Контрольная работа по аналитической химии и инструментальным методам анализа
Вариант 15.
Номера
заданий:2 , 28 , 45 , 85 , 105 , 126 , 157 , 177 , 195 , 236 ,264 ,279
Задание 2.
Привести
конкретные примеры использования в фотометрическом анализе для получения
окрашенных веществ следующих типов химических реакций : а)
комплексообразования; б) окисления-восстановления.
В основе аналитических методов –
получение и измерение аналитического сигнала, т.е. любое проявление химических
и физических свойств вещества в результате протекания химической реакции.
Аналитические реакции можно проводить
«сухим» и «мокрым» путем.
Примеры реакций, проводимых «сухим»
путем: реакции окрашивания пламени ( Na+ – желтый; Sr2+ – красный; Ba2+ – зеленый; K+ – фиолетовый; Tl3+ – зеленый, In+ – синий и др.);
при сплавлении
Na 2
B4O7 и Co2+ , Na 2
B4O7 и Ni2+ , Na 2
B4O7 и Cr3+ образуются
«перлы» буры различной окраски.
Чаще всего аналитические реакции
проводят в растворах. Анализируемый объект (индивидуальное вещество или смесь
веществ) может находиться в любом агрегатном состоянии (твердом, жидком,
газообразном). Объект для анализа называется образцом, или пробой. Один
и тот же элемент в образце может находиться в различных химических формах.
Например: S0 , S2− , SO42-
,SO3 2− и т.д. В
зависимости от цели и задачи анализа после переведения в раствор
пробы проводят элементный анализ (определение общего содержания
серы) или фазовый анализ (определение содержания серы в каждой фазе или в ее
отдельных химических формах).
Выполняя ту или иную аналитическую
реакцию необходимо строго соблюдать определенные условия ее протекания
(температура, рН раствора, концентрация) с тем, чтобы она протекала быстро и
имела достаточно низкий предел обнаружения.
Классификация
аналитических реакций.
1. Групповые реакции: один и тот
же реактив реагирует с группой ионов, давая одинаковый сигнал. Так, для
отделения группы ионов (Ag+ , Pb2+ , Hg2+ )
используют реакцию их с Cl− – ионами, при этом образуются белые
осадки ( AgCl, PbCl 2 , Hg2 Cl2 ).
2. Избирательные (селективные)
реакции.
Пример: йодокрахмальная реакция. Впервые
ее описал в 1815 г. немецкий химик Ф. Штромейер.
Для этих целей используют органические
реагенты.
Пример: диметилглиоксим + Ni2+ → образование ало−красного осадка
диметилглиоксимата никеля.
Изменяя условия протекания аналитической
реакции, можно неизбирательные реакции сделать избирательными.
Пример: если реакции Ag
+ , Pb + , Hg 2+ + Cl − , проводить при
нагревании, то PbCl2 не осаждается, так как он хорошо растворим
в горячей воде.
3. Реакции комплексообразования
используются для целей маскирования мешающих ионов.
Пример: для обнаружения
Со2+ в присутствии Fe3+ – ионов с
помощью KSCN , реакцию проводят в присутствии F− – ионов. При
этом Fe3+ + 4F– → [FeF4 ]− ,Kк = 10−16 , поэтому Fe3+ – ионы
закомплексованы и не мешают определению Co2+ – ионов.
Реакции, используемые в аналитической
химии.
1. Гидролиз:
(по катиону, по аниону, по катиону и аниону)
Al3+ + HOH ↔
Al(OH)2+ + H + ;
CO − + HOH ↔
HCO3− + OH −
Fe 3+ +(NH 4
)2 S + HOH → Fe(OH)3
...+
2. Реакции окисления–восстановления:
Ag+
2MnSO4
+
5K2S2O8
+
8H2O
→
2HMnO4
+
10KHSO4
+
2H2SO4
3. Реакции
комплексообразования:
СuSO4 + 4NH4OH
→
[Cu(NH3
)4 ]SO4 + 4H2O
4. Реакции осаждения:
Ba
2+ +SO42
− →↓ BaSO4
В фотометрическом анализе используют
поглощение электромагнитного излучения в УФ, видимой и ИК областях спектра.
