Финансово-математические основы инвестиционного проектирования
ФИНАСОВО-МАТЕМАТИЧЕСКИЕ ОСНОВЫ
ИНВЕСТИЦИОННОГО ПРОЕКТИРОВАНИЯ.
1. СТОИМОСТЬ ВО ВРЕМЕНИ.
1. 1. Концепция стоимости во
времени.
В основе концепции стоимости во
времени лежит следующий основной принцип: Доллар сейчас стоит больше, чем
доллар, который будет получен в будущем, например через год, так как он
может быть инвестирован и это принесет дополнительную прибыль. Данный
принцип является наиболее важным положением во всей теории финансов и анализе
инвестиций. На этом принципе основан подход к оценке экономической
эффективности инвестиционных проектов.
Этот принцип порождает
концепцию оценки стоимости денег во времени. Суть концепции заключается в том,
что стоимость денег с течением времени изменяется с учетом нормы
прибыльности на денежном рынке и рынке ценных бумаг. В качестве нормы
прибыльности выступает норма ссудного процента или норма выплаты дивидендов по
обыкновенным и привилегированным акциям. Учитывая, что инвестирование
представляет собой обычно длительный процесс, в инвестиционной практике обычно
приходится сравнивать стоимость денег в начале их инвестирования со стоимостью
денег при их возврате в виде будущей прибыли.
В процессе сравнения стоимости денежных средств, при их вложении и
возврате, принято использовать два основных понятия: настоящая
(современная) стоимость (Present Value) и
будущая стоимость (Future Value). Будущая
стоимость денег представляет собой ту сумму, в которую превратятся
инвестированные в настоящий момент денежные средства через определенный период
времени с учетом определенной процентной ставки.
Определение будущей стоимости связано с процессом наращения
(compounding) начальной стоимости, который представляет собой поэтапное
увеличение вложенной суммы путем присоединения к первоначальному ее размеру
суммы процентных платежей. В инвестиционных расчетах процентная ставка платежей
применяется не только как инструмент наращения стоимости денежных средств, но и
как измеритель степени доходности инвестиционных операций.
Настоящая (современная) стоимость представляет собой сумму будущих
денежных поступлений, приведенных к настоящему моменту времени с учетом определенной процентной
ставки. Определение настоящей стоимости связано с процессом дисконтирования
(discounting), будущей стоимости, который представляет собой
операцию обратную наращению. Дисконтирование используется во многих задачах
анализа инвестиций.
Таким образом, одну и ту же сумму можно рассматривать с двух
позиций:
а) с позиции ее настоящей стоимости;
б) с позиции ее будущей стоимости.
Причем, арифметически стоимость в будущем, всегда выше.
1. 2. Элементы теории процентов.
В процессе анализа
инвестиционных решений принято использовать сложные проценты. Сложным процентом
называется сумма дохода, которая образуется в результате инвестирования денег
при условии, что сумма начисленного простого процента не выплачивается в конце
каждого периода, а присоединяется к сумме основного вклада и в следующем
платежном периоде сама приносит доход.
Основная формула теории % определяет будущую стоимость денег:
(1.1), где:
PV - настоящее значение вложенной суммы денег,
FV - будущее значение стоимости
денег,
n - количество периодов времени, на которое производится вложение,
r - норма доходности (прибыльности) от вложения (в долях
единицы).
Простейшим способом эту формулу можно проинтерпретировать, как
определение величины депозитного вклада в банк при депозитной ставке r (в долях
единицы).
Сущность процесса наращения
денег не изменяется, если деньги инвестируются в какой-либо бизнес (предприятие).
Главное, чтобы вложение денег обеспечивало доход.
Пример. Банк
выплачивает 5 % годовых по депозитному вкладу. Согласно формуле (1.1) 100
$, вложенные сейчас, через год станут:
Если вкладчик решает оставить
всю сумму на депозите еще на один год, то к концу второго года объем его вклада
составит:
или по формуле (1.1):
Процесс наращения стоимости 100
$ по годам можно представить в виде таблицы или диаграммы:
|
Год
|
Процентная
|
Сумма
|
|
ставка, 5%
|
|
|
|
|
|
0
|
|
100,00
|
|
1
|
1,05
|
105,00
|
|
2
|
1,1025
|
110,25
|
|
3
|
1,157625
|
115,76
|
|
4
|
1,2155062
|
121,55
|
|
5
|
1,276281563
|
127,63
|
|
|
|
|
Следует отметить, что процесс наращения не является
линейным.
Настоящее (современное)
значение стоимости определенной будущей суммы денег определяется с помощью формулы:
(1.2), где:
PV -
настоящее значение вложенной суммы денег,
FV - будущее значение стоимости
денег,
n - количество периодов времени, на которое производится вложение,
r - норма доходности (прибыльности) от вложения (в долях
единицы).
Которая является простым обращением формулы
(1.1).
Пример. Пусть
инвестор хочет получить 200 $ через 2 года. Какую сумму он должен
положить на срочный депозит сейчас, если депозитная процентная ставка
составляет 5 %.
С помощью формулы (1.2) легко
определить
Понятно, что формула (1.2) лежит в
основе процесса дисконтирования. И в этом смысле величина r
интерпретируется как ставка дисконта и часто называется просто дисконтом.
Рассмотренный в примере 2
случай можно интерпретировать следующим образом:
181,41 $ и 200 $ - это
два способа представить одну и ту же сумму денег в разные моменты времени – 181,41
$ сейчас равносильно 200 $ через
два года.
Процесс дисконтирования
наглядно можно продемонстрировать с помощью следующего графика:
В анализе инвестиций величины
и
часто
называют соответственно множителями наращения и дисконтирования. Наращение и
дисконтирование единичных денежных сумм удобно производить с помощью финансовых
таблиц, в которых содержатся множители наращения и дисконтирования,
соответственно.
ФУНКЦИИ СЛОЖНОГО ПРОЦЕНТА.
В
теории и практике оценки финансовая математика используется в основном для
расчетов по доходному подходу. Главный принцип - принцип ожиданий, в
соответствии с которым оценочная стоимость - это текущая (настоящая)
стоимость (PV-Present Value) всех будущих выгод
(доходов) от собственности, а также возможной ее продажи в конце периода
функционирования. Это связано с тем, что оценщик оперирует денежными потоками в
различные периоды времени.
Сложный процент - это экономическая категория, используемая
для сопоставления одной и той же суммы денег в различные периоды времени с
учетом того, что в каждом периоде доход приносит не только первоначальная сумма
вклада, но и процент от нее.
Для решения той или иной возможной задачи с использованием сложных процентов
применяют шесть функций денежной единицы.
PV - текущая стоимость
( Present Value );
FV - будущая стоимость
(Future Value);
PMT - платёж (Payment), взнос, выплата;
r - ставка процента за
период;
n - число периодов.
Накопленная сумма единицы (фактор накопления).
Текущая стоимость единицы (дисконтный множитель).
Текущая стоимость аннуитета.
Текущая стоимость обычного аннуитета:
Текущая стоимость авансового аннуитета:
Взнос на амортизацию единицы.
Обычный взнос на амортизацию:
Авансовый взнос на амортизацию:
Накопление единицы за период.
Будущая стоимость обычного аннуитета
единицы:
Будущая стоимость авансового
аннуитета единицы:
Фактор фонда возмещения.
Обычный фактор фонда возмещения:
Авансовый фактор фонда возмещения:
Может также возникнуть вопрос о
нахождении количества периодов n, например, согласно функции обычного
взноса на амортизацию единицы можно сформулировать условие: кредит в размере PV
предоставлен по ставке r %
годовых и предусматривает выплату в конце каждого года PMT. Определить
срок предоставления кредита.
Из функции обычного взноса на
амортизацию единицы нужно выразить величину n:

Умножим числитель, и знаменатель правой части на
:
1. 3. Влияние инфляции при
определении настоящей и будущей стоимости денег.
В инвестиционной практике
постоянно приходится считаться с корректирующим фактором инфляции, которая с
течением времени обесценивает стоимость денежных средств. Это связано с тем,
что инфляционный рост индекса средних цен вызывает соответствующее снижение покупательной
способности денег.
При расчетах, связанных с
корректировкой денежных потоков в процессе инвестирования с учетом инфляции,
принято использовать два основных понятия:
- номинальная
сумма денежных средств,
- реальная сумма
денежных средств.
Номинальная сумма денежных
средств не учитывает изменение покупательной способности денег. Реальная сумма
денежных средств - это оценка этой суммы с учетом изменения покупательной
способности денег в связи с процессом инфляции.
В финансово-экономических расчетах,
связанных с инвестиционной деятельностью, инфляция учитывается в следующих
случаях:
- при
корректировке наращенной стоимости денежных средств,
- при
формировании ставки процента (с учетом инфляции), используемой для
наращения и дисконтирования,
- при прогнозе
уровня доходов от инвестиций, учитывающих темпы инфляции.
В процессе оценки инфляции
используются два основных показателя:
- темп инфляции t,
характеризующий прирост среднего уровня цен в рассмотренном периоде,
выражаемый десятичной дробью,
- индекс
инфляции I (изменение индекса потребительских цен), который равен 1+t.
Корректировка наращенной
стоимости с учетом инфляции производится по формуле:
(1.3), где:
FVr - реальная
стоимость денег;
FVn - номинальная стоимость денег;
I - индекс инфляции (1+t).
Предполагается, что темп инфляции
сохраняется по годам.
Если r - номинальная
ставка процента, которая учитывает инфляцию, то расчет реальной суммы денег
производится по формуле:
(1.4)
То есть номинальная сумма
денежных средств снижается в
раза в соответствии со снижением
покупательной способности денег.
Пример. Пусть
номинальная ставка процента с учетом инфляции составляет 50 %, а
ожидаемый темп инфляции в год 40 %. Необходимо определить
реальную будущую стоимость объема инвестиций 200 000 $ через 2 года.
Подставляем данные в формулу (1.4),
получаем:
Если же в процессе реального
развития экономики темп инфляции составит 55 %, то:
Таким образом, инфляция
“съедает” и прибыльность и часть основной суммы инвестиции, и процесс
инвестирования становится убыточным.
В общем случае при анализе
соотношения номинальной ставки процента с темпом инфляции возможны три случая:
1. r = t: наращение реальной стоимости денежных средств не происходит, так
как прирост их будущей стоимости ПОГЛОЩАЕТСЯ
инфляцией
2. r >
t: реальная будущая стоимость денежных средств ВОЗРАСТАЕТ,
несмотря на инфляцию
3. r <
t: реальная будущая стоимость денежных средств снижается, то есть
процесс инвестирования становится УБЫТОЧНЫМ.
ВЗАИМОСВЯЗЬ НОМИНАЛЬНОЙ И
РЕАЛЬНОЙ ПРОЦЕНТНЫХ СТАВОК.
Пусть инвестору обещана
реальная прибыльность его вложений в соответствии с процентной ставкой 10 %. Это
означает, что при инвестировании 1 000 $ через год он получит:
Если темп инфляции составляет 25 %, то
инвестор корректирует эту сумму в соответствии с темпом:
В общем случае, если r - реальная процентная ставка
прибыльности, а t - темп инфляции, то
номинальная (контрактная) норма прибыльности запишется с помощью формулы
Величина
имеет смысл инфляционной премии.
Часто можно встретить более
простую формулу, которая не учитывает “смешанный эффект” при вычислении
инфляционной премии.
Эту упрощенную формулу можно
использовать только в случае невысоких темпов инфляции, когда смешанный эффект
пренебрежимо мал по сравнению с основной компонентой номинальной процентной
ставки прибыльности.
ОТНОШЕНИЕ К ИНФЛЯЦИИ В
РЕАЛЬНОЙ ПРАКТИКЕ.
Прогнозирование темпов инфляции очень сложный процесс, протекающий
на фоне большого количества неопределенностей. Это особенно характерно для
стран с неустойчивым экономическим положением. Кроме того, темпы инфляции в
отдельные периоды в значительной степени подвержены влиянию субъективных
факторов, слабо поддающихся прогнозированию. Поэтому один из наиболее реально
значимых подходов может состоять в следующем: стоимость инвестируемых средств и
суммы денежных средств, обеспечивающих возврат, пересчитываются из национальной
валюты в одну из наиболее устойчивых твердых валют (доллар США, фунт стерлингов
Великобритании, немецкие марки). Пересчет осуществляется по биржевому курсу на
момент проведения расчетов.
Процесс наращения и дисконтирования производится в данном случае
не принимая во внимание инфляцию. Конкретная процентная ставка определяется
исходя из источника инвестирования. Например, при инвестировании за счет
кредитов коммерческого банка в качестве показателя дисконта принимается
процентная ставка валютного кредита этого банка.
1. 4. Наращение и
дисконтирование денежных потоков.
Поскольку процесс инвестирования, как правило, имеет большую
продолжительность в практике анализа эффективности капитальных вложений, обычно
приходится иметь дело не с единичными денежными суммами, а с потоками денежных
средств.
Вычисление наращенной и дисконтированной оценок сумм денежных
средств в этом случае осуществляется путем использования соответствующих формул
(1.1) и (1.2) для каждого элемента денежного потока.
Представленный на рисунке
денежный поток состоит в следующем: в настоящее время выплачивается: -2 000
$, в первый, второй и четвертый годы получено: 1 000
$, в третий: 1 500 $.
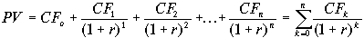
Элемент денежного потока
принято обозначать CFk (Cash
Flow), где k - номер периода, в который рассматривается денежный поток.
Настоящее значение денежного потока обозначено PV (Present
Value), а будущее значение - FV (Future
Value).
Используя формулу (1.1), для
всех элементов денежного потока от 0 до n получим будущее
значение денежного потока:
(1.5)
Пример. После
внедрения мероприятия по снижению административных издержек предприятие
планирует получить экономию 1 000 $ в конце
каждого года. Сэкономленные деньги предполагается размещать на депозитный счет
(под 5 % годовых) с тем, чтобы через 5 лет накопленные деньги использовать
для инвестирования. Какая сумма окажется на банковском счету предприятия?
Используем формулу будущей
стоимости аннуитета:
Таким образом, через 5 лет предприятие накопит 5 525,63
$, которые сможет инвестировать.
В данном случае денежный поток состоит из одинаковых денежных сумм
ежегодно. Такой поток называется аннуитетом.
Для вычисления будущего значения аннуитета можно использовать
формулу:
(1.6) которая
следует из (1.5) при CFk = const и CF0 = 0.
|
Накопление единицы за период.
|
|
|
|
|
|
Годы
|
CF
|
Фактор
|
Будущая
|
|
|
накопления
|
стоимость
|
|
|
|
|
|
1
|
1 000,00
|
1,00000
|
1 000,00
|
|
2
|
1 000,00
|
1,05000
|
1 050,00
|
|
3
|
1 000,00
|
1,10250
|
1 102,50
|
|
4
|
1 000,00
|
1,15763
|
1 157,63
|
|
5
|
1 000,00
|
1,21551
|
1 215,51
|
|
|
|
|
|
Итого
|
5,52563
|
5 525,63
|
Расчет будущего значения
аннуитета может производиться с помощью специальных финансовых таблиц. В
частности, с помощью таблицы при r = 5 % и n = 5 для функции накопления
единицы за период (постнумерандо) получаем множитель 5,52563125,
который соответствует результату расчета примера.
Дисконтирование денежных
потоков осуществляется путем многократного использования формулы (1.2), что в
конечном итоге приводит к следующему выражению:
(1.7)
Пример.
Рассмотрим денежный поток с неодинаковыми элементами CF1=100, CF2=200,
CF3=200, CF4=200, CF5=200, CF6=0,
CF7=1,000, для которого необходимо определить современное
значение (при показателе дисконта 6%).
|
Годы
|
Дисконтный
|
Сумма
|
Дисконтир.
|
|
множит. (6 %)
|
|
поток
|
|
|
|
|
|
1
|
0,94339622642
|
100,00
|
94,34
|
|
2
|
0,88999644001
|
200,00
|
178,00
|
|
3
|
0,83961928303
|
200,00
|
167,92
|
|
4
|
0,79209366324
|
200,00
|
158,42
|
|
5
|
0,74725817287
|
200,00
|
149,45
|
|
6
|
0,70496054044
|
0,00
|
0,00
|
|
7
|
0,66505711362
|
1 000,00
|
665,06
|
|
|
|
1 413,19
|
Вычисление дисконтированных
значений отдельных сумм можно производить путем использования финансовых таблиц.
Дисконтирование аннуитета (CFj
= const) осуществляется по формуле:
(1.8)
Для расчета настоящего
(современного) значения аннуитета могут быть использованы финансовые таблицы,
рассчитанные в EXCEL.
Пример.
Предприятие приобрело облигации муниципального займа, которые ежегодно, в конце
каждого периода (постнумерандо), приносят ему доход 15 000 $, и
хочет использовать эти деньги для развития собственного производства.
Предприятие оценивает прибыльность инвестирования получаемых каждый год 15 000
$ в 10 %. Необходимо определить настоящее значение этого денежного потока.
|
Годы
|
Дисконтный
|
Сумма
|
Дисконтир.
|
|
множ. (10 %)
|
|
поток
|
|
|
|
|
|
1
|
0,9090909091
|
15 000,00
|
13 636,36
|
|
2
|
0,8264462810
|
15 000,00
|
12 396,69
|
|
3
|
0,7513148009
|
15 000,00
|
11 269,72
|
|
4
|
0,6830134554
|
15 000,00
|
10 245,20
|
|
5
|
0,6209213231
|
15 000,00
|
9 313,82
|
|
Итого
|
3,790786769
|
75 000,00
|
56 861,80
|
По результатам расчетов мы
видим, что
- дисконтированное
значение денежного потока существенно меньше арифметической суммы
элементов денежного потока,
- чем дальше во времени, тем
меньше настоящее значение денег: 15 000 $ через год стоят
сейчас 13
636,36 $;
15 000 $ через 5 лет стоят сейчас 9 313,82 $.
Задача может быть решена также
с помощью таблицы приложения для функции текущей стоимости аннуитета
(постнумерандо). При r = 10 % и n = 5 по таблице находим множитель
дисконтирования 3,790786769.
Современное значение
бесконечного (по времени) потока денежных средств определяется по формуле:
, (1.9)
которая получается путем
суммирования бесконечного ряда, определяемого формулой (1.8) при
.
1.5. Сравнение
альтернативных возможностей вложения денежных средств с помощью техники
дисконтирования и наращения.
Техника оценки стоимости денег
во времени позволяет решить ряд важных задач сравнительного анализа
альтернативных возможностей вложения денег. Рассмотрим эту возможность на
следующем примере.
Пример. Комплексное
пояснение к временной стоимости денег.
Рассмотрим поток 1 000
$, который генерируется, какой либо инвестицией в течение 3 лет. Приемлемая
расчетная норма прибыльности инвестирования денежных средств предприятия
составляет 10 %.
Попытаемся последовательно
ответить на ряд вопросов, связанных с различными ситуациями относительно этого
потока и его использования.
Вопрос 1. Какова
современная стоимость этого потока?
Текущая стоимость аннуитета (декурсивное
начисление %, постнумерандо).
|
Годы
|
Дисконтный
|
Сумма
|
Дисконтир.
|
|
множ. (10 %)
|
|
поток
|
|
|
|
|
|
1
|
0,9090909091
|
1 000,00
|
909,09
|
|
2
|
0,8264462810
|
1 000,00
|
826,45
|
|
3
|
0,7513148009
|
1 000,00
|
751,31
|
|
Итого
|
2,486851991
|
3 000,00
|
2 486,85
|
Вопрос 2. Какова
будущая стоимость 2 486,85 $ на конец 3 года? (то есть если
бы мы вложили сумму 2 486,85 $ в банк на 3 года под r =
10% годовых)?
Накопленная сумма единицы
(фактор накопления).
|
Годы
|
Сумма
|
Накопленная
|
|
накопл. (10 %)
|
|
сумма единицы
|
|
|
|
|
|
1
|
1,1000000000
|
2 486,85
|
|
|
2
|
1,2100000000
|
|
|
|
3
|
1,3310000000
|
|
3 310,00
|
Вопрос 3. Какова
будущая стоимость потока денежных средств на конец 3-го года?
Накопление единицы за период
(будущая стоимость аннуитета (постнумерандо)).
|
Годы
|
Фактор
|
Сумма
|
Накопление
|
|
накопл. (10 %)
|
|
за период
|
|
|
|
|
|
1
|
1,0000000000
|
1 000,00
|
1 000,00
|
|
2
|
2,1000000000
|
1 000,00
|
2 100,00
|
|
3
|
3,3100000000
|
1 000,00
|
3 310,00
|
Мы получили одинаковые ответы
на второй и третий вопросы.
Вывод очевиден: если мы
инвестируем в какой-либо бизнес 2 486,85 $, то эта инвестиция генерирует
денежный поток 1 000,00 $ каждый год в течение 3-х лет.
Если эти средства по мере
поступления размещаются на депозитном счете под 10 % годовых, то на конец третьего
года мы получим ту же сумму 3 310,00 $, как если бы просто вложили 2 486,85
$ в финансовые инструменты под 10% годовых.
Пусть теперь величина
инвестиции составляет 2 200,00 $, а генерируемый поток такой же,
что приводит к концу третьего года к 3 310,00 $.
Инвестирование 2 200,00
$ в финансовые инструменты под 10% на 3 года принесет 2 928,20 $.
Значит, нам более выгодно
инвестировать в данном случае в реальный бизнес, а не в финансовые инструменты.
Вопрос 4. Как
изменится ситуация, если норма прибыльности финансового вложения денег станет
выше, например 12%.
По-прежнему мы инвестируем 2 486,85
$ в бизнес, и это приводит к потоку денежных средств 1 000,00 $
каждый год в течение 3-х лет. Современное значение этого потока уменьшилось и
стало меньше исходной суммы инвестиций.
Текущая стоимость аннуитета
(декурсивное начисление %, постнумерандо).
|
Годы
|
Дисконтный
|
Сумма
|
Дисконтир.
|
|
множ. (12 %)
|
|
поток
|
|
|
|
|
|
1
|
0,8928571429
|
1 000,00
|
892,86
|
|
2
|
0,7971938776
|
1 000,00
|
797,19
|
|
3
|
0,7117802478
|
1 000,00
|
711,78
|
|
Итого
|
2,401831268
|
3 000,00
|
2 401,83
|
Сравним будущее значение
исходной суммы 2 486,85 $ и потока денежных средств, который
генерирует инвестирование этой суммы в бизнес:
Накопленная сумма единицы
(фактор накопления).
|
Годы
|
Фактор
|
Сумма
|
Накопленная
|
|
накопл. (12 %)
|
|
сумма единицы
|
|
|
|
|
|
1
|
1,1200000000
|
2 486,85
|
|
|
2
|
1,2544000000
|
|
|
|
3
|
1,4049280000
|
|
3 493,85
|
Накопление единицы за период
(будущая стоимость аннуитета (постнумерандо)).
|
Годы
|
Фактор
|
Сумма
|
Накопление
|
|
накопл. (12 %)
|
|
за период
|
|
|
|
|
|
1
|
1,0000000000
|
1 000,00
|
1 000,00
|
|
2
|
2,1200000000
|
1 000,00
|
2 120,00
|
|
3
|
3,3744000000
|
1 000,00
|
3 374,40
|
Выводы, которые можно сделать
на основе сравнения этих значений таковы:
a) инвестирование суммы 2 486,85
$ в финансовые инструменты под 12% годовых приведет к 3 493,85 $
через 3 года,
б) инвестирование суммы 2 486,85
$ в бизнес, который генерирует денежный поток 1 000,00 $ каждый
год в течение 3-х лет, приведет к 3 374,40 $ к концу 3-го года.
Очевидно, что при норме
прибыльности 12% инвестировать в бизнес не выгодно.
Данный вывод имеет простое
экономическое объяснение. Дело в том, что инвестирование денег в финансовые
инструменты начинает приносить доход сразу же, начиная с первого года. В то же
время, инвестирование денег в реальные активы позволяет получить первую 1 000
$ только к концу первого года, и она приносит финансовый доход только в
течение оставшихся двух лет. Другими словами, имеет место запаздывание сроков
начала отдачи в случае инвестирования в реальные активы по сравнению с
инвестицией в финансовые инструменты. И если при норме прибыльности 10 % оба
варианта вложения денег равносильны в смысле конечной суммы “заработанных”
денег, то увеличение нормы прибыльности делает инвестицию в финансовые инструменты
более выгодной.
Возвратимся к количественному
сравнению эффективности альтернативного вложения денег. Рассмотрим, насколько
выгоднее вкладывать деньги в финансовые инструменты по сравнению с реальными
инвестициями в двух временных точках: момент времени “сейчас” и конец третьего
года.
В настоящее время поток денежных средств от реальной инвестиции
составляет 2 401,83 $ при исходной инвестиции 2 486,85 $.
Значит, финансовая инвестиция более выгодна на 85 $.
К концу третьего года финансовая инвестиция принесет: 3 493,85
$, а реальная инвестиция: 3 374,40 $. Разница составляет 119,45
$. Существенно подчеркнуть, что это различие также подчиняется концепции
стоимости денег во времени, т.е. продисконтировав 119,45 $ при 12 %, мы
закономерно получим 85 $.
Контрольные вопросы и
задания
1. Сформулируйте
основной принцип стоимости денег во времени.
2. В чем
экономический смысл концепции стоимости денег во времени?
3. Что
понимается под наращением и дисконтированием денег?
4. Перечислите
четыре основные элемента, связанные между собой в концепции стоимости денег во
времени.
5. В чем
экономический смысл нормы доходности инвестирования денег?
6. Запишите
основную формулу теории сложных %.
7. Как
изменяется будущая стоимость денег при увеличении продолжительности
инвестирования?
8. Сформулируйте
пример практического использования современного значения денег.
9. Какая
стоимость денег является реальной: современная или будущая?
10. Как
следует корректировать ожидаемые денежные потоки в связи с инфляцией?
11. Какие
основные показатели инфляции используются при корректировке будущей стоимости
денег?
12. Как имея
реальную доходность инвестиций и годовой темп инфляции подсчитать номинальную
доходность инвестиций?
13. Когда
процесс инвестирования становится невыгодным?
14. Когда
процесс инвестирования становится убыточным?
15. Что
такое смешанный эффект при сопоставлении нормы доходности и темпа инфляции?
16. Как
производится процесс наращения и дисконтирования денежных потоков?
17. Какой
денежный поток называется аннуитетом?
18. Как
определить современное и будущее значения аннуитета?
19. Что
такое бесконечный аннуитет и как рассчитать его современное значение?
20. Как
устроены и зачем используются финансовые таблицы?
21. Если
сравнительная эффективность вложения в реальные активы и финансовые инструменты
одинакова, то как она изменится при увеличении нормы доходности?
Задания.
1. Предположим, Вы купили
шестилетний 8 % сберегательный сертификат стоимостью 1 000 $. Если
проценты начисляются ежегодно, какую сумму Вы получите по окончанию контракта?
Решение.
Используем формулу наращения
денег, т.е. определяем будущую стоимость 1 000 $ через 6
лет при 8 % годовой прибыли:
2.
Финансовый менеджер предприятия предложил Вам инвестировать Ваши 5 000 $ в его предприятие, пообещав возвратить Вам 6 000 $
через два года. Имея другие инвестиционные возможности, Вы должны выяснить,
какова процентная ставка прибыльности предложенного Вам варианта.
Решение.
Используем основную формулу
наращения денег:
откуда следует:
В нашем случае:
Ясно, что если кто-либо
предложит Вам инвестировать Ваши деньги, хотя бы под 10 %
годовых, Вы отклоните предложение получить 6 000 $ через два года,
вложив сейчас 5 000 $.
3. Вам
предлагают инвестировать деньги с гарантией удвоить их количество через пять
лет. Какова процентная ставка прибыльности такой инвестиции?
Решение.
Используем основную формулу
предыдущей задачи, учитывая, что будущее значение какой-либо суммы через пять
лет FV5 и ее современное значение PV
относятся как 2:1.
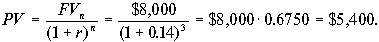
4. Предприятие
собирается приобрести через три года новый станок стоимостью 8 000 $.
Какую сумму денег необходимо вложить сейчас, чтобы через три года иметь
возможность совершить покупку, если процентная ставка прибыльности вложения
составляет:
а) 10 %?
б) 14 %?
Решение.
По условию задачи мы должны
определить современное значение стоимости станка 8 000 $ при ставке дисконта 10 %.
Используем формулу дисконтирования:
Аналогично для случая б):
Закономерно, что во втором
случае сумма вклада получилась меньше.
5. Внедрение
инновационных технологий позволит предприятию увеличить доход на 10 000
$ в течение 5 лет, которые будут инвестированы в финансовые инструменты под
10 % годовых. Какую сумму денег предприятие получит через пять лет?
Решение.
По условию задачи предприятие
планирует получить аннуитет 10 000 $ в
течение пяти лет. Для определения суммы накопленных денег необходимо вычислить
будущее значение пятилетнего аннуитета при процентной ставке наращения 10 %.
Используем формулу будущего значения аннуитета:
6. Предприятие
располагает 160 000 $ и предполагает вложить их в собственное
производство, получая в течение четырех последующих лет ежегодно 50 000 $. В то же время предприятие может купить на эту сумму акции одной
солидной корпорации, приносящие 12 % годовых.
Какой вариант Вам
представляется более приемлемым, если считать что более выгодной возможностью
вложения денег (чем под 12 % годовых) предприятие не располагает?
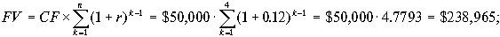
Решение.
Для ответа на вопрос можно
воспользоваться двумя способами рассуждения. Сравним будущее наращенное
значение аннуитета 50 000 $ при
процентной ставке 12 % с будущим значением альтернативного вложения всей суммы 160 000 $ при той же процентной ставке:
Результаты расчетов говорят о
том, что покупка акций более выгодна, чем вложение этой же суммы денег в
собственное производство.
Возможен другой подход к
решению задачи, использующий приведение денежных потоков к настоящему времени.
Этот подход более распространен в практике, поскольку он проще. В данном случае
мы просто определяем настоящее значение аннуитета 50 000 $ при показателе дисконтирования 12 %:
.
Сравнивая полученное
значение с суммой имеющихся в настоящее время денежных средств 160 000 $, приходим к такому же выводу: вкладывать деньги в акции солидной
компании более выгодно.
Кто-либо может заметить, что
численное значение различия альтернативных вариантов вложения в настоящее время 160 000 $ - 151 865
$ = 8 135 $ существенно
меньше численного различия через четыре года 251 760 $ - 238 965 $ = 12 795 $.
Это закономерно ввиду феномена
стоимости денег во времени. Если мы дисконтируем 12 795 $ на
четыре года при показателе дисконта 12%, то получим 8 131 $. Отсутствие
абсолютного совпадения объясняется только погрешностью расчетов, связанной
округлением долларовых сумм до целых значений.
7. Предприятие
рассматривает два альтернативных проекта капитальных вложений приводящих к
одинаковому суммарному результату в отношении будущих денежных доходов:
|
Год
|
Проект 1
|
Проект 2
|
|
|
|
|
|
|
|
1
|
3 000,00
|
6 000,00
|
|
2
|
4 000,00
|
4 000,00
|
|
3
|
5 000,00
|
5 000,00
|
|
4
|
6 000,00
|
3 000,00
|
|
Итого
|
18 000,00
|
18 000,00
|
Оба проекта имеют одинаковый объем инвестиций. Предприятие
планирует инвестировать полученные денежные доходы под 18 %
годовых. Сравните современные значения полученных денежных доходов.
Решение.
Вычислим современные значения последовательностей денежных доходов
по каждому проекту, дисконтируя ежегодные доходы при показателе дисконта 18%.
|
Проект 1
|
|
|
|
|
|
|
|
|
Год
|
Денежный
|
Дисконтный
|
Современное
|
|
поток
|
множитель
|
значение
|
|
|
18%
|
|
|
1
|
3 000,00
|
0,847457627
|
2 542,37
|
|
2
|
4 000,00
|
0,718184430
|
2 872,74
|
|
3
|
5 000,00
|
0,608630873
|
3 043,15
|
|
4
|
6 000,00
|
0,515788875
|
3 094,73
|
|
Суммарное текущее значение
|
11 553,00
|
|
|
|
|
|
Проект 2
|
|
|
|
|
|
|
|
|
Год
|
Денежный
|
Дисконтный
|
Современное
|
|
поток
|
множитель
|
значение
|
|
|
18%
|
|
|
1
|
6 000,00
|
0,847457627
|
5 084,75
|
|
2
|
4 000,00
|
0,718184430
|
2 872,74
|
|
3
|
5 000,00
|
0,608630873
|
3 043,15
|
|
4
|
3 000,00
|
0,515788875
|
1 547,37
|
|
Суммарное текущее значение
|
12 548,00
|
По результатам расчетов можно
сделать вывод о предпочтительности второго проекта.
8. Предположим,
Вы заключили депозитный контракт на сумму 4 000 $ на 3 года при 12 %. Если
проценты начисляются ежегодно, какую сумму Вы получите по окончании контракта?
9. Финансовый
менеджер предприятия предложил Вам инвестировать Ваши 10 000 $ в
его предприятие, пообещав возвратить 13 000 $ через
два года. Имея другие инвестиционные возможности, Вы должны выяснить, какова
процентная ставка прибыльности предложенного Вам варианта.
10. Предприятие
собирается приобрести через пять лет новый станок стоимостью 12 000 $. Какую сумму денег необходимо вложить сейчас, чтобы через пять
лет иметь возможность совершить покупку, если процентная ставка прибыльности
вложения составляет
а) 12 %?
б) 13 %?
11. Предприятие располагает 600 000 $ и
предполагает вложить их в собственное производство, получая в течение трех
последующих лет ежегодно 220 000 $. В то
же время предприятие может купить на эту сумму акции соседней фирмы, приносящие
14 % годовых. Какой вариант Вам представляется более приемлемым, если
считать что более выгодной возможностью вложения денег (чем под 14 % годовых)
предприятие не располагает?
12. Предприятие
рассматривает два альтернативных проекта капитальных вложений приводящих к
одинаковому суммарному результату в отношении будущих денежных доходов:
|
Год
|
Проект 1
|
Проект 2
|
|
|
|
|
|
|
|
1
|
12 000,00
|
10 000,00
|
|
2
|
12 000,00
|
14 000,00
|
|
3
|
14 000,00
|
16 000,00
|
|
4
|
16 000,00
|
14 000,00
|
|
5
|
14 000,00
|
14 000,00
|
|
Итого
|
68 000,00
|
68 000,00
|
Оба проекта имеют одинаковый
объем инвестиций. Предприятие планирует инвестировать полученные денежные
доходы под 18 % годовых. Сравните современные значения полученных денежных
доходов.
13. Вы
имеете 10 000 000 $ и хотели бы удвоить эту сумму через 5 лет.
Каково минимально приемлемое значение процентной ставки?
14. Банк
предлагает 15% годовых. Чему должен быть равен изначальный вклад, чтобы через 3
года иметь на счете 5 000 000 $?
15. Какая
сумма предпочтительнее при ставке 9 % 1 000 $
сегодня или 2 000 $ через 8 лет?
16. Рассчитайте
наращенную сумму с исходной суммы в 2 000 000 $ при размещении ее в
банке на условиях начисления сложных процентов, если годовая ставка 15%, а
периоды наращения 90 дней, 180 дней, 1 год, 5 лет, 10 лет.
17. Приведены
данные о денежных потоках:
|
Поток
|
|
|
Годы
|
|
|
|
1
|
2
|
3
|
4
|
5
|
|
А
|
100
|
200
|
200
|
300
|
300
|
|
Б
|
600
|
|
|
|
|
|
В
|
|
|
|
|
1200
|
|
Г
|
200
|
|
200
|
|
200
|
Рассчитайте для каждого потока
показатели FV при r = 12% и PV при r = 15% для
двух случаев: а) потоки имеют место в начале года; б) потоки имеют место в
конце года.
18. Анализируются
два варианта накопления средств по схеме аннуитета (поступление денежных
средств осуществляется в конце соответствующего временного интервала):
План 1:
вносится вклад на депозит 500 $ каждые полгода при условии, что банк
начисляет 8 % годовых с полугодовым начислением процентов.
План 2: делается
ежегодный вклад в размере 1 000 $ на условиях 9 % годовых
при ежегодном начислении процентов.
Определите:
а) какая сумма будет на счете через 10 лет при реализации каждого
плана?
б) какой план более предпочтителен?
в) изменится ли ваш выбор, если процентная ставка в плане 2 будет
снижена до 8,5%?
19. Каков ваш выбор - получение 5 000 $ через год или 12 000
$ через 6 лет, если коэффициент дисконтирования равен:
а) 0 %;
б) 12 %;
в) 20 %?
20. Рассчитайте
будущую стоимость 1 000 $ для следующих ситуаций:
а) 5 лет, 8%
годовых, ежегодное начисление процентов;
б) 5 лет, 8% годовых, полугодовое начисление процентов;
в) 5 лет, 8% годовых, ежеквартальное начисление процентов.
21. Рассчитайте
текущую стоимость каждого из приведенных ниже денежных поступлений, если
коэффициент дисконтирования равен 12%:
а) 5 000 000 $, получаемые через 3 года;
б) 50 000 000 $, получаемые через 10 лет.
22. Фирме нужно накопить 2 000 000 $, чтобы через 10
лет приобрести здание под офис. Наиболее безопасным способом накопления
является приобретение безрисковых государственных ценных бумаг, генерирующих
годовой доход по ставке 8 % при полугодовом начислении процентов. Каким должен быть первоначальный
вклад фирмы?
23. Что
более предпочтительно - получить 2 000 $ сегодня или 5 000
$ через 8 лет, если коэффициент дисконтирования равен 8 %?
24. Стоит ли покупать за 5 500 $ ценную бумагу, генерирующую
ежегодный доход в размере
1 000 $ в течение 7 лет, если коэффициент дисконтирования равен 8 %?
25. Предприятие имеет возможность участвовать в некоторой деловой
операции, которая принесет доход в размере 10 000 000 $ по
истечении двух лет.
1. Выберите
один из двух вариантов получения доходов: либо по 5 000 000 $
по истечении каждого года, либо единовременное получение всей суммы в конце
двухлетнего периода.
2. Существуют
ли такие условия, когда выбор варианта для Вас безразличен?
3. Изменится
ли ваше решение, если доход второго года уменьшится до 4 000 000 $?
Сформулируйте различные
условия, при которых вариант единовременного получения дохода может быть
предпочтительным.
26. Оплата по долгосрочному контракту предполагает выбор одного из
двух вариантов:
25 000 000 $ через 6 лет или 50 000 000 $ через 12 лет. При каком
значении коэффициента дисконтирования выбор безразличен?
27. Фирме
предложено инвестировать 100 000 000 $ на срок 5 лет при
условии возврата этой суммы частями (ежегодно по 20 000 000 $);
по истечении 5 лет выплачивается дополнительное вознаграждение в размере 30 000 000
$. Примет ли она это предложение, если можно депонировать деньги в банк из
расчета 8 % годовых, начисляемых ежеквартально?
2. ОЦЕНКА СТОИМОСТИ ЦЕННЫХ БУМАГ
ПРЕДПРИЯТИЯ И СОСТАВЛЕНИЕ ГРАФИКОВ ВОЗВРАТА ДОЛГОСРОЧНЫХ КРЕДИТОВ.
2. 1. Оценка стоимости
облигаций.
- номинальную
стоимость,
- срок до
погашения,
- процентную
ставку,
- условия выплаты
процентов (периодичность выплат).
Сущность оценки стоимости
облигации состоит в том, что в течение срока существования облигации ее
владелец должен получить ту же сумму, которую он вложил в облигацию при
покупке. Особенность состоит в том, что совокупность платежей, которые должен
получить владелец облигации растянута во времени, и следовательно, все будущие
денежные потоки необходимо продисконтировать к моменту времени, для которого
производится оценка стоимости облигации. В качестве показателя дисконта
необходимо принимать доходность аналогичных финансовых инструментов.
