарського засобу

1.1 Поняття конкурентоспроможності та якості лікарського засобу

1.2 Характеристика методик визначення конкурентоспроможності

Розділ 2. Моделювання конкурентних стратегій фармацевтичних підприємств

2.1 Загальна стратегічна модель Портера

2.2 Загальна конкурентна матриця Портера

2.3 Модель конкурентних сил Портера

2.4 Матриця конкурентних переваг

2.5 Модель реакції конкурентів

Розділ 3. Оцінка конкурентоспроможності фармацевтичного підприємства та шляхи її підвищення

Висновки

Література

Вступ


За сучасних умов конкурентної боротьби на фармацевтичному ринку України конкурентоспроможність підприємства є головним критерієм оцінки ефективності виробництва та системи менеджменту, тому забезпечення стійких конкурентних позицій виступає підґрунтям ефективності ринкової стратегії підприємства фармацевтичної галузі.

Коли в дію вступили закони ринкових відносин, перед керівництвом багатьох фармацевтичних підприємств постало питання про знаходження антикризових важелів управління, вирішення якого дозволило б визначити в цілому рівень конкурентоспроможності підприємства та, як наслідок, запропонувати заходи її підвищення.

Конкурентоспроможність підприємства — це комплексне поняття, яке передбачає не тільки конкурентоспроможність продукції, але і стабільність фінансового стану підприємства, ефективність управління товарними потоками, а також продуктивність кадрового потенціалу [4].

Мета роботи полягає в тому, щоб проаналізувати застосування можливих конкурентних стратегій фармацевтичними підприємствами.

Предмет дослідження – конкурентні стратегії.

Об`єкт дослідження – фармацевтичні підприємства.

Завдання роботи:

1)   розглянути поняття конкурентоспроможності лікарських засобів;

2)   охарактеризувати методики визначення конкурентоспроможності лікарських засобів;

3)   дати характеристику конкурентних стратегій фармацевтичних підприємств;

4)   провести оцінку конкурентоспроможності фармацевтичного підприємства.

Розділ 1. Конкурентоспроможність лікарського засобу


1.1 Поняття конкурентоспроможності та якості лікарського засобу


Конкурентоспроможність лікарського засобу - це сукупність споживчих властивостей лікарського засобу, створених під час розробки й виробництва, що сприяє його найшвидшій реалізації на конкретному ринку в певний період часу за умов відмінностей від препаратів-аналогів за:

• ступенем задоволення потреб організації-споживача чи індивідуального споживача та рівнем затрат на його придбання і використання;

• ступенем інформованості, доступності та зручності споживача у здійсненні купівлі та застосування, забезпеченим маркетинговими і логістичними заходами.

Основою конкурентоспроможності лікарського засобу є його якість, але ці два поняття не слід ототожнювати.

Якість лікарського засобу чи виробу медичного призначення - сукупність властивостей, які надають лікарському засобу чи виробу медичного призначення здатності задовольняти потребу споживачів відповідно до свого призначення і відповідають вимогам, встановленим законодавством.

Якість лікарського засобу вимірюють системою показників, що характеризують ефективність, безпечність, переваги перед аналогами, зручність застосування, розмаїтість доз і лікарських форм, періодичність приймання, швидкість настання і тривалість дії тощо, а якість виробу медичного призначення - системою характеристик, що визначають надійність, функціональність, довговічність, ремонтопридатність, економічність, дизайн, зручність у користуванні та інші споживчі властивості.

Ефективність лікарського засобу полягає у високих профілактичних і терапевтичних показниках і в задоволенні назрілих потреб медицини.

Безпечність лікарського засобу - ступінь побічних явищ (функціональні розлади, імунна реактивність, тератогенна, наркотична дія, вплив на репродуктивну здатність тощо), їх частота, співвідношення користь/ризик при застосуванні даного препарату порівняно з препаратами-аналогами.

Щодо переваги перед аналогами, то для лікарського засобу є певні труднощі, оскільки один препарат може бути значно ефективніший від іншого й водночас давати і тяжчі побічні реакції. Це вимагає проведення складного порівняння між користю і ризиком, обумовленим застосуванням порівнювальних препаратів, що ґрунтується на таких принципах:

• новий лікарський засіб має бути ефективніший, ніж відомий аналог, при задовільному сприйнятті;

• при однаковій ефективності з існуючим препаратом новий лікарський засіб повинен мати менш виражену побічну дію у зв'язку з меншою токсичністю і кращим сприйняттям;

• при комбінованій терапії новий лікарський засіб повинен підвищувати ефективність наявних препаратів, знижуючи або хоча б не збільшуючи токсичну дію; у тому разі, якщо препарат має значні переваги, але його застосування супроводжується більшим ризиком, його конкурентоспроможність може бути обмежена.

Вартість характеризує доступність лікарського засобу для споживача і відіграє відповідну роль в його конкурентоспроможності. Лікарський засіб оцінюється як із погляду властивостей, так і з погляду ціни. Існує усталена думка, що вартість курсу лікування новим лікарським засобом завжди вища від вартості курсу лікування більш старими препаратами-аналогами, однак дуже часто це не так. Проведені дослідження з фармакоекономіки показують, що лікування новими ефективнішими і безпечнішими лікарськими засобами у кінцевому підсумку менш витратне, ніж довготривале лікування дешевими препаратами, яке є малоефективним, але більш затратним, що пов'язано з терміном перебування хворого у стаціонарі, тимчасовою втратою працездатності тощо. Якщо препарат не має переваг перед аналогами, то його збут залежатиме здебільшого від ціни. Якість і вартість лікарських засобів чи виробів медичного призначення є одним із найважливіших факторів успішної комерційної діяльності фармацевтичної фірми. Існує кілька методик визначення конкурентоспроможності лікарських засобів.

