Краткосрочная финансовая политика

  • Вид работы:
    Лекция
  • Предмет:
    Финансы, деньги, кредит
  • Язык:
    Русский
    ,
    Формат файла:
    MS Word
    249,50 kb
  • Опубликовано:
    2010-05-04
Вы можете узнать стоимость помощи в написании студенческой работы.
Помощь в написании работы, которую точно примут!

Краткосрочная финансовая политика

Определение источников финансирования отдельных видов оборотных активов и оптимизация структуры источников их финансирования. Источники финансирования оборотных активов подразделяются на собственные, заемные и привлеченные (рис. 6.2).

К собственным источникам финансирования оборотных активов относятся уставный капитал, добавочный капитал, резервный капитал, резервные фонды, нераспределенная прибыль, фонд социальной сферы, целевое финансирование и поступления из бюджета, отраслевых и межотраслевых внебюджетных фондов. Помимо собственных источников для формирования оборотных активов компании используют источники, приравненные к собственным, — так называемые устойчивые пассивы. К устойчивым пассивам относят ресурсы, длительное время находящиеся в обороте компании, увеличивая ее оборотные средства. Устойчивыми пассивами являются: минимальная задолженность по заработной плате и отчислениям на соци-

Рис. 6 2 Источники финансирования оборотных активов

альные нужды; минимальная задолженность по резерву предстоящих платежей; платежи заказчиков по частичной готовности продукции (если применяется эта форма расчетов); минимальная задолженность по авансам потребителей (если это предусмотрено договорами); минимальная задолженность покупателей по залогам за тару; остатки средств фонда социальной сферы.

К заемным источникам финансирования оборотных активов относятся краткосрочные кредиты и займы, коммерческие кредиты, инвестиционный налоговый кредит, инвестиционный взнос работников. Кроме того, источником заемных средств служит выпуск в обращение долговых ценных бумаг (облигаций, векселей).

К дополнительно привлеченным источникам финансирования оборотных активов относится также кредиторская задолженность, обусловленная принятой системой расчетов, а также нарушением платежной дисциплины, доходы будущих периодов, резервы предстоящих расходов, задолженность участникам (учредителям) по выплате доходов.

Дополнительным способом финансирования оборотных активов также является метод, основанный на комбинации предоплат и консигнационных сделок. Данный подход базируется на том, что предоплата, являясь фактором минимизации риска для компании-продавца, дает возможность временного высвобождения денежных средств, с помощью которых можно пополнять оборотный капитал. С другой стороны, условия консигнации предусматривают отсрочку платежа за уже поставленную продукцию. Компания, находящаяся между производителем и конечным потребителем товаров, формирует портфель заказов, в определенной его части на условиях предварительной оплаты. В зависимости от характера поставляемого товара, размера заказа, условий доставки, дальнейшего технического сопровождения товара (если это необходимо) корректируется размер предоплаты и сроки поставки товаров. В то же время закупка товаров производится у компании-производителя на условиях консигнации. Сроки и суммы предоставляемой консигнации также могут варьироваться в зависимости от характера и размера заказа. Таким образом, у компании, находящейся между производителем и потребителем, образуется определенный размер временно свободных средств. Причем размер этих средств и сроки пользования ими обусловлены договорными обязательствами, а следовательно, легко прогнозируемы.

В целях создания благоприятных условий для применения данного метода финансирования компании целесообразно расширить спектр предоставляемых сопутствующих услуг, скидок и гарантий своим контрагентам.

На практике компании используют разные подходы к финансированию оборотных активов. В их основу положено предположение, что для обеспечения ликвидности внеоборотные активы и постоянная часть оборотных активов должны возмещаться за счет долгосрочных пассивов. Различие между подходами определяется тем, какие источники финансирования выбираются для покрытия переменной части оборотных активов. Существуют консервативный, агрессивный и умеренный подходы.

При консервативном подходе переменная часть оборотных активов покрывается долгосрочными пассивами, а постоянная — собственными средствами. Такой подход гарантирует ликвидность, поскольку отсутствует краткосрочная задолженность. Однако он является дорогостоящим. Долгосрочные обязательства, как правило, имеют большую стоимость и требуют постоянного обслуживания. Большие издержки по привлечению долгосрочного финансирования порождают риск снижения доходности собственного капитала.

Консервативный подход приоритетен в случаях инфляционного увеличения стоимости краткосрочных источников финансирования оборотных активов, нестабильности работы компании и отсутствия надежных прогнозов в поступлении денежных средств, предоставления льготных условий долгосрочного заемного финансирования (например, по правительственным программам).

Агрессивный подход к финансированию оборотных активов состоит в использовании краткосрочной задолженности для покрытия в полном объеме переменной части оборотных активов. Долгосрочные пассивы при этом подходе служат источником покрытия внеоборотных активов и постоянной части текущих оборотных активов, т.е. того минимума, который необходим для хозяйственной деятельности в нормальных, обычных условиях. Риск потери ликвидности при агрессивном подходе максимален и увеличивается вероятность расхождения поступлений и платежей. В случае срочного погашения всех краткосрочных обязательств компания будет вынуждена продавать даже основные средства. Преимущество этого подхода состоит в дешевом способе покрытия текущих активов. В периоды острой потребности в денежных средствах (при недостаточности краткосрочных обязательств) могут привлекаться краткосрочные банковские ссуды.

Умеренный подход к финансированию активов предполагает сочетание риска и доходности с целью максимизации рыночной оценки компании. В этом случае внеоборотные активы, постоянная часть оборотных активов и примерно половина переменной их части покрываются долгосрочными пассивами. Вторая половина переменной части оборотных активов должна финансироваться за счет краткосрочной задолженности. При этом подходе все решения по управлению оборотным капиталом оцениваются с точки зрения максимизации цены в рамках общей финансовой политики (необходимость дивидендных платежей, реализация инвестиционных программ, возможность оптимизации периодов кредиторской и дебиторской задолженности и т.п.).

Можно сделать вывод, что основным различием трех подходов к финансированию оборотных активов является величина краткосрочной задолженности, используемой при проведении каждого из них. Агрессивный подход предполагает наибольшее использование этого источника, тогда как консервативный — наименьшее (умеренный подход находится посередине).

Политика управления оборотными активами опирается на финансовые нормативы, разрабатываемые компанией. Основными из таких нормативов являются:

• норматив собственных оборотных активов компании;

• система нормативов оборачиваемости основных видов оборотных активов и продолжительности операционного цикла в целом;

• система коэффициентов ликвидности оборотных активов;

• нормативное соотношение отдельных источников финансирования оборотных активов.

Для определения потребности компании в собственных оборотных средствах используются три метода — аналитический, коэффициентный и прямого счета.

Аналитический метод расчета норматива оборотных средств основан на учете соотношения между темпами роста объема производства и размерами нормируемых оборотных средств в предшествующем периоде.

При коэффициентном методе запасы и затраты подразделяются на зависящие от изменений объемов производства (сырье, материалы, затраты на незавершенное производство, готовая продукция на складе) и не зависящие от объемов производства (различные запчасти, расходы будущих периодов).

По первой группе потребность в оборотных средствах определяется исходя из их размера в базисном году и умножается на темпы роста производства продукции в предстоящем (плановом) году. По второй группе потребность в оборотных средствах планируется на уровне среднефактических остатков за несколько лет.

Метод прямого счета основан на определении каждой составляющей оборотных средств и их суммировании. Расчет ведется по формуле:

Нi = Р-Д, (6.20)

где Н — норматив оборотных средств по конкретному i-му элементу; Р — однодневный расход i-го элемента оборотных средств; Д — ежедневная норма запасов для i-го элемента оборотных средств.

На практике целесообразно применение метода прямого счета, обеспечивающего точные расчеты частных и совокупного норматива оборотных средств.

В крупных компаниях политика управления оборотными активами дифференцируется по отдельным их видам:

• управление запасами;

• управление дебиторской задолженностью;

• управление денежными активами.

3. Управление запасами компании

Запасы — это находящаяся на разных стадиях производства и обращения продукция производственно-технического назначения, потребительские и другие товары, ожидающие вступления в процесс производственного или личного потребления. Запасы являются связующим звеном между производством и реализацией продукции.

Управление запасами представляет собой сложный процесс, основанный на использовании разнообразных инструментов финансового менеджмента. Под управлением понимается контроль за состоянием запасов и принятие решений, нацеленных на экономию времени и средств за счет минимизации затрат по содержанию запасов, необходимых для своевременного выполнения производственной программы компании.

Управление запасами целесообразно представить следующим алгоритмом:

• анализ запасов в предшествующем периоде;

• определение целей формирования запасов;

• оптимизация запасов;

• контроль за движением запасов.

Анализ запасов в предшествующем периоде позволяет определить уровень обеспеченности производства и реализации продукции соответствующими запасами в предшествующем периоде и оценить эффективность их использования.

При анализе запасов учитываются следующие факторы: политика поставщиков в отношении поставок материальных ценностей; допустимые пределы, в которых могут колебаться запасы; возможность и объем закупок сверх нормальных потребностей при повышении цен или дефиците материальных ценностей; степень устаревания и порчи материальных ценностей в период длительного хранения.

Анализ запасов проводится в разрезе основных их видов и включает четыре этапа. На первом этапе анализируются показатели общей суммы запасов — темпы их динамики, удельный вес в объеме оборотных активов и т.п. На втором — проводится оценка структуры запасов в разрезе их видов и основных групп, выявляются сезонные колебания их размеров. На третьем этапе оценивается эффективность использования различных видов и групп запасов и их объема в целом, которая характеризуется показателями их оборачиваемости. На четвертом этапе дается оценка объема и структуры текущих затрат по обслуживанию запасов в разрезе отдельных видов этих затрат.

Определение целей формирования запасов. Запасы, включаемые в состав оборотных активов, создаются в компаниях для различных целей. Основные из них представлены в табл. 6.4.

Оптимизация запасов. Оптимизация запасов осуществляется по разным видам запасов на основе применения различных моделей и систем управления запасами. К основным инструментам оптимизации управления запасами на товарных складах, к которым относятся запасы конечных продуктов, предназначенных для оптовой и розничной торговли, а также запасы сырья и материалов для использования в производственном процессе, относятся модели оптимального размера заказа и оптимальной партии продукции.

Таблица 6.4. Цели формирования производственных запасов и пути их достижения

Цели

Пути достижения

Поддержание ликвидности и текущей платежеспособности компании; оптимизация

структуры запасов

Сокращение средств, отвлеченных в запасы, улучшение финансового состояния компании за счет:

— улучшения структуры запасов;

— выявления избыточных запасов и неликвидов;

— поддержания оборотных активов в наиболее ликвидном состоянии;

— сокращения потребности в источниках финансирования;

— снижения расходов, связанных с финансированием запасов

Поддержание конкурентоспособ-ности

компании

Улучшение обслуживания покупателей и заказчиков, поддержание деловой репутации компании за счет:

— рационального соотношения между имеющимися видами готовой продукции;

— сокращения потерь, связанных с упущенной выгодой из-за отказа от срочного заказа или предложения

Оптимизация затрат, связанных с формированием и

поддержанием запасов

Сокращение издержек производства за счет:

— устранения потерь рабочего времени, вызванных нехваткой сырья и материалов;

— сокращения простоев оборудования из-за нехватки запасных частей;

— обеспечения более рационального процесса производства вследствие исключения частых изменений в календарных планах и дорогостоящих переналадок, вызываемых некомплектностью ресурсов;

— поддержания наиболее экономичного соотношения между затратами на хранение и приобретение запасов;

— уменьшения затрат на содержание филиальных складов и других складских помещений

Обеспечение необходимого контроля

за запасами

Снижение потерь, связанных с неудовлетворительной системой контроля за количеством и качеством поступающих материальных ценностей, предотвращение возможных потерь,  порчи и бесконтрольного использования запасов

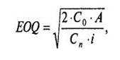
Оптимальный размер заказа — это математически рассчитанный размер заказа, который позволяет добиться оптимального соотношения между затратами на хранение запасов (в том числе величиной «замороженных» в них денег) и затратами на подготовку и выполнение заказа. Эта модель основана на определении точки перезаказа — минимального уровня складского запаса, по достижении которого формируется заказ на пополнение. При этом объем заказываемой партии рассчитывается на основе формулы оптимального объема заказа, или формулы Вильсона (wilson formula, которую часто называют формулой оптимального размера заказа или формулой экономичного размера заказа (economic order quantityEOQ)). Она позволяет минимизировать суммарные затраты на размещение заказа и хранение материала на складе1:

(6.21)

где Со — затраты на выполнение одного заказа, руб.; А — потребность в заказываемом продукте в течение данного периода, шт.; Сn цена единицы продукции, хранимой на складе, руб.; i — доля от цены Сn приходящейся на затраты по хранению.

Пример:

Потребность в заказываемых изделиях в течение определенного периода составляет 500 шт. Стоимость единицы изделия, хранимой на складе, составляет 40 руб. За траты на выполнение одного заказа — 250 руб. Доля от годовой стоимости запаса на хранение составляет 0,1. Оптимальный размер заказа равен:

Допущения для формулы оптимального размера поставки EOQ следующие: затраты на выполнение заказа Со, цена поставляемой продукции Сn и затраты на хранение единицы продукции в течение всего рассматриваемого периода постоянны; период между заказами (поставками) постоянен; заказ EOQ выполняется полностью и мгновенно; интенсивность спроса постоянна; емкость склада не ограничена; рассматриваются только текущие (регулярные) запасы, транзитный и страховой запасы отсутствуют.

В формуле (6.21) предполагается, что оплата за хранение единицы продукции пропорциональна ее цене, а среднее количество находящейся на хранении продукции при постоянной интенсивности спроса на данный период составляет '/2 искомой величины заказа.

Практика аренды складских помещений, а также расчеты затрат на хранение на складах ряда компаний свидетельствуют о том, что как правило, учитывается не средний размер партии, а площадь (или объем) склада, которая требуется для всей поступившей партии.

1 См.: Лукинский, В. С. Модели и методы теории логистики : учеб. пособие СПб. : Питер, 2003. С. 61.

С учетом данного обстоятельства расчетная формула для оптимальной величины заказа будет выглядеть следующим образом1:

(6.22)

где β — коэффициент, отражающий связь между долей от стоимости объема заказа и установленной арендной платой.

При коэффициенте β = 0,5 получаем формулу 6.21.

