Исследование представлений о карьерном росте студентов-выпускников педагогического вуза

  • Вид работы:
    Дипломная (ВКР)
  • Предмет:
    Педагогика
  • Язык:
    Русский
    ,
    Формат файла:
    MS Word
    1,36 Mb
  • Опубликовано:
    2010-09-15
Вы можете узнать стоимость помощи в написании студенческой работы.
Помощь в написании работы, которую точно примут!

Исследование представлений о карьерном росте студентов-выпускников педагогического вуза

Министерство образования и науки Российской Федерации

Федеральное агентство по образованию

Федеральное государственное образовательное учреждение

высшего профессионального образования

«Амурский   гуманитарно-педагогический

 государственный университет»

Институт педагогики и психологии

Кафедра психологии развития



На правах рукописи

 



Чемерис Дмитрий Юрьевич

ИССЛЕДОВАНИЕ ПРЕДСТАВЛЕНИЙ О КАРЬЕРНОМ РОСТЕ

СТУДЕНТОВ-ВЫПУСКНИКОВ ПЕДГОГИЧЕСКОГО ВУЗА

Специальность 050708  – «Педагогика и методика начального образования»

со специализацией 031213 – «управление учебно-воспитательным процессом».





Выпускная квалификационная работа

по психологии









Комсомольск-на-Амуре, 2008г.

Выпускная квалификационная работа выполнена на кафедре психологии и развития ФГОУ ВПО «Амурский гуманитарно-педагогический государственный университет»



Научный руководитель                                        Е. Н. Каткова, к.пс.н.,

                                                                                   доцент кафедры психологии




Рецензент                                                 С. М. Ситяева, к. б. н., доцент

                                                                     Директор Института дистанционного

                                                                     образования ФГОУ ВПО «АмГПГУ»

                                                                 


Защита состоится «____» ___________ 200__ года в ______ часов в ГАК

Института педагогики и психологии ФГОУ ВПО «АмГПГУ»

(аудитория ____)




К защите допускаю:

Научный руководитель                                     Е. Н. Каткова, к.пс.н., доцент



Зав. кафедрой  психологии                                        В. А. Шмакова, к.пс.н., доцент

развития ИПиП



Директор ИПиП                                                Н.Ю. Чулкова, к.б.н., доцент


СОДЕРЖАНИЕ

Введение………………………………………………………………………….4           

Глава 1.  Теоретические основания изучения представлений о карьерном

росте у студентов-выпускников педагогического вуза  в психологической науке…………………………………………………….......................................8

1.1. Особенности профессионального становления  личности в онтогенезе………………………………………………………….......................8

1.2. Психологический анализ проблемы готовности личности к выбору

профессии и ее профессиональных планов……………………………………18

1.3. Особенности кризиса профессионального самосознания молодого

специалиста на стадии профессиональной адаптации……………………..….22

Глава 2. Методы исследования представлений о карьерном росте студентов выпускников педагогического вуза……………………………….....................27

2.1. Цель, задачи, методы и методики исследования……………………….....27

2.2. Программа исследования………………………………………...................30

Глава 3. Описание результатов  исследования представлений о карьерном росте студентов выпускников педагогического вуза………………….............32

3.1. Особенности профессионального становления личности и ее представлений о будущей карьере у студентов 5 курсов факультетов АмГПГУ…….........................................................................................................32

3.2. Особенности представлений о своей будущей карьере студентов

специальности «Педагогика и методика начального образования»……….....44

3.3. Рекомендации для «Центра содействия занятости учащейся молодежи и трудоустройства выпускников» ФГОУ ВПО «АмГПГУ».................................53

Заключение………………………………………………………………….........55

Библиографический список………………………………………………..........58

Приложения………………………………………………………………...........65

ВВЕДЕНИЕ

Актуальность исследования. Проблема развития современного профессионала состоит в реализации его карь­ерного потенциала и возможность осуществить собственную конкурентоспособность на современном рынке труда. Активное управление карьерой в динамичных социально-эко­номических условиях — одно из ключевых условий профессионального и даже шире — жизненного успеха человека.

Данной проблемой занимались: Ф. Парсонс,  Ш. Бюлер,  Д. Сьюпер,  Эрик Эриксон, Абрахам Маслоу, А.К. Маркова, Е.А. Климов, А.М. Кухарчук, Е.А. Могилёвкин, А.В. Леонова, Н.С. Пряжников и другие.

К молодым специалистам в современных условиях рынка предъявляется целый ряд требований: они должны иметь не только достаточно высокий уровень теоре­тической и практической подготовки, но и отличаться социальной зрелостью, со­хранять высокую эффективность в ситуации неопределенности и быстро адаптиро­ваться к постоянно меняющимся условиям рабочей среды [46]…

Таким образом, актуальностью работы является проблема трудоустройства молодых специалистов выпускающихся из педагогических университетов и проектирования их дальнейшего жизненного пути.

Гипотеза исследования. На наш взгляд выпускники педагогического университета не обладает карь­ерными установками. Студенты недостаточно ориентируется в современной ситуации на рынке труда, как дающую гораздо больше возможностей для выбора траектории профессионального разви­тия и должностного продвижения.

Современные начинающие спе­циалисты должны реально оценивать свое положение  на рынке труда, обладать первоначальным профессиональным опытом, владеть современными технология­ми; при поиске работы ориентированы не столько на уровень заработной платы, сколько на возможности самореализации, карьер­ного роста, условия трудовой деятельности, адекватно вос­принимать изменения, произошедшие за последние 5-10 лет в сфере управления, планирования карьерой.

Одни выпускники педагогического университета не знают о способах планирования своей карьеры, нет практики планирования, но задумывались о своем карьерном росте. Другие имеют практику планирования своей карьеры и уже делают карьеру. Еще одной проблемой является то, что многие студенты по окончании университета сомневаются в осуществлении карьеры по выбранной профессии.

Студенты педагогического университета специальности «Педагогика и методика начального образования» являются группой риска на рынке труда, по сравнению с другими специальностями, т.к. в нашем городе не требуются учителя начальных классов. Такая обстановка вызвана переходом на подушевое финансирование общеобразовательных учреждений, следовательно идет сокращение учителей, экономической ситуацией в стране – все это ведет к тому, что растет количество невостребованных молодых специалистов учителей начальных классов.

Данная постановка проблемы позволила нам вдвинуть 2 гипотезы

1. У студентов факультетов АмГПГУ, в большинстве, нет четких представлений о том, как планировать свой карьерный рост, нет четкого плана развития своей карьеры.

2. Мы полагаем, что студенты ИПиП специальности «Педагогика и методика начального образования» являются группой риска на рынке труда, на сегодняшний момент это самая невостребованная профессия в нашем городе. Причиной этого является то, что студенты не представляют себя в рамках другой профессии, и стремятся оттянуть наступление взрослой жизни и освоение новой социальной роли, т.е. причиной уязвимости являются внутренние проблемы личности будущих учителей начальных классов, попадающих на рынок труда с высокой конкуренцией.

Объектом нашего исследования являются студенты 5 курса педагогического университета. Предметом исследования - представление о своей карьере студентов 5 курса педагогического университета. Целью исследования явилось изучение представлений студентов-выпускников о своем карьерном росте в будущей профессиональной деятельности.

Гипотеза и цель нашего исследования позволили сформулировать следующие задачи:

1. Анализ психологической литературы по проблеме исследования;

2. Изучить представления студентов-выпускников о своей будущей карьере.

3. Произвести сравнительный анализ содержания представлений о своей будущей карьере у студентов 5 курсов различных факультетов (ИПиП, ФМФ, ЕГФ, ФИиЮ), и определить специфику изучаемых представлений, отражающих специальности и факультеты в целом.

4. Выявить экспериментальную группу испытуемых, представляющих группу риска на рынке труда, на основе количественного и качественного сравнительного анализа результатов, полученных при решении третьей задачи исследования.

5. Описать представления студентов о своем существовании, представляющих группу риска на рынке труда. 

6. Разработать рекомендации для «Центра содействия занятости учащейся молодежи и трудоустройства выпускников» ФГОУ ВПО «АмГПГУ».

Методы исследования. В нашей  работе были использованы следующие методы исследования:

1. Организационные методы (сравнительный)

2. Эмпирические методы (анализ продуктов деятельности)

3. Методы обработки данных (количественный и качественный анализ результатов, статистические методы: метод «контент-анализа», использование критерия Фишер)

4. Интерпретационные методы (структурный метод)

Теоретическая и практическая значимость дипломной работы заключается в том, что собранные и проанализированные данные, разработанные рекомендации могут быть использованы в работе «Центра содействия занятости учащейся молодежи и трудоустройства выпускников» ФГОУ ВПО «АмГПГУ».

База исследования. Экспериментальная работа проводилась в Амурском гуманитарно-педагогическом государственном университете г. Комсомольска-на-Амуре: Институт педагогики и психологии, Физико-математический факультет, Естественно-географический факультет, Факультет истории и юриспруденции. В исследовании приняло участие 155 студентов выпускников трех факультетов и одного института, 13 студентов выпускников специальности «Педагогика и методика начального образования» Института педагогики и психологии.

Структура и объем работы:

1) введение;

2) 3 главы;

3) 8 параграфов (шесть теоретических и два с опытно-экспериментальной работой);

4) заключение;

5) библиографический список;

6) 7 таблиц;

7) 10 рисунков;

8) 8 приложений.

Основное содержание изложено на страницах.

ГЛАВА 1. ТЕОРЕТИЧЕСКИЕ ОСНОВАНИЯ ИЗУЧЕНИЯ ПРЕДСТАВЛЕНИЙ О КАРЬЕРНОМРОСТЕ У СТУДЕНТОВ-ВЫПУСКНИКОВ ПЕДАГОГИЧЕСКОГО ВУЗА В ПСИХОЛОГИЧЕСКОЙ НАУКЕ

1.1. Особенности профессионального становления личности в онтогенезе

Профессиональное развитие органически входит в общее развитие личности, которое является важной составляющей про­цесса ее социализации, представляющей собой вхождение в об­щество, включение в социальные отношения через усвоение со­циального опыта и воспроизведения его в деятельности.

Выделяют физическое, эмоциональное, когнитивное, соци­альное и нравственное развитие личности; особым видом яв­ляется ее профессиональное развитие [36].

В теориях профессионального развития рассматриваются его детерминанты, освещаются этапы профессионального пути личности и ее профессиональной карьеры, карьерные ориента­ции и установки [16,42].

Основоположник научно-психологического подхода к проблеме про­фессионального становления личности Ф. Парсонс (1908) первым сформу­лировал тезис о том, что каждой профессии соответствует определенный набор психологических и физических качеств. А успешность и удовлетво­ренность человека профессиональной деятельностью зависит от степени соответствия индивидуальных качеств личности требованиям профессии.