Наибольшее распространение получили фотометрические методы анализа, основанные
на поглощении в видимой области спектра, т.е. в интервале длин волн 400
÷ 760 нм . Это объясняется возможностью получения множества интенсивно
окрашенных органических и неорганических соединений, пригодных для их
фотометрического определения в видимой области спектра с помощью достаточно
несложных и относительно недорогих приборов.
Химические реакции, используемые в
фотометрическом анализе, несмотря на различия в их химизме, должны обязательно
сопровождаться возникновением или ослаблением светопоглощения раствора. Как и
каждая реакция, используемая в количественном анализе, цветная реакция должна
протекать избирательно, быстро, полностью и воспроизводимо. Кроме того, окраска
образующейся аналитической формы должна быть устойчивой во времени и к действию
света, а поглощение раствора, несущее информацию о концентрации поглощающего
вещества, должно подчиняться физическим законам, связывающим поглощение и
концентрацию, конкретно – закону Бугера – Ламберта – Бера.
В неорганическом фотометрическом анализе
наиболее часто используют реакции комплексообразования ионов определяемых
элементов с неорганическими и, особенно, с органическими реагентами; реже –
реакции окисления-восстановления, синтеза и других типов. В органическом
фотометрическом анализе чаще применяют реакции синтеза окрашенных соединений,
которыми могут быть азосоединения, полиметиновые и хинониминовые красители,
ациформы нитросоединений и др. Иногда используют собственную окраску веществ.
Одной из важнейших операций
фотометрических определений является превращение вещества в окрашенное
соединение. Случаи, когда анализируемый раствор окрашен, сравнительно редки.
Поэтому чаще всего определяемый элемент (или сложное вещество) переводят в окрашенное
соединение, используя реакции окисления-восстановления или комплексообразования.
Например, определение содержания Mn2+ –ионов в сплавах
основано на реакции:
Ag+
2Mn(NO3
)2 +5K2 S2 O8 →
2HMnO4
+4HNO3 +10KHSO4
бесцветный фиолетовый
Если для перевода определенного элемента
в окрашенное соединение известно несколько реагентов, то выбирают тот, который
обеспечивает более низкий предел обнаружения и наименьшие помехи со стороны
примесей.
Определение
состава и устойчивости комплексных соединений в растворе. Простота и
достаточная точность фотометрических измерений привели к широкому использованию
фотометрических методов для исследования реакций в растворе и особенно цветных
реакций, имеющих химико-аналитическое значение. Для определения состава соединений
часто применяется метод изомолярных серий. При использовании этого метода
готовят серию растворов, в которых отношение концентрации центрального иона к
концентрации лиганда (cM:cL) изменяется от 9:1 до 1:9, а суммарная концентрация
(cM+cL) остается одинаковой во всех растворах (изомолярные серии). Затем
измеряют оптическую плотность растворов и строят график зависимости оптической
плотности от концентрационного отношения cM:cL. Максимум на этом графике
указывает состав комплекса. Метод изомолярных серий имеет ограничения и
недостатки, однако является одним из наиболее широко применяемых в практике.
Устойчивость соединений по данным фотометрических измерений может быть
рассчитана графическими или аналитическими методами.
При этом предполагается, что кислотно-основные равновесия в исследуемых
растворах осложнений не вызывают, т. е. центральный ион не гидролизован и
лиганд не взаимодействует с протоном. При протекании процессов
кислотно-основного взаимодействия расчет константы устойчивости усложняется.
Задание 28.
Что такое период
полураспада? В каких пределах должна находиться эта величина для изотопов ,
используемых в аналитических целях?
Радиоактивный
анализ
– это физический метод анализа, который возник и развился после открытия
атомной энергии и создания атомных реакторов.
