Цифровая радиолиния КИМ-ЧМ-ФМ

  • Вид работы:
    Курсовая работа (т)
  • Предмет:
    Информатика, ВТ, телекоммуникации
  • Язык:
    Русский
    ,
    Формат файла:
    MS Word
    537,53 kb
  • Опубликовано:
    2011-02-08
Вы можете узнать стоимость помощи в написании студенческой работы.
Помощь в написании работы, которую точно примут!

Цифровая радиолиния КИМ-ЧМ-ФМ

Министерство общего и профессионального образования

РГРТА

Кафедра РУС

Курсовая работа на тему:

Цифровая радиолиния КИМ-ЧМ-ФМ

Рязань 2004

Содержание

1) Общая характеристика системы управления

2) Расчет и выбор основных технических характеристик системы

2.1 Определение частоты опроса

2.2 Определение разрядности квантователя

2.3 Выбор группового сигнала и расчет его параметров

2.4 Выбор несущей частоты передатчика

2.5 Расчет энергетического потенциала

3)Контур управления и его анализ

4)Разработка функциональной схемы радиолинии

4.1   Спектр сигнала КИМ-ЧМ-ФМ

4.2   Описание функциональной схемы передатчика

4.3   Описание функциональной схемы приемника

5) Конструкция бортового приемника

6) Заключение

7) Литература

1. Общая характеристика системы управления

сигнал дискретизация квантование кодирование приемник

Командное радиоуправление применяется для широкого класса летательных аппаратов. В системах командного радиоуправления команды вырабатываются на пункте управления и передаются на Л.А. по командной радиолинии.

В системах управления снарядами с помощью радиокоманд обеспечивается наведение снаряда по заданной траектории и выполнение разовых операций (перевод снаряда в режим самонаведение, аварийный подрыв и т.п.). В комплексах космических аппаратов радиокоманды используются для корректирующего управления движением центра масс К.А. и управление работой различной бортовой аппаратуры.

При формировании команд управления траекторией полета Л.А. используются данные, полученные с помощью визиров (средств наблюдения за Л.А. и целями).

Различают следующие системы командного радиоуправления 1): КРУ-1, КРУ-2 и КРУ-3. В системах КРУ-1 визир цели размещается на пункте управления, в системах КРУ-2- на борту Л.А.

Средства визирования цели, которые применяются в системах КРУ-1 и КРУ-2, могут существенно отличаться друг от друга. В системах КРУ-1 основным типом визира цели является активная радиолокационная станция. В системах КРУ-2 в качестве визира можно использовать радиолокационные, телевизионные, оптические и тепловые (инфракрасные) устройства. Применение телевизионной камеры на борту Л.А. повышает эффективность участия оператора в решении задачи селекции целей.

В системах КРУ-1 и КРУ-2 средства визирования Л.А. размещаются на пункте управления. Эти средства работают, как правило, в диапазоне сверхвысоких частот с использованием сигналов активного ответа, что повышает дальность действия таких визиров и точность измерений координат Л.А.

В системах следящего управления снарядами находит применение радиовизир снаряда, который представляет собой радиолокационные станции с активным ответом. Для определения координат космического аппарата используются системы траекторных измерений.

Требования к дальности действия визиров, составу измеряемых величин и точности измерений зависят от назначения системы.

В системах корректирующего радиоуправления К.А. необходимо оценить с высокой точностью либо значения начальных условий для определенного момента времени, либо значения параметров орбиты. Результаты первичных радиотехнических измерений здесь обрабатываются (вторичная обработка) в течение достаточно длительных интервалов времени.

В системах управления снарядами визиры цели, как правило, должны обеспечивать непрерывное получение оценок параметров движения в реальном масштабе времени (следящие оценки). Поскольку дальности в таких системах относительно невелики, то получение требуемых оценок с необходимой точностью технических трудностей обычно не вызывает.

В состав системы командного радиоуправления входят также вычислительные средства, размещаемые на пункте управления. Эти средства предназначаются для выполнения различных математических и логических операций, связанных с управлением Л.А.