1.2 Характеристика методик визначення конкурентоспроможності


Одна з них - методика оцінки рівня якісно-цінової конкурентоспроможності. Як видно з даних рис.1, ця методика передбачає три етапи розрахунків. Перший етап визначення конкурентоспроможності досліджуваного лікарського засобу передбачає обрання серед ринкових аналогів базового варіанта, який найкраще задовольняє потребу споживачів і з котрим порівнюватимуть даний препарат. Потім здійснюється добір якісних (функціональних) параметрів. До них належить терапевтична ефективність, безпечність та переваги перед аналогами тощо.

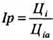
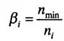
Далі за кожним параметром визначають вагомість як відсоткове відношення величини окремого параметра оцінюваного лікарського засобу (Рі) до величини того самого параметра базового препарату (Ріа) або навпаки:

,

коли якісний показник необхідно збільшити;

,

коли показник необхідно зменшити. Паралельно визначають коефіцієнти вагомості (значущості) кожного параметра (Vі). Для цього найчастіше використовується метод експертних оцінок.

Потім розраховують груповий показник функціональних (якісних) параметрів - індекс якості:


При Iq > 1 лікарський засіб має вищий якісний рівень, аніж препарат-аналог Другий етап полягає у співставленні цін споживання досліджуваного лікарського засобу і аналогу, тобто в розрахунку індексу ціни споживання:


Рис. 1. Етапи розрахунків за методикою оцінки рівня якісно-цінової конкурентоспроможності.

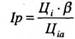
Оскільки препарати-аналоги відрізняються як дозами, так і кількістю доз в одній упаковці, то перед визначенням інтегрального показника конкурентоспроможності, на нашу думку, для препаратів, які характеризуються однаковою величиною дози, але різною їх кількістю в упаковці, вважаємо за необхідне провести стандартизацію за допомогою коефіцієнта

βі:

де птіп — мінімальне число доз серед аналізованої групи препаратів;

пі - число доз і-го препарату.

Тоді формула для визначення індексу ціни споживання набере такого вигляду:


На заключному етапі визначають інтегральний показник конкурентоспроможності за формулою:

.

Якщо kі <1, то аналізований лікарський засіб поступається перед базовим аналогом конкурентів; якщо kі > 1, то аналізований препарат має вищу конкурентоспроможність, ніж базовий.

Проте застосування даної методики має певні затруднення при аналізі конкурентоспроможності препаратів-аналогів, для яких клінічно доказана повна біологічна еквівалентність. Для прикладу можна навести оральні контрацептивні препарати мерсилон і новінет. У такому випадку методика оцінки рівня якісно-цінової конкурентоспроможності зводиться лише до розрахунку індексу ціни споживання у перерахунку на один цикл застосування.

Інший метод оцінки конкурентоспроможності - диференційований метод, оснований на використанні обсягу реалізації оцінюваного й порівнюваного лікарського засобу. Згідно з цим методом показник конкурентоспроможності визначають за модифікованою нами формулою:


де Ni - обсяг реалізації оцінюваного лікарського засобу (в уп.);

Nia - обсяг реалізації і-то препарату (в уп.);

βі - коефіцієнт перерахунку кількості доз;

m - кількість позицій препаратів-аналогів.

Показник конкурентоспроможності розраховують диференційовано для вітчизняних, імпортних та загального асортименту лікарських засобів даного ринку. Якщо k > 1, оцінюваний препарат має стабільний попит. Цей метод для вказаних вище біологічно еквівалентних препаратів також буде зводитися лише до порівняння їх обсягу продажів у перерахунку на один місячний цикл.

Крім якісно-цінових чинників конкурентоспроможності та обсягу реалізації, є інші чинники, здатні вплинути на її загальний рівень (просування препарату, канали збуту тощо). З метою повноти її врахування застосовують графічно-математичну методику оцінки конкурентоспроможності.

Найвдалішою графічною інтерпретацією моделі вважається багатокутник (циклограма), побудований у полярній системі координат. Радіусом певної довжини обкреслюється коло. На радіус-векторі, довжина якого умовно прийнята за одиницю, відкладаються перетворені абсолютні одиничні або інтегровані значення показників якості, а їх коефіцієнти вагомості будуються пропорційно величині кута повороту Δφ:


Достовірність та повнота висновку про рівень конкурентоспроможності зростає із збільшенням кількості обраних показників. Варто зазначити, що значення показників, які не можуть бути оцінені кількісно, встановлюють експертно.


а) Δφ1 = Δφ2 =...= Δφn,

тобто кути між радіус-векторами встановлюють однаковими , іншими словами, вагомість всіх показників вважають однаковою;

б) нормують довжини і-го радіус-вектора за формулою:

,

де Рі – значення одиничного або інтегрованого показника і-го радіус-вектора, Рmах - максимально (теоретично) можливе значення даного показника.

Якщо зростання нормованого показника відображає зниження рівня конкурентоспроможності (наприклад, вартість лікарського засобу), то його значення перетворюють за формулою:

,

де Рn - мінімально можливе значення даного показника.