Он
основан на измерении радиоактивного излучения элементов. Анализ по
радиоактивности был известен и ранее. Так, измеряя естественную радиоактивность
урановых руд, определяли содержание в них урана. Аналогичный метод известен для
определения калия по радиоактивному изотопу этого элемента. Активационный
анализ отличается от этих методов тем, что в нём измеряют интенсивность
излучения радиоизотопов элементов, образовавшихся вследствие бомбардировки
анализируемой пробы потоком элементарных частиц. При такой бомбардировке
происходят ядерные реакции и образуются радиоактивные изотопы элементов,
входящих в состав анализируемой пробы.
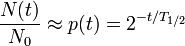
Период
полураспада квантовомеханической
системы (частицы, ядра, атома, энергетического уровня и т. д.) —
время T½, в течение которого система распадается с
вероятностью 1/2. Если рассматривается ансамбль независимых частиц, то
в течение одного периода полураспада количество выживших частиц уменьшится в
среднем в 2 раза. Термин применим только к экспоненциально распадающимся системам.
Не
следует считать, что за два периода полураспада распадутся все частицы, взятые
в начальный момент. Поскольку каждый период полураспада уменьшает число
выживших частиц вдвое, за время 2T½ останется четверть
от начального числа частиц, за 3T½ — одна восьмая
и т. д. Вообще, доля выживших частиц (или, точнее, вероятность
выживания p для данной частицы) зависит от времени t следующим
образом:
.
Период
полураспада, среднее время жизни τ и константа распада λ связаны следующими
соотношениями:
.
Поскольку
ln2 = 0,693… , период полураспада примерно на 30 % короче, чем время
жизни.
Иногда
период полураспада называют также полупериодом распада.
В
результате радиоактивного распада получаются элементы, которые по заряду ядер
(порядковому номеру) должны быть помещены в уже занятые клетки периодической
системы элементами с таким же порядковым номером, но другой атомной массой. Это
так называемые изотопы. По химическим свойствам их принято считать
неразличимыми, поэтому смесь изотопов обычно рассматривается как один элемент.
Неизменность изотопного состава в подавляющем большинстве химических реакций
иногда называют законом постоянства изотопного состава. Например, калий в
природных соединениях представляет собой смесь изотопов, на 93,259% из 39
К, на 6,729% из 41 К и на 0,0119% из 40 К (К-захват и
β-распад). Кальций насчитывает шесть стабильных изотопов с массовыми
числами 40,42,43,44,46 и 48. В химико-аналитических и очень многих других
реакциях это соотношение сохраняется практически неизменным, поэтому для
разделения изотопов химической реакции обычно не применяются. Чаще всего для
этой цели используются различные физические процессы – диффузия, дистилляция
или электролиз.
Единицей
активности изотопа является беккерель (Бк), равный активности нуклида в
радиоактивном источнике, в котором за время 1с происходит один акт распада.
Периодом
полураспада
называют промежуток времени, в течение которого данное количество
радиоактивного вещества уменьшается наполовину.
Период
полураспада различных изотопов существенно различен. Он находится примерно от
1010 лет до ничтожных долей секунды. Конечно, вещества, имеющие
период полураспада 10 – 15 мин. и меньше, использовать в лаборатории трудно.
Изотопы с очень большим периодом полураспада также нежелательны в лаборатории,
так как при случайном загрязнении этими веществами окружающих предметов
потребуется специальная работа по дезактивации помещения и приборов.
Элементы,
имеющие естественную радиоактивность, могут быть определены по этому свойству
количественно. Это U, Th, Ra, Ac и др., всего
более 20 элементов. Например, калий можно определить по его радиоактивности в
растворе при концентрации 0,05 М. Определение различных элементов по их
радиоактивности обычно проводят с помощью градуировочного графика,
показывающего зависимость активности от содержания (%) определяемого элемента
или методом добавок.
Большое
значение имеют радиометрические методы в поисковой работе геологов, например
при разведке месторождений урана.
Задание 45.