В данной работе разрабатывается космическая система связи с КИМ-ЧМ-ФМ. Характер спектра сигнала с многоступенчатой модуляцией в значительной степени определяется спектром сигнала КИМ. Кодово-импульсная модуляция является наиболее распространенным методом цифрового преобразования аналоговых сигналов. При КИМ осуществляется три вида преобразований: дискретизация по времени исходного сигнала, квантование амплитуд дискретных отчетов сигнала и кодирование. Сформированные при дискретизации отчеты преобразуются в группы кодовых символов.

2. Расчет и выбор основных технических характеристик системы

2.1 Определение частоты опроса

Суть дискретизации по времени состоит в том, что непрерывное сообщение заменяется последовательностью его мгновенных значений (отсчетов), взятых в дискретных точках времени. При такой замене из рассмотрения исключается все множество значений непрерывной функции времени, находящихся внутри интервалов времени Tд. Полученная при этом функция имеет вид последовательности отсчетов, взятых в дискретные моменты времени.

Если непрерывная функция времени U(t) имеет спектр, ограниченный полосой частот от нуля до Fв, то эта функция полностью определена последовательностью своих мгновенных значений, взятых в моменты времени, отсчитываемые через интервалы Tд=1/2Fв.


В этом случае интерполирующая функция:

X(t)=sin2pFм(t-кТд)/2pFм(t-кТд);

То есть функция является идеальной интерполирующей функцией для сигнала с прямоугольным спектром. В этом случае частота дискретизации Fд=2Fм. Но это соотношение не может быть использовано на практике, потому что:

1) Сигналов с идеальным прямоугольным спектром нет.

2) Число выборок не равно бесконечности.

На практике частота дискретизации выбирается, исходя из соотношения:

Fд=2cFв, где Fв определяется формой спектра сигнала, в которой сосредоточена основная доля энергии, обычно 0,99. Коэффициент c зависит от вида интерполирующих полиномов и требуемых значений показателя верности. Задаемся 4-ой моделью сигнала (сигнал с колоколообразным спектром), полиномом 2-го порядка и приведенным показателем верности g=0,2% и получим:

c= 5.5/Ög=5,5/0,447=12,3

Отсюда

Fд=12,3*2*6=147,6 [Гц];

2.2 Определение разрядности квантователя

Предположим, что в результате дискретизации получена последовательность непрерывных величин x(nTд). Для передачи по цифровому каналу связи каждый отсчет необходимо проквантовать до конечного множества значений.

1) Дискретизация

2) Квантование

3) Кодирование

Расчет ведется из условия достижения заданного отношения с/ш. Зададимся отношением с/ш: g = 50 дБ;

В литературе показано, что отношение с/ш и разрядность информационного слова связаны следующим соотношением:

g = 3* N2кв2пф,

 

где Кпф – пик фактор сигнала.

Если учесть, что для синусоиды Кпф =Ö3 и мя используем двоичную систему счисления, то:

g = 20*r*log2 = 6r

Тогда r = g /6 = 50/6 =8

2.3   Выбор группового сигнала и расчет его параметров

Рис .1

Рисунок соответствует временному уплотнению и синхронной передаче последовательности командных слов одинаковой длительности в течение интервала времени длительностью ТКИ . Этот интервал разбит на равные интервалы длительностью ТКС , каждый из которых закреплен за определенным каналом радиолинии. Число таких интервалов соответствует числу каналов NК в радиолинии. В данной работе Nк=5. Разделение каналов при приеме обеспечивается путем передачи синхронизирующего слова длительностью ТСК. В данной радиолинии в качестве синхрослова выбран код Баркера. Он является лучшим в своем канале. Для уменьшения ошибок, возникающих при обнаружении синхронизирующего сигнала и определении его временного положения, АКФ синхросигнала имеет узкий центральный пик и малый уровень боковых лепестков.

Совокупность командных и синхронизирующих слов, занимающая интервал времени длительностью ТåКИSK, называют кадром. Синхронизирующее слово передается в начале кадра и называется словом кадровой синхронизации. Это слово отличается от командных слов своей структурой. Этим самым обеспечивается возможность выделения в приемном тракте сигналов кадровой синхронизации, которые используются затем для разделения каналов.