Математическая модель оценки
денежной стоимости облигаций основана на дисконтировании денежных потоков,
выплачиваемых на протяжении всего срока до погашения. Стоимость облигации в
настоящий момент времени равна дисконтированной сумме всех денежных потоков, с
ней связанных:
(2.1), где:
SO – текущая стоимость облигации;
INT - годовой процентный платеж;
NO - номинальная стоимость облигаций, она же - стоимость в момент
погашения;
rn - доходность облигации;
ra -
доходность на рынке ссудного капитала аналогичных облигаций (используется в
качестве показателя дисконтирования);
n – (от 1 до t) срок
погашения облигации.
Пример. Пусть выпущена облигация со
сроком погашения через 20 лет. Номинал облигации равен 1 000 $, а
годовая процентная ставка, определяющая величину годового процентного платежа,
составляет 14 %. Средняя процентная ставка на рынке облигаций данного типа
составляет также 14%. Необходимо найти оценку стоимости облигации?
Поскольку по условию процентный платеж производится один раз в
год, величина этого платежа составляет 140 $. На рынке ссудного капитала
доходность составляет 14%. Следовательно, для оценки стоимости облигации мы должны привести
к настоящему времени все ежегодные процентные платежи и выплату номинала в
конце двадцатого года.
Воспользовавшись формулой (2.1),
получим:
Пусть прошло 5 лет, а
процентная ставка на рассматриваемом рынке ссудного капитала не изменилась.
Сколько будет стоить данная облигация? Для ответа на этот вопрос нужно найти
современную стоимость всех оставшихся платежей, включая номинал облигации,
который должен быть выплачен инвестору через 15 лет. По аналогии получим:
Стоимость облигации закономерно
осталась равной ее номиналу, так как ситуация на рынке не изменилась. Ясно, что
такая ситуация сохранится на протяжении всего срока до погашения облигации.
Предположим теперь, что средняя
рыночная ставка увеличилась на 2 % и составляет 16 %, до
погашения облигации осталось 15 лет. В этом случае доходность данной облигации
ниже средней по рынку, и следовательно рыночная цена облигации должна
уменьшиться. Это подтверждается расчетами:
Если теперь рассмотреть
противоположную ситуацию, когда средняя по рынку процентная ставка уменьшилась
на 2 % и составляет 12%, то следует ожидать повышение
рыночной цены этой облигации, так как она приносит доходность большую, чем
средняя по рынку. В самом деле
Если выплата процентов по
облигации производится два раза в год, то расчетная формула изменится:
т.е. дисконтировать необходимо все полугодовые выплаты в
соответствии с полугодовой процентной ставкой. Для условий предыдущего примера,
когда процентная ставка составляет
12 % и до погашения остается 15 лет при полугодовой выплате процентов,
получим:
В этом случае стоимость
облигации оказалась несколько выше, так как процентные платежи инвестор
получает более часто. И следовательно, при возрастании стоимости облигации этот
эффект должен сказаться на курсовой стоимости облигации.
Рассмотрим теперь случай
краткосрочных (длительностью в один год) облигаций. Пусть номинальная стоимость
облигации составляет 100 $ со сроком погашения через 364 дня. Процентные
выплаты производятся через каждые 91 день в размере 25 $, причем
последний купон выплачивается в момент погашения облигации одновременно с
номиналом. Пусть квартальная доходность аналогичных долговых обязательств (для
ориентира можно выбрать облигации внутреннего государственного займа)
составляют 10 %. В соответствии с формулой (2.1)
получим:
Если по истечению одного
квартала процентная ставка драматично увеличилась до 18 %, то
стоимость облигации составит:
Такое изменение представляется закономерным и отражает реальную
рыночную ситуацию.
В частности, если положение вследствие всплеска инфляции резко
ухудшится и квартальная процентная ставка составит 32 %, то
облигации будут продаваться, ниже своего номинала:
Обратимся теперь к дисконтным
облигациям, которые также имеют номинальную стоимость, которая выплачивается
инвестору в момент погашения облигации. В процессе эмиссии такие облигации
продаются со скидкой (дисконтом). Величина скидки определяется процентной ставкой
по данной облигации. Дальнейшее изучение оценки стоимости такой облигации
проведем с помощью конкретного примера.
Пример. Предприятие
А в день эмиссии приобрело по цене 82 $ за штуку пакет дисконтных
государственных облигаций с периодом обращения 365 дней и номинальной стоимостью
к погашению 100 $.
Доходность этого финансового инструмента на момент эмиссии составляла:
Через 165 дней, или за 200 дней
до погашения облигации предприятие А решило реализовать на рынке этот
пакет ценных бумаг, так как ему срочно понадобились деньги. Цена продажи была
определена следующим образом:
Продавец дисконтировал стоимость облигации к погашению 100 $,
используя в качестве дисконтной ставки 21,95 % (0,22) тот
уровень доходности, который обеспечивал ему данный финансовый инструмент. Смысл
этого расчета заключается в том, чтобы разделить первоначальную величину
дисконтного дохода (100 - 82 = 18 $) между продавцом и покупателем
в соответствии с продолжительностью периодов владения финансовым активом.
Продавец владел активом 165 дней из 365, и он желает получить свою часть дисконтного
дохода: 89,26 - 82 = 7,26 $ с одной облигации. Покупателю
(по мнению продавца) должна достаться та часть дисконтного дохода, которая
соответствует 200 дням владения финансовым инструментом: 100 -
89.26 = 10,74 $.
Институциональные инвесторы, желающие приобрести эти
государственные облигации, считали предложенную цену завышенной, так как
доминирующая процентная ставка на рынке аналогичных финансовых ресурсов на
момент продажи составила 23 %. Оценка стоимости облигаций в этом случае составляет:
т.е. стала закономерно ниже.
Предприятию А пришлось удовлетвориться данной ценной своего финансового
ресурса.
Характеризуя этот факт,
современная финансовая теория справедливо называет прошлые затраты “мертвыми”,
т.е. не имеющими значения при обосновании финансовых решений.
2. 2. Оценка стоимости
обыкновенных акций предприятия.
В соответствии с принятыми
нормами выпуска обыкновенных акций сумма выплачиваемых дивидендов зависит от
результатов деятельности предприятия в соответствующем периоде времени, обычно
в течение года. Тем не менее, оценка стоимости обыкновенных акций предполагает
некоторый поток дивидендов, которые при оценке стоимости играют такую же роль,
как процентные платежи при оценке облигации. Только в отличие от облигаций этот
поток является бесконечным и не предполагается возврата исходной инвестиции. С
учетом всего отмеченного выше оценка стоимости обыкновенной акции
осуществляется по формуле:
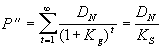
(2.2), где:
Dt - величина дивиденда, выплачиваемого в году t,
Ks - показатель
дисконта, с помощью которого осуществляется приведение дивидендных выплат к
настоящему моменту времени.
Проблемы, связанные с оценкой
стоимости акций, заключаются в прогнозе дивидендов и в оценке показателя
дисконта. Рассмотрим каждую из них в отдельности.
Совершенно очевидно, что
предприятие не в состоянии осуществить индивидуальный прогноз дивидендов на
всем бесконечном периоде. Поэтому на практике этот период разбивают на две
части, первая из которых составляет несколько лет (обычно не более пяти), в
течение которых существует возможность составить более или менее правдоподобный
прогноз дивидендных выплат. Вторая часть - это весь оставшийся бесконечный
период времени, для которого делается предположение о том, что
- дивиденды
сохраняют неизменное значение, равное величине последнего
спрогнозированного дивиденда, вошедшего в первый период, или
- предполагается
некоторый постоянный годовой прирост дивидендов, определяемый величиной
процентного роста g.
В дальнейшем оценка стоимости
акции - это дело техники дисконтирования спрогнозированной совокупности
дивидендов.
Результирующая формула для
оценки стоимости обыкновенных акций может быть записана следующим образом:
(2.3), где:
- дисконтированное
значение прогнозируемых дивидендов на первом (конечном) промежутке времени
продолжительностью N лет,
- дисконтированное
значение последующей бесконечной серии дивидендов, приведенное к моменту
времени, соответствующему концу N -ого года.
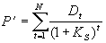
Для расчета первой компоненты
необходимо просто продисконтировать все величины дивидендов, спланированные к
выплате в течение первых N лет:
(2.4)
Расчет второй компоненты для
неизменных дивидендов производится по формуле дисконтирования бесконечных
дивидендов
(2.5)
Если предполагается рост
дивидендов с темпом g, то необходимо воспользоваться формулой Гордона,
которая является обобщением формулы (2.5) и имеет
для рассматриваемой задачи следующий вид:
(2.6)
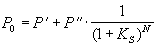
Задача оценки стоимости
обыкновенных акций решается однозначно при известном показателе дисконта. Для
конкретного предприятия он определяется с учетом степени рискованности
инвестирования в это предприятие. Взаимосвязь риска и доходности инвестиций
будет обстоятельно рассмотрена в следующей публикации. Сейчас же только
отметим, что для определения доходности акций Ks нужно
иметь сравнительные данные данного предприятия и фондового рынка в целом.
Один из таких подходов состоит
в следующем. В качестве показателя доходности Ks используется
оценка доходности предприятия, наблюдаемая в течение последнего года. Эта
доходность определяется с помощью двух компонент:
- доходности
инвестора, получаемой в виде дивидендов (величина дивиденда, выплаченная
за последний год, деленная на рыночную стоимость акции), и
- доходность
инвестора, связанная с увеличением курсовой стоимости акции (приращение
курсовой стоимости акции за год, деленное на курсовую стоимость в начале
года).
Сложив приведенные выше
компоненты, мы получим доходность акции.
Пример. Предприятие
выплатило по дивидендам 0,52 $ в виде дивидендов за
последний год. В течение ближайших трех лет предприятие планирует увеличивать
дивиденды на 8 %, а в дальнейшем темп роста дивидендов должен составить 4 %.
Необходимо оценить стоимость акции при условии, что доходность акций оценена на
уровне 15 %.
Прежде всего, оценим величины
дивидендов, выплачиваемые в ближайшие три года:
,
,
.
Величина дивиденда,
планируемая к выплате в конце четвертого года, должна составить:
.
Воспользовавшись формулами (2.4) и (2.6),
получим:
.
.
Теперь осталось
воспользоваться формулой (2.3):
2. 3. Составление графиков
возврата долгосрочных кредитов.
В процессе разработки
инвестиционных проектов могут привлекаться кредитные ресурсы, которые
возвращаются в процессе реализации проекта. Сумма кредита обычно возвращается постепенно
в течение его срока.
Различают два типа порядка
погашения:
- периодическими
взносами ("воздушный шар");
- "амортизационное"
(постепенная выплата равномерными взносами).
Погашение периодическими
взносами. При этом способе основную сумму кредита выплачивают на протяжении
всего срока кредита. Однако порядок погашения таков, что по окончании срока от
суммы кредита остается достаточно значительная доля, подлежащая погашению.
Пример. Представим
себе, что предприятие получает кредит в сумме 100,000 $ сроком на 5 лет.
Платежи в счет погашения кредита вносятся ежегодно в сумме 12,000 $ плюс
процент. Таким образом, в конце 5-летнего периода, уже осуществлены четыре
платежа по 12,000 $ (всего 48,000 $), и остается невыплаченной сумма в 52,000 $,
которую полностью выплачивают по окончании срока кредита. Такой порядок
погашения проиллюстрирован следующей таблицей.
|
Год
|
Начальный
|
Погашение
|
Проценты
|
Годовая
|
Конечный
|
|
баланс долга
|
долга
|
|
выплата
|
баланс долга
|
|
|
|
|
|
|
|
1
|
100,00
|
12,00
|
60,00
|
72,00
|
88,00
|
|
2
|
88,00
|
12,00
|
52,80
|
64,80
|
76,00
|
|
3
|
76,00
|
12,00
|
45,60
|
57,60
|
64,00
|
|
4
|
64,00
|
12,00
|
38,40
|
50,40
|
52,00
|
|
5
|
52,00
|
52,00
|
31,20
|
83,20
|
0,00
|
|
|
|
|
|
|
|
Итого
|
|
100,00
|
228,00
|
|
|
Заметим, что проценты
начисляются исходя из величины начального на текущий год баланса долга.
Кредит может быть погашен
равными взносами. Процент выплачивают по непогашенной части долга, поэтому
общая сумма взноса по погашению основной суммы и процента уменьшается по мере
того, как истекает срок кредита. Взносы по погашению основной суммы не
изменяются. Однако каждая следующая процентная выплата меньше предыдущей, так
как остающаяся непогашенной часть основной суммы уменьшается.
Если предприятие планирует
погашать долг равными порциями, то график обслуживания долга будет иметь вид:
|
Год
|
Начальный
|
Погашение
|
Проценты
|
Годовая
|
Конечный
|
|
баланс долга
|
долга
|
|
выплата
|
баланс долга
|
|
|
|
|
|
|
|
1
|
100,00
|
20,00
|
60,00
|
80,00
|
80,00
|
|
2
|
80,00
|
20,00
|
48,00
|
68,00
|
60,00
|
|
3
|
60,00
|
20,00
|
36,00
|
56,00
|
40,00
|
|
4
|
40,00
|
20,00
|
24,00
|
44,00
|
20,00
|
|
5
|
20,00
|
20,00
|
12,00
|
32,00
|
0,00
|
|
|
|
|
|
|
|
Итого
|
|
100,00
|
180,00
|
|
|
При сравнении с предыдущей
таблицей приходим к выводу о том, что сумма процентных платежей в первом
варианте закономерно выше.
Амортизационное"
погашение кредита.
При "амортизационном"
погашении основную сумму кредита выплачивают постепенно на протяжении срока
кредита. Платежи осуществляют равными суммами регулярно (как правило,
ежемесячно, ежеквартально или раз в полгода), и они включают определенную часть
суммы кредита и процент. Вместе с последним взносом сумму кредита погашают.
Этот принцип используют при ипотечном кредите. Многие западные кредитные
инвесторы используют эту схему в качестве базового графика возврата долга
предприятием-заемщиком.
Пример. Кредитный
инвестор предлагает предприятию кредит под 12 % годовых срок на 4 года при
полугодовой схеме возврата долга. Предприятие планирует привлечь 800,000
американских долларов. Необходимо рассчитать график обслуживания долга.
Прежде всего необходимо
вычислить величины полугодовой выплаты. При расчете этой суммы используется
концепция стоимости денег во вемени. Применительно к данному вопросу она
заключается в том, что приведенная к настоящему моменту сумма всех платежей
должна быть равной сумме кредита.
Если PMT - неизвестная
величина годовой выплаты, а S - величина кредита, то при
процентной ставке кредита і и количестве периодических
платежей n величина PMT может быть вычислена
с помощью уравнения:
Решение этого уравнения можно
произвести с помощью финансовых таблиц или электронного процессора EXCEL,
функция (-ПЛТ). Для данного примера сумма годового платежа равна
128,829. Таблица обслуживания долга имеет вид:
|
Год
|
Начальный
|
Погашение
|
Проценты
|
Полугодовая
|
Конечный
|
|
баланс долга
|
долга
|
|
выплата
|
баланс долга
|
|
|
|
|
|
|
|
1
|
800,00
|
80,83
|
48,00
|
128,83
|
719,17
|
|
2
|
719,17
|
85,68
|
43,15
|
128,83
|
633,49
|
|
3
|
633,49
|
90,82
|
38,01
|
128,83
|
542,67
|
|
4
|
542,67
|
96,27
|
32,56
|
128,83
|
446,41
|
|
5
|
446,41
|
102,04
|
26,78
|
128,83
|
344,36
|
|
6
|
344,36
|
108,17
|
20,66
|
128,83
|
236,19
|
|
7
|
236,19
|
114,66
|
14,17
|
128,83
|
121,54
|
|
8
|
121,54
|
121,54
|
7,29
|
128,83
|
0,00
|
|
|
|
|
|
|
|
Итого
|
|
800,00
|
230,63
|
1 030,63
|
|
Для сравнения приведем график
обслуживания той же суммы кредита по схеме погашения основной части долга
равными порциями:
|
Год
|
Начальный
|
Погашение
|
Проценты
|
Полугодовая
|
Конечный
|
|
баланс долга
|
долга
|
|
выплата
|
баланс долга
|
|
|
|
|
|
|
|
1
|
800,00
|
100,00
|
48,00
|
148,00
|
700,00
|
|
2
|
700,00
|
100,00
|
42,00
|
142,00
|
600,00
|
|
3
|
600,00
|
100,00
|
36,00
|
136,00
|
500,00
|
|
4
|
500,00
|
100,00
|
30,00
|
130,00
|
400,00
|
|
5
|
400,00
|
100,00
|
24,00
|
124,00
|
300,00
|
|
6
|
300,00
|
100,00
|
18,00
|
118,00
|
200,00
|
|
7
|
200,00
|
100,00
|
12,00
|
112,00
|
100,00
|
|
8
|
100,00
|
6,00
|
106,00
|
0,00
|
|
|
|
|
|
|
|
Итого
|
|
800,00
|
216,00
|
1 016,00
|
|
Поскольку суммарные процентные
выплаты во второй схеме существенно меньше, может показаться, что этот график
более выгоден. На самом деле обе схеме одинаковы в смысле “справедливости” взаимоотношений
между кредитором и заемщиком, так как современное дисконтированное значение
всех годовых платежей во второй схеме, как и первой, равно исходной сумме
кредита 800,00.
Контрольные вопросы и
задания.
1. На каком
принципе базируется подход к оценке стоимости ценных бумаг предприятия?
2. Каковы
основные элементы купонных облигаций, используемые для расчета их стоимости?
3. В чем
состоит экономическая сущность оценки стоимости облигации?
4. Запишите
формулу для расчета стоимости купонной облигации.
5. Как
соотносится стоимость купонной облигации с ее номиналом, если рыночная
процентная ставка выше номинальной?
6. Как
изменится стоимость облигации через три года после выпуска, если в течение этих
трех лет рыночная процентная ставка не изменялась и была равной номинальной
процентной ставке по облигации.
7. Как
влияет периодичность выплаты % (количество раз в году) по купонной облигации на
расчет ее стоимости?
8. Если
облигация выпускается с процентной ставкой выше рыночной, то по какой цене
следует ожидать ее продажу: выше номинала или ниже?
9. Что
такое дисконтная облигация?
10. Как
делится доход по дисконтной облигации между ее старым и новым владельцем в
случае продажи облигации?
11. Из чего
надо исходить при определении цены покупки дисконтной облигации на вторичном
рынке?
12. Какие
затраты называют “мертвыми” при рассмотрении стоимости ценных бумаг?
13. Какая
информация используется при расчете стоимости обыкновенных акций предприятия?
14. Какой
период принимается во внимание при расчете стоимости обыкновенных акций?
15. Как
отличаются модели расчета стоимости обыкновенных акций при неизменных
прогнозируемых дивидендах и при возрастающих дивидендах?
16. Какие
два вида графиков погашения кредита используются в долгосрочном кредитовании?
17. Как
вычисляются процентные платежи при составлении графика обслуживания долга?
18. Как
рассчитать годовую сумму выплаты при амортизационном погашении кредита?
19. Как
изменится график погашения кредита, если кредитор предоставляет отсрочку от
выплаты основной части долга на несколько периодов?
20. Какая из
двух схем погашения кредита более выгодна кредитору, а какая заемщику?
Задания
1. Вы
заняли на четыре года $10000 под 14% годовых, начисляемых по схеме сложных % на
непогашенный остаток. Возвращать нужно равными суммами в конце каждого года.
Определите величину годового платежа.
2. Какие
условия предоставления кредита более выгодны банку: а) 28% годовых, начисление
ежеквартальное; б) 30% годовых, начисление полугодовое?
3. Предприятие
приобрело здание за $20000 на следующих условиях: а) 25% стоимости оплачивается
немедленно; б) оставшаяся часть погашается равными годовыми платежами в течение
10 лет с начислением 12% годовых на непогашенную часть кредита по схеме сложных
%. Определите величину годового платежа.
4. Оцените
текущую стоимость облигации номиналом $1000, купонной ставкой 9% годовых и
сроком погашения через 3 года, если рыночная норма прибыли равна 7%.
5. Вычислите
текущую цену бессрочной облигации, если выплачиваемый по ней годовой доход
составляет 100 тыс. $, а рыночная доходность - 12%.
6. Вы
приобретаете бескупонную государственную облигацию номиналом $5000, погашаемую
через 25 лет. Какова ее текущая цена, если ставка банковского процента равна
15%?
7. Вычислите
текущую стоимость облигации с нулевым купоном нарицательной стоимостью 100 $ и
сроком погашения 12 лет, если приемлемая норма прибыли составляет 14%.
8. Рассчитайте
текущую стоимость привилегированной акции номиналом 100 $ и величиной дивиденда
9% годовых, если рыночная норма прибыли 12%.
9. Последний
выплаченный дивиденд по акции равен $1. Ожидается, что он будет возрастать в
течение следующих трех лет с темпом 14%; затем темп прироста стабилизируется на
величине 5%. Какова цена акции, если рыночная норма прибыли 15%.
10. Куплена
акция за $50; прогнозируемый дивиденд текущего года составит $2. Ожидается, что
в следующие годы этот дивиденд будет возрастать с темпом 10%. Какова приемлемая
норма прибыли, использованная инвестором при принятии решения о покупке акции?
11. Четыре
года назад компания А платила дивиденд в размере $0,80 на акцию. Последний
выплаченный дивиденд составил $1,66. Ожидается, что такой же среднегодовой темп
прироста дивидендов сохранится и в последующие пять лет, после чего темп
прироста стабилизируется на уровне 8%. Текущая рыночная цена акции $30. Следует
ли покупать эту акцию, если требуемая норма прибыли составляет 18%?
12. Последний
выплаченный компанией А дивиденд равен $7, темп прироста дивидендов составляет
3% в год. Какова текущая цена акций компании, если коэффициент дисконтирования
равен 12%?
13. Компания
А не выплачивала дивиденды в отчетном году, но в следующем году планирует
выплатить дивиденд в размере $5. В последующие годы ожидается постоянный рост
дивидендов с темпом 6%. Какова текущая цена акций компании, если коэффициент
дисконтирования равен 13%?
14. Облигация
номиналом $500 с полугодовым начислением % и купонной ставкой 10% годовых будет
погашена через 6 лет. Какова ее текущая цена, если рыночная норма прибыли: а)
8%; б) 10%; в) 12%?
3. ОЦЕНКА СТОИМОСТИ КАПИТАЛА
ИНВЕСТИЦИОННОГО ПРОЕКТА.
3. 1. Понятие и
экономическая сущность стоимости капитала.
Под стоимостью капитала
понимается доход, который должны принести инвестиции для того, чтобы они себя
оправдали с точки зрения инвестора. Стоимость капитала выражается в виде
процентной ставки (или доли единицы) от суммы капитала, вложенного в какой-либо
бизнес, которую следует заплатить инвестору в течение года за использование его
капитала. Инвестором может быть кредитор, собственник (акционер) предприятия
или само предприятие. В последнем случае предприятие инвестирует собственный
капитал, который образовался за период, предшествующий новым капитальным
вложениям и следовательно принадлежит собственникам предприятия. В любом случае
за использование капитала надо платить и мерой этого платежа выступает
стоимость капитала.
Обычно считается, что стоимость
капитала - это альтернативная стоимость, иначе говоря доход, который ожидают
получить инвесторы от альтернативных возможностей вложения капитала при
неизменной величине риска. В самом деле, если компания хочет получить средства,
то она должна обеспечить доход на них как минимум равный величине дохода,
которую могут принести инвесторам альтернативные возможности вложения капитала.
Основная область применения
стоимости капитала - оценка экономической эффективности инвестиций. Ставка
дисконта, которая используется в методах оценки эффективности инвестиций, т.е.
с помощью которой все денежные потоки, появляющиеся в процессе инвестиционного
проекта приводятся к настоящему моменту времени, - это и есть стоимость
капитала, который вкладывается в предприятие. Почему именно стоимость капитала
служит ставкой дисконтирования? Напомним, что ставка дисконта - это процентная
ставка отдачи, которую предприятие предполагает получить на заработанные в
процессе реализации проекта деньги. Поскольку проект разворачивается в течение
нескольких будущих лет, предприятие не имеет твердой уверенности в том, что оно
найдет эффективный способ вложения заработанных денег. Но оно может вложить эти
деньги в свой собственный бизнес и получить отдачу, как минимум равную
стоимости капитала. Таким образом, стоимость капитала предприятия - это
минимальная норма прибыльности при вложении заработанных в ходе реализации
проекта денег.
На стоимость капитала оказывают
влияние следующие факторы:
- уровень
доходности других инвестиций,
- уровень риска
данного капитального вложения,
- источники
финансирования.
Рассмотрим каждый из факторов в
отдельности. Поскольку стоимость капитала - это альтернативная стоимость, то
есть доход, который ожидают получить инвесторы от альтернативных возможностей
вложения капитала при неизменной величине риска, стоимость данного капитального
вложения зависит от текущего уровня процентных ставок на рынке ценных бумаг
(облигаций и акций). Если предприятие предлагает вложить инвесторам капитал в
более рискованное дело, то им должен быть обеспечен более высокий уровень
доходности. Чем больше величина риска, присутствующая в активах компании, тем
больше должен быть доход по ним для того, чтобы привлечь инвестора. Это
золотое правило инвестирования.
В настоящее время наблюдается
возрастание, хотя и очень незначительное, интересов иностранных инвесторов в
предприятия стран бывшего Советского Союза. Понятно, что такие капитальные
вложения для иностранного инвестора являются очень рискованными (по крайней
мере по сравнению с вложениями в предприятия западных стран).
По этой причине, следуя
золотому правилу инвестирования стоимость зарубежных капитальных вложений
весьма велика - от 20 до 30 %. В то же время стоимость подобных капитальных
вложений в предприятия собственных стран не превышает 20%.
Кроме этих факторов, на
стоимость капитала оказывает влияние то, какие источники финансирования имеются
у предприятия. Процентные платежи по заемным источникам рассматриваются как
валовые издержки (то есть входят в себестоимость) и потому долговые источники
финансирования являются более выгодными для предприятия. Но в то
же время, использование заемных источников более рискованно для предприятий,
так как процентные платежи и погашения основной части долга необходимо
производить вне зависимости от результатов реализации инвестиционного проекта.
Стремясь снизить риск, предприятие увеличивает долю собственных привлеченных
средств (производит дополнительную эмиссию акций). При этом, стимулируя
инвестора производить вложения в собственность, оно вынуждено обещать более
высокую отдачу при прямом вложении капитала в собственность. Инвестор также
сознает, что вложение в собственность предприятия более рискованный вид
инвестиций по сравнению с кредитной инвестицией, и поэтому ожидает и требует
более высокую отдачу.
3. 2. Подходы и модели
определения стоимости капитала.
При изложении данного вопроса
мы последовательно рассмотрим ряд частных простейших случаев с их последующим
обобщением. При изложении первого примера будем абстрагироваться от налогового
эффекта при вычислении стоимости капитала.
Пример. Пусть
банк предоставляет предприятию кредит на условиях $2 на каждый имеющийся у него
$1 собственных средств. Своих денег предприятие не имеет, но может привлечь
акционерный капитал, начав выпуск акций. Банк предоставляет кредит по ставке
6%, а акционеры согласны вкладывать деньги при условии получения 12%. Если
предприятию необходимы $3,000, то оно должно получить чистый денежный доход
$2,000
0.06 = $120 с тем,
чтобы удовлетворить требованиям банка и $1,000
0.12 = $120 для
удовлетворения требований акционеров. Таким образом, стоимость капитала
составит $240/$3,000 = 8%.
Стоимость капитала инвестиционного
проекта WACC (Weighted Average Cost of Capital).
|
Вид
|
|
Стоимость
|
Доля
|
Компоненты
|
|
|
|
%
|
|
|
|
|
|
|
|
|
Заемный капитал
|
|
6
|
0,67
|
4,0200
|
|
Собственный
|
|
12
|
0,33
|
3,9600
|
|
|
|
|
|
|
Общая стоимость капитала
|
|
|
1
|
7,9800
|
Такой подход часто называют
вычислением взвешенной средней стоимости капитала, которая часто
обозначается WACC (Weighted Average Cost of Capital).
Для того чтобы определить общую
стоимость капитала, необходимо сначала оценить величину каждой его компоненты.
Обычно структура капитала инвестиционного
проекта включает:
1. Собственный
капитал в виде:
o обыкновенных
акций,
o накопленной
прибыли за счет деятельности предприятия;
2. Сумму
средств, привлеченных за счет продажи привилегированных акций:
3. Заемный
капитал в виде:
o долгосрочного
банковского кредита,
o выпуска
облигаций.
3. 3. Модели определения
стоимости собственного капитала.
Стоимость собственного капитала
- это денежный доход, который хотят получить держатели обыкновенных акций.
Различают несколько моделей, каждая из которых базируется на использовании
информации, имеющейся в распоряжении того, кто оценивает капитал.
Модель прогнозируемого роста
дивидендов. Расчет стоимости собственного капитала основывается на формуле:
(3.1), где:
CCs - стоимость собственного капитала,
Div - дивиденд, планируемый
компанией в первый год реализации инвестиционного проекта,
PA - рыночная цена одной акции,
gDiv - прогнозируемый ежегодный рост дивидендов.
Пример. Текущая цена одной обыкновенной акции компании составляет $40.
Ожидаемая в следующем году величина дивиденда $4. Кроме того, предприятие
планирует ежегодный прирост дивидендов 4%. Используя формулу (3.1)
получаем:
Данная модель применима к тем
компаниям, величина прироста дивидендов которых постоянна. Если этого не
наблюдается, то модель не может быть использована.
Ценовая модель капитальных
активов (CAPM: Capital Assets Price Model). Использование данной
модели наиболее распространено в условиях стабильной рыночной экономики при
наличии достаточно большого числа данных, характеризующих прибыльность работы
предприятия.
Модель использует существенным
образом показатель риска конкретной фирмы, который формализуется введением
показателя b. Этот показатель устроен таким образом, что b=0, если активы компании совершенно безрисковые (случай сколь
желаемый, столь же редкий). Показатель b=0,
например, для казначейских облигаций США. (Декларировано также, что облигации
внутреннего государственного займа в Украине также имеют нулевую степень
риска). Показатель b=1, если
активы данного предприятия столь же рисковые, что и средние по рынку всех
предприятий страны. Если для конкретного предприятия имеем: 0<b<1, то это предприятие менее рисковое, по сравнению со средним по
рынку, если b>1, то предприятие имеет большую степень риска.
Расчетная формула модели имеет
вид:
(3.2), где:
CAPM - ценовая
модель капитальных активов;
Prb0 - показатель прибыльности для безрисковых вложений;
Pra -
среднерыночный показатель прибыльности;
b - фактор риска.
Изменение CAPM согласно модели (3.2) в
зависимости от риска иллюстрируется графически с помощью следующего рисунка.
|
Зависимость ценовой модели капитальных активов от риска.
|
|
|
CAPM=Prbx+(Pra-Prbx)*b
|
|
|
|
|
|
|
|
|
|
|
|
|
|
Prbx
|
Pra
|
b
|
CAPM
|
|
|
|
|
|
0,1
|
0,15
|
0,7
|
0,135
|
|
|
|
|
|
0,1
|
0,15
|
1
|
0,150
|
|
|
|
|
|
0,1
|
0,15
|
1,2
|
0,160
|
|
|
|
|
|
|
|
|
|
|
|
|
|
Возникает вопрос: как определить показатель b для данного предприятия?
Единственный разумный способ - это использование данных прошлых
лет. По сравнительным данным прибыльности анализируемого предприятия и средней
рыночной прибыльности строится соответствующая прямолинейная регрессионная
зависимость, которая отражает корреляцию прибыльности предприятия и средней
рыночной прибыльности. Регрессионный коэффициент этой зависимости служит
основой для оценки b-фактора. В
передовых западных странах для ориентации потенциальных инвесторов печатают
справочники, содержащие показатель b для большинства крупных фирм.
Пример. Предприятие АВС является относительно стабильной компанией
с величиной b=0,5. Величина процентной ставки безрискового вложения капитала равна 6 %, а
средняя по фондовому рынку 9 %. Согласно ценовой модели
капитальных активов стоимость капитала компании равна:
Модель прибыли на акцию.
Данная модель оценки стоимости
собственного капитала базируется на показателе прибыли на акцию, а не на
величине дивидендов. Многие инвесторы считают, что именно показатель величины
прибыли на акцию отражает реальный доход, получаемый акционерами, независимо от
того, выплачивается ли он в виде дивидендов или реинвестируется с тем, чтобы
принести инвесторам выгоды в будущем. Инвесторы пристально следят за
показателем прибыли на одну акцию, который публикуется в отчетных документах
компании, а управляющие компанией стремятся не создавать ситуаций, приводящих к
падению этого показателя.
Итак, согласно данной модели
стоимость собственного капитала определяется по формуле:
(3.3), где:
CCs – стоимость собственного капитала;
Pr – прибыль
компании в расчете на акцию;
PA – рыночная цена одной акции.
Пример. Величина прибыли на 1 акцию компании XGG составила 5 $,
а рыночная цена акции в среднем равнялась 40 $. Согласно модели
прибыли на акцию оценка стоимости собственного капитала составляет:
К сожалению, все приведенные
выше модели являются лишь оценочными. Действительность такова, что ни одна из
моделей не может точно предсказать истинную стоимость собственного капитала и
обычно все модели в конечном итоге приводят к различным результатам.
Пример. Величина показателя b компании ХХХ равна 1,5. Текущая рыночная цена акции (PA) составляет 20 $, а величина прибыли на 1 акцию в прошлом (Div0) году равнялась 2 $. Величина дивиденда, выплачиваемого в
текущем году(Div1) составляет
1 $ на 1 акцию и ожидается ежегодный рост дивидендов в размере 6%.
Считая, что процентная ставка безрискового вложения капитала (Pra) равна 6%, а средний доход по всему рынку составляет:
9 %.
Необходимо вычислить стоимость собственного капитала (CCs) с использованием всех трех методов.
Для модели роста дивидендов получим:
Для ценовой
модели капитальных активов:
Для модели
прибыли на акцию:
Как видно, для всех трех
моделей мы получили разные результаты. В данном случае расхождение
несущественное, хотя в реальной практике различия в оценках могут быть более
драматичными.
Модель премии за риск. Данная
модель занимает особое место, так как носит договорной характер. Договор
заключается между предприятием и потенциальным инвестором о том, какая должна
быть премия за риск вложения капитала. Если CCs -
уровень отдачи на вложение денег инвестором в обычные (номинальные) для него
возможности, то стоимость капитала, вложенного в данное предприятие оценивается
по формуле:
(3.4), где:
RP -
премия за риск.
Потенциальных западных
инвесторов можно привлечь для вложения капитала в предприятия стран СНГ только
большой величиной премии за риск. Совокупный инвестор в виде множества
физических лиц, проживающих за рубежом, не может стать таким инвестором по очевидным
причинам. Следовательно, предприятию приходится рассчитывать лишь на некоторое
достаточно большое зарубежное предприятие в качестве инвестора. И в этом случае
придется прибегнуть к модели (3.4), поскольку никакой другой
информации нет.
Для государственных
предприятий из всех перечисленных выше моделей в большей мере подходит модель
прибыли на акции при условии ее адаптации для условий государственного предприятия
в условия самофинансирования. Стоимостью капитала в данном случае может служить
отношение ежегодной прибыли предприятия к сумме его собственных средств,
накопленных к рассматриваемому году.
(3.5), где:
Pr - годовая прибыль предприятия, оставшаяся в его распоряжении;
SCCs - сумма собственных средств
предприятия по его балансу на конец года.
Пример. В результате хозяйственной деятельности предприятия после уплаты
всех налогов (Pr) остается
25 000 $. На конец года балансовая стоимость собственных средств
предприятия (SCCs)
составляет 200 000 $.
Стоимость его капитала может быть оценена как:
Формула (3.5) может
быть использована как для существующих данных, отражающих результат
деятельности предприятия в прошлом году, так и для плановых показателей.
Стоимость вновь привлеченного
капитала. Требуемый доход на новый (вновь привлеченный) собственный капитал
обычно выше, чем требуемый доход на существующий собственный капитал. Когда
компания выпускает дополнительные акции, то обычно она получает чуть меньше
рыночной цены существующих акций. Это связано с дополнительными затратами по
выпуску новых акций и, кроме того, с желанием обеспечить быструю распродажу
новых акций (их продают по цене слегка ниже рыночной).
Пример. Текущая
рыночная цена акции компании МХ равна 40 $ за акцию, а стоимость
собственного капитала составляет 10%. Таким образом, доход на
1 акцию составляет 4 $. В процессе выпуска новых акций компания ожидает
получить всего 35 $ за каждую акцию. Но во избежание падения стоимости
всех акций компания все равно должна обеспечить доход на одну акцию в размере 4
$. Следовательно, стоимость нового собственного капитала будет равна:
При расчете стоимости вновь
привлеченного капитала принято использовать следующую формулу в рамках модели
роста дивидендов:
(3.6), где:
RPA - так
называемая стоимость выпуска, отражающая закономерное снижение рыночной
стоимости вновь выпускаемых акций.
Пример. Компания ожидает в следующем году 1,24 $ выплаты
дивидендов на одну акцию при
8 % ожидаемом годовом росте дивидендов. В настоящее время акции
компании продаются по цене 23 $ за акцию. Согласно формуле (3.1)
стоимость собственного капитала компании составляет:
В следующем году компания
собирается выпустить новые акции, затрачивая на выпуск 10 %
стоимости акций. Согласно формуле (3.6) при RPA =10 % получим
следующую стоимость вновь выпущенных акций:
Таким образом, стоимость
собственного капитала вновь выпущенных акций возросла до 14 % по
сравнению со стоимостью существующих (13,4 %).
Реальное развитие событий будет
существенно зависеть от успеха деятельности фирмы. Если она будет в состоянии
обеспечить 14 % доходности при годовом росте на 8 %, то
рыночная цена акции останется без изменения, то есть 40 $. Если фирма
будет зарабатывать для своих владельцев более 14 % на
акцию, рыночная стоимость акции закономерно возрастет (ввиду возрастающего
спроса), в противном случае рыночная стоимость будет падать.
3. 4. Модель определения
стоимости привилегированных акций.
Данная модель является весьма
простой, поскольку доход на привилегированные акции устанавливается простым
способом: по привилегированным акциям выплачивается фиксированный дивиденд и
сверх этого дивиденда, независимо от размера прибыли, ничего не выплачивается.
Поэтому доходность по привилегированным акциям (стоимость привилегированных
акций) рассчитывается по следующей формуле:
(3.7), где:
CPA – стоимость привилегированной акции;
Div - дивиденд, планируемый
компанией в первый год реализации инвестиционного проекта;
PA - рыночная цена одной акции.
Пример. По привилегированным акциям компании ХХХ выплачивается
ежегодный дивиденд в размере 8 $, текущая рыночная цена акции составляет
100 $ за акцию. Следовательно, стоимость привилегированной акции
компании ХХХ составляет:
Если рыночная цена
привилегированных акций уменьшится до 80 $ за одну акцию, то стоимость
привилегированных акций возрастает до:
Также как и в случае с обыкновенными акциями, затраты на выпуск
новых привилегированных акций повышают их стоимость. Эту оценку можно сделать
по аналогии с (3.6), предполагая
gDiv=0, так
как привилегированные акции обычно не имеют роста:
(3.8)
В условиях примера стоимость новых привилегированных акций, при 10 %
затратах на их выпуск, составит:
Как мы видим эта стоимость выше
стоимости существующих привилегированных акций.
3. 5. Модели определения
стоимости заемного капитала.
В процессе своей деятельности
предприятие использует заемные средства, получаемые в виде:
- долгосрочного
кредита от коммерческих банков и других предприятий,
- выпуска
облигаций, имеющих заданный срок погашения и номинальную процентную
ставку.
В первом случае
стоимость заемного капитала равна процентной ставке кредита и определяется
путем договорного соглашения между кредиторами и заемщиком в каждом конкретном
случае отдельно.