В модели EOQ также предполагается, что стоимость единицы запаса не зависит от размера закупки. Однако на практике стоимость единицы товара очень часто зависит от размера закупаемой партии в связи с предоставляемыми большинством компаний скидками. Эти оптовые скидки могут существенно изменить решение об оптимальном размере закупки в сторону его увеличения. Значительное увеличение размера заказа по сравнению с EOQ может привести к значительному росту складских издержек. Однако, если рост складских издержек компенсируется оптовой скидкой на стоимость единицы закупаемого запаса, увеличение размера заказа имеет смысл.

В методе оптимального размера заказа не учтены затраты на транспортировку, поэтому при его использовании следует сопоставлять получаемую экономию с затратами на доставку с учетом особенностей компании и предусматривать мероприятия для их снижения.

Статистическое управление запасами (statistical inventory control SIC) является дополнением к подходу EOQ и предусматривает страховой (буферный) запас для компенсации случайных колебаний спроса на материал и/или времени доставки. Размер страхового запаса рассчитывается исходя из вероятностных характеристик и экономических показателей.

Методы EOQ и SIC достаточно просты, но основаны на экстраполяции и поэтому не позволяют оптимально сбалансировать спрос и запасы в нестабильных условиях. Поэтому их практическое использование оправдано прежде всего для относительно недорогих материалов, для которых можно установить довольно высокий уровень страхового запаса, либо для материалов, которые всегда должны иметься в наличии в количестве, необходимом для бесперебойного функционирования производства.

Модель производства оптимальной партии продукции (economic batch quantity EBQ) позволяет минимизировать сумму двух основных типов издержек — переменных издержек хранения и постоянных издержек, связанных с запуском новой партии продукции в условиях заданного и постоянного спроса. Формула расчета для оптимального размера партии выглядит следующим образом1:

(6.23)

где р — скорость производства деталей на линии (шт./месяц, шт./ день); dскорость потребления деталей конвейером (шт./месяц, шт./день).

Для организации производства важной является проблема управления запасами материалов, частей, узлов и агрегатов, распределенных по производственной линии и проходящих определенную трансформацию в конечный продукт в ходе производственного процесса.

Вопрос об уровне данного вида запасов и способах оптимального планирования и управления производственным процессом рассматривается с точки зрения двух производственных систем — «тянущей»2 и «толкающей»3. Тянущая (вытягивающая) система (pull system) — система организации производства, в которой детали и полуфабрикаты подаются на последующую технологическую операцию с предыдущей по мере необходимости (жесткий график отсутствует).

 Толкающая (выталкивающая) система (push system) — система организации производства, в которой детали и полуфабрикаты подаются с предыдущей технологической операции на последующую в соответствии с заранее сформированным жестким графиком.

Ярким представителем «тянущей» системы является распространенная в Японии система JITjust-in-time»). Представителем «толкающей» системы является широко распространенная на Западе система планирования производственного процесса (material requirement planningMRP).

С позиции финансиста идеальным состоянием для ведения бизнеса должно быть отсутствие каких-либо товарных запасов при полном обеспечении производственного процесса всеми необходимыми компонентами. Такому условию соответствует система, используемая японскими менеджерами, получившая название JIT, или «точно в срок». JIT — это система управления материалами в производстве, при которой компоненты с предыдущей операции (или от внешнего поставщика) доставляются именно в тот момент, когда они требуются, но не раньше. Партии компонентов настолько малы, насколько это возможно (это зависит от времени выполнения и стабильности цикла доставки). Наибольший успех система JIT имеет в компаниях среднего масштаба с серийным типом производства, где стандартные изделия производятся с высокой скоростью с непрерывным потоком материалов и комплектующих. В данной ситуации процедуры планирования и контроля в достаточной степени стандартизованы и просты. В крупных, высокотехнологичных компаниях, где процедура планирования и контроля производственных процессов является сложной, JIT практически не используется.

Одним из классических примеров использования метода «точно в срок» является деятельность фирмы «Тойота», построившей свой бизнес таким образом, что около 90% всех поставщиков этой автомобильной компании сосредоточены в предместье Тойото. При этом подавляющее большинство комплектующих доставляется к месту сборки в течение нескольких часов или минут до того, как они будут использованы, что позволяет компании значительно сократить операционные расходы и избавиться от непроизводительного труда.

На основе системы JIT крупными американскими компаниями была разработана система комплексного планирования потребностей в материалах — MRP, при которой каждый элемент производства, каждая комплектующая деталь должны быть в нужное время в нужном количестве. Это обеспечивается формированием такой последовательности производственных операций, которая позволяет соотносить своевременное изготовление продукции с заложенным планом выпуска. В упрощенном виде исходную информацию для MRP-системы представляют главный календарный план производства — (master production schedule MPS), [MPS — главный календарный план производства. Одна из первых методик, получивших официальный статус стандарта В ее основу входило определение количественных показателей каждого выпускаемого изделия в привязке к временным дискретам планирования (неделя, месяц) в пределах горизонта планирования — так называемое объемно-календарное планирование. Финансовые результаты также оценивались по периодам.]

ведомость материалов, состав изделия, состояние запасов. На основании входных данных MRP-система выполняет следующие основные операции:

• по данным MPS определяется количество конечных изделий для каждого периода времени планирования;

• к составу конечных изделий добавляются запасные части, не включенные в MPS;

для MPS и запасных частей определяется общая потребность в материальных ресурсах в соответствии с ведомостью материалов и составом изделия с распределением по периодам времени планирования;

Рис. 6.3. МRР-система

• общая потребность материалов корректируется с учетом состояния запасов для каждого периода времени планирования;

• осуществляется формирование заказов на пополнение запасов с учетом необходимого времени опережения.

Результатом работы MRР-системы является план-график снабжения материальными ресурсами производства (потребность каждой учетной единицы материалов и комплектующих для каждого периода времени). Для реализации плана-графика снабжения система создает график заказов в привязке к периодам времени. Он используется для размещения заказов поставщикам материалов и комплектующих или для планирования самостоятельного изготовления с возможностью внесения корректировок в процессе производства. Системы класса MRP по соотношению «цена — качество» подходят для небольших компаний, где функции управления ограничиваются учетом (бухгалтерским, складским, оперативным), управлением запасами на складах и управлением кадрами.

Контроль за движением запасов в компании позволяет своевременно размещать заказы на пополнение запасов и обеспечивать их рациональное использование. Весьма результативна система контроля, получившая название «метод ABC». Сущность этого метода заключается в проведении классификации всех запасов по комплексному параметру, учитывающему их важность, стоимость, дефицитность и проч.

ABC-метод базируется на правиле Парето, суть которого сводится к тому, что контроль относительно небольшого количества элементов позволяет контролировать ситуацию в целом. На практике сформулированное Парето правило именуют правилом 80/20 (восемьдесят на двадцать), что можно истолковать следующим образом: надежный контроль 20% позиций запасов позволяет на 80% контролировать всю их систему.

Обычно прибегают к трехступенчатому ранжированию запасов — категория А (важные, дефицитные), В (вспомогательные, легкодоступные) и С (средний вариант). Категория А включает ограниченное количество наиболее ценных видов запасов, которые требуют постоянного и скрупулезного учета и контроля (возможно даже ежедневного). Для этих ресурсов обязателен расчет оптимального размера заказа. Категория В составлена из тех видов товарно-материальных запасов, которые в меньшей степени важны для организации и которые оцениваются и проверяются при ежемесячной инвентаризации. Для товарно-материальных запасов этой категории, как и категории А, приемлемы методики определения оптимального размера заказа. Категория С включает широкий ассортимент оставшихся малоценных видов товарно-материальных запасов, закупаемых обычно в большом количестве. Начинать наводить порядок нужно с самой маленькой и самой дорогой группы А.

По мнению специалистов, наибольший эффект дает применение метода ABC в комбинации с другой, пока мало известной в России техникой — XYZ.

ХYZ-анализ позволяет классифицировать запасы в зависимости от характера их потребления и точности прогнозирования изменений в их потребности, что особенно важно для торговых фирм. Результат XYZ-анализа — группировка ресурсов по трем категориям: категория X, ресурсы которой характеризуются стабильной величиной потребления (например, если речь идет о сырье, то существуют нормы расхода каждого вида сырья), незначительными колебаниями в их расходе и высокой точностью прогноза; категория Y, ресурсы которой характеризуются известными тенденциями определения потребности в них (например, сезонными колебаниями) и средними возможностями их прогнозирования; категория Z характеризуется нерегулярным потреблением ресурсов, отсутствием каких-либо тенденций, невысокой точностью прогнозирования.

Объединение результатов XYZ-анализа и данных метода ABC позволяет разбить запасы на девять блоков, каждый из которых имеет две характеристики: стоимость запасов и точность прогнозирования потребности в них (рис. 6.4).

В управлении этими блоками существуют определенные закономерности. Группы АХ, AY и AZ требуют наибольшего внимания, для них необходимо тщательное планирование потребности, нормирование расхода, скрупулезный (ежедневный) учет и контроль, постоянный анализ отклонений от запланированных показателей. Причем, для категории АХ следует рассчитывать оптимальный размер закупок и возможно использовать JIT. А для категории AZ эффективнее использовать систему снабжения по запросам с обязательным расчетом величины страхового запаса. Для ресурсов категории СХ, CY, CZ применяются укрупненные методы планирования, а функции контроля чаще всего делегируются низшим ступеням управления.

Уменьшение точности прогнозирования

Рис. 6.4 Объединение результатов ABC- и XYZ-анализа

Классификация систем контроля за состоянием запасов производится в зависимости от выбора и регулируемых значений таких параметров, как размер заказа, точка заказа, максимальный запас и периодичность (или период повторения) заказа. Данная классификация приведена в табл. 6.5.



Таблица 6.5 Регулирующие параметры систем контроля за состоянием запасов

Тип системы контроля

Регулирующие параметры

Оценка параметра

1 Система с фиксированным размером заказа

1. Размер заказа

2 Точка заказа

Величина партии поставки (величина постоянная). Фиксированный уровень запаса, при снижении до которого организуется заказ очередной партии

2 Система с фиксированной периодичностью заказа

1. Продолжительность периода повторения заказов

2. Максимальный запас

Оба параметра постоянные, варьирует лишь размер партии

3 Система с установленной периодичностью пополнения запасов до постоянного уровня

1. Периодичность заказа

2. Максимальный запас

3. Точка заказа

Величина всех трех параметров постоянная. Заказ, величина которого постоянно рассчитывается, осуществляется не только в установленные моменты времени, но

и при достижении запаса точки

заказа

4 Система «Минимум-максимум»

1 Максимальный запас

2 Точка заказа

3. Периодичность заказа

Величина первых двух параметров постоянная, периодичность заказа — величина переменная, в определенных пределах варьирует и размер закупаемой партии


Для контроля за состоянием запасов в ряде стран применяются показатели запасоемкости, нормативы предельного уровня запасов, показатели скорости товарооборота и времени обращения товаров.

6.4. Управление дебиторской задолженностью компании

Дебиторская задолженность — это сумма задолженности в пользу компании, представленная финансовыми обязательствами юридических и физических лиц по расчетам за товары, работы, услуги.

В современной хозяйственной практике дебиторская задолженность классифицируется по следующим видам: дебиторская задолженность за товары, работы, услуги, срок оплаты которых не наступил; дебиторская задолженность за товары, работы, услуги, не оплаченные в срок; дебиторская задолженность по полученным векселям; дебиторская задолженность по расчетам с бюджетом; дебиторская задолженность по расчетам с персоналом; прочие виды дебиторской задолженности.

На величину дебиторской задолженности компаний влияют:

• общий объем продаж и доля в нем реализации на условиях последующей оплаты (с их ростом растут и остатки дебиторской задолженности);

• условия расчетов с покупателями и заказчиками (увеличение сроков, снижение требований по оценке надежности дебиторов ведут к росту дебиторской задолженности);

• жесткость системы взыскания дебиторской задолженности (чем активнее компания во взыскании дебиторской задолженности, тем меньше ее остатки и тем выше «качество» дебиторской задолженности);

• платежная дисциплина покупателей и общее экономическое состояние тех отраслей, к которым они относятся;

• качество анализа дебиторской задолженности и последовательность в использовании его результатов. При удовлетворительном состоянии аналитической работы в компании создаются предпосылки для перехода от пассивного управления дебиторской задолженностью, сводимого, в основном, к регистрации информации о составе и структуре задолженности, к активному управлению, предполагающему целенаправленное воздействие на условия предоставления кредита покупателям.

Необходимость грамотного и рационального управления дебиторской задолженностью связана с ее непосредственным влиянием на доходность всей деятельности компании.

Политика управления дебиторской задолженностью заключается в оптимизации общего размера этой задолженности и обеспечении своевременной ее инкассации в результате расширения объема реализации продукции.

Она направлена на относительное снижение темпов ее роста и соответствующее увеличение оборотного капитала. При этом основной задачей управления дебиторской задолженностью является оптимизация размера дебиторской задолженности за расчеты с покупателями, на которую приходится 80—90 % всего объема дебиторской задолженности российских компаний.

Процесс управления дебиторской задолженностью может быть представлен следующим алгоритмом:

• анализ дебиторской задолженности компании в предшествующем периоде;

• определение взаимоотношений с покупателями продукции;

• инкассация дебиторской задолженности;

• выбор форм рефинансирования дебиторской задолженности;

• контроль за движением и своевременной инкассацией дебиторской задолженности.

Анализ дебиторской задолженности компании в предшествующем периоде включает оценку состояния дебиторской задолженности, ее состава и структуры; формирование аналитической информации, позволяющей прогнозировать дебиторскую задолженность; разработку порядка расчетов и обоснование условий предоставления кредита отдельным покупателям; определение реальной стоимости дебиторской задолженности в условиях меняющейся покупательной способности; контроль за соотношением дебиторской и кредиторской задолженности.

В общем виде изменения объема дебиторской задолженности за отчетный период характеризуются данными баланса. Для внутреннего анализа следует привлечь сведения аналитического учета, раскрывающие данные о величине и структуре дебиторской задолженности, наличии и объемах просроченной задолженности, а также о конкретных дебиторах, задержка расчетов с которыми создает проблемы с текущей платежеспособностью.

Анализ «возрастной» структуры дебиторской задолженности позволяет оценить состояние расчетов с покупателями, выявить просроченную задолженность, а также выявить динамику погашения задолженности отдельными группами дебиторов. Для анализа дебиторской задолженности целесообразно использовать показатели, характеризующие ее величину и структуру: сроки погашения, долю дебиторской задолженности в общем объеме оборотных активов, а также долю сомнительной дебиторской задолженности. Последний показатель характеризует «качество» задолженности. В процессе внутреннего анализа компания определяет сроки задержки платежа и отнесение той или иной задолженности к сомнительной.