Длительность канального сигнала Тå=1/FД=1/147,6=0,00678 [сек ]=6,78 [мс];

Имеем 5 каналов, количество элементарных передаваемых символов в каждом канале равно числу уровней квантования В=8. Таким образом, количество элементарных символов в информационном сигнале NИ=5*8=40. Длительность синхрослова составляет 50%-70% от информационного символа, отсюда Тå=1,5Тки. После чего получаем ТКИ=0,00678/1,5=0,00452 сек, а ТSK= Тå - ТКИ = 0.00226 сек Таким же образом посчитаем количество элементарных символов в кадре NК=NS+NИ .


Длительность элементарного символа:

tО=TКИ/NК=0,00452/60= 75,3 [мкс];

Тактовая частота:

fТ=1/tО = 1/75,3=13,28 [кГц];

Вид группового сигнала:

синхрослово

1 канал

………..

5 канал

2.4. Выбор несущей частоты передатчика

Для радиолиний Земля – космос выделен диапазон 2025…2110 МГц. Низкие частоты этого диапазона целесообразно использовать для связи на небольшой высоте, т. к. при этом тропосферное и ионосферное ослабление сигнала минимально.

Выберем fнес = 2025 МГц.

Отсюда l= с/ fнес = 0,148 м.

2.5 Расчет энергетического потенциала

Энергетическим потенциалом радиолинии называется отношение средней мощности сигнала РС к спектральной плотности шума GШ (мощности шума в полосе 1 Гц), пересчитанное ко входу приемника.

Расчет энергетического потенциала радиолинии позволяет определить ряд основных параметров системы: мощность передатчиков, геометрические размеры антенн, скорость передачи информации и др.

В радиолиниях ближнего космоса достаточно небольшое усиление. Здесь часто оказывается выгодным использовать всенаправленные бортовые антенны, обеспечивающие прием и передачу сигналов во всем пространственном угле.

В качестве наземной передающей антенны возьмем антенну параболического типа.

Мощность сигнала на входе приемника определяется выражением:

РС ВХИЗЛgЕGSЭ/4pr2; (1)

где РИЗЛ=(103¸105)Вт- мощность сигнала, излучаемого передатчиком.

G- КНД антенны передатчика.

r = 250км- расстояние между передатчиком и приемником.

gЕ- коэффициент, учитывающий потери энергии сигнала в среде за счет поглощения.

gЕ=exp(-0.23ar); (2)

где a- коэффициент затухания.

Для l=5см a=0,02-0,2дБ/км

Итак, с учетом (2) выражение (1) принимает вид:

РС ВХИЗЛ(GSэ/4pr2); (3)

Если основными помехами в линии связи являются внутренние флюктуационные шумы и другие случайные помехи шумового типа, то пересчитав все эти помехи ко входу приемника, можно определить результирующую спектральную плотность помех на входе в виде:

NОå(f)=åNОI(f) (4)

где NOI-- спектральная плотность случайной помехи i-го вида, пересчитанная ко входу приемника.

Мощность всех помех на входе приемника, определяемая в полосе частот fэ занимаемой спектром сигнала, равна:

f0+fэ/2

РШ ВХ=ò NОå(f)¶f ; (5)

f0-fэ/2

где f0- частота несущей.

Выражение (5) можно представить в виде:

РШ ВХ=NОå(f)fЭ=NОåfЭ ; (6)

В простейшем случае, когда основной помехой являются только внутренние флюктуационные шумы приемника с равномерной спектральной плотностью N0 , мощность помехи на входе (при согласованном входе) равна:

РШ ВХ=кТЭfЭ ; (7)

где к- постоянная Больцмана (к=1,38*10-23Дж/к).

Тэ- эквивалентная шумовая температура входа.