В дальнейшем Ш. Бюлер, Д. Сьюпер утверждали, что поиск профес­сии обусловлен детскими мечтами о профессии, ролевыми играми на пре­дыдущих возрастных этапах и достижением определенного уровня лично­стного развития.

 

 

Фазы жизненного цикла (по Ш. Бюлер)

Фаза I (до 15-летнего возраста). Характеризуется отсут­ствием каких-либо четких целей. Ребенок живет настоящим, о будущем имеет весьма смутное представление. В этот период происходит в основном развитие физических и умственных способностей.

Фаза II (от 15 до 25 лет). Отрочество и юность. Человек осознает свои потребности, способности и интересы. Он вы­нашивает великие планы, связанные с выбором профессии, партнера и смысла собственной жизни. Этот период первых дерзаний позволяет ему оценить, в какой степени он способен достичь поставленных целей.

Фаза III (от 25 до 40-45 лет). Соответствует зрелости. Са­мый плодотворный период жизни, для которого характерна постановка четких целей, позволяющая добиться стабильнос­ти на профессиональном поприще и в личной жизни.

Фаза IV (от 45 до 65 лет). Солидный возраст. Подведение итогов своей деятельности и свершений. Пересмотр целей с учетом своего профессионального статуса, здоровья и положе­ния дел в семье.

Фаза V начинается в преклонном возрасте, в 65-70 лет. Многие люди перестают преследовать цели, поставленные в юности. Это период, когда человек пытается придать смысл своему существованию. Анализируя события собственной жиз­ни, человек решает, удалось ли ему достичь поставленных целей.

Д. Сьюпер разделил профессиональный путь индивида на пять этапов. Он соотнес осознание своих склонностей и спо­собностей с выбором профессии, во время которого развивает­ся и уточняется профессиональная Я-концепция.

Этапы профессионального пути (по Д. Сьюперу)

1. Этап роста (от рождения до 14 лет). В детстве начинает развиваться Я-концепция. Дети в играх проигрывают различ­ные роли, пробуя себя в разных занятиях, выясняя, что им нра­вится и что хорошо получается. У них появляются какие-то интересы, которые могут повлиять на будущую профессиональ­ную карьеру.

2. Этап исследования (от 15 до 24 лет). Юноши и девушки пытаются определиться в своих потребностях, интересах, спо­собностях, ценностях и возможностях. На основе самоанализа они рассматривают возможные варианты профессиональной карьеры. К концу этого этапа молодые люди подбирают под­ходящую профессию и начинают ее осваивать.

3. Этап упрочения карьеры (от 25 до 44 лет). Работники стремятся занять прочное положение в выбранной сфере дея­тельности. В первые годы трудовой жизни может произойти смена работы или специальности, во второй половине этого этапа наблюдается тенденция к сохранению выбранного рода занятий. Эти годы в трудовой биографии человека часто ока­зываются наиболее творческими.

4.  Этап сохранения достигнутого (от 45 до 65 лет). Работ­ники стараются сохранить за собой то положение на произ­водстве или службе, которого они добились на предыдущем этапе.

5.   Этап спада (после 65 лет). Физические и умственные силы пожилых работников убывают. Для того чтобы соответство­вать снизившимся возможностям человека, меняется характер работы. Трудовая деятельность прекращается [27,98].

Этапы профессионального пути выделяли так же Ф. Хейвигхерст (6 этапов);  П. Массен, Дж. Конгер,Дж. Каган и Дж. Гивит (1979), рас­сматривая стадии развития личности, отмечают, что двадца­тилетние обычно имеют дело с выбором карьеры, намечают жизненные цели.

Е. А. Климов (1996) предлагает рассматривать професси­ональное развитие по фазам, на каждой из которых личность исполняет определенную профессиональную роль.

Адлер А. считал, что выбор профессии основан на стремлении чело­века к гиперкомпенсации неудовлетворительных свойств своей личности. Таким образом, человек выбирает именно ту профессию, которая наименее соответствует его индивидуальным особенностям, но может помочь утвер­дить себя в его собственных глазах. Отчасти такой подход к выбору про­фессии подтверждается в современных исследованиях [30,59]

Роу Э. (1956) связывает профессиональное становление человека с характером предшествующих детско-родительских отношений. Она обна­ружила, что работу с людьми выбирает человек, в семье которого преобла­дали эмоциональная атмосфера принятия и сотрудничества, методы убеж­дения и поощрения, четкое распределение семейных функций. Сфера ис­кусства выбирается тогда, когда во взаимоотношениях родителей с детьми ведущую роль играла эмоциональная сторона. Профессии, имеющие от­ношение к работе с вещами, предпочитаются людьми, в атмосфере семьи которых было отчуждение, непонимание, преобладали методы наказания [17,165].

А. Маслоу в концепции профессионального развития вы­деляет в качестве центрального понятия самоактуализацию как стремление человека самосовершенствоваться, проявлять себя в значимом для него деле. В его концепции близкими к поня­тию «самоопределение» выступают такие понятия, как «само­актуализация», «самореализация», «самоосуществление».

Самоактуализация, по А. Маслоу, - это пол­ное использование человеком своих талантов, способностей, возможностей, желание индивида стать тем, кем он может стать. Самоактуализирующиеся личности в выбранной профессии стре­мятся сделать все возможное для своего совершенствования, что­бы достичь высшего уровня компетенции. Маслоу разработал «иерархию потребностей», состоящую из следующих ступеней: I ступень - физиологические потребности, II ступень - потреб­ность в надежности (материальной, связанной со здоровьем, обеспечением в старости), III ступень - социальные потребнос­ти (общение), IV ступень - потребность в уважении, престиже, социальном успехе, осознание собственного достоинства, V ступень - потребность в развитии личности, осмыслении сво­его назначения в мире, в самореализации, самоактуализации. Но вершины личностного развития, самоактуализации дости­гают 1-4% людей. «Самоактуализирующиеся» личности стре­мятся реализовать себя, свои интересы и способности. Такой личности присущи саморазвитие, готовность к решению новых проблем, способность к пониманию других людей, независи­мость от социальной среды, самостоятельность суждений, при­нятие себя и других, профессиональная увлеченность любимым делом, ориентация на задачу, на дело [12,86].

А. Маслоу (1970) сделал предположение, что средний че­ловек удовлетворяет свои потребности примерно в следующей степени: на 85% удовлетворяются физиологические потребно­сти, на 70% - потребность в безопасности и защите, на 50% -потребность в любви и принадлежности к какой-либо социаль­ной группе, на 40% - потребность в самоуважении, на 10% -потребность в самоактуализации. Он считал, что иерархия потребностей присуща всем людям и чем выше по ней поднимет­ся человек, тем большую индивидуальность и психическое здо­ровье он продемонстрирует. Его основной интерес обращен на потребности самоактуализации. «Чтобы находиться в согла­сии с собой, музыкант должен создавать музыку, художник ри­совать, поэт писать стихи. Человек должен быть тем, чем он может быть. Эту потребность можно называть самоактуализа­цией» (см. рис. 1)

Рис. 1. Пирамида потребностей А. Маслоу

А. Маслоу (1971) также считает, что в каждом человеке от природы заложены потенциальные возможности для пози­тивного роста и самосовершенствования. Если личность стре­мится реализовать себя, она достигает высшей ступени лич­ностного саморазвития, что важно для ее профессиональной самоактуализации [16,111].

Таким образом, мы постарались кратко рассмотреть некоторые наиболее известные подходы, теории профессионального развития. Мы выяснили, что профессиональное становление проходит ряд этапов и характеризуется психическими и психическими изменениями. Большинство ученых выделяют стадию профессионального становления, соответствующую возрасту 15-25. В эту стадию профессионального развития входит период обучения в высшем учебном заведении. Именно в этот период может происходить «кризис молодости» (Э. Эриксон).  И от успешного прохождения кризиса зависит возможность раскрытия не только профессионального, но и личностного потенциала человека. Необходимо учитывать потребности и мотивации молодого человека, учитывать так же его психологические и возрастные особенности. Рассмотрим более детально  период ранней взрослости (от 20 до 40 лет) (Психология развития, 2005 г.).

Теперь рассмотрим период, соответствующий выпуску из высшего учебного заведения, ранняя взрослость (от 20 до 40 лет) [3,56]. Мы рассмотрим особенности становления в этот период до 25 лет, так как этот период соответствует окончанию высшего учебного заведения. 

Молодой человек, вступающий во взрослую жизнь, стоит перед не­обходимостью выбора и решения многих проблем, среди которых наибо­лее важными являются брак, рождение детей, выбор профессионального пути. Данные события носят характер нормативных, так как их наступле­ние ожидается и чаще всего происходит в определенное время у большин­ства людей. Именно эти события требуют принятия особенных решений, в русле которых поддерживаются, расширяются или подрываются ранее сложившиеся взгляды, формируются новые мотивы поведения.

Период ранней взрослости можно по-другому назвать периодом на­чинаний. Действительно, во всех областях взрослой жизни, будь то жизнь личная или профессиональная, молодой человек стоит в самом начале пути. Это начало, безусловно, связано с определен­ными планами и надеждами, большинство, которых сложилось еще в юно­шеский период. Однако эти надежды по своей сути являются мечтами, которые необходимо осуществить, чтобы достигнуть желаемого. Поэтому одной из наиболее важных задач молодой личности является необходи­мость увязать мечту и реальность, желаемое и действительное.

Строя планы на будущее, большинство молодежи не отдает себе от­чет в том, что реальное будущее - это не будущее вообще, а будущее оп­ределенным образом построенного настоящего. Мечта лишена непосредственного побуждения. В связи с этим очень часто мечты о взрослых достижениях слабо связаны с реальностью. Мечтой может быть конкретная цель. Постановка перед собой перспективных целей, настойчивость в по­иске путей решения намеченных задач, ощущение того, что жизнь имеет смысл - все эти стремления в ранней взрослости не развиты полностью, а находятся в стадии становления [10,35]

Цели, которые ставят перед собой молодые люди, часто бывают либо нереальными, либо фиктивными — их соотнесенность с реальностью труд­но, а иногда и невозможно проверить или подтвердить. Часто они опреде­ляются непомерным уровнем притязаний или тем жизненным сценарием, который определили родители. В этом случае установка типа «Главное - высшее образование, а какое - не важно» или «Не получилось у меня, по­лучится у моего ребенка» подменяет реальность нереализованными меч­тами других людей. Результатом такого выбора жизненного пути зачастую становится разочарование и потеря смысла жизни, а мечта о взрослых дос­тижениях может так и остаться фантазией [10,35].

Поэтому, молодым людям необходима реализация своей собственной мечты, отказавшись от постоянной помощи со стороны родителей, с учетом окружающей реальности и своих возможностей.

