Аппаратура "Курс МП-70"

  • Вид работы:
    Реферат
  • Предмет:
    Информатика, ВТ, телекоммуникации
  • Язык:
    Русский
    ,
    Формат файла:
    MS Word
    214,09 kb
  • Опубликовано:
    2011-02-28
Вы можете узнать стоимость помощи в написании студенческой работы.
Помощь в написании работы, которую точно примут!

Аппаратура "Курс МП-70"

НАЦІОНАЛЬНИЙ АВІАЦІЙНИЙ УНІВЕРСИТЕТ

Інститут аеронавігації

КАФЕДРА АВІОНІКИ


РЕФЕРАТ

з дисципліни: "Основи авіаційного радіозв’язку радіолокації та радіонавігації"

На тему: Апаратура «Курс МП-70»




Київ – 2011

Бортовая аппаратура "Курс МП-70" предназначена:

1)   для ближней навигации по азимутальным радиомаякам метрового диапазона волн международной системы ближней навигации VOR/DME;

2)   для посадки по радиомаякам метрового диапазона волн международной системы посадки ILS;

3)   для посадки по радиомаякам метрового диапазона волн отечественной системы посадки СП-50.

Международная система VOR/DME является системой ближней навигации, т.е. обеспечивающей навигацию в пределах прямой видимости - примерно 400 км. Система VOR/DME имеет территориально совмещённые маяки: азимутальный маяк VOR и дальномерный маяк DME. Маяки работают независимо и могут использоваться как самостоятельные средства.

Маяки VOR получили широкое распространение за рубежом, их параметры регламентированы документами ICAO (International Civil Aviation Organization - Международная организация гражданской авиации). Маяки VOR устанавливаются также в международных аэропортах и на воздушных трассах СССР, выделенных для полётов самолётов зарубежных авиакомпаний.

Существует несколько разновидностей азимутальных маяков VOR. Аппаратура "Курс МП-70" предназначена для работы со стандартнымVOR. В сложных условиях ошибка определения азимута не должна превышать 3,6 град.

Радиомаячные системы посадки отличаются допустимым при посадке минимумом погоды и используемым диапазоном радиоволн. В соответствии с метеоусловиями различают системы 1, 2 и 3 категорий (по нормам ICAO):

1- я категория - обеспечение посадки до высоты 60 м;

2-   я категория - обеспечение посадки до высоты 15 м;

3-   я категория - до нулевой высоты.

В настоящее время на аэродромах гражданской авиации находятся в эксплуатации радиомаячные системы посадки трёх типов: СП-70, СП-75, СП-80 [5, стр.127]. По принципу действия они относятся к типу ILS, при этом СП-70 удовлетворяет требованиям 3-й категории в аэропортах с благоприятными условиями местности и требованиям 1-й и 2-й категорий в аэропортах со сложным рельефом, СП-75 - требованиям 1-й и 2-й категорий, СП-80 - подобна СП-70 (более современная элементная база). В международных аэропортах устанавливают системы ILS категорий 1, 2, 3.

Ранее в СССР использовались системы посадки СП-50 (хуже 1-й категории), СП-50М (1-й категории) и СП-68 (2-й категории) [2, стр.257]. Эти системы имеют одинаковый принцип действия и относятся к системам типа СП-50. В настоящее время системы типа СП-50 практически не используются.

В составе принимаемого на самолёте сигнала от маяка VOR имеются сигналы опорной фазы и переменной фазы. Фаза опорного сигнала не зависит от положения самолёта относительно маяка, а фаза переменного сигнала зависит от направления приёма. Измеряя разность фаз между ними в точке приёма, можно определить направление на маяк.

Рассмотрим процесс формирования сигнала VOR (рис. 1). Антенна маяка VOR имеет диаграмму направленности (ДН) по напряжённости поля: 1+ mcosφ при m=0,3 (улитка Паскаля). По форме эта ДН близка к форме окружности со смещённым центром.

ДН антенны маяка вращается со скоростью 30 об/сек(FEp= 30 Гц).

Эпюры этих напряжений изображены нарис.1в.

Пусть в момент t = 0 максимум ДН направлен на магнитный север, т.е. магнитный меридиан проходит через ось симметрии ДН. Отметим, что все маяки VOR ориентированы на магнитный север (северный магнитный полюс находится к северу от Канады, на острове Принца Уэлльского).

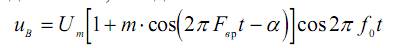
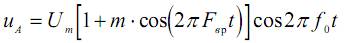
Положение наблюдателя (самолёта) относительно маяка VOR принято характеризовать магнитным азимутом (магнитным пеленгом), т.е. углом между магнитным меридианом, проходящим через маяк, и направлением от маяка на наблюдателя. Угол измеряется от магнитного меридиана по часовой стрелке от 0 до 360 град. В дальнейшем вместо термина "магнитный азимут" ("магнитный пеленг") будем употреблять термин "азимут". Таким образом, на рис.1 а азимут наблюдателя А равен 0 град, а азимут наблюдателя В равен α.

Пусть в момент t=0 напряжённость поля излучения антенны в направлении 0W и 00stравна 1, в направлении 0N равна 1+m, а в направлении 0S равна 1-m.Предположим, что маяк излучает немодулированную несущую f0. Тогда сигнал, принятый наблюдателем А, можно записать в виде


а сигнал, приятый наблюдателем В, в виде

бортовой аппаратура азимутный маяк

Эпюры этого напряжения изображены нарис.1в.