С учетом выражений (3) и (6) отношение средней мощности шума на входе приемника определяется формулой:

(PC/PШ)ВХ=(РИЗЛGSЭ/4pr2NОåfЭ)exp(-0.23ar); (8)

Это выражение определяет фактическое отношение сигнал / шум на входе приемника при известных параметрах линии связи. Пусть для того чтобы обеспечить требуемую вероятность ошибки при передаче одной двоичной единицы информации , необходимо иметь энергетическое отношение сигнал/ шум:

h2O.ТРО/NOå=(PC/PШ)ВХ*tО*fЭ; (9)

Тогда требуемое отношение сигнал / шум берут с некоторым запасом (системный запас), т.е.

(PC/PШ)ТР=gСИСТh2O.ТР/tО*fЭ; (10)

где gCИСТ- коэффициент запаса, выбирается от 2 до 10. Зададимся gCИСТ=4.

Для того чтобы линия связи обеспечивала передачу информации с помехоустойчивостью не ниже заданной, необходимо выполнить условие:

СШ)ВХ³(РСШ)ТР; (11)

Приняв во внимание (8), (10) и (11) имеем:

ИЗЛGSЭ/4pr2NOå)exp(-0.23ar)³gСИСТ h2o ТР/tО; (12)

Шумовая температура: Тэ=1000 К;

Отношение с/ш: g=50Дб;

Длительность элементарного символа: tО=75,3 мкс;

Длина волны: l=14,8 см;

Коэффициент запаса: gСИСТ=4;

Коэффициент затухания: a=0,1 дБ/км;

Коэффициент, учитывающий уменьшение скорости передачи: gR=0,75

Расстояние между передатчиком и приемником: r=250 км;

Скорость передачи информации – R = gR * log2 n/ tО = 23000 бит/с;

Спектральная плотность флюктуационных шумов на входе приемника - NO= кТэ= 1,38 * 10-20

Диаметр бортовой антенны: d=0.5 м;

Диаметр антенны наземной станции: D=25 м;

Коэффициент использования поверхности антенны: hА=0,55;

Требуемая средняя мощность сигнала излучаемого передатчиком в нашем случае выразится формулой:

РИЗЛ³gСИСТ /gR * ln (1/2Рош ) * R * NO *(4lr/pdDhА)2 =1,74 * 10-6;

Берем РИЗЛ = 10 Вт, что позволяет скомпенсировать неучтенные факторы, снижающие качество канала связи, которые приведены ниже.

Ослабление сигнала в свободном пространстве, обусловленное рассеиванием энергии радиоволны, составляет основные потери в радиолиниях. Но есть и дополнительные потери, которые необходимо также учитывать.

LД=LАФУ+LНАВ+LАТМ+LПОЛ ,

где LАФУ - потери в передающих и приемных антенно-фидерных устройств;

LАТМ - потери при распространении сигнала в атмосфере;

LПОЛ - потери при поляризации радиоволн;

3. Контур управления и его анализ

Радиотелемеханической системой называется совокупность устройств, предназначенных для управления состоянием и работой различных приборов и агрегатов. Такие системы находят широкое применение как в оборонной технике, так и в народном хозяйстве.

В комплексах летательных аппаратов радиотелемеханические системы используются для управления бортовыми приборами и агрегатами, а также состоянием летательных аппаратов в целом. Такое управление осуществляется подачей на исполнительные устройства приборов и агрегатов (объектов управления) соответствующих команд. Команды формируются на основе контроля (измерения) некоторой в общем случае многомерной величины g(t), которая непосредственно или косвенно характеризует либо условия, в которых находится объект управления, либо текущее состояние объекта.. Для осуществления такого контроля в состав радиотелемеханических систем включаются либо те или иные радиоизмерительные устройства, либо датчики-преобразователи неэлектрических величин в электрические. Формирование команд осуществляется в решающих устройствах, которые в простейших случаях представляют собой схемы сравнения и реле, а в более сложных - счетно-решающие приборы и системы обработки результатов измерений. Команда поступает на управляемый объект через исполнительное устройство. Исполнительные устройства могут быть самыми разнообразными как по принципу действия, так и по сложности.

Существуют автономные и неавтономные радиотелемеханические системы. В первых команды формируются на борту летательного аппарата, во вторых - на пункте управления и передаются на борт летательного аппарата по командной радиолинии.

