Разработка приёмника радиолокационной станции обнаружения
Московский Авиационный Институт
Пояснительная записка
к курсовому проекту
по предмету:
«Разработка приёмника радиолокационной станции
обнаружения»
Выполнил:
Vanish588
Проверил:
Выборный В. Г.
Москва 2010г.
Содержание
Введение
3
Исходные данные для
расчёта 4
1 Выбор и обоснование структурной
схемы приёмника 5
1.1 Определение параметров
структурной схемы приёмника 6
1.1.1 Определение
эквивалентных параметров антенны 6
1.1.2 Расчет полосы пропускания линейного тракта
РПрУ 6
1.1.3 Определение структуры
радиотракта 8
1.1.4 Обеспечение необходимого усиления трактом ВЧ
9
1.1.5 Обеспечение
необходимого усиления трактом НЧ 10
1.1.6 Окончательная структурная схема приёмника 10
2 Расчёт усилителя промежуточной
частоты 10
3 Конструкция
приёмника 18
Заключение
19
Список
литературы
20
Приложение Схема электрическая
принципиальная узла УПЧ 21
Введение
Радиолокационный
приёмник является составной частью радиолокационных станций,
предназначенных для обнаружения, определения координат и параметров движения
удаленных объектов (радиолокационных целей). Для извлечения информации
используется зондирование пространства радиосигналами, с последующим приемом
отражённой от целей электромагнитной энергии, причем информация о целях может
содержаться в изменении во времени амплитуды (или отношении амплитуд) и
частоты (или спектра) сигналов. Такой способ носит название активной
радиолокации с пассивным ответом. Передатчик и приёмник в таких системах, как
правило, работают на общую антенну.
Различают РЛС импульсного
и непрерывного излучения. В РЛС с непрерывным излучением используются немодулированные
и ЧМ колебания. Однако наибольшее применение нашли импульсные приемопередающие
радиолокационные станции, излучающие в направлении цели короткие зондирующие
СВЧ-радиоимпульсы с фиксированным периодом следования, длительностью
импульсов, амплитудой и несущей частотой, что обеспечивает высокую разрешающую
способность и точность при измерении дальности. Радиоприемные устройства
таких станций служат для приема части энергии излучаемых радиоимпульсов,
отраженной от цели.
Исходные данные для расчёта
1. Спроектировать приёмник
радиолокационной станции обнаружения
2. Составить и рассчитать структурную
схему приёмника.
3. Провести электрический расчёт узла
УПЧ.
4. Исходные данные для
проектирования:
- рабочий диапазон
частот:
МГц
см
- вид сигнала: импульсный
мкс
- чувствительность:
4∙10
Вт
- ослабление побочных
каналов приёма:
дБ
- изменение уровня
входного сигнала: 60 дБ
- уровень выходного
сигнала и его изменение: 10 В; 4 дБ
- оконечная нагрузка: Rн=100 Ом, Сн=5 пФ
- источник
электроэнергии: сеть 220 В
- условия эксплуатации:
Токр= -10…+40
С
5. Узел для
конструирования: плата УПЧ
6. Дополнительные
требования: использование микросхем
1 Выбор и обоснование
структурной схемы приёмника
Существенное улучшение всех показателей РПрУ достигается на основе принципа
преобразования частоты принимаемого сигнала - переноса его в частотную
область, где он может быть обработан с наибольшей эффективностью. Самое широкое
распространение во всех радиодиапазонах получила построенная на этом принципе
схема супергетеродинного приемника. Эта схема в настоящее время наиболее
совершенна.
Приемники супергетеродинного типа позволяют успешно решать задачи получения
требуемой фильтрации принимаемого сигнала, обеспечение заданного усиления,
решение проблемы селективности, простоты перестройки, которая обеспечивается с
помощью простых колебательных систем преселектора.
Относительная широкополосность приемников импульсных
сигналов позволяет, как правило, строить такие приемники с однократным
преобразованием частоты.