Определение величины сомнительной дебиторской задолженности в ее общем объеме позволяет подойти к оценке дебиторской задолженности, целью которой является определение денежного эквивалента, который ожидается в результате погашения (реализации) дебиторской задолженности. В процессе оценки учитываются такие факторы, как сроки и условия расчетов, наличие обеспечения, период просрочки, а также факторы, характеризующие финансовое состояние должника.

Ключевым методическим приемом, позволяющим обосновать текущую стоимость дебиторской задолженности с учетом вышеуказанных факторов, является определение ее дисконтированной стоимости, т.е. приведение ожидаемых поступлений от дебиторов к настоящему моменту с учетом временного фактора погашения дебиторской задолженности.

Эквивалентная текущая стоимость непрерывно дисконтируемого денежного потока (PV) определяется по формуле:

(6.24)

где FVбудущая сумма поступления денежных средств (соответствует балансовой стоимости дебиторской задолженности); е — экспоненциальная константа (2,71828...); tожидаемый период погашения дебиторской задолженности; i — ставка дисконтирования. В качестве ставки дисконтирования может быть использована стоимость финансовых ресурсов компании (стоимость капитала).

Пример: Текущая (дисконтированная) стоимость дебиторской задолженности в размере 10 000 000 руб. при сроке ее погашения 90 дней и средневзвешенной стоимости капитала (используется в качестве ставки дисконтирования) 30% составит  9 277 400 руб.:

Уточнение модели оценки дебиторской задолженности предполагает введение в расчет дополнительного фактора: вероятности того, что задолженность будет погашена в ожидаемые сроки.

Тогда дисконтированная оценка дебиторской задолженности будет определяться по формуле:

(6.25)

где Р — вероятность того, что дебиторская задолженность будет погашена в ожидаемые сроки.

Если средний процент неоплаты составляет 10%, то вероятность погашения дебиторской задолженности будет 90%, или 0,9. Тогда дисконтированная оценка дебиторской задолженности составит:

С учетом того, что отдельные группы задолженности имеют различную вероятность погашения (чем больше срок задержки, тем меньше вероятность погашения), формула может быть уточнена следующим образом:

(6.26)

где Рк — вероятность погашения к-ой группы дебиторской задолженности.

Для обоснования значения Рк при расчете дисконтированной стоимости отдельных видов дебиторской задолженности необходимо привлечь данные о ее составе и структуре, а также сложившемся характере погашения.

При анализе дебиторской задолженности оценивается порядок ее списания. Зачастую в составе дебиторской задолженности российских компаний числится задолженность, нереальная для взыскания. Согласно Положению по ведению бухгалтерского учета и бухгалтерской отчетности в Российской Федерации дебиторская задолженность, по которой срок исковой давности истек, другие долги, нереальные для взыскания, списываются по каждому обязательству на основании данных проведенной инвентаризации, письменного обоснования и приказа (распоряжения) руководителя компании. Они относятся соответственно на счет средств резерва сомнительных долгов, либо на финансовые результаты компании, если в период, предшествующий отчетному, суммы этих долгов не резервировались.

Истечение срока исковой давности прекращает существование объективных гражданских прав на взыскание долга. Следовательно, сохранение сумм нереальной для взыскания дебиторской задолженности в составе актива баланса приводит к искажению информации о фактическом объеме требований, которые компания может предъявить своим дебиторам, и как следствие, к завышению реальной величины дебиторской задолженности. Вместе с тем согласно требованию налоговых органов списанию дебиторской задолженности должно предшествовать выполнение ряда условий: обращение кредитора в арбитражный суд и вынесение судом решения об отказе в присуждении суммы долга кредитору; принятие кредитором мер по взысканию с должника задолженности (переписка с должником о погашении долга, переписка с регистрационными и налоговыми органами о выявлении фактического местонахождения должника). При соблюдении перечисленных условий, указывающих на то, что компания пыталась реализовать свое право получить задолженность с дебитора, списание дебиторской задолженности учитывается при налогообложении.

Бытует ошибочное представление о том, что невыполнение названных требований делает невозможным списание дебиторской задолженности, которая в результате становится «постоянной статьей» баланса. Данное распространенное заблуждение связано с отождествлением формирования финансовых результатов для целей налогообложения и для целей представления информации в бухгалтерской отчетности. Тот факт, что данная дебиторская задолженность не может быть включена в расчет налогооблагаемой базы, не означает, что она может оставаться в составе активов. В противном случае действия компании по отражению дебиторской задолженности вступают в противоречие с Федеральным законом «О бухгалтерском учете» и Положением по ведению бухгалтерского учета и бухгалтерской отчетности в Российской Федерации. Согласно им бухгалтерская отчетность должна давать достоверное и полное представление об имущественном и финансовом положении компании. Сохранение нереальной дебиторской задолженности в составе активов приводит к искажению отчетных данных, связанному с завышением чистых активов.

Заключительным этапом анализа дебиторской задолженности должна стать оценка соответствия условий получения и предоставления кредита. Для сравнения этих условий могут быть использованы формулы, характеризующие период погашения дебиторской и кредиторской задолженности.

При анализе соотношения дебиторской и кредиторской задолженности необходимо учитывать возможный эффект запаздывания, связанный с различными сроками их погашения. Указанный эффект приводит к тому, что результаты сопоставления дебиторской и кредиторской задолженности на основании балансовых данных становятся некорректными и требуют дополнительного уточнения.

Продолжая рассмотрение примера, связанного с определением дисконтированной стоимости дебиторской задолженности (10 000 000 руб), предположим, что компания имеет кредиторскую задолженность также в размере      10 000 000 руб Однако срок ее погашения составляет 30 дней (в отличие от сложившегося в организации среднего срока погашения дебиторской задолженности, равного 90 дням) Отметим, что балансовое соотношение дебиторской и кредиторской задолженности равно 1

Располагая дисконтированной оценкой дебиторской задолженности 9 277 400 руб при условии 100%-ного погашения задолженности и 8 349 700 руб при сложившемся в компании характере оплаты 90% задолженности, рассчитаем дисконтированную стоимость кредиторской задолженности

Таким образом, с учетом эффекта запаздывания реальная величина дебиторской задолженности оказалась ниже, чем величина обязательств перед кредиторами, что означает для компании снижение ее ликвидности. Данный существенный аспект оценки дебиторской и кредиторской задолженности должен быть учтен в процессе анализа текущей платежеспособности компании.

Определение взаимоотношений с покупателями продукции. Для сокращения сроков оборачиваемости дебиторской задолженности следует использовать различные варианты оплаты продукции. В коммерческой практике используется несколько подходов к установлению условий платежа. Компании, выпускающие конкурентоспособную и пользующуюся спросом продукцию, обычно используют предоплату. Для увеличения объема продаж и привлечения новых покупателей предоставляется скидка в зависимости от сроков оплаты. Наиболее распространенной формой расчетов является частичная предоплата, сочетающая предоплату и продажу в кредит. Широко используется такая форма расчетов, как передача на реализацию. Эффективной формой оплаты с постоянными клиентами при долгосрочных коммерческих отношениях является поэтапный расчет за выполненные работы и оказанные услуги. Банковская гарантия используется при заключении внешнеэкономических контрактов с целью минимизации хозяйственных рисков В этом случае банк возмещает необходимую сумму в случае невыполнения дебитором своих обязательств

При выборе системы расчетов с покупателями необходимо учитывать, что предоставление им более льготных условий расчетов сопровождается увеличением остатков дебиторской задолженности. Это, в свою очередь, влечет за собой нарастание потребности в источниках финансирования, а, следовательно, и расходов по их привлечению. Увеличение дебиторской задолженности инициирует дополнительные расходы и потери в виде командировочных расходов, расходов связи, а также потерь по безнадежным долгам. Кроме того, рост дебиторской задолженности приводит к потерям, определяемым влиянием инфляционного фактора. С целью максимизации притока денежных средств целесообразно разрабатывать систему моделей договоров с гибкими условиями оплаты и гибким ценообразованием.

Важным элементом взаимоотношений компании с покупателями ее продукции является продажа продукции (или услуг) в кредит. В процессе использования кредита определяются формы, в которых осуществляется реализации продукции в кредит (коммерческий или потребительский кредит)1; выбор типа кредитования (консервативный, умеренный, агрессивный); определение системы кредитных условий (срок предоставления кредита, размер предоставляемого кредита, стоимость предоставления кредита, система штрафных санкций за просрочку исполнения обязательств покупателями); определение кредитоспособности отдельных покупателей и дифференциация условий предоставления кредита (формы штрафных санкций, срок предоставления кредита, необходимость страхования кредита за счет покупателей и т.п.).  (Коммерческий (товарный) кредит представляет собой форму оптовой реализации продукции ее продавцом на условиях отсрочки платежа, если такая отсрочка превышает обычные сроки банковских расчетов Потребитечьский кредит (в товарной форме) представляет форму розничной реализации товаров покупателям (физическим лицам) с отсрочкой платежа)

Действенным инструментом кредитных взаимоотношений компаний с клиентами являются скидки за авансовую оплату продукции или за досрочную оплату при предоставлении кредита. Цель предоставления скидок — ускорение погашения дебиторской задолженности. Объем скидок расширяется до тех пор, пока дополнительные выгоды от ускорения оборота денежных средств не сравняются с потерями от роста скидок.

Кроме того, предоставление скидок при досрочной оплате целесообразно и потому, что в условиях инфляции любая отсрочка платежа ведет к уменьшению текущей стоимости реализованной продукции. В табл. 6.6 дан сравнительный расчет финансовых последствий заключения договора с разными условиями оплаты. При проведении расчетов уровень инфляции принят равным 5% в месяц, ставка процентов банковского кредита 18% годовых и доходности от альтернативных вложений 10% в месяц.

В рассмотренном примере компания при скидке с учетом альтернативного вложения и инфляции теряет меньше, чем из-за инфляции и необходимости выплаты процентов за пользование кредитом при отсрочке платежа в 30 дней. Сравнение этих двух вариантов позволяет сделать вывод, что потери компании при отсрочке платежа более чем в четыре раза превышают потери при использовании скидки.

Таблица 6.6. Финансовые последствия заключения договоров с разными условиями оплаты

Показатели

Предоставление скидки

Без скидки

Условия оплаты

Предоплата, скидка 10%

Отсрочка 30 дней

Индекс цен

1,05

1,05

Коэффициент падения покупательной способности денег*


0,9524

Потери от инфляции с каждой 1000 руб


1000 - 1000 0,9524 = = 47,6 руб.

Потери от предоставления скидки с каждой 1000 руб.

100 руб.


Результат от скидки и потери от инфляции с 1000 руб

100 руб.

47,6 руб

Оплата процентов банковского кредита (18% годовых)


1000 * 0,18:12 = 15,0 руб.

Доход от альтернативных вложений (при рентабельности 10% в месяц) с учетом инфляции

(900 * 0,1) * 0,9524 =  85,7 руб.


Результат от предоставления скидки, потерь от инфляции, выгоды от альтернативных вложений с каждой 1000 руб.

100 - 85,7 = 14,3 руб.

47,6 + 15,0 =  62,6 руб.

* Коэффициент падения покупательной способности — величина, обратная индексу цен.

Наибольшее распространение в хозяйственной практике получили следующие виды скидок:

• общая (простая) скидка, составляющая 20—30% цены. Используется при покупке товара за наличный расчет, когда цена предусматривает краткосрочный кредит, а покупатель согласен оплатить наличными (сконто). Эта скидка, как правило, соответствует размеру ссудного процента денежного рынка;

• скидка за оборот (бонусная) предоставляется постоянным покупателям на основании специальной договоренности. В контракте устанавливается шкала скидок в зависимости от достигнутого оборота в течение определенного срока (обычно одного года) и порядок выплаты сумм на основании этих скидок. По некоторым видам оборудования бонусные скидки достигают 15—20% оборота;

• скидка за количество или серийность (прогрессивная) предоставляется покупателю при условии покупки им заранее определенного, увеличивающегося в объеме количества товара;

• дилерские скидки предоставляются производителем его постоянным представителям или посредникам по сбыту, в том числе заграничным;

• специальные скидки вводятся для покупателей, в заказах которых особо заинтересованы продавцы. К этой категории относятся скидки на пробные партии и заказы, имеющие цель заинтересовать покупателя, а также скидки за длительность отношений, с помощью которых производители стремятся удержать постоянных клиентов;

• скрытые скидки — оказание покупателю бесплатных услуг, предоставление бесплатных образцов;

• скидки за возврат ранее купленного у данной компании товара устаревшей модели.

Предоставление скидок целесообразно в следующих ситуациях:

• скидки приводят к расширению продаж и увеличению общей прибыли от реализации данной продукции при условии высокой доли постоянных затрат и высокой эластичности товара;

• система скидок обеспечивает приток денежных средств в условиях их дефицита;

• система скидок за ускорение оплаты более эффективна, чем система штрафных санкций за просроченную оплату.

Инкассация дебиторской задолженности. Инкассация состоит в увеличении объема и скорости денежных потоков от дебиторской задолженности. Инкассация дебиторской задолженности включает следующие элементы: возраст самого старого долга; общий объем долгов; общий объем просроченных платежей; дату открытия счета; своевременность прежних платежей; платежи, осуществленные после последней даты платежа; величину кредита клиента, которая принята к утверждению; статус клиента, который может потребовать особого отношения; сроки и формы предварительного и последующего напоминаний покупателям о дате платежей; условия пролонгирования долга по предоставленному кредиту; условия возбуждения дела о банкротстве несостоятельных дебиторов.

Эффективность процедуры инкассации определяется не столько уменьшением размеров дебиторской задолженности, сколько ростом прибыли за счет увеличения объема продаж и организации надежных отношений с клиентами.

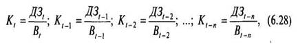
Методическим приемом анализа, обеспечивающим возможность прогнозирования дебиторской задолженности, является расчет коэффициентов инкассации (погашения дебиторской задолженности), который представляет собой отношение дебиторской задолженности, возникшей в конкретном периоде, к величине отгрузки (объема продаж) того же периода. Суть подхода состоит в том, чтобы разложить величину дебиторской задолженности на конкретную дату на составляющие, характеризующие срок ее образования, например, до одного месяца, от одного до двух месяцев, от двух до трех месяцев и т.д.

Таким образом, дебиторская задолженность (ДЗ) на конец периода t может быть представлена как сумма:

ДЗ = ДЗt + Д3t-1 + ... + Д3 t-n (6.27)

где ДЗtвеличина задолженности, возникшей в периоде t; Д3t-1 — величина задолженности, возникшей в периоде t — 1; Д3t-n — величина задолженности наиболее раннего срока образования.