Навеску сплава m=0,0984 г
растворили в колбе на 100 мл. В мерную колбу на 50 мл отобрали 2,00 мл раствора
, добавили раствора цирконола и довели объем до метки водой. Относительная
оптическая плотность этого раствора , измеренная по отношению к раствору
сравнения , содержащему 1 мг Zr в 50,0 мл ,
оказалась Ах(отн.)=0,38.
Относительные
оптические плотности четырех стандартных растворов , содержащих в 50,0 мл 1,2
;1,5 ; 1,7 ; 2,0 мл раствора с концентрацией 1 мг/мл Zr,оказались
соответственно 0,28 ; 0,35 ; 0,40 и 0,47.
Постройте калибровочный
график в координатах Аотн. - СZr и определить
процентное содержание циркония в сплаве.
Дано:
m=0,0984г
V0 = 100мл
Vал = 2 мл
Ах отн.
= 0,38
Сст=1
мг/мл
Решение:
Концентрация в
стандартных растворах:
|
Vст
|
1,2
|
1,5
|
1,7
|
2
|
|
С,мг/мл
|
0,024
|
0,03
|
0,034
|
0,04
|
|
Аотн
|
0,28
|
0,35
|
0,4
|
0,47
|


По
калибровочному графику находим:
сх =
0,0325 мг/мл
сZr =
mZr = V0 * сZr = 100 * 0.8125
= 81.25 мг
Ответ:
Задание 85.
Удельное
вращение плоскости поляризации α 40% -ного раствора яблочной кислоты при
100С равна ( +1,310) , при 200С равна (
+0,54 0) и при 300С равна ( -0,120).
Определить угол вращения плоскости поляризации раствора , содержащего 5,55 г
яблочной кислоты в 50 мл при250С ,если длина трубки 15 см.
Дано:
[α]10 =
1.31
[α]20 =
0.54
[α]30 =
-0.12
m = 5.35г
V = 50 мл
t = 250C
l = 15 см = 1,5
дм
Решение:
Угол вращения
плоскости поляризации:
Удельное
вращение определим по калибровочному графику:
|
t,0C
|
10
|
20
|
30
|
|
[α]
|
1.31
|
0.54
|
-0.12
|


По
калибровочному графику находим:
[α]25 =
0,2
Ответ:
α=0,03210
Задание 105.
Что является
аналитическим сигналом в кинетических методах анализа? Привести уравнение ,
связывающее скорость реакции с концентрацией анализируемого вещества.
После
отбора и подготовки пробы наступает стадия химического анализа, на которой и
проводят обнаружение компонента или определение его количества. С этой целью
измеряют аналитический сигнал. В большинстве методов аналитическим
сигналом является среднее из измерений физической величины на заключительной
стадии анализа, функционально связанной с содержанием определяемого компонента.
В
случае необходимости обнаружения какого-либо компонента обычно фиксируют появление
аналитического сигнала – появление осадка, окраски, линии в спектре и т.д.
Появление аналитического сигнала должно быть надежно зафиксировано. При
определении количества компонента измеряется величина аналитического
сигнала – масса осадка, сила тока, интенсивность линии спектра и т.д.
Зависимость скорости реакции от
концентрации реагирующих веществ выражается законом действующих масс (К.
Гульдберг, П. Вааге, 1867 г.): скорость химической реакции при данной
температуре пропорциональна произведению концентраций реагирующих веществ, в
степенях, равных стехиометрическим коэффициентам в уравнении реакции.
,
а скорость обратной реакции
,
Где: сА, сB, cC, cD - концентрации
реагирующих веществ; К1 и К2 - коэффициенты
пропорциональности, называемые константами скорости химической реакции.
Константа скорости химической реакции -
это ее скорость при единичных концентрациях реагирующих веществ. При постоянной
температуре константа скорости зависит только от природы реагирующих веществ и
не зависит от их концентрации, что позволяет сравнивать скорости различных
реакций путем сравнения их констант. Зависимость К = f (Т)
выражает уравнение Аррениуса ℓnK=A/T+B (A и В - константы), а также эмпирическое
правило Вант-Гоффа: при увеличении температуры на каждые 10°С скорость
химической реакции увеличивается в 2…4 раза.