Для препаратів, які характеризуються однаковою величиною дози, але різною їх кількістю в упаковці, перед нормуванням деякі показники (ціна, кількість проданих упаковок) необхідно перерахувати на грам діючої речовини, величину одноразової дози, місячний цикл тощо.

На рис. 2 зображена графічна модель дослідження конкурентоспроможності на прикладі двох препаратів-аналогів.

Рис. 2. Графічна модель оцінки конкурентоспроможності лікарських засобів: А - середня оптова ціна препарату у перерахунку на один місячний цвдуі; В - обсяг продаж, грн; С - кількість проданих упаковок у перерахунку на один місячний цикл; D - ширина каналу розподілу; Е - новизна препарату (оригінальний, біологічно еквівалентний генерик); F - порядок відпуску (рецептурний чи безрецептурний).

Виходячи з даних графічної моделі, можна визначити площу багатокутника, яка кількісно характеризуватиме конкурентоспроможність кожного лікарського засобу. Для цього використовують відому математичну формулу:


яка після відповідних перетворень набуде такого вигляду:


де k - показник конкурентоспроможності;

х1, х2, х3... х — довжини радіус-векторів ОА, ОВ, ОС ... OF;

п - кількість досліджуваних параметрів.

При цьому можна стверджувати, що чим більше значення к, тим вища конкурентоспроможність оцінюваного лікарського засобу у порівнянні з препаратом-аналогом. Як видно з даних рис. 2, препарат А характеризується кращими показниками стосовно обсягу продажів та порядку відпуску. У свою чергу препарат Б мав кращі характеристики щодо середньої оптової ціни препарату у перерахунку на один місячний цикл, кількості проданих упаковок у перерахунку на один місячний цикл. Ширина каналу розподілу для обох препаратів була майже однаковою. При цьому конкурентоспроможність препарату Б була дещо вищою і становила 1,78 проти 1,68 у препарату А. При цьому максимально можливе значення конкурентоспроможності за досліджуваними параметрами становить 2,60.

Розділ 2. Моделювання конкурентних стратегій фармацевтичних підприємств


2.1 Загальна стратегічна модель Портера


Загальна стратегічна модель Портера ґрунтується на положенні, що шанс досягнути необхідного рівня рентабельності мають як великі фармацевтичні підприємства із значною часткою ринку, так і невеликі спеціалізовані фірми. При цьому небезпечною є середня позиція, і тому підприємствам, які не мають засобів чи зусиль для досягнення лідерства на ринку, необхідно сконцентрувати свою роботу на певному сегменті і нарощувати там переваги стосовно конкурентів. Зв'язок між часткою ринку і рентабельністю, за Портером, показаний на рис. 3.

Рис. 3. Зв'язок між рентабельністю і часткою ринку за Портером.

Модель Портера розглядає дві основні концепції планування маркетингу й альтернативи, які притаманні кожній з них: вибір цільового ринку (в межах усієї галузі чи окремих сегментів) та стратегічна перевага (унікальність чи ціна).

Для досягнення конкурентних переваг за Портером слід вибрати одну з трьох базових стратегій (рис. 4).

Рис. 4. Матриця конкуренції за Портером.

Лідерство у зниженні витрат передбачає орієнтування фірми на широкий ринок і виробництво лікарських засобів у великій кількості, що дає змогу мінімізувати витрати і пропонувати їх за низькими цінами.

Стратегія диференціації застосовується при орієнтації фірми на великий ринок та пропозиції на ньому препарату, що його споживачі розглядають як унікальний (оригінальний лікарський засіб нової або існуючої фармакотерапевтичної групи). Ціна в такому разі відіграє другорядну роль.

Стратегія концентрації передбачає фокусування фірми на одному сегменті ринку (наприклад, лікарських засобів рослинного походження) і досягнення лідерства через зниження витрат та пропозицій ринку унікального препарату. Важливою умовою вибору стратегії концентрації є здатність фірми обслуговувати обраний сегмент ринку ефективніше, ніж конкуренти.

Матриця конкуренції за Портером дає змогу обрати оптимальну в даних умовах стратегію, спрямовану на досягнення фірмою конкурентних переваг.

2.2 Загальна конкурентна матриця Портера


У свою чергу, загальна конкурентна матриця Портера (рис. 5) передбачає три базові стратегії: "цінове лідерство", "продуктове лідерство", "лідерство в ніші".

Рис. 5. Загальна конкурентна матриця Портера.

Цінове лідерство базується на можливості фармацевтичного підприємства знижувати і втримувати витрати на нижчому рівні, ніж у конкурентів. При цьому використовується будь-яка можливість отримання переваг у витратах (шляхом продажу препаратів-генериків, виробництва і реалізації препаратів повсякденного попиту, використання ефективної системи розподілу ліків і т. д.)

Продуктове лідерство базується на прагненні фармацевтичного підприємства до диференціації своєї продукції для задоволення запитів споживачів краще, ніж конкуренти:

Лідерство в ніші передбачає зосередження зусиль на якому-небудь аспекті діяльності і засноване на виборі вузької області конкуренції всередині ніші. Таким чином здійснюється фокусування на окремому сегменті фармацевтичного ринку і отримання конкурентних переваг у задоволенні запитів цільових споживачів. При цьому в рамках цільового сегмента можуть використовуватися дві стратегії:

• фокусування на витратах;

• фокусування на диференціації.

Кожна з трьох базових конкурентних стратегій може використовуватися як ефективний засіб досягнення і збереження конкурентних переваг.