Тогда коэффициенты инкассации будут представлять собой отношения:

где Вt, В t-1ь В t-2,..., В t-n  — объемы продаж соответственно периодов t, t-l,t-2,t-n.

Данные условного примера о сложившихся коэффициентах инкассации (табл. 6.7) можно использовать для прогнозирования дебиторской задолженности и ожидаемых поступлений от покупателей и заказчиков.

Таблица 6.7. Прогноз объема продаж и дебиторской задолженности на III квартал, тыс. руб.

Период

Отгрузка

Коэффициент инкассации

Ожидаемая дебиторская задолженность

А

1

2

3

Апрель

650 000

0,165

107 250

Май

680 000

0,50

340 000

Июнь

690 000

0,878

605 820

Итого

2 020 000

X

1 053 070

Прогнозные значения продаж представлены в табл. 6.8.

Таким образом, если предположить, что характер погашения дебиторской задолженности сохранится в предстоящем квартале, величина дебиторской задолженности на 1 июля должна составить 1 053 070 тыс. руб. Полученная цифра определяется исключительно величиной отгрузки второго квартала. Она должна быть скорректирована с учетом той задолженности, которая уже имелась на начало квартала — 900 900 тыс. руб. Та часть существующей на начало прогнозируемого периода задолженности, которая останется непогашенной, увеличит итоговое значение дебиторской задолженности, рассчитанное в графе 3 табл. 6.7. Данная корректировка выполняется на основании информации о сложившемся процентном отношении сомнительной дебиторской задолженности и общего объема дебиторской задолженности.

Таблица 6 8. Сведения об отгрузке продукции и ее оплате за II квартал, тыс. руб.

Период

Отгрузка

Оплата

Дебиторская задолженность на конец квартала, возникшая в соответствующем месяце

апрель

май

июнь

тыс. руб.

%

А

1

2

3

4

5

6

Апрель

231 000

23 100

77 400

92 400

38 100

8,3

Май

346 500


44 650

128 600

173 250

25,0

Июнь

323 400



39 300

284 100

43,9

Итого

900 900

23 100

122 050

260 300

495 450

X

 

Выбор форм рефинансирования дебиторской задолженности. Развитие рыночных отношений и инфраструктуры финансового рынка позволяют использовать в практике финансового менеджмента новые формы управления дебиторской задолженностью — ее рефинансирование. Это ускоренный перевод дебиторской задолженности в другие формы оборотных активов компании, такие как денежные средства, высоколиквидные краткосрочные ценные бумаги. В настоящее время основными формами рефинансирования дебиторской задолженности являются факторинг и учет векселей, выданных покупателями продукции.

Факторинг представляет собой финансовую операцию, заключающуюся в уступке компанией-продавцом права получения денежных средств по платежным документам за поставленную продукцию в пользу банка или специализированной компании — «фактор компании», которые принимают на себя все кредитные риски по инкассации долга. За осуществление такой операции банк (фактор компания) взимает с компании-продавца определенную комиссионную плату в процентах к сумме платежа. Ставки комиссионной платы дифференцируются с учетом уровня платежеспособности покупателя продукции и предусмотренных сроков ее оплаты.

Учет векселей, выданных покупателями продукции, представляет собой финансовую операцию по их продаже банку (или другому финансовому институту, другому хозяйствующему субъекту) по определенной (дисконтной) цене, устанавливаемой в зависимости от их номинала, срока погашения и учетной вексельной ставки. Учетная вексельная ставка состоит из средней депозитной ставки, ставки комиссионного вознаграждения, а также уровня премии за риск при сомнительной платежеспособности векселедателя. Указанная операция может быть осуществлена только с переводным векселем.

Учетная (дисконтная) цена векселя определяется по формуле1:

(6.29)

где УЦВ — учетная (дисконтная) цена векселя на момент его продажи (учета банком); НС — номинальная сумма векселя, подлежащая погашению векселедателем в предусмотренный в нем срок; Д — число дней от момента продажи (учета) векселя до момента его погашения векселедателем; УСВ — годовая учетная вексельная ставка, по которой осуществляется дисконтирование суммы векселя, %.

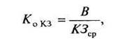
Контроль за движением и своевременной инкассацией дебиторской задолженности. Создание и использование механизма внутреннего контроля дебиторской задолженности покупателей позволяет компании минимизировать риски ее недопустимого увеличения или непогашения.

Приемы контроля дебиторской задолженности включают:

• использование метода ABC для группировки клиентов в зависимости от размера дебиторской задолженности для определения приоритетов работы с дебиторами. В категорию «Л» включаются при этом наиболее крупные и сомнительные виды дебиторской задолженности (так называемые проблемные кредиты), в категорию «В» — кредиты средних размеров, в категорию «С» — остальные виды дебиторской задолженности, не оказывающие серьезного влияния на результаты финансовой деятельности компании;

• лимитирование дебиторской задолженности по покупателям;

• пересмотр соотношения продаж в кредит и по предоплате в зависимости от кредитной истории потребителя;

• ведение оперативного учета методом документальной сверки;

• анализ дебиторской задолженности по видам продукции с целью выявления наименее выгодных с точки зрения инкассации товаров, ориентация на возможно большее число покупателей для уменьшения совокупного риска неуплаты;

• ускорение средней оборачиваемости задолженности индивидуальных дебиторов (сумма поставки, умноженная на число дней с момента получения продукции потребителем до момента инкассации поступивших денежных средств);

• контроль за соотношением дебиторской и кредиторской задолженности и сбалансированностью тенденций их изменений, предоставление скидок при досрочной оплате с целью повышения коэффициента инкассации;

• контроль за расчетами с покупателями по отсроченным или просроченным задолженностям.

5. Управление денежными активами компании

В условиях высокой инфляции и неплатежей управление денежными активами является важным направлением политики управления оборотными активами компании. Управление денежными активами компании заключается в оптимизации совокупного размера их остатка с целью обеспечения постоянной платежеспособности компании. Управление денежными активами позволяет регулировать ликвидность баланса, планировать временную потребность в оборотных активах и источники их финансирования, регулировать текущие расходы, оптимизировать соотношение между поддержанием текущей платежеспособности и получением дополнительной прибыли от вложения этих средств.

Управление денежными активами компании включает:

• определение минимально необходимой потребности в них;

• определение оптимального остатка денежных активов компании;

• регулирование среднего остатка денежных средств.

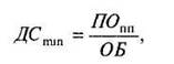
Определение минимально необходимой потребности в денежных активах основывается на планируемом денежном потоке по текущим финансово-хозяйственным операциям, в частности, на объеме расходования денежных активов по этим операциям в предстоящем периоде. Расчет может осуществляться по двум формулам:

(6.30)

где ДСminминимально необходимая потребность в денежных средствах для осуществления текущей финансово-хозяйственной деятельности в предстоящем периоде; ПОПП — предполагаемый объем платежного оборота по текущим операциям в предстоящем периоде (в соответствии с планом поступления и расходования денежных средств компании); ОБ — оборачиваемость денежных средств (в разах) в аналогичном по сроку отчетном периоде.

(6.31)

где ДСтin — остаток денежных средств на конец отчетного периода; ПОф — фактический объем платежного оборота по текущим финансово-хозяйственным операциям в отчетном периоде.

В процессе выявления оптимального остатка денежных активов компании используются различные модели. Наибольшее применение из них получили модели Баумоля, Миллера—Орра и Стоуна.

Модель Баумоля определяет оптимальный остаток денежных средств в составе оборотного капитала. Исходными положениями модели Баумоля является постоянство потока расходования денежных средств, хранение всех резервов денежных активов в форме краткосрочных финансовых вложений и изменение остатка денежных активов от их максимума до минимума, равного нулю (рис. 6.4).

Рис. 6.4. Формирование и расходование остатка денежных средств в составе оборотного капитала в соответствии с моделью Баумоля

Исходя из представленного графика следует, что если бы пополнение остатков денежных средств за счет продажи части краткосрочных финансовых вложений или краткосрочных кредитов банка осуществлялось в два раза чаще, то размер максимального и среднего остатков денежных средств в компании снизился бы в два раза. Однако каждая операция по продаже краткосрочных активов или получению кредита связана для компании с определенными расходами. Их размер возрастает с увеличением частоты (или сокращением периода) пополнения денежных средств. Обозначим этот вид расходов индексом Рк (расходы по обслуживанию одной операции пополнения денежных расходов).

Для экономии общей суммы расходов по обслуживанию операций пополнения денежных средств следует увеличить период (или снизить частоту) этого пополнения. В этом случае увеличатся размеры максимального и среднего остатка денежных средств. Однако эти виды остатков денежных средств доходов компании не приносят. Более того, рост этих остатков означает потерю для компании альтернативных доходов в форме краткосрочных финансовых вложений. Размер этих потерь равен сумме остатков денежных средств, умноженной на среднюю ставку процента по краткосрочным финансовым вложениям (выраженную десятичной дробью). Обозначим размер этих потерь индексом СПкфа (потери доходов при хранении денежных средств).

Математический алгоритм расчета максимального (он же оптимальный) и среднего размеров остатка денежных средств в составе оборотного капитала (минимальный остаток денежных средств считается нулевым) в соответствии с моделью Баумоля имеет следующий вид:￿￿(￿.￿2￿￿6.33)

где ДСтах￿￿ оптимальный остаток денежных средств в планируемом периоде; Pkсредняя сумма расходов по обслуживанию одной операции с краткосрочными финансовыми вложениями; Ода — общий расход денежных активов в предстоящем периоде; СПкфа — уровень потери альтернативных доходов при хранении денежных средств (средняя ставка процента по краткосрочным финансовым вложениям в

Рис. 6.5. Схема формирования оптимального размера остатка денежных средств в составе оборотного капитала в соответствии с моделью Баумоля

анализируемом периоде, выраженный десятичной дробью; ДСсрсредний размер остатка денежных активов предприятия.

Модель МиллераОрра представляет собой более сложный алгоритм определения оптимального размера остатков денежных активов. Исходные положения этой модели предусматривают наличие определенного размера страхового запаса и определенную неравномерность в поступлении и расходовании денежных средств, а соответственно, и остатка денежных активов. Минимальный предел формирования остатка денежных активов принимается на уровне страхового остатка, а максимальный — на уровне трехкратного размера страхового остатка (рис. 6.6).

Как видно из приведенных данных, когда остаток денежных активов достигает максимального значения (верхней границы своего «коридора»), излишние средства (по отношению к среднему остатку) переводятся в резерв, т.е. инвестируются в краткосрочные финансовые инструменты. Аналогичным образом, когда остаток денежных активов достигает минимального значения (нижней границы своего «коридора»), осуществляется пополнение денежных средств до среднего уровня за счет продажи части краткосрочных финансовых инструментов, привлечения краткосрочных банковских кредитов и других источников.

РИСУНОК 6.6!!!!!

Необходимо обратить внимание и на то, что значение среднего остатка денежных активов находится на одну треть выше минимального его значения и на две трети ниже максимального его значения, а не посредине между этими значениями. При таком подходе уровень альтернативных потерь доходов при хранении денежных средств будет более низким.

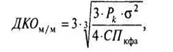
Математический же алгоритм расчета диапазона колебаний остатка денежных активов между минимальным и максимальным его значением ДКОм/м имеет следующий вид:

(6.34)

где σсреднеквадратическое (стандартное) отклонение ежедневного объема денежного оборота.

Соответственно максимальный и средний остатки денежных активов определяются по формулам:

(6.35; 6.36)

где ДСтах — оптимальный размер максимального остатка денежных активов компании; ДСср — средний размер остатка денежных активов компании; ДСтinминимальный (страховой) остаток денежных активов компании.

Модель Стоуна в отличие от модели Миллера—Орра больше внимания уделяет управлению целевым остатком, нежели его определению; вместе с тем она во многом сходна с моделью Миллера—Орра. Верхний и нижний пределы остатка средств на счете подлежат уточнению в зависимости от информации о денежных потоках, ожидаемых в ближайшие несколько дней. Так же, как и в модели Миллера—Орра, существуют верхний и нижний пределы колебаний. Однако кроме указанных, модель Стоуна имеет верхний и нижний внутренние контрольные лимиты. В отличие от модели Миллера—Орра, когда при достижении контрольных лимитов совершаются немедленные действия, в модели Стоуна это происходит не всегда.

Предположим, что остаток денежных средств на счете достиг верхнего предела. Вместо автоматического перевода необходимой величины из наличности в ценные бумаги, финансовый менеджер делает прогноз на ближайшие несколько дней. Если остаток средств за это время останется выше внутреннего предела, то разница между его прогнозным значением и средним будет обращена в ценные бумаги. Если же прогноз покажет, что величина денежного остатка будет ниже внутреннего верхнего лимита, то компания не будет покупать ценные бумаги. Аналогичные рассуждения верны и в отношении нижнего предела.

Таким образом, основной особенностью модели Стоуна является то, что действия компании в текущий момент определяются прогнозом на ближайшее будущее. Следовательно, достижение верхнего предела не вызовет немедленного перевода наличности в ценные бумаги, если в ближайшие дни ожидаются значительные расходы денежных средств. Тем самым минимизируется число конвертационных операций и, следовательно, снижаются расходы.

В отличие от модели Миллера—Орра модель Стоуна не указывает методов определения целевого остатка денежных средств и контрольных пределов, но они могут быть определены с помощью модели Миллера—Орра. Существенное преимущество данной модели в том, что ее параметры не являются фиксированными. Эта модель может учитывать сезонные колебания, поскольку при прогнозе оцениваются особенности производства в отдельные периоды времени.

Подобный подход позволяет достичь большей эффективности при управлении денежными средствами, чем модель Миллера—Орра, поскольку оттоки и притоки наличности для осуществления финансовых операций более точно следуют движению основных общекорпоративных потоков. Как видно из описания всех вышеприведенных моделей, каждая из них полагается на субъективную оценку развития событий в будущем. Поэтому их успех во многом зависит от опыта управляющих.

В процессе управления денежными активами компании определяются эффективные формы регулирования среднего остатка денежных средств. Такое регулирование проводится с целью обеспечения постоянной платежеспособности хозяйствующего субъекта, а также уменьшения расчетной, максимальной и средней потребности в остатках денежных активов.