Состояние системы реагирующих веществ,
при котором скорость прямой и обратной реакции равны между собой, называется химическим
равновесием:
,
где квадратными скобками показаны
концентрации реагирующих веществ в момент равновесия.
Константу КР называют константой
химического равновесия, а уравнение для ее вычисления выражает ЗДМ
для химического равновесия: при установившемся химическом
равновесии отношение произведения концентрации продуктов к произведению концентрации
реагирующих веществ, в степенях, соответствующим стехиометрическим
коэффициентам, есть величина постоянная для данной реакции при определенных
условиях.
Физический смысл КР в том,
что она показывает во сколько раз V1 > V2 или в
сторону какой реакции смещено равновесие. Для аналитических целей чаще всего
используют реакции, имеющие большую величину КР и практически нацело
смещенные в прямом направлении.
Задание 126.
Для определения
содержания палладия в растворе методом фиксированной концентрации использовали
реакцию α-нафтиламина нитрат-ионами , катализируемую соединениями
палладия. Определить концентрацию палладия ( мкг/мл ) в исследуемом растворе,
если при измерении времени τ, необходимого для достижения оптической плотности
раствора с концентрацией палладия 2,8 мкг/мл , получили следующие результаты :
|
Параметры
|
Стандартные
растворы
|
Исследуемый
раствор
|
|
1
|
2
|
3
|
4
|
5
|
|
СPd,мкг/мл
τ , мин
|
1,0
18,2
|
2,3
7,7
|
2,8
6,3
|
3,5
5,1
|
4,5
4,0
|
-
7,1
|
Решение:
|
СPd,мкг/мл
|
1
|
2,3
|
2,8
|
3,5
|
4,5
|
|
τ , мин
|
18,2
|
7,7
|
6,3
|
5,1
|
4
|
|
1/τ , мин-1
|
0,05
|
0,13
|
0,16
|
0,20
|
0,25
|


По заданным
данным стандартного раствора строим калибровочный график.
По графику
определяем, что при 1/τ = 1/7,1 = 0,141 мин-1 , СPd = 2,5 мкг/мл
Ответ: СPd = 2,5 мкг/мл
Задание 157.
От каких
факторов зависит потенциал полуволны? Как влияют на его величину солевой фон
,рН, добавление веществ , способных к комплексообразованию с электроактивным
ионом , природа растворителя , температура?
Потенциалом полуволны называется то значение потенциала, при
котором происходит возрастание силы тока до половины предельного значения.
Потенциал
полуволны можно определить с помощью уравнения полярографической волны
Где:
tap — предельная сила тока; n — число электронов, участвующих в электрохимической
реакции.
Если
откладывать на оси абсцисс значения Е, а на оси ординат
то
построенный график представляет собой прямую, отсекающую на оси абсцисс равный
потенциалу полуволны, так как при

Потенциал
полуволны можно определить и другим, более простым способом. Для этого на
полярограмме из середины волны опускают перпендикуляр на ось абсцисс.
Расстояние от точки пересечения перпендикуляра с осью абсцисс до начала
координат paвнo
Ei/t- Однако этот способ определения менее точен.
Потенциал полуволны E1/2 характеризует
природу восстанавливающегося катиона и не зависит от его концентрации. Для
разных катионов, полярографируемых в одних и тех же условиях, он неодинаков,
что и позволяет открывать различные катионы в растворе. Потенциал полуволны E1/2
зависит, кроме природы самого восстанавливающегося вещества, от природы
растворителя, фонового электролита, состава и pH анализируемого раствора,
присутствия веществ комплексообразователей, температуры.
Величина потенциала полуволны
открываемого или определяемого катиона должна быть меньше величины потенциала
разряда ионов фонового электролита.
В табл. 1 приведены в качестве примера
значения потенциала полуволны для некоторых катионов с указанием состава фона.
Из таблицы следует, что состав фона и pH раствора существенно влияют на
величину потенциала полуволны.