2.3 Модель конкурентних сил Портера

Модель конкурентних сил Портера (рис. 6.) передбачає стратегічні дії в залежності від п'яти груп чинників:

• загрози з боку постачальників;

• конкуренції серед існуючих фармацевтичних фірм;

• загрози з боку споживачів;

• загрози появи нових конкурентів;

• загрози появи нових лікарських засобів.


Загроза появи нових конкурентів


Загроза споживачів

Конкуренція серед діючих підприємств

Загроза постачальників


Загроза появи нових препаратів


Рис. 6. Модель конкурентних сил.

Дана модель на основі аналізу конкурентних сил дозволяє визначити можливості фармацевтичного підприємства щодо досягнення конкурентної переваги.

Конкуренція серед діючих на фармацевтичному ринку підприємств орієнтує на досягнення більш вигідного положення за рахунок пропозиції конкурентоспроможніших лікарських засобів, продажу лікарських засобів за дещо нижчими цінами, ефективної комунікаційної та інноваційної політик.

Поява у галузі нових конкурентів може призвести до падіння цін, підвищення витрат, зниження прибутку. Для запобігання загрози появи нових конкурентів стратегія фармацевтичного підприємства повинна бути спрямована на створення перешкод щодо проникнення на ринок нових конкурентів, а також економію на масштабах виробництва, а отже, зниження витрат у міру зростання обсягів виробництва.

Поява нових лікарських засобів (препаратів-конкурентів) обмежує можливості отримання прибутку. Загрозі появи таких ліків може запобігти (знизити) стратегія нововведень, що передбачає нові технології виробництва, лікарські засоби "ринкової новизни", нові форми комунікації, нові методи збуту, нові засоби платежу тощо.

Загроза з боку споживачів проявляється в тому, що вони мають можливість впливати на рівень конкуренції за допомогою зміни своїх запитів і переваг у галузі споживчих характеристик лікарських засобів, рівня цін, рекламної активності тощо. Стратегічні дії з боку фармацевтичного підприємства повинні бути спрямовані на постійне вивчення поведінки покупців, мотивацію їх купівель, виявлення тенденцій їх зміни, адаптацію до цих змін, активне формування попиту і т. д.

Загроза з боку постачальників проявляється в наявності у них можливості чинити тиск на ринок, а отже, впливати на рівень конкуренції через підвищення цін, зниження якості лікарських субстанцій і допоміжних матеріалів. Ступінь загрози підвищується, якщо продукція постачальників диференційована і має вирішальне значення для галузі на фоні відсутності дієвої конкуренції. Зниженню загрози з боку постачальників будуть сприяти такі стратегічні дії, як: ретельний відбір постачальників за заздалегідь обраним критерієм, постійний пошук нових постачальників; встановлення тривалих господарських зв'язків з відомими постачальниками; постійне стеження за діями постачальників.

2.4 Матриця конкурентних переваг


Матриця конкурентних переваг (рис. 7) передбачає можливі упереджуючі або пасивні стратегії щодо досягнення або збереження конкурентної переваги залежно від позиції, яку займає фармацевтичне підприємство на ринку.

Позиція фірм на фармацевтичному ринку

Конкурентні стратегії

Лідери

Розширення ринку

Захист частки ринку

Випереджуючий захист

Реагування на виклик конкурента

Послідовники лідерів

Фронтальний наступ

Фланговий наступ

Наслідування лідера

Уникаючі прямої конкуренції

Ніша на ринку

Обхід конкурентів

Статус-кво


активні

пасивні

Рис. 7. Матриця конкурентних переваг.

Лідери фармацевтичного ринку, що займають провідні конкурентні позиції, можуть розробляти три стратегії: розширення ринку, захист частки ринку та випереджуючу стратегію.

Стратегія розширення ринку орієнтує на збільшення попиту на препарати фармацевтичного підприємства за допомогою позиціонування переваг його асортименту (а не переваг його марок), цінового лідерства, залучення нових покупців, збільшення інтенсивності споживання і т. д.

Лідер ринку може прагнути не тільки до розширення ринку, але і до збереження частки ринку.

Стратегія захисту частки ринку спрямована на збереження конкурентних переваг за допомогою збільшення витрат на маркетингові комунікації.

Стратегія випереджуючого захисту орієнтує на передбачення дій конкурентів з метою не допустити отримання ними конкурентних переваг стосовно комплексу фармацевтичного маркетингу.

Як випливає з матриці, фармацевтичні підприємства-лідери, нарівні з розглянутими активними стратегіями, можуть дотримуватися і пасивної стратегії - стратегії реагування на виклик конкурента, яка передбачає відповідну реакцію підприємства на дії конкурентів, наприклад, реакцію у відповідь на нововведення.

Фармацевтичні підприємства другої групи, які займають середні конкурентні позиції, використовують стратегії послідовників лідерів, які так само можуть бути як активними, так і пасивними. Розглянемо активні стратегії.

Стратегія фронтального наступу передбачає пряму концентровану атаку по найбільш укріплених позиціях лідера, тобто конкурент кидає виклик лідеру фармацевтичного ринку, прагнучи використати свою перевагу (продуктову, цінову і т. д.) для отримання конкурентної переваги.

Стратегія флангового наступу - це також виклик лідеру ринку, але в напрямках, які в даний момент не є об'єктом конкуренції. Вона передбачає концентрацію зусиль проти слабких позицій лідера.