Существуют различные формы оперативного регулирования среднего остатка денежных активов, обеспечивающие как увеличение, так и снижение его размера:

• корректировка потока предстоящих платежей (перенос срока отдельных платежей по заблаговременному согласованию с контрагентами). Высвобожденная в процессе подекадной корректировки потока платежей сумма денежных активов реинвестируется в краткосрочные финансовые вложения или в другие виды активов;

• использование флоута, представляющего собой сумму денежных средств компании, связанную уже выписанными ею платежными документами — поручениями (чеками, аккредитивами и т.п.), но еще не инкассированную их получателем. Флоут по конкретному платежному документу можно рассматривать как период времени между его выпиской по конкретному платежу и фактической его оплатой. Максимизируя флоут (период прохождения выписанных платежных документов до их оплаты), компания может соответственно повышать сумму среднего остатка своих денежных активов без дополнительных вложений финансовых средств. В зарубежной практике финансового менеджмента флоут является одним из эффективных инструментов управления остатком денежных средств компаний;

• сокращение расчетов наличными деньгами. Наличные денежные расчеты увеличивают остаток денежных активов компании и сокращают период использования собственных денежных активов на срок прохождения платежных документов поставщиков;

• ускорение инкассации дебиторской задолженности, в первую очередь за счет использования современных форм ее рефинансирования (учета векселей, факторинга, форфейтинга и др.);

• открытие кредитной линии в банке, обеспечивающее оперативное поступление средств краткосрочного кредита при необходимости срочного пополнения остатка денежных средств;

• ускорение инкассации денежных средств с целью их пополнения на расчетном счете для обеспечения своевременных расчетов организации в безналичной форме;

• использование в отдельные периоды практики частичной предоплаты поставляемой продукции, если это не приводит к снижению объема ее реализации. Такая практика используется обычно при реализации продукции, имеющей высокий спрос на рынке.

Управление денежными средствами в зарубежных странах осуществляется, как правило, совместно компанией и обслуживающим ее банком. Зарубежные методы управления денежными средствами предусматривают:

• синхронизацию денежных потоков,

• использование денежных средств в пути;

• ускорение денежных переводов и пространственно-временную оптимизацию банковских расчетов;

• контроль выплат.

Синхронизация денежных потоков состоит в увеличении достоверности прогнозов и сочетании денежных поступлений с денежными выплатами. Это позволяет компании сократить текущий остаток денежных средств до минимума. Компании договариваются с поставщиками о перечислении сумм, подлежащих выплате, а с покупателями о получении задолженности в соответствии с постоянными в течение месяца «платежными циклами». Это способствует синхронизации денежных потоков и в свою очередь помогает сократить остаток средств на счете, уменьшить банковские кредиты, снизить расходы на выплату процентов и увеличить прибыль.

Денежные средства в пути есть разница между остатком денежных средств, отраженным в текущем счете компании и проходящим по банковским документам. Например, если компания рассчитывается с клиентами чеками, то требуется некоторое время для того, чтобы произвести расчет и списать сумму с банковского счета компании. Это может стать причиной того, что остаток денежных средств по бухгалтерским документам будет меньше, чем по банковским документам. Таким образом, на банковском счете в течение какого-то времени будет находиться дополнительная сумма денег, которая может быть использована. Эффективным компаниям удается значительно ускорить погашение дебиторской задолженности, что повышает оборачиваемость средств и, насколько это возможно, замедлить выплаты.

Ускорение денежных выплат и пространственно-временная оптимизация банковских расчетов достигается путем применения системы «локбоксов» (англ. lock box) — одного из старейших инструментов управления денежными средствами. В рамках данной системы поступающие чеки отправляются в специальное отделение банка по месту нахождения покупателя, а не по месту нахождения главного правления компании. Периодически содержимое «локбоксов» переводится на счет компании в местном банке и компания информируется о состоянии этих счетов через электронную сеть. Система «локбоксов» сокращает время, необходимое для получения чеков, их депонирования и осуществления расчетов через банковскую сеть. Это происходит за счет уменьшения сроков почтовых переводов и времени получения чеков при использовании «локбоксов», находящихся в одной географической зоне с покупателем.

Система расчетов в порядке плановых платежей с последующим акцептом позволяет осуществлять автоматический перевод средств со счета покупателя на счет компании в оговоренные дни. Хотя система является очень эффективной, степень одобрения ее плательщиками ниже, чем ожидалось. Очевидно, что плательщик в этом случае теряет преимущество в виде средств в пути к оплате по сравнению с обычной бумажной технологией.

При концентрации банковских операций происходит мобилизация разрозненных денежных средств, накопленных на одном или нескольких счетах, в один или несколько центральных денежных пулов. Это облегчает краткосрочное инвестирование накопленных средств или распределение их по банкам.

Централизация расчетов с кредиторами позволяет компании правильно оценить поступающие потоки денежных средств по компании в целом и составить график необходимых выплат. Также появляется возможность более эффективного контроля расчета с кредиторами и движения денежных средств в пути.

Счета с нулевым сальдо — это специальные счета. Когда чек приходит на счет с нулевым сальдо для оплаты, денежные средства автоматически переводятся с главного счета. Если же в данный момент главный счет имеет отрицательное сальдо, то средства пополняются путем банковского займа в пределах кредитной линии, займа на рынке государственных коммерческих векселей или продажи части казначейских векселей из портфеля компании. Счета с нулевым сальдо облегчают контроль расходов и остатков денежных средств, следовательно, сокращают сумму свободных (не приносящих дохода) средств, лежащих без движения на банковском счете.

Определенный интерес представляют инструменты управления денежными средствами, применяемые транснациональными компаниями.

Netting (взаимозачет) представляет собой инструмент уменьшения взаимных платежей между отдельными подразделениями компаний. Если первое подразделение должно второму некоторую сумму, второе должно такую же сумму третьему, а третье, соответственно, первому, то необходимости реального перевода средств нет, поскольку взаимные задолженности уравновешивают друг друга.

Leading and lagging (ускорение и замедление) является инструментом, позволяющим воспользоваться колебаниями курсов валют путем внесения изменений в кредитные условия, существующие между отдельными подразделениями компаний.

Matching (сбалансированность) — это инструмент, который позволяет избежать негативных последствий от изменения валютных курсов или процентных ставок. Matching основан на определении несоответствия между приходящими и исходящими потоками наличности по каждой валюте отдельно. Важность этого метода состоит в том, что он позволяет компаниям избежать тех рисков, которые по своей природе не должны влиять на эффективность их деятельности. .

7. Политика управления кредиторской задолженностью компании

1. Понятие и состав кредиторской задолженности компании

Кредиторская задолженность это денежные средства, временно привлеченные компанией, подлежащие возврату юридическим или физическим лицам, у которых они заимствованы и которым они не выплачены.

Кредиторская задолженность компании может быть классифицирована на внешнюю и внутреннюю.

Внешняя кредиторская задолженность характеризует краткосрочный вид заемных средств, используемых компанией и формируемых ею за счет внешних источников. К ней относится задолженность компании перед партнерами и контрагентами по договорным и корпоративным обязательствам: долги по платежам поставщикам за поставленные товары, подрядчикам — за выполненные работы по возврату полученных, но не отработанных авансов, оплата векселей.

Внутренняя кредиторская задолженность компании характеризует краткосрочный вид заемных средств, используемых компанией и формируемых ею за счет внутренних источников. К ней относится задолженность компании по оплате труда, единому социальному налогу, перечислениям налогов в бюджеты разных уровней, перечислениям взносов на страхование имущества компании, перечислениям взносов на личное страхование персонала, расчетам с дочерними компаниями и прочим начислениям в составе внутренней кредиторской задолженности компании. Начисления средств по различным видам внутренней кредиторской задолженности производятся компанией ежедневно (по мере осуществления текущих хозяйственных операций), а погашение обязательств по этой внутренней задолженности — в определенные (установленные) сроки в диапазоне до одного месяца.

Кредиторская задолженность — это существенная доля в составе источников финансирования. В России компании очень часто финансируют свою текущую деятельность практически за счет только кредиторской задолженности. Уровень кредиторской задолженности

российских компаний в их совокупных обязательствах представлен в табл. 7.1.

Таблица 7.1. Размер и структура суммарной задолженности по обязательствам компаний, млрд руб.


1999 г.

2000 г.

2001 г.

2002

2003 г.

Суммарная задолженность по обязательствам

3609,4

4479,9

6059,1

7307,6

8795,9

В том числе просроченная

1445,3

1675,2

1667,6

1558,8

1401,3

Из суммарной задолженности:






кредиторская задолженность

2900,8

3515,0

4230,7

4832,3

5283,2

в том числе просроченная

1354,5

1571,5

1560,1

1432,8

1306,1

задолженность по кредитам банков и займам

708,6

964,9

1828,4

2475,3

3512,7

в том числе просроченная

90,8

103,7

107,5

126,0

95,2

Источник: данные Росстата.

Просроченная кредиторская задолженность российских компаний в разрезе кредиторов представлена в табл. 7.2.

Таблица 7.2 Просроченная кредиторская задолженность компаний в разрезе кредиторов


1999 г.

2000 г

2001 г.

2002 г.

2003 г.

Число компаний, имеющих просроченную кредиторскую задолженность, ед.


69 746

65 073

60 472

52 427

Просроченная кредиторская задолженность, млрд руб.

1354,5

1571,5

1560,1

1432,8

1306,1

В том числе:






поставщикам

619,5

712,5

754,0

710,3

652,0

в бюджеты всех уровней

275,2

346,4

314,0

273,4

238,8

по платежам в государственные внебюджетные фонды

297,4

322,1

311,2

237,4

205,9

Из общей просроченной задолженности — длительностью свыше 3 месяцев

1088,2

1289,2

1269,3

1176,3

_

Источник: данные Росстата.

В структуре просроченной кредиторской задолженности основной объем (около 50%) приходится на долги промышленных компаний.

Сравнительный анализ кредиторской и дебиторской задолженности компаний представлен в табл. 7.3.

Таблица 7.3. Превышение кредиторской задолженности над дебиторской задолженностью, млрд руб.


1999 г.

2000 г.

2001 г.

2002 г.

2003 г.

Дебиторская задолженность

2000,0

2450,8

3211,0

3663,3

4138,7

Кредиторская задолженность

2901,0

3515,0

4230,7

4832,3

5283,2

Превышение кредиторской задолженности над дебиторской:






всего

901,0

1064,2

1019,7

1169,0

1144,5

в % от дебиторской задолженности

45,1

43,4

31,8

31,9

27,7

Источник: данные Росстата.

Практика показывает, что ни одна компания не может обойтись без хотя бы незначительной кредиторской задолженности, которая всегда существует в связи с особенностями бюджетных, арендных и прочих периодических платежей: оплаты труда, поставки товарно-материальных ценностей без предварительной оплаты и т.д. Данный вид кредиторской задолженности нужно рассматривать как «неизбежный». Он хотя и позволяет временно использовать «чужие» средства в собственном коммерческом обороте, но не имеет принципиального значения, если такие платежи будут осуществлены в установленные сроки.

2. Понятие и алгоритм формирования политики управления кредиторской задолженностью компании

Исследования, проведенные Консультационной группой «Воронов и Максимов» среди российских компаний по управлению кредиторской задолженностью, показали, что 54% опрошенных компаний не используют никаких методов управления кредиторской задолженностью. Оставшиеся компании при осуществлении финансово-хозяйственной деятельности применяют лишь отдельные методы управления кредиторской задолженностью: регулярные переговоры с поставщиками об условиях поставки, индивидуальную работу с каждым поставщиком, выбор поставщиков с соответствующими условиями оплаты, увеличение товарного кредита и срока отсрочки платежа от поставщика на основе определения фиксированного объема

месячных закупок, переход на оплату поставщикам после реализации продукции, несанкционированную задержку платежей поставщикам, получение скидок по объему закупаемой продукции за определенный период времени, вексельную форму расчетов.

По результатам исследования можно сделать вывод о том, что лишь очень немногие российские компании проводят хоть какую-то политику управления кредиторской задолженностью.

Политика управления кредиторской задолженностью, как часть общей финансовой политики компании, заключается в оптимизации общего размера этой задолженности, обеспечении ее своевременной и в необходимых размерах выплаты (погашения) кредиторам компании.

При этом основной задачей управления кредиторской задолженностью является оптимизация размера кредиторской задолженности за расчеты с поставщиками (за товарный (коммерческий) кредит), на которую приходится значительный объем кредиторской задолженности российских компаний.

Процесс разработки политики управления кредиторской задолженностью компании может быть представлен следующим алгоритмом:

• анализ кредиторской задолженности компании в предшествующем периоде;

• определение состава и оптимальной структуры кредиторской задолженности компании в предстоящем периоде;

• разработка системы коэффициентов для управления кредиторской задолженностью;

• приведение структуры кредиторской задолженности в соответствие с плановыми (оптимальными) параметрами;

• прогнозирование средней суммы начисляемых платежей по отдельным видам кредиторской задолженности;

• установление периодичности выплат по отдельным видам кредиторской задолженности;

• оценка эффекта прироста кредиторской задолженности предприятия в предстоящем периоде;

• обеспечение контроля за своевременностью начисления и выплаты средств в разрезе отдельных видов кредиторской задолженности.

Анализ кредиторской задолженности компании в предшествующем периоде заключается в выявлении потенциала формирования заемных финансовых средств компании за счет этого источника. Анализ включает четыре этапа.

I этап. Исследование динамики общей суммы кредиторской задолженности компании в предшествующем периоде, определение изменения ее удельного веса в общем объеме привлекаемого заемного капитала.

II этап. Оценка оборачиваемости кредиторской задолженности компании, выявление ее роли в формировании финансового цикла.

Под финансовым циклом компании понимается разрыв между сроками платежа по своим обязательствам перед поставщиками и получением денежных средств от покупателей. В соответствии с формулой расчета финансового цикла, приведенной в гл. 6, увеличение периода оборота кредиторской задолженности может являться одним из путей сокращения финансового цикла компании.

Показатели оборачиваемости являются важнейшими показателями, характеризующими эффективность управления кредиторской задолженностью. Анализ оборачиваемости позволяет сделать выводы о:

• рациональности размера годового оборота средств в расчетах; ускорение оборачиваемости денежных средств в расчетах способствует притоку других активов компании и погашению кредиторской задолженности;

• уменьшении себестоимости продукции (работ, услуг); с увеличением числа оборотов сокращается доля постоянных расходов, относимая на себестоимость;

• возможном ускорении оборота на других стадиях производственного процесса и продажи продукции (работ, услуг); сокращение оборачиваемости кредиторской задолженности сопровождается ускорением оборота денежных средств, запасов и обязательств компании.

Основная цель анализа заключается в определении скорости и времени оборачиваемости задолженности и резервов ее ускорения на разных этапах хозяйственной деятельности компании.