Из выше сказанного можно сделать вывод, что построение
проектируемого РПрУ целесообразно выполнять по супергетеродинной схеме,
наилучшим образом удовлетворяющей заданным техническим требованиям.
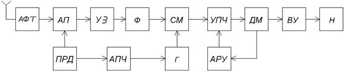
|
Структурная схема приемника с однократным
преобразованием частоты:
АФТ – антенно-фидерное устройство; ВЦ - входная
цепь; СМ - смеситель; Г - гетеродин; ДМ - демодулятор; Н - нагрузка; АРУ -
автоматическая регулировка усиления; АПЧГ - автоматическая подстройка частоты
гетеродина; ПРД – передатчик.
|
Амплитуда сигналов, поступающих на вход
радиолокационного РПрУ, изменяется в широких пределах, т.к. мощность отраженных
от цели сигналов обратно пропорциональна четвертой степени расстояния до цели
(которое может меняться) и, кроме того, зависит от типа цели и её эффективной
поверхности рассеивания. Работа РЛС в реальных условиях сопровождается
действием разного рода активных и пассивных нестационарных помех естественного
и искусственного происхождения, уровень мощности которых зачастую значительно
(на 20..60 дБ) превышает уровень полезного сигнала, а параметры априорно
неизвестны. Воздействие помех еще больше расширяет диапазон изменения сигналов,
поступающих в антенну РЛС.
1.1 Определение параметров
структурной схемы приёмника
Проектируемый
радиолокационный приемник имеет настроенную антенну, т.е. её сопротивление
чисто активно и равно сопротивлению фидера:
Ом
Относительная
шумовая температура антенны:
;
где T0 -
стандартная температура приёмника Т0=290 0 К ;
ТА - абсолютная шумовая температура
антенны.
Для
нашей приемной антенны примем: ТА =140 0 К.
Для импульсных сигналов полоса
пропускания приемника выбирается исходя из получения максимального отношения
сигнал/шум на выходе радиотракта. Такая полоса называется оптимальной и
определяется как:
кГц
Ширина полосы пропускания линейного
тракта П складывается из ширины спектра принимаемого сигнала Пс,
доплеровского смещения частоты сигнала fд и запаса полосы, требуемого для учета нестабильностей
и неточностей настроек приемника Пнс:
Доплеровское
смещение:
кГц,
где Vц - скорость
цели относительно антенны РЛС (у нас 600 м/с);
с - скорость света в вакууме.
Запас
полосы для учёта нестабильностей:
где бс - относительная нестабильность
несущей частоты принимаемого сигнала; при использовании в передатчике
кварцевой стабилизации частоты несущей можно получить бс =(10-5...10-6)
бг- относительная нестабильность частоты
гетеродина, которую на данном этапе можно оценить лишь приблизительно.
Выбрав транзисторный однокаскадный гетеродин с кварцевой
стабилизацией, можно получить бг=10-6
бпр - относительная
погрешность и нестабильность настройки контуров тракта промежуточной частоты,
принимаем бпр=(0,0003...0,003);
бн - относительная нестабильность частоты,
вызванная неточностью настройки контуров гетеродина, бн =
(0,001...0,01);
Промежуточная
частота выбирается исходя из условий:
МГц
где
Sзкз - заданное ослабление зеркального канала, которое
принимаем равным 25 дБ (320 раз);
n - число колебательных
систем в преселекторе, n=2,
Qк – добротность
резонансного контура в ППФ в радиотракте, для обеспечения требований
избирательности по зеркальному каналу.
В
РЛП миллиметрового и сантиметрового диапазонов промежуточная частота равна либо
30, либо 60 МГц. Выберем промежуточную частоту из стандартного ряда:
fпр=60 МГц
Частота
гетеродина: fг=fc-fпр=7,5-0,06=7,44
ГГц
=
= 15 МГц
Пнс>(1,2...1,5)×Пс, следовательно придётся использовать
частотную автоматическую подстройку частоты (ЧАПЧ) или фазовую
автоподстройку частоты (ФАПЧ).
