Методы и средства отображения информации

  • Вид работы:
    Реферат
  • Предмет:
    Радиоэлектроника
  • Язык:
    Русский
    ,
    Формат файла:
    MS Word
    889,93 kb
  • Опубликовано:
    2010-05-05
Вы можете узнать стоимость помощи в написании студенческой работы.
Помощь в написании работы, которую точно примут!

Методы и средства отображения информации

Министерство образования и науки Российской Федерации

Федеральное агентство по образованию

ГОУ ВПО Магнитогорский государственный технический университет

им.  Г. И. Носова




Реферат


 

На тему:

«Методы и средства отображения информации»








                                                                                   





           

Магнитогорск 2008

 

1.   МЕТОДЫ ОТОБРАЖЕНИЯ ИНФОРМАЦИИ

1.1   ЭЛЕКТРОННО-ЛУЧЕВЫЕ ИНДИКАТОРЫ

Электронно-лучевые индикаторы, или, как их чаще называют, электронно-лучевые трубки (ЭЛТ), являются наиболее распростра­ненным и важным устройством в технике отображения информации. Работа ЭЛТ основана на создании управляемого сфокусиро­ван­ного пучка электронов, воздействующего на покрытый люмино­форным веществом экран и вызывающего свечение отдельных его участков.

Монохромные ЭЛТ. На рис. 1 приведено схематическое изо­бражение монохромной электронно-лучевой трубки с электростатической фокусировкой и электромагнитным от­клонением луча. Сама трубка представляет собой узкий стеклянный цилиндр. Внутри ци­линдра встроен набор электродов, составляющих электронно-оптическую систему, на по­верхности цилиндра расположена пара отклоняющих катушек ОК. Вакуумное пространство внутри трубки, по которому распространяется пучок электронов, может быть разделе­но на три участка. Первый участок включает в себя катод К, покрытый оксидной пленкой и излу­чающий электроны при повыше­нии его температуры с помощью отдельного нагревателя. Электроны эмиттируют с катода, когда их энергия превышает работу выхода с верхних энергетических уровней атома: эта энергия зависит как от материала катода, так и от его температуры. Освобождаясь, элек­троны имеют некоторую начальную скорость (см/с), опре­деляемую по известной формуле кинетической теории газов:

,

где  — постоянная Больцмана; Т — абсолютная температура, К; т — масса элек­трона.

Расположенный вблизи катода управ­ляющий электрод-модуля­тор М имеет потен­циал отрицательный относительно катода, по­этому через него пролетают лишь электроны, попадающие в отверстие. Этим создает­ся как бы точечный источник электронов. Управляя потенциалом на модуляторе, можно регули­ровать  интенсивность пучка.

Электроны, попадающие в конце своего пути на внутреннюю поверхность экрана Э с люминофорным покрытием, должны обла­дать достаточной энергией для возбуждения люминофора. Кроме того, светящееся пятно должно быть возможно меньшего размера, чтобы обеспечить хорошую разрешающую способность изображе­ния. Это требует соот­ветствующей фокусировки луча и его ускоре­ния, что обеспечивается несколькими элек­тродами, имеющими опре­деленные потенциалы относительно катода. В основе действия этих электродов заложены принципы электронной оптики.

Электронный луч, проходящий в среде с некоторым потенциа­лом  под углом , попадая на границу среды с потенциалом , меняет свое направление, распространяясь далее под углом . Таким образом происходит преломление электронного луча, которое подчиняется уравнению, аналогичному уравнению световой оптики:

,

где  — электронный аналог показателя преломления среды.

С помощью определенной конфигурации электродов и подбора их потенциалов можно осуществлять различные электронно-оптиче­ские эффекты: фокусировку луча, рас­сеяние, отражение и т. д. Всю систему электродов на первом участке ЭЛТ, обеспечиваю­щую формирование и усиление луча, иногда называют электронной пушкой.

На втором участке кинескопа расположена отклоняю­щая система. Действие откло­няющей системы заключается в на­правленном изменении прямолинейного пути электро­нов. Для отклонения пучка электронов может использоваться как электроста­тическое поле, так и магнитное. Для создания электростатического поля внутри трубки устанавливаются две пары элек­тродов, отклоня­ющих луч во взаимно перпендикулярных направлениях. Напряже­ния на отклоняющих электродах должны быть очень высокими, причем тем выше, чем больше скорость движения электронов, т. е. яркость пятна.