Во втором случае
стоимость капитала определяется величиной выплачиваемого по облигации купона
или номинальной процентной ставкой облигации, выражаемой в процентах к ее
номинальной стоимости. Номинальная стоимость - это цена, которую заплатит
компания - эмитент держателю облигации в день ее погашения. Разумеется, что
срок, через который облигация будет погашена, указывается при их выпуске.
В момент выпуска облигации
обычно продаются по их номинальной стоимости. Следовательно в этом случае
стоимость заемного капитала CCz
определяется номинальной процентной ставкой облигации r:
CCz=r, (3.9)
Однако в условиях изменения
процентных ставок по ценным бумагам, которое является следствием инфляции и
других причин, облигации продаются по цене, не совпадающей с номинальной.
Поскольку предприятие - эмитент облигаций должно платить по ним доход, исходя
из номинальной процентной ставки и номинальной стоимости облигации, реальная
доходность облигации изменяется: увеличивается, если рыночная цена облигации
падает по сравнению с номинальной, и уменьшается в противном случае.
Для оценки реальной доходности
облигации (стоимости заемного капитала) используем модель современной стоимости
облигации:
(3.10), где:
PCO - современная (настоящая) стоимость облигации;
INT - ежегодная процентная выплата по облигации;
N - номинальная стоимость облигации;
n - количество периодов (лет) до погашения облигации;
r - процентная ставка по облигации.
Для лучшего понимания
финансового механизма определения фактической стоимости облигаций и реальной
отдачи от них, рассмотрим формулу более детально. Итак, согласно условиям
выпуска облигаций фирма - эмитента обязуется каждый год выплачивать процентную
выплату INT и номинальную стоимость N по окончанию срока действия облигации, то есть на момент ее
погашения. Поэтому формула (3.10) определяет
дисконтированный поток этих выплат. В предыдущей главе подробно исследовался
феномен изменения стоимости цены облигации в зависимости от рыночной процентной
ставки. С помощью рассмотренных там примеров можно сделать вывод о том, что
поскольку рыночная цена облигации колеблется, а сумма выплачиваемого дохода на
облигацию остается неизменной, то доходность облигации также меняется:
конкретно, доходность облигации увеличивается при уменьшении рыночной
стоимости и уменьшается в противном случае.
В качестве реальной доходности
облигации (или стоимости заемного капитала, основанного на облигациях данного
типа) используется конечная доходность облигации, то есть такая
процентная ставка, которая позволяет, купив облигацию сейчас по текущей
рыночной цене, получать доход на облигацию, объявленный в контракте на ее
выпуск, и номинальную стоимость облигации на момент ее погашения.
В обозначениях формулы (3.10) для
расчета стоимости заемного капитала CCz
используется уравнение:
(3.11), где:
RCO –
текущая рыночная стоимость облигации.
n - количество лет, оставшихся до погашения облигации.
Уравнение (3.11) можно решить лишь приближенно с помощью численных методов на ЭВМ
или финансовом калькуляторе. Результат близкий к использованию уравнения (3.11) дает следующая приближенная формула:
(3.12)
Пример.
Компания ZZ пять лет назад выпустила облигации номиналом 1 000 $ и номинальной процентной ставкой 9 %.
Текущая стоимость облигации на фондовом рынке составляет 890 $ и до
погашения остается еще 10 лет. Необходимо определить цену заемного капитала (CCz).
Точным значением CCz, получаемым в результате решения уравнения (3.12),
является 10,86%.
Предположим теперь, что текущая
рыночная цена облигации составляет 1 102 $ за штуку. В этом случае:
Точное значение равно 7,51%.
Если компания хочет привлечь
заемный капитал, то она должна будет выплачивать по привлеченным средствам
процентный доход, как минимум равный конечной доходности по существующим
облигациям. Таким образом, конечная доходность будет представлять собой для
компании стоимость привлечения дополнительного заемного капитала. Если у
компании есть избыточные средства, то она может использовать их на покупку
существующих облигаций по их рыночной стоимости. Сделав это, компания получит
доход, равный доходу, который бы получил любой другой инвестор, если бы он
купил облигации по их рыночной стоимости и держал их у себя до момента
погашения. Если компания по-другому инвестирует избыточные средства, то она
отказывается от альтернативы погашения облигации, выбирая, по крайней мере,
столь же прибыльную альтернативу. Конечная доходность облигации - это
альтернативная стоимость решения об инвестировании средств. Таким
образом, независимо от того, имеются ли у компании избыточные средства или она
нуждается в их притоке, конечная доходность по существующим облигациям
представляет собой стоимость заемных средств.
Эффективная стоимость заемных
средств. Говоря о стоимости заемного капитала, необходимо учитывать
следующее очень важное обстоятельство. В отличие от доходов, выплачиваемых
акционерам, проценты, выплачиваемые по заемному капиталу, включаются в издержки
по производству продукции. Таким образом, стоимость заемного капитала
после уплаты налогов становится ниже конечной доходности (или стоимости до
уплаты налогов).
Пример.
Предположим, что конечная доходность по привлеченному заемному капиталу
составляет 10 %. Только что выпущенная облигация номиналом 1 000 $ в этом случае будет приносить ежегодно: 10 %*1 000 $ = 100 $. Если величина ставки налога равна 24 %, то
издержки в 100 $ на выплату процентов будут означать экономию в налогах
в размере 24 $. При этом издержки на выплату процентов, после уплаты
налогов, составят 76 $ = 100 $ - 24 $. Поэтому стоимость заемного
капитала после уплаты налогов составит 76/1 000 = 7,6%.
Для того чтобы отразить этот
финансовый феномен вводят так называемую эффективную стоимость заемного
капитала, равную:
(3.13), где:
Т -
ставка налога.
3. 6. Взвешенная средняя
стоимость капитала WACC (Weighted Average Cost of Capital) .
Последним шагом в оценке общей
стоимости для компании является комбинирование стоимости средств, полученных из
различных источников. Эту общую стоимость часто называют взвешенной средней
стоимостью капитала, так как она представляет собой среднее из стоимостей
отдельных компонентов, взвешенных по их доле в общей структуре капитала.
Расчет взвешенной средней
стоимости капитала производится по формуле:
(3.14), где:
D - доли в структуре соответственно заемных средств,
привилегированных акций, собственного капитала (обыкновенных акций и
нераспределенной прибыли).
Пример.
Рыночная стоимость обыкновенных акций компании IBM
составляет 450 000 $, привилегированные акции составляют 120 000 $, а общий заемный капитал: 200 000 $.
Стоимость собственного капитала равна 14 %,
привилегированных акций 10 %, а облигаций компании 9 %. Необходимо определить
взвешенную среднюю стоимость капитала компании при ставке налога T= 24%.
Вычислим сначала доли каждой
компоненты капитала. Общая сумма капитала компании составляет: 450 000 + 120 000 + 200 000 = 770 000 $.
Расчет WACC удобно производить с
помощью таблицы:
|
Вид
|
Ставка
|
Стоимость
|
Доля
|
Взвешенная
|
|
|
налога
|
%
|
|
стоимость
|
|
|
|
|
|
|
Заемный капитал
|
24
|
9
|
0,309
|
2,1136
|
|
Привилегированные акции
|
|
10
|
0,127
|
1,2700
|
|
Обыкновенные акции
|
|
14
|
0,564
|
7,8960
|
|
|
|
|
|
|
Средневзвешенная стоимость капитала
|
1
|
11,2796
|
Таким образом, агрегированная
(средняя взвешенная) стоимость капитала компании составляет 11,2796 %.
Контрольные вопросы и
задания
1. Что
понимается под стоимостью капитала предприятия?
2. Обоснуйте
причину по которой стоимость капитала предприятия принимается в качестве
показателя дисконта при оценке эффективности капитальных вложений.
3. От каких
факторов зависит стоимость капитала предприятия?
4. Каково
соотношение между стоимостью капитала и риском инвестиций?
5. Каков
механизм влияния структуры капитала на его стоимость?
6. Дайте
определение понятия взвешенного среднего.
7. Перечислите
основные модели оценки стоимость отдельных компонент капитала.
9. В чем
сущность ценовой модели капитальных активов?
10. Дайте
определение коэффициента бета.
11. Как
коэффициент бета может быть рассчитан на практике?
12. Опишите
модель прибыли на акцию.
13. Опишите
модель премии за риск.
14. Как
отличается стоимость вновь привлеченного капитала от стоимости имеющегося в
наличии капитала?
15. Какая из
моделей оценки стоимости капитала наиболее приемлема для современных условий
Украины?
16. В чем
сущность модели оценки стоимости капитала, привлеченного с помощью выпуска
привилегированных акций?
17. Опишите
модели оценки стоимости заемного капитала.
18. В чем
сущность свойства налоговой экономии при использовании заемного капитала?
19. Дайте
определение эффективной стоимости заемного капитала.
20. Запишите
формулу для определения взвешенной средней стоимости капитала.
21. Как
изменяет эффективность инвестиций увеличение стоимости капитала?
Задания
1. Рассчитайте
эффективную стоимость кредита под 13 % годовых
при ставке налога 24 %.
Решение.
Эффективная стоимость долга рассчитывается по формуле (3.13):
2. Текущая
цена одной обыкновенной акции компании составляет 50 $. Ожидаемая в следующем
году величина дивиденда 5 $. Кроме того, предприятие планирует ежегодный
прирост дивидендов 4 %. Определить стоимость собственного капитала предприятия.
Решение.
Используя формулу (3.1):
3. Предприятие АВС является относительно
стабильной компанией с величиной b=0,5. Предприятие
ВСА в последнее время испытывало колебания состояния роста и падения
своих доходов, что привело к величине b=1,2. Величина
процентной ставки безрискового вложения капитала равна 6 %, а
средняя по фондовому рынку 12%. Определить стоимость капитала
компаний с помощью ценовой модели капитальных активов. Дать интерпретацию
полученным значениям стоимостей капиталов.
Решение.
АВС
ВСА
Поскольку вторая компания
является менее стабильной и более рискованной, стоимость ее капитала получилась
закономерно выше.
4. Ожидается,
что прибыль, дивиденды и рыночная цена акции компании ZZZ будут иметь ежегодный рост на 7 %. В настоящее время акции
компании продаются по 23 $ за штуку, ее последний дивиденд составил 2
$ и компания выплатит 2,14 $ в конце текущего года.
а). Используя модель
прогнозируемого роста дивидендов, определите стоимость собственного капитала
предприятия.
б). Показатель b=1,6; величина процентной ставки безрискового вложения капитала равна 9 %, а
средняя по фондовому рынку 13 %. Оцените стоимость
собственного капитала компании, используя ценовую модель капитальных активов.
в). Средняя прибыльность на
рынке ссудного капитала составляет 12 %, и
предприятие рассматривает возможную премию за риск в объеме 4 %. Какова
будет оценка стоимости капитала с помощью модели премии за риск?
г). Сравните полученные оценки.
Какую из них следует принять при оценке эффективности инвестиций?
Решение.
Используя модель
прогнозируемого роста дивидендов стоимость собственного капитала предприятия:
Согласно ценовой модели
капитальных активов CAPM стоимость капитала компании равна:
В соответствии с моделью премии
за риск:
Итак, все три модели привели к
различным результатам, что, вообще говоря, закономерно. Вопрос в том, какую
оценку следует выбрать при оценке эффективности инвестиции. Ответ: следует
учитывать все оценки, но для принятия решения необходимо руководствоваться
наиболее пессимистичной, в данном случае дающей наибольшее значение стоимости
капитала.
5. Рыночная
стоимость обыкновенных акций компании SSS
составляет 620 000 $, привилегированные акции составляют 140 000
$, а общий заемный капитал 340 000 $. Стоимость собственного
капитала равна 14 %, привилегированных акций 10 %, а
облигаций компании 9 %. Необходимо определить взвешенную среднюю стоимость капитала
компании при ставке налога Т = 24%.
Решение.
|
Вид капитала
|
Ставка
|
Стоимость
|
Доля
|
Взвешенная
|
|
налога
|
%
|
|
стоимость
|
|
|
|
|
|
|
Заемный капитал
|
24
|
9
|
0,309
|
2,1136
|
|
Привилегированные акции
|
|
10
|
0,127
|
1,2700
|
|
Обыкновенные акции
|
|
14
|
0,564
|
7,8960
|
|
|
|
|
|
|
Средневзвешенная стоимость капитала
|
|
|
1
|
11,2796
|
6. Текущая
цена одной обыкновенной акции компании составляет 34 $.
Ожидаемая в следующем году величина дивиденда 2,34 $. Кроме
того, предприятие планирует ежегодный прирост дивидендов 2 %.
Определить стоимость обыкновенного капитала предприятия.
7. Предприятие
XXX является относительно стабильной компанией с величиной b=0,8. Предприятие YYY в
последнее время испытывало колебания состояния роста и падения своих доходов,
что привело к величине b=1,8. Величина
процентной ставки безрискового вложения капитала равна 5,6 %, а
средняя по фондовому рынку 13,4 %. Определить стоимость капитала
компаний с помощью ценовой модели капитальных активов. Дать интерпретацию
полученным значениям стоимостей капиталов.
8. Ожидается,
что прибыль, дивиденды и рыночная цена акции компании ААА будут иметь
ежегодный рост на 4 %. В настоящее время акции компании продаются по 16 $ за
штуку, ее последний дивиденд составил 1,80 $ и компания выплатит 1,88
$ в конце текущего года.
а). Используя модель
прогнозируемого роста дивидендов, определите стоимость собственного капитала
предприятия.
б). Показатель b=1,68,
величина процентной ставки безрискового вложения капитала равна
9 %, а средняя по фондовому рынку 13 %.
Оцените стоимость собственного капитала компании, используя ценовую модель
капитальных активов.
в). Средняя прибыльность на рынке ссудного капитала составляет 11,75 %, и
предприятие рассматривает возможную премию за риск в объеме 4 %. Какова
будет оценка стоимости капитала с помощью модели премии за риск?
г). Сравните полученные оценки.
Какую из них следует принять при оценке эффективности инвестиций?
9. Рыночная
стоимость обыкновенных акций компании АВС составляет 800 000 $, привилегированные акции составляют 300 000 $, а общий заемный капитал 500 000 $.
Стоимость собственного капитала равна 18 %,
привилегированных акций 11 %, а облигаций компании 9 %. Необходимо определить
взвешенную среднюю стоимость капитала компании при ставке налога Т=24%.
4. ОСНОВНЫЕ
КРИТЕРИИ ЭФФЕКТИВНОСТИ ИНВЕСТИЦИОННОГО ПРОЕКТА И МЕТОДЫ ИХ ОЦЕНКИ.
4. 1. Общая характеристика
методов оценки эффективности.
Международная практика оценки
эффективности инвестиций существенно базируется на концепции временной
стоимости денег и основана на следующих принципах:
1. Оценка
эффективности использования инвестируемого капитала производится путем
сопоставления денежного потока (Cash Flow), который формируется в процессе реализации инвестиционного
проекта и исходной инвестиции. Проект признается эффективным, если
обеспечивается возврат исходной суммы инвестиций и требуемая доходность для
инвесторов, предоставивших капитал.
2. Инвестируемый
капитал равно как и денежный поток приводится к настоящему времени или к
определенному расчетному году (который как правило предшествует началу
реализации проекта).
3. Процесс
дисконтирования капитальных вложений и денежных потоков производится по
различным ставкам дисконта, которые определяются в зависимости от особенностей
инвестиционных проектов. При определении ставки дисконта учитываются структура
инвестиций и стоимость отдельных составляющих капитала.
Суть всех методов оценки
базируется на следующей простой схеме: Исходные инвестиции при реализации
какого-либо проекта генерируют денежный поток CF1,
CF2, ... , CFn. Инвестиции признаются
эффективными, если этот поток достаточен для:
- возврата
исходной суммы капитальных вложений и
- обеспечения
требуемой отдачи на вложенный капитал.
Наиболее распространены
следующие показатели эффективности капитальных вложений:
- дисконтированный
срок окупаемости (DPB);
- чистое
современное значение инвестиционного проекта (NPV);
- внутренняя
норма прибыльности (доходности, рентабельности) (IRR).
Данные показатели, равно как
и соответствующие им методы, используются в двух вариантах:
- для определения
эффективности независимых инвестиционных проектов (так называемая
абсолютная эффективность), когда делается вывод о том принять проект или
отклонить,
- для определения
эффективности взаимоисключающих друг друга проектов (сравнительная эффективность),
когда делается вывод о том, какой проект принять из нескольких
альтернативных.
4. 2. Метод
дисконтированного периода окупаемости.
Рассмотрим этот метод на
конкретном примере анализа двух взаимоисключающих друг друга проектов.
Пример. Пусть
оба проекта предполагают одинаковый объем инвестиций 1 000 $ и рассчитаны на четыре года.
Проект 1
генерирует следующие денежные потоки по годам: 500, 400, 300, 100, а Проект 2:
100, 300, 400, 600. Стоимость капитала проекта оценена на уровне 10 %. Расчет
дисконтированного срока окупаемости осуществляется с помощью следующих таблиц:
|
Проект 1.
|
|
|
|
|
|
|
|
|
|
|
|
|
|
|
|
|
|
|
|
|
|
Годы реализации проекта
|
|
0
|
1
|
2
|
3
|
4
|
Итого
|
|
|
|
|
|
IC
|
|
|
|
|
|
|
Денежный поток
|
|
|
CF
|
-1 000
|
500,00
|
400,00
|
300,00
|
100,00
|
300
|
|
Дисконтный множитель
|
0,1
|
|
1
|
0,90909
|
0,82645
|
0,75131
|
0,68301
|
|
|
Дисконтированный денежный поток
|
DCF
|
-1 000
|
454,55
|
330,58
|
225,39
|
68,30
|
78,82
|
|
Накопленный диск. денежный поток
|
DCF
|
-1 000
|
-545,45
|
-214,88
|
10,52
|
78,82
|
|
|
|
|
|
|
|
|
|
|
|
|
|
DPB1=2+214,88/225,39=
|
2,9533
|
|
|
|
|
|
|
|
В третьей строке таблицы
помещены дисконтированные значения денежных доходов предприятия вследствие
реализации инвестиционного проекта. В данном случае уместно рассмотреть
следующую интерпретацию дисконтирования: приведение денежной суммы к настоящему
моменту времени соответствует выделению из этой суммы той ее части, которая
соответствует доходу инвестора, который предоставляется ему за то, что он
предоставил свой капитал. Таким образом, оставшаяся часть денежного потока
призвана покрыть исходный объем инвестиции. В четвертой строке таблицы
содержатся значения непокрытой части исходной инвестиции. С течением времени
величина непокрытой части уменьшается. Так, к концу второго года непокрытыми
остаются только $214, и поскольку дисконтированной значение денежного потока в
третьем году составляет $225, становится ясным, что период покрытия инвестиции
составляет два полных года и какую-то часть года.
Аналогично для второго проекта
расчетная таблица и расчет дисконтированного периода окупаемости имеют
следующий вид.
|
Проект 2.
|
|
|
|
|
|
|
|
|
|
|
|
|
|
|
|
|
|
|
|
|
|
Годы реализации проекта
|
|
0
|
1
|
2
|
3
|
4
|
Итого
|
|
|
|
|
|
IC
|
|
|
|
|
|
|
Денежный поток
|
|
|
CF
|
-1 000
|
100,00
|
300,00
|
400,00
|
600,00
|
400
|
|
Дисконтный множитель
|
0,1
|
|
1
|
0,90909
|
0,82645
|
0,75131
|
0,68301
|
|
|
Дисконтированный денежный поток
|
DCF
|
-1 000
|
90,91
|
247,93
|
300,53
|
409,81
|
49,18
|
|
Накопленный диск. денежный поток
|
DCF
|
-1 000
|
-909,09
|
-661,16
|
-360,63
|
49,18
|
|
|
|
|
|
|
|
|
|
|
|
|
|
DPB2=3+360,63/409,81=
|
3,88
|
|
|
|
|
|
|
|
На основе результатов расчетов
делается вывод о том, что проект А лучше, поскольку он имеет меньший
дисконтированный период окупаемости.
Существенным недостатком метода
дисконтированного периода окупаемости является то, что он учитывает только
начальные денежные потоки, именно те потоки, которые укладываются в период
окупаемости. Все последующие денежные потоки не принимаются во внимание в
расчетной схеме. Так, если бы в рамках второго проекта в последний год поток
составил, например $1000, то результат расчета дисконтированного периода
окупаемости не изменился бы, хотя совершенно очевидно, что проект станет в этом
случае гораздо более привлекательным.
4. 3. Метод чистого
современного значения (NPV - метод).
Этот метод основан на
использовании понятия чистого современного значения (Net Present Value):
(4.1), где:
CF - денежный поток, соответствующего периода;
IC – инвестируемый капитал;
r - стоимость капитала, привлеченного для инвестиционного
проекта.
В соответствии с сущностью
метода современное значение всех входных денежных потоков сравнивается с
современным значением выходных потоков, обусловленных капитальными вложениями
для реализации проекта. Разница между первым и вторым есть чистое современное
значение, величина которого определяет правило принятия решения.
- для отдельного
проекта: если NPV больше или равно нулю, то проект принимается;
- для нескольких
альтернативных проектов: принимается тот проект, который имеет большее
значение NPV, если только оно положительное.
Пример. Руководство предприятия собирается
внедрить новую машину, которая выполняет операции, производимые в настоящее
время вручную. Машина стоит вместе с установкой 5000$ со сроком эксплуатации 5
лет и нулевой ликвидационной стоимостью. По оценкам финансового отдела
предприятия внедрение машины за счет экономии ручного труда позволит обеспечить
дополнительный денежный поток в размере 1800$ в год. На четвертом году
эксплуатации машина потребует ремонт стоимостью 300$.
Экономически целесообразно ли внедрять новую машину, если
стоимость капитала предприятия составляет 20%.
|
№
|
Наименование показателей
|
|
Сумма
|
Дисконтный
|
Дисконтир.
|
|
|
|
|
|
|
множитель
|
значение
|
|
|
|
|
|
|
|
|
|
1
|
Инвестированный капитал
|
|
5 000,00
|
|
5 000,00
|
|
2
|
Стоимость инвестированного капитала, %
|
20
|
|
|
|
3
|
Затраты на ремонт (4 год)
|
|
300,00
|
0,482253086
|
144,68
|
|
4
|
Денежные потоки (5 лет)
|
|
1 800,00
|
2,99061214
|
5 383,10
|
|
|
|
|
|
|
|
|
|
Net Present Value NPV
|
|
|
|
238,43
|
Сейчас уместно остановиться на
интерпретации значения NPV. Очевидно, что сумма 238,43$
представляет собой некоторый “запас прочности”, призванный компенсировать
возможную ошибку при прогнозировании денежных потоков. Американские финансовые
менеджеры говорят это деньги, отложенные на “черный день”.
Рассмотрим теперь вопрос зависимости показателя и, следовательно,
сделанного на его основе вывода от нормы доходности инвестиций. Другими
словами, в рамках данного примера ответим на вопрос, что если показатель
доходности инвестиций (стоимость капитала предприятия) станет больше. Как
должно измениться значение NPV?
Расчет показывает, что при r=24%, NPV=(-185,20$), то
есть критерий является отрицательным и проект следует отклонить.
|
№
|
Наименование показателей
|
|
Сумма
|
Дисконтный
|
Дисконтир.
|
|
|
|
|
|
|
множитель
|
значение
|
|
|
|
|
|
|
|
|
|
1
|
Инвестированный капитал
|
|
5 000,00
|
|
5 000,00
|
|
2
|
Стоимость инвестированного капитала, %
|
24
|
|
|
|
3
|
Затраты на ремонт (4 год)
|
|
300,00
|
0,422973598
|
126,89
|
|
4
|
Денежные потоки (5 лет)
|
|
1 800,00
|
2,492176783
|
4 941,69
|
|
|
|
|
|
|
|
|
|
Net Present Value NPV
|
|
|
|
-185,20
|
Интерпретация этого феномена
может быть проведена следующим образом. О чем говорит отрицательное значение NPV?
О том, что исходная инвестиция не окупается, т.е. положительные денежные
потоки, которые генерируются этой инвестицией не достаточны для компенсации, с
учетом стоимости денег во времени, исходной суммы капитальных вложений.
Вспомним, что стоимость собственного капитала компании - это доходность
альтернативных вложений своего капитала, которое может сделать компания. При r=20%
компании более выгодно вложить деньги в собственное оборудование, которое за
счет экономии генерирует денежный поток $1800 в течение ближайших пяти лет;
причем каждая из этих сумм в свою очередь инвестируется по 20% годовых. При r=24%
компании более выгодно сразу же инвестировать имеющиеся у нее $5,000 под 24%
годовых, нежели инвестировать в оборудование, которое за счет экономии будет
“приносить” денежный доход $1,800, который в свою очередь будет инвестироваться
под 24% годовых.
Общий вывод таков: при
увеличении нормы доходности инвестиций (стоимости капитала инвестиционного
проекта) значение критерия NPV уменьшается.
Для полноты представления
информации, необходимой для расчета NPV, приведем типичные денежные
потоки.
Типичные входные денежные
потоки:
- дополнительный
объем продаж и увеличение цены товара;
- уменьшение
валовых издержек (снижение себестоимости товаров);
- остаточное
значение стоимости оборудования в конце последнего года инвестиционного
проекта (так как оборудование может быть продано или использовано для
другого проекта);
- высвобождение
оборотных средств в конце последнего года инвестиционного проекта (закрытие
счетов дебиторов, продажа остатков товарно-материальных запасов, продажа
акций и облигаций других предприятий).
Типичные выходные потоки:
- начальные
инвестиции в первый год(ы) инвестиционного проекта;
- увеличение
потребностей в оборотных средствах в первый год(ы) инвестиционного проекта
(увеличение счетов дебиторов для привлечения новых клиентов, приобретение
сырья и комплектующих для начала производства);
- ремонт и
техническое обслуживание оборудования;
- дополнительные
непроизводственные издержки (социальные, экологические и т. п.).
Ранее было отмечено, что
результирующие чистые денежные потоки, призваны обеспечить возврат
инвестированной суммы денег и доход для инвесторов. Рассмотрим, как происходит
разделение каждой денежной суммы на эти две части с помощью следующего
иллюстрирующего примера.
Пример.
Предприятие планирует вложить деньги в приобретение нового приспособления,
которое стоит $3,170 и имеет срок службы 4 года с нулевой остаточной
стоимостью. Внедрение приспособления по оценкам позволяет обеспечить входной
денежный поток $1,000 в течение каждого года. Руководство предприятия позволяет
производить инвестиции только в том случае, когда это приводит к отдаче хотя бы
10% в год.
Таким образом, NPV=-0,135
и проект принимается.
Дальнейший анализ состоит в распределении 1000$ входного
потока на две части:
- возврат
некоторой части исходной инвестиции,
- отдача
от использования инвестиции (доход инвестору).
|
№
|
Инвестиции по отношению
|
Денежный
|
Отдача от
|
Возврат
|
Непокрытая
|
|
к данному году
|
поток
|
инвестиций
|
инвестиций
|
инвест. на
|
|
|
|
|
|
|
конец года
|
|
|
|
|
гр.2*10%
|
гр.3-гр.4
|
гр.2-гр.5
|
|
1
|
|
2
|
3
|
4
|
5
|
6
|
|
|
|
|
|
|
|
|
1
|
|
3 170,00
|
1 000,00
|
317,00
|
683,00
|
2 487,00
|
|
2
|
|
2 487,00
|
1 000,00
|
248,70
|
751,30
|
1 735,70
|
|
3
|
|
1 735,70
|
1 000,00
|
173,57
|
826,43
|
909,27
|
|
4
|
|
909,27
|
1 000,00
|
90,93
|
909,07
|
0,20
|
|
|
|
|
|
|
|
|
|
|
|
|
3 169,80
|
|
4. 4. Влияние инфляции на
оценку эффективности инвестиций.
Анализ влияния инфляции может
быть произведен для двух вариантов
- темп инфляции
различный по отдельным составляющим ресурсов (входных и выходных),
- темп инфляции
одинаковый для различных составляющих затрат и издержек.
В рамках первого подхода,
который в большей степени отвечает реальной ситуации, особенно в странах с
нестабильной экономикой, метод чистого современного значения используется в
своей стандартной форме, но все составляющие расходов и доходов, а также
показатели дисконта корректируются в соответствии с ожидаемым темпом инфляции
по годам. Важно отметить, что произвести состоятельный прогноз различных темпов
инфляции для различных типов ресурсов представляется чрезвычайно трудной и
практически неосуществимой задачей.
В рамках второго подхода влияние
инфляции носит своеобразный характер: инфляция влияет на числа (промежуточные
значения), получаемые в расчетах, но не влияет на конечный результат и вывод
относительно судьбы проекта. Рассмотрим это явление на конкретном примере.
Сначала оценим проект без учета
инфляции. Решение представлено в табл. 7.6.
Из расчетов очевиден вывод:
проект следует принять, отмечая высокий запас прочности.
Теперь учтем в расчетной схеме
эффект инфляции. Прежде всего, необходимо учесть влияние инфляции на требуемое
значение показателя отдачи. Для этого вспомним следующие простые рассуждения.
Пусть предприятие планирует реальную прибыльность своих вложений в соответствии
с процентной ставкой 16 %. Это означает, что при инвестировании 36000 через год
оно должно получить 36000*(1+0,16)=41760. Если темп инфляции составляет
10 %, то необходимо скорректировать эту сумму в соответствии с темпом: 41760*(1+0,10)
= 45936. Общий расчет может быть записан следующим образом: 36000*(1+0,16)*(1+0,10)=45936.
В общем случае, если r - реальная
процентная ставка прибыльности, а Т - темп инфляции, то номинальная
(контрактная) норма прибыльности запишется с помощью формулы:
Рассчитаем величину критерия NPV
с учетом инфляции, т.е. пересчитаем все денежные потоки и продисконтируем их с
показателем дисконта 27,6%.
|
№
|
Показатели
|
Сумма
|
Индекс
|
Приведенный
|
Дисконтный
|
Настоящее
|
|
|
|
цен
|
поток DCF
|
множитель
|
значение
|
|
|
|
0,1
|
|
0,276
|
|
|
|
|
|
|
|
|
|
Инвестиции
|
36 000,00
|
1,00000
|
36 000,00
|
1,00000
|
36 000,00
|
|
1
|
Экономия
|
20 000,00
|
1,10000
|
22 000,00
|
0,78370
|
17 241,38
|
|
2
|
Экономия
|
20 000,00
|
1,21000
|
24 200,00
|
0,61418
|
14 863,26
|
|
3
|
Экономия
|
20 000,00
|
1,33100
|
26 620,00
|
0,48134
|
12 813,15
|
|
|
|
|
|
|
|
|
Net Present Value NPV
|
|
|
|
8 917,79
|
Ответы обоих решений в точности
совпадают. Результаты получились одинаковыми, так как мы скорректировали на инфляцию,
как входной поток денег, так и показатель отдачи.
По этой причине большая часть
фирм западных стран не учитывает инфляцию при расчете эффективности капитальных
вложений.
4. 5. Внутренняя норма
прибыльности (IRR).
По определению, внутренняя
норма доходности (IRR) - это
такое значение показателя дисконта, при котором современное значение инвестиции
равно современному значению потоков денежных средств за счет инвестиций, или
значение показателя дисконта, при котором обеспечивается нулевое значение
чистого настоящего значения инвестиционных вложений.
Экономический смысл внутренней
нормы прибыльности состоит в том, что это такая норма доходности инвестиций,
при которой предприятию одинаково эффективно инвестировать свой капитал под IRR % в
какие-либо финансовые инструменты или произвести реальные инвестиции, которые
генерируют денежный поток, каждый элемент которого, в свою очередь, инвестируется
по IRR %.
Математическое определение
внутренней нормы прибыльности предполагает решение следующего уравнения:
(4.2), где:
IС - значение инвестиции;
CF - входной денежный поток;
IRR- внутренняя норма доходности.
n- продолжительность процесса инвестирования.
Решая это уравнение, находим значение IRR. Схема
принятия решения на основе метода внутренней нормы прибыльности имеет вид:
- если значение
IRR выше или равно стоимости капитала, то проект принимается,
- если значение
IRR меньше стоимости капитала, то проект отклоняется.
Таким образом, IRR является как бы “барьерным
показателем”: если стоимость капитала выше значения IRR, то
“мощности” проекта недостаточно, чтобы обеспечить необходимый возврат вложенных
средств и, следовательно, проект следует отклонить.
В общем случае уравнение для определения IRR не
может быть решено в конечном виде, хотя существует ряд частных случаев, когда
это возможно. Рассмотрим пример, объясняющий сущность решения.
Пример. На
покупку машины требуется 16 950 $. Машина в течение 10 лет будет
экономить ежегодно 3 000 $.
Остаточная стоимость машины равна нулю. Найти IRR.
Найдем отношение требуемого
значения инвестиции к ежегодному притоку денег, которое будет совпадать с
множителем какого-либо (пока неизвестного) коэффициента дисконтирования.
Задача решена с помощью
программного комплекса мат. анализа MathCAD 14.
Значение множителя 5,65 для
серии равновеликих платежей 10 летнего периода реализации проекта
соответствует процентной ставке 12%. Таким образом, мы нашли и
подтвердили, что IRR=12%. Успех решения может быть обеспечен совпадением отношения
исходной суммы инвестиций к величине денежного потока с конкретным значением
множителя дисконта из финансовой таблицы. В общем случае необходимо использовать
интерполяцию.
Пример. Необходимо
оценить значение внутренней нормы доходности инвестиции объемом: 6 000
$ который генерирует денежный поток 1 500 $ в течение 10 лет.
Следуя прежней схеме, рассчитаем
коэффициент дисконта:
Значение множителя 4 для
серии равновеликих платежей 10 летнего периода реализации проекта
соответствует процентной ставке находящейся в интервале между 20 и 24%.
Используя линейную интерполяцию
находим:
Существуют другие методы
определения IRR, которые предполагают использование специального
финансового калькулятора или электронного процессора EXCEL.
4. 6. Сравнение NPV и IRR
методов.
К сожалению NPV и IRR
методы могут конфликтовать друг с другом. Рассмотрим этот феномен на конкретном
примере. Произведем оценку сравнительной эффективности двух проектов с
одинаковыми исходными инвестициями, но с различными входными денежными
потоками.
Денежные потоки альтернативных
проектов.
|
Проект А
|
|
|
|
|
|
|
|
|
|
Год
|
CF
|
Дисконтный множитель
|
|
Дисконтированные потоки
|
|
|
|
0
|
0,05
|
0,1
|
0,15
|
0
|
0,05
|
0,1
|
0,15
|
|
0
|
-1 000
|
1,00000
|
1,00000
|
1,00000
|
1,00000
|
-1 000
|
-1 000
|
-1 000
|
-1 000
|
|
1
|
500
|
1,00000
|
0,95238
|
0,90909
|
0,86957
|
500
|
476
|
455
|
435
|
|
2
|
400
|
1,00000
|
0,90703
|
0,82645
|
0,75614
|
400
|
363
|
331
|
302
|
|
3
|
300
|
1,00000
|
0,86384
|
0,75131
|
0,65752
|
300
|
259
|
225
|
197
|
|
4
|
100
|
1,00000
|
0,82270
|
0,68301
|
0,57175
|
100
|
82
|
68
|
57
|
|
|
|
|
|
|
|
|
|
|
|
NPV-профиль проекта
|
|
|
|
300,00
|
180,42
|
78,82
|
-8,33
|
|
Проект B
|
|
|
|
|
|
|
|
|
|
Год
|
CF
|
Дисконтный множитель
|
|
Дисконтированные потоки
|
|
|
|
0
|
0,05
|
0,1
|
0,15
|
0
|
0,05
|
0,1
|
0,15
|
|
0
|
-1 000
|
1,00000
|
1,00000
|
1,00000
|
1,00000
|
-1 000
|
-1 000
|
-1 000
|
-1 000
|
|
1
|
100
|
1,00000
|
0,95238
|
0,90909
|
0,86957
|
100
|
95
|
91
|
87
|
|
2
|
300
|
1,00000
|
0,90703
|
0,82645
|
0,75614
|
300
|
272
|
248
|
227
|
|
3
|
400
|
1,00000
|
0,86384
|
0,75131
|
0,65752
|
400
|
346
|
301
|
263
|
|
4
|
600
|
1,00000
|
0,82270
|
0,68301
|
0,57175
|
600
|
494
|
410
|
343
|
|
|
|
|
|
|
|
|
|
|
|
NPV-профиль проекта
|
|
|
|
400,00
|
206,50
|
49,18
|
-80,14
|
Для дальнейшего анализа
используем NPV-профили проектов, которые по определению
представляют собой зависимость показателей NPV от стоимости капитала
проекта.
Графики NPV-профилей для проектов будут иметь вид,
представленный на рисунке:
Решив уравнения, определяющие
внутреннюю норму доходности, получим:
- для проекта А IRR=14.5%,
- для проекта В IRR=11.8%.
Таким образом, по критерию
внутренней нормы доходности предпочтение следует отдать проекту А, как имеющему
большее значение IRR. В то же время NPV-метод неоднозначно дает
вывод в пользу проекта B.
Проанализировав соотношение NPV-профилей,
которые имеют пересечение в точке r*,
составляющей в данном случае значение 7.2%, приходим к следующему выводу:
- если r
>r*, оба метода дают одинаковый
результат,
- если r
<r*, методы конфликтуют - NPV-метод принимает
проект В, IRR-метод принимает проект А.
Следует отметить, что этот
конфликт имеет место только при анализе взаимоисключающих друг друга проектов.
Для отдельно взятых проектов оба метода дают один и тот же результат,
положительное значение NPV всегда соответствует ситуации, когда
внутренняя норма доходности превышает стоимость капитала.
4. 7. Принятие решения по
критерию наименьшей стоимости.
Существуют инвестиционные
проекты, в которых трудно или невозможно вычислить денежный доход. Подобного
рода проекты возникают на предприятии, когда оно собирается модифицировать
технологическое или транспортное оборудование, которое принимает участие во многих
разноплановых технологических циклах и невозможно оценить результирующий
денежный поток. В этом случае в качестве критерия для принятия решения о
целесообразности инвестиций выступает стоимость эксплуатации.
Пример. Трактор
участвует во многих производственных процессах. Нужно решить эксплуатировать
старый или купить новый. Исходные данные для принятия решения имеют следующий
вид.
|
Исходные данные.
|
Проект А (старый тракт.)
|
Проект В (новый тракт.)
|
|
|
|
Поток
|
Дисконт.
|
Дисконт.
|
Поток
|
Дисконт.
|
Дисконт.
|
|
|
|
|
множ.
|
поток
|
|
множ.
|
поток
|
|
|
|
|
|
|
|
|
|
|
Исходные инвестиции
|
4000
|
1
|
4000,0
|
25000
|
1
|
25000
|
|
Остаточная стоимость
|
3000
|
1
|
3000,0
|
5000
|
0,5645
|
2822,4
|
|
Стоимость капитала
|
0,1
|
|
|
0,1
|
|
|
|
Срок реализации проекта
|
6
|
|
|
6
|
|
|
|
Годовые экспл. расходы
|
15000
|
4,35526
|
65329
|
9000
|
4,35526
|
39197
|
|
|
|
|
|
|
|
|
|
|
Текущее значение затрат
|
|
66328,9
|
|
|
61375,0
|
Современное значение
дисконтированных издержек говорит в пользу покупки новой машины. В этом случае
потери будут на 4953,9 $ меньше.
4. 8. Допущения, принятые
при оценке эффективности.
В заключение отметим одно
важное для понимания инвестиционных технологий обстоятельство: какие допущения
принимаются при расчете показателей эффективности и в какой мере они
соответствуют реальной практике.
При использовании всех методов
существенно были использованы следующие два допущения.
1. Потоки
денежных средств относятся на конец расчетного периода времени. На самом деле
они могут появляться в любой момент в течение рассматриваемого года. В рамках
рассмотренных выше инвестиционных технологий мы условно приводим все денежные
доходы предприятия к концу соответствующего года.