Стратегія оточення має на увазі ведення наступальних дій відразу на декількох напрямках: і по фронту, і з флангу, і з тилу, при цьому атакуюча сторона пропонує ринку все те, що й лідер, але з більшими зусиллями, при яких споживач не в змозі відповісти відмовою.

Як пасивну стратегію послідовники використовують наслідування лідера. Дана стратегія дозволяє мінімізувати ризик, який має місце при виклику лідеру (наприклад, у ціновій політиці. Однак при цьому необхідно забезпечити перевагу для споживачів у стимулюванні збуту, формах лікарського обслуговування і т. д.).

Третя група фармацевтичних підприємств (зі слабкою конкурентною позицією) - це підприємства, що уникають прямої конкуренції, як активні стратегії використовують "нішу на ринку" і "обхід конкурентів".

Стратегія ринкової ніші передбачає пошук ринкової ніші, сегмента, не привертаючи уваги основних конкурентів через вузьку спеціалізацію або невеликі розміри. Фармацевтичні фірми спеціалізуються на діяльності з вузьким ринковим сегментом, який випустили з виду або проігнорували великі фірми. Підприємства, які вибрали даний вид стратегії, таким чином уникають прямої конфронтації з головними конкурентами.

Існує два методи пошуку ринкової ніші: пошук вертикальної та горизонтальної ринкових ніш. У першому випадку здійснюють пошук каналів збуту близьких за терапевтичною активністю препаратів для вузьких сегментів ринку. У другому випадку (пошук горизонтальної ринкової ніші) передбачається диверсифікація виробництва для свого цільового ринкового сегменту з метою більш повного задоволення попиту споживачів даного сегменту. Основною умовою успішної реалізації стратегії пошуку ринкової ніші є висока якість препаратів, їх унікальність та чітке визначення ринкового сегменту.

Стратегія обходу конкурентів орієнтує на уникнення конкуренції за допомогою диверсифікації виробництва, ринків і впровадження нових технологій.

З метою уникнення прямої конкуренції може використовуватися і пасивна стратегія статус-кво. Стратегія статус-кво орієнтує на збереження зайнятої позиції на ринку, здійснення діяльності, не привертаючи уваги конкурентів.

2.5 Модель реакції конкурентів


В основі моделі реакції конкурентів (рис. 8) лежить передбачення у відповідь стратегічних рішень конкурентів.

Передбачення характеру реакції конкурентів є завершальним етапом вибору конкурентних стратегій фармацевтичних підприємств. При визначенні характеру реакції конкурентів потрібно враховувати: цілі конкурентів, самооцінку конкурентами своїх позицій на ринку, їх поточну стратегію і маркетингові можливості.

 




Рис. 8. Модель реакції конкурентів

Характер реакції конкурентів насамперед залежить від їх цілей, від того, чи задоволені вони своєю позицією на ринку, фінансовими результатами своєї діяльності.

Важливе значення для передбачення характеру реакції конкурентів має їх самооцінка позиції, що займається на ринку. Якщо вони вважають себе лідерами у певній області, наприклад, системі збуту, то вони будуть активно реагувати на будь-які спроби обійти їх в цій області.

Від уміння конкурентів своєчасно адаптувати свою поточну стратегію до змін на ринку залежить характер їх реакції. На характер реакції конкурентів впливають також їх маркетингові можливості, сильні і слабкі сторони.

Фармацевтичне підприємство може вибрати оптимальну стратегію на основі своєї оцінки реакції конкурентів за допомогою проведення аналізу очікуваної цінності, що передбачає урахування:

• альтернативних стратегій підприємства;

• можливої реакції конкурентів;

• ймовірності тієї чи іншої реакції;

• впливу стратегії підприємства на її прибуток.

Таким чином, розглянуті конкурентні стратегії - загальна конкурентна матриця, модель конкурентних сил, матриця конкурентних переваг, модель реакції конкурентів орієнтують на забезпечення лідерства на ринку за допомогою залучення потенційних покупців.

Конкурентні стратегії визначають типи конкурентної поведінки.

Креативна конкурентна поведінка передбачає проведення заходів, спрямованих на створення нових компонентів ринкових відносин, які забезпечували б конкурентну перевагу: нова технологія, нові препарати, нова система розподілу, нові методи збуту, нові засоби комунікації і т. д.

Конкурентна поведінка пристосування спрямована на облік інновацій у виробництві та реалізації і в спробах випередження дій конкурентів, пов'язаних з модернізацією, за допомогою копіювання їх досягнень у стислі терміни.

Конкурентна поведінка гарантування заснована на прагненні збереження конкурентних позицій за допомогою підвищення якості ліків, видозмін їх асортименту, надання додаткових послуг і гарантій.

Розділ 3. Оцінка конкурентоспроможності фармацевтичного підприємства та шляхи її підвищення


Комплекс факторів конкурентоспроможності фармацевтичного підприємства містить такі складові:

— якісні та кількісні показники конкурентоспроможності продукції;

— забезпечення ефективного просування лікарських препаратів на фармацевтичний ринок, створення сприятливого іміджу;

— контроль та аналіз фінансово-господарської діяльності підприємства;

— опрацювання ефективних методів зміцнення конкурентності підприємства. Аналіз конкурентних позицій фармацевтичного підприємства передбачає означення факторів, які впливають на відношення клієнтів до підприємства та його продукції, змінення частки ринку (табл. 1) [7].