Для оценки оборачиваемости кредиторской задолженности используют коэффициенты оборачиваемости кредиторской задолженности исходя из выручки от продаж и себестоимости реализованной продукции.

(7.1)

где Ко.КЗ — коэффициент оборачиваемости кредиторской задолженности; КЗСРсредний остаток кредиторской задолженности в рассматриваемом периоде.

(7.2)

где Ср — себестоимость реализованной продукции.

В качестве средней величины кредиторской задолженности в расчет принимается ее среднее хронологическое значение. Могут использоваться квартальные, месячные или годовые отчетные данные. При отсутствии месячных или квартальных данных для расчета средней величины может быть использован упрощенный расчет: среднее значение величин на начало и конец периода.

Кроме того, оборачиваемость кредиторской задолженности характеризуется показателем продолжительности одного оборота кредиторской задолженности (формула расчета приведена в гл. 6).

Показатели оборачиваемости можно рассчитывать также по отдельным видам кредиторской задолженности. Результаты анализа оборачиваемости кредиторской задолженности используются для оценки деловой активности компании и для управления кредиторской задолженностью.

III этап. Изучение состава кредиторской задолженности по отдельным ее видам, выявление динамики удельного веса отдельных ее видов в общей сумме кредиторской задолженности, проверка своевременности начисления и выплат средств по отдельным видам кредиторской задолженности.

Кредиторскую задолженность можно оценивать как источник краткосрочного привлечения денежных средств. Стратегия компании в этом случае должна предусматривать возможность их скорейшего вовлечения в оборот с целью рационального вложения в наиболее ликвидные виды активов, приносящие наибольший доход.

Остатки кредиторской задолженности по группам кредиторов характеризуют их преимущественное право на имущество компании. При неудовлетворительной структуре актива баланса, проявляющейся в увеличении доли сомнительной дебиторской задолженности, возможна ситуация, когда компания будет неспособна отвечать по своим обязательствам, что может привести к банкротству.

IV этап. Изучение зависимости изменения отдельных видов кредиторской задолженности от изменения объема реализации продукции. Расчет эластичности каждого вида кредиторской задолженности осуществляется по следующей формуле:

(7.3)

где КЭКЗкоэффициент эластичности конкретного вида кредиторской задолженности от объема реализации продукции, %; Икз — индекс изменения суммы кредиторской задолженности конкретного вида в анализируемом периоде, выраженный десятичной дробью; Иор — индекс изменения объема реализации продукции компании в анализируемом периоде, выраженный десятичной дробью.

Результаты анализа используются в процессе прогнозирования суммы кредиторской задолженности компании в предстоящем периоде.

Определение  состава и оптимальной структуры кредиторской задолженности компании в предстоящем периоде. При определении состава кредиторской задолженности устанавливается перечень конкретных видов кредиторской задолженности компании с учетом новых хозяйственных операций, новых видов деятельности, новых внутренних (дочерних) структур предприятия, новых видов обязательных платежей и т.п.

Определение оптимальной структуры кредиторской задолженности для конкретной компании и в конкретной ситуации достигается путем составления бюджета кредиторской задолженности.

Бюджет кредиторской задолженности — структурирование различных видов кредиторской задолженности по формализованным критериям с целью ее оптимизации.

Для того чтобы отношения с кредиторами максимально соответствовали обеспечению финансовой устойчивости компании, увеличению ее прибыльности и конкурентоспособности, компании необходимо выработать четкую стратегическую линию в привлечении и использовании заемного капитала. При этом ограничивающим фактором в процессе планирования использования заемного капитала является его стоимость, которая должна обеспечить рентабельность компании на достаточном уровне.

Основной источник формирования бюджета кредиторской задолженности — отсрочка оплаты поставщикам (товарный кредит). Основным его преимуществом является наиболее простой способ привлечения. Товарный кредит, как правило, не требует (в отличие от финансового) привлечения залога и не связан со значительными расходами и продолжительностью оформления (в отличие от инвестиций). В отечественных условиях товарный кредит между компаниями чаще всего представляет собой поставку товаров (работ, услуг) по договору купли-продажи с отсрочкой платежа. При этом, на первый взгляд, может показаться, что данный вид кредита предоставляется бесплатно, так как договор не предусматривает необходимости начисления и уплаты процентного (или какого-либо иного) дохода в пользу поставщика. Однако следует заметить, что поставщики прекрасно понимают (иногда только на эмпирическом уровне) принципы изменения стоимости денег во времени, а также способны достаточно точно оценивать размеры «упущенной выгоды» от торможения оборачиваемости активов, замороженных в дебиторской задолженности компании. Поэтому компенсация таких потерь закладывается в цену товаров, которая может колебаться в зависимости от сроков предоставленной отсрочки.

Помимо товарного кредита одной из возможностей формирования оптимального бюджета кредиторской задолженности является использование собственного экономического превосходства. Суть собственного экономического превосходства заключается в возможности диктовать и навязывать поставщику собственные правила игры на рынке и характер договорных отношений (или нарушать эти самые договорные отношения без особых последствий для собственного бизнеса).

Экономическое превосходство заемщика перед кредитором может возникать в силу следующих обстоятельств:

• монопольное положение покупателя на рынке;

• различия в экономических потенциалах, когда совокупные активы покупателя значительно превосходят активы поставщика;

• маркетинговые преимущества (например, мелкий или начинающий производитель, стремящийся продвинуть свою продукцию в сеть крупных супермаркетов или элитных магазинов не в состоянии диктовать свои условия или требовать выполнения всех обязательств, так как может оказаться без нужного заказчика);

• покупатель выявил организационные недостатки в управлении дебиторской задолженностью у кредитора (пробелы в учете и контроле, юридическая несостоятельность и т.д.).

Компании в своем стремлении максимально использовать возможности всех доступных средств для формирования бюджета кредиторской задолженности (в том числе и в виде задержек по заработной плате, несвоевременной уплаты налогов, нарушения сроков плановых платежей поставщикам и т.д.), должны оценивать возможности каждого отдельного вида кредиторской задолженности, так как они ведут к различным последствиям.

Разработка системы коэффициентов для управления кредиторской задолженностью. В целях оптимизации кредиторской задолженности необходимо определить ее плановые показатели. Наиболее часто используются коэффициенты текущей (общий коэффициент покрытия) и абсолютной ликвидности, позволяющие проанализировать способность компании отвечать по своим текущим обязательствам. В результате устанавливается степень обеспеченности компании оборотными активами для расчетов с кредиторами по текущим операциям.

(7.4)

где КTЛ  - коэффициент текущей ликвидности; ОА — остаток оборотных активов компании в рассматриваемом периоде; ФОК — остаток по краткосрочным финансовым обязательствам компании в рассматриваемом периоде, за исключением доходов будущих периодов и резервов предстоящих расходов.

Для расчета коэффициента текущей ликвидности необходимо предварительно корректировать указанные показатели, а также дебиторскую задолженность (платежи по которой ожидаются более чем через 12 месяцев), запасы и прочие оборотные активы на сумму соответственно безнадежной дебиторской задолженности, неликвидных и труднореализуемых запасов.

(7.5)

где Калкоэффициент абсолютной ликвидности; ФВК — остаток краткосрочных финансовых вложений в рассматриваемом периоде; ДС — остаток денежных средств в рассматриваемом периоде.

Коэффициент абсолютной ликвидности, являясь более жесткой оценкой ликвидности компании, показывает, какая часть краткосрочных долговых обязательств может быть при необходимости погашена за счет имеющихся денежных средств, средств на депозитных счетах и высоколиквидных краткосрочных ценных бумаг. Он имеет особенно важное значение для поставщиков материальных ресурсов и банка, кредитующего данную компанию.

Коэффициент финансовой напряженности дает представление о том, насколько активы компании сформированы за счет кредиторов и рассчитывается по формуле:

(7.6)

где Кфнкоэффициент финансовой напряженности; КЗ — остаток кредиторской задолженности в рассматриваемом периоде; ВБ — валюта баланса компании.

Баланс задолженностей определяется по следующей формуле:

(7.7)

где БЗ — баланс задолженностей; ДЗ — остаток дебиторской задолженности в рассматриваемом периоде.

Рассмотренные экономические показатели дают количественную оценку кредиторской задолженности. Для более полного анализа состояния кредиторской задолженности следует дать и качественую характеристику данных пассивов. К таким показателям, например, относится коэффициент рентабельности кредиторской задолженности, рассчитываемый по формуле:

(7.8)

где Ркз — рентабельность кредиторской задолженности; Пр — прибыль от реализации продукции; КЗСР — средний остаток кредиторской задолженности в рассматриваемом периоде.

Данный показатель характеризует эффективность привлечения компанией кредиторской задолженности, и его особенно целесообразно анализировать по периодам. При этом должна быть определена зависимость динамики изменений этого коэффициента от тех основных факторов, которые повлияли на его рост или снижение (изменение сроков возврата, структуры кредиторов, средних размеров и стоимости кредиторской задолженности и т.д.).

Прогнозирование средней суммы начисляемых платежей по отдельным видам кредиторской задолженности осуществляется двумя основными методами — методом прямого расчета и статистическим методом на основе коэффициентов эластичности. Метод прямого расчета используется в тех случаях, когда по отдельным видам кредиторской задолженности заранее известны сроки и суммы выплат. В этом случае расчет осуществляется по следующей формуле:

(7.9)

где КЗПСО — прогнозируемый средний остаток кредиторской задолженности конкретного вида; Пнм — месячная сумма платежей по конкретному виду начислений; КВН — предусмотренное количество выплат по конкретному виду начислений в течение месяца.

Статистический метод на основе коэффициентов эластичности используется в тех случаях, когда сумма выплат по конкретному виду кредиторской задолженности заранее четко не определена. В этом случае расчет осуществляется по следующей формуле:

(7.10)

где ΔВ — прогнозируемый темп прироста выручки от продаж продукции в предстоящем периоде, %; КЭКЗ — коэффициент эластичности конкретного вида кредиторской задолженности от выручки от продаж продукции, %; КЗср — средний остаток кредиторской задолженности конкретного вида в предшествующем периоде.

При установлении периодичности выплат по отдельным видам кредиторской задолженности по каждому виду кредиторской задолженности устанавливается средний период начисления средств от момента начала этих начислений до осуществления их выплат. В этих целях рассматриваются конкретные сроки уплаты отдельных налогов, сборов и отчислений в бюджет, периодичность выплат страховых взносов в соответствии с заключенными договорами страхования, сроки выплаты заработной платы в соответствии с заключенными коллективными трудовым договором и индивидуальными трудовыми контрактами и т.п.

Оценка эффекта прироста кредиторской задолженности компании в предстоящем периоде заключается в сокращении потребности компании в привлечении кредита и расходов, связанных с его обслуживанием. Для расчета этого эффекта применяется следующая формула:

(7.11)

где Экзсрэффект от прироста среднего остатка кредиторской задолженности компании в предстоящем периоде; ΔКЗКПСОпрогнозируемый прирост среднего остатка кредиторской задолженности по компании в целом; ПК6среднегодовая ставка процента за краткосрочный кредит, привлекаемый компанией.

Обеспечение контроля за своевременностью начисления и выплаты средств в разрезе отдельных видов кредиторской задолженности. Начисление средств контролирует бухгалтерия по результатам осуществления отдельных хозяйственных операций компании. Выплата средств включается в разрабатываемый платежный календарь и контролируется в процессе мониторинга текущей финансовой деятельности компании.

С учетом прогнозируемого прироста кредиторской задолженности в компании формируется общая структура заемных средств, привлекаемых из различных источников.

8. Учетная политика компании

1. Понятие и общие принципы формирования учетной политики компании

В соответствии с Положением по бухгалтерскому учету «Учетная политика организации» (ПБУ 1/98), утвержденным приказом Министерства финансов РФ от 9 декабря 1998 г. № 60н (в ред. от 30 декабря 1999 г. № 107н), под учетной политикой российской компании понимается принятая ею совокупность методов ведения бухгалтерского учета — первичного наблюдения, группировки и оценки фактов хозяйственной деятельности компании, погашения стоимости активов, организации документооборота, инвентаризации, применения счетов и системы регистров бухгалтерского учета, обработки информации и др.

Порядок формирования учетной политики компании регулируется Федеральным законом от 21 ноября 1996 г. № 129-ФЗ «О бухгалтерском учете» (в ред. от 30 июня 2003 г. № 86-ФЗ), Положением по бухгалтерскому учету «Учетная политика организации» (ПБУ 1/98), утвержденным приказом Минфина России от 9 декабря 1998 г. № 60н (в ред. от 30 декабря 1999 г. № 107н), планом счетов бухгалтерского учета финансово-хозяйственной деятельности организации, утвержденным приказом Минфина России от 31 октября 2000 г. № 94н (в ред. от 7 мая 2003 г. № 38н). Положение по бухгалтерскому учету 1/98 «Учетная политика организации» предоставляет компаниям право выбора конфигурации учетной политики.

От правильного понимания и формирования учетной политики зависит экономическая эффективность деятельности компании. Она оказывает существенное влияние на формирование себестоимости, окончательный финансовый результат, величину балансовых статей, собственного и заемного капитала. Грамотно сформированная учетная политика обеспечивает конкурентные преимущества компании на рынке. Обоснованный выбор учетной политики позволяет российским компаниям законным образом минимизировать налоговые платежи.

Учетная политика формируется, исходя из установленных ПБУ 1/98 допущений и требований, которые являются принципами ведения бухгалтерского учета.

Допущение имущественной обособленности означает, что имущество и обязательства компании существуют обособленно от имущества и обязательств собственников этой компании и имущества других юридических лиц, находящегося у данной компании.

Допущение непрерывности деятельности компании означает, что она будет продолжать свою деятельность в обозримом будущем и у нее отсутствует намерение ликвидации или существенного сокращения деятельности. Если же указанные намерения у компании имеются, она обязана объявить об этом в учетной политике, формируемой на предстоящий финансовый год, и в пояснительной записке к годовому отчету за истекший финансовый год. Указанное допущение используется в аудиторской практике, когда аудитор обязан информировать пользователей бухгалтерской отчетности о возможной ликвидации компании или сокращении деятельности.

Допущение последовательности применения учетной политики означает, что выбранная компанией учетная политика применяется последовательно от одного отчетного года к другому. Изменение учетной политики возможно в случае изменения законодательства Российской Федерации или нормативных актов по бухгалтерскому учету, разработки компанией новых методов ведения бухгалтерского учета и существенного изменения условий деятельности.