Автономные радиотелемеханические системы обычно осуществляются как системы, предназначенные для выполнения в комплексе летательного аппарата определенных разовых функций. Эти функции выполняются по разовым командам в реальном масштабе времени; они имеют разовый и необратимый характер, т.е. исполняются один раз, в результате чего управляемый объект переходит в такое состояние, из которого не может вернуться к исходному. Обратная связь в подобных радиотелемеханических системах обычно отсутствует. Функциональная схема автономной радиотелемеханической системы приведена на рисунке.

Рис. 2

 

Измеряемая, монотонно нарастающая (или убывающая) величина g(t) непрерывно воспринимается бортовым радиоизмерительным устройством. Результат измерения обрабатывается в бортовом решающем устройстве и сравнивается с некоторой пороговой величиной gпор. В момент совпадения этих величин (g(t)= gпор) выдается разовая команда в виде скачка напряжения или в виде импульса, поступающая на исполнительное устройство. С выхода исполнительного устройства осуществляется управляющее воздействие Fy(t) на объект управления.

Неавтономные радиотелемеханические системы осуществляются как без обратной связи, так и с обратной связью. В обоих случаях на пункте управления принимается решение о формировании команды и осуществляется ее формирование. Сформированная команда Uк(t) в реальном масштабе времени или через программно- временное устройство поступает на вход радиоканала разовой команды или командной радиолинии, а затем передается на борт летательного аппарата.

Неавтономные радиотелемеханические системы без обратной связи по выполняемым функциям обычно аналогичны автономным радиотелемеханическим системам. Однако радиоизмерительное устройство, контролирующее величину g(t),находится здесь на пункте управления.

Примером неавтономной радиотелемеханической системы без обратной связи может служить радиосистема выключения двигателя баллистической ракеты при ее пуске на заданную дальность. Такая система включает в себя: радиосистему траекторных измерений на активном участке траектории, решающее устройство, радиоканал разовой команды, исполнительное устройство выключения двигателя и объект управления - ракетный двигатель.

А)Функциональная схема неавтономной радиотелемеханической системы.

Рис. 3

Б) Функциональная схема р/телемеханической системы с обратной связью.

Рис. 4

 

В радиотелемеханических системах с обратной связью информацию о состоянии и работе объектов управления - бортовых приборов и агрегатов- получают с помощью различного рода датчиков, устанавливаемых на борту летательного аппарата и связанных с контролируемыми величинами g(t). Полученные с датчиков и соответствующим образом обработанные величины поступают непосредственно или через запоминающее устройство на вход телеметрической радиолинии и передаются по ней на пункт управления. На пункте управления в устройстве выделения и обработки телеметрической информации получается оценка состояния объектов управления g*(t), необходимая для осуществления требуемого управления бортовыми приборами и агрегатами. Формирование команд осуществляется в результате сравнения оценки g*(t) c величиной gО(t), задающей необходимое состояние объектов управления. Сформированные команды по командной радиолинии передаются на борт летательного аппарата и поступают на исполнительное устройство, воздействующее на объекты управления. Контур радиотелемеханического управления оказывается замкнутым. В зависимости от решаемых задач, такое управление осуществляется либо как следящее, либо как корректирующее.

Применение радиотелемеханических систем с обратной связью наиболее характерно для управления бортовой аппаратурой космических аппаратов.

4. Разработка функциональной схемы радиолинии

4.1 Спектр сигнала КИМ-ЧМ-ФМ

Сигнал КИМ-ЧМ-ФМ является одним из наиболее часто применяемых сигналов при организации цифровой связи по радиоканалам большой длительности. Символы сигнала КИМ заполняются прямоугольными колебаниями (меандром) разной частоты для нулей и единиц. Сигналом КИМ-ЧМ модулируется по фазе несущее колебание.

Аналитическая запись сигнала КИМ-ЧМ-ФМ имеет вид:

где:

-колебания прямоугольной формы (меандр) с частотами w1 и w2, используемыми на второй ступени модуляции сигнала; Пс(t) – последовательность положительных и отрицательных прямоугольных импульсов, т.е. сигнал КИМ.

Общий вид спектра сигнала изображён на рис.5.