Таблиця 1. Фактори впливу на конкурентоспроможність фармацевтичного підприємства

Зовнішні фактори

Внутрішні фактори

макросередовище підприємства

безпосереднє оточення

мікросередовише підприємства

ініціатор фактора

група факторів

ініціатор фактора

група факторів

ініціатор фактора

група факторів

Уряд

Діяльність Уряду

Конкуренти

Діяльність конкурентів

Якість, ціна, система гарантій, дотацій, пільг тощо

Підприємство

Економіка

Тенденції економіки

Постачальники

Діяльність постачальників



Суспільство

Тенденції у політиці, інфраструктурі, культурі тощо

Діяльність клієнтів, їх економічний потенціал

Стан технічних, технологічних кадрів, фінансових, інформаційних ресурсів

Стратегічний потенціал

Керівництво підприємства

Тенденції у галузі, форми та методи управління

Кадровий ринок

Реакції ринку



Природне середовище

Клімат, флора, фауна, географічне розташування

Компаньйони

Діяльність компаньйонів

Маркетингові стратегії, реклама

Маркетингова служба

Випадок

Форс-мажорні обставини тощо

Кредитори

Діяльність кредиторів




Оцінка стійкості конкурентних позицій ВАТ «Фармак» передбачала дослідження комплексу складових конкурентоспроможності (схема).

До середини XX ст. сформувалися загальні уявлення про сутність конкуренції, які відбилися у чотирьох класичних моделях, а саме: бездоганна (чиста) конкуренція, монополістична, олігополістична конкуренція та чиста монополія [1].

Маркетингові стратегії сучасних фармацевтичних підприємств України, у т.ч. ВАТ «Фармак», які працюють в умовах монополістичної конкуренції, передбачають такі завдання:

— впровадження інтеграції з відсутніми ланками технологічного ланцюга «проектування — виробництво — реалізація», а саме: пряма інтеграція (просування лікарського препарату до кінцевого споживача); зворотна (створення передумов та умов для виробництва); селективна (вибіркова) інтеграція;

— спеціалізація на виробництві означеного виду лікарських засобів, на індивідуальних замовленнях клієнтів;

— виключення зайвих витрат.

Алгоритм дослідження конкурентоспроможності фармацевтичного підприємства.


Аналіз фінансової стійкості ВАТ «Фармак» передбачав оцінку абсолютних (об'ємів прибутку, продажу та витрат) і трьох груп відносних показників, які відображають рентабельність та обіговість активів підприємства, забезпеченість власними коштами та здатність відповідати за своїми зобов'язаннями.

Перша група відносних показників характеризує ефективність виробничо-збутової діяльності (показники рентабельності) [8]:

— рентабельність продажу = чистий прибуток/чистий продаж;

— рентабельність активів = чистий прибуток/сума балансу;

— рентабельність власних оборотних коштів = чистий прибуток/чистий оборотний капітал.

У другій групі аналізувалися показники оборотності:

— обіговість матеріально-виробничих запасів = чистий продаж/матеріально-виробничі запаси;

— обіговість чистого оборотного капіталу = чистий продаж/чистий оборотний капітал.

Показники третьої групи відображають фінансову стійкість підприємства. Нами було визначено:

— коефіцієнт автономності = власний капітал/загальна сума джерел фінансування;

— коефіцієнт покриття = оборотний капітал/поточні зобов'язання;

— коефіцієнт абсолютної ліквідності = грошові кошти/поточні зобов'язання;

— коефіцієнт маневрування власного капіталу = власний оборотний капітал/власний капітал.

Аналіз вищенаведених показників здійснювався за результатами діяльності у період 1996 — 2005 роках. Це надало можливість отримати інформацію про ступінь фінансової стійкості ВАТ «Фармак» та проаналізувати її. Отримані дані свідчать про те, що ВАТ «Фармак» має перспективу підвищення рівня власного економічного розвитку. Це є підґрунтям позитивної тенденції зміцнення конкурентоспроможності підприємства.

Конкурентоспроможність продукції та підприємства-виробника співвідносяться між собою як частина та ціле. Можливість компанії конкурувати на ринку залежить від конкурентоспроможності товару та сукупності економічних методів діяльності підприємства, які впливають на результати конкурентної боротьби.

Сучасні методичні підходи щодо оцінки конкурентоспроможності фармацевтичної продукції ґрунтуються на порівнянні якісних та кількісних характеристик лікарських препаратів, які виробляє підприємство та його конкуренти. Визначення якісних показників передбачає використання таких заходів:

— виділення найважливіших для споживачів характеристик лікарських препаратів;

— визначення відношення споживачів до цих характеристик та ступеня їх сприйняття.

Боротьба за споживача на внутрішньому та зовнішньому фармацевтичному ринку потребує виробництва конкурентоспроможних лікарських препаратів. У зв'язку з цим набуває важливості питання пошуку економічно раціональних рівнів конкурентоспроможності продукції та витрат на їх досягнення. Це підвищує значущість впливу на якість, тим самим — на конкурентоспроможність лікарських препаратів. Нині поняття якості — це передусім задоволення потреб та попиту споживачів, відповідність їх очікуванням та сприйняттю.

Відношення споживачів до лікарських препаратів будь-якого фармацевтичного підприємства-виробника має індивідуальний характер [2, 6]. Це пов'язано із суб'єктивною оцінкою їх кожною людиною, що вказує на необхідність вивчення вимог до лікарських препаратів різних груп споживачів.