Выбор собственной жизненной стратегии является необходимым составляющим личностного роста, необходимо уже учась в университете расставить все приоритеты.

В значительной степени на выбор профессии влияет потребность в безопасности и защите. Ведь никому не секрет, что такие показатели как надежная работа, стабильный заработок, образование накопленных средств, окружение на работе, влияют на выбор будущей работы и профессии. Для молодых людей при выборе работы на первый план, безусловно, выходит уровень заработной платы. Ранние браки и необходимость содержания семьи также побуждают молодых людей искать работу в иной сфере деятельности, чем та, которую они бы выбрали. Молодой человек еще и сталкивается с тем, что когда выходит из университет, его ожидания на достойную зарплату разбиваются о реальность; многие молодые люди не понимают, что начинающему специалисту платить будут меньше, чем со стажем, и они начинают метаться в поисках работы с большей заработной платной. 

Еще важным источником жизненных ценностей и убеждений, который влияет на выбор профессии, является семья и так называемые родительские установки.

Также остро стоит проблема необходимости реализовать собственные способности, то есть добиться самоактуализации. Другими словами, чело­век делает то, что, как ему кажется, может принести наибольшее удовле­творение и максимально способствовать его личностному росту.

Интерес к профессии молодого человека имеет часто романтический характер. И когда происходит столкновение с реальной суровой жизнью, вся эта романтика быстро улетучивается, и если не подготовиться к этой жизни, то работа становится в тягость и обычно заканчивается сменой профессии.

Профессия выбирается исходя из сообра­жений ее престижности в обществе. Ориентация на сложившуюся систему социальных ценностей, отра­жающая сознательность выбора профессионального пути. Так, согласно Г. Олпорту  человек, придающий особое значение теоретиче­ской ценности и заинтересованный в раскрытии истины, соответственно избирает для себя деятельность в области фундаментальной науки или фи­лософии. Человек, придающий особое значение экономической ценности и ценящий то, что полезно и выгодно, выбирает профессию, которая по­зволяет «делать деньги» [11].

Субъект, ценящий эстетику, то есть форму и гармонию, восприни­мает любые жизненные события с точки зрения привлекательности и уме­стности и посвящает себя работе, требующей повышенного и активного интереса к эстетическим сторонам жизни. Для человека с наивысшей социальной ценностью выбор профессии определяется любовью к людям, всяческой заботой о них. В чистом виде социальная установка предполагает альтруистический образ жизни. Доминирующим интересом политической ценности выступает власть. Профессиональная активность в этом случае не обязательно будет ограничиваться сферой политики. Человек, основной ценностью которого является власть и влияние, будет стремиться к ней в любой сфере деятель­ности. Религиозная ценность проявляется в понимании мира как единого целого. Люди, для которых религиозная ценность является ведущей, стре­мятся соединиться с высшей реальностью мироздания, находя в этом свой смысл существования [10,38]

Период выбора профессии, когда молодые люди пытаются разо­браться и определиться в своих потребностях, интересах, способностях, ценностях и возможностях, обычно к 25 годам заканчивается подбором подходящей работы и началом ее освоения.

С 25 лет начинается этап упро­чения карьеры, когда доминирующей потребностью становится необходи­мость занять прочное место в выбранной сфере деятельности.

Таким образом, ранняя взрослость, это важный этап вхождения во взрослую жизнь со всем ее многообразием. И один из главных выборов в этот период является выбор профессионального пути, на этот выбор влияет множество факторов: социальных, психологических, материальных  и т.д. В этот период студент выпускник стоит в самом начале профессионального пути, и именно в этот период он сталкивается с реалиями жизни, которые он не учел, или сознательно не хотел замечать в прошлом, поэтому молодому человеку от самого поступления в университет и до его окончания, выпуска необходима профессиональная помощь. При работе со студентами необходимо работать и учитывать все психологические особенности возраста, для лучшего преодоления преград на пути профессионального становления.  Необходим учет готовности личности к профессиональной деятельности.

1.2. Психологический анализ проблемы готовности личности к выбору

профессии и ее профессиональных планов

К компонентам профессиональной направленности лич­ности относят и установку как готовность к труду, выбору профессии.

Готовность личности к деятельности, в том числе и профессиональной, является сложным психологическим образованием и содержательной характеристикой установки. Она выступает как важнейший компонент профессиональной направленности.

Теория установки разработана школой грузинских психо­логов, возглавляемой Д. Н. Узнадзе. [35,124] Установку понимают как «целостную модификацию субъекта», его готовность к восприя­тию будущих событий и совершению в определенном направле­нии действий, что является основой его целесообразной избира­тельной активности. Она определяет направленность проявле­ний психики и поведения субъекта при возникновении потреб­ностей и ситуации их удовлетворения. Установки регулируют широкий спектр осознаваемых и неосознаваемых сфер психичес­кой деятельности человека. Установка - это «готовность, пред­расположенность субъекта, возникающая при предвосхищении им появления определенного объекта и обеспечивающая устойчи­вый целенаправленный характер протекания деятельности по отношению к данному субъекту» [29]

«Установка личности - это занятая ею позиция, которая заключается в определенном отношении к стоящим целям и за­дачам и выражается в избирательной мобилизованности и го­товности к деятельности, направленной на их осуществление» [31]

Установка личности в широком значении - это позиция, избирательное отношение личности к субъективно значимым для нее объектам. Образование установки предполагает определен­ную направленность на объект, предрасположенность к опре­деленным действиям и деятельности. Она включает в себя такие составляющие, как потребности, мотивы, ценности, убеждения, ролевые позиции.

Профессиональные установки личности формируются, раз­виваются и изменяются в процессе социализации под влиянием многих причин психофизиологического, психологического, демографического, социально-экономического характера.

Особым психическим образованием является готовность личности совершить профессиональный выбор, которая опре­деляется как активно-действенное состояние, характеризующе­еся функциональной взаимосвязью и динамикой составляющих ее компонентов: познавательного, мотивационного, эмоцио­нального и волевого.

Мотивационный компонент понимается как потребность в осуществлении правильного, безошибочного выбора профес­сии, профессионального пути.

Волевой компонент определяется как стремление оптанта к самовоспитанию, самосовершенствованию, развитию у себя не­обходимых свойств, навыков, умений в соответствии с требова­ниями выбираемой профессии, предъявляемыми к человеку.

Эмоциональный компонент выражается в общем отноше­нии оптанта к труду, степени эмоционального принятия, оцен­ки его и профессиональной деятельности.

Если деятельность по своим характеристикам совпадает с мотивационными, эмоциональными, коммуникативными осо­бенностями человека, он испытывает удовлетворение; в против­ном случае, эмоциональная напряженность может привести к негативным последствиям: конфликтной ситуации, невротизации, психологическим заболеваниям [16,35].

Важнейшими составляющими профессиональной направ­ленности личности являются ее профессиональные планы и намерения, отличающиеся от первых большей определеннос­тью, знанием способов достижения цели.

Намерение - сознательное решение, выполняющее функцию, побуждения и планировании поведения и деятельности [7].

Выбор профессии не является одномоментным актом. Ин­дивидуальная ситуация выбора, по Е. А. Климову (1996). «про­ектирование профессионального пути», - это процесс, который начинается с ориентировки в обстановке внешних и внутренних событий, за которой следует рассмотрение и оценка возможных вариантов последующих действий, борьба мотивационных по­буждений, принятие решения и его формулировка, отражающа­яся в профессиональных намерениях, «личном профессиональ­ном плане», по Н. С. Пряжникову (1988) [27].

Профессиональное самоопределение личности - это процесс выбора профессии, представленный в планах, намерениях, при­нятии решения на основе сформировавшейся потребности его совершить. Он завершается фактическим выбором профессии, в - котором профессиональные намерения могут осуществиться полностью, частично или остаться нереализованными.

Формирование профессиональных намерений проходит несколько этапов, среди которых выделяют два основных. Пер­вый этап - первичный выбор, для которого характерны малодифференцированные представления о мире профессий и неадекватные, часто ситуативные, оценки собственного ресурса и возможностей его развития. На втором этапе, когда задача вы­бора будущей профессиональной деятельности становится бо­лее актуальной, на основе представлений о своих психологичес­ких и психофизиологических данных формируется личный профессиональный план, который можно рассматривать как так­тику профессионального поведения.

Устойчивость профессиональных намерений является одной из важнейших характеристик, связанной с мотивацией профес­сионального выбора и влияющей на реализацию профессиональ­ных планов оптантов. [16,115].

Таким образом, готовность к профессиональной деятельности является сложным психологическим образованием и содержательной характеристикой установки. Она, в свою очередь, выступает как важнейший компонент профессиональной направленности. Профессиональные установки личности формируются и изменяются в процессе социализации под влиянием многих причин различного характера. Особым психическим образованием является готовность личности совершить профессиональный выбор, которое состоит из познавательного, мотивационного, эмоционального и волевого компонента. Исходя из этого, если деятельность по своим характеристикам совпадает с мотивационными, эмоциональными, коммуникативными осо­бенностями человека, он испытывает удовлетворение; в против­ном случае, эмоциональная напряженность может привести к негативным последствиям: конфликтной ситуации, невротизации, психологическим заболеваниям.  Важнейшими составляющими профессиональной направ­ленности личности являются ее профессиональные планы и намерения. Учет установок, намерений и т.п. абитуриентов и студентов способствует лучшей адаптации к рынку труда.

1.3. Особенности кризиса профессионального самосознания молодого

специалиста на стадии профессиональной адаптации

Важным элементом профессионального становления и личностного развития молодых специалистов, согласно современным концепциям акмеологии и возраст­ной психологии, является прохождение кризисов. Причем от успешности прохож­дения кризисов зависит возможность раскрытия не только профессионального, но и личностного потенциала человека. Кризис рассматривается как неизбежное столкновение двух принципиально отличающихся реальностей, старых и новых приоритетов, стратегий, ценностей и установок.

Начнем с определения понятия «кризис» и его роли в жизни человека. Многие авторы (Ниемеля П., Эриксон Э.) пишут не просто о наличии кризисов в жизни взрослого человека, но и об их необходимости для продолжения процесса развития [39,95].

Действительно, в течение кризисных периодов человек совершает важную ду­ховную работу: выявляет противоречия между тем, кто он есть на самом деле и кем хотел бы быть, что уже получил и что хотел бы иметь. В эти периоды он начинает понимать, что некоторые моменты своей жизни он переоценивал, а другие, наобо­рот, недооценивал.

Сущность каждого кризиса — это выбор, который человек должен сделать. Кризис — это столкновение двух реальностей; внутренней (психической) реальности человека, его системы мировоззрения, моделей поведе­ния, и части объективной действительности, противоречащей его предыдущему опыту [71].