2. Денежные
потоки, которые генерируются инвестициями немедленно инвестируются в какой-либо
другой проект, чтобы обеспечить дополнительный доход на эти инвестиции. При
этом предполагается, что показатель отдачи второго проекта будет по крайней
мере таким же, как показатель дисконтирования анализируемого проекта.
Используемые допущения,
разумеется, не полностью соответствуют реальному положению дел, однако,
учитывая большую продолжительность проектов в целом, не приводят к серьезным
ошибкам в оценке эффективности.
Контрольные вопросы и
задания
1. Сформулируйте
основные принципы международной практики оценки эффективности инвестиций.
2. В чем
состоит основная схема оценки эффективности капитальных вложений с учетом
стоимости денег во времени?
3. Перечислите
основные показатели эффективности инвестиционных проектов.
4. В чем
сущность метода дисконтированного периода окупаемости?
5. Как
применяется метод дисконтированного периода окупаемости для сравнительной
эффективности альтернативных капитальных вложений?
6. Сформулируйте
основной принцип метода чистого современного значения.
7. Каким
критерием руководствуются при анализе сравнительной эффективности капитальных
вложений по методу чистого современного значения?
8. Какова
интерпретация чистого современного значения инвестиционного проекта?
9. Как
изменяется значение чистого современного значения при увеличении показателя
дисконта?
10. Какую
экономическую сущность имеет показатель дисконта в методе чистого современного
значения?
11. Перечислите
типичные входные и выходные денежные потоки, которые следует принимать во
внимание при расчете чистого современного значения инвестиционного проекта.
12. Как
распределяется ежегодный денежный доход предприятия, который получается за счет
капитального вложения?
13. Какие
два подхода используются для учета инфляции в процессе оценки эффективности
капитальных вложений?
14. Как
происходит учет инфляции при оценке показателя дисконта?
15. Дайте
определение внутренней нормы прибыльности инвестиционного проекта?
16. Сформулируйте
сущность метода внутренней нормы прибыльности.
17. Можно ли
в общем случае вычислить точное значение внутренней нормы прибыльности?
18. Какие
Вам известны методы расчета внутренней нормы прибыльности?
19. Как
использовать метод внутренней нормы прибыльности для сравнительного анализа
эффективности капитальных вложений?
20. Каким
подходом следует воспользоваться при сравнительной оценке эффективности
капитальных вложений, когда трудно или невозможно оценить денежный доход от
капитальных вложений?
Задания.
1. Предприятие
требует как минимум 14 % отдачи при инвестировании собственных средств. В
настоящее время предприятие располагает возможностью купить новое оборудование
стоимостью $84,900. Использование этого оборудования позволит увеличить объем
выпускаемой продукции, что в конечном итоге приведет к $15,000 дополнительного
годового денежного дохода в течение 15 лет использования оборудования.
Вычислите чистое современное
значение проекта, предположив нулевую остаточную стоимость оборудования через
15 лет.
Решение.
Чистое современное значение
оказалось положительным, что свидетельствует в пользу принятия проекта.
2. Предприятие
планирует новые капитальные вложения в течение двух лет: 120 000 $ в первом году и 70 000 $ - во втором. Инвестиционный
проект рассчитан на 8 лет с полным освоением вновь введенных мощностей лишь на
пятом году, когда планируемый годовой чистый денежный доход составит 62 000 $. Нарастание чистого годового денежного дохода в первые четыре
года по плану составит 30%, 50%, 70%, 90% соответственно по годам от первого до четвертого. Предприятие
требует как минимум 16 % отдачи при инвестировании денежных средств.
Необходимо определить:
- чистое
современное значение инвестиционного проекта,
- дисконтированный
срок окупаемости.
|
Годы
|
|
Потоки
|
|
Дисконт.
|
Дисконт.
|
Накопл.
|
|
Базовый
|
Коэфф.
|
Поток
|
множ.
|
поток
|
дисконт.
|
|
|
|
|
0,16
|
|
Инвестиции
|
|
|
|
|
|
0
|
|
|
-120000
|
1,000000
|
-120000
|
|
|
1
|
|
|
-70000
|
0,862069
|
-60345
|
|
|
Доходы
|
|
|
|
|
-120000
|
|
1
|
62000
|
0,3
|
18600
|
0,862069
|
16 034
|
-164310
|
|
2
|
62000
|
0,5
|
31000
|
0,743163
|
23 038
|
-141272
|
|
3
|
62000
|
0,7
|
43400
|
0,640658
|
27 805
|
-113468
|
|
4
|
62000
|
0,9
|
55800
|
0,552291
|
30 818
|
-82650
|
|
5
|
62000
|
1
|
62000
|
0,476113
|
29 519
|
-53131
|
|
6
|
62000
|
1
|
62000
|
0,410442
|
25 447
|
-27683
|
|
7
|
62000
|
1
|
62000
|
0,353830
|
21 937
|
-5746
|
|
8
|
62000
|
1
|
62000
|
0,305025
|
18 912
|
13166
|
|
|
|
|
|
|
|
|
NPV
|
|
|
|
13 166
|
|
Из таблицы видно, что число
полных лет окупаемости проекта составляет 7. Дисконтированный срок окупаемости
составит:
DPB=7+5746/18912=7,304
года.
3. Предприятие
имеет два варианта инвестирования имеющихся у него 100 000 $. В
первом варианте предприятие вкладывает в основные средства, приобретая новое
оборудование, которое через 6 лет (срок инвестиционного проекта) может быть
продано за 8 000 $; чистый
годовой денежный доход от такой инвестиции оценивается в 21 000 $.
Согласно второму варианту
предприятие может инвестировать деньги в рабочий капитал (товарно-материальные
запасы, увеличение дебиторских счетов) и это позволит получать 16 000 $ годового чистого денежного дохода в течение тех же 6 лет.
Необходимо учесть, что по окончании этого периода рабочий капитал
высвобождается (продаются товарно-материальные запасы, закрываются дебиторские
счета). Какой вариант следует предпочесть, если предприятие рассчитывает на 12 % отдачи
на инвестируемые им денежные средства? Воспользоваться методом чистого
современного значения.
Решение.
|
Исходные данные.
|
Проект А. Инв. в ОС
|
Проект В. Инв. в ТМЦ
|
|
|
|
Поток
|
Дисконт.
|
Дисконт.
|
Поток
|
Дисконт.
|
Дисконт.
|
|
|
|
|
множ.
|
поток
|
|
множ.
|
поток
|
|
r=
|
0,12
|
n=
|
6
|
|
|
|
|
|
|
Исходные инвестиции
|
100000
|
1
|
100000
|
100000
|
1
|
100000
|
|
Годовой эффект
|
|
21000
|
4,11141
|
86 340
|
16000
|
4,11141
|
65 783
|
|
Остаточная стоимость
|
8000
|
0,5066
|
4053,0
|
100000
|
0,5066
|
50663
|
|
|
|
|
|
|
|
|
|
|
NPV
|
|
|
|
|
-9607,4
|
|
|
16445,6
|
Предпочтительнее проект В,
инвестирование в товарно-материальные ценности.
4. Предприятие
планирует крупный инвестиционный проект, предусматривающий приобретение
основных средств и капитальный ремонт оборудования, а также вложение в
оборотные средства по схеме, представленной в таблице:
Необходимо рассчитать чистое
современное значение инвестиционного проекта и сделать вывод о его
эффективности при условии 12 % требуемой прибыльности предприятия на свои инвестиции.
Решение.
|
Годы
|
Потоки
|
|
Диск.
|
Дисконт. потоки
|
NPV
|
|
Инвест.
|
Доход
|
множ.
|
Инвест.
|
Доход
|
|
|
|
|
0,12
|
|
|
|
|
|
|
|
|
|
|
|
0
|
130000
|
|
1
|
130000
|
|
-130000
|
|
1
|
25000
|
20000
|
0,892857
|
22321
|
17857
|
-4464
|
|
2
|
20000
|
40000
|
0,797194
|
15944
|
31888
|
15944
|
|
3
|
|
40000
|
0,711780
|
|
28471
|
28471
|
|
4
|
|
40000
|
0,635518
|
|
25421
|
25421
|
|
5
|
15000
|
50000
|
0,567427
|
8511
|
28371
|
19860
|
|
6
|
10000
|
50000
|
0,506631
|
5066
|
25332
|
20265
|
|
7
|
|
20000
|
0,452349
|
|
9047
|
9047
|
|
8
|
|
70000
|
0,403883
|
|
28272
|
28272
|
|
|
|
|
|
|
|
|
|
|
|
181843
|
194659
|
12816
|
Проект следует принять,
поскольку его чистое современное значение положительное.
5. Предприятие
требует как минимум 18 % отдачи при инвестировании собственных средств. В настоящее время
предприятие располагает возможностью купить новое оборудование стоимостью 84 500 $. Использование этого оборудования позволит увеличить объем
выпускаемой продукции, что в конечном итоге приведет к 17 000 $ дополнительного годового денежного дохода в течение 15 лет
использования оборудования. Вычислите чистое современное значение проекта,
предположив, что после окончания проекта оборудование может быть продано по
остаточной стоимости 2 500 $.
6. Предприятие
планирует новые капитальные вложения в течение трех лет: 90 000 $ в первом году, 70 000 $ - во
втором и 50 000 $ - в третьем. Инвестиционный проект рассчитан на
10 лет с полным освоением вновь введенных мощностей лишь на пятом году, когда
планируемый годовой чистый денежный доход составит 75 000 $.
Нарастание чистого годового денежного дохода в первые четыре года по плану
составит 40 %, 50 %, 70 %, 90 % соответственно по годам от первого до четвертого. Предприятие
требует как минимум 18 % отдачи при инвестировании денежных средств.
Необходимо определить:
- чистое
современное значение инвестиционного проекта,
- дисконтированный
срок окупаемости.
Как изменится Ваше
представление об эффективности проекта, если требуемый показатель отдачи
составит 20 %.
7. Предприятие
имеет два варианта инвестирования имеющихся у него 200 000 $. В первом варианте предприятие вкладывает в основные средства,
приобретая новое оборудование, которое через 6 лет (срок инвестиционного проекта)
может быть продано за 14 000 $; чистый
годовой денежный доход от такой инвестиции оценивается в 53 000 $.
Согласно второму варианту предприятие может инвестировать деньги
частично: 40 000 $ в
приобретение новой оснастки, а оставшуюся сумму: 160 000 $ в
рабочий капитал (товарно-материальные запасы, увеличение дебиторских счетов).
Это позволит получать 34 000 $ годового чистого денежного дохода в
течение тех же шести лет. Необходимо учесть, что по окончании этого периода
рабочий капитал высвобождается (продаются товарно-материальные запасы,
закрываются дебиторские счета).
Какой вариант следует предпочесть, если предприятие рассчитывает на
14 % отдачи на инвестируемые им денежные средства? Воспользоваться
методом чистого современного значения.
8. Предприятие
рассматривает инвестиционный проект, предусматривающий приобретение основных
средств и капитальный ремонт оборудования, а также вложение в оборотные
средства по схеме, представленной в таблице:
Необходимо рассчитать чистое
современное значение инвестиционного проекта и сделать вывод о его
эффективности при условии 14 % требуемой прибыльности предприятия на свои инвестиции.
|
Годы
|
Потоки
|
|
Диск.
|
Дисконт. потоки
|
NPV
|
|
Инвест.
|
Доход
|
множ.
|
Инвест.
|
Доход
|
|
|
|
|
0,14
|
|
|
|
|
|
|
|
|
|
|
|
0
|
95000
|
|
1
|
95000
|
|
-95000
|
|
1
|
15000
|
15000
|
0,877193
|
13157,89
|
13158
|
0
|
|
2
|
10000
|
25000
|
0,769468
|
7694,675
|
19237
|
11542
|
|
3
|
10000
|
30000
|
0,674972
|
6749,715
|
20249
|
13499
|
|
4
|
|
40000
|
0,592080
|
|
23683
|
23683
|
|
5
|
8000
|
40000
|
0,519369
|
4154,949
|
20775
|
16620
|
|
6
|
7000
|
40000
|
0,455587
|
3189,106
|
18223
|
15034
|
|
7
|
|
30000
|
0,399637
|
|
11989
|
11989
|
|
8
|
|
55000
|
0,350559
|
|
19281
|
19281
|
|
|
|
|
|
|
|
|
|
|
|
129946
|
146595
|
16649
|
9. Проект, требующий
инвестиций в размере 160 000 $, предполагает получение годового
дохода в размере 30 000 $ на протяжении 15 лет. Оцените
целесообразность такой инвестиции, если коэффициент дисконтирования 15 %.
10. Проект рассчитан
на 15 лет и требует инвестиций в размере 150 000 $. В первые 5 лет
никаких поступлений не ожидается, однако в последующие 10 лет ежегодный доход
составит 50 000 $. Следует ли принять этот проект, если коэффициент
дисконтирования равен 15 %?
11.
Анализируются проекты:
|
Годы
|
Потоки
|
|
Дисконт
|
Дисконт. потоки
|
NPV
|
|
Инвест.
|
Доход
|
0,1
|
Инвест.
|
Доход
|
|
|
Проект
|
1
|
|
|
|
|
|
0
|
4000
|
|
1
|
4000
|
|
-4000
|
|
1
|
|
2500
|
0,909091
|
|
2273
|
2273
|
|
2
|
|
3000
|
0,826446
|
|
2479
|
2479
|
|
|
|
|
|
|
|
|
|
|
|
4000
|
4752
|
752
|
|
Проект
|
2
|
|
|
|
|
|
0
|
2000
|
|
1
|
2000
|
|
-2000
|
|
1
|
|
1200
|
0,909091
|
|
1091
|
1091
|
|
2
|
|
1500
|
0,826446
|
|
1240
|
1240
|
|
|
|
|
|
|
|
|
|
|
|
2000
|
2331
|
331
|
Для первого проекта функция NPV меняет знак с минуса на плюс при изменении цены капитала с 0,23 до
0,24. Для второго проекта соответственно с 0,21 до
0,22.
|
Годы
|
Потоки
|
|
Дисконт
|
Дисконт. потоки
|
NPV
|
|
Инвест.
|
Доход
|
0,23312
|
Инвест.
|
Доход
|
|
|
Проект
|
1
|
|
|
|
|
|
0
|
4000
|
|
1
|
4000
|
|
-4000
|
|
1
|
|
2500
|
0,810951
|
|
2027
|
|
2
|
|
3000
|
0,657642
|
|
1973
|
1973
|
|
|
|
|
|
|
|
|
|
|
|
4000
|
4000
|
0
|
|
Годы
|
Потоки
|
|
Дисконт
|
Дисконт. потоки
|
NPV
|
|
Инвест.
|
Доход
|
0,2164
|
Инвест.
|
Доход
|
|
|
Проект
|
2
|
|
|
|
|
|
0
|
2000
|
|
1
|
2000
|
|
-2000
|
|
1
|
|
1200
|
0,822098
|
|
987
|
987
|
|
2
|
|
1500
|
0,675845
|
|
1014
|
1014
|
|
|
|
|
|
|
|
|
|
|
|
2000
|
2000
|
0
|
12. Для
каждого из нижеприведенных проектов рассчитайте NPV и IRR, если
значение коэффициента дисконтирования равно 20 %.
|
Годы
|
|
Потоки
|
|
|
ААА
|
ВВВ
|
ССС
|
|
|
|
|
|
0
|
-370
|
-240
|
-263,5
|
|
1
|
|
60
|
100
|
|
2
|
|
60
|
100
|
|
3
|
|
60
|
100
|
|
4
|
|
60
|
100
|
|
5
|
1000
|
|
100
|
13. Величина
требуемых инвестиций по проекту равна 18 000 $; предполагаемые
доходы: в первый год: 1 500 $, в последующие 8 лет по 3 600
$ ежегодно. Оцените целесообразность принятия проекта, если стоимость
капитала 10 %.
14. Предприятие
рассматривает целесообразность приобретения новой технологической линии. На
рынке имеются две модели со следующими параметрами. Какой проект Вы
предпочтете?
|
№
|
Наименование показателей
|
Проект 1
|
Проект 2
|
|
|
|
|
|
|
|
1
|
Инвестиции
|
|
-9500
|
-13000
|
|
2
|
Генерируемый
годовой доход
|
2100
|
2250
|
|
3
|
Срок эксплуатации
|
|
8
|
12
|
|
4
|
Ликвидационная стоимость
|
500
|
800
|
|
5
|
Требуемая норма доходности
|
0,11
|
0,11
|
5. АНАЛИЗ БЕЗУБЫТОЧНОСТИ И
ЦЕЛЕВОЕ ПЛАНИРОВАНИЕ ПРИБЫЛИ В ПРОЦЕССЕ ИНВЕСТИЦИОННОГО ПРОЕКТИРОВАНИЯ.
5. 1. Общее понятие и
назначение анализа безубыточности.
Анализ безубыточности и целевое
планирование прибыли является неотъемлемой частью инвестиционного
проектирования. Этот тип анализа показывает принципиальную выполнимость проекта
и одновременно позволяет выяснить основные узкие места проекта в смысле достижения
заданного значения прибыли, которая обеспечивает требуемую эффективность
инвестиционного проекта.
Как показывает практика,
наиболее эффективны те проекты, в соответствии с которыми производственные
ресурсы функционируют на уровне близком к уровню полной мощности. Однако,
несмотря на это некоторые проекты приносят убытки в течение первых нескольких
лет после их реализации - с годами ситуация улучшается, в то время, как другие
продолжают работать с убытком достаточно долго. Причин для столь плохих
результатов может быть очень много, например: задержки в реализации; дефекты в
схеме проекта; дефицит основных элементов; плохое качество сырья; недостаточный
объем рынка; плохое качество продукции; ценовая система и т. д.
Если проект функционирует на
более низком уровне использования производственных мощностей, доходы не могут
покрыть все издержки. Когда уровень использования производственных мощностей
возрастает, то можно надеяться, что будет достигнута ситуация, когда общие
доходы будут равны общим издержкам. В этой точке нет ни прибыли, ни убытков.
Такая ситуация называется ситуацией безубыточности. Таким образом,
мы подходим к понятию безубыточности.
Анализ безубыточности или
анализ издержек, прибыли и объема производства, как
его иногда называют - это аналитический подход к изучению взаимосвязи
между издержками и доходам при различных уровнях производства.
Анализ безубыточности
используется не только для целей инвестиционного проектирования. Этот анализ
полезен также для текущего управления, так как он обеспечивает информацией для
принятия решения путем анализа влияния изменений в цене продукции, производстве
и объемах продаж и издержках, а так же прогнозирования прибылей, убытков и
потоков денежных средств.
В процессе проведения анализа
безубыточности в его стандартном (классическом варианте) принимаются следующие
допущения:
1. Используется
классификация издержек по характеру их поведения при изменении объема
реализации готовой продукции. Издержки подразделяются на постоянные и
переменные
2. Предполагается,
что вся произведенная продукция будет продана в течение планового периода времени.
3. В
качестве критерия для анализа принимается прибыль до выплаты налогов, а не
чистая прибыль.
Все последующие вопросы анализа
безубыточности будут рассматриваться в основном в рамках этих допущений.
5. 2. Классификация
издержек.
В рамках анализа безубыточности
издержки подразделяют на два вида: переменные и постоянные. Переменные
издержки (Variable
Costs) - это такие издержки, которые меняются (в целом) приблизительно
прямо пропорционально увеличению или уменьшению объема производства (в
предположении, что издержки на единицу продукции остаются почти постоянными,
стабильными). Постоянные издержки (Fixed
Costs) - это такие издержки, которые не меняются, когда меняется уровень
производства за какой-то определенный период времени (например, год).
К переменным издержкам
относятся затраты на сырье и материалы, энергию и коммунальные услуги
(используемые в процессе производства), комиссионные с продаж (если они
определяются объемом продаж), зарплата рабочим (при условии, что она может быть
увеличена или уменьшена при увеличении или уменьшении объема производства).
Примерами постоянных издержек
являются затраты на амортизацию зданий и оборудования, амортизацию
предоперационных расходов, аренду и лизинг (которые не изменяются при изменении
объема продаж и объема производства), проценты по кредитам, заработная плата
служащих, управляющих, контролеров (которое по предположению не изменяется при
изменении уровня производства), общие административные расходы.
Некоторые из этих издержек,
например, заработная плата или общие административные расходы, могут изменяться
не совсем прямо пропорционально объему и в то же время не быть постоянными. Они
могут быть обозначены как смешанные (полупеременные).
Такие издержки можно разбить
на переменные и постоянные компоненты и рассматривать их отдельно. Следует
также заметить, что в анализе безубыточности рассматриваются операции за
определенный конкретный период времени, например, операции, которые ожидаются в
следующем году или в определенном году в будущем. Они также могут быть и за
месяц или за любой другой период времени.
Так, например, величина платы
за аренду офиса или производственного помещения может быть фиксирована в
течение одного или нескольких лет, но может изменяться в долгосрочной
перспективе.
При изменении объема
производства и реализации продукции предприятия общие постоянные издержки
остаются неизменными, а постоянные издержки, приходящиеся на единицу продукции,
изменяются. Следовательно, в качестве инварианта при анализе постоянных
издержек используются суммарные за период времени затраты предприятия.
Следует отметить, что постоянные
издержки могут меняться при существенном изменении объема производства. Причем
это изменение носит, как правило, скачкообразный характер. Например, при
увеличении объема производства может потребоваться аренда дополнительного
производственного помещения и покупка нового оборудования, что приведет к
увеличению постоянных издержек на сумму арендных платежей новых помещений, а
также эксплуатационных и амортизационных издержек по новому оборудованию.
Смешанные издержки (Mixed
Costs). В реальной практике оценки проектов часто встречаются издержки,
содержащие в себе компоненты переменных и постоянных затрат. Классическим
примером таких издержек является арендная плата, которая согласно договора
между арендатором и арендодателем разделяется на две части: арендатор должен
платить $10,000 в месяц и $0.5 за каждый час работы производственного
оборудования, установленного на арендуемых площадях.
Такие примеры смешанных
издержек встречаются редко. На практике часто трудно или нецелесообразно
выделять переменную и постоянную компоненты затрат, анализируя результирующие
издержки по их отдельным элементам, число которых может достигать нескольких десятков.
Более продуктивный подход заключается в анализе конкретных данных за несколько
прошедших периодов (месяцев) и построении на этой основе зависимости суммарных
затрат от объема реализации продукции.
Суть всех методов базируется на
конечном представлении суммарных издержек, которое графически иллюстрируется на
рисунке.
Рисунок. Графическое представление суммарных издержек (отрезок AVC) и дохода (отрезок OP).
На основе конкретных данных
строится прямая, которая аппроксимируя фактические данные, дает представление о
зависимости суммарных издержек от объема реализации. Точка пересечения этой
прямой с вертикальной осью является оценкой постоянных затрат.
Пусть, к примеру, необходимо
проанализировать затраты, связанные с доставкой товара, которые, очевидно,
являются смешанными. Фактические данные по этим затратам содержатся в таблице (количество
проданных товаров отсортировано по возрастанию):
|
№
|
Месяца
|
Количество
|
Затраты на
|
|
года
|
проданных
|
|
доставку
|
|
|
|
товаров
|
шт.
|
абсолютн.
|
удельн.
|
|
|
|
|
|
|
|
Столбец1
|
Столбец2
|
Столбец3
|
Столбец4
|
Столбец5
|
Столбец6
|
|
2
|
февраль
|
|
5000
|
65000
|
13,00
|
|
1
|
январь
|
|
6000
|
66000
|
11,00
|
|
3
|
март
|
|
7000
|
70000
|
10,00
|
|
5
|
май
|
|
8000
|
76000
|
9,50
|
|
4
|
апрель
|
|
9000
|
80000
|
8,89
|
|
6
|
июнь
|
|
10000
|
85000
|
8,50
|
|
8
|
август
|
|
11000
|
87000
|
7,91
|
|
7
|
июль
|
|
12000
|
100000
|
8,33
|
|
|
|
|
|
|
|
Итого
|
|
68000
|
629000
|
9,25
|
Исходя из графической
интерпретации, задача заключается в построении по этим данным прямой,
изображенной на рисунке. Это можно сделать с помощью одного из трех методов:
- метода верхней
- нижней точки (High-Low Method),
- графического
метода (Scattergraph Method),
- метода
наименьших квадратов (Least Squares Method).
Рассмотрим эти методы более
подробно. Согласно методу верхней-нижней точки из всех
точек, приведенных на рисунке, для оценки используются только две: первая
(верхняя) соответствует наибольшему значению объема реализации товара, вторая
(нижняя) соответствует наименьшему объему реализации. Данные, соответствующие
этим точкам, сводим в отдельную таблицу.
|
№
|
Месяца
|
Количество
|
Затраты на
|
|
года
|
проданных
|
|
доставку
|
|
|
|
товаров
|
шт.
|
абсолютн.
|
удельн.
|
|
|
|
|
|
|
|
Столбец1
|
Столбец2
|
Столбец3
|
Столбец4
|
Столбец5
|
Столбец6
|
|
2
|
февраль
|
|
5000
|
65000
|
13,00
|
|
7
|
июль
|
|
12000
|
100000
|
8,33
|
|
|
|
|
|
|
|
Изменение
|
7000
|
35000
|
|
По этим данным определяем
коэффициент переменных затрат:
Затем, основываясь на данных,
соответствующих верхней точке, определяем постоянные затраты:
В результате оказывается, что
постоянные издержки составляют за месяц $40,000, а переменные издержки на
единицу продукции равны $5. Эти данные используются в дальнейшем для анализа
безубыточности.
Графический метод
заключается в простой подгонке прямой линии с помощью линейки, которая
накладывается на точки графика таким образом, чтобы наилучшим образом
аппроксимировать все множество точек. Точка пересечения этой линии с
вертикальной осью оценивает постоянные издержки.
Метод наименьших
квадратов является наиболее точным. Подбор прямой линии суммарных издержек
производится с помощью стандартных приемов регрессионного анализа и на практике
сводится к использованию стандартной компьютерной программы, которая в качестве
входных данных потребляет данные исходной таблицы, а результатом являются
суммарные постоянные издержки и переменные издержки на единицу продукции.
5. 3. Формат отчета о прибыли
на основе вложенного дохода.
Традиционный формат отчета о
прибыли представляет собой разницу между валовым доходом без НДС и затратами на
производство и реализацию продукции.
|
Отчет о прибылях и убытках 2007 год.
|
|
|
|
|
№
|
Наименование
показателя
|
|
Код
|
Отчетный
|
Прошедший
|
|
|
|
|
|
|
период
|
период
|
|
Доходы
|
|
|
|
|
|
|
|
1
|
Выручка
(нетто) от продажи товаров, продукции,
|
10
|
2 105 025 978
|
1 654 552 194
|
|
работ,
услуг (за минусом НДС, акцизов и других
|
|
|
|
|
аналогичных
обязательных платежей)
|
|
|
|
|
|
2
|
Себестоимость проданных товаров
|
20
|
-1 199 178 529
|
-965 739 615
|
|
3
|
Валовая
прибыль
|
|
|
29
|
905 847 449
|
688 812 579
|
|
4
|
Управленческие расходы
|
|
40
|
-423 532 956
|
-334 228 048
|
|
5
|
Прибыль
(убыток) от продаж
|
|
50
|
482 314 493
|
354 584 531
|
|
Прочие
доходы и расходы
|
|
|
|
|
|
6
|
Проценты
к уплате
|
|
|
70
|
-31 297 352
|
-30 783 213
|
|
7
|
Прочие
доходы
|
|
|
90
|
74 813 924
|
53 349 472
|
|
8
|
Прочие
расходы
|
|
|
100
|
-159 161 814
|
-69 955 741
|
|
9
|
Прибыль
(убыток) до налогообложения
|
140
|
366 669 251
|
307 195 049
|
|
10
|
Отложенные
налоговые обязательства
|
|
142
|
-301 965
|
-500 156
|
|
11
|
Текущий
налог на прибыль
|
|
150
|
-93 105 505
|
-74 480 123
|
|
12
|
Налоговые
санкции
|
|
|
180
|
-93 715
|
2 035 277
|
|
13
|
Чистая
прибыль (убыток) отчетного периода
|
190
|
273 168 066
|
234 250 047
|
|
|
|
|
|
|
|
|
|
СПРАВОЧНО:
|
|
|
|
|
|
|
Постоянные
налоговые обязательства (активы)
|
200
|
3 808 054
|
1 253 467
|
Следует отметить, что
использованные выше издержки включают как переменную, так и постоянную
компоненты. Данный формат не может быть использован для целей планирования,
поскольку не позволяет проследить изменение издержек в связи с изменением
объема реализации товара.
Для целей планирования
используется так называемый формат отчета о прибыли на основе “вложенного
дохода” (Contribution Format), который имеет следующий вид:
|
№
|
Наименование показателей
|
|
Сумма
|
|
|
|
|
|
тыс. руб.
|
|
|
|
|
|
|
|
1
|
Выручка от продажи
|
|
|
2105026
|
|
2
|
Переменные издержки всего, в том числе:
|
1398833
|
|
|
производственные
|
|
1155785
|
|
|
реализационные
|
|
125477
|
|
|
административные
|
|
117571
|
|
3
|
Вложенный доход
|
|
|
706193
|
|
4
|
Постоянные издержки всего, в том числе:
|
433025
|
|
|
производственные
|
|
225208
|
|
|
реализационные
|
|
107577
|
|
|
административные
|
|
100240
|
|
5
|
Чистая прибыль
|
|
|
273168
|
Конечный результат получился
закономерно таким же, как и в предыдущем случае. Но теперь у нас появляется
возможность планировать величину прибыли, так как с изменением объема
реализации изменяются только переменные издержки, в то время как фиксированные остаются
неизменными. В данном формате появился новый элемент - вложенный доход (Contribution
Margin). По смыслу этой характеристики вложенный доход должен покрыть все
постоянные издержки и обеспечить заданное значение прибыли.
Для целей более детального
анализа используется более подробный формат следующего вида:
|
№
|
Наименование
|
Колич.
|
Цена ед.
|
Сумма
|
|
тыс. руб.
|
тыс. руб.
|
|
|
|
|
|
|
|
1
|
Выручка от продажи
|
100
|
21050,26
|
2105026
|
|
2
|
Переменные издержки
|
100
|
13988,33
|
1398833
|
|
3
|
Вложенный доход
|
100
|
7061,93
|
706193
|
|
4
|
Постоянные издержки
|
|
|
433025
|
|
5
|
Чистая прибыль
|
|
|
273168
|
|
|
|
|
|
|
Здесь появляется новый элемент
для анализа - вложенный доход на единицу продукции, который остается
постоянным, пока не изменится цена единицы продукции и переменные затраты на
единицу продукции.
Если объем реализации
составляет 61,318223 единиц продукции, вместо 100, отчет о прибыли на основе
вложенного дохода имеет следующий вид:
|
№
|
Наименование
|
Колич.
|
Цена ед.
|
Сумма
|
|
показателей
|
|
тыс. руб.
|
тыс. руб.
|
|
|
|
|
|
|
|
1
|
Выручка от продажи
|
61,318223
|
21050,26
|
1290765
|
|
2
|
Переменные издержки
|
61,318223
|
13988,33
|
857739,5
|
|
3
|
Вложенный доход
|
61,318223
|
7061,93
|
433025
|
|
4
|
Постоянные издержки
|
|
|
433025
|
|
5
|
Чистая прибыль
|
|
|
0
|
|
|
|
|
|
|
Из приведенных численных данных
следует, что если компания продает 61,318223 единиц
товара, она получит нулевую прибыль (ни прибыли, ни убытков).
Точка безубыточности [Point Break-even] (PBE) может быть определена как:
- объем продаж, при котором
выручка равна суммарным издержкам, или
- объем продаж, при котором
вложенный доход равен постоянным издержкам.
Как только достигнута точка
безубыточности, каждая дополнительно проданная единица продукции приносит
дополнительную прибыль, равную вложенному доходу на единицу продукции.
5. 4. Расчет точки безубыточности.
Для расчета точки
безубыточности используются простые соотношения, основанные на балансе выручки:
Выручка (без НДС) =
Переменные издержки + Постоянные издержки + Прибыль.
Пусть для примера исходные
данные имеют следующий вид:
|
№
|
Наименование
|
|
Сумма
|
%
|
|
показателей
|
|
|
|
|
|
|
|
|
|
|
1
|
цена единицы
|
|
500
|
100
|
|
2
|
удельные переменные расходы
|
300
|
60
|
|
3
|
удельный вложенный доход
|
200
|
40
|
|
|
|
|
|
|
Постоянные издержки составляют $80,000 в месяц.
Если x - точка безубыточности в
единицах продукции, то с помощью основного уравнения, получим:
$500X = $300X + $80,000 + $0
Откуда: x=400
единиц продукции, объем реализации 400*500=200 000.
Более общая схема рассуждения имеет следующий вид:
пусть P - цена
единицы продукции, а N - объем
производства за некоторый промежуток времени. Запишем основное уравнение
модели, символизирующее тот факт, что прибыль до выплаты налогов TP (Taxable
Profit) определяется
суммарной выручкой за вычетом всех постоянных и переменных издержек:
, где:
F - величина постоянных издержек за период времени,
v - величина переменных издержек на единицу продукции.
Точка безубыточности (N) PBE (Point of Break-even) по определению
соответствует условию:
TP = 0, откуда:
Таким образом, для того, чтобы рассчитать точку безубыточности
необходимо величину постоянных издержек разделить на разницу между ценой продаж
продукции и величиной переменных издержек на единицу продукции. Последняя носит
название: Единичного вложенного дохода (Unit Contribution Margin).
Если задача заключается в
определении целевого объема продаж Nt, т.е.
такого значения объема продаж, которое соответствует заданному значению прибыли
TPt, то используем аналогичное соотношение:
Откуда:
Важной характеристикой успешной
работы предприятия является величина запаса безопасности (Safety Margin),
которая в относительной форме определяется в виде разности между
запланированным объемом реализации и точкой безубыточности
Чем выше этот показатель, тем
безопаснее себя чувствует предприятие перед угрозой негативных изменений
(уменьшении выручки или увеличения издержек).
5. 5. Графическое
представление анализа безубыточности.
Сущность анализа безубыточности
полностью раскрывается на графике безубыточности. Этот график показывает объем
произведенной продукции в натуральном выражении на горизонтальной оси и
величину дохода или издержек в стоимостном выражении на вертикальной оси. Можно
было бы построить аналогичный график, откладывая по горизонтальной оси объем
выпуска в процентах к полной мощности.
Рисунок. Графическое
представление точки безубыточности (PBE);
АС - линия совокупных издержек; OP - линия
дохода
Линия AF, показывающая постоянные издержки, которые не меняются в
зависимости от объема, проходит параллельно оси OX.
Вертикальное расстояние между линией AF и
линией АС при любом определенном объеме характеризует совокупные
переменные издержки производства данного объема продукции. При производственных
простоях суммарные издержки равны постоянным затратам (AF).
Для каждой конкретной цены
продажи единицы конечного продукта, линия OP, будет
показывать величину доходов при различных объемах продаж. Пересечение линии
совокупного дохода (OP) с
линией совокупных издержек (AC) определяет
точку безубыточности, (N) PBE (Point of Break-even) точку в которой совокупный доход равен совокупным издержкам
(переменным и постоянным). Любая разность по вертикали между линией совокупного
дохода (OP) и совокупных издержек (AC) справа
от точки безубыточности, (N) PBE (Point of Break-even) показывает прибыль при данном объеме производства, в то время как
убытки будут показываться на графике слева от PBE, потому
как в этом случае совокупные издержки превышают совокупный доход.
В качестве примера - график
безубыточности для следующего случая:
Цена реализации за единицу (P) – 2,00 $;
Переменные издержки на единицу (v) – 1,50 $;
Фиксированные издержки за год (F) - 20,000 $;
Объем выпуска за год (N) - 100,000 $.
Рисунок. Графическое представление точки безубыточности для
расчетного примера.
Из графика видно, что
предприятие должно производить, как минимум, 40 000 единиц
продукции в год, чтобы покрыть все затраты. Когда объем производства только 20 000
единиц продукции, издержки будут составлять 50 000 $, в то
время как доходы лишь 40 000 $. Таким образом, предприятие теряет 10 000 $. Аналогично можно видеть, что когда предприятие производит 60 000
единиц продукции, оно будет иметь прибыль 10 000 $.
Существует еще один способ
графического представления анализа безубыточности, который носит название «Обратного
графика безубыточности». На первый взгляд может показаться, что он
отличается от того, который мы рассмотрели выше, хотя в основе своей они совершенно
одинаковы.
Обратный график
безубыточности.
Рисунок. Альтернативный
вариант графического представления анализа безубыточности AFC - линия совокупных издержек; OP - линия
дохода
Единственная разница состоит в
том, что переменные издержки показаны снизу, а фиксированные - сверху. Здесь переменные
издержки представлены в виде расстояния по вертикали между осью ОХ
и линией OVC. Фиксированные издержки добавляются по вертикали,
оставаясь постоянными, в результате чего линия совокупных издержек АFС проходит параллельно OVC на
расстоянии, равном OA.
5. 6. Рабочий формат для
анализа безубыточности и целевого планирования прибыли.
Для проведения практических
расчетов по анализу безубыточности рекомендуется специальный рабочий формат. В
этом формате все издержки разделены на переменные и постоянные.
Предусматривается проведение двух вариантов расчета: первый соответствует
существующему состоянию производства, второй - новому, который ожидается
получить после внедрения инвестиционного проекта.
Рассмотрим процедуру
использования данного формата на конкретном примере, который помещен ниже.
Исходное состояние предприятия соответствует первой числовой колонке рабочего
формата. В результате реализации инвестиционного проекта предприятие планирует
следующие изменения. Приобретение нового оборудования общей стоимостью 16 800
000 $ со сроком эксплуатации 10 лет и планируемой ликвидационной стоимостью
800 000 $ Предполагается, что старое оборудование будет полностью
выведено из эксплуатации и предприятие планирует продать его.
Внедрение нового оборудования
приводит к следующим последствиям:
- затраты на
электроэнергию уменьшаются на 16 %,
- стоимость сырья
увеличивается на 22 %,
- потери на брак
уменьшаются на 50 %,
- постоянные
затраты на оплату труда вместе с отчислением на соцстрах увеличиваются на 14 %, в то время
как затраты прямого труда на единицу продукции уменьшаются на 40 %,
- общецеховые
расходы также увеличиваются на 12 %.
Внедрение нового оборудования
за счет улучшения качества выпускаемой продукции по оценкам отдела сбыта
позволит продавать продукцию по более высокой цене (на 12 %) и объем реализации
планируется также увеличить на 15 %.