Рівень реалізації лікарських засобів залежить від якісного задоволення потреб хворих, а також від задоволення вимог численної групи професійних працівників фармації — провізорів фармацевтичних фірм та аптек.

Для виявлення потреб споживачів було проведено анкетування провізорів (30 експертів) та відвідувачів аптек (30 респондентів) Чернігова. За даними анкетування з'ясовано, що провізори віддають перевагу насамперед ефективності та безпеці препаратів; пріоритет вибору кінцевих споживачів — це ціна, відомість та ефективність лікарських засобів (рис. 9.). У зв'язку з цим фармацевтичним підприємствам при здійсненні просування лікарських препаратів необхідно акцентувати увагу на декларуванні раціонального співвідношення їх ефективності та ціни.

Головним кількісним показником, який характеризує конкретні позиції лікарських препаратів, виступає їх частка ринку. Проте через дефіцит коштів на придбання відповідної інформації питання щодо власної частки ринку для багатьох вітчизняних підприємств — продуцентів ліків залишається невирішеним. Групування препаратів з урахуванням частки ринку і темпів зростання обсягів продажу згідно з матрицею Бостонської консалтингової групи (БКГ) дозволяє визначити, яке місце на ринку займає продукція підприємства. Відповідно до цього існує чотири групи товару, а саме: «зірки», «дійні корови», «важкі діти», «собаки» та відповідні їм маркетингові стратегії. Кожний лікарський препарат залежно від того, до якого сектора його віднесено, характеризується певною стійкістю конкурентних позицій на фармацевтичному ринку та перспективністю подальшого виробництва [2, 5]. Практично матриця БКГ була нами застосована на прикладі лікарських препаратів, які виробляє ВАТ «Фармак». Встановлено, що понад двох третин продукції, яку виробляє підприємство, припадає на перспективні сектори «зірки» та «дійні корови». Сучасне загострення конкурентної боротьби на вітчизняному фармацевтичному ринку актуалізує для підприємств — продуцентів ліків питання забезпечення стабільного збуту власної продукції. За цих умов додаткових конкурентних переваг підприємству надасть оптимізація збутової діяльності на підставі визначення «ринкових вікон», тобто потенційно прибуткових сегментів ринку, які залишилися без уваги конкурентів та власне підприємства. Так, на підставі даних загальної роздрібної діяльності та реалізації лікарських засобів на душу населення нами було визначено «ринкові вікна», відповідні збутовій діяльності підприємства.

На сьогодні ефективність ринкових стратегій підприємства, конкурентоспроможність продукції та вдала збутова діяльність потребують забезпечення позитивного іміджу підприємства в уявленні будь-яких суспільних груп: від урядовців до лікарів, провізорів, хворих тощо. Сприятливий імідж підвищує конкурентоспроможність підприємства, приваблює партнерів, клієнтів, кінцевих споживачів, підвищує обсяги збуту та полегшує здійснення будь-яких комерційних операцій [10].

Оцінку іміджу фармацевтичні підприємства повинні здійснювати за такими показниками:

— група сприйняття;

— перелік властивостей підприємства, які можливо визначити та сприйняти, їх значущість;

— стійкість іміджу;

— рівень позитивності/негативності іміджу;

— оптимальність іміджу;

— напрямки діяльності щодо створення іміджу;

— витрати на підтримку гідного іміджу.

Нами проведено комплексне дослідження іміджу ВАТ «Фармак», одним з напрямків діяльності якого було вивчення інноваційної політики підприємства. За показником активності інноваційної діяльності ВАТ «Фармак» займає друге місце серед фармацевтичних підприємств України. Запорукою стабільної роботи підприємства фармацевтичної галузі виступає його спроможність щодо розширення виробничої програми за рахунок впровадження нових лікарських препаратів.

Рис. 9. Критерії переваг кінцевих споживачів та провізорів щодо вибору лікарських препаратів: а — споживачі, б — провізори; 1 — ціна, 2 — відомість, 3 — ефективність, 4 — упаковка, 5 — лікарська форма

Керівництву вітчизняних фармацевтичних підприємств належить приділяти значну увагу оцінюванню якості внутрішніх комунікацій, що дозволить визначити напрямки внутрішньої діяльності, які потребують вдосконалення. Заходи щодо оптимізації показників співпраці керівників та виконавців нададуть можливість підвищити ефективність загальної діяльності підприємства, що буде запорукою зміцнення позицій кадрової політики як складової конкурентоспроможності підприємства. Ефективність використання економічних та виробничих ресурсів, які має підприємство (фінанси, технології, обладнання тощо), залежить від персоналу, що здійснює відповідну діяльність [3]. У зв'язку з цим оцінка внутрішніх комунікацій та кадрового потенціалу ВАТ «Фармак» була останнім напрямком проведених досліджень.

Ефективність внутрішніх комунікацій забезпечує виконання таких положень [10]:

— можливість зворотного зв'язку при здійсненні внутрішніх комунікацій;

— комунікативна близькість керівництва вищого рівня;

— пріоритет внутрішніх комунікацій перед зовнішніми;

— якість комунікацій;

— дружній тон, почуття гумору при спілкуванні.