При методе электромагнитного отклонения на небольшом учас­тке электронного пучка прикладывается магнитное поле, возбужда­емое двумя парами катушек, устанавли­ваемых снаружи трубки. Одна пара катушек ОК сверху и снизу трубки отклоняет луч в го­ризонтальном направлении, другая пара по бокам трубки (на рис. 1 не показана) отклоняет луч в вертикальном направлении. Электрон, попадающий в магнитное поле, начинает двигаться по дуге и покидает участок отклонения под некоторым углом к направ­лению первоначального движения. Отметим, однако, что электромагнитные отклоняющие сис­темы обеспечивают ограниченную скорость изменения направления луча. В основном это связано с реактивными параметрами катушек.

Экран ЭЛТ покрыт слоем люминофора. На нем создается изо­бражение с требуемой яркостью, временем послесвечения и цветом. Причиной свечения является передача энер­гии от ускоренных элек­тронов луча электронам, связанным с кристаллом люминофора, в результате чего последние переходят в возбужденное состояние. При их возвращении в нормальное состояние избыточная энергия выделяется в виде света. Этот физический эф­фект называют катод­ной люминесценцией. Люминофоры обычно состоят из смеси солей кальция, кадмия, цинка и некоторых других элементов. Наиболее широкое применение нашли сульфидные люминофоры. Наиболее широкое распространение в монохром­ных трубках получили белый и зеленый цвета. Время послесвечения экрана, т. е. время, необ­ходимое для спа­дания яркости свечения от номинальной до первоначальной после пре­кращения действия электронного луча, также зависит от состава входящих в люминофор компонентов и может находиться в диапа­зоне от нескольких микросекунд до десятков се­кунд.

Другим важным физическим явлением, которое должно учиты­ваться при использо­вании ЭЛТ, является вторичная электронная эмиссия. Она заключается в испускании вторичных электронов из материала люминофора при воздействии на него пучка первич­ных электронов. По мере увеличения интенсивности пучка количество эмиттированных вторичных электронов возрастает, и при определенном уровне энергии свечение люмино­фора не увеличивается. Таким образом, существует порог максимальной яркости свето­вого пятна на экране, выше которого она не меняется с увеличением потенциала уско­ряющего электрода. Для отвода вторичных электронов на внутреннюю поверхность ко­нуса трубки наносят слой графита, находящийся под положительным потенциалом.

Цветные ЭЛТ. В ЭЛТ с теневой маской применяется метод диафрагмирования электронного луча. Маска помещена между тремя электронными пушками и трехцветным люминофором экрана. Она препятствует попаданию каждого луча на участки люмино­фора не соответствующего ему цвета.

На рис. 3 схематически показано расположение маски и экрана в цветной ЭЛТ с так называемым компланарным располо­жением пушек. Каждая из них оуществляет генерацию, фокусировку и ускорение луча. Внутри трубки пуш­ки сориентированы таким образом, что их лучи, рас­пространяясь в одной плоскости под некоторым углом друг к другу и проходя через лю­бое из отверстий в маске, попадают каждый на полоску люминофора только определен­ного цвета. Цветные пятна, возбуж­даемые лучом, благодаря близкому расположению, воспринимаются глазом как одно пятно некоторого производного цвета. Этот цвет зави­сит от пропорций основных цветов и может быть любым в об­ласти видимого спектра. Пропорции можно менять, управляя на­пряжением модулятора.

Рис. 3. Расположение электродов маски и экрана в цветной ЭЛТ с компланарным расположением пушек (К, 3, С - красный, зеленый, синий)

Цветные ЭЛТ значительно сложнее в изготовлении, чем мо­нохромные. Они требуют очень точной установки элементов в про­цессе производства. Разре­шающая способность цветных ЭЛТ ограничена количеством отвер­стий в маске.

Сложность конструкции трехпушечных ЭЛТ привела к поискам других методов реа­лизации цветных изображений на экране. Наибольшую известность здесь получили два типа трубок, так называе­мые тринитрон и элмитрон. В ЭЛТ типа «тринитрон» все элек­тронные лучи генерируются с помощью одной пушки. Она имеет три независимых катода и модулятора. В тринитроне также используется щелевая маска, однако удается получить изображение большей яркости. В обоих из описанных типах трубок предельная разре­шающая способность определяется количеством и размерами отверстий в маске. Поэтому интерес представляют цветные трубки типа «элмитрон», в которых маски не использу­ются, а цвет свечения люминофора зависит от глубины проникновения электронного луча и, следовательно, от энергии последнего.