Важная характеристика кризиса — его сила. Снижение силы кризиса возможно за счет осознания и принятия происходящих процессов (желания встроить их в свою жизнь удобным для себя образом), понимания собственных целей и приоритетов в жизни и деятель­ности и — на базе этого — четкого планирования.

За время профессионального становления и достижения уровня профессио­нального мастерства человек последовательно проходит целый ряд кризисов. И у каждого из них свои особенности. Один из самых известных специалистов по пе­риодизации развития личности Эрик Эриксон выделяет три основных кризиса зрелости:

· кризис молодости (соответствующий кризису начала трудовой деятельности);

· кризис середины жизни (совпадающий с кризисом середины карьеры);

· кризис старости (связанный с завершением карьеры).

У каждого из кризисов свои характерные черты.

Остановимся на одном из этапов  — начало карьеры.

Не менее значим и карьерный кризис на ранних этапах профессионализации. Как правило, основной вид деятельности в период становления молодого специа­листа — его учеба в высшем учебном заведении. Соответственно, и кризис связан с прохождением именно этого этапа, поскольку значительную часть своего време­ни молодой человек проводит в учебной деятельности, проживая основное количе­ство событий и изменений, влияющих на остальные важные жизненные сферы жизни и развитие в целом.

Молодость — этап жизненного цикла, завершающий переход к взрослости, на котором человек принимает ряд важных решений, касающихся выбора профессии и создания семьи, общего стиля жизни и конкретных задач на будущее, коррекции ценностных ориентации в соотношении со своим новым взрослым статусом и но­выми жизненными планами [23,30].

Главная задача личностного развития на этом этапе — поиск своего места, за­крепление в мире взрослых. Необходимость ее реализации переживается моло­дыми людьми зачастую очень остро, носит характер кризиса. Однако бегство от кризиса в этом периоде только задерживает развитие человека. Молодые люди, достойно принимающие этот кризис в переломный момент своей жизни, обычно становятся сильнее и способны управлять своей карьерой и жизнью в целом.

Кризисным моментом этого периода, по мнению К. Г. Юнга, является столкновение человека с требованиями реальной жизни, не всегда соответствующими его собственным представлениям. Если у него есть иллю­зии, контрастирующие с действительностью, сразу возникают проблемы. Часто это связано со слишком большими ожиданиями, с недооценкой внешних трудностей, с необоснованным оптимизмом или, наоборот, негативизмом. Молодой человек начинает постепенно осознавать, что мир — не только счастье и удовольствие. Начинается распад его детской веры, искренности и оптимизма. Но нередко мо­лодой человек довольно долго продолжает цепляться за детскую позицию, ожидая, что все придет к нему само собой в соответствии с его желаниями, хотелось бы ничего не делать, а если уж что-то делать, так ради собственного удовольствия.

Преодоление подобного застревания на «детской позиции» происходит лишь тогда, когда молодой человек в силу тех или иных обстоятельств вынужден сменить позицию в отношении внешнего мира с «я хочу» на «я могу».

Несколько другие акценты в рассмотрении кризисных моментов развития мо­лодого человека расставляет другой зарубежный исследователь — Б. Ливехуд (1997) [3].  

Поскольку, в отличие от подростка, молодой человек уже не только вклю­чает в свое сознание взрослую жизнь, но реально в ней участвует, для него осо­бенно остро встают вопросы выбора своего уникального пути. «Кто я? Чего я хочу? Что я могу?» — все это важнейшие вопросы, которые решаются в молодости. В юно­сти необходимо научиться принимать себя, нести ответственность за свой выбор и решения. Если же человек не ставил перед собой главных вопросов в юности и не нашел на них ответов, он подвергается опасности навечно остаться в подростковом возрасте, и его самооценка будет основываться исключительно на мнении окру­жающих или на противостоянии всему миру.

Период взросления также рассматривается в теории ролей. В русле данной тео­рии развитие понимается как формирование определенного ролевого репертуара. Роль — внутренне связанная последовательность разных форм поведения, настроен­ная на соответствующую последовательность действий других людей. Роли во многом определяются существующим социокультурным окружением. С точки зрения теории ролей в период взросления человека происходят два важных изменения. Во-первых, кардинально меняются отдельные роли. К их внутренней дифференцировке приводит необходимость решать задачи, специфические для взросления, и соответствовать ожиданиям общества. Во-вторых, появляется необходимость осваивать новые роли. Внутреннее дифференцирование привычных ролей и освоение новых может вступать в противоречие, и тогда молодой человек ощущает отсутствие преемст­венности между прошлыми и новыми ролями, что отражается на его представлении о себе самом. Связанная с этим неуверенность заставляет его задавать себе клас­сические вопросы взросления: «Кто я? Каков я? Кем меня считают?» Неопределен­ность ролей и статуса усиливается еще и потому, что в обществе отсутствуют четко выраженные ожидания в отношении молодых людей, за исключением ожидания от них быстрой адаптации к взрослому миру и его законам [20,147].

Таким образом, перед студентом выпускником, на момент выпуска из учебного заведения, на момент начала профессиональной деятельности,  остро встают вопросы выбора своего уникального пути «Кто я? Чего я хочу? Что я могу?»… Необходимость реализации себя переживается моло­дыми людьми зачастую очень остро, носит характер кризиса. Столкновение выпускника с требованиями реальной жизни, не всегда соответствующими его собственным представлениям. Также нередко мо­лодой человек довольно долго продолжает цепляться за «детскую позицию», ожидая, что все придет к нему само собой в соответствии с его желаниями, хотелось бы ничего не делать, а если уж что-то делать, так ради собственного удовольствия. Смягчение прохождения кризисного периода связанного с началом карьеры является частью работы учебного заведения, в котором обучается молодой человек. Необходимо помочь студенту на протяжении всего обучения в учебном заведении: начиная с первого и заканчивая моментом выпуска.























ГЛАВА 2. МЕТОДЫ ИССЛЕДОВАНИЯ ПРЕДСТАВЛЕНИЙ

О КАРЬЕРНОМ РОСТЕ СТУДЕНТОВ ВЫПУСКНИКОВ

ПЕДАГОГИЧЕСКОГО ВУЗА

2.1. Цель, задачи, методы и методики исследования

Гипотезы исследования:

1. У студентов факультетов АмГПГУ, в большинстве, нет четких представлений о том, как планировать свой карьерный рост, нет четкого плана развития своей карьеры.

2. Мы полагаем, что студенты ИПиП специальности «Педагогика и методика начального образования» являются группой риска на рынке труда, на сегодняшний момент это самая невостребованная профессия в нашем городе. Причиной этого является то, что студенты не представляют себя в рамках другой профессии, и стремятся оттянуть наступление взрослой жизни и освоение новой социальной роли, т.е. причиной уязвимости являются внутренние проблемы личности будущих учителей начальных классов, попадающих на рынок труда с высокой конкуренцией.

Целью нашего исследования является изучение представлений студентов-выпускников о своем карьерном росте после окончания педагогического университета.

Объектом исследования являются студенты-выпускники педагогического университета.

Предметом исследования является: представление студентов-выпускников.

Задачи исследования:

1. Анализ психологической литературы по проблеме исследования;

2. Изучить представления студентов-выпускников о своей будущей карьере.

3. Произвести сравнительный анализ содержания представлений о своей будущей карьере у студентов 5 курсов различных факультетов (ИПиП, ФМФ, ЕГФ, ФИиЮ), и определить специфику изучаемых представлений, отражающих специальности и факультеты в целом.

4. Выявить экспериментальную группу испытуемых, представляющих группу риска на рынке труда, на основе количественного и качественного сравнительного анализа результатов, полученных при решении третьей задачи исследования.

5. Описать представления студентов о своем существовании, представляющих группу риска на рынке труда. 

6. Разработать рекомендации для «Центра содействия занятости учащейся молодежи и трудоустройства выпускников» ФГОУ ВПО «АмГПГУ».

Методы исследования. В нашей  работе были использованы следующие методы исследования:

1. Организационные методы (сравнительный 

2. Эмпирические методы (анализ продуктов деятельности

3. Методы обработки данных (количественный и качественный анализ результатов, статистические методы: метод «контент-анализа», использование критерия Фишер)

4. Интерпретационные методы (структурный метод)

Методика исследования. «Представление субъекта о себе, о жизни, о карьере» (Каткова Е.Н.).

1 задание. Дать определение понятию «карьера» - данное задание поможет определить, на сколько студенты данной специальности владеют данным понятием.

Данное понятие в различных печатных источниках рассматривается более широко, либо менее, поэтому нами было взято несколько определений.

Так, карьера - 1) успешное продвижение в какой-либо области деятельности; 2) род занятий, профессия. 3) Достижение известности, славы, выгоды [66].

Карьера — сознательный способ организации профессиональной жизни, включающий продвижение к намеченному профессиональному, должностному или социальному статусу, что в широком смысле способствует самореализации, саморазвитию, самоутверждению человека в профессии и жизни [67].

2 задание. «Опишите себя в прошлом, настоящем и будущем». В данном задании необходимо вписать в круги, обозначающим отрезки времени (прошлое, настоящее, будущее), как они себя видят. При этом, как в этом задании, так и в последующем, задание начиналось с местоимения «Я»: «Я в прошлом», «Я в настоящем», «Я в будущем», чтобы подчеркнуть, что задание должно выполняться с основой на свое внутренне Я. Так же под этим заданием, и под следующими заданиями необходимо изобразить в квадрате отношения этих «временных» кругов (Приложение 6).

3 Задание «Опишите свою жизнь в прошлом, настоящем и будущем». В данном задании студентам нужно вписать в круги, обозначающим отрезки времени (прошлое, настоящее, будущее), как они видят свою жизнь (Приложение 6).

4 Задание «Опишите свою карьеру в прошлом, настоящем и будущем». В данном задании студентам необходимо вписать в круги, обозначающим отрезки времени (прошлое, настоящее, будущее), как они видят свою карьеру (Приложение 6).





2.2. Программа исследования

1 этап. На первом этапе исследования нами запланировано проведение анализа эссе студентов-выпускников АмГПГУ  на тему: «Я и моя карьера». В эссе студенты должны описать свои мысли по поводу целей и смысла его карьеры. В карьерном эссе студенту нужно раскрыть совой взгляд на карьеру, отмечать причины и особенности выбора их профессии, характеризовать образ будущего и раскрыть собственные стратегии достижения карьерного успеха. Статистический метод обработки данных -«контент-анализ». Выделить категории и единицы анализа, по результатам подсчета которых можно сделать вывод о  том, какие у студентов факультетов АмГПГУ представления о планировании его карьерного роста.

2 этап. Провести процентное сравнение, среди факультетов, количества эссе с наличием единиц анализа, относящихся к каждой из категорий, для того, чтобы проследить частоту встречаемости, и тем самым определить значимость единиц анализа, данных категорий, для студентов различных факультетов. Суммировать все сравниваемые до этого проценты по отдельным категориям. Выявить значимость различий конечных данных (критерий Фишера).