Таблица
Рабочий формат анализа безубыточности.
|
№
|
Наименование показателей
|
|
Существующий
|
Предполагаемый
|
|
|
|
|
|
|
|
|
|
|
|
1
|
Удельные переменные издержки
|
48,62
|
|
53,92
|
|
|
2
|
Сырье
|
|
|
|
|
30,49
|
|
37,19
|
|
|
3
|
Тепловая энергия
|
|
|
11,96
|
|
11,96
|
|
|
4
|
Электроэнергия
|
|
|
4,34
|
|
3,65
|
|
|
5
|
Прямой труд
|
|
|
|
1,23
|
|
0,74
|
|
|
6
|
ЕСН
|
|
|
|
|
0,33
|
|
0,20
|
|
|
7
|
Потери от брака
|
|
|
0,19
|
|
0,10
|
|
|
8
|
Прочие расходы
|
|
|
0,08
|
|
0,08
|
|
|
|
|
|
|
|
|
|
|
|
|
9
|
Постоянные издержки (годовые)
|
2 751 638,00
|
|
3 412 064,00
|
|
|
10
|
Непрямой труд
|
|
|
|
114 456,00
|
|
130 480,00
|
|
|
11
|
ЕСН
|
|
|
|
|
77 811,00
|
|
88 705,00
|
|
|
12
|
Амортизация
|
|
|
|
824 609,00
|
|
1 600 000,00
|
|
|
13
|
Общецеховые расходы
|
|
|
138 127,00
|
|
154 702,00
|
|
|
14
|
Общезаводские и администр. расходы
|
1 584 579,00
|
|
1 426 121,00
|
|
|
15
|
Прочие расходы
|
|
|
12 056,00
|
|
12 056,00
|
|
|
|
|
|
|
|
|
|
|
|
|
16
|
Цена единицы продукции, без НДС
|
88,71
|
100%
|
99,36
|
100%
|
|
17
|
Вложенный доход
|
|
|
40,09
|
45%
|
45,44
|
46%
|
|
18
|
Точка безубыточности
|
|
68 640,11
|
ед.
|
75 089,11
|
ед.
|
|
|
|
|
|
|
6 089 064,46
|
руб.
|
7 460 853,58
|
руб.
|
|
|
|
|
|
|
|
|
|
|
|
19
|
План продаж
|
|
|
|
94 500
|
|
108 675
|
|
|
20
|
Доход
|
|
|
|
|
8 383 095,00
|
|
10 797 948,00
|
|
|
21
|
Переменные издержки
|
|
4 594 788,45
|
|
5 859 734,27
|
|
|
22
|
Постоянные издержки
|
|
2 751 638,00
|
|
3 412 064,00
|
|
|
23
|
Налогооблагаемая прибыль
|
|
1 036 668,55
|
|
1 526 149,74
|
|
|
24
|
Запас безопасности
|
|
|
2 294 030,54
|
27%
|
3 337 094,42
|
31%
|
В колонке, соответствующей
планируемому состоянию предприятия, последовательно заносятся все изменения,
которые являются следствием инвестиционного проекта. В частности, поскольку
предприятие продает старое оборудование, амортизация рассчитывается исходя из
стоимостных показателей капитальных издержек.
Сопоставляя данные обоих вариантов расчета, можно сделать вывод о
том, что инвестиционный проект приводит к следующим изменениям состояния
предприятия с точки зрения его безубыточности: точка безубыточности увеличилась
с 68
640,11 единиц продукции до 75 089,11. Этот факт
сам по себе квалифицируется как негативное изменение. В то же время, за счет
планируемого увеличения объема продаж величина прибыли до налогов увеличивается
с
1
036 668,55 до 1
526 149,74. Как конечный результат запас безопасности увеличивается.
Следует заметить, что это положительное изменение еще не говорит о
том, что инвестиционный проект следует принять. Улучшение прибыльности
предприятия является лишь необходимым условием эффективности инвестиционного
проекта, но не достаточным.
5. 7. Анализ безубыточности для многономенклатурной продукции.
Особенностью анализа
безубыточности для нескольких видов продукции является совмещенность постоянных
издержек в составе единого формата безубыточности, как это представлено ниже.
|
Наименование показателей
|
Продукция А
|
Продукция В
|
Всего
|
|
|
|
|
|
|
|
|
|
|
|
Выручка
|
|
100 000
|
100,0%
|
300 000
|
100,0%
|
400 000
|
100,0%
|
|
Переменные издержки
|
70 000
|
70,0%
|
120 000
|
40,0%
|
190 000
|
47,5%
|
|
Вложенный доход
|
30 000
|
30,0%
|
180 000
|
60,0%
|
210 000
|
52,5%
|
|
Постоянные издержки
|
|
|
|
|
141 750
|
|
|
Прибыль до налогов
|
|
|
|
|
68 250
|
|
|
Общая точка безубыточности PBE (141 750/0,525)
|
|
270 000
|
|
С изменением структуры
производства и продаж общий относительный вложенный доход и точка
безубыточности изменяется.
|
Наименование показателей
|
Продукция А
|
Продукция В
|
Всего
|
|
|
|
|
|
|
|
|
|
|
|
Выручка
|
|
300 000
|
100,0%
|
100 000
|
100,0%
|
400 000
|
100,0%
|
|
Переменные издержки
|
210 000
|
70,0%
|
40 000
|
40,0%
|
250 000
|
62,5%
|
|
Вложенный доход
|
90 000
|
30,0%
|
60 000
|
60,0%
|
150 000
|
37,5%
|
|
Постоянные издержки
|
|
|
|
|
141 750
|
|
|
Прибыль до налогов
|
|
|
|
|
8 250
|
|
|
Общая точка безубыточности PBE (141 750/0,375)
|
|
378 000
|
|
С помощью этого формата можно
анализировать структуру производства и продаж предприятия и добиваться наиболее
эффективной, приняв в качестве критерия минимум значения точки безубыточности.
На практике, особенно при
большой номенклатуре производства, обычно прибегают к раздельному анализу
безубыточности различных видов продукции. Постоянные издержки при этом условно
распределяют по видам продукции пропорционально объемам реализации продукции в
денежном выражении. Последняя таблица согласно этому приему будет иметь
следующий вид:
|
Наименование показателей
|
Продукция А
|
Продукция В
|
Всего
|
|
|
|
|
|
|
|
|
|
|
|
Выручка
|
|
300 000
|
100,0%
|
100 000
|
100,0%
|
400 000
|
100,0%
|
|
Переменные издержки
|
210 000
|
70,0%
|
40 000
|
40,0%
|
250 000
|
62,5%
|
|
Вложенный доход
|
90 000
|
30,0%
|
60 000
|
60,0%
|
150 000
|
37,5%
|
|
Постоянные издержки
|
106 312
|
|
35 438
|
|
141 750
|
|
|
Прибыль до налогов
|
-16 312
|
|
24 562
|
|
8 250
|
|
|
Общая точка безубыточности PBE (141 750/0,375)
|
|
378 000
|
|
Из таблицы видно, что при
данной структуре производства и продаж, первая продукция является для
предприятия убыточной, а суммарная прибыль достигается за счет второго вида
продукции.
5. 8. Влияние вложенного
дохода и анализ операционного рычага.
Помимо стандартной техники
проведения анализа безубыточности очень важное значение в процессе
инвестиционного проектирования имеет анализ показателей проекта на его
финансовое благополучие при реализации. В частности, интересно
проанализировать, как относительный вложенный доход влияет на точку
безубыточности и запас безопасности.
Рассмотрим пример
сравнительного анализа двух предприятий с существенно различной структурой
издержек. Компания X имеет 70 % переменных издержек, а компания Y
- всего 20 %. Прочие “выходные” показатели (объем выручки и прибыль) у обеих
компаний одинаковы. В таблице представлен сравнительный анализ безубыточности
этих компаний.
Таблица
Сравнительный анализ безубыточности двух компаний.
|
Наименование показателей
|
|
Продукция А
|
Продукция В
|
|
|
|
|
|
|
|
|
|
Выручка
|
|
|
500 000
|
100,0%
|
500 000
|
100,0%
|
|
Переменные издержки
|
|
350 000
|
70,0%
|
100 000
|
20,0%
|
|
Вложенный доход
|
|
150 000
|
30,0%
|
400 000
|
80,0%
|
|
Постоянные издержки
|
|
90 000
|
|
340 000
|
|
|
Прибыль до налогов
|
|
60 000
|
|
60 000
|
|
|
Точка безубыточности PBE
|
300 000,00
|
|
425 000,00
|
|
|
Запас безопасности
|
|
200 000,00
|
40,0%
|
75 000,00
|
15,0%
|
Более обстоятельный анализ
риска в рамках анализа безубыточности можно провести с помощью, так называемого
операционного рычага.
Операционный рычаг (Operating
Leverage) показывает во сколько раз изменяется величина налогооблагаемой
прибыли при увеличении выручки.
Относительное изменение прибыли
= Операционный рычаг*Относительное изменение выручки.
Для вычисления операционного
рычага используется следующая простая формула:
Операционный рычаг = Вложенный
доход/Налогооблагаемая прибыль.
Рассмотрим следующий пример,
иллюстрирующий влияние операционного рычага на изменение прибыли в связи с
изменение объема продаж. Приняв за основу те же исходные данные, что и в предыдущем
примере вычислим операционный рычаг каждого из предприятий.
|
Наименование показателей
|
|
Продукция А
|
Продукция В
|
|
|
|
|
|
|
|
|
|
Выручка
|
|
|
500 000
|
100,0%
|
500 000
|
100,0%
|
|
Переменные издержки
|
|
350 000
|
70,0%
|
100 000
|
20,0%
|
|
Вложенный доход
|
|
150 000
|
30,0%
|
400 000
|
80,0%
|
|
Постоянные издержки
|
|
90 000
|
|
340 000
|
|
|
Прибыль до налогов
|
|
60 000
|
|
60 000
|
|
|
Точка безубыточности PBE
|
300 000,00
|
|
425 000,00
|
|
|
Операционный рычаг
|
|
2,50
|
|
6,67
|
|
Исходя из определения
операционного рычага получаем, что увеличение объема продаж на 10% приводит в
случае компании X к увеличению прибыли на 25%, а в случае компании Y
- на 67%. Это легко проверить с помощью простых расчетов, предусмотрев
увеличение выручки на 10% в формате отчете о прибыли:
|
Наименование показателей
|
|
Продукция А
|
Продукция В
|
|
|
|
|
|
|
|
|
|
Выручка
|
|
|
550 000
|
100,0%
|
550 000
|
100,0%
|
|
Переменные издержки
|
|
385 000
|
70,0%
|
110 000
|
20,0%
|
|
Вложенный доход
|
|
165 000
|
30,0%
|
440 000
|
80,0%
|
|
Постоянные издержки
|
|
90 000
|
|
340 000
|
|
|
Прибыль до налогов
|
|
75 000
|
|
100 000
|
|
|
Точка безубыточности PBE
|
300 000,00
|
|
425 000,00
|
|
|
Увеличение прибыли
|
|
25,00%
|
|
66,67%
|
|
Рассмотрение этого примера
вызывает естественный вопрос: какую выбрать структуру затрат:
- с преобладанием
переменных расходов (малый рычаг и невысокое значение вложенного дохода)
или
- с преобладанием
постоянных расходов (большой рычаг и высокое значение вложенного дохода)?
Изучим этот вопрос на
сравнительном примере. Рассмотрим две компании с различной структурой затрат
|
Наименование показателей
|
|
Продукция А
|
Продукция В
|
|
|
|
|
|
|
|
|
|
Выручка
|
|
|
100 000
|
100,0%
|
100 000
|
100,0%
|
|
Переменные издержки
|
|
60 000
|
60,0%
|
30 000
|
30,0%
|
|
Вложенный доход
|
|
40 000
|
40,0%
|
70 000
|
70,0%
|
|
Постоянные издержки
|
|
30 000
|
|
60 000
|
|
|
Прибыль до налогов
|
|
10 000
|
|
10 000
|
|
Пусть в будущем ожидается
улучшение состояния на рынке, что в конечном итоге приведет к увеличению объема
продаж на 10 %. Тогда отчеты о прибыли будут выглядеть следующим образом:
|
Наименование показателей
|
|
Продукция А
|
Продукция В
|
|
|
|
|
|
|
|
|
|
Выручка
|
|
|
110 000
|
100,0%
|
110 000
|
100,0%
|
|
Переменные издержки
|
|
66 000
|
60,0%
|
33 000
|
30,0%
|
|
Вложенный доход
|
|
44 000
|
40,0%
|
77 000
|
70,0%
|
|
Постоянные издержки
|
|
30 000
|
|
60 000
|
|
|
Прибыль до налогов
|
|
14 000
|
|
17 000
|
|
Очевиден вывод: компания Y
находится в лучшем положении, т.к. ее прибыль увеличилась на $7,000 по
сравнению с $4,000 у компании X .
Пусть в будущем ожидается
ухудшение состояния на рынке, что в конечном итоге приведет к уменьшению объема
продаж на 10 %.
|
Наименование показателей
|
|
Продукция А
|
Продукция В
|
|
|
|
|
|
|
|
|
|
Выручка
|
|
|
90 000
|
100,0%
|
90 000
|
100,0%
|
|
Переменные издержки
|
|
54 000
|
60,0%
|
27 000
|
30,0%
|
|
Вложенный доход
|
|
36 000
|
40,0%
|
63 000
|
70,0%
|
|
Постоянные издержки
|
|
30 000
|
|
60 000
|
|
|
Прибыль до налогов
|
|
6 000
|
|
3 000
|
|
В этом случае мы приходим к
выводу о том, что компания Х находится в лучшем положении, т.к. ее
прибыль уменьшилась на $4,000 по сравнению с $7,000 у компании Y.
Общий вывод таков:
- предприятие с
большей величиной операционного риска больше рискует в случае ухудшения
рыночной конъюнктуры и в то же время оно имеет преимущества в случае ее
улучшения,
- предприятие
должно ориентироваться в рыночной ситуации и регулировать структуру издержек
соответствующим образом.
Контрольные вопросы и
задания
1. Обоснуйте
необходимость анализа безубыточности для разработки инвестиционных проектов.
2. Как Вы
понимаете соотношение необходимых и достаточных условий эффективности
инвестиционного проекта и какова роль анализа безубыточности в этом
соотношении?
3. Что
такое вложенный доход?
4. Опишите
формат отчета о прибыли на основе вложенного дохода. В чем его отличие от
традиционного формата?
5. Почему
отчет о прибыли на основе вложенного дохода позволяет производить планирование?
6. В чем
сущность анализа “затраты-объем-прибыль” (CVP-анализа)?
7. Как
подразделяются издержки в рамках CVP-анализа?
8. Что
является инвариантом для переменных и постоянных издержек в рамках CVP-анализа?
9. Действительно
ли постоянные издержки всегда остаются неизменными при изменении объема продаж
компании?
10. Какие Вы
знаете методы для выделения переменной и постоянной компонент в смешанных издержках?
11. Какой из
методов выделения переменной и постоянной компонент в смешанных издержках
является наиболее точным? Обоснуйте почему.
12. В чем
особенность метода “верхней-нижней” точки?
13. Дайте
определение точки безубыточности.
14. Какие Вы
знаете подходы для расчета точки безубыточности?
15. Правильно
ли считать, что финансовый менеджер должен стремиться к большему значению точки
безубыточности? Обоснуйте свой ответ.
16. Что
такое относительный вложенный доход и как особенности конкретного производства
влияют на относительный вложенный доход?
17. Как
тенденции состояния рынка продаваемого товара влияют на целевое значение
относительного вложенного дохода?
18. Как
произвести расчет точки безубыточности для многономенклатурной продукции?
19. Дайте
определение операционного риска фирмы?
20. Что
такое операционный рычаг и почему его значение может служить мерой
операционного риска?
21. Как с
помощью операционного рычага предсказать изменение доналоговой прибыли, имея
прогнозное значение изменения объема продаж?
22. Какие
Вам известны графические способы анализа безубыточности?
23. Как
упорядочить CVP-анализ с помощью рабочего листка по анализу безубыточности?
24. Что
такое запас безопасности и как его рассчитать в рамках CVP-анализа?
25. Чем
должна руководствоваться компания при выборе желаемой величины операционного
рычага?
Задания
1. Анализ
безубыточности при открытии малого предприятия.
Планируется открыть малое
предприятие по производству и продаже футбольных мячей. Произведя обстоятельный
маркетинг и изучив затратную часть этого бизнеса, собраны следующие данные:
- рыночная цена
одного мяча в упаковке 20 $;
- цена упаковки
составляет 1 $ на один мяч;
- можно купить
необходимое оборудование за 12 000 $, срок службы
которого составляет 5 лет с остаточной стоимостью 2 000 $;
- полная
производительность оборудования 4 мяча в час (160 в неделю);
- изготовление
одного мяча предполагает использование сырья стоимостью 10 $ на один мяч;
- необходимо
нанять одного рабочего за 200 $ в неделю по контракту на один год
(52 недели);
- планируется совмещение
обязанностей директора фирмы с функциями бухгалтера за 1 000 $
в месяц;
- поскольку
предприятие малое, не планируется открывать свой магазин, а продавать свою
продукцию на комиссионной основе, платя 10 % комиссионных за один
проданный мяч;
- для
производства мячей аренда помещения: 300 $ в месяц;
- существенным
вопросом является обслуживание оборудования; согласно контракту оплачиваются
$200 за каждый цикл работы оборудования (один цикл составляет 100 часов
работы оборудования).
Необходимо оценить точку
безубыточности и определить объем прибыли, если согласно рыночным условиям можно
продавать 5,000 мячей в год.
Необходимо выяснить так же, можно
ли дополнительно нанять секретаря, выплачивая $500 в месяц.
Решая задачу, используйте
рабочий формат по анализу безубыточности.
1. Компания
ААА производит и продает один вид продукции как правило в диапазоне
от 10,000 до 30,000 штук в год. Ниже приведен частично заполненная таблица
издержек.
2.1. Заполните недостающие
значения.
|
Наименование показателей
|
|
X
|
Y
|
Z
|
|
|
|
|
|
|
|
|
Quantity of Sales
|
|
10 000
|
20 000
|
30 000
|
|
|
|
|
|
|
|
|
Costs
|
|
|
|
70 000
|
80 000
|
90 000
|
|
Variable Costs
|
|
|
10 000
|
20 000
|
30 000
|
|
Fixed Costs
|
|
|
60 000
|
60 000
|
60 000
|
|
|
|
|
|
|
|
|
Unit Costs
|
|
|
7
|
4
|
3
|
|
Unit Variable Costs
|
|
1
|
1
|
1
|
|
Unit Fixed Costs
|
|
|
6
|
3
|
2
|
2.2. Предположим, что компания продает
15,000 штук в год. Цена единицы продукции составляет $4.00. Приготовьте отчет о
прибыли на базе формата, использующего вложенный доход.
|
Наименование показателей
|
|
|
|
Z
|
|
|
|
|
|
|
|
|
Quantity
of sales
|
|
|
|
15 000
|
|
Price of sales
|
|
|
|
|
4
|
|
Income
|
|
|
|
|
|
60 000
|
|
|
|
|
|
|
|
|
Costs
|
|
|
|
|
|
75 000
|
|
Variable Costs
|
|
|
|
25,00%
|
15 000
|
|
Fixed Costs
|
|
|
|
|
60 000
|
|
|
|
|
|
|
|
|
Unit Costs
|
|
|
|
|
5
|
|
Unit Variable Costs
|
|
|
|
1
|
|
Unit Fixed Costs
|
|
|
|
|
4
|
|
|
|
|
|
|
|
|
Contribution Margin
|
|
|
75,00%
|
45 000
|
|
Profit
|
|
|
|
|
|
-15 000
|
|
PBE (Point of Break-even)
|
|
$
|
80 000
|
|
PBE (Point of Break-even)
|
|
шт.
|
20000
|
|
Stock
of Safety
|
|
|
|
|
-20 000
|
|
Operating
Leverage
|
|
|
|
-3
|
2. Компания
производит и продает один вид продукции. Выручка и затраты компании в последнем
месяце составили:
|
Наименование показателей
|
|
|
|
Z
|
|
|
|
|
|
|
|
|
Quantity
of sales
|
|
|
|
10 000
|
|
Price of sales
|
|
|
|
|
40
|
|
Income
|
|
|
|
|
|
400 000
|
|
|
|
|
|
|
|
|
Costs
|
|
|
|
|
|
370 000
|
|
Variable Costs
|
|
|
|
70,00%
|
280 000
|
|
Fixed Costs
|
|
|
|
|
90 000
|
|
|
|
|
|
|
|
|
Unit Costs
|
|
|
|
|
37
|
|
Unit Variable Costs
|
|
|
|
28
|
|
Unit Fixed Costs
|
|
|
|
|
9
|
|
|
|
|
|
|
|
|
Contribution Margin
|
|
|
30,00%
|
120 000
|
|
Profit
|
|
|
|
|
|
30 000
|
|
PBE (Point of Break-even)
|
|
$
|
300 000
|
|
PBE (Point of Break-even)
|
|
шт.
|
7500
|
|
Stock
of Safety
|
|
|
|
|
100 000
|
|
Operating
Leverage
|
|
|
|
4
|
3.1. Рассчитайте точку
безубыточности в штуках и долларах.
3.2. Без дополнительных
расчетов определите величину вложенного дохода в точке безубыточности.
3.3. Вычислите объем продаж для
того, чтобы обеспечить минимальную прибыль 12,000. Подтвердите правильность
расчета с помощью составления отчета о прибыли.
3.4. Используя данные таблицы,
оцените запас прочности компании в долларах и процентах.
4. Компания
производит и продает телефонный автоответчик. В прошлом году ее отчет о прибыли
составил:
|
Наименование показателей
|
|
|
|
Z
|
|
|
|
|
|
|
|
|
Quantity of sales
|
|
|
|
20 000
|
|
Price of sales
|
|
|
|
|
60
|
|
Income
|
|
|
|
|
|
1 200 000
|
|
|
|
|
|
|
|
|
Costs
|
|
|
|
|
|
1 140 000
|
|
Variable Costs
|
|
|
|
75,00%
|
900 000
|
|
Fixed Costs
|
|
|
|
|
240 000
|
|
|
|
|
|
|
|
|
Unit Costs
|
|
|
|
|
57
|
|
Unit Variable Costs
|
|
|
|
45
|
|
Unit Fixed Costs
|
|
|
|
|
12
|
|
|
|
|
|
|
|
|
Contribution Margin
|
|
|
25,00%
|
|
Profit
|
|
|
|
|
|
60 000
|
|
PBE (Point of Break-even)
|
|
$
|
960 000
|
|
PBE (Point of Break-even)
|
|
шт.
|
16000
|
|
Stock of Safety
|
|
|
|
|
240 000
|
|
Operating Leverage
|
|
|
|
5
|
Необходимо улучшить положение
компании, последовательно рассматривая следующие вопросы:
1. Чему
равен относительный вложенный доход компании?
2. Определите
точку безубыточности производства телефонных ответчиков в единицах продукции и
в долларах.
3. Предположив
увеличение объема продаж в следующем году на 400 000 $ определите,
на сколько увеличится прибыль. Используйте значение относительного вложенного
дохода.
4. Руководство
компании требует увеличение прибыли как минимум на 30 000 $. Какого объема продаж должна достичь компания?
5. Определите
запас прочности (в долларах и в процентах) компании, достигнутый в прошлом
году.
6. Вычислите
операционный рычаг компании. Если маркетинговая служба предприятия будет в
состоянии увеличить объем продаж на 8 %, на сколько (%) можно ожидать
увеличение прибыли компании? Сделайте оценку с помощью операционного рычага и
подтвердите ее путем составления прогнозного отчета о прибыли.
7. Стремясь
увеличить объем продаж и прибыль, менеджеры компании собираются использовать
при изготовлении устройства более качественный спикер, который увеличит
переменные издержки на 3 $ на единицу продукции. Но в этом случае можно
будет сократить одного инженера по контролю качества, заработная плата которого
составляет 30 000 $ в год. Маркетинговая служба компании ожидает, что
внедрение этого усовершенствования приведет к увеличению годового объема продаж
на 20 %.
Сделайте анализ
безубыточности этого случая:
o спрогнозировав
отчет о прибыли,
o определив
точку безубыточности и запас финансовой прочности предприятия.
Следует ли реализовывать
описанное усовершенствование?
5. Заданы
следующие показатели издержек производства печей СВЧ.
|
Наименование
показателей
|
|
|
|
Z
|
|
|
|
|
|
|
|
|
Quantity
of sales
|
|
|
|
400
|
|
Price
of sales
|
|
|
|
|
250
|
|
Income
|
|
|
|
|
|
100 000
|
|
|
|
|
|
|
|
|
Costs
|
|
|
|
|
|
95 000
|
|
Variable
Costs
|
|
|
|
60,00%
|
60 000
|
|
Fixed
Costs
|
|
|
|
|
35 000
|
|
|
|
|
|
|
|
|
Unit
Costs
|
|
|
|
|
238
|
|
Unit
Variable Costs
|
|
|
|
150
|
|
Unit
Fixed Costs
|
|
|
|
|
88
|
|
|
|
|
|
|
|
|
Contribution
Margin
|
|
|
40,00%
|
40 000
|
|
Unit
Contribution Margin
|
|
|
|
100
|
|
Profit
|
|
|
|
|
|
5 000
|
|
Unit
Profit
|
|
|
|
|
12,5
|
|
PBE
(Point of Break-even)
|
|
$
|
87 500
|
|
PBE
(Point of Break-even)
|
|
шт.
|
350
|
|
Stock
of Safety
|
|
|
|
|
12 500
|
|
Operating
Leverage
|
|
|
|
8
|
Постоянные издержки равны 35 000
$ в месяц, план продаж составляет 400 штук в месяц.
Рассмотрите следующие
варианты изменения независимо один от другого.
5.1. Изменение постоянных
издержек и объема продаж. Предприятие планирует увеличение расходов
на рекламу на $10,000, предполагая увеличить объем продаж на $30,000. Стоит
это делать?
|
Наименование
показателей
|
|
|
|
Z
|
|
|
|
|
|
|
|
|
Quantity
of sales
|
|
|
|
520
|
|
Price
of sales
|
|
|
|
|
250
|
|
Income
|
|
|
|
|
|
130 000
|
|
|
|
|
|
|
|
|
Costs
|
|
|
|
|
|
123 000
|
|
Variable
Costs
|
|
|
|
60,00%
|
78 000
|
|
Fixed
Costs
|
|
|
|
|
45 000
|
|
|
|
|
|
|
|
|
Unit
Costs
|
|
|
|
|
237
|
|
Unit
Variable Costs
|
|
|
|
150
|
|
Unit
Fixed Costs
|
|
|
|
|
87
|
|
|
|
|
|
|
|
|
Contribution
Margin
|
|
|
40,00%
|
52 000
|
|
Unit
Contribution Margin
|
|
|
|
100
|
|
Profit
|
|
|
|
|
|
7 000
|
|
Unit
Profit
|
|
|
|
|
13,46153846
|
|
PBE
(Point of Break-even)
|
|
$
|
112 500
|
|
PBE
(Point of Break-even)
|
|
шт.
|
450
|
|
Stock
of Safety
|
|
|
|
|
17 500
|
|
Operating
Leverage
|
|
|
|
7
|
5.2. Изменение переменных
издержек и объема продаж. Предприятие предполагает улучшение качества
продукции за счет увеличения переменных затрат на $10 на единицу продукции.
Улучшение качества позволит увеличить объем продаж при неизменной цене до 480
печей СВЧ в месяц. Стоит это делать?
|
Наименование
показателей
|
|
|
|
Z
|
|
|
|
|
|
|
|
|
Quantity
of sales
|
|
|
|
480
|
|
Price
of sales
|
|
|
|
|
250
|
|
Income
|
|
|
|
|
|
120 000
|
|
|
|
|
|
|
|
|
Costs
|
|
|
|
|
|
111 800
|
|
Variable
Costs
|
|
|
|
64,00%
|
76 800
|
|
Fixed
Costs
|
|
|
|
|
35 000
|
|
|
|
|
|
|
|
|
Unit
Costs
|
|
|
|
|
233
|
|
Unit
Variable Costs
|
|
|
|
160
|
|
Unit
Fixed Costs
|
|
|
|
|
73
|
|
|
|
|
|
|
|
|
Contribution
Margin
|
|
|
36,00%
|
43 200
|
|
Unit
Contribution Margin
|
|
|
|
90
|
|
Profit
|
|
|
|
|
|
8 200
|
|
Unit
Profit
|
|
|
|
|
17,08333333
|
|
PBE
(Point of Break-even)
|
|
$
|
97 222
|
|
PBE
(Point of Break-even)
|
|
шт.
|
388,888889
|
|
Stock
of Safety
|
|
|
|
|
22 778
|
|
Operating
Leverage
|
|
|
|
5
|
5.3. Изменение постоянных
издержек, цены единицы продукции и объема продаж. Для
увеличения объема продажи предприятие предполагает уменьшить цену продукции на
$20 за штуку и увеличить затраты на рекламу на $15,000. По прогнозам
маркетолога это приведет к увеличению реализации на 50 %. Стоит это делать?
|
Наименование
показателей
|
|
|
|
Z
|
|
|
|
|
|
|
|
|
Quantity
of sales
|
|
|
|
600
|
|
Price
of sales
|
|
|
|
|
230
|
|
Income
|
|
|
|
|
|
138 000
|
|
|
|
|
|
|
|
|
Costs
|
|
|
|
|
|
140 000
|
|
Variable
Costs
|
|
|
|
65,22%
|
90 000
|
|
Fixed
Costs
|
|
|
|
|
50 000
|
|
|
|
|
|
|
|
|
Unit
Costs
|
|
|
|
|
233
|
|
Unit
Variable Costs
|
|
|
|
150
|
|
Unit
Fixed Costs
|
|
|
|
|
83
|
|
|
|
|
|
|
|
|
Contribution
Margin
|
|
|
34,78%
|
48 000
|
|
Unit
Contribution Margin
|
|
|
|
80
|
|
Profit
|
|
|
|
|
|
-2 000
|
|
Unit
Profit
|
|
|
|
|
-3,33333333
|
|
PBE
(Point of Break-even)
|
|
$
|
143 750
|
|
PBE
(Point of Break-even)
|
|
шт.
|
625
|
|
Stock
of Safety
|
|
|
|
|
-5 750
|
|
Operating
Leverage
|
|
|
|
-24
|
5.4. Изменение постоянных и
переменных издержек и объема продаж. Вместо фиксированной заработной
платы продавцу $6,000 за месяц планируется комиссия $15 за каждую проданную
печь. По прогнозам маркетолога это приведет к увеличению реализации на 15 %. Стоит
это делать?
|
Наименование
показателей
|
|
|
|
Z
|
|
|
|
|
|
|
|
|
Quantity
of sales
|
|
|
|
460
|
|
Price
of sales
|
|
|
|
|
250
|
|
Income
|
|
|
|
|
|
115 000
|
|
|
|
|
|
|
|
|
Costs
|
|
|
|
|
|
104 900
|
|
Variable
Costs
|
|
|
|
66,00%
|
75 900
|
|
Fixed
Costs
|
|
|
|
|
29 000
|
|
|
|
|
|
|
|
|
Unit
Costs
|
|
|
|
|
228
|
|
Unit
Variable Costs
|
|
|
|
165
|
|
Unit
Fixed Costs
|
|
|
|
|
63
|
|
|
|
|
|
|
|
|
Contribution
Margin
|
|
|
34,00%
|
39 100
|
|
Unit
Contribution Margin
|
|
|
|
85
|
|
Profit
|
|
|
|
|
|
10 100
|
|
Unit
Profit
|
|
|
|
|
21,95652174
|
|
PBE
(Point of Break-even)
|
|
$
|
85 294
|
|
PBE
(Point of Break-even)
|
|
шт.
|
341,176471
|
|
Stock
of Safety
|
|
|
|
|
29 706
|
|
Operating
Leverage
|
|
|
|
4
|
6. ПОКАЗАТЕЛИ ФИНАНСОВОЙ ДЕЯТЕЛЬНОСТИ.
В системе информации предприятия наиболее
важная роль принадлежит показателям и индикаторам, которые находятся в самом
конце того пути, который проходят информационные потоки. Информация в
организации начинает свой путь в форме сырых данных, поступающих из систем
учета и внешней среды. Затем эти сведения подвергаются обработке, фильтруются,
часть их поступает на рабочие места и руководству в неизменном виде, другая
часть в форме выводов и обобщений, но в итоге большая часть цифровой информации
заканчивает свой путь в форме итоговых показателей деятельности предприятия.
Эти показатели имеют огромное значение, поскольку именно на их основе
руководство воспринимает успех или неуспех бизнеса, принимает ключевые решения
о направлениях развития.
Комплексная оценка результатов деятельности
и текущего состояния предприятия основывается на целостной системе показателей,
раскрывающих основные стороны хозяйственной деятельности, выявляющих слабые
места, сигнализирующих о возможном неблагополучии и объективно отражающих
происходящие в организации процессы.
Показатели – это ориентир, который
направляет действия сотрудников и руководства, определяет корпоративное
мышление. Показатели – это один из инструментов управления, который позволяет
реализовывать абстрактные стратегические цели.
В практике развитых стран показатели
составляют целое направление в менеджменте, которое занимается исследованием и
разработкой систем измерения функционирования и эффективности компаний. Оно
получило название: измерение результативности и
управление (Performance Measurement and Management). Этому направлению
отводится очень важное место, поскольку в качестве непреложной истины
считается, что нельзя управлять тем, что нельзя измерить. Поэтому эта область
исследований представляет интерес не только для науки, но в первую очередь для
практики. Измерение результативности (Performance Measurement) находится в центре
постоянного внимания многих крупнейших корпораций, которые ведут разработки
показателей для собственных нужд.
Основания
бухгалтерской метрики
Исходными категориями, на основе которых
выстраивается мыслительная модель бизнеса, являются понятия бухгалтерского
учета. Именно они позволяют составить представление об агрегированных величинах
доходов, расходов, прибылей и убытков, активов и пассивов. Несмотря на то, что
в экономических расчетах зачастую приходится корректировать установленные на
основе бухгалтерских стандартов цифры, вносить в них многочисленные изменения,
другой альтернативы пока еще никто не придумал. Бухгалтерия – главная информационная
лаборатория компании, плодами которой пользуются и финансисты и маркетологи и
специалисты по управлению персоналом, и конечно, высшее руководство
организации, а также внешние пользователи, инвесторы, кредиторы, налоговые
инспекции.
Бухгалтерский учет представляет собой
сложную систему формирования и отображения экономической информации. Для
понимания этой информации необходимо иметь четкие и целостные представления о
конструкции учета и отчетности, знать ее сильные и слабые места, участки на
которых возможно искажение действительности. Любая национальная система учета
руководствуется собственными принципами и правилами. Однако к сегодняшнему дню
наибольшую популярность в мире завоевали две концептуально проработанные
модели: IFRS и US GAAP. Первая получила признание в силу
ориентированности на систему международного учета, вторая в силу жестких
требований SEC и привлекательности
американского рынка капитала, крупнейшего в мире.
В США составляющие
информационной модели компании определяются концептуальным стандартом SFAC 6. Этот стандарт
содержит классификацию элементов, которые составляют финансовую отчетность. Без
этого стандарта невозможно понять систему US GAAP.
Он распространяется как на коммерческие, так и на некоммерческие организации.
Под элементами финансовой отчетности
понимаются статьи, которые описываются в словесной и цифровой форме ресурсы
организации, требования на эти ресурсы, последствия сделок и иных событий и
обстоятельств, которые приводят к изменениям в этих ресурсах и требованиях.
Стандарт определяет 10 взаимосвязанных
элементов, которые непосредственно относятся к измерению результативности и
положения юридического лица.
1. Активы (Assets);
2. Обязательства (Liabilities);
3. Собственный капитал
или чистые активы (Equity or
Net Assets)
– это доля в активах, которая остается после вычета всех обязательств. В
коммерческой организации это имущественные права собственников капитала. В
некоммерческой организации чистые активы подразделяются на 3 категории в
зависимости от наличия или отсутствия ограничений, налагаемых финансирующей
организацией (Donor): 1) постоянно
ограниченные, 2) временно ограниченные, 3) неограниченные чистые активы;
4. Капиталовложения
собственников (Investments by Owners);
5. Распределения
собственникам (Distributions to Owners);
6. Совокупный доход
(Comprehensive income) - доход от основной деятельности (Operating Income) и увеличения
стоимости капитала (Holding Gain);
7. Выручка (Revenues);
8. Расходы (Expenses);
9. Прочие прибыли (Gains);
10. Прочие убытки (Losses).
Все эти элементы связаны между собой.
Финансовые отчеты как раз и должны наилучшим образом раскрыть эту взаимосвязь
на основе применения балансового метода представления информации. Полный
перечень финансовых отчетов (Full Set of Financial Statements) в соответствие
с SFAC предполагает раскрытие необходимого объема и разнообразия
информации о компании в отчетах, которые раскрывают следующие сведения о
предприятии:
- Финансовое положение на конец периода (Financial position at the end of the
period);
- Прибыль (чистая прибыль) за период (Earnings (net
income) for the period);
- Совокупный
доход (совокупные изменения в капитале, не связанные с владельцами) за
период (Comprehensive
income (total nonowner changes in equity) for the period);
- Денежные
потоки в течение периода (Cash flows during the period);
- Вложения
собственников и распределения в пользу собственников в течение периода (Investments by
and distributions to owners during the period).
Показатели
доходов и расходов.
|
Акроним
|
Полное наименование
|
|
Перевод
|
|
|
|
|
Доходы
|
|
|
|
|
|
|
|
|
|
GOR
|
Gross Operating Revenues
|
|
Валовой операционный доход
|
|
GS
|
Gross Sales
|
|
|
Валовые продажи
|
|
|
|
NOR
|
Net Operating Revenues
|
|
Чистый операционный доход
|
|
|
NS
|
Net Sales
|
|
|
|
Чистые продажи
|
|
|
|
Расходы
|
|
|
|
|
|
|
|
|
|
COGS
|
Cost of Goods Sold
|
|
|
Себестоимость реализован. товаров
|
|
SG&A
|
Sales, General and Administrative Costs
|
Комм., общие и админ. расходы
|
|
R&D
|
Research and Development Cost
|
Затраты на исследования и развитие
|
|
TOE
|
Total Operating Expenses
|
|
Совокупные операционные расходы
|
|
OpEx
|
Operating Expenditures
|
|
Текущие расходы
|
|
|
|
CapEx
|
Capital Expenditures
|
|
|
Капитальные расходы
|
|
|
IntEx
|
Interest Expense
|
|
|
|
|
|
|
Выручка
В США вопросы признания выручки подробно
разбираются в SEC SAB 101 Revenue Recognition in Financial Statements.
Как водится, для начала следует разобраться
с наиболее общим показателем валовой выручки.
В целом, под выручкой в финансовых
стандартах США понимаются притоки или иные улучшения активов организации или
погашение обязательств в течение периода, которые возникают в результате
поставки или производства товаров и оказания услуг или в результате иных видов
деятельности, которые составляют продолжающиеся основные или центральные
операции. Активы, увеличение которых происходит посредством выручки, могут быть
различными: денежные средства, требования к потребителям, полученные товары и
услуги, увеличение стоимости продукта.
Чистые продажи (Net Sales) – это валовая
выручка от продаж за вычетом возврата продукции (Merchandise Return) и скидок (Discounts). Именно чистой выручкой обычно открывается американский отчет
о прибылях и убытках.
Расходы
Основными видами расходов, которые чаще
всего используются в аналитических расчетах, являются такие показатели, как
себестоимость реализованных товаров, общие, административные и коммерческие
издержки, затраты на НИОКР. Отдельного разговора заслуживают капитальные
расходы.
Капитальные расходы
Капитальные расходы – это величина денежных
средств, потраченных на приобретение объектов основных средств, а также
улучшений в них. Ремонт и обслуживание объектов основных средств относятся к
текущим расходам.
Капитальные расходы принято
капитализировать. Поэтому CapEx не
отражаются в отчете о прибылях и убытках, но их можно увидеть в отчете о
денежных потоках. Капитальные расходы – это тоже расходы, нельзя их
игнорировать.
Иногда рекомендуют определять капитальные
расходы как разницу между величиной основных средств на балансе в конце года и
той же величиной на начало года. Однако при этом не учитывается тот факт, что в
течение года часть основных средств может быть продана. Соответственно, для
вычисления капитальных расходов требуется, по крайней мере, прибавить величину
поступлений от реализации капитального имущества. Но и это не выход.
Основные средства подвергаются переоценке,
корректируются на обесценение. Они также амортизируются. В общем,
первоначальная стоимость на начало года изменяется естественным путем. Поэтому
капитальные расходы все же лучше определять не по балансу, а по отчету о
денежных потоках, тем более что они там выделяются отдельной строкой в разделе
инвестиционной деятельности.
CapEx – основа развития
компании. Для того чтобы поддерживать доходность бизнеса на требуемом уровне,
необходимы соответствующие капиталовложения. Для обеспечения роста доходности
бизнеса требуются дополнительные капиталовложения. В связи с этим совершенно
очевидным обстоятельством CapEx
заслуживают особого внимания при изучении и оценке перспектив бизнеса.