Недостатком является то, что в схеме управления индикатором должен быть преду­смотрен быстродействующий высоковольтный переключатель. С целью избежать этого иногда используются двухпушечные ЭЛТ. Трубки типа «элмитрон» используются в тех­нике отображения, когда необходимо получить высокую разрешающую способность при ограниченном цветном диапазоне.

Запоминающие ЭЛТ, или ЭЛТ «прямого видения», используются для преобразова­ния однократно подаваемых на отклоняющую систему сигналов в видимое изображение, сохраняемое на экране в течение длительного времени. В таких трубках управляемый электронный пучок не воздействует непосредственно на люминофор экрана, имеющий небольшое время послесвечения, а создает «потенциальный рельеф» изображения на спе­циальной плоской мишени, расположенной внутри трубки.

Конструкция запоминающей ЭЛТ схематично представлена на рис. 4. Запоминаю­щая поверхность состоит из тонкой металлической сетки, на которую со стороны экрана осажден слой диэлектрика. Внутри колбы размещены две электронные пушки: записы­вающая, которая формирует модулируемый и адресуемый отклоняющей системой высо­коэнергетический пучок, и воспроизводящая, в которой создается интенсивный расходя­щийся пучок электронов с невысокой энергией. Специальные кольцевые электроды, рас­положенные на стенках трубки и находящиеся под определенным потенциалом, создают электростатическое поле, благодаря которому медленные электроны двигаются перпенди­кулярно мишени, равномерно распределяясь по ее поверхности.

Рис. 4. Схематическое изображение конструкции запоминающей трубки:

ЗП – записывающая пушка; ВП – воспроизводящая пушка; ОК – отклоняющие ка­тушки; К – коллекторная сетка; С – сетка мишени; Д – диэлектрик; КЭ – кольцевые элек­троды; АЭ – алюминированный экран.

Основным преимуществом запоминающей ЭЛТ является простота индикаторов, соз­даваемых на их базе отсутствие мерцания и высокая яркость. Разрешающая способность экрана в них также достаточно высока и определяется размером и количеством отверстий в сетке мишени. Однако важным недостатком индикаторов на запоминающих трубках, ограничивающим их использование во многих областях, является невозможность избира­тельного стирания информации. Применяются они в основном в качестве устройства вы­вода графических данных из машины и в радиолокационных системах.

Электролюминесцентное излучение возникает в результате при­ложения электриче­ского поля к люминофорному материалу. Интен­сивность излучения зависит от напряжен­ности ноля, а также часто ты его изменения, если поле переменное. Свечение связано с ускоре­нием движения носителей зарядов в люминофоре, для чего требуется достаточно высокая напряженность поля (порядка 103- 106 В/см). Наиболее распространенным люми­нофором является сульфид цинка (ZnS) с примесями меди, марганца и некоторых других элементов. От типа люминофора и количества примесей зависим цвет излучения, пере­крывающий практически всю видимую область спектра.

Распространение в области отображения информации получили два основных типа электролюминесцентных индикаторов (ЭЛИ): построенных на основе порошковых люми­нофоров, возбуждаемых постоянным напряжением, и с использованием люминофоров в виде тонкой пленки, возбуждаемых высокочастотным переменным напряжением.

Основой электролюминесцентного элемента постоянного тока является порошкооб­разный люминофор, кристаллы которого вместе с примесями распределены в связующем веществе. Этот состав наносят на прозрачную пластину с проводящим покрытием (обычно используется слой оксида олова). С другой стороны к люминофору приклады­вают тонкую металлическую пластину (фольгу). Вся конструкция размещена в пластмас­совом корпусе и герметизирована (рис. 5.).

Рис. 5. Конструкция электролюминесцентного элемента постоянного тока:

1 – люминофорный слой; 2 – металлический электрод; 3 – выводные контакты; 4 – герметический корпус; 5 – прозрачный электрод (); 6 – стеклянная подложка

Важным преимуществом электролюминесцентных элементов является их малая толщина, позволяющая конструировать компактные индикаторы. Управляются они на­пряжениями порядка 50 — 100 В, однако по яркости и контрастности уступают многим другим типам излучающих элементов.