3 Этап. Основываясь на результатах полученных при анализе эссе, провести исследования на студентах-выпускниах специальности «Педагогика и методика начального образования». Запустить специально разработанную нами Методику «Представление субъекта о себе, о жизни, о карьере» (Каткова Е.Н.). Целью методики: посмотреть, насколько влияет столкновение двух принципиально отличающихся реальностей, старых и новых приоритетов, стратегий, ценностей и установок, на будущее.  Насколько влияет социальный статус и социальная роль на представление о себе, своей жизни и карьере.

4 этап. Учитывая результаты полученных данных после исследования, разработать рекомендации для «Центра содействия занятости учащейся молодежи и трудоустройства выпускников» ФГОУ ВПО «АмГПГУ».



ГЛАВА 3. ОПИСАНИЕ РЕЗУЛЬТАТОВ  ИССЛЕДОВАНИЯ ПРЕДСТАВЛЕНИЙ О КАРЬЕРНОМ РОСТЕ СТУДЕНТОВ ВЫПУСКНИКОВ ПЕДАГОГИЧЕСКОГО ВУЗА

3.1. Сравнительный анализ содержания представлений о своей будущей карьере у студентов 5 курсов различных факультетов

·   «Факультет истории и юриспруденции» представлен такими специальностями как: «История» и «Юриспруденция»;

·   «Физико-математический факультет»: «Физика», «Информатика», «Математика»;

·    «Естественно-географический факультет»: «Безопасность жизнедеятельности», «География-биология», «География-правоведение», «Биология-химия», «Биология - экологический туризм»;

·   «Институт педагогики и психологии»: «Педагогика и методика начального образования», «Социальная педагогика и психология», «Дошкольная педагогика», «Педагогика-психология», «Логопедия». 

Обработка содержания производилась методом «контент-анализа», как наиболее подходящий для анализа больших текстовых массивов, для выявления интересующих закономерностей. Анализируя данные эссе, можно было проследить:

1) в каких категориях выпускники факультетов больше делают акценты, какие единицы анализа наиболее значимы для них;

2) какие факультеты наиболее подготовлены в планировании своей карьеры;

В качестве категорий контент-анализа (7 категорий), характеризующие эссе как план карьерного роста, были взяты [60] (Приложение 1): 

1. Категория «А» – сроки развития карьеры. В данной категории была взята позиционная единица о времени, сроках достижении целей в карьере. Пример: «через 5 лет я буду прокурором…»;

2. Категория «B» - должность, которую бы хотел занимать выпускник. В данной категории были взяты структурно-семантические единицы анализа (слова и словосочетания), такие как «буду прокурором», «буду учителем» и т.д. (всего 6 единиц).

3. Категория «C» - действия, способствующие успешной реализации плана. В данной категории так же были выбраны 2 позиционные единицы: упоминание о «курсах повышения квалификации» и «продолжение образования, второе высшее».

4. Категория «D» - частота отражения темы: «карьера». В этой категории были взяты структурно-семантические единицы анализа (слова), которые характеризуют тему: «карьера» - это 3 единицы: «карьера», «карьерный рост», «карьерная лестница».

5. Категория «E» - качества, которыми обладают выпускники, необходимые для достижения поставленных целей. В этой категории были выбраны все встречающиеся структурно-семантические единицы в эссе (слова и словосочетания, всего 67), относящиеся к личностным качествам студентов. Пример: доброжелательность, честолюбие, ответственность и т.д.

6. Категория «F» - указание на условия, обстановку, которые будут на месте работы. В этой категории были взяты структурно-семантические единицы анализа (слова и словосочетания), описывающие обстановку, условия, которые будут на будущем месте работы.

7. Категория «G» - направленность на действия, слова отражающие желание выстроить карьеру. В этой категории были выбраны все встречающиеся структурно-семантические единицы в эссе (слова, словосочетания, всего 27), характеризующиеся как направленность на действия, достижение чего-либо. Пример: «Я хочу», «Я стремлюсь», «Я достигну» и т.п.

Таким образом, количество категорий составило 7 шт.; количество единиц анализа, в целом, составило 137. Количество эссе по факультетам: ИПиП – 47,  ЕГФ – 41, ФМФ – 37, ФИиЮ – 30. Всего было:  155 эссе (Рис. 2).

Рис. 2. Количественное (суммарное) соотношение эссе студентов, обучающихся на разных факультетах.

Для удобства подсчета нами были сделаны 4 таблицы (по кажому факультету в отдельности), где были представлены все 7 категорий и относящиеся к ним единицы анализа:

Таблица 1. Анализ эссе выполненных студентами 5 курса ИпиП (Приложение 2).

Таблица 2. Анализ эссе выполненных студентами 5 курса ЕГФ (Приложение 3).

Таблица 3. Анализ эссе выполненных студентами 5 курса ФМФ (Приложение 4).

Таблица 4. Анализ эссе выполненных студентами 5 курса ФииЮ (Приложение 5).

В дальнейшем нами были подсчитаны процентные соотношения по отдельным категориям среди анализируемых факультетов. Проценты (Y) по категориям находились по следующей формуле:

Y = 100% * X / общ. кол-во эссе

Где Y - процент эссе, где упоминаются единицы анализа категорий, от общего кол-ва эссе и X - кол-во эссе где упоминаются единицы анализа категории. Соответственно происходил подсчет по 1 категории только тех эссе, где находится хотя бы 1 единица этой категории, и количество эссе с наличием искомой категории является каким-либо процентом от общего количества эссе данного факультета (общее количество эссе 1 факультета берется за 100%).

Процентное сравнение, среди факультетов, количества эссе с наличием единиц анализа, относящихся к категории «А» (сроки развития карьеры) показало, что наибольшее число эссе с наличием данной категории принадлежит ФИиЮ - 26,66%, следом идет ЕГФ - 21,95%, ИПиП - 14,89%, ФМФ - 5,40% (Рис. 3).  Самые большие показатели мы наблюдаем у студентов ФИиЮ: 26,66% всех эссе данного факультета содержат единицы анализа по данной категории.  Это свидетельствует о том, что студенты (26,6%) отчетливо видят перспективу продвижения по карьерной лестнице, не видят каких-либо преград на пути карьерного роста, застоя на какой-то одной должности. Незначимые различия у ФИиЮ и ЕГФ (критерий Фишера), и соответственно такие же выводы по результатам (ЕГФ – 21,95%) можно сделать и для студентов ЕГФ.

Наименьший процент мы получили по ФМФ: только 5,4% всех эссе содержали единицы анализа данной категории – это может свидетельствовать о том, что студенты (94,6%) не видят перспективу продвижения по карьерной лестнице, которая отражается в упоминании о сроках развития карьеры. Также небольшие проценты мы получили и у ИПиП, причины, вероятней всего такие же,  как и у ФМФ.

Рис. 3. Процентное соотношение количества эссе с наличием единиц анализа, относящихся к категории «А» по факультетам.

Процентное сравнение, среди факультетов, количества эссе с наличием единиц анализа, относящихся к категории «B» (должность, которую бы хотел занимать выпускник) показало, что наибольшее число эссе с наличием данной категории принадлежит ФМФ - 32,43%, следом идет ФИиЮ - 30%, ЕГФ -29,26%, ИПиП - 12,76% (Рис. 4).

Практически одинаковые, с незначимыми различиями, проценты показали эссе с наличием единиц анализа категории «В» ФМФ, ФИиЮ и ЕГФ. Результаты говорят о том, что студенты данных факультетов видят, в перспективе, большой спектр должностей, на которые они могут рассчитывать после окончания университета, во время продвижения по карьерной лестнице.  Студенты же ИПиП, напротив, не видят такого разнообразия должностей, которые они могут занимать во время продвижения по карьерной лестнице. Студенты ИПиП видят себя в роли воспитателя, учителя, социального работника, завуча, директора…

          

Рис. 4. Процентное соотношение количества эссе с наличием единиц анализа, относящихся к категории «В» по факультетам.

Процентное сравнение, среди факультетов, количества эссе с наличием единиц анализа, относящихся к категории «С» (действия, способствующие успешной реализации плана) показало, что наибольшее число эссе с наличием данной категории принадлежит ФИиЮ - 26,66%, следом идет ФМФ - 24,32%, ЕГФ - 21,95%, ИПиП - 19,40% (Рис. 5). Различия по этой категории, между процентами по факультетам, являются незначительными (критерий Фишера). Практически, одинаковое количество упоминаний у студентов-выпускников разных факультетов единиц анализа «курсы повышения квалификации», «продолжение образования, второе высшее», это говорит об одинаковом отношении к повышению квалификации.

          

Рис. 5. Процентное соотношение количества эссе с наличием единиц анализа, относящихся к категории «С» по факультетам.

Процентное сравнение, среди факультетов, количества эссе с наличием единиц анализа, относящихся к категории «D» (частота отражения темы: «карьера») показало, что наибольшее число эссе с наличием данной категории принадлежит ЕГФ - 53,65%, следом идет ФИиЮ - 43,33%, ФМФ - 40,54%, ИПиП - 38,29%. (Рис. 6) 

Рис. 6. Процентное соотношение количества эссе с наличием единиц анализа, относящихся к категории «D» по факультетам.

Процентное сравнение, среди факультетов, количества эссе с наличием единиц анализа, относящихся к категории «E» (качества, которыми обладают выпускники, необходимые для достижения поставленных целей) показало, что наибольшее число эссе с наличием данной категории принадлежит ФМФ - 37,83%,следом идет ИПиП -  29,78%, ЕГФ - 26,82%, ФИиЮ -  20%  (Рис. 7).

Проанализировав эссе на наличие упоминаний о своих качествах студентами разных факультетов, можно выделить наиболее часто встречающиеся качества: для студентов ЕГФ ответственность, коммуникабельность, предприимчивость, настойчивость; для студентов ФМФ нравится работать (общаться) с детьми,  творческий, ответственность, креативность; для студентов ФИиЮ ответственность, аналитический склад ума, целеустремленность, лидерские качества; для студентов ИПиП любовь к детям, ответственность, творческий, доброжелательность.

Следует отметить, что одно из часто встречающихся качеств, которое упоминается во всех факультетах – это ответственность. Выпускники уверены в том, что именно с помощью этого качества, в большинстве своем,  они достигнут  успехов в своей будущей карьере.

Рис. 7. Процентное соотношение количества эссе с наличием единиц анализа, относящихся к категории «E» по факультетам.

Процентное сравнение, среди факультетов, количества эссе с наличием единиц анализа, относящихся к категории «F» (указание на условия, обстановку, которые будут на месте работы) показало, что наибольшее число эссе с наличием данной категории принадлежит ИПиП - 44,68%, следом идет ФМФ - 35,13%, ЕГФ - 29,26%, ФИиЮ -  20%  (Рис. 8). Неотъемлемой частью работы является обстановка, которая окружает человека. Упоминание об окружающей обстановке может свидетельствовать о заинтересованности удобного существования на работе.