Таблица 1. Значения потенциала полуволны
E1/2 некоторых катионов металлов
(относительно н.к.э.)
|
Электродная
реакция
|
E1/2, B
|
Фоновый электролит (состав фона)
|
|
As3+ + 3e →
As0
Cd2+ + 2e →
Cd0
Cd2+ + 2e →
Cd0
Co2+ + 2e →
Co0
Cu2+ + 2e →
Cu0
Cu2+ + 2e →
Cu0
Fe2+ + 2e →
Fe0
Mn2+ + 2e →
Mn0
Ni2+ + 2e →
Ni0
Ni2+ + 2e →
Ni0
Zn2+ + 2e →
Zn0
Zn2+ + 2e →
Zn0
Zn2+ + 2e →
Zn0
|
-0,70
-0,60
-0,79
-1,03
0
-0,38
-1,37
-1,54
-1,10
-1,06
-1,02
-1,33
-1,49
|
1 М H2SO4+0,01 % желатина
0,1 М HCl
6 М HCl
1 М KSCN
0,5 М H2SO4+0,01 % желатина
1 М Na2C4H4O6 (pH = 12).
1 М
HClO4 (pH = 0-2).
0,5 М NH3+0,5
М NH4Cl
HClO4 (pH = 0-2) М
KCl
1 М NH3+0,2
М NH4Cl+0,005
% желатина
1 М KCl
1 М NH3+0,2 М NH4Cl+0,005 % желатина
1 М NaOH
|
Задание 177.
При титровании
раствора BaCl2 0.200н. H2SO4 получили
следующие данные по шкале высокочастотного прибора. Построить график
титрования и определить содержание BaCl2 (г) в
исследуемом растворе.
|
V H2SO4,мл
|
2,0
|
4,0
|
6,0
|
8,0
|
10,0
|
|
Показания прибора
|
68,3
|
50,5
|
34,5
|
28,0
|
21,5
|
Решение:
По кривой
титрования находим что:
V экв. = 6
мл
По закону эквивалентов:
Ответ: mBaCl2
= 0.125г
Задание 195.
Построить кривые
потенциометрического титрования в координатах E-V и ΔE/ ΔV – V и рассчитать
концентрацию MgBr2 в растворе
(г/л) , если при титровании 20,00 мл анализируемого раствора 0,1н. Hg(NO3)2 (fэкв. =0,5) получили:
|
V Hg(NO3)2 ,мл
|
10,0
|
15,0
|
18,0
|
19,0
|
19,50
|
19,90
|
20,00
|
20,10
|
|
Е,мВ
|
501
|
526
|
552
|
570
|
589
|
629
|
704
|
737
|
Решение:
Рассчитываем
исходные данные для построения графиков ,и заносим в таблицу:
|
V
|
10.0
|
15.0
|
18.0
|
19.0
|
19.50
|
19.90
|
20.00
|
|
ΔV
|
5.0
|
3.0
|
1.0
|
0.5
|
0.4
|
0.1
|
0.1
|
|
E
|
501
|
526
|
552
|
570
|
589
|
629
|
704
|
|
ΔE
|
25
|
26
|
18
|
19
|
40
|
75
|
33
|
|
ΔE/ΔV
|
8.67
|
18
|
38
|
100
|
750
|
330
|
Строим графики:


По графику определяем объем Hg(NO3)2 в точке
эквивалентности V=19,9мл
Определим
концентрацию кислоты:
Ск= Сщ.Vщ/Vк=0,1.19,9/20,0=0,0995 г-экв/л
Задание 236.
Электролизом
раствора ZnSO4 осаждено на
катоде за время τ=1310 сек 0,1200 г цинка. Какую силу тока необходимо
поддерживать при электролизе , если выход по току составил 90%?
Дано:
mZn
= 0.12г
τ =1310 сек
η= 90%
Найти I
Решение:
По закону электролиза
Фарадея:
Ответ: I=0,302 А
Задание 264.
Каковы области
применения , достоинства и недостатки: а) тонкослойной хроматографии; б)
осадочной хроматографии; в) ионообменной хроматографии?