В среднем для ЭЛИ постоянного тока при питающем напряже­нии около 100 В яр­кость свечения составляет примерно 300 кд/м2. Характерным для этих элементов является уменьшение их световой Мощности в процессе эксплуатации, что связано с миграцией примесей в люминофоре в зонах контакта с электродом. Срок службы элементов может быть увеличен, если осуществить их питание импульсным напряжением. Отметим также важную для некоторых применений способность ЭЛИ менять цвет излучения в зависимости от приложенного напряжения.

Тонкопленочные индикаторы переменного тока являются наибо­лее перспективными приборами, реализующими принцип электролюминесценции. Слой люминофора разме­щают между слоями диэлектрика, обеспечивающими гальваниче­ское разделение его с электродами (рис. 6.). Все слои создаются с помощью технологии напыления в вакууме на стеклянную подложку. Долговечность таких ЭЛИ значительно выше, чем порошковых, питающее их высокочастотное напряжение составляет 150 — 250 В.

Рис. 6. Структура слоев тонкопленочного электролюминесцентного индикатора пе­ременного тока:

1 – прозрачный электрод; 2 – пленка люминофора; 3 – металлический электрод; 4 – светопоглощающий диэлектрик; 5 – прозрачный диэлектрик; 6 – стеклянная подложка

1.3. Светодиодные индикаторы

Светоизлучающие диоды (СИД) представляют собой твердотельные приборы, рабо­тающие на р-п-переходах, образованных в полупроводниковом материале. В их основе лежит принцип инжекционной люминесценции. Эксплуатационные достоинства СИД способствовали их широкому использованию в вычислительной и другой аппаратуре в качестве дискретных индикаторов.

Рассмотрим коротко физические основы работы светоизлучающих диодов. Из­вестно, что в полупроводниках внешние оболочки атомов, создающих кристаллическую структуру, в результате значительного сближения образуют определенные энергетические зоны. В так называемой валентной зоне располагаются электроны, обеспе­чивающие связь атомов в кристалле. Отдельные электроны под воздействием тепловой энергии могут пе­реходить в другую зону, называемую зоной проводимости. При этом переходе образуется свободное энергетическое состояние, получившее название дырка. Электроны и дырки рассматриваются как частицы, имеющие со­ответственно отрицательный и положитель­ный заряды. Введение в материал полупроводника определенных примесей создает избы­ток электронов или дырок, образуя область проводимости п- или p-типа. Когда области обоих типов выполнены в одном кристалле, они образуют р-п-переход. Через него могут диффундировать заря­ды, образуя так называемые неосновные носители, т. е. носители за­рядов, имеющих знак, противоположный основным (электроны в р-области и дырки в п-области). Диффузия продолжается до тех пор, пока не установится потенциальный барьер, препятствующий движению носителей заряда.

Обычно возвращаемая энергия выделяется в виде теплоты, однако при определен­ных условиях (сохранение энергии и импульса при рекомбинации) происходит излучение фотона. В зависимости от мате­риала полупроводника и концентрации примесей излуче­ние имеет определенную длину волны, что позволяет создавать СИД с различным цветом свечения. Так как переход электронов осуществляется не с дискретных уровней, а с зон разрешенных состояний, имеющих определенную ширину, то излучение не является мо­нохроматическим.

Рис. 9. Конструкция светоизлучающего диода:

1 – полупроводниковый слой p-типа; 2 – прозрачная подложка; 3 – полупроводнико­вый слой п-типа; 4 – керамический корпус; 5 – электрод

Изготавливаются СИД в виде дискретных элементов отображения (рис. 9), в виде монолитных полосково-сегментных приборов, а также в виде небольших матриц с - адресацией. В настоящее время промышленностью выпускаются в основном при­боры, излучающие в красном, зеленом и желтом диапазонах при яркостях примерно в 100 кд/м2. Монолитные кристаллы СИД имеют пло­щадь не более 1 – 2 см2, однако уже длительное время ведутся работы по созданию на их базе плоских цветных телевизион­ных экранов.

                       1.4. Газоразрядные индикаторы

В принципе любой газоразрядный прибор представляет собой заполненную инерт­ным газом изолированную от внешней среды ячейку, внутри которой на близком расстоя­нии друг от друга распо­ложены два электрода. Широкое распространение в технике полу­чили газоразряд­ные приборы типа неоновых ламп, тиратронов тлеющего разряда, линей­ных газоразрядных индикаторов и пр. Их область применения ограничена в основном сигнализацией состояния различных ус­тройств и объектов.