Рис. 8. Процентное соотношение количества эссе с наличием единиц анализа, относящихся к категории «F» по факультетам.

Процентное сравнение, среди факультетов, количества эссе с наличием единиц анализа, относящихся к категории «G» (направленность на действия, желания выстроить карьеру) показало, что наибольшее число эссе с наличием данной категории принадлежит ЕГФ - 95,12%, следом идет ФМФ - 91,89%, ИПиП - 89,36%, ФИиЮ -  80%  (Рис. 9). Наличие структурно-семантических единиц таких как «Я хочу», «Я стремлюсь», «Я достигну» и тому подобное, их количество в эссе свидетельствуют о степени желания выстроить карьеру, о личной заинтересованности в достижении чего-либо, в достижении целей по пути карьерного роста.

Рис. 9. Процентное соотношение количества эссе с наличием единиц анализа, относящихся к категории «G» по факультетам.

Таким образом, если мы сложим количество процентов всех категорий по каждому факультету в отдельности для того, чтобы выяснить, на сколько тот или иной факультет имеет больше представлений о том как планировать свою карьеру, то мы получим: ЕГФ – 278,01%, ФМФ - 267,54%, ИПиП - 249,16%, ФИиЮ - 246,65%.  В идеале, у каждого факультета по всем категориям (7 категорий) в сумме должно быть по 700%. Приведем эти значения к 100%. Получим: 700%=100%, тогда 278,01%=39,71% (ЕГФ), 267,54%=38,22% (ФМФ), 249,16%=35,59% (ИПиП), 246,65%=35,23% (ФИиЮ) (Рис. 10).

Рис. 10. Процентное соотношение исследуемых категорий (A,B,C,D,E,F,G) по факультетам.

Мы видим, что ни один факультет не пересек границу и 40%. Это говорит о том, что, студенты практически всех факультетов не имеют представлений, как планировать свою карьеру. Для подтверждения этого, необходимо сопоставить самый большой процент по ЕГФ и процент по ИПиП, чтобы выявить значимость различий данных. Для сравнения этих данных целесообразно использование критерия Фишера [24], где критическое значение значимости критерия Фишера равно 1,34, φ кр = 1,34.

Алгоритм определения значимости в различиях процентов по ЕГФ и ИПиП:

1. Вычислить для сравниваемых данных φ кр  – критическое значение

критерия Фишера по формуле:

(1)

2. Сравнить это значение с критическим значением φ кр = 1,34: Так если φ кр ≥ 1,34, то сделать вывод: различия значимы, и можно говорить о том, что у студентов факультетов АмГПГУ, в большинстве, нет четких представлений о том, как планировать свой карьерный рост, нет четкого плана развития своей карьеры;

Если φ кр ≤ 1,34, то сделать вывод: у студентов факультетов АмГПГУ, в большинстве имеются четкие представления о том, как планировать свой карьерный рост, есть плана развития своей карьеры.

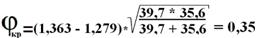
Применим алгоритм для итоговой диаграммы № 9 (Рис. 9). Сначала берем за N1= 39,7 (ЕГФ) и N2 = 35,6 (ИПиП). Вычисляем по таблице значимости Фишера для N1, получаем φ1 = 1,363; для  N2 получаем φ2 = 1,279. Подставляя в формулу (1), получаем:  .

Мы получили φкр = 0,35, это  меньше, чем 1,34, и соответственно гипотеза подтвердилась, различия не значимы, т.е. у студентов-выпускников факультетов АмГПГУ в большинстве, нет четких представлений о том, как планировать свой карьерный рост, нет четкого плана развития своей карьеры.

Практически одинаковые значения получились у студентов «Института педагогики и психологии» и «Факультет истории и юриспруденции».

Конечные данные складывались из суммы процентов по различным категориям, так наименьший показатель по категории «G» (направленность на действия, желания выстроить карьеру) показал ФИиЮ -  80%.  Это можно объяснить тем, что заинтересованность студентов в описании своего карьерного роста низкая, т.к. студенты этого факультета находятся в наиболее благоприятных обстановке на рынке труда и, в большинстве своем, студенты не заинтересованы расписывать план своей карьеры, зная о том, что они найдут работу по своей специальности. Выше сказанному может свидетельствовать результаты ФИиЮ по категориям «F» (указание на условия, обстановку, которые будут на месте работы) -  20% и категории «E» (качества, которыми обладают выпускники, необходимые для достижения поставленных целей)  -  20%.

Так «Институт педагогики и психологии» по категории «D» при анализе эссе (частота отражения темы: «карьера») показал наименьшей результат среди других факультетов - 38,29%. Это говорит о том, что для студентов данного института значимость таких понятий как «карьера», «карьерная лестница», «карьерный рост» не является главной – это говорит о том, что студенты не видят движения по карьерной лестнице, их обучение было направлено на выполнение определенной профессиональной роли: роли учителя, воспитателя, психолога. Этому может свидетельствовать также и низкие показатели по категории «С» (действия, способствующие успешной реализации плана)  - 19,40% и категории «А» (сроки развития карьеры) - 14,89%. , т.к. эти 3 категории «D», «C» и «А» тесно связаны между собой. Так единицы анализа категории «С»: упоминание о «курсах повышения квалификации», «продолжении образования» и о «втором высшем образовании» являются неотъемлемой частью продвижения по карьерной лестнице, карьеры, также как и упоминание о сроках развития карьеры.

Собранные нами данные позволили выявить экспериментальную группу испытуемых, представляющих группу риска на рынке труда, на основе количественного и качественного сравнительного анализа результатов.

Экспериментальной группой испытуемых стали студенты ИПиП специальности «Педагогика и методика начального образования», как одной из самых незащищенных на рынке труда.










3.2. Особенности представлений о своей будущей карьере студентов специальности «Педагогика и методика начального образования»

За время профессионального становления и достижения уровня профессио­нального мастерства человек последовательно проходит целый ряд кризисов. Выпускник университета как раз попадает в один из этих кризисных периодов. Так Эрик Эриксон [20, 135] выделяет три основных кризиса зрелости, и соответствующий кризису начала трудовой деятельности является «кризис молодости». Молодые люди, достойно принимающие этот кризис в переломный момент своей жизни, обычно становятся сильнее и способны управлять своей карьерой и жизнью в целом.

Преодоление подобного застревания на «детской позиции» происходит лишь тогда, когда молодой человек в силу тех или иных обстоятельств вынужден сменить позицию в отношении внешнего мира с «я хочу» на «я могу».

Период взросления также рассматривается в теории ролей. В русле данной тео­рии развитие понимается как формирование определенного ролевого репертуара. Роль — внутренне связанная последовательность разных форм поведения, настроен­ная на соответствующую последовательность действий других людей. Роли во многом

определяются существующим социокультурным окружением. С точки зрения теории ролей в период взросления человека происходят два важных изменения. Во-первых, кардинально меняются отдельные роли. К их внутренней дифференцировке приводит необходимость решать задачи, специфические для взросления, и соответствовать ожиданиям общества. Во-вторых, появляется необходимость осваивать новые роли. Внутреннее дифференцирование привычных ролей и освоение новых может вступать в противоречие, и тогда молодой человек ощущает отсутствие преемст­венности между прошлыми и новыми ролями, что отражается на его представлении о себе самом. Связанная с этим неуверенность заставляет его задавать себе клас­сические вопросы взросления: «Кто я? Каков я? Кем меня считают?» Неопределен­ность ролей и статуса усиливается еще и потому, что в обществе отсутствуют четко выраженные ожидания в отношении молодых людей, за исключением ожидания от них быстрой адаптации к взрослому миру и его законам [20,147].

Студентам Института педагогики психологии специальности «Педагогика и методика начального образования» была предложена, специально разработанная нами  методика «Представление субъекта о себе, о жизни, о карьере» (Каткова Е.Н.). В исследовании приняли участие 13 студентов специальности «Педагогика и методика начального образования.

Методика состоит из 4 заданий (Приложение 6).

Цель заданий методики состояла в том, чтобы посмотреть, насколько влияет столкновение двух принципиально отличающихся реальностей, старых и новых приоритетов, стратегий, ценностей и установок, на будущее.  Насколько влияет социальный статус и социальная роль на представление о себе, своей жизни и карьере.

1 задание. Дать определение понятию «карьера» - данное задание поможет определить, на сколько студенты данной специальности владеют данным понятием.

Данное понятие в различных печатных источниках рассматривается более широко, либо менее, поэтому нами было взято несколько определений.

Так, карьера - 1) успешное продвижение в какой-либо области деятельности; 2) род занятий, профессия. 3) Достижение известности, славы, выгоды [66].

Карьера — сознательный способ организации профессиональной жизни, включающий продвижение к намеченному профессиональному, должностному или социальному статусу, что в широком смысле способствует самореализации, саморазвитию, самоутверждению человека в профессии и жизни [67].

2 задание. «Опишите себя в прошлом, настоящем и будущем». В данном задании студентам было предложено вписать в круги, обозначающим отрезки времени (прошлое, настоящее, будущее), как они себя видят. При этом, как в этом задании, так и в последующем, задание начиналось с местоимения «Я»: «Я в прошлом», «Я в настоящем», «Я в будущем», чтобы подчеркнуть, что задание должно выполняться с основой на свое внутренне Я. Так же под этим заданием, и под следующими заданиями было предложено изобразить в квадрате отношения этих «временных» кругов (см. приложение).

Анализ этого задания проходил по 5 категориям методом контент-анализа:

А) Структурно-семантические единицы анализа (слова и словосочетания), относящиеся к институциональным социальным ролям (мать, жена, дочь, сестра и т.п.)

B) Структурно-семантические единицы анализа (слова и словосочетания), относящиеся к социальным ролям, которые связаны с социальным статусом, профессией или видом деятельности (ученица, школьница, педагог, учитель и т.п.) 

С) Структурно-семантические единицы анализа (слова и словосочетания), носящие положительный оттенок (активный, насыщенная, трудолюбивый и т.п.)

D) Структурно-семантические единицы анализа (слова и словосочетания), носящие отрицательный оттенок (наивный, ничего не делаю, плохая жизнь, бедная и т.п.)

E) Структурно-семантические единицы анализа (слова и словосочетания), которые носят ни положительный ни отрицательный оттенок (серая, обычная, безынтересная, беззаботная, размеренная и т.п.)

Как упоминалось выше, дополнением ко всем заданиям стало задание по расположению кругов, обозначающих временные отрезки (см. приложение).