а) Метод тонкослойной
хроматографии (ТСХ), получивший в настоящее время широкое распространение,
был разработан Н. А. Измайловым и М. С. Шрайбер еще в 1938 г.
В методе ТСХ неподвижная
твердая фаза тонким слоем наносится на стеклянную, металлическую или пластмассовую
пластинку. В 2...3 см от края пластинки на стартовую линию вносят пробу
анализируемой жидкости и край пластинки погружают в растворитель, который
действует как подвижная фаза жидкостной адсорбционной хроматографии. Под
действием капиллярных сил растворитель движется вдоль слоя сорбента и с разной
скоростью переносит компоненты смеси, что приводит к их пространственному
разделению. Диффузия в тонком слое происходит в продольном и поперечном
направлениях, поэтому процесс следует рассматривать как двумерный.
Сорбционные свойства системы в
ТСХ характеризуются подвижностью Rf, которая рассчитывается из экспериментальных данных по
уравнению:
Rf = Х1/ Хf (1)
Где: Х1 — расстояние от стартовой
линии до центра зоны: Хf—расстояние, пройденное за
это же время растворителем.
Строго говоря, при определении
подвижности вместо расстояний Х1 и Хf следовало бы учитывать скорость движения соответствующих веществ в
тонком слое, так как в теории ТСХ принято считать, что скорость движения центра
зоны хроматографируемого вещества составляет строго определенную долю скорости
движения растворителя. Однако измерение этих величин затруднительно, а рассчитанные
значения , также характеризуют подвижность. По смыслу определения Rf
( как свойство, характерное для данной системы, не
должно зависеть от концентрации и других факторов. Опыт показывает, однако, что
воспроизводимость и постоянство значений не всегда достаточны, особенно при
анализе неорганических ионов. На Rf
( влияет качество и активность сорбента, его влажность,
толщина слоя, качество растворителя и другие факторы, не всегда поддающиеся
достаточному контролю. На практике часто пользуются относительной величиной:
Rfотн= Rf,х/ Rf,ст
Где: Rf,ст также рассчитывается по уравнению
(1).
Стандартное вещество
(свидетель) в том же растворителе наносится на стартовую линию рядом с
анализируемой пробой и, таким образом, хроматографируется в тех же условиях.
Подложки для
сорбента (пластинки) обычно изготовляют из стекла, алюминиевой фольги или
полиэфирной пленки. Одно из достоинств пленки состоит в том, что она прозрачна
примерно до 320 нм и это позволяет проводить прямое фотометрирование многих
веществ непосредственно в слое.
Сорбент может быть нанесен на
подложку в виде пасты (закрепленный слой), тонкого порошка (незакрепленный
слой) или быть приготовленным при обжиге силикагеля на стеклянной пластине.
В качестве сорбента, в ТСХ
применяют силикагели, оксид алюминия, крахмал, целлюлозу и некоторые другие
вещества с высокой адсорбционной способностью. Для характеристики сорбционной
активности оксида алюминия часто используется шкала Брокмана, составленная по
стандартного набора красителей. Эффективно применяются в ТСХ в качестве
сорбентов жидкие иониты и другие вещества, обладающие ионообменными свойствами
и свойствами молекулярных сит (например, сефадексы).
Выбор растворителя зависит от
природы сорбента и свойств анализируемых соединений. Часто применяют смеси
растворителей из двух или трех компонентов. Например, при хроматографировании
аминокислот используют смесь н-бутанола с уксусной кислотой и водой, при
анализе неорганических ионов — водные буферные растворы, создающие постоянное
значение рН.
б
) Осадочная хроматография — метод хроматографии, основанный на
способности разделяемых веществ образовывать малорастворимые соединения с
различными произведениями растворимости. Осадочная
жидкостная хроматография основана на
различной растворимости осадков, образующихся при взаимодействии компонентов
анализируемой смеси с реагентом-осадителем.