В простых устройствах отображения цифровой и знаковой ин­формации нашли при­менение индикаторные лампы тлеющего разря­да. Их особенностью является наличие не­скольких фигурных като­дов в одном баллоне.

Значительно расширилась область применения газоразрядных индикаторов с появ­лением матричных цифровых панелей (плазмен­ных панелей). Они представляют собой плоский экран, на котором любое изображение создается большим числом светоизлучаю­щих газоразрядных элементов, образованных на пересечениях горизон­тальных и верти­кальных электродов.

Существуют два основных типа плазменных панелей: постоянно­го тока с внешней адресацией и переменного тока с запоминанием информации. Панели постоянного тока имеют плоскую трехслойную конструк­цию, в которой между двумя стеклянными пласти­нами с нанесенной на их внутреннюю поверхность системой взаимно перпендикулярных полупрозрачных электродов расположена перфорированная изоли­рующая матрица. От­верстия в матрице заполнены газом и разме­щаются в местах пересечения электродов. Свечение возникает при подаче на соответствующую пару электродов напряжений. Для получения устой­чивого изображения необходимо последовательно подавать высоко­вольтное напряжение на требуемые точки.

Более широкое распространение получили газоразрядные панели постоянного тока с самосканированием, которые хотя и значительно сложнее по конструкции, но свободны от некоторых недостатков, в частности, в них имеется возможность параллельного ввода ин­формации во все строки, что значительно упрощает управляющие цепи.

Газоразрядная ячейка переменного тока отличается от ячейки постоянного тока тем, что ее электроды гальванически изолированы от газовой смеси диэлектрическими про­кладками и по существу ячейка представляет собой конденсатор.

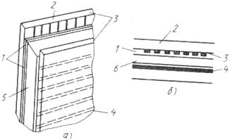
Рис. 11. Общий вид (а) и поперечное сечение (б) фрагмента конструкции плазменной панели переменного тока

Конструкция панели переменного тока показана на рис. 11. На двух стеклянных подложках 3 расположен набор параллельных проводников, вертикальных 2 и горизон­тальных 4, покрытых слоем прозрачного диэлектрика 1. Между обкладками с помощью герметизирующей рамки 5 образуется камера, заполненная газовой смесью 6. Наборы проводников взаимно перпенди­кулярны и в точках их пересечения образуются газораз­рядные элементы. При зажигании элемента создается светящаяся точка. Наборы точек обеспечивают отображение необходимой информа­ции. Яркость светящихся точек доста­точно высока и не зависит от размерности матрицы.

1.5. Жидкокристаллические индикаторы

Жидкие кристаллы – это сложные органические соединения, характеризующиеся со­четанием свойств жидкости (например, теку­честью) и кристалла (оптической анизотро­пией). Среди множества веществ такого типа для индикаторов выбирают те, которые со­хра­няют свои свойства в достаточно широком диапазоне температур (обычно 0—70° С). Наличие анизотропии и возможность управля­емой перестройки структуры жидкого кри­сталла дают возможность использовать два типа оптических эффектов: изменение коэф­фици­ента отражения света (при его пропускании) и изменение характе­ра поляризации лу­чей при отражении света. Таким образом, в отли­чие от описанных индикаторов жидкок­ристаллические ячейки требу­ют обязательной внешней подсветки, выполняя роль модуля­торов при пропускании или отражении света.

Широкое распространение для целей индикации получило ис­пользование в жидких кристаллах так называемого «твист-эффек­та». В ячейке, получаемой в результате запол­нения жидкокри­сталлическим веществом полости между двумя стеклянными пластин­ками, на внутренней поверхности которых нанесены прозрачные электроды (рис. 13.), ориентация молекул постепенно меняется от верхнего слоя к нижнему. Это достигается с помощью определенной технологии изготовления ячейки. При наложении электрического поля молекулы раскручиваются и ориентируются в направлении вектора напряженности электрического поля. Фаза света при прохождении через ячейку в этом слу­чае не меня­ется. Помещая на входе и выходе ячейки пленочные поляризаторы, обеспечивают блоки­ровку света определенной фазы и пропускание его при повороте плоскости поляризации на 90°. Тем самым задаются включенное и выключенное состояния приборов. Малая по­требляемая мощность, плоскостность конструкции и невысокая стоимость делают жидкок­ристаллические индикаторы (ЖКИ) одним из самых удобных средств ото­бражения знаковой информации в малогабаритных электронных устройствах (часы, калькуляторы, измерительные приборы и пр.). Однако широкое применение этих индикаторов ограни­чено рядом принципиальных недостатков. Отметим среди них относительно не­высокий коэффициент контраста (не более 20 в лучших образцах). Этот коэффициент значительно падает при отклонении утла наблю­дения от нормали (обычно допустимый угол обзора не превышает 45°). Жидкокристаллические приборы очень инерционны, время их переклю­чения составляет десятки и даже сотни миллисекунд и зави­сит от температуры.