В зависимости от того, как располагаются относительно друг друга круги, нами были выделены 4 группы:

1 группа. Все круги разъединены. Это может означать то, что прошлое уже не имеет такого большого значение и не влияет на настоящее или будущее; настоящее студенту выпускнику видится как основное, отсутствие некого плана на будущее, настоящее  тесно не связано с будущим. 

2 группа. Все круги объединены, пересекаются, включены друг в друга – данное расположение кругов было выделено в отдельную группу потому, что значения этих кругов: прошлое, настоящее, будущее, находятся в тесной связи для студента-выпускника. Студент одновременно живет и прошлым, прошлое не дает заглянуть в будущее далеко. Происходит застревание на «детской позиции» (К.Г.Юнг)

3 группа. Круг «прошлого» и «настоящего» пересекаются, включены друг в друга и круг «будущего» отдельно. Данная схема расположения кругов говорит о том, что для студента-выпускника значимость прошлого больше, чем значимость ближайшего будущего. Здесь возможен страх перед будущим, в прошлом как и в настоящем жизнь более предсказуема, а будущее неизвестно и пугает. Также можно судить о застревании на «детской позиции».

4 группа. Круг «прошлого» отдельно и круги «настоящего» и «будущего» пересечены, включены друг в друга. Такая схема расположения кругов говорит о том, что студент-выпускник связывает свое настоящее и будущее. Будущее уже распланировано в настоящем, студент думает о своем будущем, для него оно значимо; прошлое уже никак не влияет на его настоящее и будущее, прошлое отдельно.

3 Задание «Опишите свою жизнь в прошлом, настоящем и будущем». В данном задании студентам было предложено вписать в круги, обозначающим отрезки времени (прошлое, настоящее, будущее), как они видят свою жизнь (см. приложение).

Анализ этого задания проходило так же по 5 категориям, что и во втором задании.

4 Задание «Опишите свою карьеру в прошлом, настоящем и будущем». В данном задании студентам было предложено вписать в круги, обозначающим отрезки времени (прошлое, настоящее, будущее), как они видят свою карьеру (см. приложение).

Анализ задания проходил по тем же 5 категориям.

Для удобства подсчета была выполнена таблица, состоящая из 10 вертикальных столбцов. Первый столбец с наличиями 5 вышеупомянутыми категориями (А,B,C,D,E). Три столбца соответствуют заданиям «я в прошлом, настоящем, будущем», «моя жизнь в прошлом, настоящем, будущем» и «моя карьера в прошлом, настоящем, будущем», заданиям соответствуют номер I, II, III. Анализ по 5 категориям производился по всем трем временным промежуткам, отдельно для заданий связанных с «прошлым», «настоящем» и «будущим».

Для подсчета количества единиц анализа категорий так же имеются столбцы, количество единиц анализа категорий проранжированны в порядке убывания для того, чтобы видеть какие единицы анализа упоминаются чаще всего.

Для лучшего прослеживания динамики в изменении количества единиц в целом по каждой категории, были введены столбцы с суммой всех единиц анализа (по каждой категории) см. табл. 5 (Приложение 7).

Итогом первого задания явилось то, что 11 студентов ответили правильно или наиболее близко к определению данного понятия и 3 не владеют данным понятием см. табл. 6 (Приложение 8).

Анализ таблицы показал см. табл. 5 (Приложение 7):

- преобладание в заданиях, связанных с временным промежутком «прошлое» («Я в прошлом», «моя жизнь в прошлом», «моя карьера в прошлом»), единиц анализа категорий  B (единицы анализа, относящиеся к социальным ролям, которые связаны с социальным статусом, профессией или видом деятельности), D (единицы анализа, носящие отрицательный оттенок) и E (единицы анализа, которые не носят ни положительный, ни отрицательный оттенок).

- преобладание в заданиях, связанных с временным промежутком «настоящее» («Я в настоящем», «моя жизнь в настоящем», «моя карьера в настоящем»), единиц анализа категорий А (единицы анализа, относящиеся к институциональным социальным ролям), B (единицы анализа, относящиеся к социальным ролям, которые связаны с социальным статусом, профессией или видом деятельности), С (единицы анализа, носящие положительный оттенок).

- преобладание в заданиях, связанных с временным промежутком «будущее» («Я в будущем», «моя жизнь в будущем», «моя карьера в будущем»), единиц анализа категорий А (единицы анализа, относящиеся к институциональным социальным ролям), B (единицы анализа, относящиеся к социальным ролям, которые связаны с социальным статусом, профессией или видом деятельности), С (единицы анализа, носящие положительный оттенок).

Таким образом студенты-выпускники видят себя, свою карьеру в прошлом, настоящем и будущем с точки зрения выполнения определенной социальной роли. Так выпускники данной специальности в будущем видят себя, свою жизнь, карьеру связанными с выполнением институциональной социальной роли. Количество упоминаний институциональной социальной роли росло от заданий связанных с «прошлым» и до «будущего». Такой рост можно объяснить тем, что преобладающее большинство студентов данной специальности являются девушками: для них характерно видение себя, планирование своей карьеры, своей жизни связанными с семьей, детьми, ведением домашнего хозяйства… Так если мы взглянем на I задание связанное с «прошлым» мы увидим, что студенты видят себя в прошлом в роли дочери, матери, сестры и описание своей карьеры в прошлом и своей жизни не описано, то в будущем видим, что на первый план выступает роль матери и жены.

Также студенты-выпускники видят себя и свою карьеру в прошлом, настоящем и будущем, связанными с выполнением социальных ролей, которые связаны с социальным статусом, профессией или видом деятельности. Так при описании себя и своей карьеры в прошлом, на первый план выступала роль ученицы и школьницы. При описании себя и карьеры в настоящем студенты-выпускники видят себя в роли студента, выпускника. Карьера в настоящем практически не представлена, кроме слов университет, студент, выпускница и т.п. В будущем студенты-выпускники специальности «Педагогика и методика начального образования», видят себя в качестве учителя, воспитателя, коллеги, директора и т.п.

Важно так же отметить, что студенты данной специальности использовали с каждым разом от заданий связанных с временным промежутком «прошлое» до заданий связанных с временным промежутком «будущее» все больше единиц категории С (единицы анализа, носящие положительный оттенок). В заданиях, связанных с «прошлым» количество единиц категории D (единицы, носящие отрицательный оттенок) превышает количество единиц категории С. Жизнь в прошлом студентам представляется как скучная, однообразная, серая и т.п. Описание себя, как неуверенного в себе, нерешительного и т.п. Единицы анализа по категориям С и D, при описании карьеры в прошлом  не упоминались, но присутствует в III задании единицы категории E (единицы анализа, которые носят ни положительный, ни отрицательный оттенок), это слова «никакая», «отсутствует», «только начинается», «не задумывалась». То есть карьера в прошлом в понимании студентов – это роль ученика, школьника и т.п.

Если в заданиях связанных с временным промежутком «прошлое» по III заданию не упоминались единицы категории С, то в дальнейшем по этому заданию и по другим заданиям растет количество единиц анализа этой категории. Будущее представляется в более положительных оттенках: так при описании себя в будущем чаще всего упоминается такое качество, как «уверенная»; при описании своей жизни в будущем чаще всего упоминается слова «насыщенная», «интересная» и т.п.; при описании своей карьеры в будущем на первый план выходят «стабильность», «интерес», «успешность».

Анализ таблицы к заданиям, связанных с расположением кругов (см. табл. 7. Приложение 8) показал, что большинство студентов расположили круги так, что круг «прошлого» и «настоящего» пересекаются или объединены, а круг «будущего» отдельно; то есть такое расположение кругов соответствует выделенной нами 3 группе. Данная схема расположения кругов говорит о том, что для студента-выпускника значимость прошлого больше, чем значимость ближайшего будущего. Здесь возможен страх перед будущим, в прошлом как и в настоящем жизнь более предсказуема, а будущее неизвестно и пугает. Также можно судить о застревании на «детской позиции».

Таким образом, мы выяснили, что влияние столкновения двух принципиально отличающихся реальностей, старых и новых приоритетов, стратегий, ценностей и установок, на будущее очень велико.

Студенты-выпускники специальности «Педагогика и методика начального образования», в большинстве своем, продолжают не осознавать, что необходимо сделать в будущем для достижения своих целей, нет четкого видения своего будущего, цепляются за старое. И здесь также огромное влияние оказывает социальный статус и социальная роль на представление о себе, своей жизни и карьере. Происходит столкновение между своим внутренним «Я», «Чего я хочу?» и существующим социокультурным окружением, ожиданием социума выполнения студентами определенных ролей. В прошлом от студентов ожидалось выполнение социальных ролей: дочери, сестры, матери и т.п. и это влияние осталось до настоящего времени, и может остаться в будущем, если не производить соответствующую работу со студентами данной специальности.

















3.3. Рекомендации для «Центра содействия занятости учащейся молодежи и трудоустройства выпускников» ФГОУ ВПО «АмГПГУ»

Изучение представлений о карьерном росте студентов-выпускников «Факультета истории и юриспруденции», «Института педагогики и психологии», «Физико-математического факультета», «Естественно-географического факультета» Амурского гуманитарно-педагогического государственного университета позволяет нам выделить следующие рекомендации для «Центра содействия занятости учащейся молодежи и трудоуст ройства выпускников» ФГОУ ВПО «АмГПГУ»:

- Для преодоления возникающего кризиса молодого специалиста, необходимо проводить психологическое консультирование (например, использование метода сказкотерапии (ав­тор — Т. Д. Зинкевич-Евстигнеева); упражнения «Похвальное слово самому себе» (автор — Дж. Рейнуотер) или его модификацию «Доска поче­та и т.д.), которое направлено на оказание помощи в разрешении проблемной карьерной ситуации, то есть положения, когда человек сталкивается с необходимостью использования новых средств, способов поведения и перемен в деятельности для овладения этой ситуацией в реализации целей карьеры.

- Необходимо формировать у студентов готовность начинать профессиональную карьеру с низовых ступеней на работе, пройти весь путь профессионального и должностного роста (именно излишние амбиции выпускников, их нереали­стично завышенные ожидания и желание сразу занять высшую должность в организации являются, по мнению работодателей, главным препятствием в развитии карь­еры молодых специалистов), и с этим уделять внимание развитию мотивации к достижениям с помощью организации консультирования по проблемам личностного роста и выбора индивидуальной траектории карьерного продвижения.

- При работе с выпускниками важен учет ожиданий и установок самих студентов — будущих молодых специа­листов, а так же мониторинг качественных изменений в личности выпускника. Важно организовывать активную поддержку карьерных устремлений выпускни­ков, как со стороны организации-работодателя, так и со стороны вуза.