Интенсивность непрерывной части спектра на частотах w0±w1 и w0±w2, т.е. величина А равна:


где j - девиация фазы на последней ступени модуляции; Р(1) – вероятность появления единиц в сигнале КИМ; t0 – длительность элементарного символа.

Спектр сигнала изображён для случая, когда Р(1)=Р(0). В том случае, когда Р(1)¹Р(0), форма спектра на частотах w0±w1 и w0±w2.

4.2. Описание функциональной схемы передатчика.

В нашей разрабатываемой совмещённой командной радиолинии есть одна особенность: на борту летательного аппарата будет находиться не только приёмник, но и передатчик, который будет передавать информацию иного рода, чем мы ему посылаем: это может быть телеметрическая информация, фотографии (цифровые) местности и т.п.

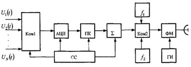
Рис. 6. Структурная схема передающей части

В простейшем случае работу передатчика можно объяснить следующим образом. На вход коммутатора Ком1 поступают N передаваемых сообщений U1(t), U2(t). С помощью АЦП они преобразуются в цифровой код. Преобразователь кода ПК служит для преобразования кода в последовательный. Схема синхронизации (СС) управляет работой передающей части и вырабатывает следующие сигналы:

1.   Сигналы управления коммутатором Ком 1. Эти сигналы имеют частоту повторения, определяемую верхней частотой спектра передаваемых сообщений;

2.   Сигналы управления АЦП;

3.   Сигналы управления преобразователем кода ПК;

4.   Сигнал кадровой синхронизации. Как правило, в качестве сигнала синхронизации используется m-последовательность, длина которой больше или равна ½ длины информационной части.

С помощью сумматора (+) формируется сигнал на видеочастоте (рис.7.).


На рисунке: Тсс – длительность слова синхронизации, Ткс – длительность командного слова, t0 – длительность элементарного символа КИМ.

В групповом сигнале символы следуют с тактовой частотой fт, которая определяется задающим тактовым генератором системы синхронизации. С помощью коммутатора КОМ 2 символ "1" заполняется меандром с частотой f1, а символ "0" – меандром с частотой f2. В результате получается сигнал КИМ-ЧМ, который затем подаётся на фазовый модулятор (ФМ). Сигнал на поднесущей модулирует по фазе колебание на несущей частоте w0. Усилитель мощности усиливает полученный сигнал КИМ-ЧМ-ФМ для обеспечения необходимого коэффициента усиления всего передатчика. Антенно-фидерный тракт осуществляет согласование антенны с передатчиком.

4.3 Описание функциональной схемы приёмника

Структурная схема приёмной части радиолинии изображена на рис.8 .

Рис. 8. Структурная схема приемной части

В высокочастотной части приёмной стороны происходит перенос несущей частоты на промежуточную. Формирователь опорного напряжения


 
 

Рис. 9. Формирователь опорного напряжения

ФОН выполняется на основе ФАПЧ (рис.9.) или следящего фильтра.

На выходе управляемого генератора (УГ) устанавливается сигнал, частота и фаза которого совпадают с частотой и фазой принимаемого сигнала. Если в качестве опорного напряжения использовать сигнал Uоп=cosw0t, то на выходе фазового детектора будет сигнал КИМ-ЧМ. Далее этот сигнал поступает на полосовые фильтры. Полосовые фильтры ПФ1 и ПФ2 настроены на поднесущие частоты f1 и f2.

На выходе схемы разности формируется групповой сигнал, искажённый шумами. С помощью решающего устройства РУ происходит определение символа. Решающее правило имеет вид:

Если Ux>0, то Ux=1,

Если Ux<0, то Ux=0.

С нулевым порогом сравниваются отсчёты сигнала, снимаемые с выхода схемы разности. РУ можно выполнить в виде интегратора и порогового устройства. Обеспечение разделения элементарных символов, соответствующих различным позициям кодового слова, производится с помощью посимвольной системы синхронизации.

На выходе вычитающего устройства стоит система пословной синхронизации.