Рис. 1

Таким образом, в точках А и В наблюдатели получили на входах приёмников амплитудно-модулированный сигнал. Коэффициент модуляции m для маяков VOR равен 30% (рис. 1).

В т. А максимум модулирующего напряжения достигается в момент t0, а в т. В - в момент t1.Если бы наблюдателю В был известен момент времени t0, то измеряя t1- t0и зная частоту вращения ДН, можно было бы вычислить свой азимут а.

Для того, чтобы сообщить наблюдателю момент совпадения максимума ДН с направлением на магнитный север (т.е. момент t0), в маяке формируют сигнал "Опорной фазы" - гармонику частотой 30 Гц, максимум которой соответствует моменту  (рис. 2а) и сигнал поднесущей - гармонику частотой 9960 Гц. Поднесущую модулируют по частоте сигналом "Опорной фазы" с девиацией частоты ± 480 Гц таким образом, что в момент совпадения максимума ДН с направлением на север сигнал поднесущей имеет максимум частоты, равный 10440 Гц (рис. 2б).

Рис. 2

Далее частотно-модулированной поднесущей модулируют излучаемый маяком сигнал по амплитуде с коэффициентом модуляции 30%.

На рис. 2в показан ВЧ сигнал, принимаемый наблюдателем В. Его результирующая огибающая имеет сложный вид и содержит в себе информацию об "Опорной фазе" и о "Переменной фазе" (временные масштабы на рис. 2 искажены). В приёмнике после амплитудного детектирования выделяют результирующую огибающую, а затем, после дальнейшей обработки, из неё выделяют сигнал "Опорной фазы" и "Переменной фазы". Измеряя разность фаз между ними, вычисляют азимут наблюдателя.

Следует отметить, что в действительности сигнал VOR описанного выше вида может формироваться различными способами, например, с помощью двух антенн - одной неподвижной и одной подвижной, или за счёт электронного вращателя и т.д.

В системе VOR предусмотрена возможность опознавания маяка. Для этого используют тональную модуляцию несущих колебаний частотой 1020 Гц, а сообщение передают кодом Морзе. Используют также модуляцию речевым сообщением.

Курсовой приемник VOR

Диапазон частот, МГц

108,00 - 117,95 (160 каналов)

Чувствительность при токеотклонения  80 %

от номинальногозначения стандартного

испытательногосигнала VOR, мкВ

не хуже 5

Погрешностьиндикации азимута:


по ручному каналу, градусы

≤ 1

по автоматическому каналу, градусы

≤ 1,5

Погрешностьизмерениякурсовыхуглов, градусы

≤ 2


Курсовой приемник ILS

Диапазон частот, МГц

108,10 - 111,795 (40 каналов)

Чувствительность при токеотклонения 80 %

от номинальногозначения стандартного

испытательногосигнала ILS, мкВ

не хуже 5

Погрешностьцентрирования:


по выходу 150 мкА

≤ + 4 мкА

по выходу 250 мкА

≤ + 7 мкА

Токотклонения при РГМ=0,093:

(90 + 9) мкА

по выходу 250 мкА

(150 + 15) мкА

Глиссадный приемник ILS (СП-50)

Диапазон частот, МГц

329,15 - 335,50 (40 каналов)

Чувствительность при токеотклонения 80 %

от номинальногозначения стандартного

испытательногосигнала, мкВ

не хуже 10

Погрешностьцентрирования:


по выходу 150 мкА

≤ + 5 мкА

по выходу 250 мкА

≤ + 8 мкА

Токотклонения при РГМ=0,092


по выходу 150 мкА

(79 + 8) мкА

по выходу 250 мкА

(132 + 13) мкА


Маркерный приемник

Рабочая частота, МГц

75 + 0,0075

Чувствительность в режиме "Маршрут", мВ

не хуже 0,15

Чувствительность в режиме "Посадка", мВ

не хуже 1 + 0,4


ОБЩИЕ СВЕДЕНИЯ

Аппаратура "Курс МП-70" можетэксплуатиро-ваться в следующихклиматическихусловиях:


температура окружающейсреды, °С

-60...+ 60

повышеннаявлажность при температуре +40°С,%

≤ 98

пониженноеатмосферноедавление, мм рт. ст

≤ 19 (25000 м)

Потребляемаямощность


по сети 115 В 400 Гц, В•А

≤ 180

по сети 36 В 400 Гц, В•А

≤ 25

по сети + 27 В, Вт

≤ 15

по сети + 5,5 В, Вт

≤ 10

Массакомплектааппаратуры, кг

≤ 40

Габаритныеразмеры моноблока, мм

532 х 339 х 274


Аппаратура Курс МП‑70 лит. 01, 02, 07, 09, 18 устанавливается на летательныхаппаратахАн‑22, Ан‑30, Ан‑124, Ми‑8МТ, Ил‑76М.

Аппаратура Курс МП-70 лит. 03, 04, 05, 06, 08, 12, 13, 17 устанавливается на летательных аппаратах Ту‑154, Ил‑86, Як‑42, Ту‑154Б, Ил‑62, Як‑42МЛ, Ан‑24, Ан-32.

 


Не нашли материал для своей работы?
Поможем написать уникальную работу
Без плагиата!
Без нейросетей!