Инвесторов обычно интересует темп роста и его стабильность. Для того чтобы
следить за тем, как менеджеры обеспечивают основания для роста, нет ничего
лучше, чем CapEx и их доля в структуре
расходов компании. Кроме того, эта величина используется в расчетах важнейших
экономических показателей, например, свободного денежного потока. Несмотря на
то, что капиталовложения обычно расцениваются позитивно, нельзя забывать и о
том, что существует определенный уровень, превышение которого следует
рассматривать как нежелательное. Всему нужно знать меру, даже инвестициям.
Капитальные расходы заслуживают особого
внимания еще и по той причине, что они не включаются в отчет о прибылях и
убытках в течение длительного периода. Пользователи отчетности, поэтому должны
учитывать насколько оправданы капитальные вложения. Инвестиции сами по себе
могут приносить и доход и убыток. Кроме того, некоторые инвестиции могут
превратиться в “белых слонов”, которые требуют постоянной финансовой подкормки,
не создавая никакой стоимости или даже съедая ее.
Распродажа “старых” капитальных активов
может быть нормальным процессом обновления физического капитала. Важно чтобы
выбывающие активы компенсировались новыми основными средствами. В противном
случае может наблюдаться сокращение инвестиционных активов и как следствие
операционных доходов. Коэффициент обновления основных средств можно рассчитать
как отношение вновь приобретенных за период капитальных активов к общей
величине основных средств на конец периода.
Оборотный капитал
Кроме CapEx
для обеспечения и поддержки роста требуется также некоторый уровень оборотного
капитала (Working Capital). Известно, что постоянный уровень
оборотного капитала не требует финансирования. Потребность в привлечении
денежных средствах возникает при увеличении оборотного капитала, а при его
сокращении денежные средства, напротив, высвобождаются. Оборотный капитал
оказывает неоднозначное влияние на компанию. С одной стороны, чем меньше
потребность в нем, тем лучше с точки зрения экономии финансовых ресурсов. С
другой стороны, оборотный капитал должен быть в достатке, чтобы обеспечить
ликвидность и бесперебойность операционной деятельности. Одним словом,
недостаток оборотного капитала может навлечь даже больше неприятностей, чем его
избыток. Этот компонент требует к себе особенно внимательного отношения. Это
важно понимать пользователям финансовой отчетности.
Потребление выгод
Потребление экономических выгод от
использования активов признается в зависимости от типа расходов:
- прямые расходы, прежде всего, COGS,
признаются в момент признания выручки, поскольку они соотносятся с ней;
- многие расходы, например, коммерческие,
административные расходы признаются в течение периода, когда они были
произведены (признаются в момент выплаты денежных средств, возникновения
обязательств);
- некоторые расходы распределяются на
систематической и рациональной основе между периодами, в течение которых
актив обещает приносить выгоды.
Инвестиционные расходы принято соотносить
во времени с периодами получения экономических выгод, получаемых от этих
инвестиций. Распределенные затраты осуществляются единовременно, но по правилам
бухгалтерского учета распределяются рационально и систематически на периоды, в
течение которых они используются для получения дохода.
Такую роль, выполняет амортизация и
некоторые другие виды списаний по мере получения полезных результатов.
От этого зависит отражение результатов
отдельных операций либо на счетах капитала, либо в качестве доходов или
расходов за период, отложенных доходов или расходов и др.
Чтобы быть уверенным в правильности
отражения, необходимо четко понимать смысл того или иного варианта признания,
свойства и характеристики соответствующих элементов отчетности.
Капитализирование и DDA Expenses
Капитализирование расходов – это отнесение
их на счет внеоборотных активов. Обычные расходы периода – это выбытие активов.
Капитализированные расходы – это не выбытие денежных средств и прочих активов,
а их трансформация в другие активы, которые будут потребляться, а вернее
приносить экономические выгоды в течение нескольких лет. Часть
капитализированных активов должна ежегодно списываться на расходы. Теоретически
эта часть измеряется величиной экономических выгод, которые предоставил данный
актив. Иными словами следует определить общую величину экономических выгод,
производимых активом, а затем ежегодно оценивать часть полученных от него выгод
относительно общей величины на протяжении всего срока предполагаемого
использования. Амортизация представляет собой пропорцию полученных в отчетном
периоде выгод, отнесенную на историческую или справедливую стоимость актива. Амортизационные расходы являются неденежными. Они не связаны
с оттоком, расходованием денежных средств. Это просто бухгалтерская запись,
уменьшающая величину прибыли.
Кстати, то что в России именуется одним
словом “амортизация” в США разбивается на три вида распределения затрат:
амортизация материальных активов (Depreciation), амортизация нематериальных
активов (Amortization) и истощение запасов (Depletion).
Отсроченные расходы
Отсроченные расходы или предоплаченные
долгосрочные затраты (Deferred Charges) можно
считать разновидностью долгосрочных активов, которые амортизируются.
Это затраты на оплату услуг, которые в
будущем принесут доходы. К ним относятся страховые премии, затраты на аренду,
расходы на выпуск акций, затраты по займам и некоторые прочие виды затрат. Их
не так уж и мало.
Они являются весьма специфическими
активами, поскольку обычно не имеют материальной формы и не могут быть проданы.
Таким образом, отсроченные расходы считаются нематериальными активами, а потому
амортизируются посредством Amortization.
Затраты на размещение займов (комиссионные,
регистрационные платежи, юридические расходы и т.п.), а также прямые затраты на
лизинг (Costs
Associated with Originating or Acquiring Loans and Initial Direct Costs of
Leases)
относятся к отсроченным расходам и амортизируются в течение всего срока
действия займа.
При этом под займами понимаются все виды
заимствований от всех видов кредиторов, в т.ч. выпуск долговых ценных бумаг
(облигаций).
Точно также амортизируются премии и скидки,
возникающие при размещении займов.
Затраты на выпуск акций (Stock Issuance Costs) могут учитываться как
вычет из поступлений при размещении (компенсационный метод), а могут
признаваться как отложенный платеж, амортизируемый в течение определенного
периода (метод отложенных платежей).
Затраты, связанные с полезными ископаемыми
Затраты на приобретение прав на разработку
полезных ископаемых, затраты на успешные геологоразведочные работы, затраты на
добычу полезных ископаемых затраты на вспомогательные средства и оборудование
считаются нематериальными активами, которые амортизируются в течение сроков
эксплуатации месторождений полезных ископаемых.
При этом в качестве базы для начисления
амортизации используется величина, которая рассчитывается как разность между
капитализированными затратами и остаточной стоимостью, плюс восстановительные
затраты при завершении эксплуатации месторождений (на восстановление
ландшафта).
Проектные затраты
В соответствии с SFAS 67
капитализируются затраты, связанные с приобретением, подготовкой к эксплуатации
и строительством недвижимого имущества (Capitalization of Preacquisition, Acquisition and Development Costs), которые
рассматриваются как проектные затраты. При этом общие и административные
затраты исключаются из проектных издержек и относятся на расходы периода.
Могут капитализироваться (при соблюдении
определенных критериев) опционы на приобретение земли (Option to Purchase Land),
задатки (Earnest Money Deposits), стоимость
дополнительных услуг, необходимых для завершения сделки купли-продажи
недвижимости (Closing Costs),
комиссии, гонорары за обследование (Survey Fees),
юридические платежи (Legal Fees),
архитектурные платежи (Architectural Fees),
платежи за конструкторские работы (Engineering Fees),
экологические платежи (Environmental Fees),
затраты на анализ почвы (Soil Tests),
платежи подрядчикам и субподрядчикам (Contractor
and Subcontractor Fees),
стоимость материалов, использованных при подготовке к эксплуатации (Cost of Materials
used in Development), платежи за получение лицензий, разрешений (Fees for Permits), налоги на доходы с
недвижимого имущества (Property Taxes) и
страховые издержки (Insurance Costs).
Капитализация процентных издержек
При приобретении внеоборотных активов часто
возникает необходимость использовать заемные средства. В этом случае издержки
на выплату % по полученному кредиту могут быть капитализированы (включены в
стоимость приобретенных капитальных активов), если решение о привлечении
заемных средств продиктовано исключительно соображениями приобретения данного
актива, который в таком случае называется квалифицированным. Правила
капитализации процентных издержек установлены SFAS 34.
Некапитализируемые инвестиции
Согласно правилам бухгалтерского учета все
расходы на научно-исследовательские и опытно-конструкторские работы отражаются
как затраты в момент их возникновения. Такой подход продиктован логикой
осторожности и финансового благоразумия. До тех пор пока не установлено, что
затраты принесут действительные экономические выгоды, они не считаются
активами. В отношении НИОКР всегда имеются сомнения в их способности окупиться.
Вместе с тем, с экономической точки зрения их справедливо рассматривать как
инвестиции, а, следовательно, необходимо капитализировать.
Процентные расходы
Процентные расходы отражаются в отчетности
отдельной строкой, так как их анализ позволяет выявить эффективность политики
привлечения заемных средств. Достаточно сопоставить общую сумму долга и текущие
процентные расходы, чтобы определить насколько дорого обходится долг. При этом,
однако, следует учитывать положительное влияние процентных расходов на чистую
прибыль. Расходы по выплате % обычно не облагаются налогом, вследствие чего ими
продуцируется эффект налогового щита.
Прибыль прибыли
рознь
Расходы расходами. Но главное – это,
конечно, показатели прибыли. Прибыль в западной практике оценивается целым
набором показателей. В общем случае принято различать прибыль до вычета
амортизации, прибыль до уплаты налогов и %.
Отечественной практике известно понятие
“налогооблагаемая прибыль”. В принципе она почти не отличается от зарубежных
аналогов, если не считать различий в стандартах бухгалтерского учета…
Концепция поддержания капитала
Согласно этой концепции прибыль признается
только при условии сохранения первоначального капитала. Если инвестиционный
актив обесценился, полученный от его использования доход должен быть, прежде
всего, направлен на восстановление его “потерянной” стоимости.
Показатели прибыли
|
Акроним
|
Полное наименование
|
|
Перевод
|
|
|
|
|
|
|
|
|
|
|
|
|
|
CI
|
|
Совокупный доход
|
|
|
|
OCI
|
Other Comprehensive Income
|
|
Иные составляющие совокупного
|
|
|
|
|
|
дохода
|
|
|
|
|
GP
|
Gross Profit
|
|
|
Валовая прибыль
|
|
|
|
OP
|
Operating Profit
|
|
|
Операционная прибыль
|
|
|
OI
|
Operating Income
|
|
|
Операционная прибыль
|
|
|
OIBDA
|
Operating Income before Depreciation
|
Операционная прибыль перед вычетом
|
|
and Amortization
|
|
|
амортизации ОС и НА
|
|
|
NOI
|
Net Operating Income
|
|
Чистая операционная прибыль (NOPAT)
|
|
NOPAT
|
Net Operating Profit after Tax
|
|
Чистая операционная прибыль после
|
|
|
|
|
|
уплаты налогов
|
|
|
|
NOPLAT
|
Net Operating Profit Less Adjusted Taxes
|
Чистая операционная прибыль после
|
|
|
|
|
|
|
уплаты скорректированных налогов
|
|
ATOI
|
After Tax Operating Income
|
|
Посленалоговая операционная прибыль
|
|
EBITDA
|
Earnings before Income, Tax,
|
|
Прибыль до уплаты %, налогов
|
|
|
Depreciation and Amortization
|
|
и амортизации
|
|
|
|
EBIT
|
Earnings before Income and Tax
|
Прибыль до уплаты %, налогов
|
|
EBIT adj
|
Adjusted EBIT
|
|
|
Скорректированная прибыль до уплаты
|
|
|
|
|
|
% и налогов
|
|
|
EBIAT
|
Earnings before Interest After Tax
|
Прибыль перед уплатой %,
|
|
|
|
|
|
|
но после уплаты налогов
|
|
|
NEBITDA
|
Normalized Earnings before Income,
|
Нормализованная EBITDA
|
|
|
|
Tax, Depreciation and Amortization
|
|
|
|
|
|
EBITDAX
|
Earnings before Income, Tax,
|
|
Прибыль перед начислением амортиз.
|
|
|
Depreciation and Amortization and
|
ОС и НА, уплатой % и налогов
|
|
|
Exploration Costs
|
|
|
и за вычетом расходов на геолого-
|
|
|
|
|
|
разведочные работы
|
|
|
|
|
|
|
(используется только добывающей
|
|
|
|
|
|
отрасли)
|
|
|
|
|
EBITDAR
|
Earnings before Income, Tax,
|
|
Прибыль перед начислением амортиз.
|
|
|
Depreciation and Amortization and
|
ОС и НА, уплатой % и налогов
|
|
|
Rent/Lease Payments
|
|
и за вычетом расходов по аренде и
|
|
|
|
|
|
лизингу
|
|
|
|
|
G&L
|
Exploration Costs
|
|
|
Прочие прибыли и убытки
|
|
|
NI
|
Net Income
|
|
|
Чистая прибыль
|
|
|
|
Отчет о прибылях и убытках компании.
|
|
|
|
|
|
|
№
|
Наименование показателей
|
Сумма
|
|
|
|
|
|
|
1
|
SALES
|
2 483 930 654,00
|
|
|
2
|
TAX
|
378 904 676,03
|
|
|
3
|
NET SALES
|
2 105 025 977,97
|
|
|
4
|
COGS (COST OF SALES)
|
1 199 178 529,00
|
|
|
5
|
GROSS PROFIT
|
905 847 448,97
|
|
|
6
|
SG&A COST
|
424 068 290,61
|
|
|
7
|
OTHER EXPENSES
|
197 886 801,10
|
|
|
8
|
OTHER INCOME
|
82 241 559,14
|
|
|
9
|
Depreciation
|
16 576 150,37
|
|
|
10
|
EBITDA=GROSS PROFIT-SG&A COST-OE+OI+Dep.
|
382 710 066,77
|
|
|
11
|
EBIT=EBITDA-Depreciation
|
366 133 916,40
|
|
|
12
|
INTEREST
EXPENSE
|
31 297 352,00
|
|
|
13
|
INTEREST
INCOME
|
|
|
|
14
|
EBT=EBIT-IE+II
|
334 836 564,40
|
|
|
15
|
TAX
|
80 360 775,46
|
|
|
16
|
NET INCOME
|
254 475 788,94
|
|
|
17
|
DIVIDENDS
|
31 000 000,00
|
|
|
18
|
CASH EARNINGS=NET INCOME-DIVIDENDS
|
223 475 788,94
|
|
|
|
|
|
|
|
|
|
|
|
|
|
Лирическое отступление или себестоимость и
амортизация
В финансовой отчетности расходы по
амортизации (Depreciation Expenses)
относятся на себестоимость реализованной продукции COGS, управленческие
и коммерческие расходы SG&A Costs. Например, амортизация
производственного оборудования, цеховых зданий с полным основанием может быть
включена в COGS. Амортизация офисных помещений, компьютерных серверов и
других основных средств, которые используются административно-управленческим
персоналом, по логике вещей входит в состав SG&A Costs.
Однако вы уже, наверное, заметили, что в
примерах и формулах расчета показателей, описанных выше, амортизационные
расходы учитываются отдельно и в состав COGS и SG&A Costs не
включаются. Такая практика повсеместно встречается в финансовых расчетах и
учебных примерах. COGS отражает лишь стоимость потребленных запасов и
прямых затрат труда производственных рабочих, а SG&A Costs текущие расходы.
Нужно помнить, что в реальной финансовой отчетности (составленной по стандартам
IFRS или US GAAP), для получения таких “очищенных” от амортизации
показателей потребуется вычесть амортизационные затраты (они обычно указываются
в примечаниях к отчетности). Хотя такой необходимости обычно нет. Себестоимость
должна включать в себя все необходимые производственные расходы.
Некоторые авторы, излагающие основы GAAP,
довольно часто вводят читателей в заблуждение, когда пишут только одно из двух
возможных утверждений: “COGS включают амортизацию”, “COGS не
включают амортизацию”. Как ни странно, возможно и то и другое. И логический
закон тождества при этом не нарушается.
Далее мы увидим, что в США весьма
противоречивые трактовки наиболее важных показателей не редкость. Сами по себе
стандарты финансовой отчетности возникли в ответ на потребность упорядочить
практики и преодолеть значительный масштаб расхождений между различными
компаниями в использовании методов составления отчетности.
GAAP до сих пор являются наиболее гибкими
стандартами в мире и не устанавливают жесткой классификации доходов и расходов
при расчете операционной прибыли. Жестко регламентированы только наиболее
важные составляющие и конечные показатели прибыли. Промежуточные показатели
могут использоваться по усмотрению компаний.
Порядок отражения амортизации закреплен в
APB 12. Однако в нем вопрос распределения затрат на амортизацию не
регламентируется. Во многих отношениях бюллетени описывают требуемые методы
учета довольно расплывчато. Нужно вспомнить, что амортизация это часть
накладных расходов (Overhead Costs). А накладные
расходы подлежат распределению на произведенную продукцию. Исключение
составляют торговля, где себестоимость формируется в основном за счет
закупочной цены товаров, и сфера услуг, где себестоимость складывается, прежде
всего, из затрат труда.
В производственном секторе накладные
расходы распределяются через процесс трансформации запасов из исходного сырья в
незавершенное производство и готовую продукцию. Когда определяется стоимость
запасов на конец периода, она включает в себя амортизацию. Запасы состоят не
только из сырья и материалов, но и из готовой продукции и незавершенного
производства. Готовая продукция оценивается по стандартам GAAP с учетом
потребленных сырья, материалов, затраченного труда, амортизации, накладных
расходов.
Порядок отражения запасов определяется ARB
43 и SFAS 151. Согласно этим положениям запасы отражаются по
связанным с ними затратам. К ним относятся затраты на приобретение,
транспортировку, погрузочно-разгрузочные работы, а также производственные
затраты (для незавершенного производства и готовой продукции). Распределение
затрат – процесс, основывающийся на принятии допущений (Considerations) относительно
лучшего отражения в отчетности стоимости запасов, что может быть связано с
отраслевыми особенностями.
В соответствии с ARB 43 и SFAS
151 затраты делятся на те, которые включаются в стоимость запасов, а,
значит, и себестоимость продукции (Inventoriable Costs) и затраты, которые
отражаются в качестве расходов периода (Period Costs). Их также называют
Product Charges и Period Charges. Inventoriable
Costs – это все издержки, которые в момент возникновения отражаются как
актив, а впоследствии, после реализации продукции, становятся стоимостью
проданной продукции (т.е. себестоимостью). Упомянутый актив – это стоимость
запасов (например, когда часть запасов в виде сырья и материалов, потребленных
в производственном процессе, трансформируется в другую часть запасов в виде
незавершенного производства и готовой продукции, на нее переносятся прямые
затраты труда, прямые и накладные расходы, как переменные, так и постоянные). Period
Costs отражаются отдельно от COGS.
Они рассматриваются как затраты периода. К ним относятся, прежде всего,
коммерческие расходы (Selling Expenses), а также избыточные
затраты, связанные с простоем оборудования (Idle Facility Expense), транспортировкой (Freight),
погрузочно-разгрузочными работами (Handling Costs), потерями
материалов (Wasted Material), производственным
браком (Spoilage).
GAAP оставляют значительный простор для
распределения затрат. В частности даже SG&A в некоторой своей части
могут относиться на стоимость запасов, если их связь с производственным
процессом надежно установлена. Во многих случаях порядок распределения затрат GAAP
оставляют на усмотрение составителей отчетности. Тем не менее, в SFAS 151
подчеркивается, что исключение всех накладных расходов из стоимости запасов не
соответствует общепринятым учетным процедурам. Любые суждения должны быть
разумными и последовательными, основываться на принципах учета и отчетности.
Переменные накладные издержки (в т.ч. и
амортизация) относятся на каждую единицу продукции на основе действительного
использования производственного оборудования. Распределение постоянных
производственных накладных расходов на затраты по преобразованию запасов (Cost
of Conversion) осуществляется на
основании нормального уровня использования производственных мощностей (Normal Capacity of the Production Facilities). При этом
учитываются объемы производства продукции. В периоды необычно высоких объемов
производства постоянные накладные расходы должны уменьшаться, чтобы продукция
не измерялась выше своей себестоимости, а в периоды необычно низких объемов
производства, постоянные накладные издержки не должны завышаться. Т.е.
постоянные издержки должны выделяться отдельно, а не рассчитываться как
норматив на единицу продукции.
Вряд ли стоит отказываться от такого
важного понятия как себестоимость продукции. Амортизационные расходы в любом
случае отражаются в годовом отчете. Для определения доамортизационной прибыли
лучше вычесть их из операционной прибыли, рассчитанной на основании COGS
и SG&A, включающих амортизацию. Сделать это можно следующим образом:
Фрагмент отчета о прибылях и убытках
компании.
|
Sales
|
|
|
Продажи
|
|
|
5000
|
|
Discouts
|
|
|
Скидки
|
|
|
|
-100
|
|
Sales Return and Allowances
|
Возврат продаж и выплаты пособий
|
-50
|
|
Net Sales
|
|
Чистые продажи
|
|
|
4850
|
|
COGS
|
|
|
Себестоимость
реализован. товаров
|
-3100
|
|
Gross Profit
|
|
Валовая
прибыль
|
|
|
1750
|
|
SG&A
|
|
|
Комм.,
общие и админ. расходы
|
-700
|
|
R&D
|
|
|
Затраты на исследования и развитие
|
|
|
|
-300
|
|
Operating Income
|
Операционная
прибыль
|
|
750
|
|
Depreciation, Amortization,
|
Обесценивание (амортизация
|
80
|
|
Exhaustion
|
|
ОС и НА) Износ
|
|
|
|
|
OIBDA
|
|
|
Операционная
прибыль перед вычетом
|
830
|
|
|
|
амортизации
ОС и НА
|
|
|
В распределении затрат многое зависит от
вида бизнеса. Например, в розничной и оптовой торговле, в COGS включают только стоимость проданных запасов
(реализованных товаров, оцениваемых по закупочной цене). Затраты на оплату
труда в данном виде бизнеса в состав себестоимости обычно не включаются, равно
как и амортизация. Они больше подходят для статьи “коммерческие
расходы”. В производственных и добывающих отраслях себестоимость трудно
представить без прямых затрат труда, которые составляют весомую величину и
необходимы для трансформации сырья и материалов в товары. В состав
себестоимости могут также включаться косвенные трудовые затраты, если их можно
отнести на продукцию.
И снова прибыли
Вернемся к общей схеме расчета прибылей
компании, в которой представлена структура бухгалтерских показателей.
Это очень полезная структура показателей.
Обратите внимание, что в 3-м столбце таблицы даны формулы расчетов. По ним
можно определить и обратные показатели. Например, зная чистую прибыль можно
путем нехитрых вычислений узнать значения показателей EBT, EBIT
и EBITDA. Это может оказаться
необходимым в том случае, когда в отчетности эти показатели не фигурируют (в
принципе, стандартами US GAAP они не
устанавливаются).
EBT=NI/(1-T)
EBIT=EBT+I=NI/(1-T)+I
В общем, EBITDA и OIBDA в
принципе одно и то же. По крайней мере, до 2002 года OIBDA не было, зато
активно использовалась EBITDA. Однако термины Earnings
и Operating Income, которые являются основой этих показателей, не одно и
то же. Американские компании не задумывались над терминологией и с
незапамятных времен использовали EBITDA как синоним операционной прибыли
до вычета амортизации (само собой разумеется, что проценты и налоги из
операционной прибыли не вычитаются, поскольку они выплачиваются с совокупной
прибыли Earnings), пока не вмешался SEC.
В соответствии с Regulation G Комиссии по ценным бумагам и биржам США
все отличные от GAAP показатели должны приводиться к показателям GAAP,
что обычно реализуется в разделе дополнительной информации в табличной форме.
Согласование требуется для того, чтобы показать порядок расчета показателей в
терминах GAAP и минимизировать возможность ввести в заблуждение
пользователей отчетности, в которой фигурируют такие показатели, в отношении
которых отсутствуют стандарты, регулирующие их расчет и представление. Так вот,
SEC посчитал, что EBITDA должна
включать неоперационные прибыли и убытки, в т.ч. от финансовой и инвестиционной
деятельности. Т.е. он рассчитывается на основе чистой прибыли и является Net
Income before Interest, Taxes, Depreciation and Amortization. Если
при расчете показателя, отличного от показателя GAAP делаются
определенные корректировки, необходимо показывать механизм согласования с
наиболее подходящим показателем GAAP. Поэтому компаниям пришлось
выбирать: либо рассчитывать EBITDA по новой методике (отталкиваясь от
чистой прибыли), либо использовать новое название для устоявшегося показателя.
Так и появился OIBDA.
В общей схеме расчета прибылей компании
представлены EBIT и EBITDA в понимании, которое следует из
предписаний SEC. И если в отчетности GAAP
вы можете встретить его в таком понимании, в научной и учебной литературе
нередко приходиться видеть еще старое представление о расчете этого показателя.
Прибыль до выплаты налогов
Операционная прибыль в особом почете,
прежде всего, потому, что она меньше всего страдает от бухгалтерских
корректировок. Это доход от самой что ни на есть основной деятельности
компании, а потому раскрывает общий потенциал бизнеса. Этот показатель чаще
всего используется при прогнозировании доходности бизнеса.
Почему такое большое внимание уделяется
доналоговым прибылям?
Дело в том, что OIBDA раскрывает
возможность избежать уплаты налогов (вполне законными, между прочим,
способами). Действительно, операционная прибыль до вычета амортизации и налогов
позволяет оценить способность компании осуществлять расходы, финансировать
капитальные расходы и финансовые инвестиции, возможность обслуживать проценты
по вновь взятым займам и кредитам. Осуществляя эти расходы, компания уменьшает
величину подлежащих уплате налогов на T. Почему вычитается
амортизационные расходы? Потому что они не связаны с расходом денежных средств
и, следовательно, занижают действительный потенциал компании в глазах инвестора
или аналитика. По этим причинам показатель OIBDA нашел широкое
распространение и отклик в сердцах инвесторов, аналитиков, рейтинговых
агентств, которые предпочитают использовать его в качестве основы своих
заключений о финансовой результативности и возможностях компаний, даже,
несмотря на то, что он не предусматривается в стандартах финансовой отчетности.
Недостатком OIBDA является то, что,
игнорируя амортизацию, он не учитывает необходимость замены капитального
оборудования. Поэтому при анализе отчетности его используют не как основной, а
как вспомогательный показатель, сопоставляя с чистой и операционной прибылью.
Для более удобного восприятия часто
используется также относительный показатель Маржа OIBDA (OIBDA Margin
= OIBDA/Revenue). Соответственно Gross Margin, Operating Margin
– это процентные величины прибылей в отношении к нетто-выручке.
Скорректированный OIBIT или EBIT
– это исходный показатель, подвергнувшийся дополнительным изменениям. Чаще
всего корректировки предполагают добавление расходов по амортизации Гудвилла
(поскольку они не связаны с действительным расходованием средств), вычетом
процентных доходов, если они учитывались, добавление забалансовых расходов
(например, расходов по лизингу). Корректировки проводятся для того, чтобы
получить более точную с экономической точки зрения величину прибыли, очищенную
от произвольных бухгалтерских наслоений.
Посмотрим на другие показатели, например, NOPAT.
Он рассчитывается следующим образом:
NOPAT = EBIT(1 – T)
Эту формулу вы найдете в любом учебнике.
Обратите внимание, что NOPAT явно не соответствует своему названию
“чистой операционной прибыли”, если рассчитывать ее на основе EBIT.
Имеется в виду OIBIT.
Поэтому лучше пользоваться формулой:
NOPAT = Operating Income*(1 - Tax Rate).
NOPAT – несколько искусственный
показатель, поскольку налоги вычитаются обычно после вычисления полной
налогооблагаемой прибыли, в которую входят неоперационные доходы и расходы.
Смысл NOPAT состоит в том, что он представляет очень важную информацию о
потенциальных прибылях организации, которые она могла бы получить, если бы не
использовала заемного капитала. На основе NOPAT можно увидеть, какую
часть операционной прибыли съедает обслуживание долгов. Вместе с тем, NOPAT
также исключает из рассмотрения налоговый щит. Поэтому он позволяет
сформировать более непредвзятый взгляд на операционную эффективность
предприятия и именно для этих целей используется в первую очередь.
NOPAT предназначен для того, чтобы оценить
эффективность работы компании, получаемый ей доход непосредственно от
операционной деятельности, а не от решений по финансированию, за счет
налогового планирования, финансовой и инвестиционной деятельности. В этом и
преимущество и одновременно ограничение операционных показателей.
NOPLAT отличается тем, что при его расчете
производится корректировка налогов к кассовому методу. Т.е. из OIBT
вычитается не та сумма налога, которая представлена в отчете о прибылях и
убытках, составленному по методу начисления (налоговый расход), а та сумма
денежных средств, с которой предприятие расстается в текущем периоде в пользу
налоговых органов. Для определения этой величины из отчетного налога обычно
вычитается величина отложенных налогов. Кроме того, к кассовой налоговой базе
прибавляют налоговый щит от процентных расходов и вычитают налог на процентные
доходы и налог на неоперационный доход. Искомая сумма и является скорректированной
величиной налога на операционную прибыль.
T adj. =
T – Deferred T + TmI – TmII + Le capTm + Le opTm – TmnonOI
NOPLAT = adj. EBIT(1
– T adj.) или NOPLAT =
adj. OIBT(1
– T adj.)
Итак, мы получили величину, которая
отражает более реалистичную оценку “денежной” прибыли от операционной
деятельности, остающуюся в распоряжении компании. Чаще всего ее используют в
решении экономических задач, связанных с определением доходов, генерируемых
бизнесом, в прогнозировании будущих поступлений от операционной деятельности.
Нормализация прибылей (Earnings
Normalizing)
Нормализованные прибыли определяются путем
устранения нерегулярных, экстраординарных и временных событий. Обычно они
определяются путем усреднение временного ряда скорректированных прибылей.
Внешнему аналитику важно четко представлять, каким образом были получены
нормализованные прибыли, поскольку существует возможность для подтасовок.
Нормализованные прибыли по определению –
это постоянные, воспроизводимые доходы компании (Recurring Operations).
Нормализованные показатели исключают статьи, которые не относятся к ключевым
(центральным) операциям, позволяют представить текущую прибыль в виде
сопоставимом с прошлыми периодами.
Нормализованные прибыли могут
использоваться в различных целях, например, чтобы представить компанию в
выгодном свете, вселить уверенность в стабильности получаемых ею доходов, или
чтобы дать более полное представление о перспективах развития бизнеса. В любом
случае, нормализованная прибыль приводится в соответствие с показателями
отчетной прибыли через процедуру GAAP Reconciliation, о которой упоминалось уже
неоднократно.
Для того чтобы рассчитать нормализованную
прибыль за основу берется чистая прибыль (либо операционная прибыль), к которой
применяются нормализующие корректировки (Normalizing
adjustments).
К нормализующим корректировкам относятся обычно “прочие статьи” (Other Charges), неденежные статьи (Non-Cash Charges), обесценение Гудвилла
(Goodwill Impairments), прибыли и убытки
по инвестициям. В случае Normalized EBITDA в качестве базы расчета
берется операционная прибыль. В этом случае корректировки на неденежные статьи,
прибыли и убытки по инвестициям обычно не требуются. В общем, список
корректировок неограничен. Все зависит от фантазии “нормализаторов” отчетности.
Кроме того, нормализованная прибыль может быть выражена не в текущих долларах,
а в стабильных ценах (скорректированных на фактор инфляции).
Мы также рассматривали, что прибыль может
быть реализованной и нереализованной. Соответственно, в рамках нормализации
возможна корректировка на вероятность реализации еще нереализованных прибылей.
Одна из слабых сторон нормализованной
прибыли – отсутствие единой методологии расчета, вследствие чего этот
показатель не пригоден для сравнительного анализа. Он не сопоставим с
аналогичными показателями других компаний, поскольку нормализующие
корректировки в каждом случае выбираются произвольно как по статьям, так и по
суммам. Если сравнения и допустимы, то с целой кучей “но” и пониманием всей
условности подобных “оценок”.
Мозаика
бухгалтерских прибылей
Чистую прибыль образно называют "Bottom Line", т.е. нижняя
строчка отчета о прибылях и убытках. И хотя, как мы уже убедились,
представления о содержании этой строчки коренным образом поменялись, и вероятно
претерпят изменения в дальнейшем, чистая прибыль по-прежнему считается
важнейшим показателем, обобщающем все то, что удалось добиться компании за
отчетный период. "Bottom Line" может также
переводиться как результат, итог. В любом случае стоит обратить внимание на
этот неофициальный термин, поскольку он довольно часто встречается в лексиконе
американских экономистов.
В терминах, обозначающих прибыль,
используемых американскими финансистами, разобраться непросто. Зачастую в один
и тот же термин вкладывается разный смысл. То, что мы рассмотрели выше, это
“джентльменский набор” показателей, которые чаще всего применяются финансистами
и аналитиками. Стандарты финансовой отчетности США выдвигают собственный взгляд
на прибыли компании.
Технические термины в GAAP в известной мере
противопоставляются общеупотребительным. Например, термин Profit в GAAP
используется в широком смысле для характеристики успешного функционирования
предприятия в течение периода. Его место в классификации Comprehensive Income и
Earnings не устанавливается. Экономический термин Profit or Loss также
может быть противопоставлен узкому понятию Gain or Loss (мы рассмотрим
их чуть ниже). Loss может означать отрицательный результат бизнеса и
может выражать как отрицательную чистую прибыль, так и отрицательный совокупный
доход.
Попробуем вникнуть в суть
вопроса.
В США исторически сложились две
противоположных концепции прибыли. Первая (Current Operating Performance
Income Concept) настаивает на том,
чтобы в качестве измерения эффективности функционирования предприятия
рассматривать прибыль, полученную от текущих операций. Экстраординарные и
неповторяющиеся выигрыши и потери (Gains and Losses) исключаются из
прибыли. Согласно второй концепции (All-inclusive Income Concept) все поступления,
расходы, побочные выигрыши и потери предприятия должны отражаться в прибыли.
Каждый из подходов имеет свои преимущества.
В итоге в стандартах GAAP был принят второй подход, а первый отражался в
качестве промежуточного итога. Для отображения в отчетности неоперационных
прибылей стали применяться специальные термины: Gains and Losses. Таким образом,
между подходами был достигнут определенный компромисс.
Однако концепция полной прибыли на практике
реализовывалась со скрипом. Появились исключения из общего правила: некоторые
изменения в активах и обязательствах предписывалось отражать не в отчете о
прибылях и убытках, а на счете капитала в бухгалтерском балансе.
Но в таком случае некоторая часть
финансовых результатов выпадает из итоговой величины чистой прибыли. Чтобы
устранить проблему на вооружение была принята новая концепция, которую назвали
концепцией совокупного дохода (Concept of
Comprehensive Income).
Суть ее довольно проста – в отчетном периоде должны быть объединены в едином
показатели все признанные изменения в активах и обязательствах. Их необходимо
отразить в одном отчете. Под совокупным доходом понимается изменение в
собственном капитале (чистых активах) коммерческого предприятия в течение
периода, возникающие в результате сделок, событий и обстоятельств, не связанных
с собственниками. Инвестиции собственников предприятия в собственный капитал, а
также распределения из собственного капитала в их пользу, а также связанные с
ними эффекты исключаются из состава совокупного дохода, поскольку не связаны с
функционированием предприятия. Изменения собственного капитала вследствие
взаимоотношений с владельцами отражаются в отдельном отчете (Statement of
Changes in Equity).
Понятие Net Income, изначально
использовавшееся в GAAP, постепенно стало вытесняться понятием Earnings.
Отчасти это было связано с уточнением бухгалтерских требований к отражению
прибыли. Понятие прибыли “Earnings” подразумевает разницу между
полученными и ожидаемыми выгодами (выручка) и издержками на производство и
реализацию произведенных товаров и услуг. Earnings – это показатель
функционирования компании в течении периода, который исключает финансовые
результаты других периодов. По идее Earnings отличаются от Net Income на
величину бухгалтерских корректировок, связанных с переносом в отчетные прибыли
периода результатов другого периода (прошлого или будущего) или накопленных
результатов этих периодов. Earnings – это не просто отдельный
показатель, это целая концепция.
Концепция “Earnings” впервые была
введена Комитетом по стандартам финансовой отчетности в FASB Concepts
Statement 1 еще в 1978 году. Введение нового понятия было вызвано переходом
от кассового метода учета к методу начисления. Любопытно, что впоследствии этот
термин решили зарезервировать для обозначения концепции, отдельной от концепции
совокупного дохода, для которой предполагается более узкое содержание.
Различия между “Earnings” и
совокупным доходом не определены окончательно, FASB постепенно добавляет новые
пункты.
Совокупный доход зависит от:
- условий обмена (Exchange Transactions) – продать
большее количество по более высокой цене
- организации
производственного процесса (Enterprise's Productive Efforts) – минимизация
издержек производства
- изменений во
внешнем окружении (изменения цен, непредвиденных обстоятельств, эффектов
взаимодействия предприятия с экономической, правовой, социальной,
политической, физической средой)
Центральные операции компании состоят
обычно из первых двух пунктов.
Помимо продолжающихся центральных операций (Ongoing Major or Central Operations) организации нередко
вовлечены в деятельность, периферийную и случайную по отношению к основной их
активности.
Различные источники поступлений предприятия
отличаются своей стабильностью, риском и предсказуемостью. На этом основывается
различие между доходами и расходами по основной деятельности и по неосновной
деятельности.
В GAAP очень четко отделяются друг от друга
доходы, получаемые от операционной деятельности (их образуют выручка и расходы)
и прочие доходы. Отдельными составляющими прибылей являются Gains and Losses
(дословно: выгоды и потери). Это результаты случайных или побочных сделок,
а также эффекты событий и обстоятельств, возникающих во внешней среде.
Таким образом, составляющими прибылей (Earnings)
являются:
- Выручка или поступления (Revenues);
- Расходы (Expenses);
- Выигрыши или доходы (Gains);
- Потери (Losses).
Очень сложно подобрать адекватные Российские
эквиваленты. Обычно используется термин “прочие прибыли
и убытки”.
Gains and Losses могут быть описаны
и классифицированы различным образом. Обычно их описывают в отчетности по
источникам возникновения. Прочие
прибыли и убытки возникают в периферийных и случайных сделках с другими
юридическими лицами. Они также могут появляться в результате некоммерческих
операций, невзаимной передачи активов и обязательств, в результате удерживания
активов и обязательств с изменчивыми ценами. Прочие прибыли и убытки могут быть
следствием судебных разбирательств, воровства, штрафов, возмещения убытков по решению
суда, следствием неблагоприятных природных условий, стихийных бедствий, решений
правительственных структур и пр. факторов внешней среды.
В то же время прочие прибыли и убытки могут
быть подразделены на операционные и неоперационные, в зависимости от их связи с
основными, продолжающимися операциями. Например, изменение справедливой
стоимости запасов (прибыль или убыток от удерживания актива) является
результатом основной деятельности предприятия, для осуществления которой
требуется использовать сырье, материалы, подверженные колебаниям цен.
Соответственно, такие прибыли и убытки следует расценивать как операционные.
Основные побочные прибыли и убытки все же относятся к неоперационным. Это могут
быть результаты инвестиций в финансовые активы, изменения валютных курсов и
т.п.
Gains and Losses подлежат дальнейшей
классификации. Основные их группы:
- доходы от продолжающихся операций;
- доход после экстраординарных статей и
кумулятивного эффекта изменений в учетной политике.
Доходы и расходы от основной деятельности
обычно отражаются в отчете о прибылях и совокупном доходе в виде валовых
притоков и оттоков чистых активов, а прочие доходы и расходы указываются в виде
чистых притоков и оттоков, т.е. как сальдо по конкретному виду прочих доходов и
расходов в рамках статей избранной классификации их представления.
Особо следует отметить доходы от увеличения
стоимости капитала, активов (Holding Gain), которые образуется
вследствие изменения рыночных цен, а не в результате использования их в
деятельности компании. Такие доходы обычно принято отражать на счете капитала
(как увеличение добавочного капитала). Они не попадают в состав прибыли, но
являются частью совокупного дохода.
Выручка, расходы, прибыли и убытки по
неосновной деятельности считаются базовыми компонентами совокупного дохода.