Сигналы с выхода формирователя поступают на распределитель каналов. После этого каждый сигнал из КИМ сигнала с помощью ЦАП преобразовывают в аналоговую форму.

Система тактовой синхронизации необходима для того, чтобы опрашивать решающее устройство в моменты времени, соответствующие середине символа. Момент опроса может регулироваться выбором величины линии задержки. Работает система тактовой синхронизации следующим образом. Видеосигнал со схемы разности поступает на дифференцирующую цепочку ДЦ. Продифференцированный сигнал поступает на формирователь Ф, с помощью которого из импульсов, соответствующих передним и задним фронтам, формируются импульсы длительностью t0/2. Дифференцирование и последующее формирование необходимо для получения в спектре сигнала составляющей на частоте fт. Эта спектральная составляющая выделяется узкополосным резонансным фильтром УРФ. С помощью линии задержки ЛЗ происходит выбор оптимального момента стробирования.

С выхода РУ снимается поток решений о символах, представляющий собой поток элементарных символов. С помощью системы кадровой синхронизации происходит формирование колебаний с частотой следования кадров. Согласованный фильтр СФ согласован с m-последовательностью, которая используется для кадровой синхронизации. Выходные импульсы СФ, сформированные по амплитуде и длительности формирователем, сравниваются в цифровом фазовом детекторе с колебаниями местного генератора. Управляющий сигнал, изменяющий частоту местного генератора, снимается с ФНЧ. Меандр с выхода местного генератора управляет работой распределителя каналов РК, т.е. управляет распределением принимаемой информации по потребителям.

5. Конструкция бортового приемника

Современные воздушные летательные аппараты могут перемещаться в атмосфере с огромными скоростями, что создает для работы антенн сложные условия.

При большой скорости полета наблюдается значительный аэродинамический нагрев корпуса Л.А. Наиболее интенсивно нагреваются лобовые части аппарата, на которые набегает воздушный поток. Этот нагрев в полной мере испытывают антенны, так как они располагаются либо заподлицо с обшивкой Л.А. (невыступающие антенны), либо на обшивке Л.А.(наружные антенны).

К антеннам, устанавливаемым на летательных аппаратах, предъявляется комплекс радиотехнических, механических и температурных требований, вытекающих как из назначения самой аппаратуры, так и из условий работы антенны. Рассмотрим эти требования.

1) Аэродинамическое (лобовое) сопротивление. Антенны, устанавливаемые на ЛА, предназначенных для полета в плотных слоях атмосферы, должны иметь минимально возможное лобовое сопротивление. Предпочтения заслуживают антенны, установленные вдоль воздушного потока. Наилучшим решением является применение невыступающих антенн.

2) Размеры и вес. Как и все оборудование, устанавливаемое на ЛА, антенны должны обладать минимальным весом. Уменьшение веса достигается не только уменьшением размеров антенны, но также использованием облегченных, например полых и сетчатых, конструкций антенн и применением для них более легких материалов, например алюминия и его сплавов, а также пенистых диэлектриков.

3) Механические требования. Антенны ЛА должны обладать большой механической прочностью, устойчиво работать при воздействии механических ударов и выдерживать значительные перегрузки. Кроме того, не должны наблюдаться механические резонансы конструкций антенн и существенное изменение их электрических параметров при воздействии вибраций. Механические требования удовлетворяются прежде всего применением в конструкциях антенн высокопрочных металлов и диэлектриков, а также путем придания антеннам жесткой конструкции.

4) Температуростойкость. Антенны должны быть рассчитаны для надежной работы в условиях высоких температур, вызванных аэродинамическим нагревом летательного аппарата. Это достигается применением в конструкциях антенн жаростойких материалов. Антенны должны быть также рассчитаны для работы в условиях низких температур. Здесь следует учитывать, что некоторые материалы при низких температурах становятся хрупкими и поэтому непригодны для применения на летательных аппаратах.

Щелевые антенны являются одним из типов антенн, наиболее часто применяемых на ЛА в диапазоне ультракоротких волн. Место установки щелевых антенн на корпусе ЛА и число антенн, входящих в антенную систему, зависят от требуемых направленных свойств. В радиолиниях телеметрии и командного управления обычно требуется ненаправленное излучение, поэтому находят применение круговые решетки щелей, расположенных по периметру цилиндрической части корпуса ЛА.