При использовании ЧАПЧ с Кчапч=10
полоса пропускания приемника:
кГц .
При использовании ФАПЧс Кфапч
Þ ~ полоса пропускания приемника:
МГц .
ПФАПЧ получилась уже, чем ПЧАПЧ,
поэтому будем использовать ЧАПЧ.
Полоса пропускания:
МГц
Отношение
сигнал/шум связано с флуктуационной ошибкой соотношением:
, где полоса DFэ =(5..10)/2p »2
Необходимо
учитывать потери в отношении сигнал/шум, возникающие из-за следующих причин:
потери при распространении радиоволн r1 = 1...3
дБ
потери в антенно-фидерном тракте r 2 = 1 дБ
потери при амплитудном детектировании r 3 = 1...5
дБ
потери на квантование r 4 = 2 дБ ( при двухуровневом квантовании )
Суммарный коэффициент потерь:
r = Sri = 5...10
дБ.
Примем r =
10 [дБ] = 3,16 [раз]
Отношение
сигнал/шум с учетом потерь:
(Рс/Рш)`= (Рс/Рш)×r = 0,45×3,16 » 1,42
Расчет предельно допустимого
коэффициента шума:
где:
Кр.ф. @ 0,8 - коэффициент передачи фидера по мощности.
Пш = 1,1×П = 1,1×0,715=0,786 МГц.
К - постоянная Больцмана К=1,38×10-23
Дж/К.
АФТ представляет из себя волновод соединяющий антенну
с последующими каскадами. Оценим коэффициент шума линейного тракта РПрУ, после
чего решим вопрос о включении или невключении УРЧ в состав радиотракта.
Также
в радиотракте следует установить устройство защиты УЗ, которое защитит приёмник
от протикающей через антенный переключатель из передатчика ПРД 1% мощности
излучаемого сигнала (≈10Вт). УЗ представляет из себя полупроводниковый
диодный ограничитель.
Коэффициент
шума радиотракта без использования усилителя радиочастоты:
Все коэффициенты шума
ориентировочно:
Швц=1,3
Квц=0,8 коэффициент передачи входной цепи
Шпч=5
Кпч=8 (при использовании транзисторного ПЧ)
Шупч=10
КФ=0,8
коэффициент передачи фильтра
< Шдоп=28Þ можно обойтись без УРЧ.
Обеспечение достаточного усиления радиосигнала трактом
ВЧ необходимо для нормальной работы детектора, а так же получения низкого
уровня шума. Основное усиление обеспечивается в тракте ПЧ. Основными
требованиями к усилительным каскадам линейного тракта являются их достаточная
устойчивость (возможно меньшее число каскадов) и построение на основе наиболее
экономичной и современной электронной базы.
Коэффициент усиления
линейного тракта:
,
где
RА -
активное сопротивление антенны;
Uпр - амплитуда сигнала на выходе УПЧ;
Требуемая
амплитуда сигнала на выходе УПЧ определяется амплитудой напряжения, необходимой
для нормальной работы детектора: Uвых=1В.
Расчет коэффициента усиления
линейного тракта:
Коэффициент
передачи по мощности для транзисторного преобразователя частоты
примем
равным:
КРпч = 8
Амплитуда
напряжения на входе УПЧ :









Uвх= 4Рвх×Rвх = 2×Ра×Квц×Кпч×Rвх = 2×4×10-13×0,8×8×103 = 0,03 мВ.
Коэффициент усиления УПЧ по
напряжению:
Купч=Uвых/Uвх=1/(0,3×10-4)=33,3×103
1.1.5 Обеспечение необходимого усиления трактом НЧ
Коэффициент передачи диодного
детектора KД примем равным 0,7. Следовательно, коэффициент усиления
видеоусилителя КВУ будет равен:
1.1.6
Окончательная структурная схема приёмника
2 Расчёт
усилителя промежуточной частоты
Начнём расчёт усилителя в выбора транзистора.