Рис. 13. Конструкция жидкокристаллического индикатора:

1 – прозрачные электроды; 2 – жидкокристаллическое вещество; 3 – стеклянные пла­стины; 4 – герметизирующая рамка

Серийно выпускаемые ЖКИ вы­полнены в виде единичных знаковых модулей либо в виде неболь­ших табло из наборов этих модулей.

1.6. Принципы отображения информации на больших экранах

Для отображения информации, используемой одновременно группой людей, приме­няются экраны больших форматов с рабочей поверхностью от одного до десятков квад­ратных метров. Преобра­зование информации, выводимой на большой экран, основывается на самых различных принципах. Множество известных устройств работает с промежуточ­ным носителем информации: фотоплен­кой, фотополупроводниковой пластиной и т. д. Полученное на таком носителе изображение проециру­ется с помощью оптической системы на экран. При хорошем качест­ве отображения все эти устройства в принципе не могут работать в реальном масштабе времени с системой, включающей ЭВМ, ввиду чего область их применения ограничена.

Проекционные ЭЛТ, известные достаточно давно, в последние годы значительно усовершенствованы. Основные требования к таким трубкам - повышенная яркость при малых габаритных разме­рах. Это достигается применением люминофоров с высокой свето­отдачей и увеличением анодного напряжения (до 40—80 кВ). При относительно не­больших размерах трубки с ее поверхности удается получить световой поток порядка 1000 лм. На базе такой ЭЛТ строятся системы с экраном размером до 33 м. Ввиду большой мощности электронного пучка здесь возникает необходи­мость использовать принуди­тельное охлаждение трубки и специаль­ную защиту от рентгеновского излучения. Другим недостатком является чувствительность к уровню внешней засветки экрана, что ограничи­вает область применения таких устройств.

Светоклапанные проекционные системы обеспечивают значи­тельно лучшее каче­ство изображения в условиях внешней засветки и большие размеры экрана, хотя они и сложнее по конструкции, чем системы с проекционными ЭЛТ. Под общим термином «светокла­панные» объединены все устройства, которые модулируют свет внешнего ис­точника, меняя параметры пропускающей его среды. Наиболее распространены устрой­ства, в которых изменяющейся средой явля­ется тонкая масляная пленка с определенными оптическими и элек­трическими характеристиками. Принцип работы светоклапанного уст­ройства отображения упро­щенно показан на рис. 14. Свет от мощного источника с линзо­вой оптикой 1 обеспечивающей рав­номерность потока, попадает на щелевое зеркало 2 и отражается им на сферическое зеркало 6, по­крытое масляной пленкой 7. Зер­кала сориен­тированы таким обра­зом, что при гладкой пленке свет, отражаясь, возвращается в на­прав­лении к источнику, а эк­ран 4 остается незасвеченным. Деформация пленки в какой-либо точке вызывает отклонение отра­жающегося от нее луча, который, проходя через щель зеркала 2, попадает с помощью проекцион­ной оптики 3 в определенную точ­ку экрана. Яр­кость свечения пят­на на экране определяется сте­пенью деформации пленки, которая, в свою очередь, зависит от величины заряда, устанавливаемого на ее поверхности элек­тронным пучком. При снятии заряда пленка достаточно быстро приходит к исходному со­стоянию. Скорость процесса деформации и восста­новления зависит от вязкости пленки и температуры. Электронная пушка 5, генерирующая электронный пучок, заключена в об­щую со сферическим зеркалом стеклянную оболочку, в которой поддержи­вается вакуум. Пучок фокусируется, отклоняется электромагнитной системой и модулируется по мощно­сти аналогично тому, как это происходит в обычных ЭЛТ. Отображение информации осуществля­ется растровым способом по телевизионному стандарту. В некоторых устрой­ствах достигается и более высокая разрешающая способность (до 1000 строк).