Применение кольцевой волноводно-щелевой антенны наталкивается на очевидные конструктивные трудности. Если расположить волновод под обшивкой ЛА, так чтобы его наружная поверхность вплотную прилегала к внутренней поверхности обшивки, то в ней нужно по периметру корпуса прорезать большое число щелей, что значительно ослабит механическую прочность корпуса. Можно не нарушать целостности обшивки, предусматривая в ней паз, в котором с наружной стороны уложен кольцевой волновод. Это, однако, усложняет конструкцию самого корпуса ЛА. При большом диаметре ЛА волноводно-щелевая антенна имеет значительный вес, что также является ее недостатком.

Достоинством волноводно-щелевой антенны является возможность получения в азимутальной плоскости диаграмм направленности без глубоких провалов. Как следует из теории круговых решеток, для этого необходимо расположить соседние щели достаточно близко друг к другу.

В виду указанных выше недостатков кольцевой волноводно-щелевой антенны преимущественно применяется следующий способ питания щелевых излучателей. Он состоит в том, что по периметру корпуса ЛА размещаются несколько одиночных излучателей, которые питаются с помощью делителей мощности, направленных ответвителей и других волноводных узлов, а также разветвленной фидерной системы питания.

Рассмотрим конструкцию бортового приемника. К бортовой аппаратуре применяются очень жесткие и в то же время противоречивые требования

· жесткая ограниченность габаритов и массы

· ограничения в энергопотреблении

· способность работы в вакууме

· стойкость к мощным тепловым ударам

· стойкость к совместному действию вибрационных и линейных нагрузок чрезвычайно высокая надежность

Рассмотрим климатические факторы, влияющие на бортовую аппаратуру и их последствия.

1) Повышенная температура - высыхание защитных покрытий с растрескиванием, миграция примесей в полупроводниках, изменение электрических характеристик радиоэлементов, деформация деталей.

2) Пониженная температура - изменение электрических характеристик радиоэлементов, деформация деталей конденсация влаги.

3) Повышенная влажность - увеличение паразитных емкостей, снижение сопротивления диэлектриков, опасность термоудара.

4) Пониженное давление - снижение пробивного напряжения волноводов, печатного монтажа, ухудшение теплоотдачи.

5) Солнечная радиация - старение диэлектриков и разрушение покрытий.

6) Механический фактор:

-вибрации

-удары

-ускорения

-акустические шумы

6. Заключение

В данном курсовом проекте была разработана радиолиния КИМ-ЧМ-ФМ, которая полностью удовлетворяет заданным техническим характеристикам.

Использование трехступенчатой модуляции позволяет работать на дальностях до сотен миллионов километров со скоростью передачи информации порядка сотен бит.

7. Используемая литература

1) Основы радиоуправления. Под ред. В. А. Вейцеля и В. Н. Типугина. Учебное пособие для вузов. М., " Сов. Радио", 1973.

2) Теория и проектирование радиосистем. Под ред. В. Н. Типугина. Учебное пособие для вузов. М ., " Сов. Радио", 1977.

3) Пенин П. И. Системы передачи цифровой информации. Учебное пособие для вузов. М ., "Сов.радио", 1976.

4) Система передачи цифровой информации КИМ-ОФМН-ФМ: Методические указания к лабораторной работе / Рязань гос. радиотехн. Акад.: Сост.: В. С. Паршин, М. В. Кулакова. Рязань , 1995.

5) Радиосистемы передачи информации: Учеб. Пособие для вузов / И. М. Тепляков, Б. В. Рощин и др. Радио и связь, 1982.

6) Езерский В. В. Курс лекций, 2003.

7) Егоров А. В. Курс лекций, 2004.

8) Паршин В. С. Курс лекций, 2003.

Размещено на

Похожие работы на - Цифровая радиолиния КИМ-ЧМ-ФМ

 

Не нашли материал для своей работы?
Поможем написать уникальную работу
Без плагиата!
Без нейросетей!