В
качестве неподвижной фазы выступает инертный носитель, покрытый слоем
осадителя; разделяемые вещества, находящиеся в подвижной фазе, вступают во
взаимодействие с осадителем и образуют малорастворимые вещества — осадки. При дальнейшем
пропускании растворителя происходят поочерёдно: растворение этих осадков,
перенос вещества по слою неподвижной фазы, снова осаждение и т. д.
При этом скорость перемещения осадка по неподвижной фазе пропорциональна его произведению
растворимости (ПР). Хроматограммой в данном случае будет являться распределение
осадков по слою носителя.
В
качестве примера можно привести разделение галогенид-ионов на носителе (силикагель, целлюлоза и т. д.),
пропитанном солью серебра.
Можно
использовать для разделения осадков их неодинаковую растворимость в различных
растворителях или в растворах с различной ионной силой.
Реализуется
как в колоночном, так и в плоскостном варианте.
в) Ионообменная хроматография
основана на обратимом стехиометрическом обмене ионов, находящихся в растворе,
на ионы, входящие в состав ионообменника. Хотя явление, известное в настоящее
время как ионный обмен,
фактически было известно с середины прошлого века, широкое применение ионообменных
процессов в практике началось после создания синтетических ионообменников — так
называемых ионообменных смол или и о н и т о в. Используемые
ранее естественные ионообменники (различные алюмосиликаты и другие соединения)
не обладали достаточной воспроизводимостью свойств, не были химически
устойчивыми и т. д. и поэтому существенного практического значения не имели.
Применяемые в
настоящее время синтетические ионообменники лишены многих недостатков,
присущих естественным ионообменникам, и обладают рядом важных достоинств: они
имеют высокую обменную емкость и воспроизводимые ионообменные и
другие свойства, устойчивы к действию кислот и оснований, не разрушаются в
присутствии многих окислителей и восстановителей и т. д. Обычно синтетический
ионообменник представляет собой высокополимер, например поперечно-сшитый
полистирол, содержащий различные функциональные группы, которые и определяют
наиболее характерные свойства смол. Известны также синтетические неорганические
иониты, например различные пермутиты, активированный оксид алюминия, гели на
основе соединений железа или соединений
циркония и т. д. Однако
органические ионообменные смолы имеют намного большее практические применение.
Методы
ионообменной хроматографии используются преимущественно для разделения ионов.
Количественные определения компонентов после разделения могут быть выполнены
любым подходящим методом.
Простейшая методика
ионообменного разделения состоит в поглощении компонентов смеси ионитом и
последовательном элюировании каждого компонента подходящим растворителем.
Например, катионы щелочных
металлов легко элюируются разбавленным раствором соляной кислоты (0,1 М НС1).
Выходная кривая показывает эффективность этого разделения. Элюирование
раствором 0,1 М НС1 позволяет легко разделить Nа+ и К+.
В качестве другого примера
можно указать на методику разделения ионов циркония (IV) и гафния (IV). Для
разделения эти катионы сначала переводят в анионные сульфатные комплексы,
которые поглощают анионитом. При последующем элюировании 1 М раствором Н2SО4 содержащим
сульфат натрия, происходит их полное разделение: сначала вымывается гафний, а
затем цирконий.
Применение ионообменной
хроматографии к анализу смеси лантаноидов с использованием в качестве элюентов
растворов лактата, цитрата, ЭДТА и других привело к разработке эффективного
способа разделения этих элементов. На основе полученных данных была предложена
и успешно осуществлена на практике технологическая схема промышленной переработки руд
лантаноидов.
Задание 279.
Рассчитать
процентный состав смеси газов по следующим данным , полученным при газовой
хроматографии:
|
Газ
|
бензол
|
толуол
|
этилбензол
|
|
Площадь пика S,мм2
|
20,6
|
22,9
|
30,5
|
16,7
|
|
Поправочный
коэффициент , k
|
0,78
|
0,79
|
0,82
|
0,84
|
Массовая доля
компонента рассчитывается по формуле:
Ответ:
бензол-21,95%; толуол – 24,72%; этилбензол – 34,17%; кумол – 19,16%.