Рис. 14. Упрощенная схема расположения элементов светоклапанного устройства

Для поддержания работоспособности описанного устройства не­обходим ряд мер, усложняющих его конструкцию. В частности, требуется поддерживать постоянный хими­ческий состав и темпера­туру пленки, удалять примеси и остаточные заряды, обеспечивать работоспособность катода и т. д.

Описаны также проекционные системы, работающие на пропускание света, в кото­рых модулятором является ЖК панель. Участки панели меняют коэффициент пропуска­ния под воздействием оптических или электрических сигналов.

Лазерные средства отображения на большой экран находятся в настоящее время в стадии эксперимента, однако важные достоин­ства — высокая разрешающая способность, быстродействие, воз­можность цветных изображений, отсутствие необходимости в проме­жуточных носителях — позволяют считать их наиболее перспектив­ными из имеющихся средств коллективного пользования. Использу­емые для этой цели лазеры имеют непре­рывный режим работы со стабильной выходной мощностью. Это обычно криптоновые ионные лазеры, излучающие красный цвет, и аргоновые, излучающие синий или зеленый цвет.

Наиболее развиты методы, при которых изображение создается непосредственно лу­чами лазера, направляемыми на экран. В упрощенном виде схема лазерного устройства отображе­ния приведена на рис. 15. Элек­трооптический модулятор работа­ет на принципе вращения плоско­сти поляризации. На выходе мо­дулятора действует анализатор, пропус­кающий амплитуду коге­рентного излучения, пропорцио­нальную косинусу угла поляриза­ции. Угол поляризации меняется в зависимости от приложенного к модулятору электри­ческого на­пряжения. Управляя поляризацией луча воздействием напряжения на кристалл (вводя фазовое запаздывание на 180°), можно обеспечить его распространение в одном из двух фиксиро­ванных направлениях. В принципе, имея набор аналогичных пе­реключате­лей, через которые последовательно проходит луч, можно дискретно управлять его проек­цией на экран.

Рис. 15. Схема лазерного устройства отображения:

1 – лазер; 2 – электрооптический модулятор; 3 – отклоняющая система (дефлектор); 4 – управление модулятором и дефлектором; 5 – экран

Основные трудности в развитии лазерных устройств отображе­ния в настоящее время заключаются в высокой сложности управля­ющих электрооптических блоков, обеспечении стабильности их ра­боты в обычных условиях. Проблемой является также достижение дос­таточной яркости изображения на большом экране, так как излучение лазеров имеет зна­чительно более низкую световую отда­чу, чем излучение обычных источников.

2. Средства отображения информации


Для современных средств отображения информации характерно значительное раз­нообразие реализованных в них физических прин­ципов. Увеличиваются функциональные возможности универсальных УОИ. С другой стороны, расширение области их примене­ния приводит к созданию разнообразных узко специализированных ус­тройств. Наиболее четко средства отображении могут быть разделены по используемым в индикаторах фи­зическим принципам. Их особенности решающим образом сказываются на конструкции и функциональных возможностях УОИ.

По прочим признакам технические средства отображения могут быть классифици­рованы следующим образом.

По типу представляемой информации УОИ подразделяются на устройства, реали­зующие отображение: дискретных сигналов, цифровых данных, условных графических образов, мнемосхем, алфавитно-цифровой информации, квазиграфической информации, универсальной графической информации.

Отображение дискретных сигналов (но типу «да - нет») имеет место в электротехни­ческих и радиотехнических устройствах. Отображение чисто цифровой информации не­обходимо в различных устройствах вычислительной и измерительной техники. Это наи­более массовые типы индикаторов. Реализация таких индикаторов в настоящее время в основном осуществляется на базе твердотельных элементов люминесцентного, светоди­одного и жидкокристаллического типов.

Для обозначения часто встречающихся явлений и событий иногда используются ус­ловные графические образы. Мнемосхемы используются для отображения сложных структур и в условном виде обозначают объекты и явления с учетом связей между ними. При индивидуальном использовании мнемосхемы реализуются на экранных индикаторах различного типа, при групповом — строятся из набора дискретных элементов.