Для УПЧ используют высокочастотные биполярные транзисторы.
В качестве транзистора выбираем 2N2478, т.к.
МГц.
= 120 МГц
и выполняется условие 
(2-3)
Параметры транзистора 2N2478:
= 200МГц, 0.5
=
60МГц,
= 30 мА/В, g
= 2 мСм,
С
= 70пФ, g
=
6мкСм, С
= 8пФ, С
= 2пФ, h
= 50, Nм=
5дБ, Iкбо= 2мкА.
Для обеспечения избирательности по
соседнему каналу применяют фильтр сосредоточенной селекции (ФСИ) на ПЧ, т.к.
ФСИ может дать лучшую избирательность , чем УПЧ с распределенной
избирательностью. При этом каскад УПЧ содержит каскад с ФСИ, который
обеспечивает требуемую избирательность и ряд апериодических или
слабоизбирательных каскадов, создающих основное усиление на ПЧ.
Исходные данные для расчёта:
= 60 МГц –
промежуточная частота,
П= 15.75 МГц – полоса пропускания,
=35×103 – коэффициент усиления УПЧ,
Особые требования по избирательности по соседнему
каналу на предъявляются.
Принципиальная схема каскада с ФСИ.
Расчёт:
Определим величину 
:

=
;
где
- промежуточная
частота,
- собственное затухание контура,
П - полоса пропускания УПЧ.
d =
0.004, П = 15.75 МГц.

=
=
0.03
Задаемся числом звеньев и в качестве начального
приближения выбираем n= 4.
Находим ослабление на границе полосы
пропускания, обеспечиваемое одним звеном:
,
где
- ослабление на границе полосы пропускания.
= 3дб.
По графику для 
= 0.03 и
= 0.75 находим параметр
.
Из
графиков параметр
получился равным
= 0.9.
Определим разность частот среза:

=
=
= 17.5 МГц.
Определим вспомогательные величины y
и
:
y
=
=
y
=
1.8
=
По графику находим для
= 0.027 и y
= 1.8:
Из графиков параметр S
= 10.3 дБ.
Определяем расчетное ослабление
соседнего канала, задавшись величиной
:
S
= n
,
где DS
-
ухудшение избирательности из-за рассогласования фильтра с источником сигнала и
нагрузкой.
S
= 4
=
38.2 дБ
Особых
требований к избирательности по соседнему каналу не предъявлялось, будем
считать, что S
=
38.2 дБ нам подходит.
Для расчета элементов фильтров зададимся
величиной номинального характеристического сопротивления: Wo= 20кОм.
Вычисляем коэффициенты трансформации по
формулам:
m
=
m
=
= 20∙10
∙6∙10
=
0.12
1
,
= 20∙10
∙2∙10
=
40
1
.
По графикам определяем коэффициент
передачи ФСИ для n = 4,
= 0.027
Из графика коэффициент передачи ФСИ получился равным,
Кпф= 0.75.
Получилось что
, то
для согласования фильтра с коллекторной цепью параллельно входу фильтра
включаем шунтирующий резистор с проводимостью:
См
→
Ом
Рассчитаем коэффициент усиления каскада
с ФСИ:
Рассчитываем элементы, образующие звенья ФСИ:

-
коэффициент связи (0.7-0.9).
Расчёт параметров усилительных каскадов:
Площадь усиления:
,
где
- коэффициент
усиления одного каскада (
),
- требуемая верхняя
граничная частота (
).
Гц
Гц
Определим число каскадов из номограмм,
где построены зависимости, отношения площади усиления к верхней частоте
усиления
, от коэффициента усиления АУ
. При этом
-
верхняя граничная частота с учётом числа каскадов
.