Применяются также многочисленные промежуточные компоненты, которые образуются в
результате комбинирования и классифицирования основных компонентов. Они
рассматриваются как промежуточные итоги совокупного дохода (Subtotals of Comprehensive Income). Примерами
промежуточных измерителей являются валовая прибыль (Gross Margin), прибыль от
продолжающихся операций до уплаты налога (Income from Continuing Operations before Taxes), прибыль от
продолжающихся операций (Income from Continuing Operations), операционная прибыль
(Operating Income).
Совокупный доход подразделяется на чистый
доход (т.е. чистую прибыль) и так называемый “иной совокупный доход”.
Как уже отмечалось, первоначально Earnings
противопоставлялись общепринятому понятию Net Income, используемому в
GAAP ранее. Чистый доход включал большее число статей, чем может охватить
концепция Earnings. Впоследствии с принятием SFAS 130, был переопределен
термин Net Income.
Понятие “чистая прибыль” (Net Income или
Net Earnings) теперь используется для обозначения агрегированной величины
выручки, расходов от основной деятельности, прибылей и убытков от прочих
операций, т.е. всех составляющих прибылей, которые не являются статьями так
называемого “иного совокупного дохода” (Other Comprehensive Income или
сокращенно OCI), составляющие которого определяются в GAAP особо
(исчерпывающим перечнем).
Поэтому для определения совокупного дохода
требуется определить составляющие Other Comprehensive Income (иного
совокупного дохода).
Отчет о прибыли и совокупном доходе компании.
|
Выручка
|
|
|
|
|
|
1000
|
|
Расходы
|
|
|
|
|
|
|
-700
|
|
Прочие прибыли и убытки
|
|
|
|
|
-100
|
|
Прибыль до учета экстраординарных событий
|
|
200
|
|
Экстраординарные статьи
|
|
|
|
|
-50
|
|
Чистая прибыль
|
|
|
|
|
|
150
|
|
Иной совокупный доход (очищенный от налога)
|
|
50
|
|
Корректировка пересчета в иностранную валюту
|
|
10
|
|
Нереализованная прибыль по ценным бумагам
|
|
20
|
|
Реклассификация по прибыли, включенной в чистую прибыль
|
-10
|
|
Корректировка минимальных пенсионных обязательств
|
-10
|
|
Совокупный доход
|
|
|
|
|
210
|
|
|
|
|
|
|
|
|
Составляющими совокупного дохода, которые
требуется отражать на счете капитала, и которые не попадают в состав чистой
прибыли (а, следовательно, отражаются в составе “иного совокупного дохода”),
являются:
- Корректировки пересчета в иностранную
валюту
- Прибыли и убытки по сделкам в
иностранной валюте, которые служат инструментом хеджирования по
инвестициям в иностранные юридические лица
- Прибыли и убытки по операциям в
иностранной валюте между компаниями группы, которые имеют характер
долгосрочных инвестиций
- Изменение рыночной стоимости
фьючерсных контрактов, являющихся хеджами активов, оцениваемых по
справедливой стоимости
- Чистый убыток по дополнительным
пенсионным обязательствам
- Нереализованные прибыли и убытки по
ценным бумагам, имеющимся в наличии для продажи
- Нереализованные прибыли и убытки,
которые являются результатом перевода долговых ценных бумаг из категории
“удерживаемых до погашения” в категорию “имеющихся в наличии для продажи”
- Уменьшение или увеличение справедливой
стоимости ценных бумаг, имеющихся в наличии для продажи, стоимость которых
была уменьшена на величину обесценения
Эти статьи и их итоговое значение в
отчетности отражаются дважды, они попадают в отчет о прибыли и совокупном
доходе и в составе собственного капитала (как накопленный “иной совокупный
доход”).
Фрагмент отчета о финансовом
положении
|
Собственный капитал
|
|
|
|
|
5 407 000
|
|
Обыкновенные акции
|
|
|
|
|
3 000 000
|
|
Эмиссионный доход (опллаченный капитал)
|
|
|
2 000 000
|
|
Нераспределенная прибыль
|
|
|
|
340 000
|
|
Накопленный иной совокупный доход
|
|
|
67 000
|
Обычно прибыль отличается от чистого дохода
на величину некоторых прочих прибылей и убытков, которые не исключаются из
прибыли, но входят в совокупный доход. Эти статьи обычно подпадают под одну из
2-х групп:
- Кумулятивные
бухгалтерские корректировки (cumulative accounting adjustments)
- Иные изменения
в собственном капитале, не связанные с собственниками (other nonowner
changes in equity)
Совокупный доход на протяжении всего
жизненного цикла предприятия равен сальдо денежных поступлений и денежных
расходов, из которых исключены денежные поступления собственников и
распределения в пользу собственников. Совокупный доход может отличаться от
нетто денежных потоков в том случае, если он измеряется в постоянных, а не
текущих долларах. Однако эта разница не нарушает равенства между ними,
поскольку вызвана использованием различных единиц измерения, выражающих одно и
то же. Более существенными являются временные разницы, которые приводят к
несовпадению совокупного дохода и денежных поступлений в различные периоды времени,
что связано с применением альтернативных критериев признания составляющих
прибылей в соответствии с методом начисления.
Американские доходы и расходы от основной
деятельности (Revenues and Expenses)
и прибыли и убытки по прочим операциям (Gains
and Losses) не имеют аналогов в российском бухгалтерском учете.
При отражении прибыли в современной
российской отчетности ее также принято делить на элементы: валовую прибыль,
прибыль (убыток) от продаж. Однако далее выделяются операционные доходы и
расходы (проценты к получению и к уплате, доходы от участия в других
организациях, прочие операционные доходы и расходы). Отдельно отражаются
внереализационные доходы и расходы. Но, отсутствуют промежуточные итоги. Если в
США признаются сальдо отдельных видов неоперационных доходов и расходов (в
рамках натуральной классификации), то в России просто пишутся валовые
внереализационные доходы и расходы (классификации не требуется). После этого
исчисляется прибыль до налогообложения (дальняя родственница американской доналоговой
прибыли). После этого вычитается сумма налога на прибыль (и иных обязательных
платежей) и определяется сумма прибыли (убытка) от обычной деятельности.
Чрезвычайные доходы и расходы входят в
состав чистой прибыли. При этом они отражаются валовыми цифрами. Промежуточный
итог по ним не выводится. Далее рассчитываются показатели дивидендов на акцию в
текущем году и предполагаемые в следующем году суммы дивидендов на акцию. Надо
сказать, неравноценный заменитель прибыли на акцию. Вероятно, разработчики российского
баланса посчитали, что наше население еще недостаточно грамотно и понятие
дивиденда, который начисляется на одну акцию и выдается на руки ему понятнее,
чем абстрактная сумма прибыли, которую компания будет удерживать у себя
неопределенное время. Одним словом, синица в руках для российского акционера
пока привлекательнее журавля в небе.
Если сопоставить российский и американский
отчет о прибылях и убытках, можно обнаружить некоторое заимствование и даже
подумать, будто элементы их говорят об одном и том же. Но, сопоставив трактовки
компонентов прибыли, становится понятным, что даже без учета кумулятивного
эффекта различий в измерении и признании, промежуточные и конечные суммы
прибылей будут разительно отличаться. Российские баланс и отчет о прибылях и
убытках руководствуются своей, видимо, им одним понятной, логикой. Несмотря на
кажущуюся стройность, анализировать его намного сложнее, чем американские.
Прибыль,
как основа финансовых отчетов
В последнее время все чаще
раздаются голоса, ставящие под сомнение целесообразность использования
показателей прибылей в качестве основы финансовых расчетов, прогнозов и
аналитических заключений. Бухгалтерская концепция прибыли имеет искусственный
характер и не всегда адекватно отражает реальную доходность бизнеса и
результаты функционирования предприятия за период.
Разберем несколько наиболее
распространенных обвинений, выдвигаемых против прибыли.
1. Прибылями легко
манипулировать. Бухгалтерские стандарты содержат достаточное количество лазеек,
позволяющих изменить величину прибыли в нужную сторону. Поскольку прибыль
определяется как разница между доходами и расходами периода, достаточно
изменить условия признания доходов и расходов, отложить признание их отдельных
компонентов, применить иной метод расчета. Незаметные поправки и “нужный”
результат обеспечен. Подкопаться к уловкам довольно сложно. На это уйдет уйма
времени. Поэтому аналитики предпочитают подстраховаться и исследовать денежные
потоки. Денежными потоками манипулировать значительно сложнее. Деньги либо
есть, либо их нет. Достаточно проверить счета компании, чтобы убедиться в
правильности приведенных в отчетности цифр. В любом случае это намного проще,
чем детально разбираться в финансовой отчетности, перекапывать сотни
килограммов корпоративных бумаг.
2. Существуют так называемые
“безденежные” прибыли. Это прибыли, которые существуют только в форме записей
на бумаге. Они не связаны с получением реальных денежных средств. Чем плохи
“безденежные прибыли”? Тем же чем плох пустой кошелек. Компания не может
осуществлять финансирование за счет прибылей как таковых. Для поддержания
операционной деятельности, инвестиционных вложений в финансовые активы,
финансирования роста (осуществления инвестиционных проектов), выплаты
дивидендов, оплаты счетов и пр. и пр. и пр. нужны деньги на расчетном счете.
Если их нет, вся деятельность замирает, сколько бы прибыли не было начислено в
бухгалтерской отчетности. Конечно, само по себе наличие прибылей (во всяком случае,
пока на них реагируют инвесторы и кредиторы) способно поддерживать высокую
кредитоспособность предприятия. Но, так или иначе, это сопряжено со
значительными финансовыми издержками.
3. Элементарный
недостаток прибыли при проведении инвестиционных оценок состоит в том, что
прибыль занижает сумму получаемых фирмой денежных средств в каждом периоде на
величину амортизации.
Амортизация представляет собой
ни что иное, как возврат инвестированного капитала. Прибыль же рассматривается
как превышение не только текущих операционных расходов, но и вложенных
инвестиций. Для инвестиционного анализа требуется знать положительные денежные
притоки и чистые денежные потоки, связанные с инвестициями. Поэтому прибыль
приходится “исправлять”, добавляя амортизационные расходы.
Free Cash Flow
Еще один показатель, все
больше набирающий популярность – свободный денежный поток (FCF – Free Cash
Flow). Свободный денежный поток рассчитывается очень просто: из денежного
потока от операционной деятельности требуется вычесть капитальные расходы CapEx
(приобретение зданий, сооружений и оборудования). Что это дает? Мы получаем
величину денежного потока после оплаты счетов поставщиков, организаций
энергоснабжения, выплат зарплаты рабочим и т.п. Капитальные расходы
капитализируются. Они не включаются в раздел операционных денежных потоков, их
величину можно найти в разделе денежных потоков от инвестиционной деятельности.
Поскольку операционные показатели считаются наилучшим измерителем потенциала
предприятия, денежному потоку от операционной деятельности отводится особое
место в финансовом анализе. А чтобы на его основе определить экономический
денежный поток, требуется учесть необходимость обновления капитала. Свободный
денежный поток характеризует денежные средства, которые подлежат произвольному
использованию компанией (поскольку все необходимые, недискреционные расходы уже
осуществлены). Использование этих средств носит во многом волюнтаристский
характер, а поэтому на них обычно в первую очередь претендуют акционеры,
которые рассматривают свободный денежный поток как потенциальный источник
дивидендов (реинвестирование в операционную деятельность учтено в CapEx).
Значение свободного денежного
потока велико потому, что его в последние годы все чаще стали использовать в
экономических расчетах и при оценке стоимости ценных бумаг и бизнеса, что
получило название “free-cash-flow” techniques.
Исходные данные для расчета свободного
денежного потока
|
Наименование показателей по видам деятельности
|
базис
|
отчет
|
|
Опер.
|
Чистая прибыль
|
|
|
|
|
4500
|
5700
|
|
деят.
|
Амортизационные расходы
|
|
|
|
1300
|
1000
|
|
Сомнительная дебиторская задолженность
|
|
700
|
450
|
|
Увеличение дебиторской задолженности
|
|
-350
|
-670
|
|
Сокращение запасов
|
|
|
|
800
|
150
|
|
Увеличение платежей (проценты и налог на прибыль)
|
50
|
|
|
Увеличение отложенных налогов
|
|
|
500
|
89
|
|
Чистый поток от операционной деятельности
|
7500
|
6719
|
|
Инвест.
|
Приобретение собственности и оборудования
|
|
-450
|
-1700
|
|
деят.
|
Свободный денежный поток
|
|
|
7050
|
5019
|
Мы видим, что в первом году, несмотря на
меньшую прибыль, свободный денежный поток был намного больше, чем во втором
году. Это означает, что финансовые возможности компании уменьшились. Это
соображение должно приниматься во внимание при подготовке финансовых решений,
например, о выплате дивидендов, инвестировании в ценные бумаги. В общем-то
свободный денежный поток предполагает, что все затраты денежных средств, за
исключением операционных и инвестиционных считаются дискреционными, т.е.
осуществляются по усмотрению менеджмента компании.
Нередко свободный денежный поток именно так
и понимают: как сумму денежных средств, которая может быть использована по
усмотрению компании. Но, такая трактовка не совсем верна. В соответствии с
требованиями SEC данный показатель не должен вводить пользователей финансовой
отчетности в заблуждение. Свободный денежный поток не свободен от некоторых
платежных обязательств компании, которые просто не были учтены при расчете.
Т.е. могут остаться обязательства по обслуживанию долга или прочие
недискреционные расходы. В таком случае, компания вынуждена использовать
некоторую часть свободного денежного потока на определенные выплаты независимо
от своего желания.
Free Cash Flow/Earnings
Свободный денежный поток можно сравнить с
прибылями компании. Допустим, компания А имеет свободный денежный поток 800
тыс. долл., компания В – 500 тыс. долл. При этом прибыль компании А составляет
100 тыс. долл., а В – 700 тыс. долл. Соответственно, отношение свободного
денежного потока к прибыли для А равно 8, для В – 0,71. Различие может
объясняться тем, что компания В осуществляет значительные капиталовложения,
которые сокращают ее свободный денежный поток, поглощая львиную долю прибылей.
Для компании А даже при относительно низких прибылях свободный денежный поток
достигает огромной величины. Вероятно, это связано с большой величиной
амортизации.
Примечание
Если предприятие не готово управлять своими
денежными потоками, то толку от расчета и анализа всех этих показателей много
не будет. На основе индикаторов должна выстраиваться финансовая и
инвестиционная политика предприятия. Если дело не доводится до этой конечной
стадии, то дополнительные расчеты – бесполезная трата сил и времени.
Рентабельность
Для сокращения издержек и управления
компанией наиболее эффективны традиционные показатели рентабельности,
позволяющие препарировать баланс предприятия с позиций взаимосвязи его
составных частей с прибылью.
Рентабельность – относительный показатель,
характеризующий доходность проекта или бизнеса. В английском языке принято
использовать термин возврат (Return) на инвестиции.
Рентабельность продаж более правильно называть прибыльностью, обычно она
обозначается термином маржа, т.е. разница между продажной ценой и
себестоимостью (Margin), который понимается как коэффициент
прибыльности, доходности продаж, но допустим также и вариант “отдача от продаж”
(Return on Sales).
В западной практике разновидностей
рентабельности не меньше, чем разновидностей прибыли.
Показатели рентабельности
|
Акроним
|
Полное наименование
|
|
Перевод
|
Gross Margin
|
|
|
Валовая прибыль
|
|
|
|
OM
|
Operating Margin
|
|
|
Операционная прибыль
|
|
|
NPM
|
Net Profit Margin
|
|
|
Чистая прибыль
|
|
|
|
ROI
|
Return on Investment
|
|
Рентабельность инвестиций: наиболее
|
|
|
|
|
|
общий показатель, инвестиции-
|
|
|
|
|
|
активы или собственный капитал
|
|
ROAIC
|
Return on Average Invested Capital
|
Рентабельность среднего
|
|
|
|
|
|
|
инвестированного капитала
|
|
|
ROGI
|
Return on Gross Investments
|
|
Рентабельность валовых инвестиций
|
|
ROA
|
Return on Assets
|
|
|
Рентабельность активов
|
|
|
ROTA
|
Return on Total Assets
|
|
Рентабельность совокупных активов
|
|
ROE
|
Return on Equity
|
|
|
Рентабельность собственного капитала
|
|
ROCR
|
Return on Capital and Reserves
|
Рентабельность капитала и резервов
|
|
RONA
|
Return on Net Assets
|
|
Рентабельность чистых активов
|
|
ROCE
|
Return on Capital Employed
|
|
Рентабельность используемого капитала
|
|
ROIC
|
Return on Invested Capital
|
|
Рентабельность инвестирован. капитала
|
|
|
|
|
|
|
(прибыль/инвестиции)
|
|
|
CROIC
|
Cash Return on Invested Capital
|
Рентабельность инвестирован. капитала
|
|
|
|
|
|
(денежный поток/инвестиции)
|
|
|
ROS
|
Return on Sales
|
|
|
Рентабельность продаж: определяется
|
|
|
|
|
|
как отношение операционной прибыли
|
|
|
|
|
|
|
к нетто-продажам (за вычетом НДС).
|
|
|
|
|
|
|
ROS=OI/S
|
|
|
|
RAROK
|
Risk Adjusted Return on Capital
|
Рентабельность капитала,
|
|
|
|
|
|
|
скорректированная с учетом рисков
|
Хороша или плоха ваша рентабельность?
Акционеры, учредители организации, которые
вносят в нее свой капитал, рассчитывают при этом на соответствующее возмещение.
Вероятно, капитализируя свое имущество, они планируют в будущем вернуть его
стоимость в реальном выражении и получить проценты за каждый год, в течение
которого они отказывались от его использования в своих личных целях.
Вместо того чтобы вкладывать деньги в
уставный капитал коммерческого предприятия, инвесторы могли бы, ничем не
рискуя, поместить его в государственные облигации. В российских условиях более
приемлемой формой инвестирования средств является депозит в Сбербанке. Таким
образом, инвестиции в собственный капитал предприятия должны, по крайней мере,
оправдывать альтернативную стоимость их размещения на счете в банке. Если в
настоящее время ставка процента по вкладам физических лиц в Сбербанке
составляет 7,5% годовых, то и рентабельность собственного капитала не должны
быть меньше этой величины. Даже если инфляция составляет 10% и мы имеем
отрицательную процентную ставку -2,5% годовых, это возможность сохранить
стоимость средств от инфляционного разрушения. Есть еще возможность вложить
деньги в недвижимость (при этом требуется учесть динамику цен, амортизацию
недвижимого имущества, ценовой риск в долгосрочном периоде, налог на
недвижимость и еще целый ряд факторов). Риск по вкладам в Сбербанке практически
минимален. Если учесть еще и риск капитализирования, то необходимо сравнивать
вклад в собственный капитал предприятия с аналогичными по риску возможностями
инвестирования (например, в виде вклада в коммерческий банк). Как правило, это
увеличивает доходность на 3-4%. Если бизнес очень рискованный, существует
вероятность банкротства (например, при значительном финансовом рычаге),
неустойчивость прибылей и вероятность убытков (разрушения акционерной
стоимости), отраслевая неопределенность (сельское хозяйство), то рентабельность
собственного капитала должна быть достаточно высокой, чтобы гарантировать
получение скорректированного на риск дохода сопоставимого с безрисковым.
Например, если вероятность
получения доходности в 30% по рисковым инвестициям составляет 35%,
то это означает, что доходность с поправкой на риск равна (30*0,35) 10,5%.
Возможно, найдутся люди, которые согласятся на инвестиции и при вероятности 10%
(реальная доходность при этом составит 3%), но с экономической точки зрения
такое поведение не рационально, поскольку игнорирует законы теории вероятности.
Правда, инвестиции в предприятия могут быть
относительно надежными. Может существовать нижняя граница рентабельности
собственного капитала. Например, по оптимистическому сценарию ROE может составить 45%, по пессимистическому всего лишь 6%. Вероятность банкротства даже не
рассматривается, или, скажем, равна 1-2%.
Если безрисковая доходность по вкладу в Сбербанке
составляет при этом 7%, то инвестиции в акционерное общество
можно считать более чем обоснованными. Риск потери средств минимален.
Возможность заработать высока.
Если вы вкладываете деньги в уставный
капитал, то для вас важна рентабельность собственного капитала, а не
рентабельность продаж. Обычно ROE довольно высока по сравнению с
процентной ставкой. На этом и держится бизнес.
Возможность получить деньги обратно зависит
от развитости фондового рынка, а точнее от спроса на акции данной компании.
Если акции котируются на фондовой бирже, получить деньги обратно не сложно.
Если они обращаются на уличном рынке, дело обстоит чуть сложнее. Если же акции
неликвидны, остаточная доля сохраняется при ликвидации предприятия.
ROI
Самым общим понятием, используемым для
обозначения рентабельности, является ROI.
ROI – это отдача на некоторую сумму вложенных
в бизнес или проект денежных средств. Все остальные показатели можно считать
производными от ROI, только базой инвестиций для них выступают
соответствующие части пассивов или активы предприятия. Например, ROE
называют также ROI акционеров (Stockholder's Return on Investment),
поскольку этот показатель оценивает отдачу от вложенного в предприятие
собственного капитала.
База инвестиций может быть представлена
различными активами. Под инвестициями может пониматься собственный капитал,
совокупные активы, часть активов и т.д. Бухгалтерскую отдачу нельзя понимать
буквально. При расчете эффективности функционирования собственного капитала или
чистых активов с этими активами соотносится интегральный результат работы предприятия,
завышая показатели за счет вклада других активов и частей капитала, которые не
учтены в знаменателе. Иногда этот эффект можно выявить и устранить, если вам
нужно знать чистый результат работы интересующих вас частей баланса.
ROE
Собственники, учредители бизнеса получают
отдачу от своих инвестиций в виде вкладов в уставный капитал. Они жертвуют теми
средствами, которые формируют собственный капитал организации и получают взамен
права на соответствующую долю прибыли. Соответственно с позиций собственников,
акционеров, рентабельность наилучшим образом отображается в виде отдачи на
собственный капитал.
ROE – это рентабельность собственного
капитала. Рассчитывается по формуле:
ROE = Net Income/Equity
Применение ROE имеет определенные
ограничения. Реальный доход появляется не от активов, а от продаж. На основе ROE
нельзя оценить эффективность бизнес-единиц компании. Кроме того, в большинстве
случае компании имеют весомую долю заемного капитала. Например, в банковском
секторе, заемный капитал вообще является основой всего бизнеса. Фактически вся
операционная деятельность банка базируется на привлеченных вкладах, а
собственный капитал выступает всего лишь резервом, гарантом платежеспособности
и финансовой устойчивости банка. Так или иначе, как бухгалтерский показатель ROE
несет полезную смысловую нагрузку, поскольку дает представление о доходах,
которые компания зарабатывает для своих акционеров.
ROA
ROA – это рентабельность всех активов
предприятия.
ROA = Net
Income/Total Assets
ROA = Net
Income/Total Assets*Sales/Sales = Net Income/Sales*Sales/Total assets
Таким образом, рентабельность совокупных
активов определяется двумя факторами: прибыльностью продаж и оборачиваемостью
активов. Оба эти фактора образуют мультипликативную модель.
На рентабельность инвестиций значительное
влияние может оказывать структура капитала.
Наличие в пассивах предприятия заемного
капитала принято называть финансовым рычагом.
Leverage
= Debt/Equity
Leverage
= Assets/Equity
Рентабельность собственного капитала
зависит от финансового рычага. Для определения этого влияния рассчитывается
эффект финансового рычага. Он равен произведению дифференциала финансового
рычага на величину рычага. Финансовый рычаг обычно определяется как отношение
заемного капитала к собственному капиталу. Дифференциал финансового рычага –
это разность между рентабельностью совокупных активов и стоимостью заемного
капитала. В свою очередь стоимость заемного капитала определяется как отношение
процентных расходов к величине заемного капитала с учетом эффекта налогового
щита.
Leverage
= Debt/Equity
Leverage
Effect = (ROA – CDC)*Debt/Equity
CDC =
(Iut + It(1-T))/D, где:
CDC – стоимость заемного капитала,
Iut – часть процентных расходов, не облагаемых налогом на прибыль,
It – процентные расходы, облагаемые налогом на прибыль.
В
общем случае, если налогооблагаемыми являются все процентные расходы (это
допущение значительно упрощает расчет), стоимость заемного капитала вычисляется
как:
CDC = I/D*(1-T)
Тогда LE можно выразить так:
LE = (ROA–I/D*(1-T))*D/NW
Часть (ROA–CDC) называется
дифференциалом финансового рычага.
ROE = ROA+LE
Финансовый рычаг увеличивает рентабельность
собственного капитала. Следовательно, чем выше рычаг, тем больше акционерная
стоимость. Это очень важно для оптимизации структуры активов (если, конечно, усомниться
в теории Мертона-Миллера, которая утверждает, что структура капитала не имеет
ровным счетом никакого значения). Дополнительный капитал следует увеличивать до
тех пор пока эффект финансового рычага положителен. Если стоимость заемного
капитала превысит рентабельность активов, эффект рычага будет отрицательным.
Кроме того, требуется учитывать соображения финансовой устойчивости.
Наращивание долгов может поставить предприятие под угрозу банкротства.
Самый простой способ определить границу
достаточности собственного капитала состоит в том, что собственный капитал
должен покрывать величину фиксированных и неликвидных активов. Иначе говоря,
заемный капитал не должен превышать величины ликвидных активов компании, за
счет которых он может быть погашен.
Пример
Финансовый
рычаг компании «SSS» составляет 0,7. ROE составила 20,5 %, ROA – 17
%.
Стоимость
заемного капитала равна 12 %.
Эффект
финансового рычага вычисляется следующим образом:
LE = (17-12)*0.7 = 3,5%
Следовательно, 3,5% от полученной
величины ROE – это заслуга финансового рычага. При принятии решений об
изменении структуры финансирования необходимо учесть, что оно влияет на ROE.
Точно так же работу менеджеров на основе ROE
оценивать нецелесообразно.
Чтобы устранить эффект структуры капитала,
применяются показатели RONA, ROIC и ROCE.
Рентабельность чистых активов RONA
В GAAP под чистыми активами
коммерческой организации (Net Assets) понимается собственный капитал. В
некоммерческих организациях чистые активы вообще ключевое понятие, заменяющее
отсутствующий у них собственный капитал. В целом чистые активы в бухгалтерском
учете и финансах понимаются как сумма активов за вычетом обязательств, т.е. это
активы, которые остаются в распоряжении собственников компании после выплаты
всех ее долгов. В качестве синонима также нередко употребляется термин “чистая стоимость” (Net Worth).
Интересно, что в показателе “рентабельность чистых активов” (RONA), чистые
активы понимаются превратно: как сумма фиксированного актива и оборотного
капитала (т.е. включают не только собственный капитал, но и долгосрочный долг).
Трудно сказать, чем вызваны такие метаморфозы широко устоявшегося термина.
Величина “чистых активов” (в понимании RONA) часто не очень сильно отличается
от величины совокупных активов компании.
Net
Assets=Fixed Assets+Working Capital
Тогда,
RONA=Net
Income /(Fixed Assets+Working Capital)
Чистые активы в знаменателе данного
показателя – это бухгалтерское определение инвестированного в бизнес капитала.
В противовес ему появились экономические определения, которые учитывают большее
число критериев при определении инвестиций и предлагают исправление
бухгалтерских искажений.
Необходимо сделать еще одно уточнение,
касающееся понятия “работающего капитала”.
Следует различать оборотный капитал (или
собственный оборотный капитал, или собственные оборотные средства) от оборотных
средств (оборотных активов). Из-за сходного звучания в русском языке может
возникнуть путаница.
В английском языке
собственные оборотные средства принято именовать “работающий капитал” (Working
Capital).
Реже употребляется термин Net Working Capital. Оборотные средства
обозначаются термином Current Assets (иногда также Circulating
или Working Assets).
При переводе на русский необходимо учесть,
что оборотный капитал равен оборотным средствам (текущим активам) за вычетом
текущих обязательств (краткосрочной кредиторской задолженности). Это уточнение
не будет излишним, поскольку даже в классических англо-русских словарях эти
термины отождествляются (впрочем, в общих (неспециализированных) словарях такие
неточности явление частое).
Итак,
Working
Capital=Current Assets–Current Liabilities
ROIC
Рентабельность инвестированного капитала –
показатель, который пытается раскрыть отдачу от инвестиций в бизнес в терминах
денежных потоков (Cash-on-Cash Yield). Кроме того, ROIC важен
тем, что определяет отдачу от инвестиций до принятия решений по финансированию
бизнеса (связанных со структурой капитала и его стоимостью).
Базовая формула рентабельности
инвестированного капитала выглядит просто.
ROIC=NOPAT/Invested Capital
Вся “сила” показателя заключается в
корректировках числителя и знаменателя, исправляющих бухгалтерские отклонения
от реального экономического и финансового содержания понятий баланса и отчета о
прибылях и убытках. Этот процесс не обязательно должен быть трафаретным.
Внесение изменений в расчет допустимо, если оно обосновано здравым смыслом и
способствует лучшему отражению действительного положения вещей.
В числителе формулы расчета ROIC
обычно используется NOPAT. Эта разновидность прибыли в наибольшей
степени является приближением к денежному потоку, генерируемому основной
деятельностью. В сравнении с чистой прибылью NOPAT исключает
инвестиционный доход (от финансовой, инвестиционной деятельности, например,
продажи активов), амортизацию, процентные расходы и прочие виды доходов и
расходов, которые не связаны с операционной деятельностью. Инвестированный
капитал, рентабельность которого пытается раскрыть ROIC, также
рассчитывается таким образом, чтобы он был связан с операционной деятельностью.
Из него принято исключать инвестиционные активы. Это очень важные поправки.
Инвестиции обычно делаются для того, чтобы извлекать доход от основной
деятельности.
Финансовый и инвестиционный доход лучше
доверить специализированным финансовым и инвестиционным организациям. Для
коммерческих нефинансовых предприятий это всего лишь побочный продукт, который
иногда носит случайный характер. В конечном счете, неоперационную прибыль,
конечно, нельзя игнорировать. Заработанный операционный денежный поток может
быть бездарно растрачен в неумелых финансовых и инвестиционных сделках. Но с
точки зрения потенциала компании он не имеет принципиального значения.
NOPAT
= Net Income – Investment and Interest Income + Tax Paid on
Investments and Interest Income + Interest Expenses – Interest Tax
Shield + Non-Recurring (Extraordinary) Costs + Goodwill Amortization
Инвестированный капитал – это величина
денежных средств, которую все акционеры и кредиторы инвестировали в компанию.
Он рассчитывается на основе совокупных активов (Total Assets) путем
вычитания денег и денежных эквивалентов (Cash and Equivalents), а также
беспроцентных текущих обязательств (Non-Interest Bearing Current Liabilities
(NIBCLs).
Денежные средства необходимо вычесть
потому, что они не являются операционным активом и не использовались при
получении прибыли (деньги, лежащие в кассе, или на
расчетном счете нельзя считать инвестициями). NIBCLs состоит из таких видов краткосрочных задолженностей,
как кредиторская задолженность, налоговая задолженность перед бюджетом,
начисления и т.п. Эти виды задолженностей не вызывают процентных расходов, а
поэтому их принято вычитать для получения величины инвестированного капитала.
Invested
Capital=Total Assets–Cash and Equivalents–Short Term Investments–Long Term
Investments–NIBCLs
Краткосрочные и долгосрочные инвестиции
вычитаются из общих активов, поскольку они являются финансовыми, а не
операционными активами. Они не участвуют в формировании операционной прибыли. К
ним относятся инвестиционная собственность, финансовые инструменты.
Эффективность использования финансовых активов должна оцениваться отдельно на
основе прибылей от финансовой деятельности.
Из инвестированного капитала также
рекомендуется вычесть гудвилл, поскольку последний также не связан с
операционной деятельностью и входит в категорию финансовых активов. Требуется
соблюдать последовательность во внесении корректировок к бухгалтерским данным.
Так, если вы производите вычет из инвестированного капитала гудвилла, требуется
одновременно скорректировать операционную прибыль, добавив к ней амортизацию
гудвилла. И так во всем.
ROIC ценен тем, что его
можно анализировать вместе с WACC. WACC – это средневзвешенная стоимость
капитала. Она включает в себя как альтернативные издержки, так и реальные
расходы по процентным платежам. Именно поэтому при расчете прибыли NOPAT
мы добавляли к чистой прибыли процентные расходы. Тем самым мы получили возможность
сравнить отдачу на инвестированный капитал со стоимостью этого капитала.
Аналитикам важно знать не столько величину ROIC,
сколько ROIC-WACC spread, разницу
между рентабельностью инвестированного капитала и стоимостью капитала. Эта
величина отождествляется с созданной экономической стоимостью. Изучение тренда
величин ROIC и ROIC-WACC spread может
многое сказать о конкурентоспособности компании. Понижательный тренд будет
свидетельствовать об усилении конкуренции, повышательный тренд об отрыве от конкурентов.
В расчет нужно принимать также и динамику WACC,
которая в немалой степени зависит от рыночной ставки процента в экономике в
целом.
CROIC
CROIC рассчитывается на основе денежных
потоков, а не бухгалтерских доходов и расходов. CROIC различается в
зависимости от выбора числителя, которым может быть EBITDA, денежный
поток от операционной деятельности или свободный денежный поток.
ROCE
Рентабельность используемого капитала или ROCE
(Return on Capital Employed) заслуживает особого внимания. Наиболее
упрощенный вариант расчета ROCE выглядит следующим образом:
ROCE=EBIT/(Total Assets–Current Liabilities)
Более точным измерителем отдачи на
задействованный капитал является следующая формула расчета:
ROCE=EBIT(1-T)/CE
Существует несколько вариантов расчета ROCE,
различие между которыми в основном состоит в подходах к определению
используемого капитала. Существует множество вариантов расчета величины
используемого капитала.
Термин “используемый
капитал” обычно обозначает сумму акционерного капитала (Shareholders' Equity) и долгосрочного
долга. По существу показатель аналогичен чистым активам. Нередко в расчет
показателя вносят корректировки, и он начинает отличаться от чистых активов.
Во многих случаях чистые активы являются
хорошим приближением к величине используемого капитала. Но не нужно делать
поспешных выводов. Даже если количественно чистые активы и используемый капитал
совпадают, они не равнозначны. В эти понятия изначально вкладывается различный
экономический смысл.
Под используемым капиталом понимается
капитал, который используется в операционной деятельности компании. Дело в том,
что часть активов, признанных в балансе, может не использоваться в операционной
деятельности. Они приносят доход от финансовой деятельности (финансовые
инструменты), либо вообще не связаны с доходами компании. Поэтому экономисты
стремятся определить круг этих активов и отдачу от их использования. При этом
неиспользуемые активы игнорируются. На основе бухгалтерской классификации
активов довольно сложно точно установить неоперационные активы. Тем не менее,
отдельные поправки могут приблизить нас к этой величине. Ниже мы попробуем
разобраться, каким образом получают величину используемого капитала.
Как рассчитать используемый капитал (Capital
Employed)?
Используемый капитал (Capital Employed) может определяться двумя
способами: на основе активов или на основе пассивов.
С точки зрения активов задействованный
капитал равен сумме постоянных активов и оборотного капитала, участвующих в
операционной деятельности.
Capital
Employed=Fixed Assets+Working Capital
Собственный оборотный капитал включает
запасы и дебиторскую задолженность и др. оборотные активы, из которых
вычитается кредиторская задолженность.
Working
Capital=Current Assets–Current Liabilities
Из состава оборотного капитала вычитается
кредиторская задолженность и иные текущие обязательства (кроме краткосрочных заимствований).
Составляющие постоянного и оборотного
капитала подвергаются корректировкам. Из состава используемого капитала иногда
исключаются неосязаемые активы, денежные средства и добавляются краткосрочные
займы.
– Intangibles
– Cash
+ Current – + Short Term Borrowings
Денежные
средства вычитаются постольку, поскольку они не являются капиталом в подлинном
смысле слова. Они рассматриваются как наличность у вас в руках, которую вы
можете использовать, а потому уменьшают размер капитала, инвестированного в
бизнес.
Тем не менее, это несколько нестандартный,
можно сказать, углубленный подход к исчислению используемого капитала. Такой
вариант получил распространение в последнее время.
Если вести расчет со стороны пассивов, то к
задействованному капиталу относят сумму собственного капитала, всего долгового
капитала, резервов по привилегированным акциям, обязательств по финансовому
лизингу, резервов, доли меньшинства.
Самый простой способ получения CE – сложить собственный капитал и долг.
Есть вариант, в котором вместо всего долга
берется чистый долг.
Capital
Employed=Shareholder’s Equity+Minority Interests+ Provisions for Liabilities & Charges +Net Debt
Shareholder’s Equity (акционерный капитал)= Equity + Retained Earnings(капитал+нераспределенная прибыль);
Minority Interests (неконтрольные пакеты (<50%));
Provisions for Liabilities & Charges (положения, касающиеся обязательств и сборов);
Net Debt (чистый долг).
Net Debt = Total Debt – Cash
and Marketable Securities
Чистый долг – это разница между
всем долгом
и денежными средствами (и их эквивалентами).
По существу нет никакой гарантии в том, что
величины используемого капитала, рассчитанные на основе активов и на основе
пассивов совпадут. За этим нужно следить с особой тщательностью. Это одно из
средств обнаружения ошибок.
Поскольку при расчете знаменателя ROCE
в него входил заемный капитал, то соответственно в числителе должна браться
прибыль до уплаты % и налогов.
Поскольку ROCE и CE
трактуются весьма произвольно, требуется сопровождать их комментариями и
показывать механизм расчета. В противном случае шансы впасть в заблуждение
становятся непомерно высокими и говорят не в пользу показателя. Одним словом,
этот показатель может принимать любые обличья. Действительно, в связи
неопределенностью методики расчета, отсутствием четких представлений о
составляющих используемого капитала, он подвержен манипуляциям, включает в себя
массу искажений даже относительно своего исходного смысла и совершенно не
пригоден для сравнительного анализа. Практически невозможно сопоставить ROCE
различных компаний в условиях, когда в одной компании знаменатель включает
денежные средства, в другой они из него исключены, в третьей вычтены
нематериальные активы, в четвертой он определяется на базе чистого долга и еще
включает забалансовые активы или обязательства.
К слову сказать, существует еще так
называемый усиленный коэффициент отдачи на используемый капитал Enhanced Return On Capital Employed (EROCE) ratio.
Тем не менее, экономический
смысл, вкладываемый в понятие используемый капитал, имеет определяющие значение
для определения функционирования компании. Многие компании включают ROCE
в финансовую отчетность. Однако, как уже отмечалось, в таком случае согласно
требованиям SEC, он подлежит согласованию с ближайшим GAAP показателем. Таковым являются совокупные активы. В таблице
согласования (Reconciliation)
приводится механизм вывода показателя. Обзор отчетности американских компаний
показывает, что их ROCE практически
несопоставимы, а потому фактически бесполезны инвесторам. Так что этот
показатель существует больше в воображении, чем в действительности. Чаще всего
его используют для мелкого косметического ремонта финансового здания компании.
Пояснения по поводу Capital Employed
Самый легкий способ разобраться в том,
какой капитал является используемым, а какой нет – перебор бухгалтерских статей
и исключение неиспользуемых или некапитальных активов или обязательств из
валюты баланса.
Так, собственный капитал и резервы,
безусловно, составляют основу используемого капитала. Также к нему следует
отнести заемный капитал (облигации, банковские займы, привилегированные акции).
Исключение составляют некоторые виды
займов, которые требуются для пополнения оборотных средств.