Отображение алфавитно-цифровой информации охватывает наибольшее число при­менений, в том числе в области АСУ различном назначения. Реализация текстов осущест­вляется в основном на экранах ЭЛТ, а также на различных плоских панелях: газоразряд­ных, люминесцентных и др. Добавление к знаковой информации графических элементов позволяет без изменения технической структуры УОИ обеспечить отображение простей­ших рисунков, относящихся к так называемой информационной графике. Средства ото­бражения такого рода получили название квазиграфических (иногда псевдографических). Наиболее совершенные дисплейные устройства позволяют отображать любую графиче­скую информацию (в том числе и символьную), сложность которой ограничивается лишь разрешающей способностью и емкостью экрана.

По способу формирования изображения УОИ подразделяют на устройства дис­кретно-знаковые, дискретно-матричные, функцио­нальные и растровые.

В первом случае каждый дискретный знак формируется отдельно адресуемым инди­каторным элементом. Возможности таких при­боров определяются набором знаков в каж­дом индикаторе и их нищим количеством. При отображении средних и больших объемов информации такой метод мало эффективен.

При дискретно-матричном способе формирование изображения осуществляется с помощью большого числа точечных элементов, которые собраны в столбцы и строки. Чтобы высветился элемент, расположенный на пересечении определенных строки и столбца, он должен иметь порог включения, который превышается только в месте пересе­чения, на остальные элементы при этом должен поступать сигнал, по амплитуде меньший порогового. Большинство устройств такого типа реализуется в виде плоских панелей на базе электролю­минесценции, газового разряда и некоторых других физических принци­пов.

Следующие два способа формирования изображения относятся главным образом к индикаторам, построенным на базе ЭЛТ. Фун­кциональный (или векторный) метод преду­сматривает построение информационных образов (символьных или графических) путем произвольного отклонения луча. При растровом методе подсвет элементов изображения осуществляется в определенные моменты времени синхронно с постоянной разверткой луча по экрану.

По характеру использования средства отображения разделяют на индивидуальные и коллективные (массовые). Различные экран­ные и матричные средства, предназначенные для использования одним оператором, наиболее распространены в технике отображе­ния. В некоторых крупных пунктах управления и информационных системах используются индикаторные устройства больших размеров, позволяющие осуществлять групповое взаимодействие операторов или выдавать справочную информацию массовому пользова­телю.

По степени программирования УОИ могут быть разделены на устройства с посто­янными (непрограммируемыми) функциями, устройства с программируемыми функциями и параметрами (гибкие устройства) и устройства с возможностью программной обработки данных (активные или интеллектуальные средства отображения). Возможность изменения функций и параметров (например, форматов и алфавита) определяется конструкцией УОИ и его схемой управления, которые при этом достаточно сложны, возможность же обра­ботки данных требует использования в составе УОИ микро-ЭВМ. Усложнение управле­ния целесообразно в дисплеях с широки­ми возможностями по отображению информации, которые обеспечи­вают ЭЛТ или многоэлементные плоские панели.

По характеру связи с пользователем средства отображения разделяют на инфор­мирующие, запросно-справочные и диалоговые. В первом случае имеется в виду односто­ронний характер предо­ставления визуальной информации пользователю от центральной системы или датчиков. Во втором и третьем случаях возможен двусторонний обмен ин­формацией. В запросно-справочных системах оператор передает системе заранее обу­словленные команды, но не может модифицировать или вводить данные. В диалоговых систе­мах такая возможность ему предоставляется. Последний тип связи получил наи­большее развитие при работе УОИ в системах с ЭВМ, а также в персональных ЭВМ.

Перечислим в заключение некоторые основные технические па­раметры, характери­зующие УОИ. К ним могут быть отнесены: размер поля отображения; информационная емкость экрана; быс­тродействие; количество и тип отображаемых элементов (при их фик­сации); наличие и объем автономной памяти; эргономические характеристики (разре­шающая способность, яркость, мелькание, цвет и пр.); габаритные размеры и энергетиче­ские показатели.

В данном разделе основное внимание уделено техническим сред­ствам отображения, получившим в настоящее время широкое рас­пространение в различных автоматизирован­ных системах обработки информации и управления. К ним относятся алфавитно-цифро­вые и графические дисплеи на ЭЛТ, а также некоторые типы матричных приборов.

Похожие работы на - Методы и средства отображения информации

 

Не нашли материал для своей работы?
Поможем написать уникальную работу
Без плагиата!
Без нейросетей!