- Способствовать студентам максимально полному использованию их возможностей по «наращиванию» собственного профессионального и личностного потенциала уже во время обучения в вузе. Например, освоение дополнительной специализации, смеж­ной с основным направлением обучения; участие в тренингах, специализи­рованных курсах и мастер-классах; выбор практически ориентированных тем курсовых и дипломных работ; активное сотрудничество с опытным преподавателем, помогающим развивать карьеру и включающим сту­дента-выпускника в собственные проекты и т. д.

- Необходимо привлекать к активному участию во всех мероприятиях, акциях, проводимых как на вузовском уровне, так и в общегородском масштабе (Дни карьеры, ярмарки вакансий, презентации общеобразовательных учреждений, конкурсы и т. д.).

Заключение

 

Анализ психологической литературы подтвердил актуальность  темы исследования, заключающаяся, в проблеме трудоустройства молодых специалистов выпускающихся из педагогических университетов и проектирования их дальнейшего жизненного пути.

Теоретический анализ показал, что ранняя взрослость, это важный этап вхождения во взрослую жизнь со всем ее многообразием. И один из главных выборов в этот период является выбор профессионального пути, на этот выбор влияет множество факторов: социальных, психологических, материальных  и т.д. В этот период студент выпускник стоит в самом начале профессионального пути, и именно в этот период он сталкивается с реалиями жизни, которые он не учел, или сознательно не хотел замечать в прошлом. Готовность личности совершить профессиональный выбор - это особое психологическое образование, которое состоит из познавательного, мотивационного, эмоционального и волевого компонента. Исходя из этого, если деятельность по своим характеристикам совпадает с мотивационными, эмоциональными, коммуникативными осо­бенностями человека, он испытывает удовлетворение; в против­ном случае, эмоциональная напряженность может привести к негативным последствиям: конфликтной ситуации, невротизации, психологическим заболеваниям.

Перед студентом-выпускником, на момент выпуска из учебного заведения, на момент начала профессиональной деятельности,  остро встают вопросы выбора своего уникального пути «Кто я? Чего я хочу? Что я могу?»… Необходимость реализации себя переживается моло­дыми людьми зачастую очень остро, носит характер кризиса. Столкновение выпускника с требованиями реальной жизни, не всегда соответствующими его собственным представлениям. Также нередко мо­лодой человек довольно долго продолжает цепляться за «детскую позицию», ожидая, что все придет к нему само собой в соответствии с его желаниями, хотелось бы ничего не делать, а если уж что-то делать, так ради собственного удовольствия.

Эмпирическое исследование показало:  у студентов факультетов АмГПГУ, в большинстве, нет четких представлений о том, как планировать свой карьерный рост, нет четкого плана развития своей карьеры. Выпускники педагогического вуза не представляют всех трудностей связанных с началом работы, не в полной мере владеют информацией о будущей работе. Присутствуют излишние амбиции выпускников, их нереали­стично завышенные ожидания и желание сразу занять высшую должность в организации. Многие выпускники не представляют себя в другой профессиональной роли, как учителя,  воспитателя, психолога. Студенты не замечают тех перспектив, которые они могли бы достичь.

Собранные нами данные позволили выявить экспериментальную группу испытуемых, представляющих группу риска на рынке труда, на основе количественного и качественного сравнительного анализа, полученных при первом исследовании, результатов - это студенты-выпускники ИПиП специальности «Педагогика и методика начального образования». В группу риска студентов данной специальности позволило выделить нам еще то, что нашем городе не требуются учителя начальных классов. Такая обстановка вызвана переходом на подушевое финансирование общеобразовательных учреждений, следовательно идет сокращение учителей, экономической ситуацией в стране – все это ведет к тому, что растет количество невостребованных молодых специалистов учителей начальных классов.

Результаты проведенного исследования со студентами-выпускниками ИПиП специальности «Педагогика и методика начального образования»  показали, что в основе новых и полученных ранее данных (у студентов факультетов АмГПГУ, в большинстве, нет четких представлений о том, как планировать свой карьерный рост, нет четкого плана развития своей карьеры) лежат психологические проблемы, связанные с профессиональным становлением личности; кризисом профессионального самосознания молодого специалиста. Студенты не представляют себя в рамках другой профессии, и стремятся оттянуть наступление взрослой жизни и освоение новой социальной роли, т.е. причиной уязвимости являются внутренние проблемы личности будущих учителей начальных классов, попадающих на рынок труда с высокой конкуренцией.




















БИБЛИОГРАФИЧЕСКИЙ СПИСОК

1. Абульханова-Славская, К. А. Стратегия жизни. - М.: Мысль, 1991. - с. 10-75 - 524 с. ISBN: 5-88711-216-6

2. Божовыч, Л.И. Личность и ее формирование в детском возрасте. - М.: Просвещение, 1968. - 463 с.

3. Болотова А.К., Молчанова О.Н. Психология развития. Издательство: М.: ЧеРо; 2005 г.

4. Генкин, Б.М. Экономика и социология труда: учеб. пособие для студентов высш. учеб. заведений. – М.: Норма, 2007. - 448 с. ISBN: 978-5-468-00061-8

5. Головаха, Е.И. Жизненная перспектива и профессиональное самоопределение молодежи. — Киев, 1988. – 300 с.

6. Дружинин В.Н. Психология общих способностей. - СПб.: Питер, 2002. - 368 с. - ISBN 5-272-00260-1.

7. Дьяченко, М.И., Кандыбович Л. А. Краткий психологический словарь. - Мн.: Народная асвета. 1996. - 399 с.

8. Зеер, Э. Ф. Психология профессий: Учеб. пособие для студентов вузов. – 1 и 2-е изд., перераб., доп. - М.: Академический Проект; фонд «Мир», 2005. - 336 с. - ISBN 5-7695-2654-8

9. Ильин, Е.П. Мотивация и мотивы. - СПб.: Питер, 2000 - 512 с.

10. Каткова, Е. Н. Профессиональный рост личности: Методическое пособие для специалистов по профессиональной ориентации безработных и ищущих работу граждан в службе занятости / Елена Николаевна Каткова. - Комсомольск-на-Амуре: Изд-во АмГПГУ, 2007. - 215 с.

11. Климов, Е.А. Психология профессионального самоопределения : учеб. пособие для студ. высш. пед. учеб. заведений / Е.А. Климов. — 3-е изд., стер. — М.: Издательский центр «Академия», 2007. — 304 с. ISBN 978-5-7695-3778-3

12. Климов, Е.А. Пути в профессионализм (Психологический взгляд). — М.: МПСИ, 2003. – 320 с. - ISBN 5-89502-541-2

14. Кроль, Л., Белокурова М. Карьера, карьера, карьера // Работа сегодня. - 2006г. - №28.

15. Крягдже, С.П. Психология формирования профессиональных интересов. Вильнюс, 1981. - 196 с.

16. Кухарчук, А. М. Человек и его профессия: учеб. пособие для студентов высш. учеб. заведений / А. М. Кухарчук, В. В. Лях, А. Б. Широкова. -Минск: Соврем, слово, 2006. — 544 с. ISBN 985-443-555-5.

17. Леонова, А.В. Психология труда и организационная психология: современное состояние и перспективы развития. Хрестоматия. – М.: Радикс, 1995. -249 с. ISBN 5-86463-046-2

18. Ли Якокка. Карьера менеджера. – СПб.: Попурри, 2002. - 416 с. ISBN-985-438-822-0

19. Маркова, А.К. Психология профессионализма. — М.: Международный гуманитарный фонд «Знание», 1996. – 188 с.

20. Могилёвкин, Е. А. Карьерный рост: дигностика, технологии, тренинг. Монография. — СПб.: Речь, 2007. - 336 с. ISBN 5-9268-0599-6

21. Молл, Е. Управленческая карьеа в Россиии //Проблемы теории и практики в управления. - 1996. - №6. – С.7-9.

22. Мордвинцев, Л. Планирование карьеры. – М.: Альпина Бизнес Букс, 2007. – 208 с. ISBN: 5-9614-0522-4

23. Морозов, А.В. Деловая психология. - СПб.: Союз, 2000.- 571 с.

24. Новиков, Д.А. «Статистические методы в педагогических исследованиях (типовые случаи)». М.: МЗ-Пресс, 2004. – 67 с.

25. Павлютенков, Е.М. Формирование мотивов выбора профессии. – Киев.: Радзянська школа, 1980. - 144 с.

26. Прудило, А.В. Психологическое консультирование в профессиональной ориентации. - Мн.: 1999. - 148 с.

27. Пряжников, Н.С Профессиональное и личностное самоопределение. - М : Изд-во «Институт практической психологии», Воронеж: НПО «МОДЭК». 1996. - 256 с.

28. Пряжников, Н.С. Психология труда и человеческого достоинства: учеб. пособие для студентов высш. учеб. заведений / Н.С. Пряжников, Е.Ю. Пряжникова. – М.: Академия, 2005. - 477 с. ISBN 5-7695-2402-2

29. Психологический словарь. Под ред. В. В. Давыдова и др. - М.: 1983. -448 с.

30. Романова, Е. С. 99 популярных профессий. Психологический анализ и профессиограммы /Евгения Сергеевна Романова. - СПб.: Питер, 2006. - 464 с. - ISBN 5-94723-558-7

31. Рубинштейн, С. Л. Основы общей психологии. В 2 т. Т. 2. - М : Педагогика, 1989. - 328 с.

32. Сотникова, С.И. Управление карьерой: Учеб. пособие. - М.: ИНФРА-М., 2001. - 408 с. (Серия «Высшее образование»).

33. Трошина, К. Карьера и мотивация //Управление персоналом. – 1998г. - №12. - С. 6-12.

34. Труфанов, С.Н. Грамматика разума или система Гегеля в доступном изложении. – Самара.: "Гегель-фонд", 2003. – 622 с. ISBN - 5-93279-041-5

35. Узнадзе, Д.Н. Общая психология. - Питер.: 2004. - 413 с. ISBN 5-89357-121-5

36. Чебышева, В.В. Психология трудового обучения. М.: Просвещение, 1969. - 303 с.

37. Щукина, Г.И. Проблема познавательного интереса в педагогике. М.: Педагогика, 1971. - 352 с.

38. Эриксон, Э. Детство и общество. 2-е изд. - СПб.: Питер, 2000. - 416 с. - ISBN 5-89740-036-9

39. Эриксон, Э. Идентичность: юность и кризис: учеб. пособие для студентов высш. учеб. заведений. – М.: Флинта, 2006. - 342 с. ISBN: 978-5-89349-860-8

 

Ссылки на электронные информационные ресурсы.

40. 10 распространённых ошибок, совершаемых при трудоустройстве. Электронный дос­туп:  http://www.rhr.ru/index/find/orientation/6002.html
































ПРИЛОЖЕНИЯ

Похожие работы на - Исследование представлений о карьерном росте студентов-выпускников педагогического вуза

 

Не нашли материал для своей работы?
Поможем написать уникальную работу
Без плагиата!
Без нейросетей!