CAPITAL
EMPLOYED (CE)
|
ASSETS
|
|
|
LIABILITIES
|
|
|
|
|
|
|
|
|
|
|
|
|
|
|
FIXED ASSETS
|
|
SHAREHOLDER EQUITY (EQUITY+RETAINED EARNINGS)
|
|
WORKING CAPITAL
|
|
MINORITY INTERESTS
|
|
|
|
|
|
|
|
PROVISIONS FOR LIABILITIES & CHARGES
|
|
|
|
|
|
NET DEBT (LONG TERM+SHORT TERM DEBT-CASH &
|
|
|
|
|
MARKETABLE SECURITIES)
|
|
|
|
|
|
|
|
|
|
|
|
|
|
АКТИВ
|
|
|
ПАССИВ
|
|
|
|
|
|
|
|
|
|
|
|
|
|
|
|
ВНЕОБОРОНЫЕ АКТИВЫ
|
АКЦИОНЕРНЫЙ КАПИТАЛ
|
|
|
|
|
|
|
|
(КАПИТАЛ+НЕРАСПРЕДЕЛЕННАЯ ПРИБЫЛЬ)
|
|
|
ОБОРОНЫЕ АКТИВЫ
|
НЕКОНТРОЛЬНЫЕ ПАКЕТЫ (< 50%)
|
|
|
|
|
|
|
ПОЛОЖЕНИЯ, КАСАЮЩИЕСЯ ОБЯЗАТЕЛЬСТВ И СБОРОВ
|
|
|
|
|
ЧИСТЫЙ ДОЛГ (ДОЛГОСРОЧНЫЕ И КРАТКОСРОЧНЫЕ
|
|
|
|
|
ОБЯЗАТЕЛЬСТВА-ДЕНЕЖНЫЕ СРЕДСТВА И ИХ
|
|
|
|
|
ЭКВИВАЛЕНТЫ)
|
|
|
|
|
ROCE =
EBIT(1-T)/CE
ROCE =
EBIT(1-T)/Sales*Sales/CE
Вариацией ROCE
является ROACE (Return on Average Capital Employed), которая
рассчитывается как среднее от задействованного капитала на начало и на конец
оцениваемого периода.
Рентабельность продаж
ROS обычно используется в
качестве основного индикатора для оценки финансовой эффективности компаний,
которые имеют относительно небольшие величины основных средств и собственного
капитала.
Действительно, слишком низкая величина
знаменателя при расчете рентабельности приводит к тому, что показатели
рентабельности собственного капитала получаются слишком высокими, а,
следовательно, завышают действительный финансовый потенциал организации. Оценка
рентабельности продаж в таком случае позволяет более объективно взглянуть на
состояние дел.
Факторная декомпозиция
рентабельности
Под декомпозицией понимается разложение
показателя на элементарные составляющие, которые поддаются прямому воздействию.
Факторы, которые влияют на рентабельность, представляют собой показатели более
низкого уровня. Их в свою очередь также можно подвергнуть декомпозиции и
получить более удобные, а главное контролируемые индикаторы, посредством
которых менеджеры способны управлять результирующим показателем –
рентабельностью.
Наиболее известной является модель
многофакторной декомпозиции рентабельности, которая получила название по имени
компании, в недрах которой она была разработана – Du
Pont. Эта модель раскрывает взаимосвязь между рентабельностью и
основными производственными показателями компании.
Модель Du Pont основана на показателе рентабельности собственного капитала:
ROE=NI/E, где:
NI
(Net Income)
– чистая прибыль;
E (Equity) – акционерный капитал предприятия.
В практике финансового менеджмента могут быть использованы
различные версии метода,
отличающиеся степенью детализации:
1. Двухфакторная модель, т.е. в исходную модель вводим
соотношение (актив/актив):
ROE=(NI/E)*(TA/TA)=(NI/ТА)*(ТА/E), где:
ТА (Total Assets)
- суммарные активы
Эту
формулу можно записать, как:
ROE=ROA*LR,
где:
ROA (Return on Assets)
– доходность активов или чистая рентабельность активов (чистая
прибыль/акционерный
капитал);
LR (Leverage Ratio) –
коэффициент финансового рычага (актив/акционерный капитал)
LR
=Total Assets / Equity.
2. Трехфакторная модель, т.е. в формулу ROE дополнительно вводим
соотношение
(чистый объем продаж/чистый объем продаж):
ROE=NI/E=(NI/NS)*(NS/TA)*(TA/CE), где:
NS (Net Sales) –
чистый объем продаж (без учета НДС).
Формулу
можно записать через следующие сомножители:
ROE=NPM*TAT*LR, где:
NPM (Net Profit Margin)
– чистая рентабельность оборота (чистая прибыль/чистый объем
продаж);
TAT (Total Asset Turnover) –
оборачиваемость активов (чистый объем продаж/актив).
В
экономической литературе взамен аббревиатуры NPM можно встретить аббревиатуру
ROS и в этом случае формула примет вид:
ROE=ROS*TAT*LR, где:
ROS (Return of Sales) –
чистая рентабельность оборота.
3. Пятифакторная модель, т.е. в формулу дополнительно вводим
соотношения (прибыль до уплаты налогов/прибыль до уплаты налогов; прибыль до
уплаты % и налогов/ прибыль до уплаты % и налогов):
ROE=(NI/E)=(NI/EBT)*(EBT/EBIT)*(EBIT/NS)*(NS/TA)*(TA/CE), где:
EBT (Earnings before
Taxes) – прибыль до уплаты налогов;
EBIT (Earnings before
Interest and Taxes) – прибыль до уплаты % и налогов.
Пятифакторную
формулу можно записать следующим образом:
ROE=TB*IB*OM*AT*LR, где:
TB (Tax Burden) – налоговое
бремя (чистая прибыль/прибыль до уплаты налогов) или k
налоговых
выплат;
IB (Interest Burden) –
процентное бремя (прибыль до уплаты налогов/прибыль до уплаты
%
и налогов) или k процентных выплат;
OM (Operating Margin)
– операционная рентабельность (прибыль до уплаты % и
налогов/чистый
объем продаж) или рентабельность продаж.
Таким
образом, на величину доходности акционерного капитала влияют следующие факторы:
• ставка налогов;
• проценты за кредит;
• операционная рентабельность;
• оборачиваемость активов;
• финансовый рычаг (леверидж).
К основным проблемам применения модели Du Pont в российской практике можно отнести:
1. суммарные активы, как правило, не имеют объективной
(разумной) оценки или стоимости;
2. показатель «чистая прибыль» в терминологии Министерства
Финансов России далеко не
является «чистым», так как из этой величины выплачивается целый
ряд издержек (выплаты на
социальные нужды; премии сотрудникам и т.п.);
3. в учетной политике не соблюдается принцип постоянства, т.к.
изменение учетной и
налоговой политики может происходить по несколько раз в учетном
году. В этом случае попытка
провести анализ по методу Du Pont имеет
много погрешностей, искажающих действительность.
При желании можно разбить формулу
рентабельности собственного капитала на большее число компонент и получить
более детальное представление за счет чего ею возможно управлять. Главное –
получить такие показатели, которые можно использовать в качестве понятных
сигналов и индикаторов на исполнительском уровне. Скажем, можно установить
вклад в прибыльность и рентабельность каждой производственной операции, каждого
действия сотрудников. Например, если довести до сотрудников отдела продаж
информацию о вкладе в прибыль каждой единицы продаваемых товаров по различным
ассортиментным позициям, те получат понятные им инструкции о том, что требуется
“продвигать” в первую очередь. (Правда, здесь также имеются и свои “подводные
камни”).
Аналогичные показатели можно довести почти
до каждого работника, т.е. выразить его функции в терминах прибыли и
зарабатываемых им денег. В любом случае, такие ключевые и функциональные
индикаторы должны устанавливаться для подразделений и бизнес-единиц компании. В
этом и состоит управление результативностью. Показатели должны быть переведены
в соответствующие действия. Все это приводится в соответствие через сложную
систему планов, заданий, контрольных механизмов.
Отлаженная система результативности
позволяет перевести стратегию в операционную работу. Рабочие и служащие
корпорации, руководствуясь правильно отобранными и сконструированными
показателями, начинают действовать в интересах собственников организации, если,
конечно, эти интересы приведены в соответствие через систему стимулирования.
|
NET SALES
|
|
NS
|
|
10 000
|
|
|
|
|
|
(less) COGS
|
|
COGS
|
|
-5 000
|
|
|
|
|
|
(less) SG&A
|
|
SG&A
|
|
-1 000
|
|
|
|
|
|
EBIT
|
|
|
EBIT
|
|
4 000
|
|
OM
|
EBIT/NS
|
0,400
|
|
(less) INTEREST EXPENSE
|
IE
|
|
-500
|
|
|
|
|
|
EBT
|
|
|
EBT
|
|
3 500
|
|
IB
|
EBT/EBIT
|
0,875
|
|
(less) TAXES
|
|
T
|
24%
|
-840
|
|
|
|
|
|
NET INCOME
|
|
NI
|
|
2 660
|
|
TB
|
NI/EBT
|
0,760
|
|
|
|
|
|
|
|
|
|
|
|
CURRENT ASSETS
|
|
CA
|
|
25 000
|
|
|
|
|
|
FIXED ASSETS
|
|
FA
|
|
45 000
|
|
|
|
|
|
TOTAL ASSETS
|
|
TA
|
|
70 000
|
|
TAT
|
NS/TA
|
0,143
|
|
(less) CURRENT LIABILITIES
|
CL
|
|
-17 000
|
|
|
|
|
|
(less) LONG TERM DEBT
|
LTD
|
|
-12 000
|
|
|
|
|
|
TOTAL LIABILITIES
|
|
TL
|
|
-29 000
|
|
|
|
|
|
EQUITY
|
|
|
E
|
|
41 000
|
|
LR
|
TA/E
|
1,707
|
|
|
|
|
|
|
|
|
|
|
|
RETURN ON EQUITY
|
|
|
|
|
|
ROE
|
|
0,065
|
Полученные значения можно использовать в
качестве исходных данных и ориентиров для построения политики предприятия в
основных сферах деятельности.
Прибыльность продаж
- ценовая политика
- управление постоянными и переменными
издержками
- политика выбора оптимального объема
продаж
- контроль за соотношением операционных
и неоперационных расходов
- выбор метода отражения запасов
Оборачиваемость активов
- политика управления активами
- кредитная политика
- система управления запасами
- простаивающие активы
- сужение базы активов (например, за
счет аутсорсинга)
Структура капитала
- выбор структуры капитала,
- стоимость капитала
- налоговая политика
- соотношение долгосрочного и
краткосрочного долга
Модель Du Pont и
прогнозирование
Модель Du Pont можно
также успешно использовать для наивного прогнозирования роста компании (имеется
в виду рост доходов). Рост продаж сам по себе не является гарантией роста
прибылей. Для определения перспектив обычно используют произведение показателей
рентабельности на долю нераспределенной прибыли. Это часть дохода компании,
которая рефинансируется. Полученное произведение дает нам цифру предполагаемого
роста.
growth = ROE*RR
RR – процент
нераспределенной прибыли (Retention Ratio)
RR = 1 – Dividend Payout Ratio
growth
= Profit Margin *RR *Asset Turnover *EM
Такое представление позволяет
оценить, насколько компания использует возможности роста. Для этого требуется
сравнить расчетный потенциал роста и действительный рост (Sustainable Growth
Rate –Realized Growth Rate Relationship).
Если компания в действительно
обеспечивает больший рост, чем прогнозный, то такая ситуация считается быстрым
ростом, в противном случае медленным. Отклонения от расчетной величины роста
(потенциала) могут объясняться тем, что компания сталкивается с затруднениями в
управлении оборотным капиталом, может сократиться прибыльность продаж,
измениться леверидж, налоговое или процентное бремя. Причины “недоработки”
могут быть объективными. Возможно, также, что компания “недобирает” из-за
плохого управления, просчетов менеджмента.
7. РАСЧЕТНЫЕ СХЕМЫ ОЦЕНКИ
ПОКАЗАТЕЛЕЙ ЭФФЕКТИВНОСТИ ИНВЕСТИЦИОННЫХ ПРОЕКТОВ.
7. 1. Прогноз прибыли от
реализации инвестиционного проекта.
В дальнейшем мы будем
использовать два подхода к сопряжению прогнозных денежных потоков с показателем
дисконта. И оба эти подхода используют в качестве исходной информации прибыль
предприятия до амортизации, процентных платежей и налога на прибыль. Этот
показатель часто обозначают с помощью аббревиатуры EBITDA, от английского Earnings before Interest and Taxes, Depreciation
аnd Amortization.
|
Отчет о прибылях и убытках компании.
|
|
|
|
|
№
|
Наименование показателей
|
Сумма
|
|
|
|
|
1
|
SALES
|
|
2
|
TAX
|
378 904 676,03
|
|
3
|
NET SALES
|
2 105 025 977,97
|
|
4
|
COGS (COST OF SALES)
|
1 199 178 529,00
|
|
5
|
GROSS PROFIT
|
905 847 448,97
|
|
6
|
SG&A COST
|
424 068 290,61
|
|
7
|
OTHER EXPENSES
|
197 886 801,10
|
|
8
|
OTHER INCOME
|
82 241 559,14
|
|
9
|
Depreciation
|
16 576 150,37
|
|
10
|
EBITDA=GROSS PROFIT-SG&A COST-OE+OI+Dep.
|
382 710 066,77
|
Важно отметить, что при
разработке инвестиционного проекта рекомендуется производить прогноз данных
первого года с разбивкой по месяцам, второго года - по кварталам, а для всех
оставшихся лет прогноз осуществляется по итоговым годовым значениям. В некоторых
случаях прогноз прибыли осуществляется по итоговым годовым показателям.
Поскольку окончательная
эффективность инвестиционного проекта оценивается путем сравнения денежных
потоков (а не прибыли) с исходным объемом инвестиций, полученные значения
показателя чистой прибыли до амортизации, % и налога на прибыль необходимо
пересчитать в величину денежного потока. Это может быть сделано с помощью двух
расчетных схем, в зависимости от способа оценки расчетного показателя дисконта:
- традиционной
схемы и
- схемы
собственного капитала.
7. 2. Традиционная схема
расчета показателей эффективности.
Данная схема имеет следующие
особенности:
- в качестве
показателя дисконта при оценке NPV проекта используется взвешенная
средняя стоимость капитала (WACC) проекта,
- в процессе
принятия решения на основе IRR-метода значение внутренней нормы
доходности проекта сравнивается с WACC,
- при прогнозе
денежных потоков не учитываются процентные платежи, и погашение
основной части кредитной инвестиции.
Согласно третьей особенности
прогноз денежных потоков производится согласно схеме, представленной в таблице.
Таблица
Прогноз денежных потоков по традиционной схеме.
|
№
|
Наименование показателей
|
|
1 квартал
|
2 квартал
|
3 квартал
|
4 квартал
|
Всего
|
|
|
|
|
|
|
|
|
|
|
|
1
|
Прибыль до амортизации,
|
|
|
|
|
|
|
|
% и налога
|
|
|
|
|
|
|
|
2
|
Амортизация
|
|
|
|
|
|
|
|
|
3
|
Налогооблагаемая прибыль
|
|
|
|
|
|
|
4
|
Налог на прибыль
|
|
|
|
|
|
|
|
|
5
|
Чистая прибыль
|
|
|
|
|
|
|
|
|
6
|
Амортизация
|
|
|
|
|
|
|
|
|
7
|
Высвобождение рабочего капитала
|
|
|
|
|
|
|
8
|
Остаточная стоимость оборудования
|
|
|
|
|
|
|
9
|
Дополнительные денежные потоки
|
|
|
|
|
|
|
в связи с изменением рабочего
|
|
|
|
|
|
|
капитала
|
|
|
|
|
|
|
|
|
|
10
|
Чистые денежные потоки
|
|
|
|
|
|
|
Амортизация добавляется к
чистой прибыли, так как не является денежным видом издержек и включается в
валовые издержки для целей установления налога на прибыль.
Под “высвобождением рабочего
капитала” понимается объем инвестиций в оборотные средства предприятия,
связанные с увеличением дебиторской задолженности и товарно-материальных
запасов, которые к концу проекта ликвидируются, что приводит к дополнительному
положительному денежному потоку. Понятно, что этот денежный поток появляется
только в последний год таблицы.
Остаточная стоимость
оборудования также квалифицируется как положительный денежный поток в последний
год проекта, так как допускается, что оборудование будет продано по остаточной
стоимости или будет использовано для целей другого проекта.
Дополнительные денежные потоки
в связи с изменением рабочего капитала появляются в том случае, когда основные
статьи оборотных средств предприятия (дебиторская задолженность и
товарно-материальные запасы) и краткосрочных обязательств (кредиторская задолженность)
изменяются в процессе реализации проекта.
Это является, главным образом,
следствием изменения объема реализации предприятия. Действительно, если объем
реализации увеличивается согласно проекту на 10 %, то
пропорционально этому увеличивается дебиторская задолженность. Например,
дебиторская задолженность предприятия увеличилась в течение года с 50 000 $
до 62 000 $.Это означает, что долг предприятию со стороны клиентов
возрастает на 12 000 $, т.е. предприятие не дополучит 12 000
$. Следовательно, такое изменение квалифицируется, как отрицательный
денежный поток. Такое же положение имеет место для изменения статьи
“товарно-материальные запасы”. Увеличение кредиторской задолженности, наоборот,
соответствует увеличению денежного потока.
Возникает естественный вопрос:
почему при расчете денежного потока не были учтены процентные платежи, и
погашение основной части долга. Дело в том, что дисконтирование денежных
потоков производится в соответствии с показателем дисконта, равным взвешенной средней
стоимости капитала (в которую в качестве одной из компонент входит стоимость
долга) и все дисконтированные денежные потоки при определении показателя NPV
сравниваются с общей суммой инвестиций (в которую в качестве одной из компонент
входит кредитная доля совокупности финансовых ресурсов, привлеченных для
проекта). Напомним, что процесс дисконтирования и последующее сравнение с
исходной инвестицией при оценке показателя NPV соответствует вычитанию
из денежных потоков дохода инвесторов (прямых и кредитных) и сопоставлению
современных значений денежных потоков с исходным объемом инвестиций (прямых и
кредитных). Таким образом, если бы мы вычли процентные платежи и выплату
основной части долга при прогнозе денежных потоков, мы тем самым учли бы
долговую компоненту дважды: один раз в прямом виде в таблице прогнозов денежных
потоков, а другой раз в процессе дисконтирования и вычисления NPV.
Расчетная схема для оценки
эффективности инвестиций приобретает законченный вид.
С помощью таблицы
прогноза прибыли предприятия до амортизации, процентных платежей и налога на
прибыль, а так же таблицы
прогноза денежных потоков по традиционной схеме
производим прогноз денежных потоков.
Исходя из структуры
финансирования инвестиций и стоимости отдельных компонент (при заданной ставке
налога на прибыль) оцениваем взвешенную среднюю стоимость капитала WACC.
Производим расчет показателя NPV
по следующей формуле:
(4.1), где:
CF - денежный поток, соответствующего периода;
IC – инвестируемый капитал;
r (WACC) - стоимость капитала, привлеченного для инвестиционного проекта.
Если используется IRR-метод, то
значение показателя IRR определяется с помощью решения уравнения:
(4.2), где:
IС - значение инвестиции;
CF - входной денежный поток;
IRR- внутренняя
норма доходности.
n- продолжительность процесса инвестирования.
Полученное значение внутренней
нормы прибыльности затем сравнивается с взвешенной средней стоимостью капитала,
и проект принимается с точки зрения финансовой эффективности, если IRR
> WACC.
7. 3. Схема собственного
капитала.
Согласно схеме собственного
капитала расчет показателей эффективности инвестиционного проекта производится
при следующих допущениях:
- в качестве
показателя дисконта при оценке NPV проекта используется стоимость
собственного капитала проекта, причем в качестве расчетного объема
инвестиций принимаются, только собственные инвестиции;
- в процессе
принятия решения на основе IRR-метода значение внутренней нормы доходности
проекта сравнивается со стоимостью собственного капитала;
- при прогнозе
денежных потоков учитываются процентные платежи, и погашение
основной части кредитной инвестиции.
Прогноз денежных потоков
производится согласно схеме, представленной в таблице.
Таблица
Прогноз денежных потоков по схеме собственного капитала.
|
№
|
Наименование показателей
|
|
1 квартал
|
2 квартал
|
3 квартал
|
4 квартал
|
Всего
|
|
|
|
|
|
|
|
|
|
|
|
1
|
Прибыль до амортизации,
|
|
|
|
|
|
|
|
% и налога
|
|
|
|
|
|
|
|
2
|
Амортизация
|
|
|
|
|
|
|
|
|
3
|
Процентные платежи
|
|
|
|
|
|
|
|
4
|
Налогооблагаемая прибыль
|
|
|
|
|
|
|
5
|
Налог на прибыль
|
|
|
|
|
|
|
|
|
6
|
Выплата основной части долга
|
|
|
|
|
|
|
7
|
Чистая прибыль
|
|
|
|
|
|
|
|
|
8
|
Амортизация
|
|
|
|
|
|
|
|
|
9
|
Высвобождение рабочего капитала
|
|
|
|
|
|
|
10
|
Остаточная стоимость оборудования
|
|
|
|
|
|
|
11
|
Дополнительные денежные потоки
|
|
|
|
|
|
|
в связи с изменением рабочего
|
|
|
|
|
|
|
капитала
|
|
|
|
|
|
|
|
|
|
12
|
Чистые денежные потоки
|
|
|
|
|
|
|
Данная таблица отличается от
предыдущей наличием двух дополнительных строк: процентные платежи до налогов и
погашение основной части долга после налогов.
Расчет показателей
эффективности производится с помощью следующей процедуры.
С помощью таблицы
прогноза прибыли предприятия до амортизации, процентных платежей и налога на
прибыль, а так же таблицы
прогноза денежных потоков по схеме собственного капитала производим прогноз денежных потоков.
Оцениваем стоимость
собственного капитала компании (r).
Производим расчет показателя NPV
по следующей формуле:
(4.1), где:
CF - денежный поток, соответствующего периода;
IC – инвестируемый капитал;
r - стоимость капитала, привлеченного для инвестиционного
проекта.
Если используется IRR-метод,
то значение показателя IRR определяется с помощью решения уравнения:
(4.2), где:
IС - значение инвестиции;
CF - входной денежный поток;
IRR- внутренняя
норма доходности.
n- продолжительность процесса инвестирования.
Полученное значение внутренней
нормы доходности затем сравнивается со стоимостью собственного капитала, и
проект принимается, если IRR > r.
По существу, в соответствии со
второй схемой оценивается эффективность применения собственного капитала предприятия.
Все кредитные элементы инвестиционной схемы “изымаются” из расчета.
7. 4. Сравнение подходов.
Приведенные расчетные схемы
приводят обычно к одинаковому результату. Тем не менее второй подход,
предполагающий оценку эффективности применения собственного капитала, является
более наглядным для кредитного инвестора и более гибким.
В самом деле, кредитный
инвестор в процессе анализа проекта может наблюдать в виде численных значений
процентные платежи и погашение основной части долга в расчетной схеме прогноза
денежных потоков. Результирующий денежный поток он расценивает в качестве
элемента гарантии платежеспособности предприятия - если предприятие не будет в
состоянии реализовать все свои планы в отношении объемов реализации и валовых
издержек, то это может снизить результирующие денежные потоки, но наличие
больших положительных чистых денежных потоков повышает уверенность кредитора в
том, что он вернет свои деньги и получит проценты, так как имеет более высокий
приоритет.
Второе преимущество схемы
собственного капитала заключается в его большей гибкости. Если схема
обслуживания долга носит характер существенно неодинаковых годовых выплат,
например, кредитор может предоставить отсрочку от погашения основной части
долга на два года, то традиционная схема не “почувствует” этой особенности,
тогда как в рамках схемы собственного капитала это адекватно отразится на
результатах оценки эффективности проекта.
7. 5. Комплексный пример
оценки эффективности инвестиционного проекта
Предприятие планирует инвестировать
29 000 000 $. Из общего объема инвестиций 500 000 $ приходится
на оборотные средства, которые после окончания проекта высвобождаются. Основная
часть финансовых ресурсов инвестируется в основные средства, которые полностью
амортизируются в течение 5 лет. Эта инвестиция будет финансироваться следующим
образом:
- 30% инвестиционных
потребностей предприятие собирается финансировать за счет собственного
капитала, а оставшуюся сумму составляет займ;
- в современных
условиях предприятие не предполагает выпускать облигации, а планирует
получить кредит в двух банках;
- Азиатско-Тихоокеанский
банк может предоставить кредит на сумму 11 600 000 $, что
составляет 40% от потребного объема финансирования, под 15% % годовых;
- ведутся
переговоры о том, что Европейский банк развития предоставит кредит в
размере 8 700 000 $ под 12%;
- предприятие
рассчитывает получить отдачу на собственные вложенные финансовые ресурсы
размером 28%;
- продолжительность
кредитов совпадает с продолжительностью проекта и составляет 5 лет.
По оценке планового отдела
предприятия чистая прибыль до амортизации, процентных платежей и налога на
прибыль(EBITDA) должна составить 9 681 870 $ в год, причем
предприятие достигнет проектной мощности в первый год реализации
инвестиционного проекта и сохранит планируемый объем прибыли в течение всех лет
проекта.
Согласно традиционному подходу
к расчету эффективности капитальных вложений прогноз денежных потоков
осуществляется с помощью следующей таблицы:
Во второй таблице дисконтные
множители подобраны таким образом, что функция NPV меняет
знак с минуса на плюс. В этом интервале находится внутренняя норма доходности
инвестиционного проекта IRR.
|
Прогноз денежных потоков (традиционная схема).
|
|
|
|
|
|
|
|
|
|
|
|
№
|
Наименование
|
1 год
|
2 год
|
3 год
|
4 год
|
5 год
|
|
|
|
|
|
|
|
|
|
1
|
EBITDA
|
|
9 681 870
|
9 681 870
|
9 681 870
|
9 681 870
|
9 681 870
|
|
2
|
Depreciation
|
|
5 660 000
|
5 660 000
|
5 660 000
|
5 660 000
|
5 660 000
|
|
3
|
EBIT
|
|
4 021 870
|
4 021 870
|
4 021 870
|
4 021 870
|
4 021 870
|
|
4
|
TAX
|
24%
|
965 249
|
965 249
|
965 249
|
965 249
|
965 249
|
|
5
|
NET INCOME
|
|
3 056 621
|
3 056 621
|
3 056 621
|
3 056 621
|
3 056 621
|
|
6
|
Depreciation
|
|
5 660 000
|
5 660 000
|
5 660 000
|
5 660 000
|
5 660 000
|
|
7
|
Высвобождение рабочего капитала
|
|
|
|
500 000
|
|
8
|
Денежные потоки CF
|
8 716 621
|
8 716 621
|
8 716 621
|
8 716 621
|
9 216 621
|
|
|
|
|
|
|
|
|
|
|
|
|
|
|
|
|
|
Годы
|
Недисконтированные
|
Дисконтный
|
Дисконт.
|
Дисконтный
|
Дисконт.
|
|
|
потоки
|
CF
|
множитель
|
потоки
|
множитель
|
потоки
|
|
|
|
|
0,15
|
DCF
|
0,16
|
DCF
|
|
|
|
|
|
|
|
|
|
1
|
CF1
|
8 716 621
|
0,86957
|
7 579 671
|
0,86207
|
7 514 329
|
|
2
|
CF2
|
8 716 621
|
0,75614
|
6 591 018
|
0,74316
|
6 477 870
|
|
3
|
CF3
|
8 716 621
|
0,65752
|
5 731 320
|
0,64066
|
5 584 370
|
|
4
|
CF4
|
8 716 621
|
0,57175
|
4 983 756
|
0,55229
|
4 814 112
|
|
5
|
CF5
|
9 216 621
|
0,49718
|
4 582 290
|
0,47611
|
4 388 153
|
|
|
|
|
|
|
|
|
|
Дисконтированный поток
|
DCF
|
29 468 055
|
DCF
|
28 778 834
|
|
Инвестиции
|
|
|
IC
|
29 000 000
|
IC
|
29 000 000
|
|
Чистый приведенный эффект
|
NPV
|
468 055
|
NPV
|
-221 166
|
|
|
|
|
|
|
|
|
|
|
Средневзвешенная стоимость
капитала WACC=15,696 %.
|
Вид
|
Ставка
|
Стоимость
|
Доля
|
Взвешенная
|
|
|
налога %
|
%
|
|
стоимость
|
|
|
|
|
|
|
Кредит АТБ
|
24
|
15
|
0,4
|
4,5600
|
|
Кредит ЕБР
|
24
|
12
|
0,3
|
2,7360
|
|
Собственный капитал
|
|
28
|
0,3
|
8,4000
|
|
|
|
|
|
|
Средневзвешенная стоимость капитала
|
1
|
15,6960
|
Для принятия решения об эффективности инвестиций значение
внутренней нормы доходности (IRR) следует
сравнить со средневзвешенной
стоимостью капитала (WACC).
Поскольку IRR < WACC (15,319
< 15,696), эффективность проекта следует признать недостаточной и отклонить
проект, поскольку он не удовлетворяет требованиям владельцев предприятия и
кредиторов.
Для использования схемы собственного капитала составим два графика
обслуживания долга, которые представлены в таблицах:
|
Азиатско-Тихоокеанский банк.
|
|
|
|
|
|
|
|
|
|
|
Год
|
Начальный
|
Погашение
|
Проценты
|
Годовая
|
Конечный
|
|
баланс долга
|
долга
|
15%
|
выплата
|
баланс долга
|
|
|
|
|
|
|
|
1
|
11 600 000
|
2 320 000
|
1 740 000
|
4 060 000
|
9 280 000
|
|
2
|
9 280 000
|
2 320 000
|
1 392 000
|
3 712 000
|
6 960 000
|
|
3
|
6 960 000
|
2 320 000
|
1 044 000
|
3 364 000
|
4 640 000
|
|
4
|
2 320 000
|
696 000
|
3 016 000
|
2 320 000
|
|
5
|
2 320 000
|
2 320 000
|
348 000
|
2 668 000
|
0
|
|
|
|
|
|
|
|
Итого
|
|
11 600 000
|
5 220 000
|
16 820 000
|
|
|
Европейский банк развития.
|
|
|
|
|
|
|
|
|
|
Год
|
Начальный
|
Погашение
|
Проценты
|
Годовая
|
Конечный
|
|
баланс долга
|
долга
|
12%
|
выплата
|
баланс долга
|
|
|
|
|
|
|
|
1
|
8 700 000
|
1 740 000
|
1 044 000
|
2 784 000
|
6 960 000
|
|
2
|
6 960 000
|
1 740 000
|
835 200
|
2 575 200
|
5 220 000
|
|
3
|
5 220 000
|
1 740 000
|
626 400
|
2 366 400
|
3 480 000
|
|
4
|
3 480 000
|
1 740 000
|
417 600
|
2 157 600
|
1 740 000
|
|
5
|
1 740 000
|
1 740 000
|
208 800
|
1 948 800
|
0
|
|
|
|
|
|
|
|
Итого
|
|
8 700 000
|
3 132 000
|
11 832 000
|
|
При использовании схемы собственного капитала, прогноз денежных
потоков будет иметь вид:
|
Прогноз денежных потоков (схема собственного капитала).
|
|
|
|
|
|
|
|
|
|
|
№
|
Наименование
|
1 год
|
2 год
|
3 год
|
4 год
|
5 год
|
|
|
|
|
|
|
|
|
|
1
|
EBITDA
|
|
9 681 870
|
9 681 870
|
9 681 870
|
9 681 870
|
9 681 870
|
|
2
|
Выплата %
|
|
2 784 000
|
2 227 200
|
1 670 400
|
1 113 600
|
556 800
|
|
3
|
Depreciation
|
|
5 660 000
|
5 660 000
|
5 660 000
|
5 660 000
|
5 660 000
|
|
4
|
EBIT
|
|
1 237 870
|
1 794 670
|
2 351 470
|
2 908 270
|
3 465 070
|
|
5
|
TAX
|
24%
|
297 089
|
430 721
|
564 353
|
697 985
|
831 617
|
|
6
|
NET INCOME
|
|
940 781
|
1 363 949
|
1 787 117
|
2 210 285
|
2 633 453
|
|
7
|
Depreciation
|
|
5 660 000
|
5 660 000
|
5 660 000
|
5 660 000
|
5 660 000
|
|
8
|
Высвобождение рабочего капитала
|
|
|
|
500 000
|
|
9
|
Выплата кредитов
|
4 060 000
|
4 060 000
|
4 060 000
|
4 060 000
|
4 060 000
|
|
10
|
Денежные потоки CF
|
2 540 781
|
2 963 949
|
3 387 117
|
3 810 285
|
4 733 453
|
|
|
|
|
|
|
|
|
|
|
|
|
|
|
|
|
|
|
|
|
|
|
|
|
|
Годы
|
Недисконтированные
|
Дисконтный
|
Дисконт.
|
Дисконтный
|
Дисконт.
|
|
|
потоки
|
CF
|
множитель
|
потоки
|
множитель
|
потоки
|
|
|
|
|
0,25
|
DCF
|
0,26
|
DCF
|
|
|
|
|
|
|
|
|
|
1
|
CF1
|
2 540 781
|
0,80000
|
2 032 625
|
0,79365
|
2 016 493
|
|
2
|
CF2
|
2 963 949
|
0,64000
|
1 896 927
|
0,62988
|
1 866 937
|
|
3
|
CF3
|
3 387 117
|
0,51200
|
1 734 204
|
0,49991
|
1 693 240
|
|
4
|
CF4
|
3 810 285
|
0,40960
|
1 560 693
|
0,39675
|
1 511 734
|
|
5
|
CF5
|
4 733 453
|
0,32768
|
1 551 058
|
0,31488
|
1 490 477
|
|
|
|
|
|
|
|
|
|
Дисконтированный поток
|
DCF
|
8 775 507
|
DCF
|
8 578 881
|
|
Инвестиции (только собственные)
|
IC
|
8 700 000
|
IC
|
8 700 000
|
|
Чистый приведенный эффект
|
NPV
|
75 507
|
NPV
|
-121 119
|
Как видно из таблицы функция NPV меняет
знак с минуса на плюс при значениях дисконтного множителя 0,25 и 0,26. При
расчете значения функции NPV в
качестве инвестиций IC
используются только собственные вложения предприятия.
IRR=25,384 % <
WACC (собственного капитала) = 28 %, Следовательно
проект не обеспечивает достаточной прибыли, и его необходимо отклонить.
Данный вывод совпадает с первым выводом, сделанным в
рамках традиционного подхода. В то же время, с помощью традиционного подхода не
удается учесть возможные изменения в схеме возврата долга, например, в виде
отсрочки выплаты основной части долга в течение нескольких первых лет проекта.
Если, допустим, Европейским Банком Развития
предоставляется отсрочка выплаты основной части долга в течение 2 лет, то
графики обслуживания кредитов примут следующий вид:
|
Измененная схема возврата долга (Отсрочка выплаты основной
части
|
|
долга Европейского банка развития в первые 2 года).
|
|
|
|
|
|
|
|
|
|
|
|
|
|
|
Азиатско-Тихоокеанский банк.
|
|
|
|
|
|
|
|
|
|
|
Год
|
Начальный
|
Погашение
|
Проценты
|
Годовая
|
Конечный
|
|
баланс долга
|
долга
|
15%
|
выплата
|
баланс долга
|
|
|
|
|
|
|
|
1
|
11 600 000
|
2 320 000
|
1 740 000
|
4 060 000
|
9 280 000
|
|
2
|
9 280 000
|
2 320 000
|
1 392 000
|
3 712 000
|
6 960 000
|
|
3
|
6 960 000
|
2 320 000
|
1 044 000
|
3 364 000
|
4 640 000
|
|
4
|
4 640 000
|
2 320 000
|
696 000
|
3 016 000
|
2 320 000
|
|
5
|
2 320 000
|
2 320 000
|
348 000
|
2 668 000
|
0
|
|
|
|
|
|
|
|
Итого
|
|
11 600 000
|
5 220 000
|
16 820 000
|
|
|
|
|
|
|
|
|
|
|
|
|
|
|
|
|
|
|
|
|
Европейский банк развития.
|
|
|
|
|
|
|
|
|
|
Год
|
Начальный
|
Погашение
|
Проценты
|
Годовая
|
Конечный
|
|
баланс долга
|
долга
|
12%
|
выплата
|
баланс долга
|
|
|
|
|
|
|
|
1
|
8 700 000
|
0
|
1 044 000
|
1 044 000
|
8 700 000
|
|
2
|
8 700 000
|
0
|
1 044 000
|
1 044 000
|
8 700 000
|
|
3
|
8 700 000
|
2 900 000
|
1 044 000
|
3 944 000
|
5 800 000
|
|
4
|
5 800 000
|
2 900 000
|
696 000
|
3 596 000
|
2 900 000
|
|
5
|
2 900 000
|
2 900 000
|
348 000
|
3 248 000
|
0
|
|
|
|
|
|
|
|
Итого
|
|
8 700 000
|
4 176 000
|
12 876 000
|
|
Данные графики обслуживания кредитов предполагают
следующий прогноз денежных потоков:
|
Прогноз денежных потоков (схема собственного капитала).
|
|
|
|
|
|
|
|
|
|
|
№
|
Наименование
|
1 год
|
2 год
|
3 год
|
4 год
|
5 год
|
|
|
|
|
|
|
|
|
|
1
|
EBITDA
|
|
9 681 870
|
9 681 870
|
9 681 870
|
9 681 870
|
9 681 870
|
|
2
|
Выплата %
|
|
2 784 000
|
2 436 000
|
2 088 000
|
1 392 000
|
696 000
|
|
3
|
Depreciation
|
|
5 660 000
|
5 660 000
|
5 660 000
|
5 660 000
|
5 660 000
|
|
4
|
EBIT
|
|
1 237 870
|
1 585 870
|
1 933 870
|
2 629 870
|
3 325 870
|
|
5
|
TAX
|
24%
|
297 089
|
380 609
|
464 129
|
631 169
|
|
6
|
NET INCOME
|
|
940 781
|
1 205 261
|
1 469 741
|
1 998 701
|
2 527 661
|
|
7
|
Depreciation
|
|
5 660 000
|
5 660 000
|
5 660 000
|
5 660 000
|
5 660 000
|
|
8
|
Высвобождение рабочего капитала
|
|
|
|
500 000
|
|
9
|
Выплата кредитов
|
2 320 000
|
2 320 000
|
5 220 000
|
5 220 000
|
5 220 000
|
|
10
|
Денежные потоки CF
|
4 280 781
|
4 545 261
|
1 909 741
|
2 438 701
|
3 467 661
|
|
|
|
|
|
|
|
|
|
|
|
|
|
|
|
|
|
|
|
|
|
|
|
|
|
Годы
|
Недисконтированные
|
Дисконтный
|
Дисконт.
|
Дисконтный
|
Дисконт.
|
|
|
потоки
|
CF
|
множитель
|
потоки
|
множитель
|
потоки
|
|
|
|
|
0,29
|
DCF
|
0,30
|
DCF
|
|
|
|
|
|
|
|
|
|
1
|
CF1
|
4 280 781
|
0,77519
|
3 318 435
|
0,76923
|
3 292 909
|
|
2
|
CF2
|
4 545 261
|
0,60093
|
2 731 363
|
0,59172
|
2 689 504
|
|
3
|
CF3
|
1 909 741
|
0,46583
|
889 622
|
0,45517
|
869 250
|
|
4
|
CF4
|
2 438 701
|
0,36111
|
880 643
|
0,35013
|
853 857
|
|
5
|
CF5
|
3 467 661
|
0,27993
|
970 707
|
0,26933
|
933 942
|
|
|
|
|
|
|
|
|
|
Дисконтированный поток
|
DCF
|
8 790 769
|
DCF
|
8 639 461
|
|
Инвестиции (только собственные)
|
IC
|
8 700 000
|
IC
|
8 700 000
|
|
Чистый приведенный эффект
|
NPV
|
90 769
|
NPV
|
-60 539
|
|
|
|
|
|
|
|
|
|
|
Как видно в этом случае, значение внутренней нормы
рентабельности (IRR =
29,6 %) превосходит стоимость собственного капитала компании (WACC =
28 %),
следовательно проект можно рассматривать как прибыльный. Это стало возможным
вследствие предполагаемой отсрочки выплаты основной части долга Европейского
банка развития.
05.12.2008 года.