Допущение временной определенности фактов хозяйственной деятельности означает, что они отражаются в бухгалтерском учете и отчетности того периода, в котором совершены, независимо от фактического времени поступления или выплаты денежных средств, связанных с этими фактами. Например, начисленная работникам компании оплата труда относится на издержки производства или обращения того периода, в котором она начислена, независимо от фактического времени выплаты начисленной суммы работникам. В международной бухгалтерской практике допущению временной определенности фактов хозяйственной деятельности соответствует основополагающий «принцип начисления».

Формируемая компанией учетная политика должна соответствовать требованиям полноты, своевременности, осмотрительности,

 Допущения — правила организации и ведения бухгалтерского учета и составления отчетности. Требования — основные принципы, означающие, что будут соблюдаться принятые правила организации и ведения бухгалтерского учета.

приоритета содержания перед формой, непротиворечивости и рациональности.

Требование полноты означает необходимость отражения в бухгалтерском учете всех фактов хозяйственной деятельности.

Требование своевременности означает необходимость своевременного отражения в бухгалтерском учете и бухгалтерской отчетности фактов хозяйственной деятельности.

Требование осмотрительности (осторожности, в западной практике еще и консерватизма) означает большую готовность к учету потерь (расходов) и пассивов, чем возможных доходов и активов (не допуская скрытых резервов). В западной практике одним из конкретных проявлений данного требования является так называемый асимметричный учет прибылей и убытков, т.е. прибыль отражается в учете только после совершения хозяйственных операций, а убыток может отражаться с момента возникновения предположения о его возможности. Для покрытия таких убытков предусматривается создание специальных резервов, например, резервов по сомнительным долгам.

Требование приоритета содержания перед формой означает, что в бухгалтерском учете факты хозяйственной деятельности должны отражаться исходя не только из их правовой формы, но и из экономического содержания. Например, сам по себе факт выдачи руководителям компании крупных ссуд не является незаконным. Однако, если выдача этих сумм осуществляется в период неустойчивого финансового состояния компании, особенно при задержке выплат начисленной оплаты труда из-за отсутствия денежных средств, то данную хозяйственную операцию следует признать неправомерной.

Требование непротиворечивости означает необходимость тождества данных аналитического учета с оборотом и остатком по синтетическим счетам на 1-е число каждого месяца, показателей бухгалтерской отчетности данным синтетического и аналитического учета, а также показателей отчетности на начало и конец периода.

Требование рациональности означает необходимость рационального и экономного ведения бухгалтерского учета, исходя из условий хозяйственной деятельности и величины компании.

Все эти допущения и требования учитываются в технологии формирования учетной политики компании.

2. Технология формирования учетной политики компании

Разработка учетной политики компании осуществляется по следующим направлениям:

• организация учетной политики компании;

• выбор методов и оценка влияния учетной политики на финансовые показатели деятельности компании;

• оформление учетной политики компании.

Организация учетной политики компании включает организацию учетной работы, технологию обработки учетной информации, регламенты системы документооборота, инвентаризацию активов и обязательств, регламенты материальной ответственности.

При организации учетной работы важно определить ответственного за ведение бухгалтерского учета. Тем более, если компания имеет сложную организационную структуру с территориально обособленными структурными подразделениями и филиалами. Организация учетной работы может осуществляться: бухгалтерией, являющейся структурным подразделением компании; бухгалтером, состоящим в штате компании; специалистом, работающим на договорной основе; профессиональной компанией, работающей по договору; лично руководителем компании.

На выбор субъекта ведения бухгалтерского учета влияют организационно-правовая форма компании, отраслевая принадлежность и вид деятельности, масштабы деятельности компании.

Технология обработки учетной информации может осуществляться в ручной или компьютерной информационных средах. При этом обработка учетной информации может вестись в журнально-ордерной, мемориально-ордерной, простой (с ведением журнала хозяйственных операций) и упрощенной формах.

Выбор технологии обработки учетной информации зависит от организационно-правовой формы компании, отраслевой принадлежности, вида и масштаба деятельности компании, управленческой структуры и структуры бухгалтерии компании, материальной базы, уровня квалификации бухгалтерских кадров.

Регламенты системы документооборота распространяются на:

• формы первичных документов. С 1 января 1999 г. к учету принимаются первичные документы, выполненные в соответствии с унифицированной формой, утвержденной Росстатом по согласованию с Минфином России, Минэкономики России и другими заинтересованными федеральными органами исполнительной власти. В указанные формы (кроме форм по учету кассовых операций) компания при необходимости может вносить дополнительные реквизиты без изменения и удаления установленных документов для внутренней отчетности и внутрифирменных учетных регистров;

• перечень лиц с правом подписи первичных документов;

• график документооборота. В нем отражаются порядок оформления и передачи в бухгалтерию, а также сроки представления документов для отражения в бухгалтерском учете;

• рабочий план счетов, в том числе для финансового, налогового и управленческого учета.

Инвентаризация активов и обязательств рассматривается как одно из обязательных условий, обеспечивающих достоверность данных учета и отчетности. В составе учетной политики утверждаются порядок и сроки проведения инвентаризации в дополнение к обязательным случаям ее проведения, объекты инвентаризации и их периодичность, а также порядок проведения внезапных инвентаризаций.

Регламенты материальной ответственности — важный организационный элемент учетной политики, обеспечивающий сохранность активов или их возмещение в случае утраты. Регламенты материальной ответственности могут быть распространены на материальные и денежные активы, информационные ресурсы, активы, находящиеся в подотчете (денежные средства, готовая продукция или товар и др.). В данном разделе учетной политики целесообразно оговаривать регламенты, не являющиеся общеустановленными. Например, утверждение перечня лиц с правом получения денежной наличности, лимита подотчетных средств и предельного срока представления отчета по их использованию.

Выбор методов и оценка влияния учетной политики на финансовые показатели деятельности компании включают оценку фактов хозяйственной деятельности, учет и списание внеоборотных активов, учет и списание оборотных активов, учет затрат, учет финансовых результатов и источников финансирования. Каждое из этих направлений включает отдельные элементы учетной политики компании, которые в свою очередь определяются различными методами.

В сводном виде основные направления, элементы и методы учетной политики компании представлены в табл. 8.1. При формировании учетной политики компании методы ведения бухгалтерского учета выбираются из нескольких вариантов, допускаемых законодательством и нормативными актами. В случае, если методы не регламентируются нормативными документами, разрабатывают собственные. По каждому методу проводится подробное обоснование его выбора. При выборе того или иного варианта метода учета целесообразно оценивать его влияние на финансы компании.

ТАБЛИЦА 8.1.

Рассмотрим условные примеры выбора таких основных элементов учетной политики, как амортизация основных средств и стоимостная оценка при отпуске материальных производственных запасов в производство.

Положение по бухгалтерскому учету «Учет основных средств» (ПБУ 6/97) разрешает компаниям начислять амортизацию по основным средствам в целях бухгалтерского учета одним из следующих методов:

• линейным методом;

• методом уменьшаемого остатка;

• методом списания стоимости по сумме чисел лет срока полезного использования;

• методом списания стоимости пропорционально объему продукции (работ).

При линейном методе годовая сумма амортизационных отчислений определяется исходя из первоначальной стоимости объекта основных средств и нормы амортизации, рассчитанной с учетом срока его эксплуатации (или полезного использования).

Пример 8.1:

Приобретено основное средство стоимостью 10 000 руб. со сроком полезного использования 5 лет. Годовая норма амортизационных отчислений — 20% ((1 : 5) • 100%). Годовая сумма амортизационных отчислений составит:

10 000 • 20% : 100 = 2000 руб.

При начислении амортизации по основным средствам методом уменьшаемого остатка годовая сумма начисления амортизационных отчислений определяется исходя из остаточной стоимости объекта основных средств на начало отчетного года и нормы амортизации, исчисленной исходя из срока полезного использования этого объекта и коэффициента ускорения, устанавливаемого в соответствии с законодательством Российской Федерации. В основе метода лежит положение, что эффективность использования средств в первый год эксплуатации больше, чем в последний, так как исчерпывается ресурс работы основного средства, увеличиваются расходы на ремонт и т.д.

Коэффициент ускорения применяется по перечню высокотехнологичных отраслей и эффективных видов машин и оборудования, устанавливаемому федеральными органами исполнительной власти.

По движимому имуществу, составляющему объект финансового лизинга и относимому к активной части основных средств, может

применяться в соответствии с условиями договора лизинга коэффициент ускорения не выше 3.

Пример 8.2:

Приобретено основное средство стоимостью 10 000 руб. со сроком полезного использования 5 лет. Годовая норма амортизации составляет 20%. Годовая норма амортизации (А) рассчитывается по формуле:

(8.1)

где п — срок службы основного средства; S и С — ликвидационная и первоначальная стоимость основного средства соответственно.

Таблица 8.2. Расчет амортизационных отчислений методом уменьшаемого остатка

Год эксплуатации основного средства

Амортизационные отчисления, руб.

Остаточная стоимость, руб.

1-й

2000 (10 000 • 0,2)

8000 (10 000 - 2000)

2-й

1600 (8000 • 0,2)

6400 (8000 - 1600)

3-й

1280 (6400 0,2)

5120 (6400 - 1280)

4-й

1024 (5120 0,2)

4096 (5120 - 1024)

5-й

819,2 (4096 • 0,2)

3276,8 (4096 - 819,2)

Средняя сумма начисленного износа по основному средству за год согласно условиям примера составит:

(2000 + 1600 + 1280 + 1024 + 819,2) : 5 = 1344,6 руб.

Нелинейность выполняемых расчетов приводит к появлению проблемы «ликвидационной стоимости», поскольку к моменту завершения эксплуатации основных фондов часть стоимости оказывается «неамортизированной». Проблема недоамортизации может быть решена при выборе соответствующего источника покрытия ликвидационной стоимости.

При начислении амортизации по основным средствам методом списания стоимости по сумме чисел лет срока полезного использования годовая сумма амортизационных отчислений определяется из первоначальной стоимости объекта основных средств и годового отношения, в числителе которого — число лет, остающихся до конца срока службы объекта, а в знаменателе — сумма чисел лет срока службы объекта.

Пример 8.3:

Приобретено основное средство стоимостью 10 000 руб. со сроком полезного использования 5 лет. Число лет службы основного средства в обратном порядке составит 5, 4, 3, 2, 1. Кумулятивное число — сумма чисел составит: 1+2 + 3 + 4 + 5=15.

Таблица 8.3. Расчет амортизационных отчислений методом списания стоимости по сумме чисел лет срока полезного использования

Год эксплуатации основного средства

Амортизационные отчисления, руб.

Накопительный износ, руб.

Остаточная стоимость, руб.

1-й

3333 (10 000 х 5 : 15)

3333

6667 (10 000 - 3333)

2-й

2667 (10 000 х 4: 15)

4000 (10 000 - 6000)

3-й

2000 (10 000 х 3 : 15)

8000

2000 (10 000 - 8000)

4-й

1333 (10 000 х 2 : 15)

9333

667 (10 000 - 9333)

5-й

667 (10 000  х 1 : 15)

10 000

0

Из примера видно, что наибольшая сумма амортизационных отчислений по основному средству начисляется в первый год эксплуатации, затем из года в год она уменьшается. Накопленная сумма износа возрастает по годам незначительно, а остаточная стоимость основного средства каждый год уменьшается на сумму амортизации до тех пор, пока она не достигнет ликвидационной стоимости, а если такой нет, то нулевой отметки.

При методе списания стоимости объекта основных средств пропорционально объему продукции или работ исходят из натуральных показателей объема продукции (работ) за отчетный период и соотношения первоначальной стоимости объекта к предполагаемому объему продукции (работ) за весь срок полезного использования объекта.

Пример 8.4:

Приобретено основное средство стоимостью 10 000 руб. Указанное основное средство рассчитано на выпуск 5 млн изделий. Следовательно, по мере выпуска, например, 1 млн изделий износ основного средства составит 20%, или 2000 руб. (1 млн изд. х 10 тыс. руб. : 5 млн изд.).

Компаниям предоставлено право самостоятельно определять срок полезного использования объекта основных средств в соответствии с техническими условиями или централизованно установленным порядком. Если таковые отсутствуют, то исходят из ожидаемого срока использования объекта.

Методы начисления амортизации по основным средствам в России аналогичны международным общепринятым стандартам, кроме одного, а именно — способа уменьшаемого остатка. Согласно общепринятым бухгалтерским принципам (GAAP) предлагается использование при методе уменьшаемого остатка удвоенной нормы амортизации по сравнению с нормальной, т.е. той, которая используется при прямолинейном методе.

В отечественной практике при начислении амортизационных отчислений методом уменьшаемого остатка подобное удвоение не предусматривается, соответственно объект основных средств не может быть амортизирован полностью в течение срока его эксплуатации. При отсутствии соответствующего законодательства аудитору нецелесообразно рекомендовать, а бухгалтеру применять метод уменьшаемого остатка при начислении амортизации основных средств.

Линейный метод начисления амортизации по основным средствам является традиционным для отечественной практики учета. При этом способе амортизация из года в год начисляется одной и той же суммой в течение всего срока эксплуатации объекта. Достоинством указанного метода является простота расчетов ежегодных (ежемесячных) амортизационных отчислений. Недостатком же является то, что при начислении амортизации не учитываются объем произведенной на амортизируемом объекте основных средств продукции, режим эксплуатации объекта, напряженность производственной программы. Линейный метод начисления амортизации по основным средствам наиболее приемлем для отраслей реального сектора экономики, в которых уровень цен на выпускаемую продукцию относительно постоянен, а обновление производственной базы происходит не чаше, чем в течение одного срока полезного использования объекта основных средств.

Если администрация предприятия стремится к интенсивному использованию объекта основных средств, то списание его стоимости должно осуществляться либо по сумме чисел лет срока полезного использования, либо пропорционально объему продукции (работ).

Первый вариант позволяет начислять наибольшую амортизацию в первые годы эксплуатации объекта и наименьшую — в последние, т.е. быстрее накапливать средства для приобретения новых и прогрессивных машин, оборудования и т.д. Сумму чисел лет срока полезного использования можно определить на основании постановления Совета Министров СССР от 22 октября 1990 г. № 1072 «Единые нормы амортизационных отчислений на полное восстановление основных фондов народного хозяйства СССР». Так, для полуавтоматов и автоматов для продажи газет, конвертов, марок, открыток (шифр 45627) указанный документ норму амортизационных отчислений предусматривает в размере 20%, т.е. срок полезного использования указанных объектов составляет 5 лет. Следовательно, сумма чисел лет равна: 1+2 + 3 + 4 + 5=15. В первый год использования объекта амортизация будет начислена в размере 5/15 первоначальной стоимости объекта, а в последний (пятый) год — в размере 1/15.