в нашем случае равно
.

Гц
Из номограмм видно, что нам потребуется
два каскада усиления после каскада ФСИ.
Будем использовать тот же транзистор,
что и в каскаде с ФСИ.
Для требуемого усиления (35∙
) в УПЧ
необходимо 3 каскада. Тогда коэффициент усиления составит:
Напряжение на выходе 3-х каскадного УПЧ с ФСИ
составит:
В
Превышением усиления в нашем случае можно
пренебречь.
Исходные данные для расчёта усилителя:
П= 15.75 МГц – полоса пропускания,
Гц – верхняя
граничная частота с учётом количества каскадов,
- диапазон рабочих
температур,
|
Технологический параметр для кремния:
|
|
|
Коэффициент температурного
сдвига:
|
|
|
Ток эмиттера:
|
А
|
|
Обратный ток коллектора:
|
А
|
|
Источник питания:
|
В
|
|
Сопротивление коллектора:
|
Ом
|
|
Транзистор:
|
2N2478
|
|
Напряжение коллектор-эмиттер:
|
В
|
|
Напряжение эмиттер-база:
|
В
|
|
Коэффициент усиления по
напряжению:
|
|
Изменение
обратного тока коллектора:
Ток
делителя:
Сопротивления
в цепи базы:
Сопротивление
в цепи эмиттера:
Емкость
в цепи эмиттера:
- влияние ёмкости в цепи
эмиттера.
Разделительные
ёмкости:
Сопротивление
в цепи коллектора:
Принципиальная
схема трёхкаскадного УПЧ с ФСИ приведена в приложении.
3 Конструкция приемника
Основной задачей конструирования
приемника является обеспечение работоспособности устройства с параметрами
заложенными в его электронный расчет.
Необходимо добиться такого взаимного
расположения каскадов и узлов на печатной плате, чтобы минимизировать
паразитные связи; обеспечить жесткость конструкции, коррозийной и стойкости
устройства; обеспечить удобство управления, контроля, ремонта и транспортировки;
уменьшить габаритные размеры и массу; согласовать конструктивно приемник с
аппаратурой, с которой он работает.
Для уменьшения паразитных связей
необходимо тщательно продумать размещение каскадов. Используют размещение схемы
‘в линейку’, либо ‘по периметру’.
Для обеспечения жесткости конструкции
печатные платы крепятся на прочном основании. В профессиональных устройствах,
имеющих блочную конструкцию такие рамы в виде кассет вставляются в кожухи.
При использовании приемника в тяжелых
климатических условиях отдельные элементы и блоки помещают в специальные
герметические кожухи.
При работе приемника необходим отвод
тепла через естественную конвенцию воздуха.
Проектирование внешнего вида приемника
является одной из важнейших задач и должно производиться в содружестве с
художником. Форма и расположение ручек управления влияет на работоспособность
оператора.
В процессе эскизного проектирования, мы
получили практические знания в области проектирования радиоприёмных устройств.
Пробовали и применяли различные способы подхода к выбору структурных схем
блоков, узлов и радиоприёмника в целом, учитывая особенности каждой отдельной
схемы, исходя из области её применения. Рассчитывали отдельный блок приёмника,
что позволило более точно понять работу этого блока, и его вклад в общую работу
схемы. Изучили особенности работы радиолокационного приёмника.
Список литературы
1.Методические
указания по проектированию радиоприёмных устройств. - Бакалов В.П., Белоусов
Н.Н., Выборный В.Г (под редакцией Протопопова А.С.) Москва1999г
2. Проектирование РПУ. | Под редакцией Сиверса. 1976г. |
3.Расчет радиоприемников. | Бобров Н.В. и др. 1971г. |
4.Справочник по п.п. диодам, транзисторам и интегральным микросхемам.
5.Проектирование радиолокационных приемных устройств.| Под редакцией
Соколова М. А. 1984г.