Поняття конкурентоспроможності фармацевтичного підприємства містить значний комплекс економічних характеристик, які визначають положення підприємства на галузевому ринку. Сучасні ринкові умови актуалізують для фармацевтичних підприємств з будь-якими обсягами виробництва та збуту необхідність визначення власної конкурентоспроможності. Практичне застосування алгоритму визначення стійкості конкурентних ринкових позицій на прикладі виробника лікарських засобів ВАТ «Фармак» надало можливість отримати відповідну інформацію, визначити напрямки діяльності, які потребують вдосконалення, та опрацювати програму щодо підвищення конкурентоспроможності підприємства. Розроблену програму впроваджено у практичну діяльність ВАТ «Фармак». Розвиток професійного фармацевтичного бізнесу в Україні не виправдовує позицію пасивного спостереження, зайняту окремими підприємствами. Він потребує постійних активних заходів щодо оптимізації власної виробничої та комерційної діяльності, що стане запорукою стабільної конкурентоспроможності.

Висновки


Створення конкурентних переваг здійснюється за допомогою розробки і реалізації відповідних конкурентних стратегій.

Конкурентна стратегія - це концепція і система дій фармацевтичного підприємства, орієнтованих на досягнення її цілей. Мета конкурентних стратегій - забезпечення конкурентних переваг фармацевтичного підприємства на ринку відносно активних конкурентів.

• загальна стратегічна модель;

• загальна конкурентна матриця;

• модель конкурентних сил;

• матриця конкурентних переваг;

• модель реакції конкурентів.

Розрізняють три типи конкурентної поведінки: креативна; пристосування; гарантування.

Визначено складові комплексу факторів конкурентоспроможності фармацевтичного підприємства. Запропоновано алгоритм дослідження конкурентоспроможності фармацевтичного підприємства — продуцента ліків, який містить такі етапи: вивчення стратегічного напрямку підприємства, фінансово-економічного стану, конкурентоспроможності продукції, збутової діяльності, іміджу та кадрового потенціалу.

Проведено комплексне дослідження конкурентоспроможності ВАТ «Фармак», опрацьовано та впроваджено у практичну діяльність програму щодо зміцнення конкурентних позицій відповідного підприємства на вітчизняному фармацевтичному ринку.

 

Література


1. Андреева О.Д. Технология бизнеса: маркетинг. — М: ИНФРА М-НОРМА, 1997. — С. 224.

2. Балабанова Л. В. Маркетинг: Підручник. - Донецьк, 2003. - 562 с.

3. Белошапка В. А., Загорий Г. В., Усенко В. А. Стратегическое управление и маркетинг в практике фармацевтических фирм. - К.: РИА "Триумф", 2001. - 368 с.

4. Белявцев М. И., Иваненко Л. М. Маркетинг. Учебное пособие. -Донецк, 2003. -336 с.

5. Гаркавенко С. С. Маркетинг. Підручник. - К.: Лібра, 2002. - 712 с.

6. Громовик Б. П. Характеристика основних методик визначення конкурентноспроможності лікарських засобів. //Фармац. журн. - 2002. - № 3. – С. 7 - 11.

7. Громовик Б. П. Особенности международного фармацевтического маркетинга // Провизор. - 2000. - №9. - С. 20-22.

8. Громовик Б.П., Гасюк Г. Д., Левицькі О.Р. Фармацевтичний маркетинг: теоретичні та прикладні засади. – Вінниця, НОВА КНИГА, 2004. – 464 с.

9. Котлер Ф. Маркетинг - менеджмент. - СПб: Питер Ком, 1999. - 896 с.

10.   Котлер Ф. Основы маркетинга. — М.: Прогресс, 1992. — 667 с.

11.   Липчук В. В., Дудяк А. П., Бугіль С. Я. Маркетинг: основи теорії та практики. Навчальний посібник. / За заг. ред. В. В. Липчука. - Львів: Новий світ - 2000; Магнолія плюс. - 2003. – 288 с.

12.   Липы Д. Основы маркетинга. — Ростов-на-Дону: Феникс, 1997.

13.   Маркетинг: принципи і функції. Навч. посібник для вищих навч. закладів /За ред. О. М. Азарян. - Харків: Студцентр, 2002. - 320 с.

14.   Мнушко З. М., Діхтярьова Н. М. Менеджмент і маркетинг у фармації. Ч. II. Маркетинг у фармації: Підручник для фарм. вузів і факультетів / За ред. 3. М. Мнушко. -Харків: Основа; Укр. ФА, 1999. - 288 с.

15.   Мнушко З. М. Комплексна оцінка конкурентноспроможності фармацевтичного підприємства та шляхи її підвищення. // Фармацевтичний журнал. – 2002. - № 5. – 3 – 7.

16.   Старостіна А. О., Черваньов Д. М., Зозульов О. В. Маркетинг: Навч. посібник. -К.: Знання-Прес, 2002. - 191 с

17.   Тимонина А. М. Маркетинг: Курс лекций. - Харьков: Издательский Дом «ИНЖЭК», 2003.-76 с.

18.   Усенко В. А. Фармацевтический маркетинг. Мерчандайзинг. // Провизор. - 2000. -№7. -С. 17-19.

19.   Фармацевтичний маркетинг: Навч. посібник; Збірник вправ /Б. П. Громовик, Г. Д. Гасюк, Л. А. Мороз, Н. I. Чухрай. - Львів: Наутілус, 2000. - 320 с.

20.   Шинкаренко В. Г., Дмитрієв I. А., Криворучко О. М. Маркетинг: Навч. посібник. -Харків: ХНАДУ, 2002. - 307 с.

Похожие работы на - Моделювання конкурентних стратегій фармацевтичних підприємств

 

Не нашли материал для своей работы?
Поможем написать уникальную работу
Без плагиата!
Без нейросетей!