Выбирая первый вариант списания стоимости объекта основных средств, компания должна знать, что сумма амортизации в первые годы эксплуатации объекта основных средств будет максимальной, следовательно, затраты — наибольшими, а прибыль — наименьшей, в последние же годы эксплуатации, наоборот, сумма амортизации — минимальная, затраты — наименьшие, а прибыль — наибольшая. Поскольку при этом собственники (акционеры, учредители) компании в первые годы деятельности получат доход в меньшем размере, чем в последние, то данный вариант необходимо утвердить не только приказом об учетной политике компании, но и протоколом заседания совета директоров.

При пропорциональном списании стоимости основных средств размер амортизационных отчислений зависит только от объемов производства продукции, т.е. чем больше объемы произведенной продукции, тем больше и сумма амортизации. Нормативной базой предусмотрено, что амортизация в данном случае рассчитывается исходя из предполагаемого объема продукции (работ) за весь срок полезного использования объекта основных средств. Но законодательством не рассматриваются случаи отклонения предполагаемых объемов продукции (работ) от фактических в течение срока эксплуатации объекта основных средств. Следовательно, бухгалтеру в конце каждого года следует производить пересчет амортизации по основным средствам исходя из фактических объемов продукции (работ). В случае, когда фактические объемы производства продукции превышают предполагаемые, необходимо доначислить соответствующую сумму амортизации. Напротив, когда предполагаемые объемы продукции (работ) оказались выше фактических, в конце года нужно произвести сторнировочную запись в соответствующей сумме.

Российским компаниям целесообразно применять списание стоимости по сумме чисел лет срока полезного использования или пропорциональное списание стоимости относительно объемов продукции (работ). Первый вариант позволяет быстрее накапливать средства на обновление и расширение производственной базы, а второй — избежать «перекосов» в стоимости продукции из-за неритмичной работы компании.

Рассмотрим варианты стоимостной оценки при отпуске материально-производственных запасов (МПЗ) в производство. Согласно ПБУ 5/98 при отпуске материально-производственных запасов в производство и ином выбытии их оценка производится компанией одним из следующих методов:

• по себестоимости каждой единицы запасов;

• по средней себестоимости;

• по себестоимости первых по времени приобретений (ФИФО);

• по себестоимости последних по времени приобретений (ЛИФО).

По себестоимости каждой единицы оцениваются материалы, используемые в особом порядке (драгоценные металлы, драгоценные1 камни и т.п.), а также материально-производственные запасы, которые не могут обычным образом заменять друг друга. Данный метод применяется только в исключительных случаях.

Отпуск материалов в производство методом средней себестоимости определяется путем умножения числа выбывших МПЗ на среднюю себестоимость одной МПЗ данного вида. Средняя себестоимость одного вида МПЗ рассчитывается как частное от деления себестоимости МПЗ данного вида на их число, соответственно складывающихся из себестоимости и числа по остатку на начало месяца и по поступившим МПЗ в этом месяце (табл. 8.4).

Средняя себестоимость одного вида МПЗ:

(10,0 тыс. руб. + 5,0 тыс. руб. + 6,6 тыс. руб. + 9,6 тыс. руб.) :  290 = 107,6 руб.

Себестоимость остатка МПЗ на конец месяца: 107,6 руб. х 130 = 14,0 тыс. руб. Себестоимость выбывших МПЗ:

31,2 тыс. руб. — 14,0 тыс. руб. = 17,2 тыс. руб., или 160 • 107,6 руб. = 17,2 тыс. руб.

Таблица 8.4. Отпуск материалов методом средней себестоимости

Дата

Приход

Расход

Остаток



количество

цена за единицу, руб.

сумма, тыс. руб.

количество

цена за единицу, руб.

сумма, тыс. руб.

количество

Цена за единицу, руб.

сумма, тыс. руб.

Остаток на: 1-е число

100

100,0

10,0





100,0

10,0

10-е

50

100,0

5,0

60

__

__


__

__

15-е

60

110,0

6,6

100

__

__


__

__

20-е

80

120,0

9,6

__

__


__

__

Итого

290

31,2

160

107,6

17,2

130

107,6

14,0

Этот метод можно также применять в течение месяца на каждую дату выбытия МПЗ в течение месяца, используя оценку остатка МПЗ, определенную по методу средней себестоимости, на дату предшествующей операции (так называемый метод скользящей средней себестоимости).

Отпуск материалов по себестоимости первых по времени приобретения материально-производственных запасов (метод ФИФО). Себестоимость списываемых МПЗ принимается в сумме, равной себестоимости первых приобретенных аналогичных МПЗ.

Оценка МПЗ при методе ФИФО основана на допущении, что МПЗ выбывают в течение месяца в последовательности их поступления (приобретения), т.е. МПЗ, первыми поступившие в списание, должны быть оценены по себестоимости первых по времени приобретения с учетом себестоимости МПЗ, числящихся на начало месяца. При применении этого метода оценка МПЗ, находящихся в остатке на конец месяца, производится по фактической себестоимости последних по времени приобретения, а в себестоимости выбытия МПЗ учитывается себестоимость ранних по времени приобретения.

Себестоимость выбывших МПЗ определяется путем вычитания из суммы себестоимости остатков МПЗ на начало месяца и себестоимости поступивших за месяц МПЗ себестоимости остатка МПЗ на конец месяца (табл. 8.5).

Таблица 8.5. Отпуск материалов методом ФИФО

Дата

Приход

Расход

Остаток



количество

цена за единицу, руб.

сумма, тыс. руб.

количество

цена за единицу, руб.

сумма, тыс. руб.

количество

цена за единицу, руб.

сумма, тыс. руб.

Остаток на: 1-е число

100

100,0

10,0



-




10-е

50

100,0

5,0

60

__

__


__

__

15-е

60

110,0

6,6

100

_


20-е

80

120,0

9,6


Итого

290

107,6

31,2

160

100,6

16,1

130

116,2

15,1

Себестоимость остатка МПЗ на конец месяца исходя из себестоимости по последним поступлениям:

80 х 120 руб. + 50 х 110 руб. = 15,1 тыс. руб.

Себестоимость выбывших МПЗ:

31,2 тыс. руб. - 15,1 тыс. руб. = 16,1 тыс. руб.

Себестоимость единицы выбывших МПЗ:

 16,1 тыс. руб. : 160 = 100,6 руб.

Этот метод можно также применять в течение месяца на каждую дату выбытия МПЗ в течение месяца, используя оценку остатка МПЗ, определенную по методу ФИФО, на дату предшествующей операции (так называемый метод скользящей ФИФО).

Отпуск материалов по себестоимости последних по времени приобретения материально-производственных запасов (метод ЛИФО).

Себестоимость выбывших МПЗ принимается в сумме, равной себестоимости последних приобретенных аналогичных МПЗ. Оценка МПЗ при методе ЛИФО основана на допущении, что МПЗ, первыми выбывшие, должны быть оценены по себестоимости последних в последовательности по времени приобретения. При применении этого метода оценка МПЗ, находящихся в остатке на конец месяца, производится по фактической себестоимости ранних по времени приобретений, а в себестоимости выбытия МПЗ учитывается себестоимость последних по времени приобретений.

Себестоимость выбывших МПЗ определяется путем вычитания из суммы себестоимости остатков МПЗ на начало месяца и себестоимости поступивших за месяц МПЗ себестоимости остатка МПЗ на конец месяца (табл. 8.6.).

Таблица 8.6. Отпуск материалов методом ЛИФО

Дата

Приход

Расход

Остаток



количество

цена за единицу, руб.

сумма, тыс. руб.

количество

цена за единицу, руб.

сумма, тыс. руб.

количество

цена за единицу, руб.

сумма, тыс. руб.

Остаток на: 1-е число

100

100,0

10,0







10-е

50

100,0

5,0

60

_


__

_

15-е

60

110,0

6,6

100

__

_


__

_

20-е

80

120,0

9,6

__

__

_


__

Итого

290

107,6

31,2

160

113,8

18,2

130

116,2

13,0

Себестоимость остатка МПЗ на конец месяца исходя из затрат по первым поступлениям:

100 х 100 руб. + 30 • 100 руб. = 13,0 тыс. руб.

Себестоимость выбывших МПЗ:

31,2 тыс. руб. - 13,0 тыс. руб. = 18,2 тыс. руб.

Себестоимость единицы выбывших МПЗ:

18,2 тыс. руб. : 160 = 113,8 руб.

Этот метод можно также применять на каждую дату выбытия в течение месяца, используя оценку остатка МПЗ, определенную по методу ЛИФО, на дату предшествующей операции (так называемый метод скользящей ЛИФО).

Применение одного из методов по конкретному наименованию производится в течение отчетного года.

Выбранный предприятием метод оценки МПЗ определяет не только величину себестоимости, но и прибыль, а следовательно, влияет на сумму уплачиваемых налогов. Если метод ЛИФО позволяет занижать прибыль, то в результате расчетов по методу ФИФО прибыль оказывается значительно завышенной, особенно в условиях инфляции. Применение этих методов требует линеаризации операций, так как МПЗ оцениваются не только по видам, но и по датам и партиям поступления. Применение метода ЛИФО для компаний более выгодно, так как позволяет уменьшить сумму НДС на остатки МПЗ, т.е. экономить оборотные средства.

Оценка влияния учетной политики на финансовые показатели деятельности компании основывается на сравнении значений финансовых показателей при избранном варианте метода учетной политики с их значениями при базовом варианте. В качестве базового может быть использован общепринятый вариант или вариант, принятый в компании до внесения изменений в учетную политику, или иной обоснованный вариант.

Критерием выбора того или иного метода учетной политики служит оценка его влияния на финансовые показатели. Выбор одного из нескольких вариантов конкретного элемента учетной политики зависит от многих внешних и внутренних факторов.

На выбор и обоснование учетной политики влияют следующие факторы:

• организационно-правовая форма компании (акционерное общество, государственное и муниципальное унитарное предприятие, общество с ограниченной ответственностью, производственный кооператив и т.д.);

• отраслевая принадлежность и вид деятельности (промышленность, сельское хозяйство, торговля, строительство, посредническая деятельность и т.д.);

• масштабы деятельности компании (объем производства и реализации продукции, численность работающих, стоимость имущества организации и т.д.);

• управленческая структура компании и структура бухгалтерии;

• финансовая политика компании (например, стремление компании к уменьшению налога на имущество способствует выбору таких вариантов учета, которые позволят увеличить себестоимость, — применение ускоренных методов амортизации основных средств, метода ЛИФО при оценке израсходованных производственных запасов. Если для компании важно иметь высокие показатели прибыли и рентабельности, то она должна выбирать варианты учета и оценки объектов учета, позволяющие уменьшить текущие затраты на производство продукции и ее реализацию, — понижающие коэффициенты амортизации, метод ФИФО при оценке израсходованных производственных запасов и т.п.);

• материальная база (наличие технических средств регистрации информации, компьютерной техники и т.д.);

• степень развития информационной системы в компании, в том числе управленческого учета;

• уровень квалификации бухгалтерских кадров.

Оформление учетной политики компании. В соответствии с утвержденным порядком учетная политика формируется главным бухгалтером (бухгалтером) компании и утверждается руководителем. Выбранная учетная политика компании оформляется соответствующим приказом руководителя. В приказе излагаются основные элементы и методы учетной политики компании. Элементы и методы, которые требуют подробной разработки и занимают сравнительно большой объем, следует помещать в приложения к данному приказу. В число таких приложений могут входить: формы первичной учетной документации, не предусмотренные альбомами форм; структура и состав структурного подразделения компании, занимающегося бухгалтерским учетом и отчетностью, а также основные функции, выполняемые этим подразделением; график документооборота. При этом нет необходимости приводить в документации методы ведения бухгалтерского учета по всем возможным элементам учетной политики. Следует выбирать методы ведения бухгалтерского учета только по тем направлениям, вопросам и объектам хозяйственной деятельности компании, которые имеются у нее на момент окончания предыдущего отчетного периода и планируются в следующем году.

Методы ведения бухгалтерского учета, избранные компанией при формировании учетной политики, применяются с 1 января года, следующего за годом утверждения соответствующего организационно-распорядительного документа. При этом они применяются всеми филиалами, представительствами и иными подразделениями компании (включая выделенные на отдельный баланс), независимо от места их нахождения.

Вновь созданная компания оформляет избранную учетную политику до первой публикации бухгалтерской отчетности, но не позднее 90 дней со дня государственной регистрации. Принятая такой компанией учетная политика считается применяемой со дня приобретения прав юридического лица (государственной регистрации).

Филиалы и представительства иностранных компаний, находящиеся на территории Российской Федерации, могут формировать учетную политику исходя из правил, установленных в стране нахождения иностранной компании, если последние не противоречат Международным стандартам финансовой отчетности.

Изменение учетной политики компании может иметь место в следующих случаях:

• изменение законодательства Российской Федерации или нормативных актов по бухгалтерскому учету;

• разработка компанией новых методов ведения бухгалтерского учета. Применение нового метода ведения бухгалтерского учета предполагает более достоверное представление фактов хозяйственной деятельности в учете и отчетности компании или меньшую трудоемкость учетного процесса без снижения степени достоверности информации;

• существенное изменение условий деятельности компании, которое может быть связано с реорганизацией, сменой собственников, изменением видов деятельности, реструктуризацией производства, значительным расширением или уменьшением объемов деятельности и т.д.

Не считается изменением учетной политики утверждение метода ведения бухгалтерского учета фактов хозяйственной деятельности, которые отличны по существу от фактов, имевших место ранее, или возникли впервые в деятельности компании. Изменение учетной политики должно быть обоснованным и оформляется в порядке, предусмотренном для учетной политики. Изменение учетной политики должно вводиться с 1 января года (начала финансового года), следующего за годом его утверждения.

Последствия изменения учетной политики, оказавшие или способные оказать существенное влияние на финансовое положение, движение денежных средств или финансовые результаты деятельности компании, оцениваются в денежном выражении на основании выверенных компанией данных на дату, с которой применяется измененный метод ведения бухгалтерского учета.

Отражение последствий изменения учетной политики заключается в корректировке включенных в бухгалтерскую отчетность за отчетный период соответствующих данных за период, предшествующий отчетному. Указанные корректировки отражаются в бухгалтерской отчетности.

Похожие работы на - Краткосрочная финансовая политика

 

Не нашли материал для своей работы?
Поможем написать уникальную работу
Без плагиата!
Без нейросетей!